| Issue |
A&A
Volume 502, Number 1, July IV 2009
|
|
|---|---|---|
| Page(s) | 1 - 5 | |
| Section | Astrophysical processes | |
| DOI | https://doi.org/10.1051/0004-6361/200911656 | |
| Published online | 04 June 2009 | |
Analysis of the white-light flickering of the intermediate polar V709 Cassiopeiae with wavelets and Hurst analysis
F. Tamburini1 - D. de Martino2 - A. Bianchini1
1 - Department of Astronomy, University of Padova, vicolo
dell' Osservatorio 3, 35122, Padova, Italy
2 -
INAF-Astronomical Observatory of Capodimonte, Moiarello 16,
80131, Naples, Italy
Received 13 January 2009 / Accepted 12 April 2009
Abstract
We characterize the flickering observed in the optical light curve of the intermediate polar system V709 Cas by determining its position in the
-
diagram of Fritz and Bruch classification scheme.
The strength of flickering on a given timescale is represented by
,
while
is the energy distribution of the flickering at different timescales. Here
is derived independently with both the wavelets and the Hurst
R/S analysis.
The flickering shows self-similarity on a timescale ranging from tens of minutes down to 10 s with stochastic persistent memory in time. The parameters
and
appear to be anticorrelated.
In the
-
diagram, V709 Cas occupies in the region of magnetic systems. Since V709 Cas shows the spin period of the magnetic WD only in the X-ray but not in the optical, we conclude that this method can be used to characterize CV subtypes especially when their classification is uncertain.
Key words: stars: binaries: close - accretion, accretion disks - chaos
1 Introduction
Cataclysmic variables (CVs) are binary systems in which a late-type secondary star fills its Roche lobe and transfers matter onto a white dwarf (WD) primary. The WD is surrounded by an accretion disk, unless its magnetic field is strong enough to partially or totally control the accretion geometry.
CVs are classified into three major groups: nova-like (NL)
systems, classical and recurrent novae (CN, RN), and dwarf novae (DN).
In particular, nova systems must host CNO WDs with higher masses
than
0.6
so that the accreted material can
be cyclically ejected through nova outbursts (Livio 1992).
We can also classify CVs according to the strength of the magnetic
field of the primary. Thus, we have the non-magnetic systems,
the Intermediate Polar systems
or DQ Her systems (hereafter IPs), and the Polars or AM Her systems.
In the non-magnetic systems, accretion onto the WD occurs from
the last stable orbit of the inner disk.
In IP systems, the magnetic field disrupts the inner regions of
the accretion disk within the so-called Alfvén radius and
accretion occurs mainly via accretion curtains onto the magnetic
poles of the WD.
In polar systems, the disk is totally disrupted by the strong
magnetic field of the WD and the accretion stream is directly
conveyed on the WD magnetic poles.
In both polars and IPs, the infalling matter forms a strong
shock above the magnetic poles of the compact star that mainly
radiate in the X-ray domain
and eventually produce cyclotron radiation in the optical/IR.
At any given orbital period, the luminosities of NL systems and
quiescent novae are systematically brighter than those of DN,
suggesting that the former are powered by higher mass transfer rates (
)
from the secondary and/or have hotter WDs preventing
the onset of the cyclical disk instability phenomena observed in DN.
An exception may be represented by those CN and NL that are also magnetic
polars in which the strong magnetic field of the WD reduces the efficiency of the magnetic
braking mechanism of the binary system and, consequently, the mass
transfer rate and the accretion luminosity (Warner 1995).
The light curves of CVs may exhibit a variety of periodic, quasi-periodic, and/or erratic modulations. Flickering consists of short-term variations in brightness on timescales from a few seconds to a few tens of minutes, of between a few tenths of magnitude and one magnitude. Flickering appears as a sequence of overlapping flares and bursts with a random variability in time, sometimes exhibiting self-similarity on different timescales, i.e., the stochastic fluctuations in the detrended light curve are similar independently from the chosen time binning. Warner & Nather (1971) first tried to associate the flickering of U Gem and DN with the hot-spot in the outer rim of the accretion disk, although this ansatz was not confirmed in the observations of some other CVs such VW Hyi (Warner 1975; van Amerongen et al. 1987), Z Cha (Bruch 1996), V2051 Oph (Warner & O'Donoghue 1987). The observations of AE Aqr and YZ Cnc (Elsworth & James 1982, 1986; James 1987), instead, suggested that the origin of the flickering might be in the innermost regions of the accretion disk or close to the surface of the accreting WD. Some models suggested that the instabilities in the mass accretion onto the WD (Bruch 1992a,b,c, 1996) are caused by magneto-hydro-dynamical plasma turbulence in the accretion flow. The flickering of CVs was studied by using high speed photometry campaigns (see, for example, the works of Ribeiro & Diaz (2007) and Baptista & Bortoletto (2004)).
Flickering has been observed in both non-magnetic and magnetic CVs. Magnetic CVs
usually exhibit flickering in the optical and sometimes the X-ray region of the
spectrum.
One general property of flickering is the correlation between its amplitude and the luminosity of the ``quiet primary''. The ``quiet primary'' is defined as the sum of the luminosity of the WD and the luminosity of that part of the accretion process (disk or flow) that is not involved in the flickering activity (Zamanov & Bruch 1998).
Information can also be obtained by comparing the flare rate and the ratio of the maximum to the mean flux observed with those of the quiet primary.
In some objects, the flickering involves a large fraction of the total light emitted eventually dominating the optical light curve.
The modalities of the flickering observed may vary from object to object but some common features have been observed in CVs of the same sub-type.
Fritz and Bruch (1998) proposed a classification method of the flickering showing that different subtypes of CVs tend to occupy specific regions of the
-
plane, where
is the parameter related to the energy distribution of the flickering on different timescales and
represents the strength of the flickering on a given timescale.
In this paper we derive the
parameter for the IP system V709 Cas using both the wavelet and the Hurst R/S analyses (Hurst et al. 1965) and discuss the two methods.
While the wavelet analysis of flickering is dependent on the choice of the mother wavelet function, Hurst's R/S analysis bypasses this problem, providing an independent determination of
.
In addition, the value of the Hurst exponent indicates the degree of persistence/anti-persistence of the stochastic memory of the flickering, depicting the global behavior of the physics of the accretion process.
In a different way, from the X-ray band, this magnetic CV shows no spin modulation in the optical
range and it is strongly flickering-dominated, without any precise and stable dominating frequency.
V709 Cas hence represents an ideal test case for our study.
In Sect. 2 we introduce the mathematical basis for both wavelets and Hurst's analysis and explain the link between these two methods.
In Sect. 3 we characterize the flickering of this IP system by placing it in
the
,
diagram. Section 4 presents our conclusions.
2 Flickering properties and Hurst exponent
Many authors have discussed flickering mainly in terms of statistical properties (Mumford 1996; Robinson 1973; Moffet & Barnes 1974; Zuckermann 1971; Bruch 1992a,b,c, 1996; Bruch & Grütter 1997). A further step was made by Fritz & Bruch (1998) who, following Scargle et al. (1993), introduced the use of wavelet transforms and the scalegram. The scalegram is a plot of the logarithm of a reference timescale ts versus the logarithm of the variance S(ts), namely a measure of the variances of the wavelet coefficients expressed as a function of the timescale (see also Percival & Walden (2000) for more details).
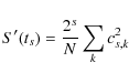
Flickering is a stochastic process in time, whose properties can provide vital information about the driving mechanism behind the accretion process. One of the most important statistical properties of flickering is the measure of the variance in the wavelet coefficients on different timescales
![]() |
(1) |
where c2s,k are the wavelet coefficients in which k is the time index, N the number of measurements (equivalent to the total number of the wavelet coefficients), and s is the scale index, also called ``octave'', related to the timescale by
Fritz & Bruch (1998) and Zamanov & Bruch (1998) showed that the scalegrams of flickering are approximately linear functions of ts for most of the CVs' light curves. This implies the presence of self-similarity with a power-law behavior
on certain timescales.
The stochastic fluctuations in the detrended light curve are similar independently from the time binning as described by
noise, where f is the time frequency and
.
The linearity of the scalegrams permits a simple parametrization of the flickering properties with two parameters,
and
.
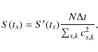
The parameter
is the inclination of the scalegram with respect to the x axis, which can be determined by a linear least squares fit to the scalegram points of the
,
plot the parameter indicates whether slow or rapid light fluctuations dominate the stochastic time series, and the flickering strength parameter
,
given by
![]() |
(2) |
represents a measure of the variance in the wavelet coefficients on a given timescale. Some possible correlations between the strength and the duration of the stochastic light variations are evident by plotting
An alternative robust statistical tool that can characterize independently from the wavelet approach the stochastic properties of flickering (i.e., the
parameter
)
is Hurst's R/S analysis. This method offers the advantage of being independent of any previous modeling of the problem, such as the choice of a mother wavelet.
The approach initially used by Hurst (1951) and Hurst et al. (1965) is based on the rescaled range analysis, which consists of estimating the ratio of the range in the variations, R, to the standard deviation S derived from the analysis of all the subintervals of data for each equal partitioning of the full data record.
Mandelbrot & van Ness (1968) and Mandelbrot & Wallis (1969) linked this method to a particular class of self-similar random processes, called Fractional Brownian Motions (FBMs). It was also shown that the short-run statistical dependence of pseudo-random sequences can be described with this technique (Gammel 1997).
Hurst found that natural phenomena follow the empirical power law
where
In dynamical systems, H characterizes the stochastic memory in time of the process.
Hurst exponents
indicate the persistence in time of a certain trend,
whereas exponents
indicate anti-persistence, i.e., past trends tend to reverse in the future (Feder 1988).
An exponent
would then represent random uncorrelated behaviors with no stochastic
memory in time.
The value
suggests that natural phenomena tend to present a persistent stochastic
memory in time.
In astronomy, Hurst's analysis has been applied mainly to solar phenomena. Most of the solar phenomena seem to have
,
even if the true presence of long - memory in solar activity is still a question of debate (Oliver & Ballester 1998). In the Sun, some physical processes also exhibit different stochastic behaviors. Hanslmeier et al. (2000), showed that fluctuations in the velocity fields and the intensity fields observed in the solar upper photosphere have
.
We consider a practical illustration of Hurst's R/S analysis.
The light curve of a CV is a discrete record in time of light intensity values that usually exhibits both slow and rapid stochastic luminosity variations.
Some periodic variations are connected to either the orbital motion or the spin of the magnetic white dwarf. Besides these, CVs can also present quite a variety of irregular or quasi-periodic light oscillations.
The shorter timescales of the flickering observed in the light curves of ordinary CVs are on the order of a few seconds. However, one can also observe smooth modulations and even flares lasting a few hours.
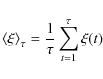
The mean luminosity
of the CV in a given time interval
is
![]() |
(4) |
where t is the time coordinate. In the time lag
![]() |
(5) |
and the range R of the luminosity variations is
| (6) |
As already stated, the ratio R/S follows an empirical law
Depending on the value of H found, the behavior of the random fluctuations can be modeled by Wiener stochastic processes or, more specifically, by Fractional Brownian Motions (FBM). The classical Brownian motion is a particular case of FBM, with
,
without any stochastic memory in time (for more details, see Feder 1988).
Since FBMs possess self-similarity, they can also be easily studied with the wavelet analysis (Chui 1992; Gill & Henriksen 1990; Simonsen et al. 1998). Using the relationships between
noises and FBMs (Lowen 1999; Gao et al. 2003), there is a direct relationship between the Hurst exponent H and the parameter
,
namely
.
In Fig. 1, we show the histogram of the averaged Hurst exponent of each single CV analyzed by Fritz and Bruch (1998) and reported in their Table 1.
We see from this small sample of about 70 CVs that both persistent and antipersistent behaviors are present.
We note that the main peak, around
,
is preceded by another lower peak at H=0.5, corresponding to the case of a classical Brownian Motion. The main peak is then followed by a drastic drop around the value
.
In the neighborhood of the value
found by Hurst in most natural phenomena, there is a second small bump. We note that the distribution is asymmetric with a longer tail towards the lower values of H. A study of a large number of CVs might determine other important details about the accretion phenomena.
![]() |
Figure 1:
Histogram of the averaged Hurst exponent of all the sample of CVs analyzed by Fritz & Bruch 1998, (reported in their Table 1). The distribution is asymmetric showing a tail towards the shorter values of H and peaks at
|
| Open with DEXTER | |
3 The flickering in white light of V709 Cas
V709 Cas (RX J0028.8+5917) is a DQ Her-type system of orbital period 0.2225 days (Bonnet-Bidaud et al. 2001) and a
primary (Ramsay 2000) of spin period
s (de Martino et al. 2001).
We analyzed six runs obtained in white light during a multi-site photometric campaign performed between September 22 and October 2, 2000 by de Martino et al. (2002) with a three-channel photometer mounted on the 0.8 m Tenerife (Spain), at the 1.5 m Loiano (Italy) and at the 0.8 m Beijing (China) telescopes. The integration time in all cases was 10 s.
The low frequency trend was removed by subtracting a 625 s smoothing average. Figure 2 shows the very rapid variations of up to 0.2 mag, indicating the presence of a strong flickering, already reported by Kozhevnikov (2001) and de Martino et al. (2002).
![]() |
Figure 2: Corrected light curves of the six runs (a-f) of Table 1. Time is in days and magnitudes are rescaled with respect to their mean magnitude. The discontinuities in the last two datasets are caused by the presence of clouds during observations. |
| Open with DEXTER | |
![]() |
Figure 3: Semilog-plot of the power spectra of the six corrected light curves of V709 Cas. |
| Open with DEXTER | |
Table 1:
From first column: label, start, end of the run, number of data points, max, min mag., characteristic exponent
,
Hurst exponent H, and percentage difference
(see text).
3.1 Data analysis
We now determine the parameter
by using both wavelets and a Hurst R/S analysis, and for each run plot the position of V709 Cas in the parameter space
-
with the timescale resolution of 10 s. We used the C12 wavelets (Fritz & Bruch 1998). To test our software, we used both wavelet-generated FBMs and
Gaussian processes (Bak et al. 1987; Abry et al. 1995).
Each light curve (a-f) was divided into series of 2n bins, where n is an integer that varies in the interval [1,7] to apply the prescriptions of the wavelet analysis.
For each run, Table 1 gives the characteristic exponent
of the
process obtained with wavelets and the Hurst exponent H with an R/S analysis.
The table also reports the run label, the number of data points, the maximum and minimum of the relative magnitudes, and the percentage difference
between the fractal exponent D calculated with either the
noises (
)
or the R/S analysis (DH=2-H).
The start of each run is calculated in number of days from the starting Julian
day 2 451 810.
The Hurst exponents of each of the six acquisitions reported in
Table 1 are all higher than 1/2, indicating that the flickering
of V709 Cas is always a stochastic process with a persistent memory in time.
The averaged value of H is 0.63 and the standard deviation is 0.05.
The value obtained with R/S the analysis, reported in the table, fluctuates between
H=0.58 and H=0.72. However, the differences
are rather small.
Figure 4 presents the scalegrams for the six corrected light curves, i.e., the log-log plot of the variance S(ts) versus the chosen timescale ts. In Figs. 4 and 5 we adopted the same colors (in the online edition) and symbols to label each different run.
![]() |
Figure 4:
Scalegrams of the six acquisitions of the corrected V709 Cas data. The lines corresponding to different acquisitions are quite similar illustrating the stability of |
| Open with DEXTER | |
Figure 5 shows the
and
diagram of V709 Cas. In the plot we decided only to draw, for each run, the relevant values of each wavelet octave to illustrate the erratic motion of the CV in the parameter space. We note that, while almost all the runs exhibit erratic motion in the
-
plane, the run f shows a very high stochastic stability, being always confined around the values
and
(reported in the plot).
The values span the intervals
and
,
which are
typical of magnetic CVs (Bruch 1992a).
In the (
)
plane, the values obtained for V709 Cas show a trend. The parameter
is shown to decrease with decreasing
.
This would suggest that the
light fluctuations and the energies implied are anticorrelated.
![]() |
Figure 5:
|
| Open with DEXTER | |
4 Conclusions
We have analyzed the flickering observed in six optical photometric runs of the IP V709 Cas. In their pioneering work, Fritz & Bruch (1998) tried to correlate the characteristics of the flickering of CVs with their subtypes using a wavelet analysis and the scalegram. The stochastic properties of flickering were described by using the two parameter spaceHurst's R/S analysis can also provide a useful tool for understanding the results of high speed photometry. In particular, it could provide precious information to indicate down to which short timescale the flickering can still be considered self-similar, determining the physics behind very short timescale phenomena. Ultra-fast photometry, as presently achievable with ULTRACAM on the VLT and SALTICAM on SALT, which can achieve a time resolution lower than 100 ms are ideally suited to studying rapid variability in CVs. These observations will significantly improve this investigation as illustrated by the results from a high-speed photometric survey of faint CVs with a separate focus on periodic/quasi-periodic variability in CVs made with SALT (Warner & Woudt 2008). A futuristic application might be ultra-fast photometry towards the quantum limit proposed for overwhelming large telescopes (Dravins et al. 2005).
Acknowledgements
One of us, F.T., also gratefully acknowledges the financial support from the CARIPARO Foundation inside the 2006 Program of Excellence. D.d.M. and A.B. acknowledge financial support from INAF PRIN N.17. The authors are grateful to Patrick Woudt for his stimulating comments and corrections.
References
- Abry, P., Gonçalvès, P., & Flandrin, P., in Wavelets and Statistics, ed. A. Antoniadis, & G. Oppenheim (Springer-V.), Lect. Notes Stat., 103
- Bak, P., Tang, C., & Wiesenfeld, K. 1987, Phys. Rev. Lett., 59, 381 [NASA ADS] [CrossRef]
- Baptista, R., & Bortoletto, A. 2004, AJ, 128, 411 [NASA ADS] [CrossRef]
- Bonnet-Bidaud, J. M., Mouchet, M., de Martino, D., Matt, G., & Motch, C. 2001, A&A, 374, 1003 [NASA ADS] [CrossRef] [EDP Sciences]
- Bruch, A. 1992a, A&A, 266, 237 [NASA ADS] (In the text)
- Bruch, A. 1992b, in Viña del Mar Workshop on Cataclysmic Variable Stars, ASP Conf. Ser., 29, ed. N. Vogt
- Bruch, A. 1992c in Flares and Flashes, ed. J. Greiner et al. (Springer Verlag), Heidelberg, Proc. IAU Coll., 151, 288
- Bruch, A. 1996, A&A, 312, 97 [NASA ADS] (In the text)
- Bruch, A., & Grutter, M., Acta Astron., 47, 307
- Chui, C. K. 1992, An Introduction to Wavelets (Academic Press Inc., San Diego
- de Martino, D., Matt, G., Mukai, K., et al. 2001, A&A, 377, 499 [NASA ADS] [CrossRef] [EDP Sciences] (In the text)
- de Martino, D., Silvotti, R., Gonza'lez Pe'rez, J. M., et al. 2002, ASPC, 261, 145 [NASA ADS]
- Dravins D., Barbieri C., Da Deppo V., et al. 2005, QuantEYE. Quantum Optics Instrumentation for Astronomy, OWL Instrument Concept Study, ESO document OWL-CSR-ESO-00000-0162 (In the text)
- Elsworth, Y. P., & James, J. F., 1982, MNRAS, 198, 889 [NASA ADS]
- Elsworth, Y. P., & James, J. F., 1986, MNRAS, 220, 895 [NASA ADS]
- Feder, J. 1988, Fractals (NY: Plenum Press) (In the text)
- Fritz, T., & Bruch, A. 1998, A&A, 332, 586 [NASA ADS]
- Gammel, B. M. 1997, Phys. Rev. E, 58, 2, 2586 (In the text)
- Gao, J. B., Yinhe Cao, & Lee. J.-M. 2003, Phys. Lett. A, 314, 392 [NASA ADS] [CrossRef]
- Gill, A. G., & Henriksen, R. N. 1990, ApJ, 365, L27 [NASA ADS] [CrossRef]
- Haberl, F., & Motch, C. 1995, A&A 297, L37
- Hanslmeier, A., Kucera, A., Rybák, J., Neunteufel, B., & Wöhl, H. 2000, A&A, 356, 308 [NASA ADS]
- Hurst, H. E., Trans. Am. Soc. Civ. Eng. 116, 770
- Hurst, H. E., Black, R., & Sinaika, Y. M., Long-Term Storage in Reservoirs: An Experimental Study (Constable, London)
- James, J. F. 1987, MNRAS, 224, 227 [NASA ADS]
- Kozhevnikov, V. P. 2001, A&A, 366, 891 [NASA ADS] [CrossRef] [EDP Sciences]
- Livio, M. 1992, ApJ, 393, 516 [NASA ADS] [CrossRef].
- Lowen, S. B. 1999, Methodology and Computing in Applied Probability 1, 4, 445-456 [CrossRef], (Springer Netherlands ISSN 1387-5841 (print) 1573-7713 (online))
- Mandelbrot, B. B., & van Ness, 1968, SIAM (Soc. Ind. Appl. Math.) Rev., 10, 422
- Mandelbrot, B., & Wallis, J. 1969, Water Resources Res., 5, 321 [NASA ADS] [CrossRef]
- Moffett, T. J., & Barnes, T. G. 1974, ApJ, 194, 141 [NASA ADS] [CrossRef]
- Mumford, G. S. 1966, ApJ, 146, 411 [NASA ADS] [CrossRef]
- Norton, A. J., Beardmore, A. P., Allan, A., & Hellier, C. 1999, A&A, 347, 203 [NASA ADS].
- Oliver, R., & Ballester, J. L. 1998, Phys. Rev. E, 58, 5 [CrossRef], 5650
- Percival, D. B., & Walden, A. T. 2000, Wavelet Methods for Time Series Analysis (Cambridge University Press)
- Ramsay, G. 2000, MNRAS, 314, 403 [NASA ADS] [CrossRef] (In the text)
- Ribeiro, F. M. A., & Diaz, M. P. 2007, AJ, 133, 2659 [NASA ADS] [CrossRef]
- Robinson, E. L. 1973, ApJ, 180, 121 [NASA ADS] [CrossRef]; ApJ, 181, 531; ApJ, 183, 193
- Scargle, J. D., Steinman-Cameron, T. Y., Young, K., et al. 1993, ApJ, 411, L91 [NASA ADS] [CrossRef]
- Simonsen, I., Hansen, A., & Magnar Nes, O. 1998, Phys. Rev. E, 58, 2779 [NASA ADS] [CrossRef]
- van Amerongen, S., Damen, E., Groot, M., Kraakman, H., & van Paradijs, J. 1987, MNRAS, 225, 93 [NASA ADS]
- Warner, B. 1975, MNRAS, 170, 219 [NASA ADS]
- Warner, B. 1995, Cataclysmic Variable Stars (Cambridge University Press) (In the text)
- Warner, B., & Nather, R. E. 1971, MNRAS, 152, 219 [NASA ADS]
- Warner, B., & O'Donoghue, D. 1987, MNRAS, 224, 733 [NASA ADS] (In the text)
- Warner, B., & Woudt, P. A. 2008, in COOL DISCS, HOT FLOWS: The Varying Faces of Accreting Compact Objects, ed. M. Axelsson, AIP Conf. Proc., 1054, 101 (In the text)
- Zamanov, R. Z., & Bruch, A. 1998, A&A, 338, 988 [NASA ADS]
- Zuckermann, M.-C. 1961, Ann. d'Astrophys., 24, 431 [NASA ADS]
All Tables
Table 1:
From first column: label, start, end of the run, number of data points, max, min mag., characteristic exponent
,
Hurst exponent H, and percentage difference
(see text).
All Figures
![]() |
Figure 1:
Histogram of the averaged Hurst exponent of all the sample of CVs analyzed by Fritz & Bruch 1998, (reported in their Table 1). The distribution is asymmetric showing a tail towards the shorter values of H and peaks at
|
| Open with DEXTER | |
| In the text | |
![]() |
Figure 2: Corrected light curves of the six runs (a-f) of Table 1. Time is in days and magnitudes are rescaled with respect to their mean magnitude. The discontinuities in the last two datasets are caused by the presence of clouds during observations. |
| Open with DEXTER | |
| In the text | |
![]() |
Figure 3: Semilog-plot of the power spectra of the six corrected light curves of V709 Cas. |
| Open with DEXTER | |
| In the text | |
![]() |
Figure 4:
Scalegrams of the six acquisitions of the corrected V709 Cas data. The lines corresponding to different acquisitions are quite similar illustrating the stability of |
| Open with DEXTER | |
| In the text | |
![]() |
Figure 5:
|
| Open with DEXTER | |
| In the text | |
Copyright ESO 2009
Current usage metrics show cumulative count of Article Views (full-text article views including HTML views, PDF and ePub downloads, according to the available data) and Abstracts Views on Vision4Press platform.
Data correspond to usage on the plateform after 2015. The current usage metrics is available 48-96 hours after online publication and is updated daily on week days.
Initial download of the metrics may take a while.



![\begin{displaymath}X(t,\tau )=\sum_{k=1}^{t}\left[ \xi (k)-\left\langle \xi
\right\rangle _{\tau }\right]
\end{displaymath}](/articles/aa/full_html/2009/28/aa11656-09/img32.png)
![\begin{figure}
\par\includegraphics[angle=0, width=8cm, keepaspectratio]{11656fg1.eps}
\end{figure}](/articles/aa/full_html/2009/28/aa11656-09/Timg38.png)
![\begin{figure}
\par\includegraphics[angle=0, width=9cm, keepaspectratio]{11656fg2.eps}
\end{figure}](/articles/aa/full_html/2009/28/aa11656-09/Timg41.png)
![\begin{figure}
\par\includegraphics[angle=0, width=8.6cm, keepaspectratio]{11656fg3.eps}
\end{figure}](/articles/aa/full_html/2009/28/aa11656-09/Timg42.png)
![\begin{figure}
\par\includegraphics[angle=0, width=7.8cm, keepaspectratio]{11656fg4.eps} .
\end{figure}](/articles/aa/full_html/2009/28/aa11656-09/Timg47.png)
![\begin{figure}
\par\hspace*{2mm}
\includegraphics[angle=0, width=7.4cm, keepaspectratio]{11656fg5.eps}
\end{figure}](/articles/aa/full_html/2009/28/aa11656-09/Timg52.png)