| Issue |
A&A
Volume 502, Number 1, July IV 2009
|
|
|---|---|---|
| Page(s) | 333 - 340 | |
| Section | The Sun | |
| DOI | https://doi.org/10.1051/0004-6361/200810032 | |
| Published online | 27 May 2009 | |
Magnetic helicity accumulation and tilt angle evolution of newly emerging active regions
S. Yang1,2 - H. Zhang1 - J. Büchner2
1 - National Astronomical Observatories, Chinese Academy of Sciences, 100012 Beijing, PR China
2 -
Max-Planck Institute for Solar System Research, 37191 Katlenburg-Lindau, Germany
Received 23 April 2008 / Accepted 23 April 2009
Abstract
Context. It has been known for years that there is a general dominance of negative (positive) helicity of active regions (ARs) in the northern (southern) solar hemisphere. For a better understanding of the role of helicity in the evolution of active regions, it is necessary to know more about the accumulation of helicity during the emergence of active regions. In particular, different conclusions were drawn in the past about the relationship between the accumulated helicity and the writhe of active regions.
Aims. We investigate the accumulation of helicity in newly emerging simple bipolar solar active regions. We also investigate the relation between the accumulated helicity and writhe.
Methods. We obtain helicity accumulation by applying Fast Fourier Transforms (FFT) and local correlation tracking (LCT) to MDI data. We deduce the writhe of the active regions according to the evolution of the tilt angle between the connecting line of the weighting centers of opposite polarities in the ARs.
Results. It is found that the accumulated helicity is proportional to the exponent of magnetic flux (
)
in the 58 selected newly emerged simple ARs. 74% of ARs have a negative (positive) helicity when the above defined tilt angle rotates clockwise (counter-clockwise). This means that the accumulated helicity and writhe have the same sign for most of the investigated ARs according to the tilt angle evolution of ARs. We also found that 56% (57.6%) of these ARs in the northern (southern) photosphere provide negative (positive) helicity to the corona in the course of the emergence of magnetic flux.
Key words: Sun: magnetic fields - Sun: activity
1 Introduction
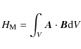
Magnetic helicity is a key geometrical parameter to describe the structure evolution of the solar coronal magnetic field (cf. Berger 1999). Magnetic helicity in a volume V is given by
![]() |
(1) |
where
The vector potential
in formula (1) is not
gauge-invariant. It cannot be determined directly from observations.
So we need other methods to investigate the helicity properties in
the solar atmosphere. Recently, many authors have used vector
magnetographs to calculate the current helicity
(Abramenko et al. 1996; Bao & Zhang 1998) or the force-free
field parameter
(Pevtsov et al. 1995; Tian et al. 2001) of active regions that represent the
helicity of the magnetic flux tubes. The shapes of sigmoid coronal
loops were also studied (Pevtsov et al. 1995; Canfield & Pevtsov
1999; Pevtsov et al. 2001). All these investigations revealed a
dominance of negative (positive) helicity in the northern (southern)
hemisphere, called the ``Hemisphere Helicity Rule''.
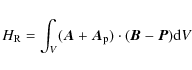
Berger & Field (1984) argued that the relative magnetic helicity
will also have a specific value in case of the open boundary
conditions. A general expression for relative magnetic helicity is
given by (Finn & Antonsen 1985)
![]() |
(2) |
where
| (3) |
| (4) |
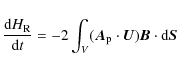
The magnetic helicity flux across the open boundary in the ideal magnetohydrodynamics is given by (cf. Berger 1999)
![]() |
(5) |
The first term of expression (5) represents the effect of shearing motion of the boundary. The second term represents the bulk transport of the helical field across the boundary. Chae (2001a) utilized the local correlation tracking (LCT) and Fast Fourier Transform (FFT) methods to obtain the horizontal velocity field
![]() |
(6) |
where
The magnetic helicity of a solar flux tube can be decomposed into
the twist around the flux tube axis and the writhe of the helical
flux tube axis. Observations show that the flux tubes of most active
regions exhibit significant magnetic writhe and twist at the
photospheric level (e.g. Canfield & Pevtsov 1998). Active regions
are usually thought to be formed by magnetic flux tubes emerging
from the core-convection zone interface (e.g. Gilman & Charbonneau
1999) and a twist is needed to prevent the flux tube from being
destroyed by the hydrodynamic vortex behind it during its emergence
in the convective zone (Fan et al. 1998). When the flux rises from
the convection zone, there are two main sources adding writhe to the
flux tube axis. The first one is an internal instability such as
kink instability (Leka et al. 1996; Linton et al. 1998; Fan et al.
1999). A kink instability causes the writhe of the tube axis to have
the same sense as that of the twist within the tube due to
conservation of helicity. The second source is the Coriolis force
(cf. Fisher et al. 2000). As a flux tube in the northern (southern)
hemisphere emerges through the convective zone, the Coriolis force
will deform its main axis introducing positive (negative) writhe. An
opposite but equal twist will be added to the flux tube because of
helicity conservation. This effect also follows Joy's law in which
the leading polarities are closer to the equator than the trailing
polarities (Hale 1919). Hence, the relation between the twist and
writhe in the active regions is important in analyzing effect of
different sources and the origin of helicity. Based on the
assumption that
or the current helicity intensity
reflect the twist of an active region and that the tilt angle is
related to the writhe of active regions, Canfield & Pevtsov (1998)
and Sakurai & Hagino (2003) found a positive correlation between
twist and writhe of active regions. However, Tian et al. (2001) and
Lopez Fuentes et al. (2003) found a negative correlation between
twist and writhe. Actually, the twist and writhe are both geometric
properties of flux tubes and they can interconvert casting doubt on
magnetic helicity conservation. It is reasonable to consider the
relation between twist and writhe from the point of view of helicity
conservation. If a twisted flux tube without initial writhe emerges
from the convective zone and its writhe is caused by kink
instability, the magnetic helicity and writhe should have the same
sign. The accumulated relative helicity in formula (6) can be
considered as the total magnetic helicity including twist and
writhe. So what is the relation between the accumulated helicity and
the writhe of active regions?
![]() |
Figure 1: Panel a) is the Carrington coordinates of the active regions and panel b) is the flux distribution of the active regions. |
| Open with DEXTER | |
Note that the magnetic helicity in the corona has different sources:
newly emerging magnetic flux, the footpoint motion of flux tubes and
their rotation. It was shown that differential rotation cannot
supply enough helicity to the corona and CMEs (Demoulin et al.
2002; Green et al. 2002; Mandrini et al. 2004). Many authors have
studied the helicity of active regions. Lanbonte et al. (2007)
investigated 48 X-flaring regions and 345 non-X-flaring regions.
They found that a necessary condition for the occurrence of an
X-flare is that the peak helicity flux exceeds a magnitude of
Mx2 s-1and that these active regions supply enough magnetic helicity for
their CMEs. They also found a weak hemispheric preference of
helicity injection, which might be caused by the solar differential
rotation. They did not take the initial emerging phase of the active
regions into consideration. Therefore, it could not reveal the
character of accumulated helicity in active regions. Jeong & Chae
(2007) studied the accumulated helicity of several newly emerging
active regions. They suggested that magnetic flux emergence may be
the main cause of helicity injection. Tian & Alexander (2008)
investigated 19 newly emerging active regions with a similar result
as Jeong & Chae (2007). The character of accumulated helicity of
active regions is, however, still unclear.
To clarify the above questions, we selected 58 active regions with simple magnetic field structures from MDI data and investigated the accumulated total helicity of the active regions by following the method of Chae et al. (2001) and the writhe of active regions as Lopez Fuentes et al. (2003) according to the evolution of the tilt angle. In Sect. 2, we present the observational data and their reduction. In Sect. 3, we describe the procedure to calculate the magnetic helicity and the tilt angle. In Sect. 4, we present the results and in Sect. 5, we give the summary and discussion.
2 Observations and data reduction
We use data of the full-disk line-of-sight magnetograms taken by
SOHO/MDI. MDI full-disk magnetograms are recorded by a
CCD detector with a pixel size of 2''. MDI
magnetographs have been calibrated (Scherrer et al. 1995), and the
conversion factor is 2.82 G DN-1 (Schrijver et al. 1997).
There are two kinds of data: 1 min cadence data and 96 min
cadence data. We used 96 min cadence data for this study because
the noise level of this type of data is much less than that of 1 min data. We selected emerging active regions and calibrate them
from the MDI full disk magnetographs in the period of 1996-2006.
The detailed process is the following: first, we obtained one full
disk magnetogram from the Solar Active Region Monitor (Gallagher
et al. 2002) every day from 1996 to 2006, since SOHO was launched.
Second, we compared the magnetograms of each pair of two days. We
look for new emerging active regions with existing NOAA number
appearing the second day and this active region does not develop
into a complex magnetic structure such as the
or
types of active regions in the following several days. This active
region is considered as one sample. We found 58 of such samples, 25
in the northern hemisphere and 33 in the southern hemisphere.
Second, we followed this active regions until it almost arrived at
the west limb. Actually, because of the MDI instrument,
magnetograms which are very near to the solar limb are not
appropriate for our purpose. The tracking days are between 2.3 days
and 8.7 days since their emergence in our 58 samples. Thirdly, we
apply nonlinear mapping, flux density interpolation and geometrical
foreshortening correction to the MDI 96 min data following the
method given by Chae et al. (2001). we removed the effect of
differential rotation in the magnetograms with the expression
| (7) |
with a = 14.33 deg/day, b = - 2.12 deg/day and c = - 1.83 deg/day (Howard et al. 1990). The final magnetograms have new grids with a pixel size of 1'', and the vertical field strength becomes equal to the line-of-sight strength times
3 Helicity and tilt angle
3.1 Helicity
The magnetic helicity flux
can be obtained by
formula (6). We use FFT to get the vector potential of magnetic
field by following the method of Chae et al. (2001). We apply the
LCT method to calculate the velocity of plasma in the solar
photosphere by using observed line-of-sight magnetic field
components. Although it is known that there are some problems using
LCT (Demoulin & Berger 2003; Schuck 2005; Welsh et al. 2004), a
comparison of results obtained by LCT and other methods did not
reveal a change in the main velocity pattern of photospheric plasma
motion. For example, Santos et al. (2005) compared the horizontal
component of the photospheric velocity obtained by using LCT, ILCT
and MEF methods and found that the results are similar.
The pixel scale of the MDI data is 1.97784 arcsec/pix. Physically significant transverse velocities of photospheric fluxes are less than 1.5 km s-1 (Chae et al. 2001). The pixel size of the final reduced magnetogram according to the procedure in Sect. 2 is 1'', so the possible shift between the two reduced magnetograms is less than 12 pixels. In the LCT method, we choose the FWHM (full widths at half-maximum) of the apodizing function as 12''. To reduce the noise effects, we set the horizontal velocity to zero in regions with a low magnetic field (<10 G). In order to better track the emerging regions and exclude the effects from the relative quiet regions outside the emerging regions, we also set the horizontal velocity to zero in regions with low cross-correlation value (<0.9). Some magnetic helicity will be lost, taken by short-lived or small-scale flows with different cross-correlation values, while the horizontal errors are localized and do not affect the final accumulated magnetic helicity within about 10% (Chae et al. 2004; Liu & Zhang 2006).
Pariat et al. (2005) define a new helicity flux density
,
replacing that obtained by the method above. Their
method provides more accurate magnetic helicity flux densities than
just applying LCT. For our purpose, we only need to know the
integral of the helicity flux densities, while the pattern of the
helicity flux is not important for this. Note that Lim et al. (2007)
compared the consistency of the use of the LCT method to measure
magnetic helicity injection through the photosphere and that of the
LFFF method to determine helicity. Their results support the
reliability of previous method determining the injected helicity.
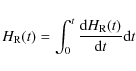
The accumulated magnetic helicity of an active region at a certain
time is given by
![]() |
(8) |
from the time t=0 when the active region begins to emerge, until to a certain time t. The time t=0 is for the first magnetogram and the time t is for the last one. As the helicity helicity flux is obtained in a discrete form, we utilize a summation given by
![]() |
(9) |
to obtain accumulated helicity in this paper.
3.2 Tilt angle
The leading polarity of the 23rd solar cycle is positive (negative)
in the northern (southern) hemisphere. We define the original point
at the barycenter of the positive (negative) polarity on the
northern (southern) hemisphere. The x direction is the solar
rotation direction. The y direction is from south to north. The
angle (
)
of the vector from the
original point to the barycenter of the following polarity of the
active region is defined as the tilt angle, described in Fig. 2. To
reduce the noise of the calculated tilt angle, only magnetic field
strengths exceeding 15 G are considered for the calculation of the
tilt angle of an active region.
In our analysis, we removed the influence of differential rotation
as described by Eq. (7) before calculating the magnetic
helicity and tilt angle. Let us consider an active region extended
in the south-north direction and with a latitude of
,
The rotation rate is between
/day and
/day. For a typical emerging active region
in our samples, the AR will take about ten days to pass through the
solar disk. The maximum correction for the tilt angle would be
.
![]() |
Figure 2:
Tilt angle (Ta) in this paper. The left (right) one is for the northern
(southern) hemisphere. Ta is between
|
| Open with DEXTER | |
4 Results
4.1 Magnetic flux and helicity
![]() |
Figure 3:
Integrated helicity flux as a function of total AR
magnetic flux (
H0=1041MX2,
|
| Open with DEXTER | |
Figure 3 depicts integrated magnetic helicity fluxes
(
)
vs. the total magnetic flux of the ARs. The
magnetic flux
is one-half of the maximum sum of the
unsigned positive and negative magnetic fluxes. The best linear fit
line (solid line in Fig. 3) shows the relation between integrated
magnetic helicity fluxes and magnetic fluxes
![]() |
(10) |
where a=1.85, b=-0.41, H0=1041MX2 and
4.2 Two typical solar active regions
In order to better understand the accumulation of magnetic helicity
and tilt angle evolution in newly emerging ARs, we have divided our
samples into two groups A and B, according to the resulting relation
between accumulated magnetic helicity and the rotation of the tilt
angles. We neglect the evolution detail of magnetic helicity and
tilt angle. We focus on the final accumulated helicity H(t) and
the change of tilt angle
.
In the following,
we describe the two groups according to the relation between H(t)and
Ta. One example will be given for each type of group.
- Group A:
-
.
The accumulated helicity of ARs is
negative (positive) when the tilt angle rotates clockwise
(counter-clockwise). For example, AR 9931 emerged on April 30, 2002
and disappeared near the west limb on May 9, 2002. The evolution of
the line-of-sight magnetic field and the time profile of accumulated
magnetic helicity and tilt angle are shown in Fig. 4.
![\begin{figure}
\par\includegraphics[width=12cm]{00032fg4.eps}\par
\end{figure}](/articles/aa/full_html/2009/28/aa10032-08/Timg52.png)
Figure 4: AR09931: an example of active regions belonging to the group A. The top and bottom left images reflect the evolution of this active region at three different moments of time. The tilt angle (Ta) is given. The bottom right plot shows the temporary evolution of accumulated magnetic helicity and tilt angle. The left ordinate of this plot corresponds to the tilt angle (asterisk) and the right is accumulated helicity (dashed line).
Open with DEXTER - Group B:
-
.
The accumulated helicity of ARs is
positive (negative) when the tilt angle rotates clockwise
(counter-clockwise). AR10481, a sample of this type group, emerged
from the solar surface on Oct. 16, 2003 and disappeared near the west
limb on Oct. 21, 2003. The evolution of the line-of-sight magnetic
field and the time profile of accumulated magnetic helicity and tilt
angle are shown in Fig. 5.
![]() |
Figure 5: AR10481: an example of active regions belonging to the group B. The top and bottom left images reflect the evolution of this active region at three different moments of time. The tilt angle (Ta) is given. The bottom right plot shows the temporary evolution of accumulated magnetic helicity and tilt angle. The left ordinate of this plot corresponds to the tilt angle (asterisk)and the right is accumulated helicity (dashed line). |
| Open with DEXTER | |
All active regions in our samples obey the Hale-Nicholson law (Hale
& Nicholson 1925): the leading polarities are always positive
(negative) in the northern (southern) hemisphere in the 23rd solar
cycle. Thus one active region will satisfy Joy's law when the
leading polarities are closer to the equator than the trailing
polarities (Hale 1919) if its final tilt angle when we stop to
follow the AR is
(
)
in the northern (southern)
hemisphere according to the definition of tilt angle in our study.
In the southern hemisphere, among the 22 ARs which follow the Joy's
law, 17 (77%) belongs to group A while among the 11 ARs which do
not follow Joy's law, 7 (63%) belong to the group A. In the
northern hemisphere, among the 14 ARs which follow Joy's law, 11
(79%) belong to the group A while among the 11 ARs which do not
follow Joy's law, 8 (73%) belong to the group A. The probability is
78% for an AR to be in group A if it follows Joy's law, which is
higher than the probability of 68% if it does not follow Joy's law.
The details of the distribution of the two groups according to Joy's
law are listed in Table 1.
Table 1: Distribution of the two groups according to the Joy's law.
Structural chirality and magnetic helicity of solar active regions
tend to show negative (positive) helicity in the northern (southern)
hemisphere according to the study of current helicity and
(Seehafer 1990; Bao & Zhang 1998). In the
southern hemisphere, 19 (57.6%) of 33 ARs with positive helicity
satisfy the hemisphere rule. Among the 19 ARs which satisfy the
hemisphere rule, 14 (74.0%) belong to group A while among the 14 ARs which do not follow the hemisphere rule, 10 (71%) belong to
group A. In the northern hemisphere, 14 ARs (56.0%) of 25 have
negative helicity and satisfy the hemisphere rule. Among the 14 ARs
which satisfy the hemisphere rule, 13 (93%) belong to group A while
among the 11 ARs which do not follow the hemisphere rule, 6 (55%)
belong to group A. The probability is 82% for an AR to be in the
group A if given that it follows the hemisphere rule, which is
higher than the probability of 64% if it does not follow the
hemisphere rule. The details of the distribution of the two groups
according to the hemisphere rule are given in Table 2.
Table 2: Distribution of the two groups according to the hemisphere helicity rule.
5 Summary and discussion
We have investigated the accumulation of magnetic helicity in 58
newly emerging simple bipolar solar active regions. We found that
74% of these ARs belong to group A, with negative (positive)
helicity when the connecting line of the weighting centers of
opposite polarities in the ARs rotates clockwise (counter-clockwise)
(
). Assuming that a clockwise
rotation of the polarities indicates a negative (right-handed)
writhe, and counterclockwise represents a positive (left-handed)
writhe (Lopez et al. 2003), it is found that the majority of ARs in
newly emerging ARs will have a writhe (W) that has the same sign as
the accumulated magnetic helicity H (
).
There are two possible sources for the writhe of the emerging
magnetic flux tubes: a kink instability and the Coriolis force. Let
us suppose a flux tube emerging from the convection zone with a
planar shape and that there is only a twist without an
initial writhe in this flux tube. The initial magnetic helicity can
be either H>0, H<0 or H=0. A certain amount of twist is needed
to prevent the flux tube from being destroyed by the hydrodynamic
vortex behind it during its emergence in the convection zone (Fan et al. 1998). Simulations of flux tube emergence
(Schüssler et al. 1979; Moreno-Insertis & Emonet
1996; Emonet & Moreno-Insertis 1998; Fan et al. 2003; Cheung et al.
2006) also showed that untwisted flux tubes are very unlikely to
emerge. So we consider the two situations H>0 and H<0.
When this flux tube emerges through the convective zone and only the Coriolis force deforms its main axis to introduce writhe helicity, the acquired writhe will be positive (negative) in the northern (southern) hemisphere. In our sample, 15 (45%) of 33 have a negative writhe in the southern hemisphere, and 7 (28%) of 25 have a positive writhe in the northern hemisphere. A considerable number of ARs have opposite writhe. Hence, the Coriolis force is not the only source of the writhe of emerging flux tube.
When a horizontal flux tube emerges and the acquired writhe for this
flux tube results from kink instability, the helicity of the flux
tube will have the same sign as its writhe (
)
due to
conservation of helicity. This would lead to a clockwise
(counter-clockwise) rotation of the apex portion of the rising tube
when viewed from the top, if this kinked flux tube carries negative
(postive) helicity (Fan et al. 1999). In our study, 43 (74%) active
regions in group A satisfy this condition (
). Moreover,
the probability is 82% for an AR to be in group A if it follows
the hemisphere helicity rule, which is more than the probability
64% if it does not follow the hemisphere rule. The rotation of the
apex portion of the kinked flux tubes induced by the Coriolis force
is hemisphere-dependent and is clockwise (counterclockwise) in the
northern (southern) hemisphere. Hence, the Coriolis force will
enhance (work against) the trend of clockwise (counter-clockwise)
rotation of a kinked negative (positive) twisted tube in the
northern hemisphere and will enhance (work against) the trend of
counter-clockwise (clockwise) rotation of a kinked positive
(negative) twisted tube in the southern hemisphere (Fan et al.
1999). So one AR satisfying the hemisphere helicity rule has a
higher probability of belonging to group A than the AR disobeying
the hemisphere helicity rule. The kink instability could well
explain the relation between the magnetic helicity and tilt angle
evolution for the emerging active regions in our study.
This result is different to Tian et al. (2001) and Lopez et al.
(2003). Tian et al. (2001) found a negative relation between twist
and writhe for the 286 active regions. They concluded that the twist
is caused by the Coriolis force distorting the apex of emerging
-loops, which introduces both twist and writhe in originally
untwisted magnetic fields. Lopez et al. (2003) studied the
evolution of 22 ARs and found evidence of kinking in about 35% of
these regions while 41% of these regions showed a twist-tilt
relationship indicative of having resulted from the Coriolis force.
The kink instability is not an obvious outcome of their papers.
Holder et al. (2004) found that those regions that closely follow
Joy's law do not show any twist-tilt dependence and regions that
strongly depart from Joy's law show a significantly larger average
twist and very strong twist-tilt dependence. Those authors suggested
that the active regions strongly departing from Joy's law come from
kinking of flux tubes. Our study also supports the existence of kink
instability in the emerging flux tube.
What has caused the difference? One important reason is that we
analyzed the emerging phase of the ARs (2 to 9 days after
emergence). In the previous investigation, the authors considered
this relation over a longer period of time. Lopez et al. (2000,
2003) selected samples from several solar Carrington rotations. Most
active regions in Tian et al. (2001) are also not newly emerging,
young ones. Holder et al. (2004) pointed that the Tian et al. (2001)
analysis did not correct for the mutual latitude dependence between
twist and tilt and that any signature of kink instability would have
been suppressed in their data set. Tian et al. (2005) investigated
-sunspots and they found a positive relation between twist
and writhe, showing evidence of kink instability. The emerging flux
tubes may interact with large-scale vortical motions of the plasma
in the convection zone, as pointed out by Lopez et al. (2000, 2003),
which would suppress any signature of kink instability.
56.0% (57.6%) of ARs in the northern (southern) hemisphere supply
negative (positive) helicity to the upper photosphere. This result
is similar to that of the survey of magnetic helicity injection
carried out by Labonte et al. (2007), 57% (60%) of ARs have
negative (positive) magnetic helicity flux in the northern
(southern) hemisphere. They conjectured that the weak hemispheric
preference of helicity injection, positive in the south and negative
in the north, is caused by the differential rotation at the solar
surface. Helicity injection in which the effect of differential
rotation has been removed tends to have the opposite sign. In our
analysis, we have removed the differential rotation at the solar
surface. The strong magnetic flux emergence is the most important
source of coronal helicity and the injection of magnetic helicity by
differential rotation is a factor 2 to 10 lower than the
photospheric helicity rates computed from AR internal motion (Demoulin & Pariat 2009). So our result would exhibit the same trend
if did not remove the differential rotation. Note that all of the
above trends are weaker than most of those based on the
,
current helicity and shapes of sigmoidal coronal
loops. In those studies, there is a 50%-79% (57.5%-78%) negative
(positive) helicity preference in the northern (southern)
hemisphere. Our method is more directly determining the accumulated
magnetic helicity than the previous methods, which may cause the
weaker helicity preference.
Acknowledgements
We appreciate the referee's careful reading of the manuscript and many constructive comments, which greatly improved the paper. We are also grateful to the Huairou Solar Observing Station and SOHO/MDI group. This study is supported by grants 10673016 of National Natural Science Foundation of China, 2006CB806301 of the National Basic Research Program of China and a sandwich-Ph.D. grant of the Max-Planck Society.
Appendix A: All results for the northern and southern hemisphere
Table A.1: Distribution of accumulated helicity and tilt angle evolution in the northern hemisphere.
Table A.2: Distribution of accumulated helicity and tilt angle evolution in the southern hemisphere.
References
- Abramenko, V. I., Wang, T. J., & Yurchishin, V. B. 1996, Sol. Phys., 168, 75 [NASA ADS] [CrossRef] (In the text)
- Bao, S. D., & Zhang, H. Q. 1998, ApJ, 496, L43 [NASA ADS] [CrossRef] (In the text)
- Berger, M. A. 1999, Plasma Phys. Control. Fusion, 41, B167 [NASA ADS] [CrossRef] (In the text)
- Berger, M. A., & Field, G. B. 1984, J. Fluid Mech., 147, 133 [NASA ADS] [CrossRef] (In the text)
- Canfield, R. C., & Pevtsov, A. A. 1998, Sol. Phys., 182, 145 [NASA ADS] [CrossRef] (In the text)
- Chae, J., Wang, H., Qiu, J., et al. 2001, ApJ, 560, 476 [NASA ADS] [CrossRef] (In the text)
- Cheung, M. C. M., Schüssler, M., & Moreno-Insertis, F. 2006, ASPC, 354, 97 [NASA ADS] (In the text)
- Démoulin, P., & Pariat, E. 2009, Adv. Space Res., 43, 1013 [NASA ADS] [CrossRef] (In the text)
- Démoulin, P., & Berger, M. A. 2003, Sol. Phys., 215, 203 [NASA ADS] [CrossRef] (In the text)
- Démoulin, P., Mandrini, C. H., van Driel-Gesztelyi, L., Lopez Fuentes, M. C., & Aulanier, G. 2002, Sol. Phys., 207, 87 [NASA ADS] [CrossRef]
- Emonet, T., & Moreno-Insertis, F. 1998, ApJ, 492, 804 [NASA ADS] [CrossRef] (In the text)
- Fan, Y., Zweibel, E. G., & Lantz, S. R. 1998, ApJ, 493, 480 [NASA ADS] [CrossRef] (In the text)
- Fan, Y., Zweibel, E. G., Linton, M. G., & Fisher, G. H. 1999, ApJ, 521, 460 [NASA ADS] [CrossRef] (In the text)
- Fan, Y., Abbett, W. P., & Fisher, G. H. 2003, ApJ, 582, 1206 [NASA ADS] [CrossRef] (In the text)
- Fisher, G. H., Fan, Y., Longcope, D. W., Linton, M. G., & Pevtsov, A. A. 2000, Sol. Phys., 192, 119 [NASA ADS] [CrossRef] (In the text)
- Freeland, S. L., & Handy, B. N. 1998, Sol. Phys., 182, 497 [NASA ADS] [CrossRef]
- Gallagher, P. T., Moon, Y.-J., & Wang, H. 2002, Sol. Phys., 209, 171 [NASA ADS] [CrossRef] (In the text)
- Green, L. M., Lopez Fuentes, M. C., Mandrini, C. H., et al. 2002, Sol. Phys., 208, 43 [NASA ADS] [CrossRef] (In the text)
- Hale, G. E., & Nicholson, S. B. 1925, ApJ, 62, 270 [NASA ADS] [CrossRef] (In the text)
- Hale, G. E., Ellerman, F., Nicholson, S. B., & Joy, A. H. 1919, ApJ, 49, 153 [NASA ADS] [CrossRef] (In the text)
- Holder, Z. A., Canfield, R. C., McMullen, R. A., et al. 2004, ApJ, 611, 1149 [NASA ADS] [CrossRef] (In the text)
- Howard, R. F., Harvey, J. W., & Forgach, S. 1990, Sol. Phys., 130, 295 [NASA ADS] [CrossRef] (In the text)
- Jeong, H., & Chae, J. 2007, ApJ, 671, 1022 [NASA ADS] [CrossRef] (In the text)
- Kuzanyan, K. M., Lamburt, V. G., Zhang, H., & Bao, S. 2003, Chinese J. Astron. Astrophys., 3, 257 [NASA ADS] [CrossRef]
- LaBonte, B. J., Georgoulis, M. K., & Rust, D. M. 2007, ApJ, 671, 955 [NASA ADS] [CrossRef] (In the text)
- Leka, K. D., Fan, Y., & Barnes, G. 2005, ApJ, 626, 1091L [NASA ADS] [CrossRef] (In the text)
- Lim, E., Jeong, H., & Chae, J. 2007, ApJ, 656, 1167 [NASA ADS] [CrossRef] (In the text)
- Liu, J., & Zhang, H. 2006, Sol. Phys., 234, 21 [NASA ADS] [CrossRef] (In the text)
- Lopez Fuentes, M. C., Demoulin, P., Mandrini, C. H., & Driel-Gesztelyi, L. V. 2000, ApJ, 544, 540 [NASA ADS] [CrossRef] (In the text)
- Lopez Fuentes, M. C., Demoulin, P., Mandrini, C. H., & Pevtsov, A. A. 2003, A&A, 397, 305 [NASA ADS] [CrossRef] [EDP Sciences] (In the text)
- Mandrini, C. H., Demoulin, P., van Driel-Gesztelyi, L., Green, L. M., & Lopez Fuentes, M. C. 2004, Ap&SS, 290, 319 [NASA ADS] [CrossRef] (In the text)
- Moreno-Insertis, F., & Emonet T. 1996, ApJ, 472, L53 [NASA ADS] [CrossRef] (In the text)
- Pariat, E., Demoulin, P., & Berger, M. A. 2005, A&A, 439, 1191 [NASA ADS] [CrossRef] [EDP Sciences] (In the text)
- Pevtsov, A., Canfield, R., & Metcalf, T. 1995, ApJ, 440, L109 [NASA ADS] [CrossRef] (In the text)
- Sakurai, T., & Hagino, M. 2003, J. Korean A. S., 36, 7 (In the text)
- Santos, J. C. , Buechner, J., Alves, M. V., Nikutowski, B., & Zhang, H. 2005, ESASP, 596E, 63S (In the text)
- Scherrer, P. H., Bogart, R. S., Bush, R. I., et al. 1995, Sol. Phys., 162, 129 [NASA ADS] [CrossRef] (In the text)
- Schrijver, C. J., Title, A. M., van Ballegooijen, A. A., Hagenaar, H. J., & Shine, R. A. 1997, ApJ, 487, 424 [NASA ADS] [CrossRef] (In the text)
- Schuck, P. W. 2005, ApJ, 632, L53 [NASA ADS] [CrossRef] (In the text)
- Schüssler, M. 1979, A&A, 71, 79 [NASA ADS] (In the text)
- Seehafer, N., Gellert, M., Kuzanyan, K. M., & Pipin, V. V. 2003, Adv. Space Res., 32, 1819 [NASA ADS] [CrossRef] (In the text)
- Taylor, J. B. 1974, Phys. Rev. Lett., 33, 1139 [NASA ADS] [CrossRef]
- Tian, L., & Alexander, D. 2008, ApJ, 673, 532 [NASA ADS] [CrossRef] (In the text)
- Tian, L., Alexander, D., Liu, Y., & Yang, J. 2005, Sol. Phys., 229, 63 [NASA ADS] [CrossRef] (In the text)
- Tian, L. R., Bao, S. D., Zhang, H. Q., & Wang, H. N. 2001, A&A, 374, 294 [NASA ADS] [CrossRef] [EDP Sciences] (In the text)
- Welsch, B. T., Fisher, G. H., Abbett, W. P., & Regnier, S. 2004, ApJ, 610, 1148 [NASA ADS] [CrossRef] (In the text)
- Woltjer, L. 1958, Proc. Natl Acad. Sci. USA, 44, 480 [NASA ADS]
- Zhang, H. 2006, Ap&SS, 305, 211 [NASA ADS] [CrossRef] (In the text)
- Zhang, M., Flyer, M., & Low, B. 2006, ApJ, 644, 575 [NASA ADS] [CrossRef] (In the text)
All Tables
Table 1: Distribution of the two groups according to the Joy's law.
Table 2: Distribution of the two groups according to the hemisphere helicity rule.
Table A.1: Distribution of accumulated helicity and tilt angle evolution in the northern hemisphere.
Table A.2: Distribution of accumulated helicity and tilt angle evolution in the southern hemisphere.
All Figures
![]() |
Figure 1: Panel a) is the Carrington coordinates of the active regions and panel b) is the flux distribution of the active regions. |
| Open with DEXTER | |
| In the text | |
![]() |
Figure 2:
Tilt angle (Ta) in this paper. The left (right) one is for the northern
(southern) hemisphere. Ta is between
|
| Open with DEXTER | |
| In the text | |
![]() |
Figure 3:
Integrated helicity flux as a function of total AR
magnetic flux (
H0=1041MX2,
|
| Open with DEXTER | |
| In the text | |
![]() |
Figure 4: AR09931: an example of active regions belonging to the group A. The top and bottom left images reflect the evolution of this active region at three different moments of time. The tilt angle (Ta) is given. The bottom right plot shows the temporary evolution of accumulated magnetic helicity and tilt angle. The left ordinate of this plot corresponds to the tilt angle (asterisk) and the right is accumulated helicity (dashed line). |
| Open with DEXTER | |
| In the text | |
![]() |
Figure 5: AR10481: an example of active regions belonging to the group B. The top and bottom left images reflect the evolution of this active region at three different moments of time. The tilt angle (Ta) is given. The bottom right plot shows the temporary evolution of accumulated magnetic helicity and tilt angle. The left ordinate of this plot corresponds to the tilt angle (asterisk)and the right is accumulated helicity (dashed line). |
| Open with DEXTER | |
| In the text | |
Copyright ESO 2009
Current usage metrics show cumulative count of Article Views (full-text article views including HTML views, PDF and ePub downloads, according to the available data) and Abstracts Views on Vision4Press platform.
Data correspond to usage on the plateform after 2015. The current usage metrics is available 48-96 hours after online publication and is updated daily on week days.
Initial download of the metrics may take a while.




![\begin{figure}
\par\mbox{\includegraphics[angle=0,scale=0.55]{00032f1a.ps} \includegraphics[angle=0,scale=0.54]{00032f1b.ps} }\end{figure}](/articles/aa/full_html/2009/28/aa10032-08/Timg18.png)


![\begin{figure}
\par\includegraphics[width=9cm,clip]{00032fg2.eps}
\end{figure}](/articles/aa/full_html/2009/28/aa10032-08/Timg40.png)
![\begin{figure}
\par\includegraphics[width=9cm,clip]{00032fg3.eps}
\end{figure}](/articles/aa/full_html/2009/28/aa10032-08/Timg41.png)

![\begin{figure}
\par\includegraphics[width=12cm]{00032fg5.eps}\par
\end{figure}](/articles/aa/full_html/2009/28/aa10032-08/Timg54.png)