| Issue |
A&A
Volume 502, Number 1, July IV 2009
|
|
|---|---|---|
| Page(s) | 341 - 344 | |
| Section | The Sun | |
| DOI | https://doi.org/10.1051/0004-6361/200811494 | |
| Published online | 04 June 2009 | |
Electron acceleration in the turbulent reconnecting current sheets in solar flares
(Research Note)
G. P. Wu1 - G. L. Huang2
1 - Department of Physics, Southeast University, Nanjing,
Jiangsu 210096, PR China
2 - Purple Mountain Observatory, Chinese Academy of Sciences, Nanjing, Jiangsu 210008,PR China
Received 10 December 2008 / Accepted 28 April 2009
Abstract
Context. We investigate the nonlinear evolution of the electron distribution in the presence of the strong inductive electric field in the reconnecting current sheets (RCS) of solar flares.
Aims. We aim to study the characteristics of nonthermal electron-beam plasma instability and its influence on electron acceleration in RCS.
Methods. Including the external inductive field, the one-dimensional Vlasov simulation is performed with a realistic mass ratio for the first time.
Results. Our principal findings are as follows: 1) the Buneman instability can be quickly excited on the timescale of 10-7 s for the typical parameters of solar flares. After saturation, the beam-plasma instabilities are excited due to the non-Maxwellian electron distribution; 2) the final velocity of the electrons trapped by these waves is of the same order as the phase speed of the waves, while the untrapped electrons continue to be accelerated; 3) the inferred anomalous resistance of the current sheet and the energy conversion rate are basically of the same order as those previously estimated, e.g., ``the analysis of Martens''.
Conclusions. The Buneman instability is excited on the timescale of 10-7 s and the wave-particle resonant interaction limits the low-energy electrons to be further accelerated in RCS.
Key words: turbulence - Sun: magnetic fields - acceleration of particles
1 Introduction
In solar flares, the nonthermal electrons often contain about
10-50
of the total released energy (Lin &
Hudson 1976;
Dennis et al. 2003; Lin et al. 2003). These electrons generate the
observed hard X-ray (HXR) bremsstrahlung as they lose most of their
energy by coulomb collisions in the lower corona and chromosphere.
Their distribution inferred from HXR emission is well described by a
power law with a low-energy cutoff in the range of 20-40 keV
(Brown 1971; Dennis 1985; Benka &
Holman 1994;
Holman 2003; Miller et al. 1997; Aschwanden 2002;
Sui et al. 2004).
The total HXR flux has
been found to exhibit a temporal correlation with both the HXR
source separation speed and the reconnection rate, i.e., the induced
electric field strength. It may be calculated from the flare ribbon
separation speed and the photosphere magnetic field, and may reach
about 1-10 V cm-1 (Poletto &
Kopp 1986;
Lin et al. &
Lin 2000; Qiu et al. 2002;
Jing et al. 2005).
In the externally driven reconnecting current sheet (RCS), numerous
theoretical investigations have been devoted to the study of
electron acceleration in the presence of super-Dreicer electric
field in solar flares, using test particle simulations (Speiser 1965;
Martens &
Young 1990; Litvinenko 1996, 2003; Onofri et al.
2006; Petkaki &
MacKinnon 2007; Dauphin et al. 2007), as reviewed
by Miller et al. (1997) and Aschwanden (2002). With a prescribed
induced electric field and three-dimensional (3D) magnetic
configuration but without wave-particle interactions, the equation
of motion for a single particle was solved (Litvinenko 1996;
Heerikhuisen et al. 2002). It was found that the most efficient
acceleration took place inside the diffusion region with a guiding
magnetic field, the energetic electrons appear on a power-law
distribution, and the spectral index depends mainly on the magnetic
configuration (Litvinenko 2000). The development of the 2D
particle-in-cell (PIC) simulations confirmed that the relativistic
electrons are mainly accelerated inside the diffusive region with
the large guiding magnetic field component (Pritchett 2006).
Furthermore, up to
300 keV electrons were directly measured
in a rare crossing of the diffusion region of Earth's magnetotail by
the Wind spacecraft (Øieroset et al. 2002).
Omura et al. (2003) considered that such a magnetic configuration and a 1D approach may be enough to study the plasma response to a strong parallel electric field along the guide field lines, and performed a 1D PIC simulation with typical parameters for the magnetopause. Since the drift velocity of electrons relative to ions is larger than the threshold of Buneman instability for a similar electron and ion temperature (Buneman 1959), the electrostatic wave was quickly excited. After the saturation of the unstable waves, the maximum strength of the turbulent electric field is about two orders of magnitude larger than the applied induced field. The pioneering 1D PIC simulation with reduced mass ratio and small particles provided similar results in the presence of quite strong electric field (Boris et al. 1970). In their 3D self-consistent PIC simulations of two current sheet reconnection, Drake et al. (2003) demonstrated that the electrons are accelerated near the magnetic x-line and separatrices, then, these electron beams excite the Buneman instability, and finally, the intense electric fields scatter and energize the electron beams. All of these steps imply that wave-particle interactions should be considered in the investigation of electron acceleration in externally driven RCS in solar flares.
We solved the linear dispersion relation of 1D drift Maxwellian distributions of electrons and protons with the typical parameters in solar corona (Wu et al. 2008), and obtained some preliminary results, such as the low frequency waves are excited on the timescale of 10-7 s, the trapped electrons by these waves stopped being accelerated, and the nonthermal electrons appear to have a double power-law distribution. These results need to be verified. In this paper, the nonlinear evolution of instability is solved in the 1D Vlasov equation with externally driven electric field for the first time in solar flares, for studying its effect on the electron acceleration. The basic equation and simulation method are presented in Sect. 2. The dispersion and evolution in the unstable waves are described in Sect. 3. The conclusions and discussions are given in Sect. 4.
2 Basic equation and simulation method
Boris et al. (1970) performed one and two dimensional PIC simulations in the presence of a very strong electric field along the x-axis of an electron-positron plasma, and found that only waves parallel to electric field are strongly excited (in 2D simulations), the increase in velocity in y direction being very small. They concluded that one-dimensionality may not be a serious limitation. Therefore, a 1D approach is adopted in this paper to investigate the electron acceleration in RCS.
There are two assumptions adopted in this paper: 1)
,
which are appropriate in the center-plane of a
current sheet near the X-type point, where the electrons are most
effectively accelerated (Coroniti and Eviatar 1977; Pritchett 2006;
Øieroset et al. 2002); 2) the Lorentz force (
)
is
smaller than the electric force, when the induced electric field is
assumed to be along the z-component of the magnetic field (Omura
et al. 2003).
However, these assumptions are theoretical, and can not be directly
inferred from observations of the solar corona (Watt et al. 2002;
Petkaki & Freeman 2008). Therefore, for the study of electrostatic
waves, the only force acting on the plasma is that of an electric
field, and the 1D electrostatic Vlasov equation is written as
(Petkaki & Freeman 2008)
where
The electric current density is expressed by
which may also be divided into two parts of the spatially-averaged component and the fluctuant component, the former being assumed to be balanced by the gradient of an external magnetic field
The anomalous resistivity may be calculated using the following
expression:
With the periodic boundary conditions and simulation method described in Horne & Freeman (2001), Eq. (1) is integrated forward in time. The initial unstable waves originate in a white noise electric field applied at t=0 (see Eqs. (4) and (5) in Petkaki et al. 2003). The simulation parameters are summed in Table 1, where n, T are respectively the plasma density and temperature,
To verify our results, we used the same parameters as used in Fig. 3 of Watt et al. (2002), and found similar evolution in the distribution function and the turbulent wave energy. When the inductive field added, the results comparable with the PIC simulation with the same parameters as those used in Omura et al. (2003). We also find similar result for the evolution in the unstable wave energy and the bulk drift velocity as shown in Fig. 2 of Omura et al. (2003).
Table 1: Summary of simulation parameters.
3 Simulation results
3.1 Evolution in the electron distribution
| |
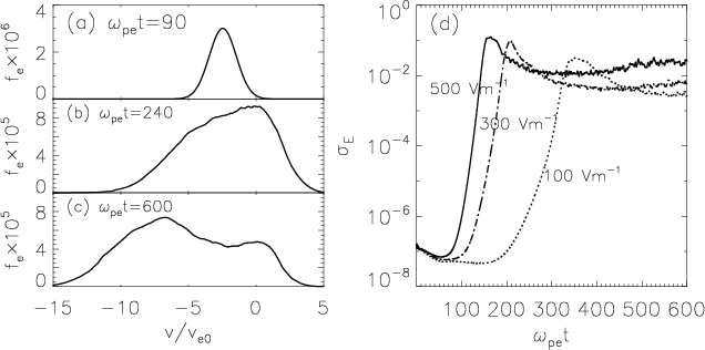
Figure 1: Evolution in the electron distribution with inductive field strength of 500 V m-1 in a)- c), and the fluctuating electric field energy with different inductive field strength d). |
| Open with DEXTER | |
![]() |
Figure 2: Evolution in bulk drift velocity, thermal velocity, and free accelerated velocity of electrons in a), c), e), and the anomalous resistivity in b), d), and f) for three different induced electric fields. |
| Open with DEXTER | |
The electron distribution at z=0 for
,
240, and
600 are shown in Figs. 1a-c respectively for E0=500 V
m-1. Figure 1d shows the evolution in the spatially averaged
density of the turbulent energy versus time, where
.
The
spatially averaged mean drift velocity, thermal velocity, free
accelerated velocity of electrons, and the anomalous resistivity
versus time with different magnitudes of external inductive fields
are shown in Fig. 2. It is shown from Figs. 1 and 2 that the whole
evolution can be divided into three stages. At the beginning, the
electrons are all accelerated by the induced electric field, and
Buneman instability is excited. Then the unstable waves increase
exponentially. With the increase in the magnitude of unstable waves,
the kinetic energy of electrons is transferred into waves, and the
drift velocity decreases. Some electrons are trapped in waves by
Landau damping, a low-velocity tail appears relative to the
distributions in Figs. 1a and c, and their acceleration stops. At
this stage, the perturbed energy may be expressed by
,
where
is the growth rate. When
the unstable wave energy increases from 10-5 to 10-3,
equals respectively about
,
,
and
,
i.e.,
s-1,
s-1, and
s-1for the different inductive fields of 500 V m-1, 300 V
m-1, and 100 V m-1, where
is the ion
plasma frequency. These results are consistent with our previous
solutions of the linear dispersion relation that the growth rate
depends strongly on the drift velocity (Wu et al. 2008). It means
that the unstable waves can be excited within a typical acceleration
timescale of 10-6 s (Litvinenko 1996; Wu et al. 2005). Finally,
instability saturates, untrapped electrons continue to be
accelerated, and the bulk drift velocity continues to rise.
3.2 Anomalous resistivity
The anomalous resistivity inferred using Eq. (4) is shown in Figs. 2b, d, and f for different electric fields, while the Spitzer
collisional resistivity
is
m. It
increases by at least a factor of about 106. The sheet
resistance may be estimated to be
in the
saturate state, where the length L and the width b of the sheet
are assumed to be the same as those taken by Martens (1988), and the
thickness of the sheet is a=1 m. Taking the sheet current intensity
to be
A, the energy conversion rate is about
erg s-1, and is enough to interpret the
energy conversion and fast magnetic reconnection in the impulsive
phase of solar flares (Martens 1988).
3.3 Dispersion of unstable waves
![]() |
Figure 3: Turbulent electric field spectra obtained by Fourier transformation with the induced electric field of 500 V m-1. |
| Open with DEXTER | |
For the sake of analyzing further the nonlinear characteristics of
unstable electrostatic waves, a 2D Fourier transformation to
turbulent electric field was performed, for which spectra in k-t and
in k-
space are shown respectively in Fig. 3. This figure
shows that the wave number of maximum growth waves decreases with
the increase in average bulk drift velocity during the time interval
of
,
the low-frequency waves are excited
and propagate in opposite directions, which is the typical property
of Buneman instability (Buneman 1959). By means of the Landau
damping, the low-speed electrons appear in velocity space (see Figs. 1a to c). Then, because of the deviation of the electron
distribution from Maxwellian one, the beam-plasma instabilities are
excited (Hamberger &
Jancraik 1972). The two new unstable wave
branches (A, B in Fig. 3b) appear: one is located in the frequency
domain of
(0.1-0.8)
in phase velocity of about
several times their initial thermal velocity, the other is located
in the frequency domain of (1-1.5)
with a phase
velocity of about dozen times their initial thermal velocity. With
the excitation of high frequency waves, the strength of low
frequency waves is lower than that of high frequency waves. To
understand why these waves are excited, we solve the dispersion
equation of double components of electrons that move at different
velocities relative to ions in the cold plasma approximation given
by
where
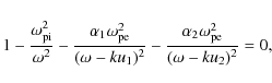
| |
Figure 4:
Frequency |
| Open with DEXTER | |
4 Conclusions and discussions
In principle, the particle acceleration may be fully understood only when the 3D self-consistent dynamic reconnection is solved. However, because of the practical limit to the run time and storage memory of computers, a simplified model and unrealistic plasma parameters are often used to obtain some insight into the physical nature (Pritchett 2006; Wu et al. 2005). In space science, 1D Vlasov simulation has been used to study the ion-acoustic instability of the initial drift Maxwellian or non-Maxwellian distribution in the magnetopause. It has been found that the anomalous resistivity in saturation state depends on reduced mass ratio, and increases with the enhancement of the mean drift velocity (Watt et al. 2002; Petkaki et al. 2003, 2006). In 2D PIC simulations, Pritchett (2006) discovered that the most efficient electron acceleration in RCS takes place near the X-line of the externally driven RCS with a guiding magnetic field. Omura et al. (2003) performed 1D PIC simulations of the plasma response to an applied electric field parallel to magnetic field lines, found that the Buneman instability is excited, and that the amplitude of the unstable wave is about two orders of magnitude larger than the applied induced field in the magnetopause. In solar physics, test particle simulations have been extensively used in almost all studies of particle acceleration without taking the effect of turbulent waves into account (Martens & Young 1990; Litvinenko 1996, 2003; Onofri et al. 2006). Using a 1D Vlasov simulation and including the inductive electric field with a realistic mass ratio for the first time, we have illustrated the excitation of unstable waves and their influences on the acceleration of electrons along the guiding magnetic field that have the typical parameters of solar flares. The main results are summarized as follows.
At first, owing to the presence of a super-Dreicer electric field, the bulk drift velocity increases beyond the threshold of Buneman instability on the timescale of 10-7 s, and Buneman instability can be quickly excited compared with the typical acceleration time of 10-6 s. Wave-particle Landau damping then causes the low-velocity tail to be formed. Finally, the more unstable waves appear because of the deviation of the electron distribution from a Maxwellian one, which is also proven by the analytical calculation of the dispersion relation including two component electrons of different drift velocity in the cold plasma approximation.
We have self-consistently evaluated the anomalous resistivity, which enhances the classical resistivity by at least 106 orders of the magnitude in the saturating state. Its value is the same order as the one inferred from energy conversion in solar flares (Martens 1988), and often adopted in most previous studies, such as magnetic reconnecting simulations.
We emphasize that the distribution of the energetic electrons in RCS could not be obtained by the present 1D simulation, because the small magnetic field component perpendicular to the guiding field is ignored, which causes the electrons to move outside the diffusion region without further acceleration. Only when 3D electromagnetic simulation in RCS is performed, can the self-consistent energetic electron spectrum be acquired.
Acknowledgements
We are grateful to the referee for constructively critical comment leading to significant improvement of the manuscript. This study is supported by the NFSC projects with Nos. 10773032, 10833007, and ``973'' program with No. 2006CB806302.
References
- Aschwanden, M. J. 2002, Space Sci. Rev., 101, 1 [NASA ADS] [CrossRef] (In the text)
- Benka, S. G., & Holman, G. D. 1994, ApJ, 435, 469 [NASA ADS] [CrossRef] (In the text)
- Boris, J. P., Dawson, J. M., & Orens, J. H. 1970, Phys. Rev. Lett., 25, 706 [NASA ADS] [CrossRef] (In the text)
- Brown, J. C. 1971, Sol. Phys., 18, 489 [NASA ADS] [CrossRef] (In the text)
- Buneman, O. 1959, Phys. Rev. Lett., 115, 503 [NASA ADS] (In the text)
- Coroniti, F. V., & Eviatar, A. 1977, ApJS, 33, 189 [NASA ADS] [CrossRef] (In the text)
- Dennis, B. R. 1985, Sol. Phys., 100, 465 [NASA ADS] [CrossRef] (In the text)
- Dennis, B. R., Veronig, A., Schwartz, R. A., et al. 2003, Adv. Space Res., 32, 2459 [NASA ADS] (In the text)
- Drake, J. F., Swisdak, M., Cattell, C., et al. 2003, Science, 299, 873 [NASA ADS] [CrossRef] (In the text)
- Forbes, T. G., & Lin, J. 2000, J. Atmos. Sol.-Terr. Phys., 62, 1499 [NASA ADS] [CrossRef] (In the text)
- Hamberger, S. M., & Jancraik, J. 1972, Phy. Fluids, 15, 825 [NASA ADS] [CrossRef] (In the text)
- Heerikhuisen, J., Litvinenko, Y. E., & Craig, I. J. D. 2002, ApJ, 566, 512 [NASA ADS] [CrossRef] (In the text)
- Holman, G. D. 2003, ApJ, 586, 606 [NASA ADS] [CrossRef] (In the text)
- Horne, R. B., & Freeman, M. P. 2001, J. Comp. Phys., 171,182 (In the text)
- Jing, J., Qiu, J., Lin, J., et al. 2005, ApJ, 620, 1085 [NASA ADS] [CrossRef] (In the text)
- Lin, R. P., & Hudson, H. S. 1976, Sol. Phys., 50, 153 [NASA ADS] [CrossRef] (In the text)
- Lin, R. P., Krucker, S., Hurford, G. J., et al. 2003, ApJ, 595, L69 [NASA ADS] [CrossRef] (In the text)
- Litvinenko, Y. E. 1996, ApJ, 462, 997 [NASA ADS] [CrossRef] (In the text)
- Litvinenko, Y. E. 2000, Sol. Phys., 194, 327 [NASA ADS] [CrossRef] (In the text)
- Litvinenko, Y. E. 2003, Sol. Phys., 212, 379 [NASA ADS] [CrossRef] (In the text)
- Martens, P. C. H. 1988, ApJ, 330, L131 [NASA ADS] [CrossRef] (In the text)
- Martens, P. C. H., & Young, A. 1990, ApJS., 73, 333 [NASA ADS] [CrossRef] (In the text)
- Miller, J. A., Cargill, P. J., Emslie, A., et al. 1997, J. Geophys. Res., 102, 14631 [NASA ADS] [CrossRef] (In the text)
- Øieroset, M., Lin, R. P., Phan, T. D., Larson, D. E., & Bale, S. D. 2002, Phys. Rev. Lett., 89, 195001 [NASA ADS] [CrossRef] (In the text)
- Omura, Y., Matsumoto, H., Miyake, T., & Kojima, H. 1996, J. Geophys. Res., 101, 2685 [NASA ADS] [CrossRef] (In the text)
- Omura, Y., Heikkila, W. J., Umeda, T., Ninomiya, K., & Matsumoto, H. 2003, J. Geophys. Res., 108A(5), 1197 (In the text)
- Onofri, M., Isliker, H. G. A., & Vlahos, L. 2006, Phys. Rev. Lett., 96, 151102 [NASA ADS] [CrossRef] (In the text)
- Petkaki, P., Watt, C. E. J., Horne, R. B., & Freeman, M. P. 2003, J. Geophys. Res., 108, 1442 [CrossRef] (In the text)
- Petkaki, P., Freeman, M. P., Kirk, T., Watt, C. E. J., & Horne, R. B. 2006, J. Geophys. Res., 111, 1205 [CrossRef] (In the text)
- Petkaki, P., & MacKinnon, A. L. 2007, A&A., 472, 623 [NASA ADS] [CrossRef] [EDP Sciences] (In the text)
- Petkaki, P., & Freeman, M. P. 2008, ApJ, 686, 686 [NASA ADS] [CrossRef] (In the text)
- Poletto, G., & Kopp R A. 1986, in The Lower Atmosphere of Solar Flares,Proceedings of the Solar Maximum Mission Symposium, Sunspot, NM, Aug. 20-24 (A87-26201 10-92), 453 (In the text)
- Pritchett, P. L. 2006, J. Geophys. Res., 111, A10212 [NASA ADS] [CrossRef] (In the text)
- Qiu, J., Lee, J., Gary, D. E., & Wang, H. 2002, ApJ, 565, 1335 [NASA ADS] [CrossRef] (In the text)
- Richardson, R., Gentle, K. W., & Leifeste, G. T. 1978, Phy. Fluids, 21, 1417 [NASA ADS] [CrossRef] (In the text)
- Speiser, T. W. 1965, J. Geophys. Res., 70, 8211 (In the text)
- Sui, L. H., Holman, G. D., & Dennis, B. R. 2004, ApJ, 612, 546 [NASA ADS] [CrossRef] (In the text)
- Watt, C. E. J., Horne, R. B., & Freeman, M. P., 2002, Geophys. Res. Lett., 29, 1004 [NASA ADS] [CrossRef] (In the text)
- Wu, G. P., Huang, G. L., & Tang, Y. H. 2005, Chin. J. Astron. Astrophys., 5, 99 [NASA ADS] [CrossRef] (In the text)
- Wu, G. P., Huang, G. L., Huang, Y., & Wang, D. Y. 2008, Adv. Space Res., 41, 984 [NASA ADS] [CrossRef] (In the text)
All Tables
Table 1: Summary of simulation parameters.
All Figures
| |
Figure 1: Evolution in the electron distribution with inductive field strength of 500 V m-1 in a)- c), and the fluctuating electric field energy with different inductive field strength d). |
| Open with DEXTER | |
| In the text | |
![]() |
Figure 2: Evolution in bulk drift velocity, thermal velocity, and free accelerated velocity of electrons in a), c), e), and the anomalous resistivity in b), d), and f) for three different induced electric fields. |
| Open with DEXTER | |
| In the text | |
![]() |
Figure 3: Turbulent electric field spectra obtained by Fourier transformation with the induced electric field of 500 V m-1. |
| Open with DEXTER | |
| In the text | |
| |
Figure 4:
Frequency |
| Open with DEXTER | |
| In the text | |
Copyright ESO 2009
Current usage metrics show cumulative count of Article Views (full-text article views including HTML views, PDF and ePub downloads, according to the available data) and Abstracts Views on Vision4Press platform.
Data correspond to usage on the plateform after 2015. The current usage metrics is available 48-96 hours after online publication and is updated daily on week days.
Initial download of the metrics may take a while.




![\begin{figure}
\par\includegraphics[width=9cm,clip]{11494fg2.eps}
\end{figure}](/articles/aa/full_html/2009/28/aa11494-08/Timg41.png)
![\begin{figure}
\par\includegraphics[width=9cm,height=4cm,clip]{11494f3a.eps}\vspace*{2mm}
\includegraphics[width=9cm,height=4cm,clip]{11494f3b.eps}
\end{figure}](/articles/aa/full_html/2009/28/aa11494-08/Timg57.png)
