| Issue |
A&A
Volume 501, Number 3, July III 2009
|
|
|---|---|---|
| Page(s) | L9 - L13 | |
| Section | Letters | |
| DOI | https://doi.org/10.1051/0004-6361/200912354 | |
| Published online | 22 June 2009 | |
LETTER TO THE EDITOR
Generation of rotationally dominated galaxies by mergers of pressure-supported progenitors
P. Di Matteo1 - C. J. Jog2 - M. D. Lehnert1 - F. Combes3 - B. Semelin3
1 - Observatoire de Paris, section de Meudon, GEPI, 5 Place Jules Jannsen, 92195 Meudon, France
2 - Department of Physics, Indian Institute of Science, Bangalore 560012, India
3 - Observatoire de Paris, LERMA, 61 Avenue de l'Observatoire, 75014 Paris, France
Received 20 April 2009 / Accepted 28 May 2009
Abstract
Through the analysis of a set of numerical simulations of major mergers between initially non-rotating, pressure-supported progenitor galaxies with a range of central mass concentrations, we
have shown that: (1) it is possible to generate elliptical-like galaxies, with
outside one effective radius, as a result of the conversion of orbital- into internal-angular momentum; (2) the outer regions acquire part of the angular momentum first; (3) both the baryonic and the dark matter components of the remnant galaxy acquire part of the angular momentum, the relative fractions depending on the initial concentration of the merging galaxies. For this conversion to occur the initial baryonic component must be sufficiently dense and/or the encounter should take place on an orbit with high angular momentum. Systems with these hybrid properties have recently been observed through a combination of stellar absorption lines and planetary nebulae for kinematic studies of early-type galaxies. Our results are in qualitative agreement with these
observations and demonstrate that even mergers composed of non rotating, pressure-supported progenitor galaxies can produce early-type galaxies with significant rotation at large radii.
Key words: galaxies: interactions - galaxies: formation - galaxies: evolution - galaxies: structure - methods: N-body simulations - galaxies: kinematics and dynamics
1 Introduction
It has been known for several decades that early type galaxies have complex kinematics and varying amounts of rotation and that these characteristics depend on luminosity and isophotal shape
(e.g., Bender 1988; Davies 1983). Recently, the results of the SAURON survey (de Zeeuw et al. 2002; Bacon et al. 2001) have lead to a division of early-type galaxies into two distinct classes, slow and fast rotators, depending on the amount of the angular momentum per unit mass of their stellar component inside one effective radius (
;
Emsellem et al. 2007). These two classes also have different properties, and slow rotators are generally more massive, less flattened systems than fast
rotators (Cappellari et al. 2007). Studies of the more distant regions of early-type galaxies, traced by planetary nebulae, have shown that the complexity of the kinematics of the inner regions also extends to the outer halos (Coccato et al. 2009). Interestingly, these outer halos can be more rotationally dominated than their central regions (Coccato et al. 2009).
Extensive studies using numerical simulations suggest that different processes lead to the formation of slow and fast rotating early-type galaxies. Most of these studies have focused on the remnants of
spiral-spiral mergers, which are likely to be important for the evolution of ellipticals and perhaps responsible for driving galaxies from the blue cloud to the red sequence (Faber et al. 2007; Cattaneo et al. 2006; Romeo et al. 2008). Even if the agreement between simulations and observations is often only qualitative - which is most likely due to incomplete knowledge of the characteristics of the progenitors of these merger remnants - some conclusions can still be drawn (Jesseit et al. 2008; Bournaud et al. 2004; Cretton et al. 2001; Naab et al. 2006a; González-García & Balcells 2005; Velazquez & White 1999; Bendo & Barnes 2000; Naab et al. 1999; González-García et al. 2006; Bournaud et al. 2005; Naab & Burkert 2003; Quinn et al. 1993; Jesseit et al. 2007). Mergers of two spirals can produce
rotationally supported, early-type galaxies (at radii inside 1
), depending on the mass ratio of the progenitors. Major mergers (1:1 mass ratio) are violent enough to completely destroy the initial ordered rotational motions in the progenitor disks
, typically producing a
pressure-supported system. Apparently, mergers with higher mass ratios can generally produce remnants with significant rotation. Virtually all the focus so far has been on simulated
spiral-spiral interactions, attempting to answer the question: is it possible to (at least partially) preserve the initial internal angular momentum of the progenitor disks?
Encounters between pressure-supported (spheroid-dominated) galaxies have been systematically studied by White (1979,1978), González-García & van Albada (2005b,a), and González-García et al. (2006). These studies show that such mergers result in a wide variety of remnant properties. In particular, González-García & van Albada (2005a) point out that mergers of spherically symmetric galaxies, without dark matter, can result in remnants partially supported by rotation and that part of the orbital angular momentum is absorbed by the halo, when present (González-García & van Albada 2005b). However, none of these
studies have investigated in detail how the orbital angular momentum is redistributed during the interaction, nor have they investigated the dynamical properties of the remnants out to large distances (several
).
In this letter, we show, for the first time, that mergers of initially spherical, pressure-supported stellar systems without rotation can produce hybrid remnants having elliptical-like morphology, but are dominated by rotation (
). As we demonstrate, the final characteristics of the remnant depends on both the initial orbital angular momentum and the central density of the merging galaxies.
2 Models and initial conditions
We study the coalescence of two equal-mass elliptical galaxies, consisting of a stellar and a dark matter (DM) component, distributed in a Plummer density profile, without any dissipational component and initial rotation. The density profile of the dark matter halo is the same in all the simulations, and we only changed the central density of the baryonic component to study
how changing the density affects the angular momentum (AM) redistribution during the encounter. We thus considered gE0l, gE0, and gE0m models, with increasing central stellar density (Fig. 1). In these models, both the stellar and dark matter profiles are represented by Plummer spheres, having characteristic masses given by
and
,
and core radii given by
and
for the baryons and halo respectively (Table 1). Their half-mass radii r50 and effective densities
agree with observational estimates for galaxies with Mr=-22 (Desroches et al. 2007), assuming an M/L=3 in the r-band. Since the total mass of the stellar component is fixed, increasing the central stellar density results in a more concentrated and compact stellar profile. In these models, the DM contributes
10-30
of the total mass within the half-mass radius of the baryonic component, in agreement with observational estimates (Barnabe et al. 2009). The initial galaxies have then been placed at a relative distance of 100 kpc, with a variety of relative velocities, to simulate different orbits (orbital energies and angular momenta; see Di Matteo et al. 2009). In particular, in the following we show results from three of these orbits (id = 01, 05, 15), whose main parameters are given in Table 2. When referring to specific encounters, the nomenclature adopted includes the morphological type of the two galaxies in the interaction (gE0, gE0l, or gE0m), and the encounter identification string (see first column in Table 2). Each pair has been modeled with N=120 000 particles, distributed among stars (
)
and dark matter (
= 40 000).
All the simulations were run using the Tree-SPH code described in Semelin & Combes (2002). A Plummer potential is used to soften the gravity on small scales, with constant softening lengths of
for all particles. The equations of motion are integrated using a leapfrog algorithm with a fixed time step of 0.5 Myr. With these choices, the relative error in the conservation of the total energy is close to 2
10-7 per time step. Since the work presented here only investigates dry mergers, only the part of the code evaluating
the gravitational forces acting on the systems has been used.
3 Results
3.1 Angular momentum redistribution: dependence on the orbits
| |
Figure 1: Initial properties of the galaxy models: a) projected density map of the stellar component of the gE0 galaxy; b) volume-density profiles of the galaxy models. |
| Open with DEXTER | |
Table 1: Parameters for the standard (gE0), less concentrated (gE0l) and more concentrated (gE0m) model galaxies.
Table 2: Orbital parameters.
The first questions we would like to address are how orbital AM is redistributed and converted into internal AM during an interaction and how this depends on the orbital parameters of the encounter. In Fig. 2, we show the evolution of the total, orbital and internal AM, for two different orbits (id = 15 and id = 05), corresponding to increasing initial orbital angular momenta. The AM is evaluated with respect to the barycenters of the two galaxies, considering all the particles. The main results are:
- The total AM is (obviously) conserved during the interaction.
- The orbital AM is constant until the first pericenter passage between the two galaxies. When this happens, dynamical friction and tidal torques act efficiently on the systems, converting
part of the orbital AM into internal AM.
- At each successive close passage between the two galaxies, part of the orbital AM is converted into internal rotation of the two systems. This process ends when all the orbital AM is converted into internal AM and the two galaxies finally merge.
- Instead of defining the merging time as the point where the two galaxy centers are sufficiently close, we suggest, based on dynamical arguments, that the merging time could be the point where orbital AM is totally converted into internal AM. As we verified, these two definitions give similar merging times. This definition, of course, only applies to orbits having an initial orbital AM different from zero.
- Because of AM conservation, the final amount of internal AM of the remnant galaxy depends on the initial amount of orbital AM.
- The orbital AM is converted into internal AM ``outside-in'', and the external regions acquire part of the angular momentum first.
- Interestingly, between the first pericenter passage and the final phases of coalescence, the outer regions show some rotation, while the inner regions do not.
- Both the baryonic and the dark matter component acquire part of the orbital AM, and both the components, in the final remnant, show some rotation. The two initially non rotating and spherically symmetric components are thus transformed into a flattened rotating
system
.
- The higher the initial orbital AM, the higher the internal specific AM of the final remnant, at all radii.
| |
Figure 2:
Evolution of the total (black line), orbital (solid red line), and
internal (dashed red line) AM for two different orbits. The two galaxies are identical, so the internal and orbital AM are shown only for one of the two. The angular momenta are all measured perpendicular to the orbital plane and are in units of 2.3 |
| Open with DEXTER | |
| |
Figure 3:
Evolution of the specific AM, l, for four different regions of one of the two elliptical galaxies (
|
| Open with DEXTER | |
![]() |
Figure 4: Panels a)- c) show results similar to Fig. 3, but now the panels show the evolution of the specific AM for interacting pairs having initially the same orbital parameters, but different morphologies (the stellar central densities increase from panel a)- c). Panel d): specific AM, l, of the remnant galaxies as a function of radii containing a fixed percentage of the baryonic (red lines) and halo (black lines) mass. l was evaluated at least 1 Gyr after the coalescence of the two progenitors. Line styles correspond to the different morphologies shown in panels a)- c), i.e., gE0lgE0l01 (dot-dashed line), gE0gE001 (dashed line), gE0mgE0m01 (solid line). |
| Open with DEXTER | |
3.2 Angular momentum redistribution: dependence on the galaxy central density
To investigate how the evolution and redistribution of AM depend on the initial central density of the two progenitors, we also simulated mergers with a range of concentrations (gE0l-gE0 - less concentrated and gE0m-gE0m - more concentrated). Figure 4 shows the evolution with time of the specific internal AM for four different regions in the galaxy (see also Fig. 3). Since the initial orbital AM are the same in these simulations, the amount of internal AM of the final remnant will also be the same. However, AM is redistributed in a quite different way, depending on the initial concentration of the progenitor galaxies. We find that mergers with higher initial galaxy central density produce remnants with larger relative amount of rotation at any radius within a radius of 20 kpc. This result is true for both the baryonic and dark matter components.
This behavior is related to the three remnant galaxies having different mass distribution profiles, as we discuss in the next section, and so ultimately the physical regions chosen in
Fig. 4 contain different amounts of baryonic and dark matter mass. A more appropriate comparison is the distribution of the specific AM within a constant fraction of the mass. We show the distribution of the specific AM as a function of radii containing
a fixed percentage of the baryonic or dark matter mass in Fig. 4, panel (d). Again, this is evaluated at least 1 Gyr after the merger was completed. The internal rotation is distributed in quite a different way in the three remnants as a function of mass. The baryons in each of the models have a similar distribution of l inside the effective radius, while outside it, less concentrated progenitors lead to a higher amount of specific AM. The dark matter component, however, shows the opposite trend - the specific AM is higher for all values of the enclosed mass for progenitors with high concentration. This is because more concentrated baryonic components are less responsive to tidal torques, while the outer, less concentrated halo is more strongly
affected by the tidal interaction. To illustrate this in the case of the gE0lgE0l01 interaction, at the end of the simulation about
of the orbital AM has been acquired by the baryons,
and only
by the dark halo, while for the most concentrated case (gE0mgE0m01) the two components have acquired a similar percentage of the initial orbital AM (
for the baryons and
for the halo).
Thus, baryonic components with low concentrations are more susceptible to tidal torques, hence acquire a higher percentage of the initial orbital angular momentum.
3.3 Mergers of dense pressure-supported systems: rotationally-dominated systems with an elliptical morphology
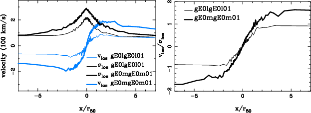
The varying amount of specific AM found in remnants of progenitors with different initial concentrations is also reflected in the kinematics. A detailed analysis of the relationship between the morphological and dynamical properties of mergers of pressure-supported systems will be
the topic of a future paper. Here we simply note that when a sufficient amount of specific AM is imparted to the central regions of the remnant galaxy, such remnants may show interesting hybrid properties. Some may have the morphology typical of an elliptical galaxy, but a
ratio higher than 1, over most of their extended stellar distribution. This is the case, for example, in the gE0mgE0m01 merger remnant. Even if its baryonic component has a specific AM inside the
half-mass radius similar to that of the less concentrated galaxies (panel d of Fig. 4), the gE0mgE0m01 remnant is much denser than, for example, the gE0lgE0l01 remnant (Fig. 5). The different mass distribution of the two galaxies is reflected in different dynamical properties in an interesting way: even if they acquire a lower percentage of the orbital AM, since less susceptible to tidal torques, the baryonic components of
the most concentrated systems show a higher central velocity dispersion, a steeper dispersion profile, a higher value of the line-of-sight velocities, and a
ratio that becomes greater than 1 at about r=r50 (the baryonic half-mass radius; Fig. 6). This may appear paradoxical, but it occurs because the internal AM is redistributed over a much more compact distribution compared to low-concentration remnants. Most of the galaxies studied by Coccato et al. (2009) show a
ratio not greater than 0.6, while a fraction of them have kinematics that become increasingly supported by rotation in the outer parts, qualitatively in agreement with the hybrid merger remnants discussed here. This supports the idea that the morphological properties of a galaxy are not univocally related to the dynamical ones. Mergers can indeed produce hybrid systems, because they have a spiral-like morphology but an elliptical-like kinematics (Bournaud et al. 2005,2004; Jog & Chitre 2002) or, as presented here, elliptical morphology
but are rotationally-dominated.
![]() |
Figure 5: Morphological characteristics of two remnants of pressure-supported, initially non-rotating galaxies. Top panels: ( left) projected density map of the remnant of the gE0mgE0m01 encounter (progenitors with high concentrations); ( right) surface density profile of the baryonic (red color) and dark matter component (black color) of the remnant (solid line) and its progenitor galaxy (dashed line). The green arrows indicate the half mass radius (r50) of the baryonic component. Bottom panels: same as top panels, but progenitors with relatively low concentrations (gE0lgE0l01). |
| Open with DEXTER | |
| |
Figure 6:
Kinematical properties of two remnants of E-E mergers. Left panel: line-of-sight velocities (blue) and velocity dispersions (black) of the gE0mgE0m01 (thick lines) and of the gE0lgE0l01 (thin lines) remnants. Right panel: corresponding |
| Open with DEXTER | |
4 Conclusions
Through the analysis of a set of numerical simulations of major mergers between initially non-rotating, pressure-supported progenitor galaxies, we have shown that it is possible to generate elliptical-like galaxies, with
outside one effective radius, simply as a result of the conversion of the orbital AM into an internal one, during the mergers of two initially
non rotating progenitors. For this to occur the initial baryonic component must be sufficiently dense and/or the encounter should take place on a high AM orbit.
Systems with such hybrid properties have been recently observed. For example, Coccato et al. (2009) found that galaxies in their sample with the most steeply declining velocity profiles have generally fast-rotating halos, as found for our fast-rotating remnants. Our results agree qualitatively with these observations and demonstrate that even mergers composed of non rotating, pressure-supported progenitor galaxies can produce early-type galaxies with significant rotation at large radii. In particular, we stress that this mechanism does not initially require any internal AM in the colliding galaxies.
Simulations by Naab et al. (2006b) show that repeated binary early-type mergers lead to the formation of anisotropic, slowly rotating elliptical galaxies (inside
). In this context, whether the hybrid systems presented in this letter can be formed frequently and also maintained after successive mergers should be studied with a larger set of simulations, taking repeated mergers (major and minor) with different relative inclinations into account, as well as progenitors with different DM profiles (Navarro et al. 1997).
Nevertheless, it is possible to hypothesize a scenario where these elliptical, rotationally-supported systems are mainly found among remnants of dense early-type galaxies. These hybrid features will tend to vanish if successive major mergers take place, with a random orientation of the internal and orbital AM with respect to the spin of the ``hybrid'' galaxy. But this has yet to be investigated numerically.
Acknowledgements
P.D.M. was awarded a travel grant from the Indo-French Astronomy Network which made possible a visit to IISc, Bangalore, in November 2008. P.D.M. is supported by a grant from the Agence Nationale de la Recherche (ANR) in France.
References
- Bacon, R., Copin, Y., Monnet, G., et al. 2001, MNRAS, 326, 23 [NASA ADS] [CrossRef]
- Barnabe, M., Czoske, O., Koopmans, L., et al. 2009, MNRAS, in press [arXiv:0904.3861] (In the text)
- Bender, R. 1988, A&A, 193, L7 [NASA ADS]
- Bendo, J. G., & Barnes, J. E. 2000, MNRAS, 316, 315 [NASA ADS] [CrossRef]
- Bournaud, F., Combes, F., & Jog, C. J. 2004, A&A, 418, L27 [NASA ADS] [CrossRef] [EDP Sciences]
- Bournaud, F., Jog, C. J., & Combes, F. 2005, A&A, 437, 69 [NASA ADS] [CrossRef] [EDP Sciences]
- Cappellari, M., Emsellem, E., Bacon, R., et al. 2007, MNRAS, 379, 418 [NASA ADS] [CrossRef] (In the text)
- Cattaneo, A., Dekel, A., Devriendt, J., Guiderdoni, B., & Blaizot, J. 2006, MNRAS, 370, 1651 [NASA ADS]
- Coccato, L., Gerhard, O., Arnaboldi, M., et al. 2009, MNRAS, 394, 1249 [NASA ADS] [CrossRef] (In the text)
- Cretton, N., Naab, T., Rix, H.-W., & Burkert, A. 2001, ApJ, 554, 291 [NASA ADS] [CrossRef]
- Davies, R. L., Efstathiou, G., Fall, S. M., Illingworth, G., & Schechter, P. L. 1983, ApJ, 266, 41 [NASA ADS] [CrossRef]
- Desroches, L.-B., Quataert, E., Ma, C.-P., & West, A. A. 2007, MNRAS, 377, 402 [NASA ADS] [CrossRef] (In the text)
- de Zeeuw, P. T., Bureau, M., Emsellem, E., et al. 2002, MNRAS, 329, 513 [NASA ADS] [CrossRef]
- Di Matteo, P., Pipino, A., Lehnert, M. D., Combes, F., & Semelin, B. 2009, A&A, 499, 427 [NASA ADS] [CrossRef] [EDP Sciences] (In the text)
- Emsellem, E., Cappellari, M., Krajnovic, D., et al. 2007, MNRAS, 379, 401 [NASA ADS] [CrossRef] (In the text)
- Faber, S. M., Willmer, C. N. A., Wolf, C., et al. 2007, ApJ, 665, 265 [NASA ADS] [CrossRef]
- González-García, A. C., & Balcells, M. 2005, MNRAS, 357, 753 [NASA ADS] [CrossRef]
- González-García, A. C., & van Albada, T. S. 2005a, MNRAS, 361, 1030 [NASA ADS] [CrossRef]
- González-García, A. C., & van Albada, T. S. 2005b, MNRAS, 361, 1043 [NASA ADS] [CrossRef]
- González-García, A. C., Balcells, M., & Olshevsjy, V. S. 2006, MNRAS, 372, L78 [NASA ADS]
- Hopkins, P. F., Cox, T. J., Younger, J. D., & Hernquist, L. 2009, ApJ, 691, 1168 [NASA ADS] [CrossRef]
- Jesseit, R., Naab, T., Peletier, R. F., & Burkert, A. 2007, MNRAS, 376, 997 [NASA ADS] [CrossRef]
- Jesseit, R., Cappellari, M., Naab, T., Emsellem, E., & Burkert, A. 2008, MNRAS, submitted [arXiv:0810.0137]
- Jog, C. J., & Chitre, A. 2002, A&A, 393, L89 [NASA ADS] [CrossRef] [EDP Sciences]
- Naab, T., & Burkert, A. 2003, ApJ, 597, 893 [NASA ADS] [CrossRef]
- Naab, T., Burkert, A., & Hernquist, L. 1999, ApJ, 523, LS133
- Naab, T., Jesseit, R., & Burkert, A. 2006a, MNRAS, 372, 839 [NASA ADS] [CrossRef]
- Naab, T., Khochfar, S., & Burkert, A. 2006b, ApJ, 636, L81 [NASA ADS] [CrossRef] (In the text)
- Navarro, J. F., Frenck, C. S., & White, S. D. M. 1997, ApJ, 490, 493 [NASA ADS] [CrossRef] (In the text)
- Pfenniger, D. 1997, Contribution to IAU Symp., Galaxy Interactions, 186 [arXiv:astro-ph/9712022]
- Puerari, I., & Pfenniger, D. 2001, Ap&SS, 276, 909 [NASA ADS] [CrossRef]
- Quinn, P. J., Hernquist, L., & Fullagar, D. P. 1993, ApJ, 403, 74 [NASA ADS] [CrossRef]
- Robertson, B., Bullock, J. S., Cox, T. J., et al. 2006, ApJ, 645, 986 [NASA ADS] [CrossRef]
- Romeo, A. D., Napolitano, N. R., Covone, G., et al. 2008, MNRAS, 389, 13 [NASA ADS] [CrossRef]
- Semelin, B., & Combes, F. 2002, A&A, 388, 826 [NASA ADS] [CrossRef] [EDP Sciences] (In the text)
- Springel, V., & Hernquist, L. 2005, ApJ, 622, L9 [NASA ADS] [CrossRef]
- Velazquez, H., & White, S. D. M. 1999, MNRAS, 304, 254 [NASA ADS] [CrossRef]
- White, S. D. M. 1978, MNRAS, 184, 185 [NASA ADS]
- White, S. D. M. 1979, MNRAS, 189, 831 [NASA ADS]
Footnotes
- ... disks
- Unless peculiar configurations are considered (Puerari & Pfenniger 2001; Pfenniger 1997) or the amount of gas in the progenitor disks is sufficiently high (Hopkins et al. 2009; Robertson et al. 2006; Springel & Hernquist 2005).
- ...
system
- As we confirmed, the remnants show some velocity anisotropy and both rotation and anisotropy contribute to the flattening. A discussion of this will be presented in a more detailed paper.
All Tables
Table 1: Parameters for the standard (gE0), less concentrated (gE0l) and more concentrated (gE0m) model galaxies.
Table 2: Orbital parameters.
All Figures
| |
Figure 1: Initial properties of the galaxy models: a) projected density map of the stellar component of the gE0 galaxy; b) volume-density profiles of the galaxy models. |
| Open with DEXTER | |
| In the text | |
| |
Figure 2:
Evolution of the total (black line), orbital (solid red line), and
internal (dashed red line) AM for two different orbits. The two galaxies are identical, so the internal and orbital AM are shown only for one of the two. The angular momenta are all measured perpendicular to the orbital plane and are in units of 2.3 |
| Open with DEXTER | |
| In the text | |
| |
Figure 3:
Evolution of the specific AM, l, for four different regions of one of the two elliptical galaxies (
|
| Open with DEXTER | |
| In the text | |
![]() |
Figure 4: Panels a)- c) show results similar to Fig. 3, but now the panels show the evolution of the specific AM for interacting pairs having initially the same orbital parameters, but different morphologies (the stellar central densities increase from panel a)- c). Panel d): specific AM, l, of the remnant galaxies as a function of radii containing a fixed percentage of the baryonic (red lines) and halo (black lines) mass. l was evaluated at least 1 Gyr after the coalescence of the two progenitors. Line styles correspond to the different morphologies shown in panels a)- c), i.e., gE0lgE0l01 (dot-dashed line), gE0gE001 (dashed line), gE0mgE0m01 (solid line). |
| Open with DEXTER | |
| In the text | |
![]() |
Figure 5: Morphological characteristics of two remnants of pressure-supported, initially non-rotating galaxies. Top panels: ( left) projected density map of the remnant of the gE0mgE0m01 encounter (progenitors with high concentrations); ( right) surface density profile of the baryonic (red color) and dark matter component (black color) of the remnant (solid line) and its progenitor galaxy (dashed line). The green arrows indicate the half mass radius (r50) of the baryonic component. Bottom panels: same as top panels, but progenitors with relatively low concentrations (gE0lgE0l01). |
| Open with DEXTER | |
| In the text | |
| |
Figure 6:
Kinematical properties of two remnants of E-E mergers. Left panel: line-of-sight velocities (blue) and velocity dispersions (black) of the gE0mgE0m01 (thick lines) and of the gE0lgE0l01 (thin lines) remnants. Right panel: corresponding |
| Open with DEXTER | |
| In the text | |
Copyright ESO 2009
Current usage metrics show cumulative count of Article Views (full-text article views including HTML views, PDF and ePub downloads, according to the available data) and Abstracts Views on Vision4Press platform.
Data correspond to usage on the plateform after 2015. The current usage metrics is available 48-96 hours after online publication and is updated daily on week days.
Initial download of the metrics may take a while.
![\begin{figure}
\par\hspace*{2mm}\includegraphics[height=4.3cm,width=3.3cm,angle=...
...cludegraphics[height=4.1cm,width=3.3cm,angle=270,clip]{12354f10.ps}
\end{figure}](/articles/aa/full_html/2009/27/aa12354-09/Timg40.png)
![\begin{figure}
\par\includegraphics[width=9cm,angle=0]{12354f5.eps}\par
\end{figure}](/articles/aa/full_html/2009/27/aa12354-09/Timg45.png)