| Issue |
A&A
Volume 501, Number 3, July III 2009
|
|
|---|---|---|
| Page(s) | 1059 - 1071 | |
| Section | Stellar atmospheres | |
| DOI | https://doi.org/10.1051/0004-6361/200810752 | |
| Published online | 27 March 2009 | |
Physical parameters of T dwarfs derived from high-resolution near-infrared spectra
C. del Burgo1 - E. L. Martín2,3 - M. R. Zapatero Osorio2 - P. H. Hauschildt4
1 - School of Cosmic Physics, Dublin Institute for Advanced Studies, Dublin 2, Ireland
2 -
Instituto de Astrofísica de Canarias, 38200, La Laguna, Tenerife, Spain
3 -
University of Central Florida, Physics Department, PO Box 162385, Orlando, FL32816, USA
4 -
Hamburger Sternwarte, Gojenbergsweg 112, 21029 Hamburg, Germany
Received 5 August 2008 / Accepted 26 February 2009
Abstract
Aims. We determine the effective temperature, surface gravity and projected rotational velocity of nine T dwarfs from the comparison of high-resolution near-infrared spectra and synthetic models, and estimate the mass and age of the objects from state-of-the-art models.
Methods. We use the AMES-COND cloudless solar metallicity models provided by the PHOENIX code to match the spectra of nine T-type field dwarfs observed with the near-infrared high-resolution spectrograph NIRSPEC using ten echelle orders to cover part of the J band from 1.147 to 1.347
m with a resolving power
.
The projected rotational velocity, effective temperature and surface gravity of the objects are determined based on the minimum root mean square of the differences between the modelled and observed relative fluxes. Estimates of the mass and age of the objects are obtained from effective temperature-surface gravity diagrams, where our results are compared with existing solar metallicity models.
Results. The modelled spectra reproduce quite well the observed features for most of the T dwarfs, with effective temperatures in the range of 922-1009 K, and surface gravities between 104.1 and 104.9 cm s-2. Our results support the assumption of a dust free atmosphere for T dwarfs later than T5, where dust grains form and then gravitationally sediment into the low atmosphere. The modelled spectra do not accurately mimic some individual very strong lines like the K I doublet at 1.2436 and 1.2525
m. Our modelled spectra does not match well the observed spectra of the two T dwarfs with earlier spectral types, namely SDSSp J125453.90-012247.4 (T2) and 2MASS J05591914-1404488 (T4.5), which is likely due to the presence of condensate clouds that are not incorporated in the models used here. By comparing our results and their uncertainties to evolutionary models, we estimate masses in the interval
for T dwarfs later than T5, which are in good agreement with those found in the literature. We found apparent young ages that are typically between 0.1 and a few Gyr for the same T dwarfs, which is consistent with recent kinematical studies.
Key words: stars: fundamental parameters - stars: atmosphers - stars: low-mass, brown dwarfs
1 Introduction
The first near-infrared spectrum of a T dwarf (Gl 229B) showed a predominance of methane (CH4) bands that made it look similar to that of Jupiter (Oppenheimer et al. 1995) despite of a difference in temperature of about 800 K. Atmospheric models were soon developed to fit the spectrum of Gl 229B to estimate its surface gravity, effective temperature, age and mass (Allard et al. 1996; Marley et al. 1996; Tsuji et al. 1996). These models indicated that the atmosphere of this brown dwarf was free from dust grains, which were needed to explain the properties of the warmer L dwarfs (Allard et al. 1997). The dust grains in Gl 229B could be condensed in clouds dominated by organic compounds (Fegley et al. 1996; Griffith et al. 1998). It has also been proposed that a warm dust layer could be present deep inside the photosphere (Tsuji et al. 1999) and that the alkali resonance lines have very strong pressure-broadened red wings that provide a significant source of opacity at near-infrared wavelengths (Burrows et al. 2000).
The discovery of free-floating objects similar to Gl 229B (Burgasser et al. 1999; Cuby et al. 1999; Strauss et al. 1999) indicated that these objects are numerous in the solar vicinity. A unified near-infrared classification scheme for T dwarfs has been defined by Burgasser et al. (2006a). Theoretical models provide a good correspondence to the broad-band colors and low-resolution spectra of T dwarfs (Burrows et al. 2006). Currently, the coolest T dwarfs known have estimated effective temperatures between 600 K and 700 K (Warren et al. 2007; Delorme et al. 2008).
Most modelling efforts on T dwarfs have concentrated on fitting broad-band
colors and low-resolution spectra, and deriving atmospheric parameters
by comparing the data with synthetic spectra (Cushing et al. 2008;
Leggett et al. 2007; Saumon et al. 2007, 2006;
Burgasser et al. 2006b; Tsuji et al. 2005, 2004; Burgasser et al. 2004). Martín & Zapatero Osorio (2003)
estimated the surface gravity and effective temperature of one T dwarf from
a mid-resolution near-infrared spectrum. High-resolution (
)
observations in the J-band obtained with NIRSPEC on the Keck II telescope
are now available (Zapatero Osorio et al. 2006; Mc Lean et al. 2007).
Modelling the atmospheres and spectra of T dwarfs presents a set of challenges. In the AMES-COND models used in this work (Allard et al. 2001), the profile of individual strong IR lines are approximated by Voigt profiles with estimated damping constants as no better data are currently available for these lines. The line databases for molecules such as FeH, CaH, CH4 are not complete and in many cases lack accuracy. However, in general the molecular line data are quite good as data sources such as HITRAN are of high quality. The lower the effective temperatures are, the better the completeness of the molecular line data as the (comparatively) less accurate higher energy levels are less populated and thus have smaller effects at lower temperatures.
In the AMES-COND models a dust-free configuration is used,
where the dust particles form but do not contribute to the opacities
(Allard et al. 2001).
This assumption should be reasonable for cool T dwarfs, but will become
progressively worse for effective temperatures above
1200 K.
Overall, the systematic errors are still considerably larger than,
e.g., for solar type stars, but the situation can only improve if
more comparison between models and data are made to identify the
areas where improvements are most urgently needed.
In this paper, we present the first comparison with AMES-COND models of high-resolution near-infrared spectra of a sample of nine T dwarfs observed by Zapatero Osorio (2006) that are used to derive their physical parameters. A summary of the observations used here is given in Sect. 2. Section 3 is devoted to the analysis of the data. The results are presented in Sect. 4. Section 5 contains the discussion of our results, and finally, Sect. 6 contains our conclusions.
2 Observations, models and data preparation
2.1 Observations
High-resolution near-infrared spectra in the J-band of nine T dwarfs
were obtained using the Keck II telescope and the NIRSPEC spectrograph.
The instrumental setup was chosen to provide a wavelength coverage from
1.148 up to 1.346
m split into ten different orders, a nominal dispersion
ranging from 0.164 (blue wavelengths) to 0.191 Å pix-1 (red wavelengths),
and a final resolution element of 0.55-0.70 Å at 1.2485
m (roughly
the central wavelength of the spectra), corresponding to a resolving power
R=17 800-22 700. A detailed description of the observations and data reduction
is provided in Zapatero Osorio et al. (2006, hereinafter ZO06), who presented
the T dwarfs that we used in this study.
In our spectroscopic analysis we have used as many echelle orders as possible:
from order 57 up to order 66; this depends on the quality (in terms
of signal-to-noise ratio) of the observed spectra. Table 2 in McLean et al. (2007) summarizes the wavelength and dispersion properties of each of the
J-band NIRSPEC echelle orders 58 to 65 for the same instrumental configuration
that we have used here.
Order 57 covers the wavelength interval 1.327-1.347
m with
a nominal dispersion of 0.191 Å pix-1. Order 66 covers the range
1.147-1.164
m with a nominal dispersion of 0.167 Å pix-1.
![]() |
Figure 1:
Variation of the strong K I doublet at 1.2436 and 1.2525 |
| Open with DEXTER | |
Figure 1 shows, as an example, the order 61 with the presence of
the K I doublet at 1.2436 and 1.2525
m, for all the T dwarfs.
2.2 Description of atmosphere models
The PHOENIX code (Hauschildt & Baron 1999) is a general purpose stellar atmosphere modelling package that includes very complex atomic models and line blanketing by hundreds of millions of atomic and molecular lines. The code can be used to compute model atmospheres and synthetic spectra of cool objects. The radiative transfer in PHOENIX is solved in spherical geometry using an operator splitting method (Hauschildt 1992, 1993). At the low temperatures of the brown dwarfs, a rich chemistry in the atmospheres of these objects is present, with hundreds of gas-phase species, liquids and crystals, and the formation of tens of different types of dust grains (e.g., silicates, amorphous carbon, iron). There are four different scenarios for the dust formation considered in PHOENIX, among which is the AMES-COND cloudless models (Allard et al. 2001).
Here we used a grid of the AMES-COND v2.2 models and synthetic spectra
of solar metallicity, with effective temperatures
ranging from
700 to 3000 K (steps of 100 K) and surface gravities
ranging
from 3.0 to 5.5 (steps of 0.5) with g in cm s-2, to mimic the
observed spectra of T dwarfs.
The AMES-COND v2.2 models use the H2O line list of Barber et al. (2006), the FeH list of Dulick et al. (2003), and the damping constants used for the K I lines are published in Allard et al. (2003).
Figure 2 illustrates the identification of some
near-infrared features over a synthetic spectrum with
,
K and
.
Most features are due to water vapor, and the only visible atomic
lines are due to the K I doublet at 1.25
m.
Figure 3 shows the variations of the synthetic spectra for a
surface gravity of
and different effective temperatures
from 700 to 1100 K. We note the strong change of the K I doublet
at 1.2436 and 1.2525
m with temperature. Figure 4
shows the variations of the synthetic spectra for various
(from 3.5 to 5.5) and the same
K.
2.3 Data preparation
![]() |
Figure 2:
Synthetic flux versus wavelength.
Identifications of some features of a synthetic spectrum
with
|
| Open with DEXTER | |
![]() |
Figure 3:
Synthetic flux versus wavelength. Models with
|
| Open with DEXTER | |
![]() |
Figure 4:
Synthetic flux versus wavelength. Models with
|
| Open with DEXTER | |
All of our observed spectra were moved to vacuum wavelengths (i.e., laboratory frame of reference) for a proper comparison with the theoretical models. This was done from a cross-correlation analysis. In a first iteration, we used the radial velocities published in Zapatero Osorio et al. (2007). Then, we determined the atmospheric parameters for each T dwarf as explained later and used the corresponding synthetic spectra as templates to recompute the radial velocities. New atmospheric parameters were thus obtained consistently with the recalculated radial velocities. We note that our radial velocities are in agreement, within the errors, with those of Zapatero Osorio et al. (2007).
The grid of PHOENIX synthetic spectra were modified in order to be
compared with the NIRSPEC observations.
First, the synthetic spectra were transformed to take into account
the projected rotational velocity
(
)
of the objects using the formalism of Gray (1992),
with a limb darkening parameter
.
A grid of models
with projected rotational velocities between 10 and 50 km s-1, with
steps of 1 km s-1, were generated. These spectra were also convolved
with a Gaussian that mimics the instrumental profile along the
dispersion axis for each order. The resulting modelled spectra were
rebinned to the same resolution of the observations. Modelled spectra
are normalized over the wavelength range corresponding to order 59.
All these steps were performed using our own programmes.
Table 1:
SDSSp J125453.90-012247.4. Synthetic and observed spectra comparison
for all orders: rms, N,
,
and
.
Table 2:
2MASS J05591914-1404488. Synthetic and observed spectra comparison
for all orders: rms, N,
,
and
.
3 Analysis
In order to constrain the number of possible solutions provided by our large
set of models, the root-mean-square rms
,
,
)
is obtained for each model:
![]() |
(1) |
where i stands for i-pixel in the spectral axis,
Table 3:
2MASS J15031961+2525196. Synthetic and observed spectra comparison
for all orders: rms, N,
,
and
.
Table 4:
SDSS J162414.37+002915.6. Synthetic and observed spectra comparison
for all orders: rms, N,
,
and
.
Table 5:
SDSS J134646.45-003150.4. Synthetic and observed spectra comparison
for all orders: rms, N,
,
and
.
Table 6:
2MASS J15530228+1532369. Synthetic and observed spectra comparison
for all orders: rms, N,
,
and
.
Table 7:
2MASS J12171110-0311131. Synthetic and observed spectra comparison
for all orders: rms, N,
,
and
.
Table 8:
GL 570D. Synthetic and observed spectra comparison
for all orders: rms, N,
,
and
.
Table 9:
2MASS J04151954-0935066. Synthetic and observed spectra comparison
for all orders: rms, N,
,
and
.
Tables 1-9 show the values of
,
,
and
corresponding to the model that minimizes
the rms for each echelle order.
The total number of pixels N used in the comparison is also listed.
For order 60, the wavelength range between 1.268 and 1.270
m is excluded
from the comparison because of the presence of strong telluric lines
that practically blocked any signal from the targets. To avoid border
effects, a few pixels at both sides of each echelle order have been
rejected.
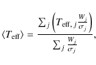
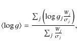
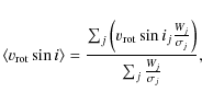
3.1 Average physical parameters
Table 10: Weights of echelle orders.
We compute the average values of
,
,
and
for each object in our sample by combining the various values obtained for the
different echelle orders according to the following equations:
![]() |
(2) |
![]() |
(3) |
![]() |
(4) |
where
Figure 5 shows, as an example, some contours of equal rms (Root mean square) around the solution (
,
)
for GL570D, with
km s-1. The isocontour of the rms of 1.25 times
the minimum rms enclose values of
of
dex and
of
K around the solution. In general, the isocontours of the rms enclose a unique solution with a broad range of values of gravity and temperature around the solution.
![]() |
Figure 5:
Contours with rms = 1.25 (thick lines) and 1.5 (thin lines) times the value of the minimum rms for orders 59 (solid lines) and 60 (dashed lines). Location of (
|
| Open with DEXTER | |
3.2 Best modelled spectra
We have computed the modelled spectra determined from
the average effective physical parameters determined in Sect. 3.1
(hereinafter, best modelled spectra).
We have used a bilinear interpolation to compute the synthetic models corresponding
to
and
from our AMES-COND model grid. This
bilinear interpolation has been done using the logarithm of the synthetic fluxes.
We first proved that a linear interpolation in both axes was appropriate.
We fixed
at 1000 K and used the corresponding
synthetic models at
and
to compute interpolated spectra at
.
We also fixed
and
used the corresponding synthetic models at
K and 1100 K
to compute the interpolated spectra at
K. We then applied the
same steps described in Sect. 2.3 to compare the synthetic spectra to our observations.
The differences between the interpolated and synthetic models are
typically of a few per cent. The largest differences of 10% observed between the spectra
were obtained for the echelle order 57 with a null rotational broadening.
For the rest of the echelle orders the differences were generally below 1%.
![]() |
Figure 6: SDSSp J125453.90-012247.4. Black and red lines correspond to the observed and modelled spectra, respectively. The model is for an effective temperature of 2000 K and a surface gravity of 104.3 cm s-2. |
| Open with DEXTER | |
![]() |
Figure 7:
2MASS J05591914-1404488. Black line corresponds to the observed
spectrum, and red and blue lines correspond to modelled
spectra with the same
g=104.9 cm s-2 and
|
| Open with DEXTER | |
![]() |
Figure 8:
2MASS J15031961+2525196. Black and red lines correspond to the observed and
modelled spectra, respectively. The model is for an effective temperature
|
| Open with DEXTER | |
![]() |
Figure 9: SDSS J162414.37+002915.6. Black and red lines correspond to the observed and modelled spectra, respectively. The model is for an effective temperature of 980 K and a surface gravity of 104.8 cm s-2. |
| Open with DEXTER | |
![]() |
Figure 10: SDSS J134646.45-003150.4. Black and red lines correspond to the observed and modelled spectra, respectively. The model is for an effective temperature of 990 K and a surface gravity of 104.1 cm s-2. |
| Open with DEXTER | |
![]() |
Figure 11: 2MASS J15530228+1532369. Black and red lines correspond to the observed and modelled spectra, respectively. The model is for an effective temperature of 941 K and a surface gravity of 104.6 cm s-2. |
| Open with DEXTER | |
![]() |
Figure 12: 2MASS J12171110-0311131. Black and red lines correspond to the observed and modelled spectra, respectively. The model is for an effective temperature of 922 K and a surface gravity of 104.8 cm s-2. |
| Open with DEXTER | |
![]() |
Figure 13:
GL 570 D. Black line corresponds to the observed spectrum,
and red and blue lines correspond to modelled spectra with the same
g=104.5 cm s-2 and
|
| Open with DEXTER | |
![]() |
Figure 14: 2MASS J04151954-0935066. Black and red lines correspond to the observed and modelled spectra, respectively. The model is for an effective temperature of 947 K and a surface gravity of 104.3 cm s-2. |
| Open with DEXTER | |
Figures 6-14 show the observations and modelled spectra for our list of T dwarfs.
4 Results
4.1 Near-infrared absorption features of T dwarfs
As observed by McLean et al. (2007), the J-band spectral morphology
at
of T dwarfs shows a dense population of weak absorption
features and a few relatively strong lines. The fine-scale spectral
structure is mainly associated with H2O, and the strong
atomic features are doublets of K I that appear in orders 61 and
65. The strong K I doublet in order 61, at wavelengths 1.2436 and
1.2525
m, deepen towards earlier Ts (see Fig. 1).
We note that the lines of this doublet in SDSS J134646.45-003150.4
are stronger than what would be expected according to
its spectral type (T6.5).
FeH lines in orders 62 and 63 are weaker towards later Ts. Some
absorption around 1.222
m may be present even at T4.5.
Those at 1.24637 and 1.24825
m FeH in order 61 are
not visible in T dwarfs. Order 64 is dominated by sharp and deep
H2O absorption features. This is also the case of order 66,
and more dramatically for order 57, with the strongest H2O
absorption in the observed range.
Order 65 shows the other K I doublet and changes
with spectral type. It also contains many strong intrinsic transitions
of hot H2O, like the feature at 1.175
m.
In general, our observed spectra are well reproduced by the
best modelled spectra. In a few cases we have found some small
differences. This is the case of 2MASS J15031961+2525196 (T5) (see
Fig. 8), where the best model is found for
and
K. The observed K I doublet in order 61 is
not perfectly reproduced by the model. We also note some
differences in orders 59 and 58. Small differences in these orders
are also present in SDSS J162414.37+002915.6 (T6) (see Fig. 9). These are much smaller in later spectral types
(e.g., SDSS J134646.45-003150.4 (T6.5), see Fig. 10).
For late T dwarfs, with faint K I doublets, the models provide
an excellent match to the observations for all the orders, with a
few exceptions such as the order 61 in 2MASS J12171110-0311131
(see Fig. 12), where the model is flat towards the
blue region. We note that the observed spectrum may be affected
by errors in the flat-fielding. Note also that there is
a faint line of K I at 1.2525
m in the best modelled spectra
for order 61 of GL 570 D that disappears when considering an
effective temperature 48 K lower (see Fig. 13).
The two earlier T dwarfs of our sample, SDSSp J125453.90-012247.4
and 2MASS J05591914-1404488, present significant differences
between the best modelled and observed spectra.
The modelled spectrum corresponding to the average values
(
K and
)
in 2MASS J05591914-1404488
fails to mimic order 57 with many water vapor lines. The
K I doublet at 1.2436 and 1.2525
m, very sensitive
to temperature, is also difficult to reproduce. Order 57 is clearly
better modelled with a higher temperature
K.
4.2 Physical parameters of T dwarfs
4.2.1 Rotation, effective temperature and surface gravity
For our list of nine T dwarfs, we have determined their projected
rotational velocity (
), effective temperature and
surface gravity from the comparison of the high resolution spectra
with the AMES-COND models (see Table 11).
The rotational velocities determined here from modelled spectra are
in good agreement (i.e., within 1-
uncertainties)
with those obtained by ZO06, who used SDSS J134646.45-003150.4 as a non-rotator
reference to measure the
parameter of the
sample (i.e., they assumed
for this object).
With the exception of 2MASS J12171110-0311131, our values are, indeed,
systematically higher by a few km s-1, which is expected since
the template used by ZO06 has a small rotation of 16 km s-1according to our analysis.
The effective temperatures of the T dwarfs with spectral types later
than T5 are between 922 and 1009 K, with errors between
50 and 200 K
(see Table 11).
The surface gravities of those objects lie between 104.1
and 104.9 cm s-2, and errors are of
0.7 dex.
In Sects. 5.2 and 5.3 we
discuss our results on
and
.
Table 11: Projected rotational velocity, temperature, surface gravity, mass and age of T dwarfs.
4.2.2 Mass and age
We have estimated the mass and age of our T dwarfs using state-of-the-art
evolutionary models.
Our spectroscopically derived values
and
are plotted in the two panels of Fig. 15. The T2V dwarf
SDSSp J125453.90-012247.4 is discarded from the figure since
the modelled spectra found here do not reproduce the observations
satisfactorily. Therefore, only mid- and late-T dwarfs are shown in
the
versus
diagram, which we remark is independent
of the distance to the sources. Figure 15 (top) shows,
overplotted on the data, the solar metallicity models by
the Lyon group (Baraffe et al. 2003), with isochrones (from 10 Myr to 10 Gyr)
and curves of constant mass (5, 10, 20, 30, and 50
).
Figure 15 (bottom) shows our data with
the solar metallicity models by the Arizona group (Burrows et al. 1997):
isochrones (10 Myr, 0.1, 1 and 10 Gyr) and curves of constant mass (5, 10, 20,
30, 50, 70 and 75
).
Table 11 shows the values
of mass and age for our sample of T dwarfs that are derived from the
versus
diagram using the models of the Lyon group.
The mass and age uncertainty intervals are inferred from the error bars in
the effective temperature and surface gravity.
Summarizing, all these objects have a mass in the interval
5-75
,
thus confirming their very likely substellarity,
and likely ages that interestingly seem to be younger than
the solar system. We note, however, that considering the large
error bars, most of the T dwarfs in our sample may have an age consistent
with a few to several Gyr. For GL 570 D and 2MASS J04151954-0935066
we have derived an age upper limit of 2 Gyr, and only for
SDSS J134646.45-003150.4 the upper limit is below 1 Gyr.
![]() |
Figure 15:
Diagram
|
| Open with DEXTER | |
5 Discussion
5.1 Modelled and observed spectra
Most of the lines in a T dwarf are due to water vapor. A few atomic lines can be identified, but some of them, e.g. the Rb I line, are very weak compared to the haze of molecular lines.
In general, the modelled spectra match remarkably well the
high-resolution observed spectra. We note only that the profiles
of the strong K I lines are not so well matched by the models.
This is likely due to the approximations used for the intrinsic
line profiles in the models, most importantly estimates of the
damping constants. For example, Allard et al. (2003) and Johnas et al. (2007) have demonstrated the importance of detailed line
profiles (not just damping constants) for optical alkali resonance
lines in cool sub-stellar objects, however, such profiles are
not yet available for the IR alkali lines. Therefore, the profiles
of these atomic lines cannot be modelled accurately, and so cannot
be used to obtain reliable parameter estimates.
From qualitative considerations, however, the models predict that
for surface temperatures of 900-1000 K, the atomic lines of K I strengthen with decreasing gravity, as was pointed out by
Knapp et al. (2004). SDSS J134646.45-003150.4 shows the K I doublet at 1.25
m, in contrast to SDSS J162414.37+002915.6
and 2MASS J15530228+1532369,
which have similar spectral types. From our analysis, we have found
the smallest
for SDSS J134646.45-003150.4 in our sample. This
is also the object with the lowest estimated age.
The FeH lines are difficult to model, in part due to their relatively poorly known oscillator strength and possible errors in the chemistry. The fact that they become weaker with lower effective temperatures (like those of our sample) is due to the condensation of iron, which reduces the number density of FeH, resulting in an important test of the treatment of condensation in the equation of state.
CH4 bands are expected and have been observed in T dwarfs (Burgasser et al. 2002a) but, in the spectral range considered here, are much weaker than the water vapor lines and so cannot be identified with confidence.
At higher effective temperatures, as for SDSSp J125453.90-012247.4 (T2)
and 2MASS J05591914-1404488 (T4.5), the models appear to be generally
less consistent with the observations. This is likely due to the presence
of remnants of dust clouds, floating around in upper layers, that are
not included in the modelled spectra (see Ruiz et al. 1997; Ackerman & Marley 2001; Burgasser et al. 2002b; Burrows et al. 2006;
Cooper et al. 2003; Helling et al. 2008). Cushing et al. (2008) have
computed the properties of SDSSp J125453.90-012247.4 and
2MASS J05591914-1404488 from the comparison of low and intermediate
resolution spectra in the 0.95-14.5
m wavelength range and
synthetic spectra.
They found that SDSSp J125453.90-012247.4 has condensate clouds that
are thicker than those in 2MASS J05591914-1404488, which may explain the
difference in the spectra of these overluminous T dwarfs. Cushing et al.
also discussed the possible unresolved binarity in both objects. They
determined
K (<1150 K),
(<5.38)
and an age of
0.4 (<10) Gyr for 2MASS J05591914-1404488 assuming
it is a single object (equal mass binary). The same temperature of
1200 K is found for SDSSp J125453.90-012247.4. Our values of
,
and age of 2MASS J05591914-1404488
(see Table 11) are in agreement with those
of Cushing et al.
We will present a further study of the effects of the metallicity
on 2MASS J05591914-1404488 using a new set of synthetic models
(del Burgo et al., in preparation). The new models will include a
completely new equation of state and (where possible and available)
improved line data. Preliminary tests with the new equation
of state show great improvements in the M dwarf regime. In addition,
a physical model for the dust cloud formation coupled to the
structure of the atmosphere is being developed; this is required
at least for the transition T
L
M.
5.2 Effective temperature
For the two earliest T dwarfs, 2MASS J05591914-1404488
and especially SDSSp J125453.90-012247.4, we found that the models
used here cannot reproduce the observed spectra so well.
The T4.5 dwarf 2MASS J05591914-1404488 has historically been
considered enigmatic (see Vrba et al. 2004). Our best modelled
spectra with
of
K is, taking into
account the errors, consistent with the estimate of 1231 K from the
relation of Looper et al. and the value of 1200 K found by
Cushing et al. (2008).
Our best modelled spectrum of SDSSp J125453.90-012247.4 indicates an
effective temperature above 2000 K, which is much higher than that
found by Vrba et al. (2004) and Cushing et al. (2008), but
consistent (i.e. within the errors) with a temperature around 1500 K.
This value is similar to the estimate of 1370 K in the relation of
Looper et al.
We also find some differences for the latest T dwarfs. Our values
of
for GL 570 D and 2MASS J04151954-0935066 are
about 150 K higher than those from the literature
(see Table 11).
Geballe et al. (2001) use R = 400 spectra and accurate photometry
of GL 570D to determine that
of 784-824 K and
(cm s-2), assuming an age of 2-5 Gyr.
![]() |
Figure 16:
|
| Open with DEXTER | |
Figure 16 shows
versus spectral
type for the eight latest T dwarfs of our sample, and the
-spectral type relation found in Looper et al. (2008).
Our values appear to be rather flat from T4.5 down to T8, which
clearly contrasts with the trend delineated by Looper et al. (2008). We note, however, that such a trend is still compatible
with our measurements if error bars are taken into account. The
apparent constant temperature derived in our work may be due to a
degeneration in the method (synthetic and observed dataset) that, despite
the high spectral resolution of the observations, is not accurately
sensitive to
and
,
partly due to the small wavelength
range coverage of the data. Cushing et al. (2008) found that the values of
obtained from J-band low-resolution spectra are consistent
with those derived from fitting the full SED, using a model grid
with temperature steps of 100 K.
Figure 17 (top) shows
as a function of the colour J-[4.5] for the T dwarfs
later than T4.5 (photometric data are compiled from Patten et al. 2006).
These objects display a wide range of colours (
2 mag),
however, our derived temperatures differ by less than 100 K. It
seems difficult to reconcile such a large colour range with just one
value of temperature, unless other atmospheric parameters (like
metallicity, cloud coverage, and others) are taken into account.
![]() |
Figure 17:
|
| Open with DEXTER | |
5.3 Surface gravity
Our values of
are in good agreement with those of Knapp et al. (2004, see Table 11), whose
values were derived
from the comparison of observed H-K colors to model-predicted H-K colors. The largest difference is for the T8 dwarf 2MASS J04151954-0935066,
where the estimate of Knapp et al. (2004) is 0.7 dex higher than our value.
Figure 17 (bottom) shows
versus
infrared colour J-[4.5], where no obvious trend is apparent.
5.4 Mass and age
The estimated masses in the T dwarfs of our sample are in good
agreement with the model fit values of Burgasser et al. (2004)
for three of the common objects (SDSS J162414.37+002915.6,
2MASS J15530228+1532369, 2MASS J04151954-0935066). The only
exception is GL570 D. Burgasser et al. (2004) find a mass
of <0.001
,
i.e.,
,
and also provide
a expected value of 30-50
.
We find a value of 15
,
with an upper limit of 30
that is the same as the lower
expected value given by Burgasser et al. Our lower limit (6
)
is several times higher than the fitted value of Burgasser et al. (2004).
Our result on the apparent young age of the field T dwarfs (see Table 11) is in agreement with recent kinematical studies based on proper motions and space velocities by Bannister & Jameson (2007) and Zapatero Osorio (2007). The latter authors found that about 40% of the L and T-type population of the solar neighborhood may have an age close to that of the Hyades cluster (around 600 Myr), and that the brown dwarf population is kinematically younger than solar-type to early-M stars with likely ages in the interval 0.5-4 Gyr. We also note that our upper limit of 2 Gyr for the widely studied object GL 570 D agrees with the lower limit assumed by Geballe et al. (2001).
6 Conclusions
We conclude that the high resolution spectra corresponding to T dwarfs
with spectral types later than T5 are well reproduced by the
AMES-COND solar metallicity models provided by the PHOENIX code.
The models reproduce in detail many faint absorption
features in the high resolution J-band spectra, which are mainly
due to water vapor. There are also strong K I lines, which
turn out to be more difficult to model due to uncertain damping constants.
The temperature and surface gravity determined from the comparison of
the modelled and observed spectra are consistent with those found in the
literature. We find a marked flat behaviour of
with spectral
type, although a possible gradient is compatible with the errors.
High resolution spectroscopy (
)
in the J-band and
AMES-COND models seems to be insufficient to show the existence of
a possible gradient in effective temperature from early to late T dwarfs.
The comparison between the spectroscopically derived
and
of our targets and the evolutionary models by the
Lyon and Arizona groups yields ages in the range 0.1-5 Gyr and masses
between
5 and 75
for the target sample with spectral
types
T5. For the earlier type dwarfs the spectral models do
not provide suitable fits, which is likely due to the presence of
condensate clouds that are not incorporated in the models.
Acknowledgements
The authors would like to thank the referee for useful comments and Carlos Allende for lively discussions. The data used here were obtained at the W. M. Keck Observatory, which is operated as a scientific partnership between the California Institute of Technology, the University of California, and the National Aeronautics Space Administration. Support for this project has been provided by the Spanish Ministry of Science via project AYA2007-67458 and by a NASA-Keck analysis grant provided by the Jet Propulsion Laboratory. This work was also supported by the DFG via Graduiertenkolleg 1351. Some of the calculations presented here were performed at the Höchstleistungs Rechenzentrum Nord (HLRN); at the NASA's Advanced Supercomputing Division's Project Columbia, at the Hamburger Sternwarte Apple G5 and Delta Opteron clusters financially supported by the DFG and the State of Hamburg; and at the National Energy Research Supercomputer Center (NERSC), which is supported by the Office of Science of the US Department of Energy under Contract No. DE-AC03-76SF00098. We thank all these institutions for the generous allocation of computer time.
References
- Ackerman, A. S., & Marley M. S. 2001, ApJ, 556, 872 [NASA ADS] [CrossRef] (In the text)
- Allard, F., Hauschildt, P. H., Baraffe, I., & Chabrier, G. 1996, ApJ, 465, L123 [NASA ADS] [CrossRef] (In the text)
- Allard, F., Hauschildt, P. H., Alexander, D. R., & Starrfield, S. 1997, ARA&A, 35, 137 [NASA ADS] [CrossRef] (In the text)
- Allard, F., Hauschildt, P., & Schwenke, D. 2000, ApJ, 540, 1005 [NASA ADS] [CrossRef]
- Allard, F., Hauschildt, P. H., Alexander, D. R., Tamanai, A., & Schweitzer, A. 2001, ApJ, 556, 357 [NASA ADS] [CrossRef] (In the text)
- Allard, N. F., Allard, F., Hauschildt, P. H., Kielkopf, J. F., & Machin, L. 2003, A&A, 411, L473 [NASA ADS] [CrossRef] [EDP Sciences] (In the text)
- Bannister, N. P., & Jameson, R. F. 2007, MNRAS, 378, L24 [NASA ADS] (In the text)
- Baraffe, I., Chabrier, G., Barman, T. S., Allard, F., & Hauschildt, P. H. 2003, A&A, 402, 701 [NASA ADS] [CrossRef] [EDP Sciences] (In the text)
- Barber, R. J., Tennyson, J., Harris, G. J., & Tolchenov, R. N. 2006, MNRAS, 368, 1087 [NASA ADS] [CrossRef] (In the text)
- Burgasser, A. J., Kirkpatrick, J. D., Brown, M. E., et al. 1999, ApJ, 522, L65 [NASA ADS] [CrossRef] (In the text)
- Burgasser, A. J., Kirkpatrick, J. D., Brown, M. E., et al. 2002a, ApJ, 564, 421 [NASA ADS] [CrossRef] (In the text)
- Burgasser, A. J., Marley, M. S., Ackerman, A. S., et al. 2002b, ApJ, 571, 151 [NASA ADS] [CrossRef]
- Burgasser, A. J., Kirkpatrick, J. D., McGovern, M. R., et al. 2004, ApJ, 604, 827 [NASA ADS] [CrossRef] (In the text)
- Burgasser, A. J., Geballe, T. R., Leggett, S. K., Kirkpatrick, J. D., & Golimowski, D. A. 2006a, ApJ, 637, 1067 [NASA ADS] [CrossRef] (In the text)
- Burgasser, A. J., Burrows, A., & Kirkpatrick, J. D. 2006b, ApJ, 639, 1095 [NASA ADS] [CrossRef]
- Burrows, A., Marley, M. S., Hubbard, W. B., et al. 1997, ApJ, 491, 856 [NASA ADS] [CrossRef] (In the text)
- Burrows, A., Marley, M. S., & Sharp, C. M. 2000, ApJ, 531, 438 [NASA ADS] [CrossRef] (In the text)
- Burrows, A., Sudarsky, D., & Hubeny, I. 2006, ApJ, 640, 1063 [NASA ADS] [CrossRef] (In the text)
- Cooper, C. S., Sudarsky, D., Milsom, J. A., Lunine, J. I., & Burrows, A. 2003, 586, 1320 (In the text)
- Cuby, J. G., Saracco, P., Moorwood, A. F. M., et al. 1999, A&A, 349, L41 [NASA ADS] (In the text)
- Cushing, M. C., Marley, M. S., Saumon, D., et al. 2008, ApJ, 678, 1372 [NASA ADS] [CrossRef] (In the text)
- Delorme, P., Delfosse, X., Albert, L., et al. 2008, A&A, 482, 961 [NASA ADS] [CrossRef] [EDP Sciences] (In the text)
- Dulick, M., Bauschlicher, C. W. Jr., Burrows, A., et al. 2003, ApJ, 594, 651 [NASA ADS] [CrossRef] (In the text)
- Fegley, B. Jr., & Lodders, K. 1996, ApJ, 472, L37 [NASA ADS] [CrossRef] (In the text)
- Geballe, T. R., Saumon, D., Legget, S. K., et al. 2001, ApJ, 556, 373 [NASA ADS] [CrossRef] (In the text)
- Gray, D. F. 1992, The Observations and Analysis of Stellar Photospheres (Cambridge University Press), 2nd. edn. (In the text)
- Griffith, C. A., Yelle, R. V., & Marley, M. S. 1998, Science, 282, 5396 [CrossRef] (In the text)
- Hauschildt, P. H. 1992, JQSRT, 47, 433 [NASA ADS] (In the text)
- Hauschildt, P. H. 1993, JQSRT, 50, 301 [NASA ADS] (In the text)
- Hauschildt, P. H., & Baron, E. 1999, JCoAM, 109, 41 [NASA ADS] [CrossRef] (In the text)
- Helling, Ch., Ackerman, A., Allard, F., et al. 2008, MNRAS, 391, 1854 [NASA ADS] [CrossRef] (In the text)
- Johnas, C. M. S., Hauschildt, P. H., Schweitzer, A., et al. 2007, A&A, 475, 1039 [NASA ADS] [CrossRef] [EDP Sciences] (In the text)
- Jones, H. R. A., Pavlenko, Y., Viti, S., et al. 2005, MNRAS, 358, 105 [NASA ADS] [CrossRef]
- Knapp, G. R., Leggett, S. K., Fan, X., et al. 2004, ApJ, 127, 3553 [NASA ADS] (In the text)
- Leggett, S. K., Marley, M. S., Freedman, R., et al. 2007, ApJ, 667, 537 [NASA ADS] [CrossRef] (In the text)
- Looper, D. L., Gelino, C. R., Burgasser, A. J., & Kirkpatrick, J. D. 2008, ApJ, 685, 1183 [NASA ADS] [CrossRef] (In the text)
- Oppenheimer, B. R., Kulkarni, S. R., Matthews, K., & Nakajima, T. 1995, Science, 270, 1478 [NASA ADS] [CrossRef] (In the text)
- Marley, M. S., Saumon, D., Guillot, T., et al. 1996, Science, 272, 1919 [NASA ADS] [CrossRef] (In the text)
- Martín, E. L., & Zapatero Osorio, M. R. 2003, ApJ, 593, L113 [NASA ADS] [CrossRef] (In the text)
- McLean, I. S., Prato, S., McGovern, M. R., et al. 2007, ApJ, 658, 1217 [NASA ADS] [CrossRef] (In the text)
- Patten, B. M., Stauffer, J. R., Burrows, A., et al. 2006, ApJ, 651, 502 [NASA ADS] [CrossRef] (In the text)
- Reid, I. N. 1999, MNRAS, 302, L21 [NASA ADS] [CrossRef]
- Ruiz, M. T., Leggett, S. K., & Allard, F. 1997, ApJL, 491, 107 [NASA ADS] [CrossRef] (In the text)
- Saumon, D., Marley, M. S., Cushing, M. C., et al. 2006, ApJ, 647, 552 [NASA ADS] [CrossRef] (In the text)
- Saumon, D., Marley, M. S., Leggett, S. K., et al. 2007, ApJ, 656, 1136 [NASA ADS] [CrossRef] (In the text)
- Strauss, M. A., Fan, X., Gunn, J. E., et al. 1999, ApJ, 522, L61 [NASA ADS] [CrossRef] (In the text)
- Tsuji, T. 2005, ApJ, 621, 1033 [NASA ADS] [CrossRef] (In the text)
- Tsuji, T., Ohnaka, K., Aoki, W., & Nakajima, T. 1996, A&A, 308, L29 [NASA ADS] (In the text)
- Tsuji, T., Ohnaka, K., & Aoki, W. 1999, ApJ, 520, L119 [NASA ADS] [CrossRef] (In the text)
- Tsuji, T., Nakajima, T., & Yanagisawa, K. 2004, ApJ, 607, 511 [NASA ADS] [CrossRef] (In the text)
- Vrba, F. J., Henden, A. A., Luginbuhl, C. B., et al. 2004, AJ, 127, 2948 [NASA ADS] [CrossRef] (In the text)
- Warren, S. J., Henden, A. A., Luginbuhl, C. B., et al. 2007, MNRAS, 381, 1400 [NASA ADS] [CrossRef] (In the text)
- Zapatero Osorio, M. R., Martín, E. L., Bouy, H., et al. 2006, ApJ, 647, 1405 [NASA ADS] [CrossRef] (ZO06) (In the text)
- Zapatero Osorio, M. R., Martín, E. L., Béjar, V. J. S., et al. 2007, ApJ, 666, 1205 [NASA ADS] [CrossRef], (ZO07) (In the text)
Footnotes
- ... spectra
- Reduced NIRSPEC spectra of the nine T-type dwarfs are available electronically in fits format at the CDS via anonymous ftp to cdsarc.u-strasbg.fr (130.79.128.5) or via http://cdsweb.u-strasbg.fr/cgi-bin/qcat?J/A+A/501/1059
All Tables
Table 1:
SDSSp J125453.90-012247.4. Synthetic and observed spectra comparison
for all orders: rms, N,
,
and
.
Table 2:
2MASS J05591914-1404488. Synthetic and observed spectra comparison
for all orders: rms, N,
,
and
.
Table 3:
2MASS J15031961+2525196. Synthetic and observed spectra comparison
for all orders: rms, N,
,
and
.
Table 4:
SDSS J162414.37+002915.6. Synthetic and observed spectra comparison
for all orders: rms, N,
,
and
.
Table 5:
SDSS J134646.45-003150.4. Synthetic and observed spectra comparison
for all orders: rms, N,
,
and
.
Table 6:
2MASS J15530228+1532369. Synthetic and observed spectra comparison
for all orders: rms, N,
,
and
.
Table 7:
2MASS J12171110-0311131. Synthetic and observed spectra comparison
for all orders: rms, N,
,
and
.
Table 8:
GL 570D. Synthetic and observed spectra comparison
for all orders: rms, N,
,
and
.
Table 9:
2MASS J04151954-0935066. Synthetic and observed spectra comparison
for all orders: rms, N,
,
and
.
Table 10: Weights of echelle orders.
Table 11: Projected rotational velocity, temperature, surface gravity, mass and age of T dwarfs.
All Figures
![]() |
Figure 1:
Variation of the strong K I doublet at 1.2436 and 1.2525 |
| Open with DEXTER | |
| In the text | |
![]() |
Figure 2:
Synthetic flux versus wavelength.
Identifications of some features of a synthetic spectrum
with
|
| Open with DEXTER | |
| In the text | |
![]() |
Figure 3:
Synthetic flux versus wavelength. Models with
|
| Open with DEXTER | |
| In the text | |
![]() |
Figure 4:
Synthetic flux versus wavelength. Models with
|
| Open with DEXTER | |
| In the text | |
![]() |
Figure 5:
Contours with rms = 1.25 (thick lines) and 1.5 (thin lines) times the value of the minimum rms for orders 59 (solid lines) and 60 (dashed lines). Location of (
|
| Open with DEXTER | |
| In the text | |
![]() |
Figure 6: SDSSp J125453.90-012247.4. Black and red lines correspond to the observed and modelled spectra, respectively. The model is for an effective temperature of 2000 K and a surface gravity of 104.3 cm s-2. |
| Open with DEXTER | |
| In the text | |
![]() |
Figure 7:
2MASS J05591914-1404488. Black line corresponds to the observed
spectrum, and red and blue lines correspond to modelled
spectra with the same
g=104.9 cm s-2 and
|
| Open with DEXTER | |
| In the text | |
![]() |
Figure 8:
2MASS J15031961+2525196. Black and red lines correspond to the observed and
modelled spectra, respectively. The model is for an effective temperature
|
| Open with DEXTER | |
| In the text | |
![]() |
Figure 9: SDSS J162414.37+002915.6. Black and red lines correspond to the observed and modelled spectra, respectively. The model is for an effective temperature of 980 K and a surface gravity of 104.8 cm s-2. |
| Open with DEXTER | |
| In the text | |
![]() |
Figure 10: SDSS J134646.45-003150.4. Black and red lines correspond to the observed and modelled spectra, respectively. The model is for an effective temperature of 990 K and a surface gravity of 104.1 cm s-2. |
| Open with DEXTER | |
| In the text | |
![]() |
Figure 11: 2MASS J15530228+1532369. Black and red lines correspond to the observed and modelled spectra, respectively. The model is for an effective temperature of 941 K and a surface gravity of 104.6 cm s-2. |
| Open with DEXTER | |
| In the text | |
![]() |
Figure 12: 2MASS J12171110-0311131. Black and red lines correspond to the observed and modelled spectra, respectively. The model is for an effective temperature of 922 K and a surface gravity of 104.8 cm s-2. |
| Open with DEXTER | |
| In the text | |
![]() |
Figure 13:
GL 570 D. Black line corresponds to the observed spectrum,
and red and blue lines correspond to modelled spectra with the same
g=104.5 cm s-2 and
|
| Open with DEXTER | |
| In the text | |
![]() |
Figure 14: 2MASS J04151954-0935066. Black and red lines correspond to the observed and modelled spectra, respectively. The model is for an effective temperature of 947 K and a surface gravity of 104.3 cm s-2. |
| Open with DEXTER | |
| In the text | |
![]() |
Figure 15:
Diagram
|
| Open with DEXTER | |
| In the text | |
![]() |
Figure 16:
|
| Open with DEXTER | |
| In the text | |
![]() |
Figure 17:
|
| Open with DEXTER | |
| In the text | |
Copyright ESO 2009
Current usage metrics show cumulative count of Article Views (full-text article views including HTML views, PDF and ePub downloads, according to the available data) and Abstracts Views on Vision4Press platform.
Data correspond to usage on the plateform after 2015. The current usage metrics is available 48-96 hours after online publication and is updated daily on week days.
Initial download of the metrics may take a while.
![\begin{figure}
\par\includegraphics[width=7.9cm,clip]{0752fg1.ps}
\end{figure}](/articles/aa/full_html/2009/27/aa10752-08/Timg18.png)
![\begin{figure}
\par\includegraphics[width=9cm,clip]{0752fg2.ps}
\end{figure}](/articles/aa/full_html/2009/27/aa10752-08/Timg22.png)
![\begin{figure}
\par\includegraphics[width=13.5cm,clip]{0752fg3.ps}
\end{figure}](/articles/aa/full_html/2009/27/aa10752-08/Timg23.png)
![\begin{figure}
\par\includegraphics[width=13.2cm,clip]{0752fg4.ps}
\end{figure}](/articles/aa/full_html/2009/27/aa10752-08/Timg25.png)




![\begin{figure}
\par\includegraphics[width=7.8cm,clip]{0752fg5.ps} %
\end{figure}](/articles/aa/full_html/2009/27/aa10752-08/Timg43.png)
![\begin{figure}
\par\includegraphics[width=9cm,clip]{0752fg6.ps}
\end{figure}](/articles/aa/full_html/2009/27/aa10752-08/Timg47.png)
![\begin{figure}
\par\includegraphics[width=9cm,clip]{0752fg7.ps}
\end{figure}](/articles/aa/full_html/2009/27/aa10752-08/Timg48.png)
![\begin{figure}
\par\includegraphics[width=9cm,clip]{0752fg8.ps}
\end{figure}](/articles/aa/full_html/2009/27/aa10752-08/Timg49.png)
![\begin{figure}
\par\includegraphics[width=9cm,clip]{0752fg9.ps}
\end{figure}](/articles/aa/full_html/2009/27/aa10752-08/Timg50.png)
![\begin{figure}
\par\includegraphics[width=9cm,clip]{0752fg10.ps}
\end{figure}](/articles/aa/full_html/2009/27/aa10752-08/Timg51.png)
![\begin{figure}
\par\includegraphics[width=9cm,clip]{0752fg11.ps}
\end{figure}](/articles/aa/full_html/2009/27/aa10752-08/Timg52.png)
![\begin{figure}
\par\includegraphics[width=9cm,clip]{0752fg12.ps}
\end{figure}](/articles/aa/full_html/2009/27/aa10752-08/Timg53.png)
![\begin{figure}
\par\includegraphics[width=9cm,clip]{0752fg13.ps}
\end{figure}](/articles/aa/full_html/2009/27/aa10752-08/Timg54.png)
![\begin{figure}
\par\includegraphics[width=9cm,clip]{0752fg14.ps}
\end{figure}](/articles/aa/full_html/2009/27/aa10752-08/Timg55.png)
![\begin{figure}
\par\includegraphics[width=7cm,clip]{0752f15a.ps}\par\vspace*{2mm}
\includegraphics[width=7cm,clip]{0752f15b.ps}
\end{figure}](/articles/aa/full_html/2009/27/aa10752-08/Timg78.png)
![\begin{figure}
\par\includegraphics[width=7.5cm,clip]{0752fg16.ps}
\end{figure}](/articles/aa/full_html/2009/27/aa10752-08/Timg85.png)
![\begin{figure}
\par\includegraphics[width=6.7cm,clip]{0752f17a.ps}\par\vspace*{2mm}
\includegraphics[width=6.7cm,clip]{0752f17b.ps} %
\end{figure}](/articles/aa/full_html/2009/27/aa10752-08/Timg86.png)