| Issue |
A&A
Volume 502, Number 1, July IV 2009
|
|
|---|---|---|
| Page(s) | 283 - 301 | |
| Section | Stellar atmospheres | |
| DOI | https://doi.org/10.1051/0004-6361/200811533 | |
| Published online | 04 June 2009 | |
Searching for a link between the magnetic nature and other observed properties of Herbig Ae/Be
stars and stars with debris disks![[*]](/icons/foot_motif.png)
S. Hubrig1,2 - B. Stelzer3 - M. Schöller4 - C. Grady5 - O. Schütz2 - M. A. Pogodin6,7 - M. Curé8 - K. Hamaguchi9 - R. V. Yudin6,7
1 -
Astrophysikalisches Institut Potsdam, An der Sternwarte 16, 14482 Potsdam, Germany
2 -
European Southern Observatory, Casilla 19001, Santiago 19, Chile
3 -
INAF-Osservatorio Astronomico di Palermo, Piazza del Parlamento 1, 90134 Palermo, Italy
4 -
European Southern Observatory, Karl-Schwarzschild-Str. 2, 85748 Garching, Germany
5 -
Eureka Scientific, 2452 Delmer, Suite 100, Oakland, CA 96002, USA
6 -
Pulkovo Observatory, Saint-Petersburg, 196140, Russia
7 -
Isaac Newton Institute of Chile, Saint-Petersburg Branch, Russia
8 -
Departamento de Física y Astronomía, Facultad de Ciencias, Universidad de Valparaíso, Chile
9 -
Astrophysics Science Division, NASA's Goddard Space Flight Center, Greenbelt, MD 20771, USA
Received 16 December 2008 / Accepted 27 April 2009
Abstract
Context. Recently, evidence for the presence of weak magnetic fields in Herbig Ae/Be stars has been found in several studies.
Aims. We seek to expand the sample of intermediate-mass pre-main sequence stars with circular polarization data to measure their magnetic fields, and to determine whether magnetic field properties in these stars are correlated with mass-accretion rate, disk inclination, companions, silicates, PAHs, or show a correlation with age and X-ray emission as expected for the decay of a remnant dynamo.
Methods. Spectropolarimetric observations of 21 Herbig Ae/Be stars and six debris disk stars have been obtained at the European Southern Observatory with FORS 1 mounted on the 8 m Kueyen telescope of the VLT. With the GRISM 600B in the wavelength range 3250-6215 Å we were able to cover all hydrogen Balmer lines from H
to the Balmer jump. In all observations a slit width of 0
4 was used to obtain a spectral resolving power of
.
Results. Among the 21 Herbig Ae/Be stars studied, new detections of a magnetic field were achieved in six stars. For three Herbig Ae/Be stars, we confirm previous magnetic field detections. The largest longitudinal magnetic field,
G, was detected in the Herbig Ae/Be star HD 101412 using hydrogen lines. No field detection at a significance level of 3
was achieved in stars with debris disks. Our study does not indicate any correlation of the strength of the longitudinal magnetic field with disk orientation, disk geometry, or the presence of a companion. We also do not see any simple dependence on the mass-accretion rate. However, it is likely that the range of observed field values qualitatively supports the expectations from magnetospheric accretion models giving support for dipole-like field geometries. Both the magnetic field strength and the X-ray emission show hints of a decline with age in the range of
2-14 Myr probed by our sample, supporting a dynamo mechanism that decays with age. However, our study of rotation does not show any obvious trend of the strength of the longitudinal magnetic field with rotation period. Furthermore, the stars seem to obey the universal power-law relation between magnetic flux and X-ray luminosity established for the Sun and main-sequence active dwarf stars.
Key words: polarization - stars: pre-main-sequence - stars: circumstellar matter - stars: magnetic fields - X-rays: stars - stars: coronae
1 Introduction
Magnetic fields are important ingredients of the star formation process (McKee & Ostriker 2007). Models of magnetically driven accretion and outflows (e.g., Shu et al. 2000; Shu et al. 1995) successfully reproduce many observational properties of low-mass pre-main sequence stars, the classical T Tauri stars (cTTS). Indirect observational evidence for the presence of magnetic fields in these stars is seen in strong X-ray, FUV, and UV emission (e.g., Feigelson & Montmerle 1999; Brown et al. 1985). The high-energy radiation of young stars related to magnetic processes may be critical for the annealing and melting of some refractory grain species (Shu et al. 2001), for the heating intermediate-depth portions of disks around young stars (Najita 2004) and for mass loss from planets forming in those disks (Penz et al. 2008). The irradiation-induced heating mediated by the magnetic activity enlarges the zone in circumstellar disks where chemistry may proceed to assemble pre-biotic materials which could produce life-bearing worlds. Therefore, understanding the interaction between central stars, their magnetic fields and protoplanetary disks is crucial to reconstruct the Solar System's history, and to account for the diversity of exo-planetary systems.
Direct magnetic field measurements of cTTS (e.g. Johns-Krull 2007) corroborate the scenario outlined above for the formation of low-mass stars, but the picture is less clear for higher-mass stars. The presence of protoplanetary disks around intermediate-mass pre-main sequence (PMS) stars, the Herbig Ae/Be stars (e.g., Herbig 1960; Finkenzeller & Mundt 1984; Thé et al. 1994), has been established through their thermal emission in the IR, and more recently by direct imaging with polarimetric and interferometric techniques (e.g., Perrin et al. 2004; Monnier et al. 2005). Dusty disk models explain the IR excess emission (e.g. Dullemond et al. 2001) and magnetospheric accretion models describe the line profiles of Herbig Ae/Be stars (Muzerolle et al. 2004), in close analogy to cTTS. However, the disk lifetime appears to be shorter for Herbig Ae/Be stars (Uzpen et al. 2009; Carpenter et al. 2005) and within the Herbig Ae/Be class there is a trend of more massive stars dispersing their disks more rapidly (Alonso-Albi et al. 2009). Herbig Ae stars are closer analogs to TTS than Herbig Be stars. Bipolar outflows or associated Herbig-Haro knots are now known for six optically visible Herbig Ae stars drawn from coronographic imaging surveys (e.g. Melnikov et al. 2008). Due to the probable role of magnetic fields in launching and collimating jets, this implies that a significant fraction of Herbig Ae stars should have measurable magnetic fields, which could persist through much, if not all, of the star's PMS lifetime. X-ray activity is known for a number of Herbig Ae stars (Hamaguchi et al. 2005; Feigelson et al. 2003; Swartz et al. 2005; Stelzer et al. 2006, 2009; Skinner et al. 2004), suggesting the presence of magnetic fields. Recent advances in instrumentation have resulted in the first magnetic field measurements for Herbig Ae stars, derived from spectropolarimetry. A few stars have magnetic field strengths derived from circular polarization measurements of a few hundred Gauss or near 100 G (Hubrig et al. 2004a; Wade et al. 2005, 2007; Hubrig et al. 2006a, 2007a). Other objects seem to have either smaller average field strengths, or exhibit significant variability.
In our previous studies, we reported
detections at a level higher than 3
for three out of seven
Herbig Ae stars observed with FORS 1 (Hubrig et al. 2004a, 2006a, 2007a).
The results of the spectropolarimetric
observations of the two Herbig Ae stars HD 31648 and HD 190073
with FORS 1 at a resolution of
turned out to be
especially remarkable (Hubrig et al. 2006a; Hubrig et al. 2007a).
These two stars
possess almost the same effective temperature, but are different in
luminosity and projected rotation velocity. In the Stokes V spectra of HD 190073, the profiles
exhibit a number of blueshifted local
absorption components, whereas in HD 31648, only one blueshifted and one
redshifted feature are observed in both H&K lines of the Ca II doublet.
It is noteworthy that recent Goddard Fabry-Perot narrow band images revealed
the counterjet and bright HH knots in HD 31648 (Stecklum et al. 2009, in preparation).
This star demonstrates notable emission in the H
,
H
,
and H
lines, which
indicates the presence of a significant stellar wind. The profiles of
these lines are of P Cyg-type with very deep
blueshifted absorptions.
In this work we seek to expand the sample of intermediate-mass PMS stars with circular polarization data used to derive stellar magnetic fields. We then investigate whether the magnetic field properties of these stars are correlated with mass-accretion rate, companions, silicates, or PAHs. We also search for the first time for a correlation between field strength and age or X-ray emission, such as expected for a decaying fossil field. Further, we examine the inclination dependence of the polarization data, and explore the dependence of the strength of the longitudinal magnetic field on stellar rotation.
2 Observations and data reduction
The observations reported here were carried out
on May 22 and 23, 2008 in visitor mode at the European Southern Observatory with FORS 1
mounted on the 8 m Kueyen telescope of the VLT. This multi-mode instrument is equipped with
polarisation analyzing optics comprising super-achromatic half-wave and quarter-wave
phase retarder plates, and a Wollaston prism with a beam divergence of 22
in
standard resolution mode.
In 2007, a new mosaic detector
with blue optimized E2V chips was installed in FORS 1.
It has a pixel size of 15
m (compared to 24
m for the
previous Tektronix chip) and a higher efficiency in the wavelength range below 6000 Å.
To achieve the highest possible signal-to-noise (S/N) ratio - as is
required for accurate measurements of stellar magnetic fields - we used
the (200 kHz, low,
)
readout mode, which makes it possible to
achieve a S/N ratio of about 1000-1200 with only one single exposure. With
the GRISM 600B in the wavelength range 3250-6215 Å we were able
to cover all hydrogen Balmer lines from H
to the Balmer jump.
In all observations, a slit width of 0
4 was used to obtain a spectral resolving power
of
.
Usually, we took three to five continuous series of two exposures for each object,
leading to signal-to-noise ratios of typically 3000 to 4000.
For the faintest Herbig Ae star in our sample, VV Ser,
only two series were
taken due to the rather long exposure time for each sub-exposure.
More details on the observing technique with FORS 1 can be
found elsewhere (e.g.,
Hubrig et al. 2004a,c, and references therein).
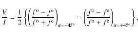
The mean longitudinal magnetic field is the average over the stellar hemisphere
visible at the time of observation of the component of the magnetic field
parallel to the line of sight, weighted by the local emergent spectral line
intensity.
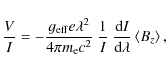
Its determination is based on the use of the equation
where V is the Stokes parameter which measures the circular polarization, I is the intensity observed in unpolarized light,
where
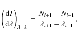
where, for each spectral point i, yi = (V/I)i,
where Ni is the photon count at wavelength
Table 1: Target stars for which spectropolarimetric data were obtained during our observing run.
Table 2: Targets discussed in this paper.
The list of the studied stars is presented in Table 1.
In the four columns we give the object name,
another identifier from SIMBAD, the visual magnitude and the spectral type.
The star HD 47839 of spectral type O7 V was included in our sample since it is classified
as a pre-main sequence star in the SIMBAD database,
probably due to its close proximity to the Cone Nebula. Markova et al. (2004)
consider this star as a Galactic O-type star with a mass of 32
and
500 K.
In Table 2 we list
various properties of the studied stars compiled from the literature, such as
v sin i,
mass-accretion rate,
features in the mid-IR spectra,
the presence of a companion,
effective temperature,
luminosity, and age.
The mass was deduced from the position of the star in the H-R diagram (see Sect. 5).
The mass-accretion rates were determined by Garcia Lopez et al. (2006) from the
luminosity of the Br
line seen in emission in Herbig Ae/Be stars.
Mid-IR features such as
crystalline silicate grains indicate thermal dust processing subsequent to the formation of the
star-disk system, while PAHs (polycyclic aromatic hydrocarbons)
are abundant in interstellar and circumstellar environments and can be
important constituents in the energy balance of those environments as sources of
photoelectrons that heat the gas component (Kamp & Dullemond 2004).
Since the existence of a link between the presence of magnetic fields
and the disk characteristics remains unproven, we decided to include in this study also the information on mid-IR features.
Additionally, in Tables 1 and 2
we added five Herbig Ae/Be stars for which magnetic fields were
detected in previous studies by various authors.
The magnetic field for HD 31648 was detected by Hubrig et al. (2006b),
while V380 Ori and BF Ori were studied by Wade et al. (2005).
The detection of a weak magnetic field in HD 104237 was reported by
Donati et al. (1997) and the study of
the magnetic field of HD 200775 was carried out by Alecian et al. (2008).
We note, however, that, as was shown by Hubrig et al. (2007b), the detected
magnetic field of HD 31648
is predominantly circumstellar (CS) and that the strength of the photospheric
magnetic field remains unknown. Also, the field detection in HD 104237 of the order of
50 G was just marginal,
and was not confirmed in the follow-up study by Wade et al. (2007).
Since caution is called for in the detection of magnetic fields with low resolution spectropolarimeters,
from time to time we observed magnetic Ap/Bp stars with well-known variation curves.
These observations confirm that our
measurements are usually in good agreement with measurements obtained with other
spectropolarimeters (see e.g. Hubrig et al. 2004b).
During our observing run, we also observed the A-type star HD 162725, for which previous measurements exist
both with FORS 1 and later with ESPaDOnS at
the Canada-France-Hawaii Telescope at much higher spectral resolution (R=65 000).
Due to lack of time we obtained only three series of two exposures, resulting in a
magnetic field measurement
=
G using the full spectrum
and
=
G using hydrogen lines.
This star was previously observed by Bagnulo et al. (2006), who failed
to detect a magnetic field in this star. The non-detection by these authors is probably due to the much
lower spectral resolution in their spectropolarimetric observations with FORS 1 (with a slit width
of 0
5-1
0).
Landstreet et al. (2008) detected a weak magnetic field of the order of -100 G with ESPaDOnS,
and could also show that the field is variable. We confirm their finding with our result, revealing
a positive magnetic field of the order of 130-160 G, measured in metal and hydrogen
lines (see Table 3). We note, however, that an accurate ephemeris for HD 162725 is
not known and presently it is not possible to prove whether our observations were carried out in
the opposite rotational phase compared to the observations of Landstreet et al. (2008).
Certainly, the advantage of using high resolution spectropolarimeters such as ESPaDOnS at the Canada-France-Hawaii Telescope, and NARVAL at the Bernard Lyot Telescope at Pic du Midi Observatory (France) is indubitable, since higher spectral resolution observations provide more detailed information about the behaviour of different elements in the presence of a magnetic field and on the magnetic field topology. On the other hand, the use of hydrogen lines, which are usually not used for magnetic field measurements with ESPaDOnS and NARVAL, offers the unique opportunity to study the global structure of the detected magnetic field. The profiles of metal lines frequently exhibit conspicuous variations, which are signatures of the circumstellar environment, stellar winds, of a non-uniform distribution of metals over the stellar surface, or of the presence of temperature spots (which are typical for late type stars). In our studies with FORS 1, the longitudinal magnetic fields are measured in two ways: using only the absorption hydrogen Balmer lines or using the whole spectrum including all available absorption lines, i.e. we use all lines, variable and non-variable, together. As hydrogen is expected to be homogeneously distributed over the stellar surface, the longitudinal magnetic field measurements sample the magnetic field fairly uniformly over the observed hemisphere.
3 Results
Table 3: The mean longitudinal magnetic field measurements for our sample of Herbig Ae/Be and debris disk stars observed with FORS 1.
The obtained magnetic field measurements are presented in Table 3.
In the first two columns, we give the object name of the targets and the modified Julian dates of the
middle of the exposures.
In the third column we list the signal-to-noise ratio (SNR) calculated in the final one-dimensional
spectrum around 4750 Å.
The measured mean longitudinal magnetic field
using all absorption lines
is presented in Col. 4.
The measured mean longitudinal magnetic field
using all hydrogen lines in
absorption is listed in Col. 5.
All quoted errors are 1
uncertainties.
In Col. 6, we identify new detections by ND and confirmed detections by CD.
We note that all claimed detections have a significance of at
least 3
,
determined from the formal uncertainties we derive. These measurements are indicated in bold face.
In Fig. 1 we show the significance distributions of our measurements.
These distributions are different from the distribution shown by Wade et al. (2007)
for their sample of FORS 1 observations of Herbig Ae/Be stars.
Assuming that only formal uncertainties apply, this suggests that the
Herbig stars in our sample are probably weakly magnetic.
Apart from the confirmed detections of a magnetic field in the stars HD 101412, HD 144668, and HD 190073
(Wade et al. 2007; Hubrig et al. 2007b; Catala et al. 2007),
six other stars of our sample, PDS 2, HD 97048, HD 100546,
HD 135344, HD 150193, and HD 176386, show evidence for the presence of a weak magnetic
field. About half of the stars with magnetic field detections possess longitudinal magnetic
fields larger than 100 G.
These stars are the best candidates for future spectropolarimetric studies to analyze the behaviour of
their magnetic fields over their rotational cycles to disclose the magnetic topology of their surfaces.
For two Herbig Ae stars, HD 139614 and HD 144432, with previously detected weak magnetic fields at a
significance level of 3
(Hubrig et al. 2004b, 2007b), the magnetic field in the present
study was diagnosed only
at a level of 1.8
and 1.6
,
respectively.
Wade et al. (2005) failed to detect a magnetic field in HD 139614 with quoted
uncertainties of 25 G on two consecutive nights with the high resolution spectropolarimeter
ESPaDOnS.
The marginal detections of magnetic fields in
these stars during this observing run
can probably be explained by the strong dependence of the longitudinal magnetic field on the rotational aspect,
i.e. on the rotation phase.
For the Herbig Ae star HD 163296, we found no indication for the presence of a photospheric magnetic field,
in agreement with our
previous studies (Hubrig et al. 2006b, 2007b).
![]() |
Figure 1:
Distribution of the detection significance
|
| Open with DEXTER | |
No definite detection at a significance level of 3
was achieved for any of the stars with debris
disks. The only measurement close to the 3
level was obtained for the F5/F6V star
HD 181327, which belongs to the (
12 Myr old)
Pictoris moving group, with a measured
magnetic field
= -
G.
![]() |
Figure 2:
Stokes I and V spectra of the Herbig Ae/Be star HD 101412, with the largest detected magnetic field.
Upper panel: Zeeman features in H9, H8, Ca II H&K, and H |
| Open with DEXTER | |
The star HD 101412, with the largest magnetic field strength measured in our sample stars,
shows a change of the field strength by
100 G during two consecutive nights.
In Fig. 2 we present distinct Zeeman features detected at the positions of the hydrogen Balmer lines and
the Ca II H&K lines.
The H
line in the Stokes I spectrum is contaminated by the presence of
a variable emission in the line core and was not included in our measurements.
![]() |
Figure 3:
Stokes V spectra in the vicinity of the Ca II H&K lines of the Herbig Ae/Be stars
HD 139614, HD 144668, HD 152404, and HD 190073. At the top we present our previous observation of
HD 190073, obtained in May 2005. The amplitude of the Zeeman features in the Ca II H&K lines
observed in our recent measurement has decreased by |
| Open with DEXTER | |
Similar Zeeman features at the positions of the Ca II H&K lines were detected in four other
Herbig Ae/Be stars, HD 139614, HD 144668, HD 152404, and HD 190073.
In Fig. 3, we present the Stokes V spectra for these stars in the region around the
Ca II doublet, together with our previous observation of HD 190073, obtained
with FORS 1 in 2005. As we already reported in our earlier studies (Hubrig et al. 2004b, 2006b, 2007b)
these lines are very likely formed at the base of the stellar wind, as well as in
the accretion gaseous flow, and frequently display multi-component complex structures in both the Stokes Vand Stokes I spectra.
In two Herbig Ae/Be stars, HD 31648 and HD 190073, such a structure was especially noticeable,
and from their study we concluded that a magnetic field is present in both stars,
but is most likely of circumstellar origin.
For HD 31648, we detected a magnetic field
=
G.
Using only the Ca II H&K lines for the measurement of circular polarization in HD 190073,
we diagnosed a longitudinal magnetic field at a 2.8
level,
=
G.
Our previous magnetic field measurement for HD 190073 of the order of 80 G
was in full agreement with the high resolution spectropolarimetric measurements obtained for this star
with ESPaDOnS Catala et al. (2007), who measured a longitudinal magnetic field
=
G using metal lines.
The authors report that they could not see a Stokes V signal in the Ca II H&K lines, but the
S/N ratio of their spectra is too low in that spectral region, resulting in a noise level of the order
of
-3 in Stokes V per spectral bin of 0.0025 nm, which would not allow them to detect
as weak a signal as seen in the LSD average, nor the level of signal reported by Hubrig et al. (2006b).
Our new observations reveal a rather large change (by
0.5% of circular polarization) in the
amplitude of the Zeeman features in the Ca II H&K lines compared to our observations from May 2005
(see the two upper spectra in Fig. 3), indicating a conspicuous variability of the magnetic field.
Wade et al. (2007) mentioned the absence of Zeeman features in the Ca II H&K lines in
their FORS 1 spectra of the Herbig stars HD 31648, HD 144432, and HD 144668.
On the other hand, in the same study, they report that their measurements were obtained using
a variety of slit widths:
38 of 73 stars were measured with slit widths of 0
8 to 1
,
and 35 of their 73 stars were measured with a slit width of
0
5. Using wide slits greatly degrades the resolution of the Stokes V spectra, possibly affecting the deduced longitudinal
magnetic fields. Wade et al. (2007) looked for this effect in
their study, generally not finding strong evidence for it.
4 Discussion of individual stars with magnetic field detections
In the following we discuss the present knowledge of the various observed properties
of stars with a magnetic
field detection at a 3
level, placing greater emphasis on the discussion of stars with
stronger magnetic fields.
Since a few stars of our sample have been previously
observed by Wade et al. (2007), we also compare our results with the results obtained
by these authors.
4.1 Herbig Ae/Be stars with detected magnetic fields
PDS 2:
This star was observed with FORS 1 in November 2004 by
Wade et al. (2007). A weak magnetic field of the order of 130-140 G was measured at
a 3
significance level
using metal lines and the full spectrum, but could not be diagnosed from the measurements
using hydrogen Balmer lines.
We achieve a rather similar result:
We detect a positive magnetic field
=
G using the full spectrum,
but we are not able to detect the presence of a magnetic field using hydrogen lines.
For this star, no spatially resolved observations of circumstellar matter or infrared spectral emission
features were reported in the literature.
HD 97048:
No detection at a 3
level was achieved by Wade et al. (2007).
However, in our observations, the magnetic field in this star is rather strong.
We measure
=
G
using the full spectrum and
=
G using hydrogen lines.
A large flaring disk with a mean disk inclination of 42.8
was reported by Doucet et al.
(2007) from observations with VISIR.
No silicate emission band at 10
m was found in the mid-IR spectra of HD 97048.
The disk has been coronographically imaged by Doering et al. (2007), and
its inclination angle appears to be closer to
than the
reported by Doucet et al. (2007).
The disk has a radial surface
brightness profile consistent with dust grain growth and settling,
rather than a highly flared geometry.
No HH knots are visible in the coronographic ACS F606W image presented by Doering et al. (2007).
This is consistent with the at best low level of Mg II
emission in the archival IUE data.
No presence of a binary companion was detected in the study of Corporon & Lagrange
(1999). The mid-IR spectrum is dominated by PAH emission,
which arises mostly from an outer radius at 200-300 AU (van Boekel
et al. 2004). Both quiescent H2 emission in the near-IR (Bary et al. 2008)
and rotational H2 emission of warm gas in the mid-IR (Martin-Zaïdi
et al. 2007) were reported.
HD 97048 was detected in an XMM-Newton
survey of Cha I. On basis of the negative results of all searches for binarity, Stelzer et al. (2004)
ascribed the X-ray emission to the Herbig star.
HD 100546:
In this star we measure
= 89
26 G using
the full spectrum and
= 87
28 G using hydrogen lines.
No detection at a 3
level was achieved by Wade et al. (2007).
Although no stellar companions have been reported,
there seems to be evidence for a giant planet forming at
6.5 AU (Acke &
van den Ancker 2006).
The circumstellar disk was repeatedly resolved at
optical, near-IR, mid-IR and mm wavelengths. Augereau et al. (2001)
derive a disk inclination of
,
while the values from
other authors are consistent within error ranges. There is a circumstellar envelope
surrounding the disk (e.g. Grady et al. 2001).
Silicate emission
and PAHs are seen in 10
m spectra (e.g. Meeus et al. 2001). Highly
excited H2 gas was reported by Martin-Zaïdi et al. (2008), who estimate
that the warm H2 is located within about 1.5 AU from the star.
The star is detected in X-rays (Feigelson et al. 2003;
Stelzer et al. 2006) with an
typical of Herbig Ae stars.
No jet is seen in HST imagery in the optical
(Grady et al. 2001; Ardila et al. 2007)
or in Ly
(Grady et al. 2005a).
HD 101412:
Wade et al. (2007) measured a positive magnetic field of the order of 500 G using hydrogen lines.
During the first night we measured
= -
G employing
the full spectrum and
= -
G on hydrogen lines.
The magnetic field was also detected on the second night:
= -
G
using the full spectrum and
= -
G on hydrogen lines.
Interestingly, Wade et al. (2007) found a negative magnetic field of the same order
when they used metal lines for the measurements.
Contrary to their results, our measurements show rather consistent
results obtained using the full spectrum, metal lines and hydrogen lines, although the magnetic field
from metal lines appears somewhat lower, probably due to CS contamination.
From the measurements during the first night, using exclusively metal lines, we obtain
= -
G,
and
= -
G for the second night.
![]() |
Figure 4:
SOFI Ks-band image of a potential faint companion to HD 101412.
The spatial resolution is 0
|
| Open with DEXTER | |
It is quite possible that HD 101412 belongs to a visual binary system.
In Fig. 4 we present a Ks-band image of HD 101412 obtained with SOFI at the NTT
in La Silla. The data were taken in May 2000 in the framework of the ESO programme
65.I-0097(A) and were retrieved from the ESO science data archive. A faint
candidate companion is detected at 3
![]()
2 separation to the
southwest. The spatial resolution of the SOFI images was 0
29/pix. Whether there is a
real physical association between both stars remains to be confirmed.
![]() |
Figure 5:
UVES spectra obtained on two different dates of the Herbig Ae/Be star HD 101412 in the spectral regions
around the H |
| Open with DEXTER | |
![]() |
Figure 6:
UVES spectra of the Herbig Ae/Be star HD 101412 in the spectral regions
|
| Open with DEXTER | |
The very low
km s-1 suggests that we may see the disk nearly pole-on.
Since this star exhibits the strongest magnetic field and hence is of special interest,
we retrieved from the ESO archive three high-resolution UVES spectra of HD 101412 obtained in the framework of
ESO programme 077.C-0521(A). An inspection of these spectra, recorded on three different dates,
indicates variations in line intensities and line profiles.
All lines seem to be variable, and we were not able to find
any non-variable spectral line in the spectrum.
The largest variations are observed between
the dates MJD 53 872.540 and MJD 53 920.494.
A few examples of these variations are presented in Figs. 5 and 6.
We tested a number of atmospheric models in the range:
-11 000 K and
-4.5.
The studied UVES spectra cover both H
and H
Balmer lines. However, only the wings
of the H
line can be used to obtain the atmospheric parameters, as
the H
line exhibits strongly variable emission.
We obtain as a best fit
000 K,
-4.3 and a
value of about
5 km s-1.
This result is in good
agreement with the study of Guimarães et al. (2006) who
published
=10 000
1000 K,
,
and v sin
km s-1.
A good fit is also obtained using the model
K and
,
but the synthetic spectrum
for these parameters shows many narrow lines which do not appear in the observed UVES
spectra. The spectrum is heavily contaminated by CS lines. Two such lines belonging to Fe I and
Fe II are clearly visible in Fig. 6.
As we mentioned above, the low
value suggests that we observe HD 101412 close to pole-on, or
that the star is rotating very slowly.
The inclination angles of disks of Herbig Ae/Be stars (which are expected to be identical with the inclination angle
of the stellar rotation axis) can be reliably derived only for resolved observations of disks.
They are usually determined from millimeter observations, coronographic imagery, or near-IR
interferometry.
On the other hand, the orientation of the disk can be constrained using the
emission profile shapes.
Type I P Cygni profiles or single emissions all have
.
Stars which alternate between type I and type III profiles have
,
and stars with double
emission all have
.
This means that even for
objects for which no good disk imagery exists, it is at least possible
to constrain their inclination angles from the study of Mg II spectral line profiles in the UV or from the line profile
shape of H
(e.g., Finkenzeller & Mundt 1984; Dunkin et al. 1997).
The shape of H
in the UVES spectra of HD 101412 suggests an
inclination angle
,
i.e. the star is viewed far from pole-on, in agreement with the recently
published value
by Fedele et al. (2008) who used VLTI/MIDI observations.
The slow rotation could in principle be explained by binarity, where the components are synchronized
with
.
However, we detect neither spectral lines of the companion
nor any variability of radial velocities in the UVES spectra. It cannot be excluded, though, that
braking of the star's rotation
is due to its rather strong magnetic field, in analogy with the slow rotation of magnetic Ap and Bp stars.
Since the intensities of lines of different elements
do not show opposite behaviour, which is usually observed in chemically peculiar Ap and Bp stars,
we exclude the presence of
chemical spots on the stellar surface. Also the study of temperature sensitive and insensitive
lines indicates the absence of temperature spots. Therefore we conclude that the observed spectrum variability
has a CS origin.
Silicate emission and lower amounts of PAHs are seen in mid-IR spectra
(e.g., van Boekel et al. 2005; Geers et al. 2007), while the SED is consistent
with a flat disk type (Geers et al. 2007).
HD 135344B = SAO 206462:
the detected magnetic field in this star is very weak.
We observe a change of the polarity between the first and the second observing night, but the measurement on the
first night, using the full spectrum, resulted in a strength of the longitudinal magnetic field
=
G which is only at a 2.1
significance level.
On the second night, the magnetic field was detected at a 3.2
level
using the full spectrum,
= -
G.
As is mentioned in the literature, there has been frequent confusion
between HD 135344 and the
20
close, nearby IR
source SAO 206462, a mid-F star (Coulson & Walther 1995), also referred to as HD 135344B.
Thus SAO 206 462 was frequently improperly called HD 135344.
A further binary pair was found at
5
8 separation from SAO 206462 by Augereau et al. (2001).
Mid-IR spectra show silicate absorption around 10
m (e.g. Acke &
van den Ancker 2004) and PAHs (e.g. Sloan et al. 2005).
Dent et al. (2005) derived a disk inclination of 11
,
obtained from measurements of
CO gas. The presence of warm H2 gas is reported by Thi et al. (2001), which
should be treated with caution due to the low S/N and low spatial resolution of ISO data.
This star has recently been identified as the host of a transitional or pre-transitional
disk (Brown et al. 2007;
Pontoppidan et al. 2008).
The disk is coronographically detected at 1.1
m and 1.6
m (Grady et al., in preparation)
with a radial surface brightness profile consistent with grain growth and settling. No jet
is seen in HST optical coronographic
imagery (Grady et al. 2005b).
FUV excess light and emission were detected by FUSE, with a mass-accretion
rate reconcilable with the Br
measurements (Garcia Lopez 2006;
Grady et al., in preparation).
The bulk of the FUV emission is consistent with stellar activity, rather than with accretion.
![]() |
Figure 7:
Stokes I and V spectra of the Herbig Ae/Be star HD 144668.
Upper panel: Zeeman feature in the H |
| Open with DEXTER | |
HD 144668 = HR 59 99:
in our previous study (Hubrig et al. 2007a), we showed that
the magnetic field of this star is variable, with the strength
varying between -75 G and +166 G. Strong Zeeman features
are clearly visible at the position of the Ca II H&K lines and hydrogen Balmer lines, similar
to those detected in our previous observations (see Fig. 3). We confirm the presence
of the magnetic field, measuring
= -62
18 G using
the full spectrum and
= -92
27 G using hydrogen lines.
In stellar applications, the Stokes V profiles present disk-integrated observations.
Generally, stellar magnetic fields are not symmetric relative to the rotation axis, so that the polarization
signal changes with the same period as the stellar rotation. The most simple modeling
includes a magnetic field approximated by a dipole with an axis inclined to the rotation axis.
Recently, Aurière et al. (2007) presented measurements of weak stellar magnetic
fields using the cross-correlation technique ``Least Squares Deconvolution'', originally introduced
by Donati et al. (1997). They showed that the presence of a weak magnetic field can be diagnosed
from the detection of Stokes V Zeeman signatures, even if the longitudinal magnetic field
is very small, as is usually observed during a cross-over phase.
In our observations of a few Herbig Ae/Be stars, even at the very low resolution of FORS 1, similar
Stokes V Zeeman features are observable in strong
Ca II H&K and hydrogen Balmer lines, indicating the presence of a cross-over phase.
In Fig. 7 we show an example of Stokes V line profiles of H
and H
in HD 144668,
confirming the presence of a magnetic field in this star at a rotation phase where the longitudinal magnetic field
is rather small.
HD 144668 belongs to a quadruple system (Dommanget & Nys 1994), although the
orbits and physical relations between the companions are not certain. The nearest neighbour at
a separation of 1
4 appears to be a T Tauri star (Stecklum et al.
1995). A broad but rather shallow 10
m silicate emission feature
indicates grain growth (van Boekel et al. 2005). Preibisch
et al. (2006) derived an inclination of 58
from MIDI/VLTI observations
and found that the disk is very compact with an outer edge of
2.6 AU,
potentially caused by a further, even closer, yet undetected companion.
Recently, HD 144668 was for the first time resolved from its T Tauri companion
in X-rays (Stelzer et al. 2009). This observation showed that the bulk of
the X-ray emission comes from the companion, but a weak source is associated with HD 144668 (or the
hypothesized sub-arcsecond companion).
HD 150193:
no attempt had been made to measure the magnetic field in this object.
The detected magnetic field is comparatively strong: we measure
= -
G using
the full spectrum and
= -
G using hydrogen lines.
A binary companion at 1
1 distance (Reipurth & Zinnecker 1993)
is a T Tauri star (e.g. Carmona et al. 2007). Fukagawa
et al. (2003) resolved the circumstellar disk in the near-IR and derived
a disk inclination of ![]()
.
Broad 10
m silicate emission is
seen in mid-IR spectra (e.g. Acke & van den Ancker 2004). Warm H2 gas
is reported by Thi et al. (2001).
Similar to the case of HD 144668, resolved Chandra images show that
most of the X-ray emission comes from the T Tauri companion, but weak emission is
attributed to the Herbig star (Stelzer et al. 2006).
HD 176386:
a magnetic field is definitely present: we measure
= -
G using
the full spectrum and
= -
G using hydrogen lines.
This star is part of a triple system (Dommanget & Nys 1994).
Grady et al. (1993) reported evidence for accretion of circumstellar gas onto the star.
Martin-Zaïdi et al. (2008) detected
warm H2 gas.
This source shows the highest H2 column density in their entire sample.
Both IR (Siebenmorgen et al. 2000) and far-UV
spectroscopy (Martin-Zaïdi et al. 2008) suggest that the circumstellar
matter has the form of an envelope rather than the form of a disk. PAHs are detected in
mid-IR spectra (e.g. Siebenmorgen et al. 2000).
Surprisingly, HD 176386 is one of the few Herbig Ae/Be stars confirmed to be X-ray dark
(
).
Stelzer et al. (2006) showed on basis of Chandra imaging
that apparent X-ray detections of this star in previous lower-resolution
observations are to be attributed to the companion at
separation.
HD 190073:
a magnetic field of
=
G was detected using photospheric metal lines
with ESPaDOnS (Catala et al. 2007).
Our old measurements (Hubrig et al. 2006a) revealed a magnetic field of the order of 80 G at the
2.8
level, in full agreement with the high resolution ESPaDOnS spectropolarimetric data, whereas
Wade et al. (2007) failed to detect the magnetic field in both previous measurements
carried out with FORS 1 in November 2004.
Our new measurements
=
G using the full spectrum and
=
G using hydrogen lines confirm the
results presented by Catala et al. (2007).
Baines et al. (2006) reported the presence of a potential
companion. Silicates and PAHs are seen in the mid-IR (e.g. Boersma et al.
2008). Eisner et al. (2004) showed that interferometric visibilities are
consistent with a disk close to face-on, although a significant nonzero
inclination cannot be ruled out.
4.2 Stars with measurements suggestive of the presence of magnetic fields
HD 47839=15 Mon:
this is a massive O star classified as a pre-main sequence star in SIMBAD.
According to Kaper (1996) and Walborn (2006)
it shows distinct peculiarities in the spectra,
which could be typical for stars possessing magnetic fields.
The measured magnetic field is of positive polarity at a 2.6
significance
level, using the full spectrum. The star should be considered as an important target for follow-up studies
of magnetic fields in massive stars.
HD 97300:
even though the measured field is only at the
2
level, we detect a few
distinct Zeeman features in the Stokes V spectrum, supporting the evidence of a magnetic field.
This star is a good candidate for future magnetic field measurements.
No quiescent H2 gas was found (Bary et al. 2008). Siebenmorgen
et al. (1998) reported the presence of a large circumstellar elliptical ring of PAH emission with
thousands of AU in diameter and an indication for the possible existence of a candidate companion.
It was also detected as an X-ray source
in ROSAT and Chandra observations (Hamaguchi et al. 2005; Stelzer et al. 2006)
HD 139614:
Our previous measurements of HD 139614 revealed the presence of a weak magnetic field
in the range from -116 G to -450 G.
(Hubrig et al. 2004b; 2006b; 2007b).
The current diagnosis of magnetic fields in this star yielded no detection at a 3
level, neither in
Balmer nor in metal lines, with error bars as low as 25 G.
In analogy with our previous detections, the measured magnetic field is of negative polarity and
Ca II H&K lines in HD 139614 show distinct Zeeman features.
The nearly featureless mid-IR continuum of HD 139614 shows small amounts of silicates,
but no PAH (Keller et al. 2008).
HD 144432:
for this object we measured in the past a magnetic field in the range from -94 G to -119 G
(Hubrig et al. 2004b; 2006b; 2007b).
Dent et al. (2005) found CO gas
and derived a nearly face-on disk orientation. HD 144432 is a binary
with
1
4 separation (Dommanget & Nys 1994). Carmona et al. (2007)
reported the detection of H
emission and Li absorption in the K5Ve
T Tauri companion.
The companion is an X-ray source, and weaker X-ray emission is
also detected from the position of the Herbig Ae/Be star (Stelzer et al. 2009).
The 10
m silicate emission band shows rather pristine dust,
while the SED points towards a flat disk, as reported by Meeus et al. (2001).
HD 152404 = AK Sco:
the magnetic field
=
G is detected at the 2.9
level using
the full spectrum. The Stokes V spectrum exhibits distinct Zeeman features
at the position of higher number Balmer lines and of the Ca II H&K lines
(see for example Fig. 3).
This star is one of the best candidates for future spectropolarimetric observations.
The Chandra image presents one faint X-ray source associated with
HD 152404 (Stelzer et al. 2006).
Some authors refer to this target as a T Tauri star, as its spectral
type may be at the borderline. The 10
m silicate emission feature indicates
very pristine dust (e.g. Przygodda et al. 2003).
VV Ser:
the magnetic field is diagnosed
only at a significance level of 2.7
,
but additional measurements are desirable.
Alonso-Albi et al. (2008)
carried out observations at millimeter and centimeter wavelengths towards VV Ser using the Plateau de Bure
Interferometer and the Very Large Array to compute the SED from the near infrared to centimeter wavelengths.
The modeling of the full SED has provided insights into the dust properties and a more accurate value for
the disk mass. The mass of dust in the disk around VV Ser was found to be about
,
i.e.
400 times larger than previous estimates. Due to the faintness of the star (mV=11.6), only two series of two
sub-exposures were taken, each one with an exposure time of 15 min.
Pontoppidan et al. (2007b) compared Spitzer infrared data with a disk model
and found that the disk is nearly edge-on and self-shadowed by a puffed-up
inner disk rim. The 10
m silicate emission feature is rather weak.
4.3 The observed circumstellar properties of Herbig Ae/Be stars with magnetic field detections discussed in previous studies
HD 31648:
based on interferometric observations, Eisner et al. (2004) determined a disk
inclination of
30
and reported that a binary model can be ruled
out with a high degree of confidence. Further, Eisner (2007) found
a visibility increase in the Br
line for this star, as expected for magnetospheric accretion.
Piètu et al. (2007) had obtained
an inclination angle of
35
from mm measurements.
Silicate emission was detected in the mid-IR around 10
m (e.g. Acke &
van den Ancker 2004), while the presence of warm H2 gas is reported
by Thi et al. (2001).
HD 104237:
this star is at least a quintuple system (Grady et al. 2004), where some
components are T Tauri stars. A further
spectroscopic companion is suggested by observations of
Böhm et al. (2004) and Baines et al. (2006).
The Herbig star itself is the brightest X-ray source of the group (Stelzer et al. 2006).
The disk is inclined by
18
(Grady et al. 2004). Silicate emission is seen in mid-IR
spectra (e.g. Acke & van den Ancker 2004). Martin-Zaïdi et al. (2008)
found excited and hot H2 gas from far-UV spectra, while Tatulli
et al. (2007) explain the origin of the Br
emission by an inner disk
wind, originating at about 0.5 AU from the star.
HD 200775:
this object has a companion detected at 2
25 (Pirzkal et al. 1997), while spectroscopic
observations suggested further binarity of the main component (e.g. Miroshnichenko et al. 1998), which was repeatedly discussed in the literature
and later confirmed by Monnier et al. (2006) using interferometry.
V380 Ori:
this source is actually a triple system with separations of 3
0 and
5
0 (Dommanget & Nys 1994), while the primary itself has a companion
at 0
15 (Leinert et al. 1997) which is probably another Herbig Ae/Be star.
Even the superior spatial resolution of Chandra is not able to resolve this binary,
such that the origin of the X-ray source remains obscure (Stelzer et al. 2006).
The broad but shallow 10
m silicate
feature indicates grain growth, as confirmed by van Boekel et al. (2005).
BF Ori:
as Mora et al. (2004) showed, the spectra exhibit circumstellar line absorptions with
remarkable variations in their strength and dynamical properties.
High velocity gas is observed simultaneously in the Balmer and metallic lines and the gaseous
circumstellar environment of this star is very complex and active.
Silicate emission is detected in 10
m spectra (e.g. Acke & van den Ancker 2004).
5 Searching for a link between the presence of a magnetic field and fundamental stellar characteristics
Vink et al. (2002) presented their results of H
spectropolarimetric observations of a sample
of 23 Herbig Ae/Be stars, pointing out the possibility of the existence of a physical transition
region in the H-R diagram from magnetospheric accretion, similar to that of cTTS,
at spectral type A to disk accretion at spectral type B.
The main difference between these scenarios is that in the former case the stellar magnetic field
truncates the accretion disk at a few stellar
radii and gas accretes along magnetic channels from the protoplanetary disk to the star,
while in the latter case the accretion flow is not disrupted by the field.
Our sample consists of 21 Herbig Ae/Be stars of spectral classification B9 and later spectral types and
six debris disk stars.
Since the observations of the
disk properties of intermediate mass Herbig stars suggest a close parallel to cTTS,
it is quite possible that magnetic fields
play a crucial role in controlling accretion onto and winds from Herbig Ae stars, similar to the
case of the lower-mass cTTS. Evidence for disk accretion in Herbig stars from optical
emission line profiles was presented
by Muzerolle et al. (2004).
However, contrary to the advances achieved in magnetic studies of cTTS, there is still
no substantial observational evidence demonstrating the strength, extent, and geometry of magnetic fields in
Herbig Ae stars. We are aware of the fact that our observations do not present a systematic
monitoring of the magnetic fields of Herbig stars over
the rotation period and are just snapshot observations of
values over two visitor nights.
However, the magnetic field measurements in these stars are rare due to the very small number of spectropolarimetric
facilities on large telescopes, and presently no other magnetic field data are available.
Still, as we show in the next sub-sections, a few hints and trends can be established
with the obtained data.
The search for a link with other stellar properties is important to put preliminary constraints on the
mechanism responsible for magnetospheric activity. As we show in the next sub-sections, we establish
for the first time preliminary trends.
The H-R diagram for all Herbig Ae and debris disk stars from Table 2
is shown in Fig. 8.
In the following, we study the disk properties, binarity, age, and X-ray emission
for the Herbig Ae stars and debris disk stars.
We include in the definition of ``Herbig Ae'' stars targets with spectral type B9 to mid-F.
We have estimated the individual stellar masses from an interpolation
of the evolutionary tracks from Siess et al. (2000), and list the derived values in
Col. 8 of Table 2.
As can be seen from Fig. 8, the bulk of our sample has masses
between
.
A comparison with evolutionary calculations shows that
the majority of the stars in our sample can be considered fully radiative: the depth of the convection
zone is less than 1% (cf. contours in Fig. 8).
![]() |
Figure 8: H-R diagram for all Herbig Ae (filled circles) and debris disk (filled squares) stars from Table 2 on the pre-main sequence models from Siess et al. (2000). Dotted curves show isomass evolutionary tracks and solid jagged contours indicate the size of the convective envelopes labeled in units of the stellar radius. |
| Open with DEXTER | |
Table 4: Results from statistical analysis of parameter pairs.
In the remainder of this section, we discuss our search for dependencies between the magnetic field and other characteristics of our targets. We have examined various pairs of relevant parameters with correlation tests implemented in ASURV (Astronomy Survival Analysis Package; Lavalley et al. 1992). The probabilities for a correlation between two given parameters are summarized in Table 4.
5.1 Accretion rate
The recent results of low resolution linear
spectropolarimetric observations of Herbig stars in H
,
H
,
and H
by Mottram et al. (2007) support the presence of magnetospheric accretion in Herbig Ae stars.
The authors detected intrinsic line-polarization signatures suggesting
that the magnetic accretion scenario generally considered for cTTS
may be extended to Herbig Ae stars, but that it may not be extended to early Herbig Be stars,
for which the available data are consistent with disk accretion.
![]() |
Figure 9: Mass-accretion rate versus age. Open circles denote Herbig Ae stars and open squares indicate debris disk stars. |
| Open with DEXTER | |
The number of Herbig Ae stars with measured mass-accretion rates is still rather low (see Col. 3 in Table 2). In Fig. 9, we show the dependence of mass-accretion rate on age for the stars in our sample. Obviously, the highest mass-accretion rates tend to be found in younger stars.
In the following figures we use for each studied Herbig star
the maximum measured value of the longitudinal
field measured from hydrogen lines without taking into account the polarity of the field.
In addition, we increased the sample of magnetic Herbig Ae stars by adding to our sample four stars with
previous detections of photospheric magnetic fields, namely HD 139614, HD 144432, V380 Ori, and BF Ori.
As mentioned in Sect. 1, our previous observations of HD 139614 and HD 144432 revealed
the presence of
a photospheric magnetic field of the order of
100 G (Hubrig et al. 2007b).
The longitudinal magnetic field strengths of
HD 139614, HD 144432, V380 Ori, and BF Ori are listed in Table 5.
Table 5:
Longitudinal magnetic fields of four previously studied Herbig Ae stars with detections at the 3
significance level.
The values of
were derived by Garcia Lopez et al. (2006) from the
measured luminosity of the Br
emission line, using the correlation between L(Br
)
and
the accretion luminosity
,
established by Muzerolle et al. (1998)
and Calvet et al. (2004).
The correlation used is empirical, which makes no assumptions on the
origin of Br
.
An important result found recently by Kraus et al. (2008) is that
the Br
line can trace both
mass infall and outflow, implying that Br
is probably only an indirect tracer of
the mass-accretion rate.
The authors
used the VLTI/AMBER instrument to spatially and spectrally resolve the inner
(<5 AU)
environment of five Herbig Ae/Be stars (HD 163296, HD 104237, HD 98922, MWC 297, and V921 Sco) in the Br
emission line as well as in the adjacent continuum.
The quantitative analysis for HD 98922 reveals that the line-emitting region is compact enough to be
consistent with the magnetospheric accretion scenario, and for the stars HD 163296, HD 104237,
MWC 297, and V921 Sco
the authors identify an extended stellar wind or a disk wind as the most likely line-emitting mechanism.
We have not yet searched for a magnetic field in the star HD 98922, but we observed the
star HD 163296 twice.
Both observations were non-detections, supporting the results of Kraus et al. (2008) that the magnetospheric
accretion scenario does not work for this star. No significant magnetic field detection was
achieved for HD 104237 by other authors (e.g. Wade et al. 2007).
In Fig. 10, we show the correlation between mass accretion rate and measured
longitudinal magnetic fields for our Herbig Ae sample. While we do not see
a simple correlation between the magnetic field strength and the mass accretion
rate in the data, the observed values are in the range of predictions from
magnetospheric accretion models.
Magnetospheric accretion models describe the interaction between a dipolar stellar magnetic field and a surrounding accretion disk assuming pressure equilibrium. The analytical approach yields equations that relate the magnetic field strength to the system parameters (mass, radius, accretion rate, and rotation period; see e.g., Koenigl 1991; Shu et al. 1994). Johns-Krull (2007) has shown that for the case of cTTS, the models developed by different investigators make consistent predictions on the magnetic field strength.
We examine the magnetospheric accretion scenario for our sample
of Herbig Ae stars using the expression for the surface equilibrium field
given by Koenigl (1991). We present this relation in the form
adopted by Johns-Krull et al. (1999):
where
In Fig. 10, the dotted line represents the
prediction from Eq. (5) for a canonical star with
,
,
and P* = 0.5 d.
We find that the observed field strengths qualitatively
support the magnetospheric accretion model for Herbig Ae stars,
although the correlation analysis does not yield a positive result for
vs.
(Table 4).
It must be kept in mind that Eq. (5) refers to the equatorial dipole field, while our measured values represent an average of the longitudinal component over the stellar surface and they also depend on the viewing angle.
![]() |
Figure 10:
The strength of the longitudinal magnetic field as a function
of accretion rate. Overplotted is the relation predicted by
magnetospheric accretion models (see Eq. (5)) for assumed stellar
parameters of
|
| Open with DEXTER | |
Future studies of the magnetic field topology and an improvement of indicators of mass-accretion rates are important to understand the role of magnetic fields in the dynamics of the accretion processes in Herbig Ae stars.
5.2 X-ray emission
Table 6: X-ray emission observed in Herbig Ae stars and debris disk stars.
In Fig. 8 it is demonstrated that our targets have very shallow or completely absent convection zones. Standard dynamo theory does not predict magnetic field generation for fully radiative stars. Our targets are also not hot enough to drive strong radiative winds. Therefore, any X-ray activity is expected to decay with the dissipation of the primordial field. Nevertheless, many Herbig Ae/Be stars are known to be X-ray sources (Zinnecker & Preibisch 1994; Hamaguchi et al. 2005; Stelzer et al. 2006, 2009, and references therein). In the absence of a theoretical model for X-ray production in intermediate-mass stars, the detections have often been ascribed to known or assumed late-type T Tauri star companions. However, recent Chandra imaging studies have resolved Herbig Ae/Be stars from most known companions and still came up with very high detection rates (Stelzer et al. 2006, 2009).
We collected X-ray luminosities from the literature, adopting
for each star the value from the instrument with the highest
spatial resolution available.
The
and
values and the corresponding
references are presented in Table 6.
Many of the stars of our sample were included
in dedicated X-ray imaging studies with Chandra aimed at resolving
them from their visual late-type companion stars (see references
in Table 6). Consequently, only a few of our targets have known unresolved
sub-arcsecond or spectroscopic companions that might be responsible
for the observed X-ray emission. In particular, AK Sco (=HD 152404) is a
spectroscopic binary (Andersen et al. 1989), V380 Ori is both a
visual (0
154) and a spectroscopic binary (Leinert et al. 1997;
Corporon & Lagrange 1999), and HR 4796 (=HD 109573) is
a 7
7 binary (Jayawardhana et al. 1998) that could not be resolved with ROSAT.
In Fig. 11
we plot
over the age for our sample stars.
It is impossible to exclude
categorically that there are further, as yet unknown, companion stars
responsible for the X-ray emission. However, given the high detection
rate and high spatial resolution of the X-ray studies, this is unlikely to be the
case for all stars in this sample.
Tout & Pringle (1995) have suggested a mechanism that can give rise to intrinsic
X-ray emission from Herbig Ae/Be stars. In their model, a dynamo can be
sustained in a radiative star by rotational shear. As a result of
the decrease of the available rotational energy with time, the
X-ray luminosity behaves as
i.e. it decays from an initial value of
No clear dependence of the X-ray emission level on the age is noticeable in the data but the absence of stars with high X-ray luminosities at an advanced age is in agreement with the expected decay of the shear dynamo.
![]() |
Figure 11:
X-ray luminosity versus age.
Symbols are identical to Fig. 9.
The decay of |
| Open with DEXTER | |
In Figs. 12 and 13 we present the strength of the magnetic field
plotted versus
and
.
In both figures we find a hint for an increase of the magnetic
field strength with the level of the X-ray emission, also supported by
the correlation analysis which yields >90 % probability that a correlation
is present between
and
(Table 4). This could suggest
a dynamo mechanism responsible for the coronal activity in Herbig Ae stars.
On the other hand, we should keep in mind that the star with the strongest magnetic field in
both figures is the spectroscopic binary V380 Ori with
=
G,
and it is not clear yet whether the X-ray emission originates from the primary or from the companion.
The filled circle with the lowest strength of the longitudinal magnetic field,
=
G, belongs in both figures to the Herbig Ae star HD 135344B.
![]() |
Figure 12: The strength of the longitudinal magnetic field plotted over the X-ray luminosity. Symbols are identical to Fig. 10. |
| Open with DEXTER | |
![]() |
Figure 13: The strength of the longitudinal magnetic field plotted over the ratio between X-ray luminosity and bolometric luminosity. Symbols are identical to Fig. 10. |
| Open with DEXTER | |
Pevtsov et al. (2003) have derived a universal relation between
magnetic flux and X-ray luminosity that holds over 10 orders of
magnitudes from the quiet Sun, over solar active regions to active
late-type field dwarfs. The unique power-law relation
was taken as evidence that
the coronae of the Sun and the stars are heated by the same kind
of structures. We test whether Herbig Ae stars obey the same relation.
The magnetic fluxes of our stars are approximated as
,
assuming a surface magnetic field
.
The magnetic fluxes are plotted in Fig. 14
versus
together with the Pevtsov-relation
and a sample of cTTS from Johns-Krull (2007).
The tendency of the cTTS to show lower than expected X-ray luminosities
might be related to the effects of the disk, such as e.g. reduced coronal
heating of mass-loaded magnetic field lines (Preibisch et al. 2005)
or reduced height of coronal loops (Jardine et al. 2006).
Apart from HD 144668 (the lowest filled circle in Fig. 14),
the Herbig Ae stars cluster around the line
which follows the power law relation derived by Pevtsov.
The lowest symbol corresponds to the debris disk star HD 172555.
![]() |
Figure 14: X-ray luminosity versus magnetic flux for our sample of Herbig Ae stars, and the cTTS sample from Johns-Krull (2007), compared to the power-law relation derived for the Sun and active field stars by Pevtsov et al. (2003). cTTS are represented by crosses. All other symbols are identical to Fig. 10. |
| Open with DEXTER | |
Clearly, the presence of the X-ray emission in Herbig Ae stars still remains to be explained and more spatially resolved observations are necessary, especially for stars with detected magnetic fields.
5.3 Rotation
Any kind of correlation between the magnetic field strength and the rotation period is of particular
importance in view of the unknown origin of magnetic fields in Herbig Ae stars.
For example, a trend of the magnetic field strength being lower in more slowly rotating stars
would be consistent with the usual prediction for the dynamo theory for stars of a given mass
(Mestel 1975).
For no Herbig Ae star or debris disk star is the rotation period known.
For stars with known disk inclinations and
values we can estimate
values,
and from the knowledge of
and stellar radius we can estimate the rotation period.
The
values collected from the literature are listed in Col. 4 of Table 7
followed by
values
in Col. 5. Also most of the radii were collected from the literature. Only for
three Herbig Ae stars, HD 101412, HD 135344B, and HD 179218,
and two debris disk stars, HD 109573 and HD 181327, have the radii not been estimated in the past.
For these stars, we estimated the radii using the
Stefan-Boltzmann law. The information on bolometric luminosity and effective temperature of the three Herbig stars
was found in van der Plas et al. (2008), while
for HD 109573 we used the values presented by Debes et al. (2008)
and for HD 181327 we used the values presented by Chen et al. (2006b).
Whenever the literature sources permitted, the uncertainties associated with these parameters were included.
Using
and radii listed in Cols. 5 and 6 of Table 7, respectively, we estimated
the rotation periods, which are listed in Col. 7 of Table 7.
Magnetic fields are detected in stars with a large range of rotation velocities, from 6 km s-1 up
to 300 km s-1.
No obvious trend of the strength of the longitudinal magnetic field with the rotation velocity or
rotation period is identifiable in the statistical tests.
The star HD 101412 with the strongest longitudinal magnetic field
(
=
G) clearly stands out in both distributions as it is the most slowly
rotating Herbig Ae star, with the longest rotation period of more than 17 days.
It is possible that the slow rotation is caused by magnetic braking.
5.4 Age
There are clear indications for a trend towards stronger magnetic fields in younger
Herbig Ae stars (Fig. 15), confirmed by statistical tests.
The observations of magnetic fields of Herbig Ae stars, their strength and geometry are of a particular
importance to understand the origin of magnetic fields in Ap stars.
It has been frequently mentioned in the literature that magnetic Herbig Ae stars are potential progenitors of
the magnetic Ap stars
(e.g., Stepien & Landstreet 2002; Catala 2003; Wade et al. 2005).
On the other hand, from Fig. 15 it is obvious that stronger magnetic fields appear in very young
Herbig Ae stars, and the magnetic fields become very weak at the end of their PMS life.
These results clearly
confirm the conclusions of Hubrig et al. (2000, 2005, 2007a)
that magnetic fields in stars with masses less than 3
are rarely found close to the
ZAMS and that kG magnetic fields appear in A stars already evolved from the ZAMS.
In contrast, magnetic Bp stars with masses
seem to be concentrated closer to the ZAMS.
![]() |
Figure 15: The strength of the longitudinal magnetic field as a function of age. The symbols are identical to Fig. 10. |
| Open with DEXTER | |
5.5 Disk properties
In the following, we compare the magnetic field and accretion rate to some relevant disk properties.
5.5.1 Disk inclination
Table 7: Rotation periods of stars with known inclinations.
Although an expanding sample of Herbig Ae stars have system inclination data from CO and coronographic
imaging surveys,
for a major part of the studied Herbig Ae stars the orientation of the disk still
has to be constrained using
line profiles as a proxy for the inclination, as described in Sect. 4.
The emission profile shapes of Mg II lines from UV studies
or the H
line profiles are frequently used.
We present the inclination angles collected from different papers
in the second column of Table 7.
Our own estimates of profile types from the study of Mg II spectral line profiles in UV spectra are
listed in the comments with running indices close to the HD numbers.
In the third column we present the adopted inclinations.
Using inclination angles in combination with v sin i data, we
derive
(Col. 4 of Table 7).
However, no correlation between mass-accretion rate and disk inclination is detected. We also do not find any trend of the measured longitudinal magnetic field with the inclination angle (Fig. 16).
![]() |
Figure 16: The strength of the longitudinal magnetic field versus disk inclination angles. Symbols are identical to Fig. 10. |
| Open with DEXTER | |
The disk inclinations for our magnetic Herbig Ae stars sample the whole possible range from close to face-on to close to edge-on. The strongest magnetic fields in our sample are observed for a flared disk (HD 97048), for an edge-on disk (HD 101412) and for close to pole-on disks (HD 150193 and HD 190073), and systems with an envelope rather than a disk (HD 85567 and HD 176386). These results show that there is no preferred disk orientation for the detection of a magnetic field.
5.5.2 Disk geometry
We find that magnetic fields are detected in systems both with and without
strong PAHs, but appear to be more frequent in the first, flared case. This result could
probably indicate an age dependence of the presence of magnetic fields.
Acke et al. (2004) studied Herbig Ae/Be stars with different
IR SEDs
with the conclusion that flaring disks probably evolve into self-shadowed disks.
The existence of strong PAH emission may point to a flared disk, since the
PAH grains reside further outside in the disk, whereas they would be
destroyed near the hot inner disk rim.
On the other hand, Keller et al. (2008)
conclude that most Herbig Ae/Be stars have PAH emission at some level, and there is no correlation
of PAH emission with the disk geometry. Since PAHs originate from the
inner 200-300 AU of the disk, they are actually not a good measure of
magnetic properties of the Herbig stars. Silicates usually emerge from
1 AU and beyond.
Contrary to the silicates, the PAHs need to be excited by direct stellar irradiation, which may
not work well in a flat disk. In addition, the IR slope of the SED can
further indicate whether the disk is flat or flared (Meeus et al.
2001).
We note that magnetic fields are also detected in HD 176386.
5.5.3 Hot disk gas
For many of our targets with a detected magnetic field, reports on the detection of excited, hot inner disk gas exist, which may be attributed to a gaseous accretion ring close to the star (see especially Tatulli et al. 2007; Isella et al. 2008).
Activity in the inner disk is often accompanied by an increased K-band excess. To prove whether there is a direct trend, we correlated the K-band excess, derived as the difference of the measured and expected K-band flux of each star, with the strength of its magnetic field, but we found no correlation. We compared intrinsic V-K colours, as given e.g. by Koornneef (1983), to the difference V-K in the measured photometry of both passbands, as given in SIMBAD. Due to a missing luminosity class we assumed a class V for PDS 2, HD 97048, VV Ser and HD 179218. We obtained excesses between 0.0 and 3.9 mag, with an uncertainty of 0.1 mag. The lack of correlation may be explained by the fact that without spectral resolution it is not possible to determine if the K-band excess is due to gas lines or to a hot inner dust continuum. A hot inner dust continuum will as well produce an increased broad-band Kexcess, possibly without being related to the magnetic field. While there is a clear trend that most of the magnetic Herbig Ae stars have reports on hot, inner gas, a selection effect cannot be ruled out, as many of the non-magnetic Herbig Ae stars may just not have been measured in a similar way.
5.6 Binarity
A majority of the Herbig Ae/Be stars are binary or multiple systems. The existence of a magnetic field, however, does not seem to be related to binarity. We note however, that the presence of a close companion contributing to the observed spectropolarimetric spectra can cause a non-detection of the magnetic field due to blending of spectral lines of the primary. The contribution of the secondary component can be disentangled only by means of high resolution spectropolarimetric observations, but not with low resolution FORS 1 spectropolarimetry. In the present study, some targets, e.g. HD 97048 or HD 100546, show a magnetic field, but have no known companions, while other binary Herbig Ae stars possess no magnetic field.
6 Summary
In the course of our spectropolarimetric study of Herbig Ae/Be stars, we detected magnetic fields in six stars for the first time, PDS 2, HD 97048, HD 100546, HD 135344B, HD 150193, and HD 176386. The presence of a magnetic field was confirmed in the stars HD 101412, HD 144668, and HD 190073.
We have for the first time examined the relation of the measured field strengths to various parameters that characterize the star-disk system.
Among the most important
relations for the interpretation of the fields
is the one between magnetic field strength and accretion rate.
We do not find a clear trend between these two parameters in our sample of
Herbig Ae stars
but the measured field strengths are compatible, in order of magnitude,
with the values expected
from magnetospheric accretion scenarios for a dipole field
(tens to a few hundreds of Gauss).
This contrasts with the situation for cTTS. For typical cTTS parameters,
accretion models predict fields that range between
200-2000 G.
However, the observed mean magnetic field strengths of cTTS
are not correlated with the predictions (Johns-Krull 2007).
For most cTTS, the observed fields are larger than the expected values,
possibly indicating that magnetic field pressure dominates gas pressure
in these systems. In addition, the dipole approximation is known not
to be valid for the case of cTTS that have complex field geometries
(e.g. Gregory et al. 2008), while our results suggest that
it may be a reasonable description of Herbig Ae stars.
We find that stronger magnetic fields tend to be found in younger Herbig stars. The magnetic fields become very weak or completely disappear in stars when they arrive on the ZAMS. Similarly, strong X-ray sources are only found at the youngest ages, in qualitative agreement with the predictions of a shear dynamo that decays within a few Myrs as the rotational energy of the star decreases (Tout & Pringle 1995). It is premature, however, to claim a direct connection between magnetic field and X-ray luminosity. The Herbig Ae stars seem to follow the power-law between magnetic flux and X-ray luminosity established for the Sun and main-sequence active stars.
We do not find any trend between the presence of a magnetic field and disk inclination angles. The membership in binary or multiple systems does not seem to have any impact on the presence of a magnetic field, whereas there is a hint that the appearance of magnetic fields is more frequent in Herbig stars with flared disks and hot, inner gas. Since flared disks are the least evolved, this is possibly another indication for the decay of magnetic fields with increasing age. No trend of the strength of the magnetic field with rotation velocity and rotation period was detected in our study.
While considerable progress has been made with respect to the presence of magnetic fields
in Herbig Ae stars, a number of questions remain open. The most important question
is related to the origin of the magnetic fields in these stars. Although our results provide new clues,
the observational results presented in this work are still inconclusive as to the magnetic field origin.
Tout & Pringle (1995) proposed a non-solar dynamo that could operate in rapidly
rotating A-type stars based on rotational shear energy. Their model predicts that the coronal activity
at the observed rates of log
can be sustained for a period of the order of 106 yr.
Other possible mechanisms causing magnetic activity involve fossil magnetic fields or
magnetically confined wind shocks (e.g. Babel & Montmerle 1997).
A more comprehensive survey of the presence of magnetic fields and a detailed study of the magnetic
field topology in a Herbig star sample of increased size will provide important additional information
to test the predictions of different theories.
About half of the stars with magnetic field detections possess longitudinal
magnetic fields larger than 100 G.
These stars are the best candidates for future spectropolarimetric studies to analyze the behaviour of
their magnetic fields over the rotational periods to disclose the magnetic topology on their surfaces
and to study the complex interaction between the stellar magnetic field, the disk and the stellar wind.
Acknowledgements
B.S. acknowledges financial support from ASI/INAF under contract I/088/06/0, M.A.P. and R.V.Y. acknowledge RFBR grant No 07-02-00535a and Sci.Schole No 6110.2008.2, and M.C. acknowledges DIUV grant 08/2007. This research has made use of the SIMBAD database, operated at CDS, Strasbourg, France.
References
- Acke, B., & van den Ancker, M. E. 2004, A&A, 426, 151 [NASA ADS] [CrossRef] [EDP Sciences] (In the text)
- Acke, B., & van den Ancker, M. E. 2006, A&A, 449, 267 [NASA ADS] [CrossRef] [EDP Sciences] (In the text)
- Acke, B., & Waelkens, C. 2004, A&A, 427, 1009 [NASA ADS] [CrossRef] [EDP Sciences]
- Acke, B., van den Ancker, M. E., Dullemond, C. P., et al. 2004, A&A, 422, 621 [NASA ADS] [CrossRef] [EDP Sciences] (In the text)
- Alecian, E., Catala, C., Wade, G. A., et al. 2008, MNRAS, 385, 391 [NASA ADS] [CrossRef] (In the text)
- Alencar, S. H. P., Melo, C. H. F., Dullemond, C. P., et al. 2003, A&A, 409, 1037 [NASA ADS] [CrossRef] [EDP Sciences]
- Alonso-Albi, T., Fuente, A., Bachiller, R., et al. 2008, ApJ, 680, 1289 [NASA ADS] [CrossRef] (In the text)
- Alonso-Albi, T., Fuente, A., Bachiller, R., et al. 2009, A&A, 497, 117 [NASA ADS] [CrossRef] [EDP Sciences] (In the text)
- Andersen, J., Lindgren, H., Hazen, M. L., & Mayor, M. 1989, A&A, 219, 142 [NASA ADS] (In the text)
- Ardila, D. R., Golimowski, D. A., Krist, J. E., et al. 2007, ApJ, 665, 512 [NASA ADS] [CrossRef] (In the text)
- Augereau, J. C., Lagrange, A. M., Mouillet, D., & Ménard, F. 2001, A&A, 365, 78 [NASA ADS] [CrossRef] [EDP Sciences] (In the text)
- Aurière, M., Wade, G. A., Silvester, J., et al. 2007, A&A, 475, 1053 [NASA ADS] [CrossRef] [EDP Sciences] (In the text)
- Babel, J., & Montmerle, Th. 1997, A&A, 323, 121 [NASA ADS] (In the text)
- Bagnulo, S., Landstreet, J. D., Mason, E., et al. 2006, A&A, 450, 777 [NASA ADS] [CrossRef] [EDP Sciences] (In the text)
- Baines, D., Oudmaijer, R. D., Porter, J. M., & Pozzo, M. 2006, MNRAS, 367, 737 [NASA ADS] [CrossRef] (In the text)
- Bary, J. S., Weintraub, D. A., Shukla, S. J., et al. 2008, ApJ, 678, 1088 [NASA ADS] [CrossRef] (In the text)
- Beals, C. S. 1951, MNRAS, 111, 202 [NASA ADS]
- Berghoefer, T. W., Schmitt, J. H. M. M., & Cassinelli, J. P. 1996, A&AS, 118, 481 [NASA ADS] [CrossRef] [EDP Sciences]
- Bernacca, P. L., & Perinotto, M. 1970, Contr. Oss. Astrof. Padova in Asiago, 239, 1
- Beskrovnaya, N. G., & Pogodin, M. A. 2004, A&A, 414, 955 [NASA ADS] [CrossRef] [EDP Sciences]
- Blondel, P. F. C., & Tjin A Djie, H. R. E. 2006, A&A, 456, 1045 [NASA ADS] [CrossRef] [EDP Sciences]
- Boersma, C., Bouwman, J., Lahuis, F., et al. 2008, A&A, 484, 241 [NASA ADS] [CrossRef] [EDP Sciences] (In the text)
- Böhm, T., Catala, C., Balona, L., & Carter, B. 2004, A&A, 427, 907 [NASA ADS] [CrossRef] [EDP Sciences] (In the text)
- Brown, A., Linsky, J. L., Walter, F., et al. 1985, BAAS, 17, 837 [NASA ADS] (In the text)
- Brown, J. M., Blake, G. A., Dullemond, C. P., et al. 2007, ApJ, 664, L107 [NASA ADS] [CrossRef] (In the text)
- Calvet, N., Muzerolle, J., Briceño, C., et al. 2004, ApJ, 128, 1294 [NASA ADS] (In the text)
- Carmona, A., van den Ancker, M. E., & Henning, Th. 2007, A&A, 464, 687 [NASA ADS] [CrossRef] [EDP Sciences] (In the text)
- Carpenter, J. M., Mamajek, E. E., Hillenbrand, L. A., & Meyer, M. R. 2006, ApJ, 651, L49 [NASA ADS] [CrossRef] (In the text)
- Catala, C. 2003, Ap&SS, 284, 53 [NASA ADS] [CrossRef] (In the text)
- Catala, C., Alecian, E., Donati, J.-F., et al. 2007, A&A, 462, 293 [NASA ADS] [CrossRef] [EDP Sciences] (In the text)
- Chen, X. P., Henning, T., van Boekel, R., & Grady, C. A. 2006a, A&A, 445, 331 [NASA ADS] [CrossRef] [EDP Sciences]
- Chen, C. H., Sargent, B. A., Bohac, C., et al. 2006b, ApJS, 166, 351 [NASA ADS] [CrossRef], (In the text)
- Collins, K. A., Grady, C. A., Hamaguchi, K., et al. 2009, ApJ, 697, 557 [NASA ADS] [CrossRef]
- Corcoran, M., & Ray, T. P. 1998, A&A, 331, 147 [NASA ADS]
- Corporon, P., & Lagrange, A.-M. 1999, A&AS, 136, 429 [NASA ADS] [CrossRef] [EDP Sciences] (In the text)
- Coulson, I. M., & Walther, D. M. 1995, MNRAS, 274, 977 [NASA ADS] (In the text)
- Debes, J. H., Weinberger, A. J., & Schneider, G. 2008, ApJL, 673, 191 [NASA ADS] [CrossRef] (In the text)
- de la Reza, R., & Pinzón, G. 2004, AJ, 128, 1812 [NASA ADS] [CrossRef]
- Dent, W. R. F., Greaves, J. S., & Coulson, I. M. 2005, MNRAS, 359, 663 [NASA ADS] [CrossRef] (In the text)
- Di Folco, E., Thévenin, F., Kervella, P., et al. 2004, A&A, 426, 601 [NASA ADS] [CrossRef] [EDP Sciences]
- Doering, R. L., Meixner, M., Holfeltz, S. T., et al. 2007, AJ, 133, 2122 [NASA ADS] [CrossRef] (In the text)
- Dommanget, J., & Nys, O. 1994, Com. de l'Observ. Royal de Belgique, 115, 1 [NASA ADS] (In the text)
- Donati, J.-F., Semel, M., Carter, B. D., et al. 1997, MNRAS, 291, 658 [NASA ADS] (In the text)
- Doucet, C., Habart, E., Pantin, E., et al. 2007, A&A, 470, 625 [NASA ADS] [CrossRef] [EDP Sciences] (In the text)
- Dullemond, C. P., Dominik, C., & Natta, A. 2001, ApJ, 560, 957 [NASA ADS] [CrossRef] (In the text)
- Dunkin, S. K., Barlow, M. J., & Ryan, S. G. 1997, MNRAS, 290, 165 [NASA ADS] (In the text)
- Eisner, J. A. 2007, Nature, 447, 562 [NASA ADS] [CrossRef] (In the text)
- Eisner, J. A., Lane, B. F., Hillenbrand, L. A., et al. 2004, ApJ, 613, 1049 [NASA ADS] [CrossRef] (In the text)
- Fedele, D., van den Ancker, M. E., Acke, B., et al. 2008, A&A, 491, 809 [NASA ADS] [CrossRef] [EDP Sciences] (In the text)
- Feigelson, E. D., & Montmerle, T. 1999, ARA&A, 37, 363 [NASA ADS] [CrossRef] (In the text)
- Feigelson, E. D., Lawson, W. A., & Garmire, G. P. 2003, ApJ, 599, 1207 [NASA ADS] [CrossRef] (In the text)
- Feigelson, E. D., Lawson, W. A., Stark, M., et al. 2006, AJ, 131, 1730 [NASA ADS] [CrossRef]
- Finkenzeller, U., & Mundt, R. 1984, A&AS, 55, 109 [NASA ADS] (In the text)
- Folsom, C. P., Wade, G. A., Bagnulo, S., & Landstreet, J. D. 2007, MNRAS, 376, 361 [NASA ADS] [CrossRef]
- Fukagawa, M., Tamura, M., Itoh, Y., et al. 2003, ApJ, 590, L49 [NASA ADS] [CrossRef] (In the text)
- Garcia Lopez, R., Natta, A., Testi, L., & Habart, E. 2006, A&A, 459, 837 [NASA ADS] [CrossRef] [EDP Sciences] (In the text)
- Geers, V. C., van Dishoeck, E. F., Visser, R., et al. 2007, A&A, 476, 279 [NASA ADS] [CrossRef] [EDP Sciences] (In the text)
- Grady, C. A., Perez, M. R., & The, P. S. 1993, A&A, 274, 847 [NASA ADS] (In the text)
- Grady, C. A., Perez, M. R., Talavera, A., et al. 1996, A&AS, 120, 157 [NASA ADS] [CrossRef] [EDP Sciences]
- Grady, C. A., Polomski, E. F., Henning, Th., et al. 2001, AJ, 122, 3396 [NASA ADS] [CrossRef] (In the text)
- Grady, C. A., Woodgate, B., Torres, C. A. O., et al. 2004, ApJ, 608, 809 [NASA ADS] [CrossRef] (In the text)
- Grady, C. A., Woodgate, B., Heap, S. R., et al. 2005a, ApJ, 620, 470 [NASA ADS] [CrossRef] (In the text)
- Grady, C. A., Woodgate, B. E., Bowers, C. W., et al. 2005b, ApJ, 630, 958 [NASA ADS] [CrossRef] (In the text)
- Grady, C. A., Schneider, G., Hamaguchi, K., et al. 2007, ApJ, 665, 1391 [NASA ADS] [CrossRef]
- Gregory, S. G., Matt, S. P., Donati, J.-F., & Jardine, M. 2008, MNRAS, 389, 1839 [NASA ADS] [CrossRef] (In the text)
- Guimarães, M. M., Alencar, S. H. P., Corradi, W. J. B., & Vieira, S. L. A. 2006, A&A, 457, 581 [NASA ADS] [CrossRef] [EDP Sciences] (In the text)
- Hamaguchi, K., Yamauchi, S., & Koyama, K. 2005, ApJ, 618, 360 [NASA ADS] [CrossRef] (In the text)
- Hamidouche, M., Wang, S., & Looney, L. W. 2008, AJ, 135, 1474 [NASA ADS] [CrossRef]
- Hartigan, P., Edwards, S., & Ghandour, L. 1995, ApJ, 452, 736 [NASA ADS] [CrossRef]
- Heap, S. R., Lindler, D. J., Lanz, Th. M., et al. 2000, ApJ, 539, 435 [NASA ADS] [CrossRef]
- Herbig, G. H. 1960, ApJS, 4, 337 [NASA ADS] [CrossRef] (In the text)
- Hillenbrand, L. A., Strom, S. E., Vrba, F. J., & Keene, J. 1992, ApJ, 397, 613 [NASA ADS] [CrossRef]
- Hubrig, S., North, P., & Mathys, G. 2000, ApJ, 539, 352 [NASA ADS] [CrossRef] (In the text)
- Hubrig, S., Schöller, M., & Yudin, R. V. 2004a, A&A, 428, L1 [NASA ADS] [CrossRef] [EDP Sciences] (In the text)
- Hubrig, S., Kurtz, D. W., Bagnulo, S., et al. 2004b, A&A, 415, 661 [NASA ADS] [CrossRef] [EDP Sciences] (In the text)
- Hubrig, S., Szeifert, T., Schöller, M., et al. 2004c, A&A, 415, 685 [NASA ADS] [CrossRef] [EDP Sciences]
- Hubrig, S., Schöller, M., & North, P. 2005, AIPC, 784, 145 [NASA ADS] (In the text)
- Hubrig, S., Yudin, R. V., Schöller, M., & Pogodin, M. A. 2006a, A&A, 446, 1089 [NASA ADS] [CrossRef] [EDP Sciences] (In the text)
- Hubrig, S., North, P., Schöller, M., & Mathys, G. 2006b, AN, 327, 289 [NASA ADS] (In the text)
- Hubrig, S., Pogodin, M. A., Yudin, R. V., et al. 2007a, A&A, 463, 1039 [NASA ADS] [CrossRef] [EDP Sciences] (In the text)
- Hubrig, S., North, P., & Schöller, M. 2007b, AN, 328, 475 [NASA ADS] (In the text)
- Hughes, A. M., Wilner, D. J., Kamp, I., & Hogerheijde, M. R. 2008, ApJ, 681, 626 [NASA ADS] [CrossRef]
- Isella, A., Tatulli, E., Natta, A., & Testi, L. 2008, A&A, 483, L13 [NASA ADS] [CrossRef] [EDP Sciences] (In the text)
- Jardine, M., Cameron, A. C., Donati, J.-F., et al. 2006, MNRAS, 367, 917 [NASA ADS] [CrossRef] (In the text)
- Jayawardhana, R., Fisher, S., Hartmann, L., et al. 1998, ApJ, 503, L79 [NASA ADS] [CrossRef] (In the text)
- Johns-Krull, C. M. 2007, ApJ, 664, 975 [NASA ADS] [CrossRef] (In the text)
- Johns-Krull, C. M., Valenti, J. A., & Koresko, C. 1999, ApJ, 516, 900 [NASA ADS] [CrossRef] (In the text)
- Kamp, I., & Dullemond, C. P. 2004, ApJ, 615, 991 [NASA ADS] [CrossRef] (In the text)
- Kaper, L., Henrichs, H. F., Nichols, J. S., et al. 1996, A&AS, 116, 257 [NASA ADS] [CrossRef] [EDP Sciences] (In the text)
- Keller, L. D., Sloan, G. C., Forrest, W. J., & Ayala, S. 2008, ApJ, 684, 411 [NASA ADS] [CrossRef] (In the text)
- Kessler-Silacci, J. E., Hillenbrand, L. A., Blake, G. A., & Meyer, M. R. 2005, ApJ, 622, 404 [NASA ADS] [CrossRef]
- Koenigl, A. 1991, ApJ, 370, L39 [NASA ADS] [CrossRef] (In the text)
- Koornneef, J. 1983, A&A, 128, 84 [NASA ADS] (In the text)
- Kraus, S., Hofmann, K.-H., Benisty, M., et al. 2008, A&A, 489, 1157 [NASA ADS] [CrossRef] [EDP Sciences] (In the text)
- Landstreet, J. D., Silaj, J., Andretta, V., et al. 2008, A&A, 481, 465 [NASA ADS] [CrossRef] [EDP Sciences] (In the text)
- Lavalley, M., Isobe, T., & Feigelson, E. 1992, in Astronomical Data Analysis Software and Systems I, ed. D. M. Worrall, C. Biemesderfer, & J. Barnes, ASP Conf. Ser., 25, 245 (In the text)
- Leinert, C., Richichi, A., & Haas, M. 1997, A&A, 318, 472 [NASA ADS] (In the text)
- Markova, N., Puls, J., Repolust, T., & Markov, H. 2004, A&A, 413, 693 [NASA ADS] [CrossRef] [EDP Sciences] (In the text)
- Martin-Zaïdi, C., Lagage, P.-O., Pantin, E., & Habart, E. 2007, ApJ, 666, L117 [NASA ADS] [CrossRef] (In the text)
- Martin-Zaïdi, C., Deleuil, M., Le Bourlot, J., et al. 2008, A&A, 484, 225 [NASA ADS] [CrossRef] [EDP Sciences] (In the text)
- McKee, C. F., & Ostriker, E. C. 2007, ARA&A, 45, 565 [NASA ADS] [CrossRef] (In the text)
- Meeus, G., Waelkens, C., & Malfait, K. 1998, A&A, 329, 131 [NASA ADS]
- Meeus, G., Waters, L. B. F. M., Bouwman, J., et al. 2001, A&A, 365, 476 [NASA ADS] [CrossRef] [EDP Sciences] (In the text)
- Meeus, G., Bouwman, J., Dominik, C., et al. 2002, A&A, 392, 1039 [NASA ADS] [CrossRef] [EDP Sciences]
- Melnikov, S., Woitas, J., Eislöffel, J., et al. 2008, A&A, 483, 199 [CrossRef] [EDP Sciences] (In the text)
- Mestel, L. 1975, in Physics of Ap Stars, ed. W. W. Weiss, H. Jenkner, & C. Jaschek, IAUC 32, Vienna, Universitätssternwarte, 1 (In the text)
- Miroshnichenko, A. S., Mulliss, C. L., Bjorkman, K. S., et al. 2004, PASP, 110, 883 [NASA ADS] [CrossRef] (In the text)
- Monnier, J. D., Millan-Gabet, R., Billmeier, R., et al. 2005, ApJ, 624, 832 [NASA ADS] [CrossRef] (In the text)
- Monnier, J. D., Berger, J.-P., Millan-Gabet, R., et al. 2006, ApJ, 647, 444 [NASA ADS] [CrossRef] (In the text)
- Mora, A., Merín, B., Solano, E., et al. 2001, A&A, 378, 116 [NASA ADS] [CrossRef] [EDP Sciences]
- Mora, A., Eiroa, C., Natta, A., et al. 2004, A&A, 419, 225 [NASA ADS] [CrossRef] [EDP Sciences] (In the text)
- Mottram, J. C., Vink, J. S., Oudmaijer, R. D., & Patel, M. 2007, MNRAS, 377, 1363 [NASA ADS] [CrossRef] (In the text)
- Muzerolle, J., Hartmann, L., & Calvet, N. 1998, AJ, 116, 2965 [NASA ADS] [CrossRef] (In the text)
- Muzerolle, J., D'Alessio, P., Calvet, N., & Hartmann, L. 2004, ApJ, 617, 406 [NASA ADS] [CrossRef] (In the text)
- Najita, J. 2004, in Star Formation in the Interstellar Medium: in Honor of David Hollenbach, ed. D. Johnstone, F. C. Adams, D. N. C. Lin, D. A. Neufeeld, & E. C. Ostriker, ASP Conf. Ser., 323, 271 (In the text)
- Natta, A., Grinin, V. P., Mannings, V., & Ungerechts, H. 1997, ApJ, 491, 885 [NASA ADS] [CrossRef]
- Okamoto, Y. K., Kataza, H., Honda, M., et al. 2004, Nature, 431, 660 [NASA ADS] [CrossRef]
- Penz, T., Micela, G., & Lammer, H. 2008, A&A, 477, 309 [NASA ADS] [CrossRef] [EDP Sciences] (In the text)
- Perrin, M. D., Graham, J. R., Kalas, P., et al. 2004, Science, 303, 1345 [NASA ADS] [CrossRef] (In the text)
- Pevtsov, A. A., Fisher, G. H., Acton, L. W., et al. 2003, ApJ, 598, 1387 [NASA ADS] [CrossRef] (In the text)
- Piètu, V., Dutrey, A., & Guilloteau, S. 2007, A&A, 467, 163 [NASA ADS] [CrossRef] [EDP Sciences] (In the text)
- Pirzkal, N., Spillar, E. J., & Dyck, H. M. 1997, ApJ, 481, 392 [NASA ADS] [CrossRef] (In the text)
- Pogodin, M. A., Franco, G. A. P., & Lopes, D. F. 2005, A&A, 438, 239 [NASA ADS] [CrossRef] [EDP Sciences]
- Pontoppidan, K. M., Dullemond, C. P., Blake, G. A., et al. 2007a, ApJ, 656, 980 [NASA ADS] [CrossRef]
- Pontoppidan, K. M., Dullemond, C. P., Blake, G. A., et al. 2007b, ApJ, 656, 991 [NASA ADS] [CrossRef] (In the text)
- Pontoppidan, K. M., Blake, G. A., van Dishoeck, E. F., et al. 2008, ApJ, 684, 1323 [NASA ADS] [CrossRef] (In the text)
- Preibisch, Th., Kim, Y.-C., Favata, F., et al. 2005, ApJS, 160, 401 [NASA ADS] [CrossRef] (In the text)
- Preibisch, Th., Kraus, S., Driebe, Th., et al. 2006, A&A, 458, 235 [NASA ADS] [CrossRef] [EDP Sciences] (In the text)
- Przygodda, F., van Boekel, R., Àbrahàm, P., et al. 2003, A&A, 412, L43 [NASA ADS] [CrossRef] [EDP Sciences] (In the text)
- Reipurth, B., & Zinnecker, H. 1993, A&A, 278, 81 [NASA ADS] (In the text)
- Roberge, A., Feldman, P. D., Lecavelier des Etangs, A., et al. 2002, ApJ, 568, 343 [NASA ADS] [CrossRef]
- Royer, F., Zorec, J., & Gomez, A. E. 2007, A&A, 463, 671 [NASA ADS] [CrossRef] [EDP Sciences]
- Schneider, G., Smith, B. A., Becklin, E. E., et al. 1999, ApJ, 513, L127 [NASA ADS] [CrossRef]
- Schneider, G., Silverstone, M. D., Hines, D. C., et al. 2006, ApJ, 650, 414 [NASA ADS] [CrossRef]
- Schnerr, R. S., Rygl, K. L. J., van der Horst, A. J., et al. 2007, A&A, 470, 1105 [NASA ADS] [CrossRef] [EDP Sciences]
- Schütz, O., Meeus, G., & Sterzik, M. F. 2005b, A&A, 431, 175 [NASA ADS] [CrossRef] [EDP Sciences]
- Shu, F. H., Najita, J., Ostriker, E., et al. 1994, ApJ, 429, 781 [NASA ADS] [CrossRef] (In the text)
- Shu, F. H., Najita, J., Ostriker, E. C., & Shang, H. 1995, ApJ, 455, L155 [NASA ADS] [CrossRef] (In the text)
- Shu, F. H., Najita, J. R., Shang, H., & Li, Z.-Y. 2000, Protostars and Planets IV, 789 (In the text)
- Shu, F. H., Shang, H., Gounelle, M., et al. 2001, ApJ, 548, 1029 [NASA ADS] [CrossRef] (In the text)
- Siebenmorgen, R., Natta, A., Kruegel, E., & Prusti, T. 1998, A&A, 339, 134 [NASA ADS] (In the text)
- Siebenmorgen, R., Prusti, T., Natta, A., & Müller, T. G. 2000, A&A, 361, 258 [NASA ADS] (In the text)
- Siess, L., Dufour, E., & Forestini, M. 2000, A&A, 358, 593 [NASA ADS] (In the text)
- Simon, M., Dutrey, A., & Guilloteau S. 2000, ApJ, 545, 1034 [NASA ADS] [CrossRef]
- Skinner, S. L., Güdel, M., Audard, M., & Smith, K. 2004, ApJ, 614, 221 [NASA ADS] [CrossRef] (In the text)
- Slettebak, A. 1982, ApJS, 50, 55 [NASA ADS] [CrossRef]
- Sloan, G. C., Keller, L. D., Forrest, W. J., et al. 2005, ApJ, 632, 956 [NASA ADS] [CrossRef] (In the text)
- Stauffer, J. R., Hartmann, L. W., & Barrado y Navascues, D. 1995, ApJ, 454, 910 [NASA ADS] [CrossRef]
- Stecklum, B., Eckart, A., Henning, T., & Loewe, M. 1995, A&A, 296, 463 [NASA ADS] (In the text)
- Stelzer, B., & Neuhäuser, R. 2000, A&A, 361, 581 [NASA ADS]
- Stelzer, B., Micela, G., & Neuhäuser, R. 2004, A&A, 423, 1029 [NASA ADS] [CrossRef] [EDP Sciences] (In the text)
- Stelzer, B., Micela, G., Hamaguchi, K., & Schmitt, J. H. M. M. 2006, A&A, 457, 223 [NASA ADS] [CrossRef] [EDP Sciences] (In the text)
- Stelzer, B., Robrade, J., Schmitt, J. H. M. M., & Bouvier, J. 2009, A&A, 493, 1109 [NASA ADS] [CrossRef] [EDP Sciences] (In the text)
- Stepien, K., & Landstreet, J. D. 2002, A&A, 384, 554 [NASA ADS] [CrossRef] [EDP Sciences] (In the text)
- Swartz, D. A., Drake, J. J., Elsner, R. F., et al. 2005, ApJ, 628, 811 [NASA ADS] [CrossRef] (In the text)
- Tatulli, E., Isella, A., Natta, A., et al. 2007, A&A, 464, 55 [NASA ADS] [CrossRef] [EDP Sciences] (In the text)
- Tatulli, E., Malbet, F., Ménard, F., et al. 2008, A&A, 489, 1151 [NASA ADS] [CrossRef] [EDP Sciences]
- Thé, P. S., de Winter, D., & Perez, M. R. 1994, A&AS, 104, 315 [NASA ADS] (In the text)
- Thi, W. F., van Dishoeck, E. F., Blake, G. A., et al. 2001, ApJ, 561, 1074 [NASA ADS] [CrossRef] (In the text)
- Tout, C. A., & Pringle, J. E. 1995, MNRAS, 272, 528 [NASA ADS] (In the text)
- Uzpen, B., Kobulnicky, H. A., & Kinemuchi, K. 2009, AJ, 137, 3329 [NASA ADS] [CrossRef] (In the text)
- van Boekel, R., Waters, L. B. F. M., Dominik, C., et al. 2004, A&A, 418, 177 [NASA ADS] [CrossRef] [EDP Sciences] (In the text)
- van Boekel, R., Min, M., Waters, L. B. F. M., et al. 2005, A&A, 437, 189 [CrossRef] [EDP Sciences] (In the text)
- van den Ancker, M. E., The, P. S., Tjin A Djie, H. R. E., et al. 1997, A&A, 324, L33 [NASA ADS]
- van den Ancker, M. E., de Winter, D., & Tjin A Djie, H. R. E. 1998, A&A, 330, 145 [NASA ADS]
- van der Plas, G., van den Ancker, M. E., Fedele, D., et al. 2008, A&A, 485, 487 [NASA ADS] [CrossRef] [EDP Sciences] (In the text)
- Vieira, S. L. A., Corradi, W. J. B, Alencar, S. H. P., et al. 2003, AJ, 126, 2971 [NASA ADS] [CrossRef]
- Vink, J. S., Drew, J. E., Harries, T. J., & Oudmaijer, R. D. 2002, MNRAS, 337, 356 [NASA ADS] [CrossRef] (In the text)
- Wade, G. A., Drouin, D., Bagnulo, S., et al. 2005, A&A, 442, L31 [NASA ADS] [CrossRef] [EDP Sciences] (In the text)
- Wade, G. A., Bagnulo, S., Drouin, D., et al. 2007, MNRAS, 376, 1145 [NASA ADS] [CrossRef] (In the text)
- Walborn, N. R. 2006, in The Ultraviolet Universe: Stars from Birth to Death 26th meeting of the IAU, Joint Discussion 4, 16-17 August 2006, Prague, Czech Republic, JD04, #19 (In the text)
- Walsh, J. R. 1980, Ap&SS, 69, 227 [NASA ADS] [CrossRef]
- Wassell, E. J., Grady, C. A., Woodgate, B., et al. 2006, ApJ, 650, 985 [NASA ADS] [CrossRef]
- Zinnecker, H., & Preibisch, Th. 1994, A&A, 292, 152 [NASA ADS] (In the text)
- Zuckerman, B., & Song, I. 2004, ApJ, 603, 738 [NASA ADS] [CrossRef]
- Zuckerman, B., Song, I., Bessell, M. S., & Webb, R. A. 2001, ApJ, 562, L87 [NASA ADS] [CrossRef]
Footnotes
- ... disks
- Based on observations obtained at the European Southern Observatory, Paranal, Chile (ESO programmes 077.C-0521(A) and 081.C-0410(A)).
All Tables
Table 1: Target stars for which spectropolarimetric data were obtained during our observing run.
Table 2: Targets discussed in this paper.
Table 3: The mean longitudinal magnetic field measurements for our sample of Herbig Ae/Be and debris disk stars observed with FORS 1.
Table 4: Results from statistical analysis of parameter pairs.
Table 5:
Longitudinal magnetic fields of four previously studied Herbig Ae stars with detections at the 3
significance level.
Table 6: X-ray emission observed in Herbig Ae stars and debris disk stars.
Table 7: Rotation periods of stars with known inclinations.
All Figures
![]() |
Figure 1:
Distribution of the detection significance
|
| Open with DEXTER | |
| In the text | |
![]() |
Figure 2:
Stokes I and V spectra of the Herbig Ae/Be star HD 101412, with the largest detected magnetic field.
Upper panel: Zeeman features in H9, H8, Ca II H&K, and H |
| Open with DEXTER | |
| In the text | |
![]() |
Figure 3:
Stokes V spectra in the vicinity of the Ca II H&K lines of the Herbig Ae/Be stars
HD 139614, HD 144668, HD 152404, and HD 190073. At the top we present our previous observation of
HD 190073, obtained in May 2005. The amplitude of the Zeeman features in the Ca II H&K lines
observed in our recent measurement has decreased by |
| Open with DEXTER | |
| In the text | |
![]() |
Figure 4:
SOFI Ks-band image of a potential faint companion to HD 101412.
The spatial resolution is 0
|
| Open with DEXTER | |
| In the text | |
![]() |
Figure 5:
UVES spectra obtained on two different dates of the Herbig Ae/Be star HD 101412 in the spectral regions
around the H |
| Open with DEXTER | |
| In the text | |
![]() |
Figure 6:
UVES spectra of the Herbig Ae/Be star HD 101412 in the spectral regions
|
| Open with DEXTER | |
| In the text | |
![]() |
Figure 7:
Stokes I and V spectra of the Herbig Ae/Be star HD 144668.
Upper panel: Zeeman feature in the H |
| Open with DEXTER | |
| In the text | |
![]() |
Figure 8: H-R diagram for all Herbig Ae (filled circles) and debris disk (filled squares) stars from Table 2 on the pre-main sequence models from Siess et al. (2000). Dotted curves show isomass evolutionary tracks and solid jagged contours indicate the size of the convective envelopes labeled in units of the stellar radius. |
| Open with DEXTER | |
| In the text | |
![]() |
Figure 9: Mass-accretion rate versus age. Open circles denote Herbig Ae stars and open squares indicate debris disk stars. |
| Open with DEXTER | |
| In the text | |
![]() |
Figure 10:
The strength of the longitudinal magnetic field as a function
of accretion rate. Overplotted is the relation predicted by
magnetospheric accretion models (see Eq. (5)) for assumed stellar
parameters of
|
| Open with DEXTER | |
| In the text | |
![]() |
Figure 11:
X-ray luminosity versus age.
Symbols are identical to Fig. 9.
The decay of |
| Open with DEXTER | |
| In the text | |
![]() |
Figure 12: The strength of the longitudinal magnetic field plotted over the X-ray luminosity. Symbols are identical to Fig. 10. |
| Open with DEXTER | |
| In the text | |
![]() |
Figure 13: The strength of the longitudinal magnetic field plotted over the ratio between X-ray luminosity and bolometric luminosity. Symbols are identical to Fig. 10. |
| Open with DEXTER | |
| In the text | |
![]() |
Figure 14: X-ray luminosity versus magnetic flux for our sample of Herbig Ae stars, and the cTTS sample from Johns-Krull (2007), compared to the power-law relation derived for the Sun and active field stars by Pevtsov et al. (2003). cTTS are represented by crosses. All other symbols are identical to Fig. 10. |
| Open with DEXTER | |
| In the text | |
![]() |
Figure 15: The strength of the longitudinal magnetic field as a function of age. The symbols are identical to Fig. 10. |
| Open with DEXTER | |
| In the text | |
![]() |
Figure 16: The strength of the longitudinal magnetic field versus disk inclination angles. Symbols are identical to Fig. 10. |
| Open with DEXTER | |
| In the text | |
Copyright ESO 2009
Current usage metrics show cumulative count of Article Views (full-text article views including HTML views, PDF and ePub downloads, according to the available data) and Abstracts Views on Vision4Press platform.
Data correspond to usage on the plateform after 2015. The current usage metrics is available 48-96 hours after online publication and is updated daily on week days.
Initial download of the metrics may take a while.




![\begin{figure}
\par\includegraphics[width=8cm,angle=0,clip=]{11533f1a.eps}\par\includegraphics[width=8cm,angle=0,clip=]{11533f1b.eps}
\end{figure}](/articles/aa/full_html/2009/28/aa11533-08/Timg65.png)
![\begin{figure}
\par\includegraphics[width=8cm,angle=0,clip=]{11533f2a.eps}\par\includegraphics[width=8cm,angle=0,clip=]{11533f2b.eps}
\end{figure}](/articles/aa/full_html/2009/28/aa11533-08/Timg67.png)
![\begin{figure}
\par\includegraphics[width=8cm,angle=0,clip=]{11533f3.eps}
\end{figure}](/articles/aa/full_html/2009/28/aa11533-08/Timg68.png)
![\begin{figure}
\par\includegraphics[width=8.5cm,angle=0,clip=]{11533f4.eps}
\end{figure}](/articles/aa/full_html/2009/28/aa11533-08/Timg88.png)
![\begin{figure}
\par\includegraphics[width=8.5cm,angle=0,clip=]{11533f5a.eps}\par\includegraphics[width=8.5cm,angle=0,clip=]{11533f5b.eps}
\end{figure}](/articles/aa/full_html/2009/28/aa11533-08/Timg89.png)
![\begin{figure}
\par\includegraphics[width=8.5cm,angle=0,clip=]{11533f6a.eps}\par\includegraphics[width=8.5cm,angle=0,clip=]{11533f6b.eps}
\end{figure}](/articles/aa/full_html/2009/28/aa11533-08/Timg90.png)
![\begin{figure}
\par\includegraphics[width=8.5cm,angle=0,clip=]{11533f7a.eps}\par\includegraphics[width=8.5cm,angle=0,clip=]{11533f7b.eps}
\end{figure}](/articles/aa/full_html/2009/28/aa11533-08/Timg106.png)
![\begin{figure}
\par\includegraphics[width=9cm]{11533f8.eps}
\end{figure}](/articles/aa/full_html/2009/28/aa11533-08/Timg119.png)
![\begin{figure}
\par\includegraphics[width=8.5cm,angle=0,clip=]{11533f9.eps}
\end{figure}](/articles/aa/full_html/2009/28/aa11533-08/Timg126.png)
![$\displaystyle B_{\rm eq}~{\rm [kG]} = 3.43 \cdot \displaystyle\left(\frac{\epsi...
...ot \left(\frac{R_*}{R_\odot}\right)^{-3} \cdot \left(\frac{P_*}{d}\right)^{7/6}$](/articles/aa/full_html/2009/28/aa11533-08/img130.png)
![\begin{figure}
\par\includegraphics[width=8.5cm,angle=0,clip=]{11533f10.eps}
\end{figure}](/articles/aa/full_html/2009/28/aa11533-08/Timg135.png)

![\begin{figure}
\par\includegraphics[width=8.5cm,angle=0,clip=]{11533f11.eps}
\end{figure}](/articles/aa/full_html/2009/28/aa11533-08/Timg143.png)
![\begin{figure}
\par\includegraphics[width=8.5cm,angle=0,clip=]{11533f12.eps}
\end{figure}](/articles/aa/full_html/2009/28/aa11533-08/Timg147.png)
![\begin{figure}
\par\includegraphics[width=8.5cm,angle=0,clip=]{11533f13.eps}
\end{figure}](/articles/aa/full_html/2009/28/aa11533-08/Timg148.png)
![\begin{figure}
\par\includegraphics[width=8.5cm,angle=0,clip=]{11533f14.eps}
\end{figure}](/articles/aa/full_html/2009/28/aa11533-08/Timg152.png)
![\begin{figure}
\par\includegraphics[width=8.5cm,angle=0,clip=]{11533f15.eps}
\end{figure}](/articles/aa/full_html/2009/28/aa11533-08/Timg155.png)
![\begin{figure}
\par\includegraphics[width=8.5cm,angle=0,clip=]{11533f16.eps}
\end{figure}](/articles/aa/full_html/2009/28/aa11533-08/Timg163.png)