Issue |
A&A
Volume 501, Number 3, July III 2009
|
|
---|---|---|
Page(s) | 851 - 864 | |
Section | Cosmology (including clusters of galaxies) | |
DOI | https://doi.org/10.1051/0004-6361/200811051 | |
Published online | 19 May 2009 |
WINGS: a WIde-field nearby Galaxy-cluster survey
III. Deep near-infrared photometry of 28 nearby clusters
,![[*]](/icons/foot_motif.png)
T. Valentinuzzi1 - D. Woods2,3 - G. Fasano4 - M. Riello5 - M. D'Onofrio1 - J. Varela4 - D. Bettoni4 - A. Cava4,6 - W. J. Couch7 - A. Dressler8 - J. Fritz4 - M. Moles9 - A. Omizzolo10,4 - B. M. Poggianti4 - P. Kjærgaard11
1 - Astronomy Department, University of Padova, Vicolo Osservatorio 3, 35122 Padova, Italy
2 -
School of Physics, University of New South Wales, Sydney 2052, NSW, Australia
3 -
Dept. of Physics & Astronomy, University of British Columbia, 6224 Agricultural Road, Vancouver, V6T 1Z1, BC, Canada
4 -
INAF - Padova Astronomical Observatory, Vicolo Osservatorio 5, 35122 Padova, Italy
5 -
Institute of Astronomy, Madingley Rd., Cambridge CB3 0HA, UK
6 -
Instituto de Astrofisica de Canarias, via Lactea s.n., 38205 La Laguna, Tenerife, Spain
7 -
Centre for Astrophysics & Supercomputing, Swinburne University, Hawthorn 3122, VIC, Australia
8 -
Observatories of the Carnegie Institution of Washington, Pasadena, CA 91101, USA
9 -
Instituto de Astrofísica de Andalucía (C.S.I.C.) Apartado 3004, 18080 Granada, Spain
10 -
Specola Vaticana, 00120 Stato Citta' del Vaticano, Vatican
11 -
The Niels Bohr Institute, Juliane Maries Vej 30, 2100 Copenhagen, Denmark
Received 29 September 2008 / Accepted 20 February 2009
Abstract
Context. This is the third paper in a series devoted to the WIde-field Nearby Galaxy-cluster Survey (WINGS). WINGS is a long-term project aimed at gathering wide-field, multiband imaging and spectroscopy of galaxies in a complete sample of 77 X-ray selected, nearby clusters (
0.04<z<0.07) located far from the galactic plane (
). The main goal of this project is to establish a local reference sample for evolutionary studies of galaxies and galaxy clusters.
Aims. This paper presents the near-infrared (J,K) photometric catalogs of 28 clusters of the WINGS sample and describes the procedures followed to construct them.
Methods. The raw data has been reduced at CASU and special care has been devoted to the final coadding, drizzling technique, astrometric solution, and magnitude calibration for the WFCAM pipeline-processed data. We constructed the photometric catalogs based on the final calibrated, coadded mosaics (0.79 deg2) in J (19 clusters) and K (27 clusters) bands. A customized interactive pipeline was used to clean the catalogs and to make mock images for photometric errors and completeness estimates.
Results. We provide deep near-infrared photometric catalogs (90% complete in detection rate at total magnitudes
,
,
and in classification rate at
and
), giving positions, geometrical parameters, total and aperture magnitudes for all detected sources. For each field we classify the detected sources as stars, galaxies, and objects of ``unknown'' nature.
Key words: surveys - galaxies: clusters: general - catalogs
1 Introduction
Clusters of galaxies are important for studies of galaxy formation and evolution, because they contain a volume-limited population of galaxies observed at the same cosmic epoch. Galaxies in clusters are known to follow tight color-magnitude relations, which appear to be universal and to have very small intrinsic scatter to the highest redshifts yet observed (see, amongst others, De Lucia et al. 2007; Mei et al. 2006; Blakeslee et al. 2003; Holden et al. 2004). Together with the conventional interpretation of the color-magnitude relation as a mass-metallicity correlation (i.e., Trager et al. 2000), this implies that the majority of the stellar populations in early-type cluster galaxies were formed via rapid dissipative starbursts at z>2. Fundamental-plane studies of high-redshift cluster galaxies also support this conclusion, at least for the more massive objects (i.e., Holden et al. 2005; van Dokkum & Stanford 2003), although the low mass galaxies seem to have undergone more extended star formation histories (i.e., Poggianti et al. 2001).
Table 1: Summary of the observations, taken with WFCAM on UKIRT, discussed in this paper.
Theoretically, the existence of such massive and old galaxies at high redshift should represent a strong challenge to models where galaxies are assembled hierarchically, from a sequence of major mergers at progressively lower redshifts. It is not possible, however, to exclude by spectrophotometry alone, these galaxies being assembled from sub-units whose star formation has already ceased, but which are not accreted until later (the so-called ``dry'' mergers). This is assumed to be the main channel by which spheroids grow at z<1 in the hierarchical scenario.
On the other hand, if galaxies are formed via mergers, we should observe a steady decrease in the mean stellar mass in galaxies as we go to earlier cosmic times and the most massive members of the merger tree would branch into even smaller twigs (De Lucia et al. 2006). While it is generally difficult to measure galaxy masses, the K-band luminosity function is believed to provide an adequate surrogate (Kauffmann & Charlot 1998). Indeed, it is known that the rest frame H or K luminosity of galaxies is seen to correlate well with stellar and even dynamical mass for local and high-redshift galaxies (see, i.e., Kodama & Bower 2003).
To reach higher and higher redshifts it is surely necessary to
adequately constrain galaxy formation models; on the other hand,
precise knowledge of the properties of clusters and cluster galaxies
in the local Universe is necessary, as a benchmark for higher redshift
studies. The WIde-field Nearby Galaxy-clusters Survey
(Fasano et al. 2006, hereafter Paper I) is an answer to this
need. WINGS is a long-term multiwavelength survey specially designed to provide
the first robust characterization of both the photometric and
spectroscopic properties of galaxies in nearby clusters, as well as
determine the variations in these properties.
The survey core, based on optical B,V imaging of 77 nearby
(
)
galaxy-clusters
(see, Varela et al. 2009, hereafter Paper II), has been complemented by
several ancillary projects: (i) a spectroscopic follow up of a
subsample of 51 clusters, obtained with the spectrographs WYFFOS@WHT
and 2dF@AAT; (ii) near-infrared (J,K) imaging of a subsample of 28
clusters obtained with WFCAM@UKIRT, presented here; (iii) U broad- and
H
narrow-band imaging of subsamples of WINGS clusters,
obtained with wide-field cameras at different telescopes (INT, LBT,
Bok). The observations and data reduction for the first two follow-up
projects have been completed
(Fritz et al. 2009; Cava et al. 2009, in preparation; this paper), while the observations
for the H
and U-band surveys are still ongoing.
![]() |
Figure 1: Distribution of WINGS-NIR clusters (red full line) compared with the distribution of all the WINGS survey clusters (black dotted line). The dotted diagram is slightly shifted for ease of view. |
Open with DEXTER |
The near infrared section of the WINGS survey (WINGS-NIR) is a
collection of 0.79 deg2 mosaics in (J,K) bands of 28
nearby clusters (17 clusters have been observed in both bands).
WINGS-NIR is by far the largest survey of nearby galaxy clusters as far as the area coverage is concerned. In fact, in this redshift range, only individual clusters or small cluster samples have been studied in the literature up to now (e.g., De Propris et al. 2003; Gavazzi et al. 1990; Pahre 1999). The WINGS survey of near-infrared data consists of nearly one million detected sources, with 150 000 and 500 000 well classified stars and galaxies, respectively.
![]() |
Figure 2:
The central region (2.5 |
Open with DEXTER |
![]() |
Figure 3: The distribution of the median FWHMs (angular vs. physical) of all the J- (open blue circle; blue dashed line) and K-band (filled red circles; red full line) mosaics: black dotted lines are the total J and K distributions. The error bars show the rms of the median seeing variation of each section of the mosaic, as shown in Fig. 4. Note that a large error bar means that, due to non-photometric nights and/or technical problems with the camera, the FWHM was unstable among the different exposures making up the final mosaic. The dotted vertical line is the limit for quality requirements of WINGS survey spatial physical resolution, needed for reliable morphological classification and surface photometry. |
Open with DEXTER |
In Sect. 2 of this paper we describe observations and data reduction techniques, including a brief presentation of both the instrumentation and the software pipeline used to create the final coadded mosaics. Section 3 presents the step-by-step procedure of the catalog production pipeline, including an extensive discussion about star/galaxy classification and interactive cleaning of the catalogs. Section 4 deals with data quality assessment and overall properties of the catalogs, like completeness, astrometric and photometric accuracy and precision. In the last section we present a brief summary of the main features of WINGS-NIR survey and catalogs.
Throughout this paper we will use a cosmological model with
parameters: H0=70 km s-1 Mpc-1,
and
.
2 Observations and data reduction
The near-infrared data have been collected at the UKIRT telescope
using the WFCAM instrument (see, Casali et al. 2007) during four
observing semesters, from April 2005 to April 2007 (see
Table 1). The images where obtained in the J and Kbroad-bands of the Mauna Kea photometric system (Tokunaga et al. 2002).
The original plan of the WINGS-NIR survey was to image at least all
the WINGS clusters with spectroscopy and visible imaging by UKIRT:
unfortunately bad weather (see Table 1) limited the sample
to only 28 clusters. However, as it can be seen in
Fig. 1 the NIR subsample has good coverage of X-ray
luminosities and redshifts when compared with the total WINGS sample,
while it is slightly biased towards the low cluster velocity
dispersion regime.
WFCAM is an assembly of four Rockwell Hawaii-II
m-pixel array detectors with 0
4 pixel size and a total
field of view of
.
The four detectors are spaced at
of their width, at the corners of a field of about 0.4 deg2. More details about the camera, imaging properties, defects
and drawbacks can be found in Dye et al. (2006). Figure 3 shows
the angular vs. physical median FWHMs for J- (blue open circles;
dashed line) and K-band (red full circles; full line). It is seen that
more than 50% of our images have seeing below 1
0, and only
three out of 47 co-added mosaics do not meet the quality requirements
of the WINGS survey regarding physical size resolution (dotted
vertical line; see Paper I). This requirement is needed for reliable
morphological classification and surface photometry. A complete and
useful log of the observations concerning sky, zero point
fluctuations, etc. can be found in the CASU website
.
All WFCAM data, including proprietary PI data, are pipeline-processed
by the Cambridge Astronomical Survey Unit (CASU) as part of the VISTA
Data Flow System (VDFS) development
(see, Hambly et al. 2004; Irwin et al. 2004; Emerson et al. 2004, for an overview). The data
products of the CASU pipeline include artifact-corrected images,
interleaved and stacked as appropriate, confidence maps and catalogues
of detected objects (both stellar and extended). All of them are
astrometrically and photometrically calibrated with respect to 2MASS.
We refer the reader to Irwin et al. (2008) for a detailed description of
the pipeline and
Hodgkin et al. (2009) for a detailed description and discussion of the
photometric calibration. An overview of the pipeline and photometric
calibration can also be found in the WFCAM section of the CASU web
site, which contains other
quality control plots too, showing, for each night, the variations of
the photometric zero-points, the image seeing (FWHM) and sky
background level (see Riello & Irwin 2008, for an overview) that proved
very useful for assessing the quality of the data presented in this paper.
2.1 Pipeline data products
WFCAM observations are organised in groups, where a group is composed
of all the images taken with a given filter, dither and, optionally,
micro-step sequence. For all the clusters presented in this paper,
observations were taken using a 9-point dithering pattern with a
micro-step sequence to partially recover the spatial
resolution
(Casali et al. 2007). Micro-stepping is done by shifting the
telescope by
pixels (for the
pattern)
and interleaving consists of an algorithm that creates an output image
that is a regular interwoven pattern of all the input pixels. Some
relevant caveats about interleaving for this paper are: i)
interleaving does not eliminate bad pixels; ii) the PSF often varies
on short enough timescales to lead to unusually ``spiky'' interleaved
PSFs that required additional treatment to deal with. The first issue
was addressed by adopting a dithering strategy that allows an
efficient rejection of cosmic rays and bad pixels at the stacking
phase. We will discuss the second issue in the following section.
Each group is therefore composed of 36 independent Multi-Extension
FITS files (MEF) with four extensions (one per detector). Given that
the WFCAM four detectors are separated, in both directions, by
of their size, it is necessary to take four images
(i.e., four MEFs) with appropriate offset in order to survey a
contiguous area of about 0.79 deg2 (a tile, see
Fig. 4). Depending on the cluster and the
filter, one or more tiles were observed to achieve the desired
magnitude limit.
For each image group the pipeline produces a stacked image from the
interleaved (0
2 sampled) frames coming from each dithering
point. Each stacked frame is astrometrically and photometrically
calibrated and has an accompanying object catalogue and confidence map
generated for it. These data products represent the input for the
final stage of the processing which involves:
- 1.
- stacking, for each of the four tile positions, all the individual pipeline stacks (typically 2 for J-band observations and 4 for K-band ones). To avoid confusion we will refer to these images as the (four) final stacks;
- 2.
- mosaicking the four final stacks into a single image covering
0.79 deg2.
![]() |
Figure 4:
Due to the WFCAM configuration and the way the
observations are carried out, the final mosaics have global PSF
variations in a chessboard pattern fashion. The ``tile'' described in
the text, is composed of 4 exposures (i.e., MEFs), of 4 detectors
each, which gives the 16 sections of the mosaic shown here (pixel
size is 0
|
Open with DEXTER |
2.2 Final stacks and mosaics
The final stacks are produced using a stand-alone version of the image stacking engine used by the CASU pipeline. The main difference of the stand-alone version is that it uses the object catalogues for further refinement of the WCS (World Coordinate System) offsets that are stored in the FITS headers.
In particular:
- 1.
- the alignment of the input images is driven by the WCS of the input frames and then is further refined using the associated object catalogues. The first FITS image in the stacking list is used as a reference and the other images are resampled (using nearest-neighbour interpolation) onto the WCS of the first image;
- 2.
- all the images are then scaled at the detector level, using additive corrections, to match the background of the common overlap area;
- 3.
- the next step involves rejecting bad pixels using the input
confidence maps and an iterative k-sigma clipping that uses a sky
background-calibrated Poisson noise model for the frame (which uses
a robust MAD
-based sky noise estimator to define the equivalent RMS noise level);
- 4.
- finally, pixels are combined using inverse variance weighting
derived from the combination of the input confidence maps and the
average noise properties of the image with an additional weighting
according to the seeing (i.e. weight
seeing-2).



The final stacks are eventually combined together to form a mosaic,
again using a stand-alone version of the pipeline software. The
software uses the photometric zero points associated with each of the
four input images to match them photometrically and then project them
on the same grid using a drizzle-like algorithm. To reduce the
artifacts caused by the poorer image edges, all the input pixels with
an associated confidence lower than
were rejected from the
final mosaic. Finally the mosaic zero-points are re-measured with
respect to 2MASS using the same software used by the CASU pipeline
(see Hodgkin et al. 2009), and a final confidence map for the mosaic is
produced from the confidence maps of the single stacks.
3 The photometric catalogs
After preparing the final photometrically and astrometrically calibrated co-added mosaics (hereafter simply called mosaics) we used a custom pipeline of miscellaneous scripts to generate the source lists. We will use SExtractor's MAG_AUTO (with the default input parameters, Bertin & Arnouts 1996, see manual for details) as the default magnitude throughout this paper, unless explicitly otherwise mentioned.
Hereafter we present a step-by-step schematic description of the catalogs production:
- selection of a polygon enclosing the reliable region of the mosaic, whose total area is reported in Table 3. In practice, the edges of the mosaic are excluded. We also exclude objects that are dissected by, or are not far enough away from the edges to ensure their photometry is unaffected;
- running the Terapix software WeightWatchers to generate a flag mask,
to locate the detections inside the good region and those with
confidence <
as deduced from the confidence maps of the final mosaics: we remind the reader that pixels from the single stacks with confidence levels below 50% were not included in the final mosaic (see previous section);
- preliminary running of SExtractor, to evaluate the FWHM of non saturated stars (CLASS_STAR > 0.95), to choose the detection thresholds, and to quickly check the quality of the mosaics (astrometry, photometry, number counts ...), as explained in Sect. 3.1;
- extraction of several background stamps from the mosaic, useful to prepare a background image for photometric errors estimates with simulations. A collection of synthetic stars and galaxies (30% of exponential disks) is separately added to the background image, in an attempt to best reproduce the FWHM distribution of the real image. Detection and classification rates of stars and galaxies are computed separately (see Table 3) and are also used to fine tune the SExtractor input parameters (see Sect. 3.1);
- final running of SExtractor with the adjusted input parameters and
partitioning of the main output catalog into the catalogs of stars,
galaxies and unknown objects. The latter step is achieved here just
relying upon SExtractor's CLASS_STAR, which ranges from
0 (galaxies) to 1 (stars), in the following way
:
Stars Galaxies Unknown ;
- since the CLASS_STAR parameter is not reliable enough in all circumstances, in particular when the mosaic is affected by strong seeing variations, a further step is necessary in order to improve the assignment of each object to the right catalog and to remove from all of them the spurious detections. For this task we used a custom interactive tool which produces various diagnostic plots, and allows us to distinguish between stars and galaxies;
- final ``visual'' (interactive) cleaning of the mosaic to correct any remaining blatant error both in detection and classification. In this phase the mosaic is displayed with the corresponding markers of stars and galaxies and, by visual inspection, the corrections are made directly on the image, saved on disk and then applied to the catalogs.
3.1 Source detection and star/Galaxy classification
The source detection was performed by running SExtractor on the final
mosaics, convolved by 2D Gaussian filters of size chosen to be equal
to the median FWHM. In most cases, the low level of the background
rms obtained with the drizzling techniques of the CASU pipeline,
allowed us to use a 1.5
clipping and a minimum area of 20
adjacent pixels as threshold parameters. These parameter values
allowed us to simultaneously obtain a small number of spurious
detections of stars and galaxies, and deep enough magnitude limits.
In general, for each image, the right combination of threshold,
minimum area and filter size was chosen relying upon the expected
number counts of galaxies/stars and on serendipitous visual
inspection of marked detections with the SAO-DS9 display tool.
Spurious detections are typically misclassified as galaxies by SExtractor,
and usually result from local background fluctuations and spikes or
cross-talk of saturated stars.
The preliminary star/galaxy classification was done relying upon SExtractor's stellarity index (CLASS_STAR). The median FWHM of the image to be processed (SEEING_FWHM) is the chief parameter affecting the SExtractor's star/galaxy separation algorithm. The sigma-clipping and filtering detection parameters used in SExtractor are also quite important, since background fluctuations and PSF distortions near the detection threshold can introduce uncertainties correlated with such quantities.
![]() |
Figure 5:
Distribution of the quantity
|
Open with DEXTER |
Aiming to test on our mosaics both the detection capability of SExtractor and the reliability of its star/galaxy classifier, we have produced
for each cluster a mock image of simulated stars and galaxies (a mix
of 70% spheroidal r1/4 and of 30% exponential disks) with a sample
background coming from the real image, and trying to match as far as
possible the distribution of the stellar FWHM. With
ARTDATA package, synthetic stars were modeled using Moffat
profiles with .
For spheroidal De Vaucouleurs and disk
profiles, intrinsic half-light radii in the range 1-5 kpc and an
Euclidean power law (n=0.3) luminosity function were adopted.
![]() |
Figure 6:
Plot of the difference between two aperture magnitudes (1 arcsec-3 arcsec diameter) vs. total magnitude for galaxies (blue bold dots) and
stars (red light dots) as classified by SExtractor before any interactive
cleaning. In this diagram the star and galaxy loci turn out to be
well apart down to
|
Open with DEXTER |
Foucaud et al. (2007) claim that a 20% increase of the value of
SEEING_FWHM parameter had to be used to correctly match the
synthetic stars added to the images, and this indicates the difficulty
SExtractor has to correctly classify stars, at fainter magnitudes, even in
good seeing conditions. We further investigated this effect and found
that, while the FWHMs of stars produced by the ARTDATA-IRAF
package are consistent with the input values, their SExtractor estimates
are 15% higher. This drawback can be dealt with following the
Foucaud et al. (2007) prescriptions of generating mock images with
correspondingly diminished input values of the FWHM. The results of
these simulations are presented in Sect. 4.1, where
we discuss the completeness of the catalogs.
The PSF spatial variation exemplified in Fig. 4 is by far the most important effect which might complicate the correct choice of CLASS_STAR. In fact, while the resulting CLASS_STAR is highly sensitive to the SEEING_FWHM keyword, up to the last release of SExtractor has this keyword fixed for the whole frame. This means that, in case of strong space variations of the FWHM, SExtractor will tend to overestimate the number of stars (galaxies) in the mosaic regions where the local FWHM is greater (lower) than the median value used for source extraction.
In Fig. 5 we present, for all our clusters in
both bands, the distribution of the quantity:
where




Table 2: Example of entries of J and K photometric catalogs.
Table 3: WINGS-NIR clusters sample with relevant useful quantities.
3.2 Interactive cleaning
Spurious detections are most frequently found along the overlapping regions of the detectors, along the mosaic edges (which are excluded by the initial polygon mask) and in (usually limited) regions of high background fluctuations. Cross-talk due to saturated stars is another cause of spurious objects. These false detections can be found at fixed distances (in symmetric positions) from the saturated objects along the read-out direction of the detector, and have a characteristic ``doughnut'' shape (see, i.e., Dye et al. 2006). It was not possible to safely detect and delete them automatically, as their number and occurrence is not simply correlated with the peak intensity and the area of the saturated object, and in the final mosaic they can be found either in the X or in the Y direction. On the other hand, by exploiting the SExtractor classification capabilities, it was found that only the brightest ones are misclassified as galaxies, and most of them are easily deleted by the interactive cleaning procedure described below. Since the automated pipeline produces a separate catalog of the saturated stars, during the final visual check, we highlight them, allowing easy identification and deletion from the final catalogs of their associated cross-talk false detections. A negligible fraction of these objects, depending on the number of saturated stars in the mosaic, may remain after this last check, but are mainly classified as ``unknown'' sources.
Since the number of objects is too large for any individual analysis, we purged spurious detections and star/galaxy misclassifications with our interactive tool, which generates several plots of different combinations of parameters, like:
-
vs. J,K , where
is the surface brightness of the brightest pixel of an object and J,K is the total apparent magnitude MAG_AUTO;
- J,K vs.
, where Isophotal Area is the area in pixels of each object at the threshold level;
-
vs.
;
-
vs. J,K, where d is the aperture diameter.
At the end of this process the degree of misclassification of
relatively bright sources (J < 18.5 and K < 18.0) is less than
,
that is practically negligible (see
Sect. 4.1) . Of course, going to fainter and smaller
objects the regions occupied by stars and galaxies start to mix up,
making the classification more and more unreliable.
The published catalogs will be regularly updated to correct for any newly found spurious objects and/or misclassifications, therefore users are encouraged to rely upon the latest available version of the catalogs.
3.3 Catalogs description
In Table 2 we present an example of the entries in the near-infrared photometric catalogs. The parameters stored for each object are the following (in parenthesis we give the name of the SExtractor's output parameter):
- ID: objects internal identification, it is unique for all catalogs of the WINGS survey.
- (
,
): equatorial coordinates (J2000.0) of the barycenter.
- (
,
): equatorial coordinates (J2000.0) of the brightest pixel.
- Area: area at the detection threshold.
-
: Kron radius used to compute the MAG_AUTO magnitude.
- FWHM: full width at half maximum assuming a Gaussian core as calculated by SExtractor.
- b/a: axis ratio of the source.
- PA: position angle of the major axis (North = 0
, measured counter-clockwise).
-
: surface brightness of the brightest pixel.
- MAG_BEST: SExtractor's best total magnitude estimate.
- MAG_AUTO: SExtractor's Kron (total) aperture magnitude.
- MAG(4.3 kpc), MAG(10.8 kpc), MAG(21.5 kpc): magnitudes within
apertures of diameter 4.3 kpc, 10.8 kpc and 21.5 kpc, respectively,
measured at the clusters' redshift. Since we will adopt in
future papers of the survey H0=70 (at variance with Paper II,
where H0=75 has been used), the apertures in kpc are slightly
different from those given in Paper II (4/10/20 kpc): however, the
value in arcseconds remains the same.
- MAG(0
7), MAG(1
0), MAG(1
6)...: magnitudes measured within 8 different fixed apertures
in arcsec.
- FLAG_SEX: SExtractor's FLAG keyword.
- CLASS_STAR: SExtractor's stellarity index.
- WINGS_FLAG: summarizing flag column reporting
pipeline classification and photometric quality of the objects,
using the following prescription:
a1=1 if classified as star;
a2=1 if classified as galaxy;
a3=1 if classified as unknown;
a4=1 if weakly affected by neighbouring halo;
a5=1 if strongly affected by neighbouring halo;
a6=1 if in an area of confidence <;
where the classification is done relying upon our custom interactive tools, the neighbouring halo can be due to saturated stars or nearby extended objects, and the confidence level is extracted from the final confidence maps generated by CASU pipeline (see Sect. 2.2).
The final version of all WINGS survey catalogs will be a comprehensive cross-matched source-list, allowing multiple criteria queries with Web based tools and Euro-VO facilities, and simple identification of objects which have measurements and calculated quantities belonging to different branches of the survey (U,B,V,J,K photometry, spectroscopy).
4 Data quality
As already mentioned in previous sections, the bulk of the reduction has been performed at CASU with the custom designed pipelines for UKIRT-WFCAM. Hereafter we present the results of the quality tests performed by our pipeline on source extraction and classification, both in real and simulated mosaics.
4.1 Completeness
![]() |
Figure 7: The global average detection (full lines) and successful classification (dashed lines) rates, obtained from simulations for the WINGS-NIR survey in the J- ( left panels) and K-band ( right panels). The dotted lines represent the 95, 90 and 75 percent of completeness. The dotted-dashed line in the upper panels represent the fraction of stars misclassified as galaxies by SExtractor. The bottom panels show that, even at bright magnitudes, some galaxies (a small fraction, indeed) are miss-classified as stars. This is likely due to the wide range of effective radii adopted in the simulations, which can sometime produce unrealistically compact luminosity profiles. In real mosaics, such misclassifications are easily corrected with our interactive tool. |
Open with DEXTER |
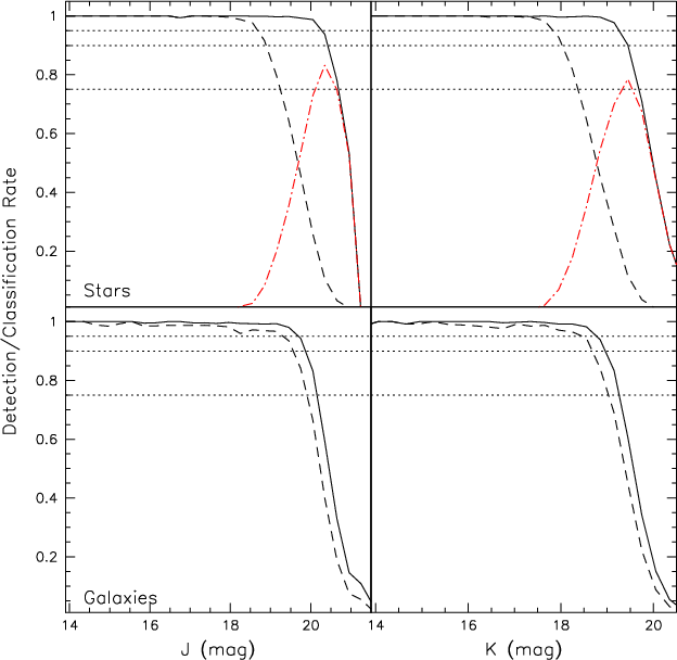
Figure 7 illustrates the global detection and successful classification rates (for both stars and galaxies) evaluated running SExtractor on the mock images, as explained in the previous Sect. 3.1 (see also Table 3). Full and dashed lines are the fraction of the total input objects, detected and correctly classified, respectively. The 90% level of successful classification is reached at J=19.0 and K=18.2 for stars, while the limits become J=19.5 and K=18.5 for extended sources. Moreover, the 90% detection rate limits for galaxies is reached at J=20.5 and K=19.4. In Table 3 we report the detection and classification 90% completeness limits for both stars and galaxies for each cluster and band, as extracted from our simulations.
It is clear that SExtractor is able to classify correctly almost all the galaxies detected in simulations (apart from rare and very compact objects), while this is not true for point-like sources. This is likely due to the seeing variations across the mosaics (which in a few cases is relevant, see Figs. 4, 5). In Fig. 7, the three dotted horizontal lines mark the 95%, 90% and 75% completeness limits of our survey, while the red dashed-dotted line in the upper panels represent the fraction of stars misclassified as galaxies when relying only upon SExtractor's CLASS_STAR. It can be seen that for J,K > 18.0 the frequency of such misclassification becomes relevant (see also Fig. 6) and rapidly increases. However, we have to consider that, for faint magnitudes, the galaxy population becomes gradually dominant (field galaxies) and the contribution to the galaxy counts coming from the (usually small) fraction of misclassified stars should be in any case negligible (see, for e.g., Berta et al. 2006).
An empirical (a posteriori) check of completeness can be performed,
for each cluster in each band, comparing the number counts of
classified objects in our catalogs, with the expected number counts of
field galaxies and stars. In Fig. 8 we show
representative cases for J- (left panels) and K-band (right
panels). The red dashed lines are the expected number counts of stars
in the area of the cluster, calculated with the TRILEGAL code
(Girardi et al. 2005) in the photometric system of WFCAM. The black
solid lines are the number counts of field galaxies taken from the
UKIDSS Ultra Deep Survey (see, Hartley et al. 2008; Lawrence et al. 2007). The
open red and the full blue dots are the WINGS number counts for stars
and galaxies, respectively, as calculated from our source lists, with
their Poissonian error bars. In general, the agreement between the
expected star counts and our catalogs is outstanding, confirming the
excellent performance of the TRILEGAL code as a model of the Galaxy.
However, for 6 clusters out of 28, we noticed an excess in the real
star counts at magnitudes brighter than 18 (see for instance A1644 in
Fig. 8). Since all these clusters are found to
lay approximately in the direction of the center of the Galaxy (albeit
with
), where a higher fraction of halo stars
is encountered, we assume that the model might slightly break down in
this direction. Our galaxy counts agree with the field number counts
only at faint magnitudes, as expected, showing the presence of cluster
galaxies at brighter magnitudes.
![]() |
Figure 8: Number counts in J- ( left panels) and K-band ( right panels) compared with TRILEGAL models of the Galactic stellar distribution from Girardi et al. (2005) (red dashed lines) and field galaxy counts from UKIDSS-UDS Hartley et al. (2008) (solid black lines). The blue full and the red open dots are the galaxy and stars number counts of the corresponding WINGS catalogs. Poissonian error bars are mostly of the dimension of the symbols. |
Open with DEXTER |
The excess of number counts shown in Fig. 8,
revealing the cluster members, can also be seen in
Fig. 9, where the number counts of all the detected
sources (full line), is compared with the cumulative (stars+field
galaxies) counts expected for the area of the clusters (dashed line).
The approximate magnitude where the turnover in the counts occur is a
good estimate of the observed completeness limit, and is reported in
Table 3, together with the theoretical magnitude
limit (dotted-dashed vertical lines) calculated with the following
formula:
where



![]() |
(3) |
where


![]() |
Figure 9: Magnitude counts of all detections in J- ( left panels) and K-band ( right panels), for the deepest ( upper panels) and the shallowest ( bottom panels) cluster mosaics. The dash-dotted vertical lines correspond to the estimated theoretical magnitude limits from Eq. (2); the turnovers in the counts given in this figure indicate the detection completeness for these cluster images. Both values are reported in Table 4 for all clusters. The dashed line is the cumulative stars+field galaxies distribution expected to be found in the area of the mosaic. |
Open with DEXTER |
This theoretical limit corresponds to the magnitude of an object
consisting of
contiguous pixels with ADU counts of
,
and gives an idea of the overall depth of the
mosaic imaging, since it links photometric and detection properties
together. The dash-dotted vertical lines in Fig. 9
show that these limiting magnitude values are quite consistent with
the faintest detected objects.
At the final step, the consistency among the previous three diagrams (Figs. 9, 7 and 8) is used as an a posteriori quality check, as well as as a good empirical tool for possible refinement of SExtractor's input parameters. Usually, when this ideal combination is achieved, objects are detected down to the completeness limit without populating the source lists with unwanted spurious detections.
4.2 Astrometry
Most of the non-linear distortion of WFCAM over the entire field is
accounted for, by a cubic radial term in the astrometric solution.
The CASU pipeline processes the raw images considering the
differential field distortion too, giving at the end an astrometric
error usually below 50 mas (for further details refer to CASU
website, and Dye et al. 2006). We are able to reach that precision only in
relative astrometry, i.e. difference of coordinates in two bands of
the same field. After the coadding of all the MEFs into a single
mosaic, an additional astrometric and photometric re-calibration check
with point-like sources from the 2MASS catalogue is performed.
Figure 10 is a visualization of the astrometric
precision and accuracy for our entire cluster collection: upper panels
show the overall spread of the right ascension and declination
differences between the positions of common point-like sources in our
catalogs and in 2MASS (left panel) or UCAC2 (right panel). Only
sources with a photometric error lower than 0.1 mag were
considered. The overall zero point shift is negligible for all our
applications, and the rms is consistent with UKIRT-WFCAM standard
requirements, being of the order of 100 mas (rms = 112 mas).
![]() |
Figure 10: Astrometry of the WINGS-NIR survey, compared with 2MASS point-source and UCAC2 catalogs ( upper panels) and histograms of the distances ( bottom panels). The overall precision is of the order of 100 mas and nearly 70% of the offsets calculated are below one pixel distance. The high precision astrometry of our survey allows safe cross-matching of catalogues extracted from other surveys. |
Open with DEXTER |
While the original stacks of each tile use a Zenithal Polynomial projection (ZPN) astrometric solution, the final coadded mosaics are expressed in the standard gnomonic tangential projection (TAN). Thanks to the accurate and precise astrometric solutions applied to our mosaics, cross-matched source lists in different bands (optical and U bands included) are very easily obtained, and the fraction of mismatches is negligible.
4.3 Photometry
In Table 4 a summary of the properties of the
catalogs is given, and the surface brightness limits, calculated in
the following way, are reported:
where A'' is the pixel area in arcseconds. This relation gives the minimum surface brightness a pixel can have due to the sigma clipping chosen for the specific mosaic. The output of Eq. (4) is obviously changing from cluster to cluster, but it generally settles at


![]() |
Figure 11:
The 2MASS photometry is converted to the WINGS/WFCAM
photometric system with Eqs. (5), (6) and then compared with WINGS magnitudes, for the whole collection of our
NIR mosaics, separately in J- ( upper panel) and K-band ( lower
panel). For a correct comparison with 2MASS we use aperture
(
|
Open with DEXTER |
Table 4: WINGS-NIR catalogs useful parametersa.
Photometry at CASU is currently based on 2MASS, via colour equations
converting 2MASS magnitudes to the WFCAM photometric system. The most
recently released photometric calibrations are given by
(see, Hodgkin et al. 2009). Neglecting the interstellar extinction,
they are as follows:
Due to the improved precision in the fitting algorithm, these equations are different from those given in the early-data-release by Dye et al. (2006). Different tests carried out at CASU suggest that the 2MASS calibration is delivering photometric zero-points at the

Photometric errors assigned by SExtractor are unrealistically small, because they are based only on the photon-noise statistics. The use of the so called confidence-maps (weight-maps for SExtractor users) helps in computing more realistic values of photometric uncertainties. However, we have verified that this latter approach still leads to underestimates of the photometric errors. Therefore, we preferred to use the simulations to recover the effective precision of our measurements. Nevertheless, SExtractor errors will be available in the WINGS website queries forms.
![]() |
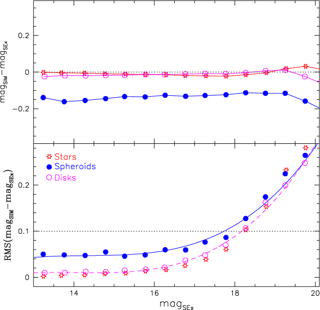
Figure 12: Global photometric precision and accuracy as obtained from simulations for stars (red starred dots), disks (open magenta circles) and spheroids (full blue circles). Top panel: average differences between the input and SExtractor magnitudes for bins of 0.5 mag of input total magnitude. Bottom panel: rms of the previous differences. While the magnitudes of stars and disks are perfectly recovered, there is a systematic shift of 0.2 mag in the spheroidal r1/4 magnitudes, due to the loss of light in the wings of simulated galaxies. |
Open with DEXTER |
In Fig. 12 we present the global results (J and Kband together) of photometry checks from the simulations. In the top
panel the differences between input and output SExtractor magnitudes as
measured from the mock images for stars (red starred dots),
exponential disks (open magenta circles) and spheroidal r1/4 (blue
filled circles) are plotted for 0.5 mag bins of total magnitude. The
agreement is quite good, apart from the constant shift of 0.2 mag for
spheroidal galaxies even at bright magnitudes. This effect is well
known from the literature (Franceschini et al. 1998) and is also
recalled in Paper II. It is caused by the loss of light from the wings
of profiles of spheroidal r1/4 galaxies in the background noise. The
bottom panel of the same figure presents the overall precision of our
photometry (the rms of measurements is plotted for 0.5 mag bins, the
symbols are as above), with the corresponding polynomial fit for
spheroids (blue full line) and exponential disks (magenta dashed line)
to be used as the rms value for all magnitudes of the catalogs:
where

Figure 12 shows that the global rms is below 0.1 mag
down to 18.3 mag for stars and disks, and almost 18.0 mag for
spheroids. It is clear that for J-band mosaics this limit can
sometimes reach 18.8 mag, while for the K-band it is found at
17.5 mag, depending on overall quality of the image. Given
the overall rates of successful classification deduced from
Fig. 7 and Table 3, it is more
than conservative to assign those levels of photometric errors beyond
18.0 mag and 17.5 mag for the J- and K-band, respectively.
As an internal check of photometric accuracy, we show in Fig. 13 two representative examples of total MAG_AUTO color-magnitude diagrams of galaxies from our survey. The tightness of the red sequences (the rms of the spectroscopically confirmed members of the clusters is 0.03 mag and 0.05 mag) demonstrates the internal consistency of the WINGS-NIR photometry (these rms values are found also by Eisenhardt et al. 2007).
![]() |
Figure 13: Color magnitude diagrams of classified galaxies for a selection of WINGS-NIR clusters. The relatively thin red cluster sequences confirm the accuracy of the photometry provided by SExtractor. The large number of detections obtained at fainter magnitudes are the field background galaxies and demonstrate the deepness of our survey. There are also indications of red sequences for the field galaxies at bright magnitudes, indicating the presence of background clusters at higher redshift. The big red full circles are the spectroscopically selected members of the clusters (Cava et al. 2009). |
Open with DEXTER |
5 Summary
In this paper we have presented the first data release of the WINGS-NIR survey, comprised of J- and K-band photometric catalogs for a sub-sample of 28 nearby galaxy clusters belonging to the WINGS optical survey. The detected sources have been classified as stars, galaxies and unknown objects, and for each of them we give positions, geometrical parameters and different kinds of total and aperture magnitudes in both bands (when available).
Due to the variations of the seeing FWHM over the large areas of our mosaics and the poor reliability of SExtractor's CLASS_STAR parameter, we used a specifically designed interactive pipeline to improve star/galaxy classification. The near-infrared WINGS data consists of nearly one million detected sources, with 150 000 and 500 000 reliably classified stars and galaxies, respectively.
This unique collection of data turns out to be 90% complete in detection limits at J=20.5 and K=19.4, and in classification limits at J=19.0 and K=18.5 (limits vary from cluster to cluster depending on seeing conditions and total integration time), values to be compared with 2MASS, J=15.8 and K=14.3 for point-like sources, UKIDSS Large Area Survey J=20.0 and K=18.4, and UKIDSS Ultra Deep Survey J=25.0 and K=23.0 (for further details, see Lawrence et al. 2007; Dye et al. 2006; Skrutskie et al. 2006).
Using this new, extensive and comprehensive catalog, we will study
several different properties and characteristics of low-redshift
cluster galaxies. The near-infrared data presented in this paper will
be combined with our optical photometry, morphology and spectroscopy
catalogs to systematically study the dependence of these cluster
galaxy properties on their stellar mass (since this is traced by the Jand K bandpasses). Furthermore, the study of the J,K luminosity
functions (known to be a good tracers of the stellar mass function),
will allow us to estimate the distribution of the stellar
mass-to-light ratio as a function of the cluster-centric distance, for
different morphological types. For the galaxies in our sample for
which we can derive reliable near-infrared surface photometry and
structural parameters (e.g., ,
), we will
investigate the behaviour of our sample with respect to the various
scaling relations (i.e., Fundamental Plane, Kormendy relation).
Broad-band spectral energy distributions will be generated for the
galaxies in our sample by combining the optical and near-infrared
photometry, giving us further information on stellar content and
cluster membership. Also, using our cluster sample, we will be looking
at what effect the use of a near-infrared total cluster luminosity has
on the Fundamental Plane of Galaxy Clusters.
The final version of the complete WINGS survey catalogs will be a comprehensive cross-matched source-list, allowing multiple criteria queries with Web based tools and Euro-VO facilities. Through the website the identification of objects which have measurements and calculated quantities from different branches of the survey (U,B,V,J,Kphotometry, surface photometry, morphology and spectroscopy) will be made easier by means of specific web applets.
Acknowledgements
T. Valentinuzzi acknowledges a post-doc fellowship from the Ministero dell'Istruzione, dell'Università e della Ricerca (Italy). He also thanks for help and useful discussions: Omar Almaini, Sebastien Foucaud, Roberto Caimmi, Stefano Berta, Luca Rizzi, Alessia Moretti, and Stefano Rubele. D. Woods acknowledges the OPTICON travel funding scheme and Australian Gemini Office research funds both which made it possible to obtain these observations at UKIRT. He also thanks his Padova collaborators for their hospitality and generosity during his visit for the team meeting. Marco Riello and Tiziano Valentinuzzi would like to thank Mike Irwin for making the stand-alone versions of the CASU pipeline software available and for helpful discussions and suggestions on the data processing issues related to this work. We also thank the unknown referee for useful suggestions and comments which stimulated discussion and resulted in an improved paper. These observations have been funded by the Optical Infrared Coordination network (OPTICON), a major international collaboration supported by the Research Infrastructures Programme of the European Commissions Sixth Framework Programme. We want to acknowledge the Terapix software group for the immense help bestowed by their software utilities, and CASU for the great job done with pre-reduction of images and in keeping databases. This research has made use of the NASA/IPAC Extragalactic Database (NED) which is operated by theJet Propulsion Laboratory, California Institute of Technology, under contract with the National Aeronautics and Space Administration. IRAF (Image Reduction and Analysis Facility) is written and supported by the IRAF programming group at the National Optical Astronomy Observatories (NOAO) in Tucson, Arizona. NOAO is operated by the Association of Universities for Research in Astronomy (AURA), Inc. under cooperative agreement with the National Science Foundation.
References
- Berta, S., Rubele, S., Franceschini, A., et al. 2006, A&A, 451, 881 [NASA ADS] [CrossRef] [EDP Sciences] (In the text)
- Bertin, E., & Arnouts, S. 1996, A&AS, 117, 393 [NASA ADS] [CrossRef] [EDP Sciences] (In the text)
- Blakeslee, J. P., Franx, M., Postman, M., et al. 2003, ApJ, 596, L143 [NASA ADS] [CrossRef]
- Casali, M., Adamson, A., Alves de Oliveira, C., et al. 2007, A&A, 467, 777 [NASA ADS] [CrossRef] [EDP Sciences] (In the text)
- Cava, A., Bettoni, D., Poggianti, B. M., et al. 2009, A&A, 495, 707 [NASA ADS] [CrossRef] [EDP Sciences]
- De Lucia, G., Poggianti, B. M., Aragón-Salamanca, A., et al. 2007, MNRAS, 374, 809 [NASA ADS] [CrossRef]
- De Lucia, G., Springel, V., White, S. D. M., Croton, D., & Kauffmann, G. 2006, MNRAS, 366, 499 [NASA ADS] [CrossRef] (In the text)
- De Propris, R., Colless, M., Driver, S. P., et al. 2003, MNRAS, 342, 725 [NASA ADS] [CrossRef]
- Dye, S., Warren, S. J., Hambly, N. C., et al. 2006, MNRAS, 372, 1227 [NASA ADS] [CrossRef] (In the text)
- Eisenhardt, P. R., De Propris, R., Gonzalez, A. H., et al. 2007, ApJS, 169, 225 [NASA ADS] [CrossRef] (In the text)
- Emerson, J. P., Irwin, M. J., Lewis, J., et al. 2004, in Optimizing Scientific Return for Astronomy through Information Technologies, ed. P. J. Quinn, & A. Bridger, Proc. SPIE, 5493, 401
- Fasano, G., Marmo, C., Varela, J., et al. 2006, A&A, 445, 805 [NASA ADS] [CrossRef] [EDP Sciences] (In the text)
- Foucaud, S., Almaini, O., Smail, I., et al. 2007, MNRAS, 376, L20 [NASA ADS] (In the text)
- Franceschini, A., Silva, L., Fasano, G., et al. 1998, ApJ, 506, 600 [NASA ADS] [CrossRef] (In the text)
- Fritz, J., Poggianti, B. M., Cava, A., et al. 2009, in preparation
- Fruchter, A. S., & Hook, R. N. 2002, PASP, 114, 144 [NASA ADS] [CrossRef] (In the text)
- Gavazzi, G., Trinchieri, G., & Boselli, A. 1990, A&AS, 86, 109 [NASA ADS]
- Girardi, L., Groenewegen, M. A. T., Hatziminaoglou, E., & da Costa, L. 2005, A&A, 436, 895 [NASA ADS] [CrossRef] [EDP Sciences] (In the text)
- Hambly, N. C., Mann, R. G., Bond, I., et al. 2004, in Optimizing Scientific Return for Astronomy through Information Technologies, ed. P. J. Quinn, & A. Bridger, Proc. SPIE, 5493, 423
- Hodgkin, S. T., Irwin, M. J., Hewett, P. C., & Warren, S. J. 2009, MNRAS, 394, 675 [NASA ADS] [CrossRef] (In the text)
- Holden, B. P., Stanford, S. A., Eisenhardt, P., & Dickinson, M. 2004, AJ, 127, 2484 [NASA ADS] [CrossRef]
- Holden, B. P., van der Wel, A., Franx, M., et al. 2005, ApJ, 620, L83 [NASA ADS] [CrossRef]
- Irwin, M., Lewis, J., Riello, M., et al. 2008, in preparation (In the text)
- Irwin, M. J., Lewis, J., Hodgkin, S., et al. 2004, in Optimizing Scientific Return for Astronomy through Information Technologies, ed. P. J. Quinn, & A. Bridger, Proc. SPIE, 5493, 411
- Kauffmann, G., & Charlot, S. 1998, MNRAS, 297, L23 [NASA ADS] [CrossRef] (In the text)
- Kodama, T., & Bower, R. 2003, MNRAS, 346, 1 [NASA ADS] [CrossRef] (In the text)
- Lawrence, A., Warren, S. J., Almaini, O., et al. 2007, MNRAS, 379, 1599 [NASA ADS] [CrossRef] (In the text)
- Mei, S., Holden, B. P., Blakeslee, J. P., et al. 2006, ApJ, 644, 759 [NASA ADS] [CrossRef]
- Pahre, M. A. 1999, ApJS, 124, 127 [NASA ADS] [CrossRef]
- Poggianti, B. M., Bridges, T. J., Mobasher, B., et al. 2001, ApJ, 562, 689 [NASA ADS] [CrossRef] (In the text)
- Riello, M., & Irwin, M. J. 2008, in The 2007 ESO instrument calibration workshop: proceedings, ESO Astrophys. Symp. (Springer-Verlag), 581 (In the text)
- Skrutskie, M. F., Cutri, R. M., Stiening, R., et al. 2006, AJ, 131, 1163 [NASA ADS] [CrossRef]
- Tokunaga, A. T., Simons, D. A., & Vacca, W. D. 2002, PASP, 114, 180 [NASA ADS] [CrossRef] (In the text)
- Trager, S. C., Faber, S. M., Worthey, G., & González, J. J. 2000, AJ, 120, 165 [NASA ADS] [CrossRef] (In the text)
- van Dokkum, P. G., & Stanford, S. A. 2003, ApJ, 585, 78 [NASA ADS] [CrossRef]
- Varela, J., D'Onofrio, M., Marmo, C., et al. 2009, A&A, 497, 667 [NASA ADS] [CrossRef] [EDP Sciences] (In the text)
Footnotes
- ... clusters
- Based on observations taken at the United Kingdom Infra-Red Telescope, operated by the Joint Astronomy Centre on behalf of the Science and Technology Facilities Council of the UK.
- ...
- J and K photometric catalogs are only available in electronic form at the CDS via anonymous ftp to cdsarc.u-strasbg.fr (130.79.128.5) or via http://cdsweb.u-strasbg.fr/cgi-bin/qcat?J/A+A/501/851
- ... WINGS
- Please refer to WINGS Website for updated details on the survey and its products, http://web.oapd.inaf.it/wings
- ... system
- Note that
WFCAM is equipped with a broad K-band filter, not with the short-band
.
- ... website
- http://casu.ast.cam.ac.uk/surveys-projects/wfcam/dataprocessing
- ...
site
- The web page http://www.ast.cam.ac.uk/~wfcam provides access to the WFCAM raw data and includes detailed description and useful summaries of the observing and reduction processes.
- ...
resolution
- Micro-stepping and interlacing allow scales of
1/2 and 1/3 of the original pixel size, avoiding the PSF
under-sampling when good seeing conditions occur. In all our
observations the effective pixel size is 0
2.
- ... MAD
- MAD: median absolute deviation from the median.
- ... way
- In Paper II the galaxies value was 0.2: the difference is due to the intrinsic differences between near-infrared and optical images. These values are estimated using simulations which reproduce the peculiar characteristics of the mosaics.
- ... apertures
- Three of these fixed
apertures have been chosen to match the multi-fiber spectroscopy of
the WINGS fields. 1
6 is the projected diameter of the fibers using the Autofib2@WHT, while using the 2dF@AAT results in a diameter that varies radially in the field from 2
16 in the center to 2
0 at the edges.
- ... 50 mas
- Milliarcseconds.
All Tables
Table 1: Summary of the observations, taken with WFCAM on UKIRT, discussed in this paper.
Table 2: Example of entries of J and K photometric catalogs.
Table 3: WINGS-NIR clusters sample with relevant useful quantities.
Table 4: WINGS-NIR catalogs useful parametersa.
All Figures
![]() |
Figure 1: Distribution of WINGS-NIR clusters (red full line) compared with the distribution of all the WINGS survey clusters (black dotted line). The dotted diagram is slightly shifted for ease of view. |
Open with DEXTER | |
In the text |
![]() |
Figure 2:
The central region (2.5 |
Open with DEXTER | |
In the text |
![]() |
Figure 3: The distribution of the median FWHMs (angular vs. physical) of all the J- (open blue circle; blue dashed line) and K-band (filled red circles; red full line) mosaics: black dotted lines are the total J and K distributions. The error bars show the rms of the median seeing variation of each section of the mosaic, as shown in Fig. 4. Note that a large error bar means that, due to non-photometric nights and/or technical problems with the camera, the FWHM was unstable among the different exposures making up the final mosaic. The dotted vertical line is the limit for quality requirements of WINGS survey spatial physical resolution, needed for reliable morphological classification and surface photometry. |
Open with DEXTER | |
In the text |
![]() |
Figure 4:
Due to the WFCAM configuration and the way the
observations are carried out, the final mosaics have global PSF
variations in a chessboard pattern fashion. The ``tile'' described in
the text, is composed of 4 exposures (i.e., MEFs), of 4 detectors
each, which gives the 16 sections of the mosaic shown here (pixel
size is 0
|
Open with DEXTER | |
In the text |
![]() |
Figure 5:
Distribution of the quantity
|
Open with DEXTER | |
In the text |
![]() |
Figure 6:
Plot of the difference between two aperture magnitudes (1 arcsec-3 arcsec diameter) vs. total magnitude for galaxies (blue bold dots) and
stars (red light dots) as classified by SExtractor before any interactive
cleaning. In this diagram the star and galaxy loci turn out to be
well apart down to
|
Open with DEXTER | |
In the text |
![]() |
Figure 7: The global average detection (full lines) and successful classification (dashed lines) rates, obtained from simulations for the WINGS-NIR survey in the J- ( left panels) and K-band ( right panels). The dotted lines represent the 95, 90 and 75 percent of completeness. The dotted-dashed line in the upper panels represent the fraction of stars misclassified as galaxies by SExtractor. The bottom panels show that, even at bright magnitudes, some galaxies (a small fraction, indeed) are miss-classified as stars. This is likely due to the wide range of effective radii adopted in the simulations, which can sometime produce unrealistically compact luminosity profiles. In real mosaics, such misclassifications are easily corrected with our interactive tool. |
Open with DEXTER | |
In the text |
![]() |
Figure 8: Number counts in J- ( left panels) and K-band ( right panels) compared with TRILEGAL models of the Galactic stellar distribution from Girardi et al. (2005) (red dashed lines) and field galaxy counts from UKIDSS-UDS Hartley et al. (2008) (solid black lines). The blue full and the red open dots are the galaxy and stars number counts of the corresponding WINGS catalogs. Poissonian error bars are mostly of the dimension of the symbols. |
Open with DEXTER | |
In the text |
![]() |
Figure 9: Magnitude counts of all detections in J- ( left panels) and K-band ( right panels), for the deepest ( upper panels) and the shallowest ( bottom panels) cluster mosaics. The dash-dotted vertical lines correspond to the estimated theoretical magnitude limits from Eq. (2); the turnovers in the counts given in this figure indicate the detection completeness for these cluster images. Both values are reported in Table 4 for all clusters. The dashed line is the cumulative stars+field galaxies distribution expected to be found in the area of the mosaic. |
Open with DEXTER | |
In the text |
![]() |
Figure 10: Astrometry of the WINGS-NIR survey, compared with 2MASS point-source and UCAC2 catalogs ( upper panels) and histograms of the distances ( bottom panels). The overall precision is of the order of 100 mas and nearly 70% of the offsets calculated are below one pixel distance. The high precision astrometry of our survey allows safe cross-matching of catalogues extracted from other surveys. |
Open with DEXTER | |
In the text |
![]() |
Figure 11:
The 2MASS photometry is converted to the WINGS/WFCAM
photometric system with Eqs. (5), (6) and then compared with WINGS magnitudes, for the whole collection of our
NIR mosaics, separately in J- ( upper panel) and K-band ( lower
panel). For a correct comparison with 2MASS we use aperture
(
|
Open with DEXTER | |
In the text |
![]() |
Figure 12: Global photometric precision and accuracy as obtained from simulations for stars (red starred dots), disks (open magenta circles) and spheroids (full blue circles). Top panel: average differences between the input and SExtractor magnitudes for bins of 0.5 mag of input total magnitude. Bottom panel: rms of the previous differences. While the magnitudes of stars and disks are perfectly recovered, there is a systematic shift of 0.2 mag in the spheroidal r1/4 magnitudes, due to the loss of light in the wings of simulated galaxies. |
Open with DEXTER | |
In the text |
![]() |
Figure 13: Color magnitude diagrams of classified galaxies for a selection of WINGS-NIR clusters. The relatively thin red cluster sequences confirm the accuracy of the photometry provided by SExtractor. The large number of detections obtained at fainter magnitudes are the field background galaxies and demonstrate the deepness of our survey. There are also indications of red sequences for the field galaxies at bright magnitudes, indicating the presence of background clusters at higher redshift. The big red full circles are the spectroscopically selected members of the clusters (Cava et al. 2009). |
Open with DEXTER | |
In the text |
Copyright ESO 2009
Current usage metrics show cumulative count of Article Views (full-text article views including HTML views, PDF and ePub downloads, according to the available data) and Abstracts Views on Vision4Press platform.
Data correspond to usage on the plateform after 2015. The current usage metrics is available 48-96 hours after online publication and is updated daily on week days.
Initial download of the metrics may take a while.