Issue |
A&A
Volume 501, Number 3, July III 2009
|
|
---|---|---|
Page(s) | 899 - 905 | |
Section | Extragalactic astronomy | |
DOI | https://doi.org/10.1051/0004-6361/200810404 | |
Published online | 29 April 2009 |
Suzaku measurement of Abell 2204's intracluster gas temperature
profile out to 1800 kpc
(Reshearch Note)
T. H. Reiprich1 - D. S. Hudson1 - Y.-Y. Zhang1 - K. Sato2 - Y. Ishisaki3 - A. Hoshino3 - T. Ohashi3 - N. Ota4,5 - Y. Fujita6
1 - Argelander Institute for Astronomy, Bonn University,
Auf dem Hügel 71, 53121 Bonn, Germany
2 -
Graduate School of Natural Science and Technology,
Kanazawa University,
Kakuma, Kanazawa, Ishikawa, 920-1192, Japan
3 -
Department of Physics, Tokyo Metropolitan University, 1-1 Minami-Osawa,
Hachioji, Tokyo 192-0397, Japan
4 -
Institute of Space and Astronautical Science (ISAS/JAXA), 3-1-1
Yoshinodai, Sagamihara, Kanagawa 229-8510, Japan
5 -
Max-Planck-Institut für extraterrestrische Physik, 85748 Garching, Germany
6 -
Department of Earth and Space Science, Graduate School of Science,
Osaka University, Toyonaka, Osaka 560-0043, Japan
Received 17 June 2008 / Accepted 16 April 2009
Abstract
Context. Measurements of intracluster gas temperatures out to large radii, where much of the galaxy cluster mass resides, are important for using clusters for precision cosmology and for studies of cluster physics. Previous attempts to measure robust temperatures at cluster virial radii have failed.
Aims. The goal of this work is to measure the temperature profile of the very relaxed symmetric galaxy cluster Abell 2204 out to large radii, possibly reaching the virial radius.
Methods. Taking advantage of its low particle background due to its low-Earth orbit, Suzaku data are used to measure the outer temperature profile of Abell 2204. These data are combined with Chandra and XMM-Newton data of the same cluster to make the connection to the inner regions, unresolved by Suzaku, and to determine the smearing due to Suzaku's point spread function.
Results. The temperature profile of Abell 2204 is determined from 10 kpc to
1800 kpc, close to an estimate of r200 (the approximation to the virial radius). The temperature rises steeply from below 4 keV in the very center up to more than 8 keV in the intermediate range and then decreases again to about 4 keV at the largest radii. Varying the measured particle background normalization artificially by
10% does not change the results significantly. Several additional systematic effects are quantified, e.g., those due to the point spread function and astrophysical fore- and backgrounds. Predictions for outer temperature profiles based on hydrodynamic simulations show good agreement. In particular, we find the observed temperature profile to be slightly steeper but consistent with a drop of a factor of 0.6 from 0.3 r200 to r200, as predicted by simulations.
Conclusions. Intracluster gas temperature measurements up to r200 seem feasible with Suzaku, after a careful analysis of the different background components and the effects of the point spread function. Such measurements now need to be performed for a statistical sample of clusters. The result obtained here indicates that numerical simulations capture the intracluster gas physics well in cluster outskirts.
Key words: X-rays: galaxies: clusters - galaxies: clusters: individual: Abell 2204
1 Introduction
Cosmologically, the most important parameter of galaxy clusters is their total gravitational mass. X-rays offer an attractive way to determine this mass through measurements of the intracluster gas temperature and density structures. X-rays are also a unique tool to study the physics of the hot cluster gas; e.g., gas temperature profiles allow constraints on (the suppression of) heat conduction. Consequently, constraining cluster temperature profiles has been the subject of many (partially contradictory) works in the recent past (e.g., Zhang et al. 2004; Irwin & Bregman 2000; Hudson & Reiprich 2007; De Grandi & Molendi 2002; White 2000; Markevitch et al. 1998; Arnaud et al. 2005; Allen et al. 2001; Pratt et al. 2007; Vikhlinin et al. 2005; Kotov & Vikhlinin 2005; Fukazawa 1997; Markevitch et al. 1996; Piffaretti et al. 2005; Leccardi & Molendi 2008; Snowden et al. 2008; Irwin et al. 1999).
![]() |
Figure 1: Left panel: Suzaku image of A2204 combining all four XIS detectors. Also indicated are the regions used for the spectral analysis (green) and the estimated r200 (white). The outermost annulus (annulus 4, beyond r200) was used to aid in the local fore- and background estimation. The elliptical region contains emission from unrelated sources and was excluded from the spectral analysis. Right panel: gas temperatures as function of radius as measured with Suzaku (filled circles), XMM-Newton (diamonds), and Chandra (triangles). For each Suzaku bin three temperatures are shown. The upper and lower temperature values were obtained by artificially decreasing and increasing the particle background normalization by 10%, respectively. The bins are slightly offset in this plot for clarity. All errors are given at the 90% confidence level. |
Open with DEXTER |
Unfortunately, making these measurements is quite challenging in
outer cluster regions. Even with XMM-Newton and Chandra, it is very difficult to
determine temperature profiles reliably out to more than about 1/2 the cluster
virial radius,
(see the references above but also Solovyeva et al. 2007, for a different
view). As a result, only about 1/8 of the cluster volume is actually probed. The
primary reason is not an insufficient collecting area or spectral resolution of
current instruments: the limiting factor is the high particle background.
Here, the X-ray CCDs onboard Suzaku come into play. Owing to its low-Earth
orbit and short focal length, the background is much lower and more stable than
for Chandra and XMM-Newton (Mitsuda et al. 2007), making Suzaku a very promising instrument for
finally settling the cluster temperature profile debate.
And indeed, some of us have recently succeeded in measuring the temperature and metal
abundance in the outskirts of the merging clusters A399/A401 (Fujita et al. 2008).
Here, we go one step further and also confirm this great prospect for
outer cluster regions whose emissivity is not enhanced by merging activity and
determine the temperature profile of the regular cluster Abell 2204 out to
1800 kpc with Suzaku. This radius is close to an estimate of r200;
i.e., the radius within which the mean total density equals 200 times the
critical density, often used as approximation to the virial radius.
Note that shortly after this paper was submitted, another study
of a cluster temperature profile towards very large radii with
Suzaku was submitted by George et al. (2008).
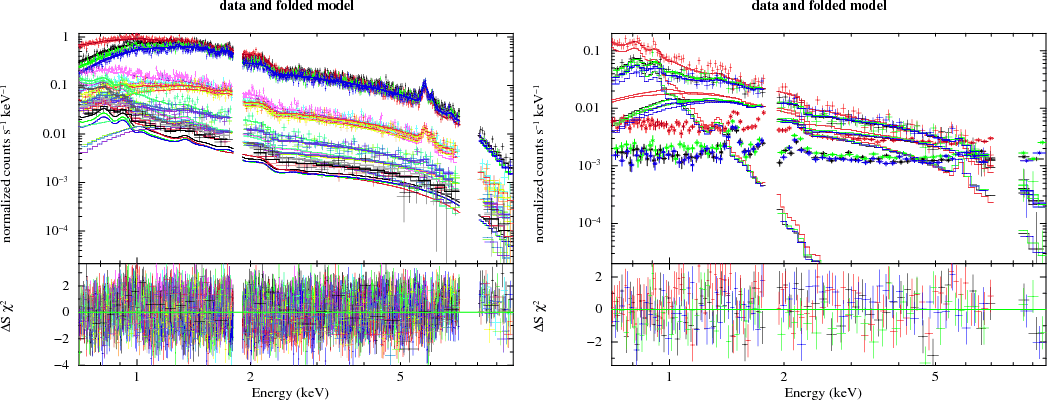
![]() |
Figure 2:
Left panel: particle background subtracted Suzaku spectra
from all four regions (innermost region at the top, outermost region at the
bottom) and from all four detectors (e.g., for the innermost region: black:
XIS0, red: XIS1, green: XIS2, blue: XIS3). Also shown are
the models (total, cluster, and combined Galactic fore- and cosmic X-ray
background) from the simultaneous fit as well as the residuals in terms of
standard deviations. There are no strong systematic deviations for any of the
regions or detectors.
Right panel: same as left but only for bin 3 (7.5'-11.5'). In this
plot the Galactic fore- and cosmic X-ray background models are shown separately,
and the subtracted particle background is also given (by the thicker data points
at the bottom). The cluster emission dominates over the other components only in
the range |
Open with DEXTER |
Throughout, we assume
,
,
and H0=71 km s-1 Mpc-1; i.e., at the
redshift of Abell 2204 (
z = 0.1523), 1' = 157 kpc.
2 Observations, reduction, analysis
2.1 Chandra and XMM-Newton data
Abell 2204 was analyzed with Chandra as part of the HIFLUGCS (Reiprich & Böhringer 2002) follow-up. The reduction and analysis are similar to those outlined in Hudson et al. (2006). The total clean exposure of the two archival observations is 18.6 ks. Further details are described in Hudson et al. (2009).The XMM-Newton analysis of Abell 2204 is published (Zhang et al. 2008). Extrapolating the mass profile using the published gas density and temperature profile, we found r200=11.75'=1840 kpc.
2.2 Suzaku data
Abell 2204 was observed with Suzaku on September 17-18, 2006. We started from the cleaned event files (processing version 1.2.2.3) and reran the ftools xisputpixelquality and xispi, using HEAsoft 6.2 and CALDB 070409. Using xselect, the event files were further filtered by applying the criteria STATUS = 0:65535, COR > 6, and ELV > 10. The good exposure amounts to about 50 ks for each of the four XIS using both

The widths of the annuli were chosen to be about twice as large as the half power
diameter of the point spread function (PSF). Combined spectra were extracted using the
filtered
and
editing mode events files. Using four regions from each of
the four detectors, this resulted in 16 spectra total from the source
observation. The spectra were grouped to have at least 50 counts in each energy
channel.
We checked the spectra for contamination by solar wind charge exchange emission.
The ACE SWEPAM proton flux was less than
protons/s/cm2during the observation. Therefore, no strong flaring is expected (Fujimoto et al. 2007).
Moreover, we checked the soft band (<2 keV) XIS-1 lightcurve of the local
background region
and did not find any indication of flaring.
Response files were created with xisrmfgen and xissimarfgen.
We generated the first Ancillary Response File (ARF) by feeding an image,
constructed from the double
model fit to the Chandra surface brightness
profile, into xissimarfgen. This ARF was later used to model the cluster
emission. For the second ARF, which was used when modeling the Galactic
fore- and cosmic X-ray background, we assumed a uniform photon
distribution.
We simulated 107 photons per detector using medium sampling.
Night Earth data were used to create spectra of the particle background for each
region and each detector, weighting the spectra by cutoff rigidity. These particle
spectra were supplied as background spectra
to the XSPEC (version 12.3.1) fitting routine. The cluster emission was modeled
with an absorbed thermal model (phabs*apec). The cosmic X-ray background and
Galactic emission were accounted for with an absorbed powerlaw and an unabsorbed
thermal model, respectively (phabs*pow+apec).
All 16 spectra were fitted simultaneously. We froze the hydrogen column density
at
cm-2 (Kalberla et al. 2005), the cluster redshift
at z=0.1523 (Struble & Rood 1987), the redshift and metal
abundance of the Galactic
component at z=0 and A=1 solar, and the powerlaw photon index at 1.41
(Kushino et al. 2002).
The remaining parameters of the fore- and background components were
left free and linked across all regions and detectors.
The temperatures, metallicities (Anders & Grevesse 1989), and normalizations of the
cluster emission were left free and linked across the four detectors.
Annulus 4 served to help constrain the fore- and
background components because no significant
``contaminating'' cluster emission is expected beyond the estimated r200,
so the normalization of the thermal cluster model was frozen at 0 in this
annulus.
In the spectral fitting for this hot cluster, we ignored all photons with
energies 0.7 keV. We did this to minimize any systematic
uncertainties due to the correction for the effective area degradation by the
contamination, due to the Galactic foreground subtraction, and due to the
influence of possible low intensity solar wind charge exchange emission.
The upper energy cut used for the fitting was set at 10 keV
(8 keV for XIS-1, due to remaining calibration uncertainties).
The Si K edge (1.8-1.9 keV) and, for XIS-0, the calibration Mn K line (5.7-6.0 keV) were excluded. The range 7.2-8.0 keV was ignored because
of the presence of the strong instrumental Ni K line. Overall, the model
provided a good description of the data, resulting in
for 4097 degrees of freedom.
3 Results
The spectra and best fit models are shown in Fig. 2. In the left panel, we show all 16 spectra (data points with errors) and corresponding best fit models (solid lines). The particle background was subtracted from the data points. Each spectrum has three model lines, one thin line representing the cluster emission, another thin line representing the combined Galactic fore- and cosmic X-ray background, and the thick line the sum of these (i.e., the thick lines should match the data points). The main purpose of this plot is to show that there are no strong residuals anywhere.
In the right panel, we show the same plot for the most important region (bin 3). It is instructive to compare the role of the different fore- and background components relative to the cluster emission. Therefore, we show here also the particle background spectra as stars with thick error bars (which were subtracted from the data) as well as the Galactic fore- and cosmic X-ray background components individually. For clarity, let's focus on the XIS1 spectra; i.e., the red data points and lines. The thick line matches the data points pretty well, as it should. Now let's start at the low energies: the uppermost thin line represents the Galactic foreground component. This component dominates over all other components up to about 1 keV. The next line represents the cluster component, which starts to dominate (marginally) around 1 keV until the cosmic X-ray background becomes stronger around 1.5 keV. The particle background starts to dominate over the Galactic foreground around 1.4 keV, over the cluster component around 3 keV, and over the cosmic X-ray background between 4 and 5 keV. This plot illustrates that a cluster temperature determination in this region requires long exposures and is getting close to the limit of Suzaku's capabilities. In case of Chandra or XMM-Newton, the particle background would start to dominate over each of the other components at much lower energies. The same plot for bin 4 looks quite similar, there are just fewer data points and no cluster emission.
![]() |
Figure 3:
Left panel:
observed outer temperature profile compared
to profile and scatter predicted by hydrodynamical simulations of
Roncarelli et al. (2006, solid lines). Symbols have the same meaning as in
Fig. 1. For clarity, only the two Chandra and XMM-Newton data
points are shown that were used to determine
|
Open with DEXTER |
Figure 1 (right) shows projected gas temperature profiles measured with
Chandra, XMM-Newton, and Suzaku. In the innermost region (0.4') the XMM-Newton temperature is consistent with the range of best fit temperatures obtained with
Chandra (3.5-7.6 keV).
In the region
1-2', however, Chandra gives systematically higher
temperatures than XMM-Newton. The primary reasons for this are, first, that the XMM-Newton profile is not corrected for PSF smearing, so the temperatures in this region are
slightly underestimated; and, second, that the Chandra effective area calibration
is, apparently, inaccurate, resulting in overestimates of the
temperature at high temperatures (e.g., Snowden et al. 2008; Sun et al. 2008, and L. David's presentation
).
The central Chandra temperatures determined here are consistent with those from
Sanders et al. (2005).
In the region
3-6' Chandra and XMM-Newton give consistent results.
Table 1: Best fit Suzaku cluster temperatures, metallicities, and the corresponding statistical uncertainties (90% confidence level) of the four radial bins.
The Suzaku best fit temperatures and uncertainties are given in
Table 1.
The innermost Suzaku bin covers 0'-3.5' and, obviously, contains emission from
quite a range of temperatures. The result of the single temperature fit
(
keV) lies
roughly in the middle of this temperature range, as expected. The Suzaku best fit
temperature in the second bin (3.5'-7.5',
keV) is
slightly higher compared to the
Chandra and XMM-Newton temperatures. The primary reason for this is most likely
contamination from emission from the very bright region <3.5' due to Suzaku's
PSF (contamination is
50%, see discussion below). Even though A2204
appears quite regular on large scales (e.g., Schuecker et al. 2001), possible deviations from exact spherical symmetry of the
temperature structure may also introduce some scatter in the comparisons.
For the purpose of this paper, bin 3 covers the most important region. It
extends from 7.5' to 11.5'; i.e., from 64% to 98% of the estimated r200.
The Suzaku best fit temperature (
keV) is significantly
lower than the temperatures measured further in. For Chandra and XMM-Newton, temperature
measurements in the low surface brightness cluster outskirts are strongly
affected by the uncertainty in the particle background. We tested the influence
of the particle background on the Suzaku results by artificially changing the
normalization of the Night Earth spectra by a very conservative
(e.g., Tawa et al. 2008)
10% and
repeating the fitting procedure. We found that the new best fit temperatures are
consistent with the statistical uncertainty of the standard fit
(Fig. 1). This demonstrates that the results obtained here are not
affected significantly by uncertainties in the particle background subtraction.
We also attempted a temperature measurement with Chandra in the region 6.9-9.9'. The Chandra best fit temperature is consistent with the allowed Suzaku temperature range but the statistical uncertainty (excluding systematic effects due to the particle background) is too large for a meaningful constraint of the temperature with Chandra.
4 Discussion
We showed clear evidence that the temperature of this relaxed cluster
declines significantly when going from the inner to the outer regions.
This is expected
theoretically (e.g., Frenk et al. 1999). To compare, in detail, the result obtained
here to predictions, we overplotted in Fig. 3 (left) the
average temperature profile in cluster outskirts as determined with
hydrodynamical simulations of massive clusters by Roncarelli et al. (2006, Sample A in their
Table 2). These authors specifically studied the regions around the virial
radius. Note that magnetic fields and cosmic rays were not included in their
simulations.
For the comparison, we used
r200=11.75' and
keV.
The latter was calculated by taking the average of the best fit Chandra and XMM-Newton temperatures of the bins that include
0.3 r200 (shown in
Fig. 3, left). We excluded the Suzaku measurement because its broad
PSF makes an accurate determination at this radius difficult.
The temperature of the inner Suzaku bin shown is slightly higher but consistent with the prediction (keep in mind that, in general, regions left of bin centers carry more weight in the temperature determination than regions right of bin centers, because the surface brightness decreases rapidly with radius). As mentioned above and discussed in more detail below, this bin is strongly affected by PSF smearing, so the actual projected temperature may be lower. Due to the steep surface brightness profile, deprojection would likely result in only a minor increase of the temperature estimate. The important outer bin is much less affected by PSF and projection effects and is slightly lower but consistent with the prediction. In conclusion, the observed outer temperature profile is slightly steeper but consistent with a drop of a factor of 0.6 from 0.3 r200 to r200, as predicted by simulations.
We tested illustratively what the improvement in the uncertainty of a
total mass estimate is due to the improvement of the uncertainty of the
temperature profile provided by the Suzaku data. We fitted powerlaws to
the outermost XMM-Newton data point and the Chandra and Suzaku outermost data
points, respectively, taking into account the upper and lower statistical
(90%) errors of the latter two. Then we determined a fiducial total mass
using the best fit single
model parameters for the density profile
(from Reiprich & Böhringer 2002) and the powerlaw model parameters for the
temperature profiles, under the assumption of hydrostatic equilibrium.
Using the Chandra temperature we found
.
Using Suzaku we found
;
i.e., the
uncertainty due to the temperature profile decreased from 40-60% (Chandra) to 10% (Suzaku).
So, this represents a significant improvement of a factor of
5
(factor of
3 when taking into account the different exposure
times). Note that a full analysis of the total mass profile will be performed in a more in-depth
work.
In the following, we discuss and quantify several systematic effects. We discuss these issues here at some length because this is one of the first papers determining cluster properties out to r200, where the surface brightness is very low and systematic effects potentially quite important. In summary, we found that the combination of all quantified systematic effects is of the same order as the statistical uncertainty in the most relevant bin (7.5'-11.5'). The individual results of the tests are summarized in Table 2.
Table 2: Systematic uncertainties of the cluster temperature measurement in the bin 7.5'-11.5'.
We start with the particle background. The reproducibility of this background component for Suzaku is better than about 3% (e.g., Tawa et al. 2008). Here, we conservatively assumed 5% and found best fit temperatures and errors for the third bin as 4.66-0.65+0.81 keV and 4.32-0.54+0.77 keV. So, for Suzaku, this effect is very small.
Next, we discuss
the influence of Suzaku's PSF.
We performed ray tracing simulations using the xissim tool (Ishisaki et al. 2007) using
107 photons per energy and detector.
We assumed Abell 2204's surface brightness profile to follow the best double
model fit to the Chandra data. We followed a procedure very similar to the
one described by Sato et al. (2007) and
found that the second
bin (3.5'-7.5') is significantly (49%) contaminated by
emission originating in the cluster center (<3.5'). The most
important region, the third
bin (7.5'-11.5') is contaminated by 25%; i.e., a
relatively small fraction (see Fig. 3, right, for the contamination
fractions of this bin determined for XIS1, as a representative example). The energy
and detector dependence of the PSF were
found to be small enough to be negligible
here. The same is true for the fine details of the model for the surface
brightness profile, since we found very similar fractions when repeating
this analysis using the best fit double
model as obtained from ROSAT PSPC pointed data.
Naively, one could assume that a simple PSF contamination correction could be
performed, starting with the assumption that 49% of the emission in the
3.5'-7.5' bin comes from a plasma at
keV (Table 1).
However, this would not be accurate, as the Chandra and XMM-Newton data reveal a wide
range of temperatures at different distances from the cluster center
(Fig. 1). A detailed correction for the PSF effects, therefore,
requires a large number of ray tracing simulations to be performed, using fine
Chandra temperature bins, to determine precisely how much emission from
plasma at what temperature contaminates each of the Suzaku bins.
A detailed correction for the PSF effects is beyond the scope of this paper.
Such a correction will be performed in a more in-depth analysis, using
the longer Chandra observation of this cluster (Sanders et al. 2009) and the recently
updated effective area calibration.
Here, we follow a rather conservative route and quantify the changes in
temperature and uncertainty by assuming the temperature for the emission,
contaminating the important third bin, to lie in the range 6.0-8.0 keV.
Furthermore, we freeze the metallicities of the third bin to 0.2 and that of the
contaminating emission to 0.3. This results in the following best fit
temperatures and uncertainties:
keV
(for
keV) and
keV
(for
keV). Changing the metallicities of the third bin to
0.15 and 0.25 has a quite negligible influence on the best fit temperatures. The
same is true when changing the metallicity from the contaminating emission from
the second bin to 0.25 and 0.35.
In Table 2 and the calculation of the total systematic uncertainty
we use the more conservative (
keV) result.
We specifically designed the Suzaku observation in such a way as to have a cluster free region available to help constrain Galactic fore- and cosmic X-ray background directly and locally, using the same observation. This ensures that the results are not affected by systematic calibration differences between different satellites and varying point source subtraction fractions. Still, we checked whether the resulting parameter values are in a reasonable range. We found that the normalization of the powerlaw component expected from deep CXB studies using several different satellites is lower by factors 0.77-0.62 compared to our best fit normalization. We then froze the powerlaw normalization to the highest (Vecchi et al. 1999) and lowest (Revnivtsev et al. 2003) normalization we found in the literature, resulting in temperatures 6.08+0.98-0.82 and 6.84+1.17-0.72 keV, respectively, in the third bin. This procedure results in worse fits but note that, in the latter case, the temperature is significantly hotter than when leaving the powerlaw normalization free. Since intensity variations of the CXB may be correlated with large scale structure, we decided to use the independent ROSAT PSPC observation of Abell 2204 and fitted the same fore-/background model in the energy band 0.3-2.4 keV to the outskirts. We found that the normalization is fully consistent (factor 0.81-1.04) with the higher powerlaw normalization from the Suzaku data of Abell 2204. Moreover, we also found the temperature and normalization of the thermal component to be fully consistent with the Suzaku results. In particular, for the Galactic emission, we found temperatures of 0.25-0.01+0.02 keV (Suzaku) and 0.26-0.01+0.01 keV (ROSAT), quite typical of this foreground component; i.e., there was no indication of significant hot cluster or accretion shock emission ``contaminating'' annulus 4. We, therefore, conclude that our Galactic fore- and cosmic X-ray background modeling is adequate.
Recall that the purely statistical uncertainties on these fore- and background components are already included in our quoted statistical errors on the cluster temperatures because in our standard analysis we performed a simultaneous fit of all the astrophysical fore- and background components together with the cluster component; i.e, the relevant parameters for these models were all free to vary. For the calculation of the total systematic uncertainty, we additionally included effects, which relate to the modeling of the Galactic thermal emission as well as the spatial variation of the fore- and background components, as described in the following.
Several authors used more than one spectral component to model the Galactic foreground emission (e.g., Henley & Shelton 2008; Snowden et al. 2008; Sato et al. 2007). Therefore, we tried a two component foreground model (phabs*apec+apec) instead of a single component model (apec) for the Suzaku observation. As best fit temperatures for the Galactic components we found 0.28 keV for the absorbed component and 0.13 keV for the unabsorbed one, in good agreement with the typical values quoted by Snowden et al. (2008). Furthermore, the new powerlaw model normalization (representing the unresolved cosmic X-ray background) is only 2.5% lower than in the original fit. This change is much smaller than the statistical error on this normalization.
We found that the resulting new best fit cluster temperature in the most important and most affected third bin (7.5'-11.5') gets a bit higher but not significantly so (5.10 keV). On the one hand, this lends confidence to our approach; on the other hand, this result is also not too surprising since in our spectral analysis we ignored all photons with energies E<0.7 keV, so the cluster temperature measurements are by construction less sensitive to uncertainties in the soft fore- and background.
Also,
does not change by adding this additional
model component, showing that no significant improvement can be
achieved by adding this second thermal component for the data under
consideration here.
Moreover, the relative statistical uncertainties stay very similar, e.g., for the best fit cluster temperature in the third bin the errors at the 90% confidence level are -13% +18% (single thermal Galactic foreground model) and -15% +21% (double thermal Galactic foreground model); therefore, the simple single thermal model does not result in a significant underestimate of statistical errors. In our systematic error analysis we do include the model dependence in the final error.
Last not least, we tested the double thermal model in the ROSAT analysis of the foreground emission. We found very similar best fit temperatures for the Galactic components (absorbed 0.25 keV, unabsorbed 0.13 keV), although ROSAT's poor energy resolution results in significantly enlarged errors for the temperatures of the two thermal components (the two temperature ranges overlap; degeneracies cannot be broken, resulting in an unstable error analysis). The change in the powerlaw normalization is again well within the statistical uncertainty.
Next, we tested the influence of a possible spatial variation of the fore- and background estimates. The regions selected for the fore- and background analysis in the ROSAT observation differ from those in the Suzaku observation. Therefore, we refit the Suzaku data but this time not letting the powerlaw and thermal component vary freely but, separately, freezing them to the values determined from the ROSAT observation (after correction for the different covered areas). The best fit cluster temperatures for the third bin do not change significantly. They are 4.81-0.65+0.81 keV (foreground apec model frozen) and 4.95-0.66+0.85 keV (background powerlaw model frozen). Both effects are included in the total systematic error analysis.
The Monte Carlo ARF calculation using xissimarfgen requires a priory knowledge
of the cluster surface brightness distribution, which we provided using a double
model fit to the surface brightness measured with Chandra. We tested the
influence of deviations from this assumed distribution on the cluster
temperature measurements by instead generating ARFs using the best fit double
model from the ROSAT observation. The resulting best fit temperature in
the third bin was almost unchanged (4.50 keV).
We assumed that the ``cluster free'' region (the forth bin) contains negligible cluster emission and argued that the best fit temperature for the Galactic foreground emission we found supports this assumption. Nevertheless, we performed an additional test to estimate the contribution of this assumption to the total systematic error. To this end, we determined a rough surface brightness profile using bins 1 through 3 and extrapolated it by conservatively assuming the surface brightness to drop by a factor of 5 from bin 3 to bin 4. Furthermore, we assumed a temperature of 2 keV and a metallicity of 0.2 solar in bin 4. We then included this cluster component in the model for bin 4, in addition to the fore- and background components, and redid the full simultaneous fit. The resulting new best fit cluster temperature in bin 3 is 4.73 keV; i.e., slightly higher than the original fit result but not significantly so. This rather small change is expected because the extrapolated surface brightness of this fourth bin is much lower than the surface brightness of the powerlaw background component. Therefore, the new normalization of the powerlaw background component is also only slightly lower (7%) compared to the original one. A detailed determination and discussion of the surface brightness profile and especially its error will be presented in a subsequent paper. We do add the effect of the possible cluster emission in bin 4 to the systematic error budget.
Some of the systematic effects described above raise the temperature (e.g., using a double thermal model for the Galactic foreground emission) others lower it (e.g., roughly accounting for PSF effects). To estimate the total systematic error as well as the combined statistical plus systematic error, we used the following scheme. We separately added all positive and negative errors from Table 2 in quadrature, resulting in a total systematic error -0.70+0.88 keV. The total systematic error is, therefore, slightly larger but of the same order as the statistical uncertainty ( -0.59+0.79 keV). Then, we added the systematic and statistical errors in quadrature, resulting in a combined statistical plus systematic error -0.91+1.18 keV (shown as dashed error bars in Fig. 3).
For the comparison to simulated temperature profiles, the uncertainty of r200 as estimated from the extrapolated XMM-Newton density and temperature profiles may be important. For instance, using a cluster mean temperature and the relation of Evrard et al. (1996) would result in a larger value for r200. Also, Arnaud et al. (2005) determined r200 = 2075 kpc using the same XMM-Newton data, probably due to the flatter temperature profile they found. This would make the observed temperature drop even steeper in terms of r200, potentially resulting in tension between observation and simulations. We will redetermine r200 from the cluster mass profile, taking advantage of the information on the outer temperature from Suzaku in the more in-depth analysis of this cluster. It is reassuring to note that further corroboration for the r200 estimate used here comes from the independent weak lensing analysis of this cluster (Clowe & Schneider 2002), yielding r200=11.8', in perfect agreement with our estimate.
The confirmation of the predictions from hydrodynamical simulations for the gas physics in cluster outskirts indicated here rests on the analysis of a single cluster. What is required for a general confirmation is the analysis of a statistical sample of clusters. In the future, this can be performed with dedicated cluster observations accumulating rapidly in the Suzaku archive.
Acknowledgements
T.H.R. acknowledges the hospitality of Tokyo Metropolitan University. We thank T. Erben, G. Hasinger, O.-E. Nenestyan, and P. Schneider for help in the early stages of this work, M. Markevitch for comments on the paper, and M. Roncarelli for sending electronic data tables of simulated clusters. T.H.R., D.S.H., Y.Y.Z. acknowledge support by the Deutsche Forschungsgemeinschaft through Emmy Noether Research Grant RE 1462/2 and by the German BMBF through the Verbundforschung under grant No. 50 OR 0601. K.S. acknowledges support by the Ministry of Education, Culture, Sports, Science and Technology of Japan, Grant-in-Aid for Scientific Research No. 19840043. N.O. thanks the Alexander von Humboldt Foundation for support.
References
- Allen, S. W., Schmidt, R. W., & Fabian, A. C. 2001, MNRAS, 328, L37 [NASA ADS] [CrossRef]
- Anders, E., & Grevesse, N. 1989, Geochim. Cosmochim. Acta, 53, 197 [NASA ADS] [CrossRef] (In the text)
- Arnaud, M., Pointecouteau, E., & Pratt, G. W. 2005, A&A, 441, 893 [NASA ADS] [CrossRef] [EDP Sciences]
- Clowe, D., & Schneider, P. 2002, A&A, 395, 385 [NASA ADS] [CrossRef] [EDP Sciences] (In the text)
- De Grandi, S., & Molendi, S. 2002, ApJ, 567, 163 [NASA ADS] [CrossRef]
- Evrard, A. E., Metzler, C. A., & Navarro, J. F. 1996, ApJ, 469, 494 [NASA ADS] [CrossRef] (In the text)
- Frenk, C. S., White, S. D. M., Bode, P., et al. 1999, ApJ, 525, 554 [NASA ADS] [CrossRef] (In the text)
- Fujimoto, R., Mitsuda, K., Mccammon, D., et al. 2007, PASJ, 59, 133 [NASA ADS] (In the text)
- Fujita, Y., Tawa, N., Hayashida, K., et al. 2008, PASJ, 60, S343 [NASA ADS] (In the text)
- Fukazawa, Y. 1997, Ph.D. Thesis, Univ. Tokyo
- George, M. R., Fabian, A. C., Sanders, J. S., Young, A. J., & Russell, H. R. 2008, MNRAS, accepted [arXiv:0807.1130] (In the text)
- Henley, D. B., & Shelton, R. L. 2008, ApJ, 676, 335 [NASA ADS] [CrossRef]
- Hudson, D. S., Mittal, R., Reiprich, T. H., et al. 2009, A&A, submitted (In the text)
- Hudson, D. S., & Reiprich, T. H. 2007, in Heating vs. Cooling in Galaxies and Clusters of Galaxies, ed. H. Böhringer, G. W. Pratt, A. Finoguenov, & P. Schuecker (Berlin, Germany: ESO Astrophysics Symposia, Springer Verlag), 42
- Hudson, D. S., Reiprich, T. H., Clarke, T. E., & Sarazin, C. L. 2006, A&A, 453, 433 [NASA ADS] [CrossRef] [EDP Sciences] (In the text)
- Irwin, J. A., & Bregman, J. N. 2000, ApJ, 538, 543 [NASA ADS] [CrossRef]
- Irwin, J. A., Bregman, J. N., & Evrard, A. E. 1999, ApJ, 519, 518 [NASA ADS] [CrossRef]
- Ishisaki, Y., Maeda, Y., Fujimoto, R., et al. 2007, PASJ, 59, 113 [NASA ADS] (In the text)
- Kalberla, P. M. W., Burton, W. B., Hartmann, D., et al. 2005, A&A, 440, 775 [NASA ADS] [CrossRef] [EDP Sciences], http://www.astro.uni-bonn.de/~webrai/english/tools_labsurvey.php (In the text)
- Kotov, O., & Vikhlinin, A. 2005, ApJ, 633, 781 [NASA ADS] [CrossRef]
- Kushino, A., Ishisaki, Y., Morita, U., et al. 2002, PASJ, 54, 327 [NASA ADS] (In the text)
- Leccardi, A., & Molendi, S. 2008, A&A, 486, 359 [NASA ADS] [CrossRef] [EDP Sciences]
- Markevitch, M., Forman, W. R., Sarazin, C. L., & Vikhlinin, A. 1998, ApJ, 503, 77 [NASA ADS] [CrossRef]
- Markevitch, M., Mushotzky, R., Inoue, H., et al. 1996, ApJ, 456, 437 [NASA ADS] [CrossRef]
- Mitsuda, K., Bautz, M., Inoue, H., et al. 2007, PASJ, 59, 1 [NASA ADS] (In the text)
- Piffaretti, R., Jetzer, P., Kaastra, J. S., & Tamura, T. 2005, A&A, 433, 101 [NASA ADS] [CrossRef] [EDP Sciences]
- Pratt, G. W., Böhringer, H., Croston, J. H., et al. 2007, A&A, 461, 71 [NASA ADS] [CrossRef] [EDP Sciences]
- Reiprich, T. H., & Böhringer, H. 2002, ApJ, 567, 716 [CrossRef] (In the text)
- Revnivtsev, M., Gilfanov, M., Sunyaev, R., Jahoda, K., & Markwardt, C. 2003, A&A, 411, 329 [NASA ADS] [CrossRef] [EDP Sciences] (In the text)
- Roncarelli, M., Ettori, S., Dolag, K., et al. 2006, MNRAS, 373, 1339 [NASA ADS] [CrossRef] (In the text)
- Sanders, J. S., Fabian, A. C., & Taylor, G. B. 2005, MNRAS, 356, 1022 [NASA ADS] [CrossRef] (In the text)
- Sanders, J. S., Fabian, A. C., & Taylor, G. B. 2009, MNRAS, 393, 71 [NASA ADS] [CrossRef] (In the text)
- Sato, K., Yamasaki, N. Y., Ishida, M., et al. 2007, PASJ, 59, 299 [NASA ADS] (In the text)
- Schuecker, P., Böhringer, H., Reiprich, T. H., & Feretti, L. 2001, A&A, 378, 408 [NASA ADS] [CrossRef] [EDP Sciences] (In the text)
- Snowden, S. L., Mushotzky, R. F., Kuntz, K. D., & Davis, D. S. 2008, A&A, 478, 615 [NASA ADS] [CrossRef] [EDP Sciences]
- Solovyeva, L., Anokhin, S., Sauvageot, J. L., Teyssier, R., & Neumann, D. 2007, A&A, 476, 63 [NASA ADS] [CrossRef] [EDP Sciences] (In the text)
- Struble, M. F., & Rood, H. J. 1987, ApJS, 63, 543 [NASA ADS] [CrossRef] (In the text)
- Sun, M., Voit, G. M., Donahue, M., et al. 2008, ApJ, accepted, [arXiv:0805.2320]
- Tawa, N., Hayashida, K., Nagai, M., et al. 2008, PASJ, 60, S11 (In the text)
- Vecchi, A., Molendi, S., Guainazzi, M., Fiore, F., & Parmar, A. N. 1999, A&A, 349, L73 [NASA ADS] (In the text)
- Vikhlinin, A., Markevitch, M., Murray, S. S., et al. 2005, ApJ, 628, 655 [NASA ADS] [CrossRef]
- White, D. A. 2000, MNRAS, 312, 663 [NASA ADS] [CrossRef]
- Zhang, Y.-Y., Finoguenov, A., Böhringer, H., et al. 2004, A&A, 413, 49 [NASA ADS] [CrossRef] [EDP Sciences]
- Zhang, Y.-Y., Finoguenov, A., Böhringer, H., et al. 2008, A&A, 482, 451 [NASA ADS] [CrossRef] [EDP Sciences] (In the text)
Footnotes
- ... rigidity
- See http://www.astro.isas.jaxa.jp/suzaku/analysis/xis/nte/ for details. Additionally, we discarded a very small fraction of events by requiring T_SAA_HXD > 436, resulting in 795 ks total exposure time.
- ... presentation
- http://cxc.harvard.edu/ccw/proceedings/07_proc/presentations/david/
All Tables
Table 1: Best fit Suzaku cluster temperatures, metallicities, and the corresponding statistical uncertainties (90% confidence level) of the four radial bins.
Table 2: Systematic uncertainties of the cluster temperature measurement in the bin 7.5'-11.5'.
All Figures
![]() |
Figure 1: Left panel: Suzaku image of A2204 combining all four XIS detectors. Also indicated are the regions used for the spectral analysis (green) and the estimated r200 (white). The outermost annulus (annulus 4, beyond r200) was used to aid in the local fore- and background estimation. The elliptical region contains emission from unrelated sources and was excluded from the spectral analysis. Right panel: gas temperatures as function of radius as measured with Suzaku (filled circles), XMM-Newton (diamonds), and Chandra (triangles). For each Suzaku bin three temperatures are shown. The upper and lower temperature values were obtained by artificially decreasing and increasing the particle background normalization by 10%, respectively. The bins are slightly offset in this plot for clarity. All errors are given at the 90% confidence level. |
Open with DEXTER | |
In the text |
![]() |
Figure 2:
Left panel: particle background subtracted Suzaku spectra
from all four regions (innermost region at the top, outermost region at the
bottom) and from all four detectors (e.g., for the innermost region: black:
XIS0, red: XIS1, green: XIS2, blue: XIS3). Also shown are
the models (total, cluster, and combined Galactic fore- and cosmic X-ray
background) from the simultaneous fit as well as the residuals in terms of
standard deviations. There are no strong systematic deviations for any of the
regions or detectors.
Right panel: same as left but only for bin 3 (7.5'-11.5'). In this
plot the Galactic fore- and cosmic X-ray background models are shown separately,
and the subtracted particle background is also given (by the thicker data points
at the bottom). The cluster emission dominates over the other components only in
the range |
Open with DEXTER | |
In the text |
![]() |
Figure 3:
Left panel:
observed outer temperature profile compared
to profile and scatter predicted by hydrodynamical simulations of
Roncarelli et al. (2006, solid lines). Symbols have the same meaning as in
Fig. 1. For clarity, only the two Chandra and XMM-Newton data
points are shown that were used to determine
|
Open with DEXTER | |
In the text |
Copyright ESO 2009
Current usage metrics show cumulative count of Article Views (full-text article views including HTML views, PDF and ePub downloads, according to the available data) and Abstracts Views on Vision4Press platform.
Data correspond to usage on the plateform after 2015. The current usage metrics is available 48-96 hours after online publication and is updated daily on week days.
Initial download of the metrics may take a while.