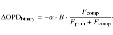
| Issue |
A&A
Volume 502, Number 2, August I 2009
|
|
|---|---|---|
| Page(s) | 623 - 646 | |
| Section | Stellar structure and evolution | |
| DOI | https://doi.org/10.1051/0004-6361/200811390 | |
| Published online | 15 June 2009 | |
Spatially resolved mid-infrared observations of the triple system T Tauri![[*]](/icons/foot_motif.png)
Th. Ratzka1,2,3 - A. A. Schegerer4,2 - Ch. Leinert2 - P. Ábrahám5 - Th. Henning2 - T. M. Herbst2 - R. Köhler2,6 - S. Wolf7,2 - H. Zinnecker1
1 - Astrophysical Institute Potsdam, An der Sternwarte 16, 14482 Potsdam, Germany
2 - Max-Planck-Institute for Astronomy,
Königstuhl 17, 69117 Heidelberg, Germany
3 - Universitäts-Sternwarte München,
Scheinerstraße 1, 81679 München, Germany
4 - Helmholtz Zentrum München, German Research Center for Environmental Health,
Ingolstädter Landstraße 1, 85758 Neuherberg, Germany
5 - Konkoly Observatory of the Hungarian Academy of Sciences, PO Box 67, 1525 Budapest, Hungary
6 - ZAH, Landessternwarte, Königstuhl, 69117 Heidelberg, Germany
7 - University of Kiel, Institute of Theoretical Physics and Astrophysics,
Leibnizstraße 15, 24098 Kiel, Germany
Received 20 November 2008 / Accepted 20 May 2009
Abstract
Aims. The aim of this study is to enhance our knowledge of the characteristics and distribution of the circumstellar dust associated with the individual components of the young hierarchical triple system T Tau.
Methods. To reach this goal, observations in the N-band (8-13
m) with the two-telescope interferometric instrument MIDI at the VLTI were performed. For the northern component of the T Tau system, projected baseline lengths of 43 m, 62 m, and 85 m were used. For the southern binary projected baseline lengths of equivalent resolution could be utilised. Our study is based on both the interferometric and the spectrophotometric measurements and is supplemented by new visual and infrared photometry. Also, the phases were investigated to determine the dominating mid-infrared source in the close southern binary. The data were fit with the help of a sophisticated physical disc model. This model utilises the radiative transfer code MC3D that is based on the Monte-Carlo method.
Results. Extended mid-infrared emission is found around all three components of the system. Simultaneous fits to the photometric and interferometric data confirm the picture of an almost face-on circumstellar disc around T Tau N. Towards this star, the silicate band is seen in emission. This emission feature is used to model the dust content of the circumstellar disc. Clear signs of dust processing are found. Towards T Tau S, the silicate band is seen in absorption. This absorption is strongly pronounced towards the infrared companion T Tau Sa as can be seen from the first individual N-band spectra for the two southern components. Our fits support the previous suggestion that an almost edge-on disc is present around T Tau Sa. This disc is thus misaligned with respect to the circumstellar disc around T Tau N. The interferometric data indicate that the disc around T Tau Sa is oriented in the north-south direction, which favours this source as launching site for the east-western jet. We further determine from the interferometric data the relative positions of the components of the southern binary in the N-band. We find good agreement with recent position measurements in the near-infrared.
Key words: stars: individual: T Tauri - circumstellar matter - stars: pre-main sequence - techniques: interferometric - infrared: stars
1 Introduction
Our knowledge of the T Tau triple system has grown as observational techniques were improved. T Tau was chosen by Joy (1945) as the prototype for a new class of variable objects. The members of this class are characterised as low-mass (<
)
pre-main sequence stars still surrounded by accretion discs and thus exhibiting large infrared excesses (Appenzeller & Mundt 1989). A number of nebulous patches have been detected in the vicinity of T Tau. They show similar spectral features to Herbig-Haro objects. Surrounding the source on scales of arcseconds, they clearly witness stellar outflows. Today an east-west and a northwest-southeast oriented outflow, as well as many interlocking loops and filaments of H2, are known, e.g., Herbst et al. (2007).
A close companion was detected by Dyck et al. (1982). It was later named T Tau S because it is located 0.7'' south of T Tau N. T Tau S is the source of one of the jets and a prototypical infrared companion (IRC) deeply embedded and not detectable in the visual (Stapelfeldt et al. 1998). Various explanations for its higher extinction have been discussed. On the one hand, a different evolutionary status of the southern component may be the reason. Already Dyck et al. (1982) saw in T Tau S a star that is less evolved than T Tau N. On the other hand, the extinction may be caused by a special geometry of the system like viewing T Tau S through an edge-on disc or viewing a background southern component through a foreground screen. Then T Tau S can be a normal T Tauri star coeval with its northern neighbour. Koresko et al. (1997) concluded T Tau S is experiencing episodes of embedding, perhaps because of an enhanced accretion rate at certain orbital phases.
T Tau S was resolved by Koresko (2000) into two components named T Tau Sa and T Tau Sb, with a separation of about 0.05'' in 1997. While T Tau Sb appears to be a ``normal'' active low-mass pre-main-sequence star simply residing behind an absorbing screen with
(Duchêne et al. 2005), T Tau Sa remains an enigmatic source. According to the picture drawn by Duchêne et al. (2005), T Tau Sa is the most massive star of the T Tau system with a stellar mass of
.
A large fraction of the visual and near-infrared light emitted by the photosphere of this intermediate-mass young stellar object are scattered away thanks to an edge-on circumstellar disc or lost through its ``polar'' regions. Furthermore, a circumbinary envelope or thick disc may obscure both southern components leading to an additional visual extinction of
as it has been found towards T Tau Sb.
Associated with T Tau Sb is a radio source observed by Loinard et al. (2007) with the VLBA to determine its distance precisely. The derived value of
pc has been adopted in this paper for the whole T Tau system.
The northern component has shown a significant brightness variation neither in the K- nor in the L'-band (Beck et al. 2004). Even its visual flux seems to be constant (Ghez et al. 1991). The southern component shows variability with a total amplitude of
2 mag in the K-, and
3 mag in the L'-band. Beck et al. (2004) explained the variations by changes in the amount of obscuring material. In its bright state, T Tau S dominates the flux of the system longwards of 3
m. According to Ghez et al. (1991), the flux ratio between the southern and the northern component in the N-band ranges from
0.4 in the minimum to
2.6 in the maximum. Both components forming T Tau S have been identified as variable. The flux ratio of T Tau Sb with respect to T Tau Sa varies between
0.1 (Koresko 2000) and
3.6 (Beck et al. 2004) in the K-band.
There has been general agreement that T Tau N is surrounded by a circumstellar disc of moderate mass (Beckwith et al. 1990) seen not far from face-on, although its proposed size (Akeson et al. 1998) is still under discussion. For T Tau S it was not at all obvious that its circumstellar material would be concentrated in a circumstellar disc. Its outburst in 1989 led Ghez et al. (1991) to model its SED as dominated by a FUOR-type accretion disc. The picture of T Tau S then shifted to that of a rather normal young star (Hogerheijde et al. 1997) extincted by a disc seen nearly edge-on (Solf & Böhm 1999), but with very low mass according to the limits derived by millimetre interferometry (Akeson et al. 1998; Hogerheijde et al. 1997). This missing mass was naturally explained by truncation due to the companion T Tau Sb (Koresko 2000). Ultraviolet studies from HST showed an absorbing screen in front of T Tau S (Walter et al. 2003), possibly associated with a circumbinary disc around T Tau S, which would be responsible for most of the extinction towards T Tau Sb. By mid-infrared adaptive optics imaging in the silicate feature Skemer et al. (2008) add to the evidence for different disc orientations in the T Tau system and question the importance of a circumbinary disc. The actual orientations of the circumstellar discs in the close binary T Tau S have remained largely unknown.
Summarising the brief description above, the T Tau system is one of the best-suited laboratories for investigating the dynamics and the formation of young multiple systems. A first step in this direction has been made by monitoring the orbital motions of the southern components around each other and around the northern component. These studies led to reliable masses of the stars and concluded that T Tau Sb is indeed bound to the system (Köhler et al. 2008; Köhler 2008; Duchêne et al. 2006). A next step is the investigation of the individual discs with respect to their dust content and their geometry. The information about the geometry will help in addressing the issue of coplanarity of the discs with respect to each other, as well as to the orbits.
Table 1: Journal of MIDI observations.
In this paper we present observations (Sect. 2) of the T Tau system with the ``MID-infared Interferometric instrument'' MIDI, which resides in the interferometric laboratory of the ``Very Large Telescope Interferometer'' (VLTI) on Paranal, Chile. After a brief description of the data reduction (Sect. 3), we present first the directly derived results (Sect. 4). In Sect. 5, we model the northern component with a radiative transfer model and investigate the dust properties of its circumstellar disc by fitting the correlated fluxes. In Sect. 6, the visibilities of T Tau S are analysed to derive relative positions and separate spectra for the two components. With the help of radiative transfer models, the properties and the relative orientations of the discs are determined. Finally, a picture of the system is drawn in Sect. 7. In Sect. 8 a summary can be found.
2 Observations
We obtained three separate interferometric measurements of both T Tau N and T Tau S within the ``Guaranteed Time Observations'' (GTO) in October and November 2004. The baselines used were UT2-UT3 (Oct. 30/31), UT2-UT4 (Nov. 1/2), and UT3-UT4 (Nov. 3/4). A journal of observations appears in Table 1.
2.1 Observing sequence
The standard observing sequence for an interferometric measurement with MIDI on the VLTI produces an image of the object at 8.7
m, a spectrum from 8
m to 13
m, and spectrally resolved visibilities and correlated fluxes over the same wavelength range. For descriptions of the instrument and its operation see Leinert et al. (2003a,b), Morel et al. (2004), and Ratzka (2005).
The chopped image is taken after the coarse acquisition by the telescopes. These images allow the observer to adjust the position of the objects to a predetermined pixel in order to maximise the overlap of both images for the following interferometric measurements.
Then, the beam combiner, which produces two interferometric outputs of opposite sign, is put into the optical train. Together with a dispersion device - in our case, the low resolution prism (
)
- dispersed fringes, i.e., spectrally resolved interferograms, can be obtained. After locating the zero optical path difference (OPD) by scanning a few millimetres around the expected point of path length equalisation, an interferometric measurement with self-fringe-tracking is started. In this mode, the piezo-mounted mirrors within MIDI are used to scan a range in OPD of 40-80
m in steps of typically 2
m. At each step, with the corresponding fixed OPD, an exposure is taken that gives the instantaneous value of the interferometric signal from 8
m to 13
m. After each scan, the position of the fringe packet in the scan is measured and the VLTI delay lines are adjusted in order to recentre the fringe packet for the next scan. Even for the low resolution of the prism, the coherence length is about
300
m. This means that imperfect centring of the interferometric scan within a few
has no adverse effect on the visibility determination, i.e., no noticeable spectral smearing occurs. The output after a scan is the spectrally resolved temporal fringe pattern, which gives the fringe amplitude or correlated flux. The scans are repeated typically 100-200 times in saw-tooth manner to increase the statistical accuracy. For typical exposure times of 15 ms and readout times of 3 ms this means that the temporal fringe signal is modulated at a frequency of
10 Hz. For these inteferometric measurements no chopping is used, because the two resulting output signals are subtracted from each other as first step of the data reduction. This leads - when supplemented with high-pass filtering - to an efficient background subtraction.
To derive the (wavelength dependent) visibilities, spectra are measured with the same pixels of the detector that have been used before for measuring the fringe signal. To accomplish this, first the light from one, then from the other telescope is blocked. For the photometric measurements the secondary mirrors of the UTs are chopped to remove the thermal background radiation.
By definition the visibility is obtained as the ratio of correlated flux (from the interferometric measurement) to the total flux (from the spectrophotometry). This gives the raw visibility, still suffering from atmospheric and instrumental correlation losses. To correct for these losses, the sequence of observations has to be repeated for a source with known diameter, and therefore known visibility.
2.2 Calibration
Calibrator stars with known diameter were observed immediately after the object and in the same region of the sky to correct for the reduction in the fringe contrast due to optical imperfections and atmospheric turbulence. However, with the present accuracy of about 5-10% per single visibility measurement, it is also possible to use calibrators observed in the same mode during the same night. The calibrators given in Table 1 with their HD number were taken from the ``MIDI Calibrator Catalogue''
of 509 stars with a flux of at least 5 Jy at
m and selected for the absence of circumstellar emission, close companions that could disturb the visibility measurement, or strong variability. A subsample of these calibrators can also be used for absolute flux calibration
2.3 Additional photometric datasets
Table 2: Photometric measurements.
In addition to the N-band spectra obtained with MIDI (Sect. 4.2), we derived mid-infrared fluxes from measurements with the ``Infrared Space Observatory'' (ISO). For the reduction of the raw data the ``ISOPHOT Interactive Analysis'' software (PIA) version 10.0.0 was used. The long wavelength observations were small rasters, producing at 60 and 100
m final maps of
pixels with a pixel scale of
and at 150 and 170
m maps of
pixels with a pixel scale of
.
The flux distribution of these small maps was fitted by a sum of a theoretical PSF and a small extended clump (assumed in Gaussian shape). This approach was chosen to eliminate the contributions from the nebulae that are present in the T Tau system. Details of the method are described in Ábrahám et al. (2000). Nonetheless, due to the large beam size of the telescope the colour-corrected ISO fluxes listed in Table 2 will be considered as upper limits only.
In the visual, we took images in four bands by using MPIA's KING telescope on the Königstuhl in Heidelberg with its 0.7 m primary mirror. These images have been reduced and analysed with standard IRAF routines. For the near-infrared, the sub-mm, and the mm-regime, fluxes from the literature have been adopted, chosing as a rule data corresponding to the low state of T Tau Sa. For a discussion of the Q-band fluxes see Sect. 6.2. All photometric measurements are listed in Table 2.
The derived spectral energy distributions (SEDs) are displayed in Figs. 4, 12, and 13. The ISO fluxes therein are distributed to T Tau N and T Tau S according to the flux ratio found in the upper N-band between 12
m and 13
m. For the flux ratio of T Tau Sb and T Tau Sa we assume a value of 0.5. The latter is also applied to the Q-band flux of T Tau S.
3 Data reduction
3.1 Visiblities
For the data reduction, a custom software called MIA+EWS
,
, written in IDL and the C language, was used, where we chose the first branch based on power spectrum analysis (called MIA). This package works best when OPD scans are centred on the white-light fringe (zero OPD), as in most of our observations, but can also handle data tracked at non-zero OPD. The data reduction steps are described in a tutorial on the cited web page, as well as in Leinert et al. (2004) and Ratzka (2005). The results are raw values for the 8-13
m spectrum
and the 8-13
m correlated flux
.
To correct for the bias introduced by signal fluctuations not related to the fringe signal, the off-fringe power spectrum, determined on the source, but far from zero OPD, is subtracted from the signal. The fringe amplitude (or correlated flux) as a function of wavelength is the square root of the fringe power spectrum after this ``background'' subtraction. Division of this final fringe amplitude by the photometric flux gives the raw visibility of the object as a function of wavelength. To allow at least approximately for the influence of unequal fluxes in the two interfering beams, the raw visibilities
are calculated by
where A and B are the fluxes determined from the photometric datasets of the two incoming telescope beams. A precise correction, which would imply determining the fluxes in the two beams for each individual interferometric scan or even each exposed frame, is not possible with the instrument mode used.
Calibrated visibilities for an object are obtained by dividing its raw visibility by the instrumental visibility derived from one or more calibrators with known diameter observed within the same night:
The second branch of the data reduction software, called EWS, uses a clever shift-and-add algorithm in the complex plane, averaging suitably modified individual exposures to obtain the complex visibility A(
3.2 Photometry
While the determination of the normalised and calibrated visibilities requires the special software package, the absolute spectra
can be derived from the photometric measurements
and
by following the standard procedures applied when reducing mid-infrared spectra. To do this, however, at least a few of the interferometric calibrators have to also be spectrophotometric standard stars with well-known spectra. Furthermore, the different airmasses of the scientific targets and the calibrators as well as the temporal variations in seeing conditions have to be taken more seriously than for the visibility determination.
3.3 Correlated flux
The wavelength-dependent correlated flux
can now be derived by a simple multiplication of the above determined quantities:
Although one may think of directly calibrating
Since the correlated spectra reflect to a first appromixation the emission from the region not resolved by the interferometric instrument, they carry valuable information about the dependence of the spectrum on the distance from the star.
4 Direct results
In the following, we present the visibilities and photometry of T Tau N and T Tau S. These results can be directly derived from the observations with MIDI without making assumptions or using simulations.
4.1 Visibilities
Separate interferometric observations were possible for T Tau N and the T Tau S subsystem. The results are shown in Fig. 1. Here, the calibration is performed with all calibrators of one night that show a reasonable visibility. Calibrator measurements that have not been used are indicated in Table 1. The errors represent the standard deviation of the ensemble of calibrator measurements. For the two measurements of the scientific targets with corrupted photometry (see Table 1) we used the photometry for the object in the two other nights and averaged the resulting visibilities. In this case, the error bars of the average visibility span the whole range that was originally covered by the error bars of the visibilities averaged, i.e., the new error bars form an ``envelope'' around the original visibilty errors.
Both T Tau N and T Tau S are well resolved with visibility values corresponding to a FWHM of a Gaussian brightness distribution of ![]()
mas at 8
m. The FWHM roughly increases with wavelength to ![]()
mas at 13
m. However, the unequal appearance of the visibilities of T Tau N and T Tau S calls for a different treatment of the two measurements (Sects. 5 and 6). While the measurements of T Tau N show a wavelength dependence of the visibility typical for emission from a circumstellar disc (Leinert et al. 2004), the visibilities for T Tau S show sinusoidal oscillations. These have to be interpreted as the signature of the binary components T Tau Sa and T Tau Sb. The deep minima in the modulations already indicate that the brightness of the two sources is similar in the N-band.
4.2 Photometry
We obtained separate spectrophotometric observations for T Tau N and the T Tau S subsystem (Fig. 2). From the comparison with TIMMI 2 spectra taken by Przygodda (2004) and a Spitzer spectrum, we tentatively conclude that no large brightness changes occured in the T Tau system between 2002 and our measurements. This is similar to what was observed in the K-band (Duchêne et al. 2005), where T Tau S appears to be in a low brightness state. However, it is worth mentioning that the spectra deviate significantly from each other, i.e., we witness a continuous change of the contributions of the southern components to the overall spectrum.
5 The northern component
5.1 Radiative transfer model
We used the radiative transfer code MC3D (Schegerer et al. 2008; Wolf et al. 1999,2003) to model simultaneously the spectral energy distribution and the visibilities of T Tau N by manually adjusting the parameters. Manual adjustments have the advantage to allow even in the paramater space of our radiative transfer model with its many dimensions the determination of the best fitting model. On the other hand, this approach always leaves a small chance that only a local instead of a global minimum has been found. But we carefully checked this possibilty and are confident that we determined the best parameters.
The used MC3D code includes the effects of heating of a disc and an envelope by the central star as well as heating by accretion. The photospheric spectrum of T Tau N is represented by a Kurucz model (Kurucz 1992) of a star with temperature
K, surface gravity
[log cm/s2], and solar metallicity (Table 3).
Table 3: The parameters of the radiative transfer model of T Tau N.
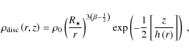
Density Model.
The density profile of our radial-symmetric passively-heated (dust) disc is described in cylindrical coordinateswhere
with h100 being the scale height of the disc at r=100 AU. Since the Eqs. (4) and (5) fully describe the structure of the disc,
As a representation of a potential ``envelope'', we add a simple spherical dust configuration to the disc model. This spherical envelope allows us to bring additional material close to the star to reprocess light more efficiently. It may represent remnant material of the star formation process. The envelope is geometrically constrained by the inner radius
and the outer radius
of the disc. With the density distribution of the disc
and the position vector
,
the density profile of the envelope is given by
where
ensuring a smooth transition from the disc to the envelope.
Accretion Effects.
We extend the passive model further for the implementation of accretion effects (Schegerer et al. 2008). Apart from the parameters of the disc and the star, this accretion model requires three additional parameters: the accretion rate
![]() |
Figure 3:
Comparison of the mass absorption coefficients of the dust in the disc atmopshere (solid) with those of the insterstellar extinction law (diamonds) from Rieke & Lebofsky (1985). The values are given relative to the V-band. Plotted as dotted curve are the opacities provided by Ossenkopf & Henning (1994) for a gas density of
|
Dust Model.
Following Schegerer et al. (2008), we assume in our modelling approach a gas-to-dust mass ratio of 100:1 and a dust mixture of ``astronomical silicate'' and graphite with relative abundances of 62.5% for astronomical silicate and 37.5% for graphite (Draine & Malhotra 1993). We use the optical data of ``smoothed astronomical silicate'' and graphite published by Draine & Lee (1984) and Weingartner & Draine (2001) and consider a grain size power law
Furthermore, we implement a two-layer dust model. The disc interior contains a maximum dust grain size of
while the MRN grain size distribution with
is used in the disc atmosphere. These upper disc layers are defined by an optical depth
in the N-band, measured vertical to the disc midplane, below unity. Such a division of the disc is based on the idea of the favoured settling of larger dust grains, e.g., Schräpler & Henning (2004). Similar models with different grain sizes have been investigated for other discs by D'Alessio et al. (1997), Men'shchikov et al. (1999), and Wolf et al. (2003).
In order to avoid determining the temperature distribution of each single dust component and to accelerate the radiative transfer simulations, we average the optical properties of carbon and astronomical silicate for different grain sizes in each dust layer to derive the optical constants. Such an approach was justified by Wolf (2003).
![]() |
Figure 4:
Results of the simultaneous fit to the SED and the visibilities of T Tau N. Top left: the model (Table 3) is plotted for inclinations of
|
Interstellar Extinction.
Since the interstellar extinction is not taken into account by the model itself, we ``redden'' the fluxes resulting from the simulation before comparing them with the measured values. Starting with the visual extinction
5.2 Results of model fits
The parameters of our best model for T Tau N are listed in Table 3. In Fig. 4, the resulting SEDs and normalised visibilities are plotted together with the measured data. A comparison shows that the model and the data are in good agreement, although the stellar parameters, the disc mass
, and the accretion rate were taken as constrained by complementary studies.
However, there are differences between the measured SED and the model. The slight deviations in the N-band are consequences of the simplistic dust model. The ``underestimation'' of the measured SED in the wavelength range from 25
m to 170
m can be attributed to the large beam size of the ISO satellite. We already treated the measured fluxes as upper limits, because the nebulae around T Tau N contribute significantly at those wavelengths. The same might be applicable for the Q-band. Here, the resolution of the telescope was limited and the southern binary could only marginally be resolved (Herbst et al. 1997).
Due to the uncertainties at wavelengths longwards of the N-band, models with various combinations of the parameters
and h100 fit the SED and the visibilities. Also
is not well constrained. Figure 6 shows the changes in the SED when varying the outer radius of the dics
by 30 AU while keeping all other model parameters constant. The visibilities both in the near- and the mid-infrared are only marginally affected. In a recent study, based on the extent of the H2 emission and models of the SED, an outer radius of the disc of about 85-100 AU was found (Gustafsson et al. 2008). The value listed in Table 3 thus probably underestimates the true size of the disc.
Nonetheless, our model puts strong constraints on the inclination of the disc. Large inclination angles can be safely excluded on the basis of both the SED and the visibilities. The different levels of the measured visibilities only reflect the spatial resolution reached by the different baseline configurations and are not an indication for an elongated disc (Figs. 4 and 5). On the other hand, since the variations of the visibilities due to the variation of the position angle are small, the determination of the actual position angle of the major axis of the disc around T Tau N is not possible.
Another constraint of the model is the presence of a thin envelope with a steep density gradient, where the material is highly concentrated towards the central star. Without this aditional material the flux between 3
m and 8
m would be too low (Fig. 6) and the visibilities represent no longer the measurements. The visibilities are reduced by about 50% when compared to our best model. However, it has to be mentioned that models with a curved inner rim or other special geometries of the inner disc have not been tested, although such models might not require the steep density gradient of the envelope found above.
Although accretion may lead to similar effects as an extended, spherical dust distribution (Schegerer et al. 2008), according to the measurements the accretion rate of T Tau N is not high enough. However, our model is not very sensitive to the accretion rate. Neither the visibilities nor the SED change significantly (Fig. 6).
5.3 K-band visibilities
The interferometric measurements in the mid-infrared presented in this paper constrain mainly the structure of the warm inner parts of a disc, whereas for the study of the hot innermost regions near-infrared visibilities are required. T Tau N was measured with the ``Palomar Testbed Interferometer'' (PTI) at 2.2
m both with the north-south (103-108 m) and the east-south (83-86 m) baseline (Akeson et al. 2002). After correcting for the incoherent contribution of T Tau S (Akeson et al. 2000) the squared visibilities are roughly between 0.6 and 0.7 for the short and 0.4 and 0.5 for the long baseline. For our best-fit model (Sect. 5.2) we find at 2.2
m squared visiblities of
for a 85 m baseline and
for a 105 m baseline. The errors given here reflect the uncertainty due to the unknown position angle of the disc. These predictions of our model are in good agreement with the PTI measurements, although no special attempt has been made to fit the near-infrared results.
5.4 Dust distribution and evolution
For the observations on the VLTI, T Tau N is well separated from T Tau S in the 10
m range, so we can study its uncontaminated mid-infrared spectrum. The modest extinction (Table 3) and the fact that the silicate band appears in emission allows us to interpret the profiles by a mixture of amorphous and crystalline particles of various sizes. By applying such studies to the total and correlated spectra of selected Herbig Ae/Be stars, evidence for grain growth and crystallisation particularly in the inner parts of the circumstellar discs was shown (van Boekel et al. 2004). Similar processes in the circumstellar discs of T Tauri stars were expected and recently found for RY Tau (Schegerer et al. 2008) and even for the less luminous source TW Hya (Ratzka et al. 2007).
Here, we want to analyse the total and correlated spectra of T Tau N (Fig. 7) to determine the silicate composition of its circumstellar disc down to radii of a few AU. For this we use a
-fitting method (Bouwman et al. 2001). It assumes that the silicate emission feature has its origin in the optically thin surface layer of the circumstellar disc, where it results from a linear combination of mass absorption coefficients
of different dust species i of different sizes j:
where C0 and Cij are fitting parameters, which reflect the underlying continuum and the mass contribution of each component. The quantity
Observationally, the signature of pristine, interstellar dust particles is a broad bell-shaped emission feature with a maximum near 9.7
m. Larger particles are characterised by a flat-topped emission feature, while crystalline particles show narrower emission, most notably one at 11.3
m due to forsterite. As basic dust set for our
-fitting routine we use the same silicate species already used by Schegerer et al. (2006): small (
)
and large (
)
amorphous grains with olivine and pyroxene stoichiometry (Dorschner et al. 1995), as well as crystalline species such as forsterite (Servoin & Piriou 1973), enstatite (Jäger et al. 1998), and quartz (Henning & Mutschke 1997). Carbon is not considered in the study presented here, because its emission profile is monotonic in the 10
m wavelength range (Wolf & Hillenbrand 2003; Draine & Lee 1984) and thus contributes to the underlying continuum only.
In the case of T Tau N, we find from fitting the emission profile of the total flux, corresponding to an emitting region of about 1-20 AU, that small and large amorphous grains dominate with an abundance of about 90% (Table 4). On the other hand, the correlated flux spectra clearly show the dominant role of large amorphous and crystalline species (see Fig. 7). These interferometric measurements allow insights into the dust properties at radii close to the central source. The nominal resolutions
of the three baselines are 7 AU, 5 AU, and 4 AU at 10
m and the distance of T Tau. Here, the abundance of small amorphous grains is insignificant.
However, the trend for an increasing contribution from crystalline species with spatial resolution is broken in the case of the 62 m baseline. Here, one has to keep in mind that the interferometer resolves the disc only in the direction of the projected baseline, while perpendicular to it, light is also collected from outer disc regions. The determination of the absolute positions and abundances of the dust species thus requires a more detailed study. Nevertheless, the finding that large amorphous and crystalline grains are concentrated towards the central source appears to be robust.
Table 4: Results of the spectral decomposition of the MIDI spectra.
6 The close binary T Tau S
The observations of T Tau S are complicated by the fact that its two components are not resolved in the N-band by a single VLT telescope, and are therefore superposed both in the photometric and in the interferometric measurements. In the latter the effect of binarity is visible as sinusoidal modulations in the visibilities (Fig. 1). In the following, inspired by the procedure routinely used in speckle interferometry, we try a decomposition in order to be able to study the two components individually.
This requires several steps. First of all, we determine from the interferometric measurements the binary parameters, i.e., separation, position angle, and the ratio of the correlated fluxes (Sect. 6.1). Then the brighter component is identified by the measured phases. After estimating the visibilities of the fainter component by means of a reasonable radiative transfer model of its SED, we use these visibilities to calculate separate N-band spectra as well as visibilities for T Tau Sa (Sect. 6.2). Finally, a radiative transfer model for T Tau Sa is presented (Sect. 6.3).
6.1 Binary parameters of T Tau S
All visibilities of T Tau S show that this source is well resolved by the interferometer (Fig. 1). In addition, a clear sinusoidal binary signal is apparent for the second and third night when the position angle of the projected baseline was fairly close to the position angle of the separation vector of the two components. In Fig. 8 the calibrated visibilities are plotted as functions of the spatial frequency
for ease of discussion (compare Fig. 1). Here, B is the length of the projected baseline.
In Appendix A, we derive a formula for the visibility of a binary composed of two extended components. Under the assumption that the difference of the Fourier phases is negligible one finds:
The suffixes p and c refer to the primary and the companion, and s is the separation of the two components along the projected baseline. We use the definition of the flux ratio
and obtain
Here, V0(u) represents the visibility as it would be produced in a scan perpendicular to the separation vector, i.e., without the binary modulation. The spatial frequency u is here a function of the wavelength, while the projected baseline length is fixed. The total flux is thus also a function of u.
Fitting the visibility instead of fitting the correlated fluxes has the advantage that we can use the simple linear relation
as a reasonable approximation. This is supported by the observation of the first night, scanning approximately perpendicular to the separation vector. The derived visibility shows a smooth, almost linear trend with wavelength or spatial frequency, respectively. We expect similar smooth trends to underly on our other observations.
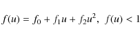
The correlated flux ratio of the two components is modelled by a second-order polynomial in u as
to allow for the effects of silicate absorption, while the separation of the components is formally allowed to vary linearly with spatial frequency to take into account that in general the photocentre of an inclined star-disc system can vary with wavelength:
A non-linear least squares fit, based on the Levenberg-Marquardt algorithm, of the visibility function to the visibilities measured with the two longer projected baselines has been performed to derive two independent parameter sets (Fig. 8)
The fit to a visibility described above yields s(u), i.e., the separation of the binary projected along the position angle of the baseline projected onto the sky. This means that we can only derive one component of the two-dimensional separation vector from each visibility. Fortunately, we have two fitted measurements at different orientations of the baseline to determine the relative position of the components at the time of the observations.
The two derived projected separations are indicated by the dashed lines in Fig. 9, where the primary T Tau Sa is located at the origin of the coordinate system. The possible positions of the companion (black ellipses) are determined by the intersections of the dashed lines. Two symmetrical solutions exist, because Eq. (11) does not allow the determination of the sign of s(u). Based on observations of the T Tau S binary in the near-infrared we chose the western position (solid ellipse). At a wavelength of 10.5
m we thus find
for the separation d and the position angle
![]() |
Figure 9:
In grey the near-infrared measurements of the positions of T Tau Sb with respect to T Tau Sa are plotted, see Köhler et al. (2008) and references therein. The ellipses represent the errors. The best-fit orbit derived by Köhler (2008) is also shown (dotted: periastron, dashed-dotted: line of nodes). The positions marked by crosses are separated by one year. Overplotted are the projected separations derived from our mid-infrared interferometric measurements and the determined relative position (black ellipse). The dashed, black ellipse is the second possible position due to the 180 |
Figure 9 shows that this result fits reasonably well to earlier measurements and to the orbit of the T Tau S binary determined by Köhler (2008).
Besides the information on the relative position of the companion, the sinusoidal modulation of the visibility as a function of spatial frequency u (Fig. 8) carries information on the flux ratio of the components. In detail, the observed visibility modulations for T Tau S deviate from a sinusoidal shape, and it is this deviation which carries information on the wavelength-dependence of the brightness ratio in the 8-13
m range. The fit procedure actually takes this into account and predicts the brightness ratio as a function of spatial frequency f(u) to have a maximum (in the sense of being close to 1) near 9.5
m and minima of the order of 0.2 at short and long wavelengths (Fig. 10).
Although this separation of the fluxes looks elegant, it is an approximation only. What is actually determined and written in Eq. (11) in form of the polynomial f(u) is not the flux ratio, but rather the ratio of the correlated fluxes. Only with the additional assumption that the correlated fluxes of the two components have a similar dependence on the spatial frequency u, i.e., the relative light distributions are the same, this ratio also represents the ratio of the total fluxes. We use this assumption to determine below the separate N-band spectra of T Tau Sa and T Tau Sb.
To put this assumption on a firmer basis, we repeated the binary fitting for the correlated fluxes of T Tau S for which we describe the ``binary-free'' correlated flux by a second-order polynomial instead of the mere linear pre-factor V0(u) in Eq. (12). The second-order polynomial is necessary to fit the silicate absorption feature. The relative position found by these fits is fully consistent with the position determined above from the visibility fits. The ratio of correlated fluxes, independent of the baseline length, is very close to that derived from the visibility fits (Fig. 10).
The average of the flux ratios determined from the fits of the visibilities and the fits of the correlated fluxes has been used to calculate the spectra shown in Fig. 11. We consider these fluxes as already good estimates, which will be refined in Sect. 6.2.
![]() |
Figure 11: The total spectrum of T Tau S (grey) as well as the individual fluxes of T Tau Sa and T Tau Sb under the assumption that the average of the flux ratios given in Fig. 10 is the flux ratio of the total fluxes. Despite this approximation, the results are close to the final spectral decomposition (Fig. 14). |
Both components of T Tau S have the silicate band in absorption, but the optical depth, as usually defined by
is quite different. One finds towards T Tau Sa an optical depth of
Given the small separation between the two components (0.1'' or 18 AU), the difference in extinction is hard to explain by variations in the density of foreground material. We conclude that T Tau Sa probably has additional intrinsic extinction in addition to an extinction common to both components. Based on near-infrared observations and after a detailed analysis Duchêne et al. (2005) already found evidence that T Tau Sa is surrounded by a small edge-on disc causing the intrinsic extinction. If T Tau Sb also possesses a circumstellar disc, it could not be aligned to the disc of T Tau Sa, because the extinction then would be much too high. Skemer et al. (2008) confirm this misalignment observationally based on photometric measurements in the N-band. Perhaps the circumstellar disc around T Tau Sb is coplanar with the orbit of this source around T Tau Sa, which is inclined by about 35
(Sect. 7).
6.2 Disentangeling the visibilities of the two southern components
We have the following situation: we measured the visibility
(Fig. 1) and the total flux
(Fig. 2) of the southern binary. As explained in Appendix A the normalised visibility perpendicular to the separation vector of the binary is the flux weighted average of the visibilities of the components, see Eq. (A.2). This visibility must be close to the slowly decreasing visibility measured for the shortest baselines with values between 0.5 and 0.6. By multiplying this ``binary-free'' visibility with the measured total flux one can derive the correlated flux
and with the flux ratio f<1 (Fig. 10) the individual correlated fluxes
and
.
To derive the individual visibilities, the following system of equations has to be solved, wherein bold quantities are known
:
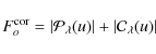
To accomplish this, we will constrain VC, but we first have to determine which of the components of T Tau S is the primary, i.e., is brighter in the N-band, and whether indeed T Tau Sa is the source with the stronger silicate absorption as has been speculated above. Intuitively, we would argue that the eastern, the more deeply embedded source has to be the brighter component in the mid-infrared, but so far we do not know. A phase measurement is needed.
Phase values
0 indicate asymmetry of the object. A typical application of phase measurements in a binary is to resolve the right-left ambiguity of the position of the companion with respect to the primary remaining after analysis of the visibility modulus. With the centre of light at the origin, the phase of a binary shows a staircase appearance, rising in the direction towards the companion (if the +x and +u coordinates are going in the same direction). If a linear trend in the phase is removed, corresponding to shifting the primary to the origin, the binary phase will oscillate around zero, rising at the spatial frequency of the visibility maxima if a scan over the binary in the +x direction would hit the companion first. Our data reduction package EWS gives this kind of phase function. We want to use the MIDI observations of T Tau S to decide whether it is the eastern component (the infrared companion) or the western component (the M1 star) that appears as primary with the larger correlated flux.
This will only work if the MIDI observing procedure defines an orientation on the sky. And indeed, during the OPD scan performed for interferometric measurements with MIDI, the position corresponding to the white light fringe moves on the sky along the projection of the baseline in a defined direction: closer to that telescope that feeds the right entrance window of MIDI from the viewpoint of the incoming light. This direction can be determined from the header information given with the data.
In Appendix B, we derive that the phases, as determined with MIDI, indeed should be falling with wavelength (rising with spatial frequency) at the position of the visibility maxima when the companion is offset from the primary component in the direction of negative x or OPD, which is the direction defined above.
In the case of the observations of T Tau S on October 30, 2004 and November 1, 2004, the phase was rising in the visibility maxima, which means that the companion came first when moving along the above mentioned reference directions towards a position angle of 48
and 85
,
respectively, in the sky. The opposite was true on November 3, 2004, when the direction on the sky was towards a position angle of 291
.
The conclusion from each of these observations is that at 10
m the eastern source, the deeper embedded companion T Tau Sa, dominates the correlated flux and has to be considered as the primary further on in this paper.
![]() |
Figure 12:
Results of the fit to the SED of T Tau Sb. The model (see text) is plotted for inclinations of
|
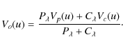
The visibilities of the fainter component in the mid-infrared VC are now obtained from a ``auxiliary'' radiative transfer model fit to the measured SED of T Tau Sb.
Following Duchêne et al. (2002) and Duchêne et al. (2005), we consider T Tau Sb as a T Tauri star of spectral type M1 behind an extinction screen of
mag. Using the extinction law of Rieke & Lebofsky (1985) and taking the nearby M 0.5 giant
Oph (HD 146051) as a spectral template, we see an infrared excess in T Tau Sb increasing by nearly 3 mag from H to L'. The near-infrared brightness is probably already affected somewhat by additional circumstellar emission. Taking the K brightness of T Tau Sb and extrapolating into the mid-infrared with the spectrum of HD 146051 gives an upper limit to the photospheric contribution of T Tau Sb. This upper limit falls from 190 mJy at 8
m through 140 mJy at 10
m to 85 mJy at 13
m. These values are a factor of 2-10 less than the correlated flux attributed to T Tau Sb from our measurements. Obviously, there is strong circumstellar emission filling up this otherwise unexplained mid-IR flux, which we model to come from a circumstellar disc at moderate inclination.
![]() |
Figure 13:
Results of the simultaneous fit to the SED and the visibilities of T Tau Sa. Top left: the model (Table 5) is plotted for inclinations of
|
Due to the close periastron passage of the companion, a truncated disc with a size of not more than 5 AU is expected. Placing such a disc with an inner radius of 0.1 AU, an outer radius of 5.0 AU,
,
h100=7.0 AU, a moderate inclination angle, and a mass of
around a M1-type star (Duchêne et al. 2002), whose photosphere is represented by a black body of 3720 K (Schmidt-Kaler 1982), and applying a foreground extinction of 15 mag in the visual (Duchêne et al. 2005) leads to a reasonable representation of the spectral energy distribution of T Tau Sb (Fig. 12). For this model we adopted a stellar luminosity of 1.8
(Bessell & Brett 1988; Schmidt-Kaler 1982), a stellar mass of 0.4
(Köhler 2008), and an accretion rate of
(Duchêne et al. 2005). An ``envelope'' with
and c2=-1.0 is also taken into account. It has to be mentioned that according to the model the large foreground extinction is responsible for the silicate absorption. The disc by itself would exhibit the silicate band in emission.
We refer to Sect. 5.2 for the explanation of the differences between modelled and measured fluxes longward of the N-band. But we want to return to the underestimation of the Q-band flux. It is not known whether the Q-band flux includes contributions from the northern component or the surrounding nebulae, or whether the flux ratio 0.5 between T Tau Sb and T Tau Sa as prediced by us based on the N-band fluxes is correct. Nonetheless, the main reason for the discrepancy is that the southern binary was much brighter in the mid-infrared at the time when the Q-band flux was measured. This can be seen, when comparing the integrated fluxes of T Tau S reported by Herbst et al. (1997) with our results presented in Table 2. Depending on the wavelength, the flux was lower by a factor of 3 to 8 in 2004.
Due to the uncertainty what fractions of the Q-band and ISO fluxes originate in the T Tau Sb system, the model is based on the near-infrared and N-band fluxes and is thus ambiguous. In the near-infrared the stellar photosphere represents the photometric measurements always well as long as the inclination of the disc is moderate. The N-band fluxes are sensitive to the accretion rate, the disc mass, and the inclination angle, but several combinations lead to the same quality of the modelled SED. The main restriction for a moderate inclination angle comes from the near-infrared. Unfortunately, the model does not well represent the silicate absorption feature, but a higher foreground extinction is excluded again by the near-infrared fluxes.
However, although the SED is not very well known and the model leaves ambiguities, the constraints on size and properties of the source suggest that the object visibilities cannot have values very different from the derived visibilities (Fig. 13). This was confirmed by comparing the results obtained for several model assumptions.
Finally, the upper and lower limits of the modelled visibilities for a disc inclination of
when changing the position angle of the disc by 360
have been used to derive the ``object'' visibilities of T Tau Sb. This was done by calculating the average and the standard deviation of the limits and interpolating the results over the whole N-band (Fig. 13). The visibilities found for T Ta Sb are typical for a circumstellar disc.
After determining with the radiative transfer model limits for the visibilities of T Tau Sb, we can solve Eq. (17) for the remaining quantities. To this end we divided the measured visibilities
by the binary signal and multiplied the results with the measured spectrum of the southern binary
.
The resulting, corrected correlated fluxes of the whole system
can be assigned to the individual components, when taking into account that T Tau Sa is the brighter component as has been proven by the phase measurements and that the flux ratio f of the correlated fluxes can be described by the relation plotted in Fig. 10. Afterwards, we determine the flux of the companion
from its correlated fluxes
with the help of the modelled visibilities VC. This flux then fixes the flux
and the visibilities VP of T Tau Sa. The final, best estimates of the fluxes for T Tau Sa and T Tau Sb are given in Fig. 14 and the visibilities for T Tau Sa are displayed in Fig. 13.
Since the determination of the visibilities of T Tau Sa is crucial, we checked how much the result is dependent on the model, i.e., the visibilities, of T Tau Sb. Even when T Tau Sb would be unresolved by the VLTI, i.e., VC=1.0, the derived visibilities VP for T Tau Sa are almost indistinguishable from those that have been derived on the basis of the model for T Tau Sb. The same is true, when assuming that VC is 0.6 and thus close to the measured visibilities of the southern binary. A comparison is made in Fig. 13.
6.3 A Radiative transfer model for T Tau Sa
Table 5: The parameters of the radiative transfer model of T Tau Sa.
Following the approach of Duchêne et al. (2005), we assumed that T Tau Sa has an effective temperature of 9000 K and a luminosity of 40
.
The photosphere is represented in our model by a black body. At 2.3
,
T Tau Sa is the most massive star in the triple system (Köhler 2008).
Similar to our approach for T Tau Sb, we modelled T Tau Sa as a source that is surrounded by a small truncated disc with a size of 5 AU (Table 5). This circumstellar structure contains a mass of 0.003
of gas and dust and thus very efficiently absorbs the photons from the central star due to the high inclination of the disc of around
.
In addition, an envelope with a steep density gradient seems to be present. On the other hand, the contribution of accretion is negligible. Is has to be mentioned that without the foreground extintintion of 30 mag in the visual the silicate feature would again appear in emission like it has been found for T Tau Sb.
In Sect. 6.1 for the two southern sources a preliminary optical depth of
and
was found. When fitting the spectra plotted in Fig. 14 using the optical depths for astronomical silicates towards the Galactic centre (Kemper et al. 2004), one finds
and
.
Conversion of the silicate absorption depth into visual extinction, e.g., Rieke & Lebofsky (1985), leads to
mag towards T Tau Sa and
mag towards T Tau Sb. These results are consistent with the values used in our models and are attributed to the foreground screen.
A possible explanation for the additional 15 mag of visual extinction towards T Tau Sa might be a circumbinary disc currently only extincting this source. Such a scenario has been tested by reducing the foreground extinction towards T Tau Sa to 15 mag, extending its circumstellar disc to 50 AU, and cutting off therein the area between 5 AU and 30 AU. In this model the whole circumstellar structure contained 0.02
of gas and dust. It sucessfully reproduced the SED and the visibilities.
The SED derived from our model of a compact circumstellar disc is shown together with the photometric data in Fig. 13. Also the upper and lower limits of the modelled visibilities of both T Tau Sa and T Tau Sb are plotted. The visibilities for T Tau Sb were used in Sect. 6.2 to determine the individual spectra of the two components of the southern binary and to separate the measured visibilities of T Tau S. The derived visibilities for T Tau Sa are indicated in Fig. 13 by the error bars and fall right within the range predicted by the radiative transfer model. The two-dimensional N-band visibilities are shown in Fig. 18 and will be analysed later to determine the orientation of the circumstellar disc (Sect. 7.3).
In Fig. 15 we show the spectral energy distribution when changing different parameters of the model while keeping the inclination fixed. This demonstrates that the model is to a certain level degenerate. For example adjusting the inclination of the models with a different outer radius leads to similar good agreement with the SED than our best-fit model. Neither the N-band, nor the K-band visibilities can help to overcome this. On the other hand, removing the envelope and especially changing its radial density distribution (not shown) leads to unacceptable SEDs that cannot reproduce the N-band fluxes well. Also changing
to a value of 1.25 is not reasonable.
Finally, we report on the predictions made by our model for T Tau Sa for the K-band visibilities at 2.2
m. We find for the 85 m baseline used by Akeson et al. (2002) visibilities between 0.03 and 0.38, while the visibilities for the 105 m baselines lie between 0.01 and 0.29. The exact values depend on the actual position angles of the baselines. In Fig. 16 the two-dimensional K-band visibility is presented.
7 The T Tau system
![]() |
Figure 17: A sketch of the T Tau system combining results of our MIDI measurements and previous observations. The dashed ellipse labelled ``C'' indicates the emission structure found by Herbst et al. (2007). The orbits are taken from Köhler (2008). The dotted line represents the periastron, the dashed-dotted line the line of nodes. See text for further details. |
7.1 Three-dimensional geometry
Figure 17 portrays the T Tau triple system schematically, but to scale. The graph is centred on T Tau N.
The orbit of the centre-of-mass of T Tau S around T Tau N is drawn in grey and the positions of the centre-of-mass of the southern binary in intervals of 50 yrs are indicated by crosses. At the time of the interferometric observations with MIDI, the orbit of the two southern components T Tau Sa and T Tau Sb around each other is overlaid (see Fig. 9). The positions of the two southern components are also shown for the time of our measurements. Both orbits are taken from Köhler (2008). While the southern orbit has a period of
28 [+12,-4] yrs, a semi-major axis of
13 [+6,-2] AU, an eccentrity of
0.47 [+0.16,-0.18], and an inclination of
,
the wide orbit has a period of
17500 [+7500,-16000] yrs, a semi-major axis of
1200 [+1200,-600] AU, an eccentricity of
0.92 [+0.07,-0.08], and an inclination of
.
The wide orbit is much less constrained due to the fact that only a small part of it is covered by the near-infrared observations.
The circumstellar discs around the three components of the T Tau system appear in black. The sizes and the inclinations of the discs are those that we derived from our simultaneous fits to the spectral energy distributions and the visibilities. The size of the disc around T Tau N thus might be similar to the periastron distance of the wide orbit. This indicates that the southern binary has to pass its periastron in the background or in the foreground with respect to the plane of the almost face-on disc around T Tau N. Otherwise dynamics would lead to a much smaller truncated disc. Surprisingly, the orbital elements of the wide orbit show that the southern binary is close to the line of nodes. The three stars thus nowadays reside at similar distances from the sun and the distance of the southern binary from the face-on disc has to be indeed quite small. Here it has to be mentioned again that neither the wide orbit, nor the size of the disc around T Tau N is well constrained yet. So we have to leave it open, whether refined orbital elements, a smaller outer disc radius or even a larger disc with a gap will help to overcome this inconsistency.
Our simulations show that the two discs of the southern binary are not aligned. While the inclination of the truncated disc around T Tau Sb is consistent with the inclination of the orbit of this source around T Tau Sa (Köhler 2008), the disc around T Tau Sa is highly inclined. The inclination of the disc around T Tau Sa is again in good agreement with the inclination of the wide orbit. Finally, the face-on disc around T Tau N exhibits a third orientation in the T Tau triple system.
7.2 Formation of the system
When fragmentation of a rotating cloud is responsible for the formation of a binary, the circumstellar discs are preferentially co-aligned with respect to each other. Also the orientation of the plane of the orbit should be similar to that of the discs. Therefore, one would intuitively argue that the misaligned discs in the T Tau triple system favour an independent formation of T Tau N and T Tau S. Consequently, even the misaligned two southern components might have formed independently. However, only in the centre of very dense clusters the required subsequent capturing process is efficient enough (Hall et al. 1996; Bonnell 2001). Formation by capture is thus very unlikely for T Tau.
In order to identify a viable formation scenario we have to determine the most fundamental parameters of the system. One finds that about half of the mass of the system is concentrated in the northern, the other half in the southern component. In addition, these two mass concentrations orbit around their centre-of-mass in a highly eccentric orbit.
A scenario that leads to such a configuration is that of a filamentary collapse (Zinnecker 1989,1991; Bonnell & Bastien 1992). A gravitationally unstable, elongated fragment tumbling ``end over end'' will subsequently break up into two or even more fragments. Initially, these fragments are heading towards each other due to their gravitational attraction. But for a non-zero impact parameter the angular momentum will prevent the fragments from merging. Already formed discs will evolve and either directly or tidally interact with each other.
The details of the process and the final configuration of the system are very sensitive to the initial conditions (Bonnell & Bastien 1992). For example, a wide range of binary mass ratios can be found in simulations of filamentary fragmentation. But the mass ratio tends to equalise during the evolution of the system, because the accretion onto the secondary is very efficient (Bonnell & Bate 1994). The secondary is able to collect even the high specific angular momentum material, as it resides in a circumstellar structure around the primary, away from the centre-of-mass. Furthermore, the eccentric orbit of the binary is circularised with time, because the specific angular momentum of the material accreted by the companion varies with the distance from the primary.
Another scenario to explain the actual properties of the T Tau system might be a three-body interaction within a flattened parential envelope (Reipurth 2000). In a close triple approach a non-hierarchical triple is tranformed into a tight binary and a third component on a long-period or even hyperbolic orbit. Such interactions can also form giant bow-shocks and a circumbinary disc is finally surrounding the binary. Also the IRC phenomenon can be explained by this scenario, when assuming that only the ejected companion has left the large flattened envelope while the binary is still hidden therein.
Whether the T Tau triple system was really formed by filamentary fragmentation or a three-body interaction is unclear. A detailed investigation is far beyond the scope of this paper. However, only a highly dynamical process can be considered as a reasonable formation scenario (Pringle 1989; Whitworth 2001).
7.3 Origin of the jets
To cite Böhm & Solf (1994) on the T Tau system: ``It is intriguing to see two distinct bipolar outflows of different orientation in the same stellar system''. The jet pointing west and ending
in the Herbig-Haro object HH 155 as its working surface (Bührke et al. 1986), was attributed by them to T Tau N. This association appears convincing: The inclination of the jet axis against the viewing direction was determined from a comparison of radial and tangential velocities to a moderate value of 23
(Eislöffel & Mundt 1998) and could be seen in the forbidden lines of [OI] and [SII] well collimated to within 0.3'' of the star. The star was found to be also mildly inclined by 19
(Herbst et al. 1997). Millimetre interferometry of its circumstellar disc found an inclination of
and a PA of 19
5
(Akeson et al. 1998). Near-infrared interferometry (Akeson et al. 2002) confirmed the inclination with
but disagreed on the PA with 132
.
Our model above, fitting SED and mid-infrared visibilities, led also to a moderate inclination of
,
while the PA could not be determined. With this evidence it was natural that Böhm & Solf (1994) attributed the second outflow, oriented nearly north-south, to the then known second component in the system, T Tau S.
A Fabry-Perot map of the T Tau system in the
line of molecular hydrogen led Herbst et al. (2007) to contradicting conclusions. They found about one arcsecond west of T Tau S a bow shock-like emission, which the authors named ``C''. Their map clearly shows a huge complex consisting of a bow shock and the walls of the tunnel produced by the jet. This complex is indicated in Fig. 17 by the dashed ellipse. With the high spatial resolution provided by the instrument NACO on the VLT the jet could be unambiguously traced back to T Tau S, with the dominating component T Tau Sa being the preferred candidate for its origin. The northwest-southeastern (actually NNW-SSE) outflow, which is the inner part of the north-south oriented outflow mentioned above, could be best traced back to T Tau N.
To increase the difficulty in combining these two sets of measurements and interpretations, Solf & Böhm (1999) found a high inclination of
for the north-south oriented outflow on the basis of the high dispersion/average value for its velocity pattern, which makes it hard to imagine the almost face-on circumstellar disc of T Tau N as its source. These complicated geometrical relations led Herbst et al. (2007) to list four different reasonable combinations of outflows with their stellar sources.
To contribute to this discussion, we also have to derive the position angle of the disc around T Tau Sa in addition to the inclination of
resulting from the simultaneous fit to the SED and visibilities. To this end, the modelled, two-dimensional visibilities for T Tau Sa are drawn in Fig. 18. Since the orientation of a baseline with respect to the model, i.e., the object in the sky, is uncertain, the spatial frequencies to which a baseline is in principle sensitive fall onto a circle, whose radius is determined by the projected length of the baseline. However, the relative orientations of the three used baselines are fixed. Or in other words, the three baselines represented in the figure by lines from the origin to the circles can be rotated around the origin, but only together. On the other hand, only at certain locations along the circles the visibilty values are consistent with the visibilities derived from the measurements. These locations are marked by the thick white arcs in Fig. 18. If it is now possible to find a rotation angle that brings all three baselines into marked locations on the corresponding circles, the orientation of the u-v-plane with respect to the baselines and thus to the sky is known with an ambiguity of
.
The modelled visibility for T Tau Sa at a wavelength of 8.4
m is drawn in Fig. 19 also as function of the position angle of the disc's minor axis. The model is calculated in such a way that without a rotation the minor axis of the disc is oriented north-south, and thus the two-dimensional visibility is elongated along the north-south direction. Therefore, the visibility prediction for the baseline with the longest projected length, which had a position angle of about 90
on the sky, has a minimum without a rotation of the model disc, and a maximum when the model disc is rotated to 90
.
Similarly, the maxima for the other baselines also are reached when the model disc is rotated by an angle that corresponds to the position angle of that baseline. The visibilities derived from the measurements are drawn as bars in the right panel, and the resulting allowed ranges of position angels are marked in the graph by shaded areas (Fig. 19). The height of such an area reflects the uncertainty of the corresponding measured visibility.
It appears that agreement between the modelled and the measured visibilities is found when the model disc is rotated by about
,
i.e., when the disc is elongated almost along the north-south direction. This finding is robust, because the modelled visibilities for the different baselines in Fig. 19 show slopes of opposite sign due to the phase shifts of the maxima. This may qualify T Tau Sa as a launching site for the east-western jet (Fig. 17). Especially, the position angle of the bow-shock C1 at the western tip of complex C (Herbst et al. 2007) is in excellent agreement with the found position angle of the circumstellar disc around T Tau Sa. Also the above discussed scenario of a circumbinary disc only extincting T Tau Sa could be realised, because T Tau Sb would reside west of the north-south oriented disc plane. Interestingly, if such a circumbinary disc is present, T Tau Sb would be regularly extincted by this structure due to its orbital motion.
If the determined north-south orientation of the circumstellar disc around T Tau Sa is correct, T Tau N would be the origin of the northwest-southeastern outflow with the usual reasoning by exclusion. Unfortunately, the difficulties with picturing the T Tau system of flows have not been reduced. The found orientation for the disc of T Tau Sa indeed perfectly matches the east-western flow of Fig. 17 if it is close to the plane of the sky. But then the difficulty arises to combine this flow with the only moderately inclined jet seen at larger distances out to HH 155. The same inclination discrepancy emerges for the north-south going outflow. To postulate that orientations may have changed strongly in this triple system during the about one million years it may have taken the jet (
km s-1) to arrive at the position of HH 155 has no serious foundation at present. On the other hand, the length of a Kozai cycle for the secular evolution of the inclination of the southern binary should be comparable (Ford et al. 2000) and episodic ejections are much shorter (Reipurth 2000). Perhaps a kinematical determination of the outflow inclination from the H2 emission west of T Tau would be a first clarifying step. Further questions would concern better knowledge of the three-dimensional grouping of outflows around T Tau and a better understanding of the role of the ``second'' infrared companion T Tau Sb. There is no reason why T Tau Sb with its circumstellar disc and the highest accretion rate among the three stars in the T Tau system should not be the origin of one of the two jets.
We presented new information for discussing this puzzle of the origin of the jets, a solution still has to be awaited.
8 Summary
MIDI at the VLTI allows an interferometric study of the three individual components of the T Tau system and their associated circumstellar material.
The disc around T Tau N was well resolved in our observations. We find a radiative transfer model, including accretion, that fits simultaneously the SED and the visibilities. The physical parameters are in line with earlier measurements. This means that we can confirm the picture of an almost face-on, comparatively massive circumstellar disc around T Tau N. An optically thin envelope is needed as an additional component to produce the 3-8
m radiation. The model also fulfils the constraints set by the K-band visibilities measured with the PTI (Akeson et al. 2002). By fitting the silicate emission feature in the total spectrum and the correlated spectra, we find that dust processing occurs in the inner parts of the circumstellar disc around T Tau N.
The binary T Tau S is also well resolved interferometrically, but not photometrically. The visibilities with the imprinted sinusoidal modulation give the relative position of T Tau Sa and T Tau Sb and allow us to derive the flux ratio of the (correlated) fluxes. The silicate band is seen in absorption towards both sources and confirms a high foreground extinction of about
mag. The phases indicate that T Tau Sa is the brighter source in the N-band.
For the full use of the data we adopt for T Tau Sb the model of Duchêne et al. (2005), which describes this source as a normal T Tauri star of spectral type M1. The star resides behind the absorbing screen of
mag and its circumstellar disc is seen not far from face-on. The low-mass disc is truncated because of the proximity of T Tau Sa.
With this model at hand, the interferometric data reveal an elongated structure for T Tau Sa, interpreted as a disc seen nearly edge-on. The radiative transfer model with a central star as proposed by Duchêne et al. (2005) simultaneously fits SED and visibilities. The model again suggests the presence of an optically thin envelope. The orientation of the disc is almost north-south. T Tau Sa might thus be the driving source of the east-west jet. The additional (intrinsic) extinction of about
mag might be attributed to a circumbinary disc.
The orbits and discs in the T Tau triple system show complex orientations. While the disc around T Tau Sb might be coplanar with its orbit around T Tau Sa, the disc around T Tau Sa is not aligned. It is almost perpendicular to the disc around T Tau N. However, the full picture requires knowledge of the orbital elements of the orbit of the southern binary around T Tau N with much better precision than is available now.
Acknowledgements
We thank the ESO staff at Paranal and Garching for their kind support during the preparation and execution of the observations. We are grateful to Benjamin Moster for the reduction of the KING data. We further want to thank Roy van Boekel, Jeroen Bouwman, Michiel Hogerheijde, Gwendolyn Meeus, and Veronica Roccatagliata for discussions and their help. We kindly thank the anonymous referee for his helpful suggestions and comments.Th. R. cordially thanks ``Pütz'' for confiding the little great wonder to him. May the splendours of heaven always make its path safe and shimmering. Island!
Appendix A: Visibility of a binary with extended components
Single-baseline interferometry gives one-dimensional information on the object along the direction of the baseline projected onto the sky. Let
and
be the spectrum of the primary and the companion of the binary with projected brightness distributions along this direction of
and
.
The complex visibilities, the Fourier transforms with respect to x, are written as
and
.
The correlated fluxes of the components then are
and
.
The normalised visibilities, also functions of
,
are
and
.
Please note that in the case of a measurement with MIDI, u and
are coupled by the relation
,
where B is the length of the projected baseline. For extraction of the phase from MIDI measurements, see Appendix B.
In the special case where the baseline projection is perpendicular to the separation vector of the binary, we have
- 1.
- the flux distribution
,
- 2.
- the correlated flux
,
and
- 3.
- the normalised visibility

and the normalised visibility of the binary is the flux weighted average of the visibilities of the components
It is common to the three conditions given above that they presume the same phase for
For all other projected baseline directions, the primary and companion are separated by a projected separation s. The correlated flux is then
or after substituting x-s
where the asterisk denotes the complex conjugate of the expression in parentheses.
Writing
=
and
=
,
and with
,
the argument of the square root has the value
For s=0 this is the detailed formulation for the correlated flux observed perpendicular to the separation vector of the binary. For
It is a matter of convenience whether one analyses the correlated flux with the equations given here or the normalised visibility. Then the given equations have to be divided by the combined flux of the binary. In the case of T Tau S, where the visibility varies smoothly with spatial frequency u and hence
,
while flux and correlated flux show a strong depression in the silicate feature, it is advantageous to discuss and interpret the visibilities.
In the following paragraphs we will now consider two special cases for the product
.
An integer result for the product u
s.
The cosine factor equals 1 for
Case of a half-integer result for the product u
s.
The cosine factor equals -1 if
Comparing this minimum of the correlated flux or visibility to the maximum value interpolated to the same spatial frequency for the unmodulated visibility curve, we have essentially the same relation as for simple binary stars:
This means that to a good approximation, we can read from the observed modulated visibility curves the ratio of the correlated fluxes of the components at this spatial frequency. By fitting the shape of the observed visibility modulation for the entire available wavelength range, this ratio can be inferred as a function of u. In binaries composed of point sources, the terms in which we are used to think, the equivalent relation gives the brightness ratio of the components, because flux and correlated flux are the same for point sources. With the assumption that the primary and companion show the same visibility,
,
Eq. (A.6) would also give the brightness ratio.
Appendix B: Phase measurements with MIDI
The basic equations
Consider an object
with visibility amplitude A
and phase
.
Reversing the direction in which
is increasing is equivalent to going from
to
and would change the sign of
.
Observing this object interferometrically with a baseline of projected length
and a corresponding spatial frequency
on the sky leads for multiaxial beam combination to a visualisation of the visibility component
as an instantaneous fringe pattern in the image plane with the modulating part
where 1/fm is the spatial fringe spacing and the sign of the phase is positive for proper choice of the sign of x. Alternatively, in coaxial beam combination, this visibility component shows an OPD-scanned timewise fringe pattern of
where obviously
OPD =
is the fringe spacing during an OPD scan. The latter method is used in the MIDI instrument at the VLTI. The factor of two here results from taking the difference of the two beamsplitter output signals of opposite sign. The presence of the sine function in relation (B.3), instead of the cosine function, results from the well-known
/2 phase shift in the symmetrically used beam splitter, which allows the coaxial recombination. As we will see, the
/2 phase shift is of no consequence for the phase determination of
.
The positive directions of x in Eq. (B.2) and OPD in Eq. (B.3) need to correspond to the positive scan direction
over the source on the sky. Otherwise, the phase
would change sign. In other words, defining the signs of x, OPD, respectively, and keeping Eq. (B.2), (B.3), respectively, would also define a positive direction
on the sky.
For later use we note that by the formulation of Eq. (B.2) the maximum of the fringe pattern at the origin will move to negative values of x when
is going positive from the value 0 (which a point source at the origin would have). In the coaxial case the zero crossing of the fringe pattern at the origin will, according to Eq. (B.3), move to negative values of OPD for an increasing
.
Derivation from more general principles.
Equations (B.2) and (B.3), though plausible, deserve some justification in detail, in particular, to verify the sign of the angle
To relate positions on the sky to the instrumentally available internal OPD
,
we consider the viewing direction
as the origin on the sky. We take as the zero point of OPD that value of
where a point source at this origin would produce the white light fringe, i.e., where the argument of the cosine in Eq. (B.4) is zero. We also note that with the accepted sign convention for the OPD (OPD = path length ``MIDI beam B'' minus path length ``MIDI beam A''), an interferometric scan with MIDI moves the internal OPD
stepwise towards more positive values, since the piezo motion is shortening d
.
In the current MIDI mechanical-geometrical setup, during such an OPD scan the corresponding position of the white light fringe on the sky moves towards the telescope that sends its light beam into the right entrance window of the MIDI dewar, when seen from the viewpoint of the incoming light (``MIDI beam B''). The FITS headers of the stored data files carry the information that allows transposition of this somewhat convolved definition into a well-defined direction on the sky, such that the phases will give well-defined information on the object. It is natural to count
positive on the sky in the direction where the corresponding white light fringe moves during an internal OPD scan. According to Eq. (B.4), this means that, because d
decreases during the scan,
as
goes positive towards telescope B.
For an extended source, we have to add the independent fringe patterns (Eq. (B.4)) contributed from all its parts, which means integrating over
,
i.e., in the plane of the sky and perpendicular to
.
The integrand then reads
Here,
is the value of the internal OPD corresponding to the white light fringe at
,
and
is an instrumental offset from the white light position (describing, e.g., the piezo scan). Since
,
the integrand simplifies to
Keeping in mind the above definition of visibility
,
and respecting
,
the integral over
refers to the integrand
which directly leads to the form
from which Eq. (B.3) follows simply by applying the
A Gedanken experiment.
We now consider a binary with the centre of light in the origin to confirm by a detailed look at the expected temporal fringe pattern that the phases determined by MIDI will have the correct sign.
On the sky we are on safe grounds: The phase would show the form of a staircase with width of the individual steps in spatial frequency u of
and the height of the steps depending on the brightness ratio. The phase will decrease with u if the companion is located at more negative
with respect to the primary. On the other hand, the binary's phase with removed linear trend - as it is determined in the instrument MIDI - corresponds to a different position, namely with the primary at the origin. The binary phase now oscillates around zero. For a companion at more negative position
than the primary, the phase will increase with u (decrease with
)
at those spatial frequency values where the maxima of the visibility amplitude are found, a simple and useful criterion.
In the instrument it looks like this: If we have a companion at slightly negative
with respect to the primary, its contribution to the temporal fringe would have a maximum slightly earlier in the OPD scan, at
.
The maximum of the combined fringe pattern
(primary plus companion) then will also be shifted to more negative values, by
Measured in units of
The treatment of phases in MIDI.
In MIDI, OPD in Eq. (B.3) is the actual optical path difference for a given individual exposure. One such exposure with the MIDI instrument gives
For the determination of phases from MIDI measurements we have to recall that the total optical path difference consists of two parts of different behaviour:
,
where the ``instrumental''
is quickly stepped through a few times the wavelength of about 10
m during an interferometric measurement and is known including its sign, while
is mostly determined by the atmosphere and is more slowly varying with a few
,
but in an unpredictable way.
The EWS part of the MIDI data reduction package MIA+EWS (Sect. 3) determines the phase by mathematically shifting each exposure as given by Eq. (B.3) to OPD zero and then averaging to obtain the complex visibility - modulus and phase (Jaffe 2004). Remembering that a shift in image space (and here also in OPD) corresponds to a phase factor in Fourier space of the form
,
we multiply (B.3) by the factor
to ``shift'' each exposure
back to position
.
Equation (B.3) now reads - expressing the sine function by exponentials and apart from factors that do not matter here - as follows:
To determine the unkown atmospheric optical path difference
where we have omitted the strongly jittering part with the factor
We remove any linear trend with u from this phase, since it would simply correspond to a position offset of the source from the origin. In addition, we remove any remaining constant term
0. Again, apart from our constant, this term could be and appears to be mostly due to differential longitudinal dispersion over the unequally long air paths of the interfering light beams and it thus mostly carries information not related to the object. Of course, subtraction of the constant term also takes care of the added ![]()
/2. This ends the determination of the phase. We note that the data reduction procedure described here preserves the sign of the phase as defined by the Fourier transform and given in Eq. (B.3).
The phases determined with MIDI on the VLTI thus are not fully complete, i.e., the constant and linear terms are set to zero. But they allow to resolve the ambiguity of where the companion in a binary is located with respect to its primary. This property of the MIDI data is needed and used in the discussion of the close binary T Tau S (Sect. 6.2).
A check by a known binary.
We wanted to check the signs of the phase derived above from ``first principles'' with an object where we assume to know the position of the companion. The close binary Z CMa, with separation of 0.1'', consists of an infrared companion and a FU Ori component (Koresko et al. 1991). At 4
Appendix C: The
Vir experiment
We got permission from ESO to prove experimentally the conclusions derived in Appendix B. As target we chose the well-studied triple system
Vir (Hummel et al. 2003; Hartkopf et al. 1992).
Vir has a composite spectral type A2IV and is formed by a close spectroscopic binary and a wide companion. The orbit of the spectroscopic binary has a semi-major axis of 7 mas and can thus only be marginally resolved by means of optical long baseline interferometry in the mid-infrared. On the other hand, the wide companion is in an orbit with a semi-major axis of 134 mas and can be well detected with a suitable baseline configuration.
The observations were performed on May 17, 2006 with the baseline UT3-UT4. The projected length was 53 m at a position angle of 113
.
According to the orbital parameters published by Hummel et al. (2003), the wide companion was at that time at a position angle of 281
and separated by 89 mas from the primary. The projected separation along the projected baseline was thus 87 mas. For the calibration of the data, observations of
Crt have been obtained right after those of
Vir. The projected baseline length was 45 m at a position angle of 130
.
In Fig. C.1, the normalised visibility (solid black) and the phase (dashed black) are shown. The modulation of the visibility is obvious, although the extremes are shifted to higher spatial frequencies when compared to the predictions by the orbital fit (Hummel et al. 2003). The latter are indicated by arrows. The MIDI measurements are best represented by a binary with a separation of about 80 mas and a flux ratio around 0.25. The visibility of such a binary model is shown as solid grey line in Fig. C.1 after multiplying it by a value of 0.8. The phase, plotted as dashed black line, shows a rising plateau (dashed grey) that is centred around the visibility maximum. The smooth transition to the next plateau occurs as expected around the visibility minimum. The change in phase can be well estimated, although the second plateau can be seen only marginally. We measure a value of
.
On the other hand, the value derived from the flux ratio of 0.25 is
,
almost identical. We thus conclude that we see in Fig. C.1 the signal of the wide binary.
With this knowledge, the conclusion drawn in Appendix B can now be tested. From Fig. C.1, one sees that the phase increases with spatial frequency (decreases with wavelength) at the visibility maximum. According to Appendix B, this is a clear sign that the companion was scanned before the primary. Looking at the headers of the files one finds that beam A was associated with UT3, while beam B is related to UT4. Since the scan is done towards beam B, its direction was towards position angle 113
.
This leaves us with the result that the companion was indeed scanned first and that the conclusion drawn in Appendix B is correct.
References
- Ábrahám, P., Leinert, C., Burkert, A., Henning, T., & Lemke, D. 2000, A&A, 354, 965 [NASA ADS] (In the text)
- Akeson, R. L., Koerner, D. W., & Jensen, E. L. N. 1998, ApJ, 505, 358 [NASA ADS] [CrossRef] (In the text)
- Akeson, R. L., Ciardi, D. R., van Belle, G. T., Creech-Eakman, M. J., & Lada, E. A. 2000, ApJ, 543, 313 [NASA ADS] [CrossRef] (In the text)
- Akeson, R. L., Ciardi, D. R., van Belle, G. T., & Creech-Eakman, M. J. 2002, ApJ, 566, 1124 [NASA ADS] [CrossRef] (In the text)
- Andrews, S. M., & Williams, J. P. 2005, ApJ, 631, 1134 [NASA ADS] [CrossRef]
- Appenzeller, I., & Mundt, R. 1989, ARA&A, 1, 291 (In the text)
- Beck, T. L., Schaefer, G. H., Simon, M., et al. 2004, ApJ, 614, 235 [NASA ADS] [CrossRef] (In the text)
- Beckwith, S. V. W., Sargent, A. I., Chini, R. S., & Guesten, R. 1990, AJ, 99, 924 [NASA ADS] [CrossRef] (In the text)
- Bessell, M. S., & Brett, J. M. 1988, PASP, 100, 1134 [NASA ADS] [CrossRef]
- Boden, A. F. 2000, in Principles of Long-Baseline Interferometry, ed. P. R. Lawson, Course notes from the 1999 Michelson Summer School (Pasadena, CA: National Aeronautics and Space Administration, Jet Propulsion Laboratory, California Institute of Technology), 9 (In the text)
- Böhm, K.-H., & Solf, J. 1994, ApJ, 430, 277 [NASA ADS] [CrossRef] (In the text)
- Bonnell, I. A. 2001, in The Formation of Binary Stars, ed. H. Zinnecker, & R. D. Mathieu, Proc. IAU Symp., 200, 23
- Bonnell, I., & Bastien, P. 1992, ApJ, 401, 654 [NASA ADS] [CrossRef]
- Bonnell, I. A., & Bate, M. R. 1994, MNRAS, 269, L45 [NASA ADS] (In the text)
- Bouwman, J., Meeus, G., de Koter, A., et al. 2001, A&A, 375, 950 [NASA ADS] [CrossRef] [EDP Sciences] (In the text)
- Bührke, T., Brugel, E. W., & Mundt, R. 1986, A&A, 163, 83 [NASA ADS] (In the text)
- D'Alessio, P., Calvet, N., & Hartmann, L. 1997, ApJ, 474, 397 [NASA ADS] [CrossRef] (In the text)
- Dorschner, J., Begemann, B., Henning, T., Jäger, C., & Mutschke, H. 1995, A&A, 300, 503 [NASA ADS] (In the text)
- Draine, B. T., & Lee, H. M. 1984, ApJ, 285, 89 [NASA ADS] [CrossRef] (In the text)
- Draine, B. T., & Malhotra, S. 1993, ApJ, 414, 632 [NASA ADS] [CrossRef] (In the text)
- Duchêne, G., Ghez, A. M., & McCabe, C. 2002, ApJ, 568, 771 [NASA ADS] [CrossRef] (In the text)
- Duchêne, G., Ghez, A. M., McCabe, C., & Ceccarelli, C. 2005, ApJ, 628, 832 [NASA ADS] [CrossRef] (In the text)
- Duchêne, G., Beust, H., Adjali, F., Konopacky, Q. M., & Ghez, A. M. 2006, A&A, 457, L9 [NASA ADS] [CrossRef] [EDP Sciences]
- Dyck, H. M., Simon, T., & Zuckerman, B. 1982, ApJ, 255, L103 [NASA ADS] [CrossRef] (In the text)
- Eislöffel, J., & Mundt, R. 1998, AJ, 115, 1554 [NASA ADS] [CrossRef] (In the text)
- Ford, E. B., Kozinsky, B., & Rasio, F. A. 2000, ApJ, 535, 385 [NASA ADS] [CrossRef] (In the text)
- Ghez, A. M., Neugebauer, G., Gorham, P. W., et al. 1991, AJ, 102, 2066 [NASA ADS] [CrossRef] (In the text)
- Gustafsson, M., Labadie, L., Herbst, T. M., & Kasper, M. 2008, A&A, 488, 235 [NASA ADS] [CrossRef] [EDP Sciences] (In the text)
- Hall, S. M., Clarke, C. J., & Pringle, J. E. 1996, MNRAS, 278, 303 [NASA ADS]
- Hartkopf, W. I., McAlister, H. A., Yang, X., & Fekel, F. C. 1992, AJ, 103, 1976 [NASA ADS] [CrossRef]
- Henning, T., & Mutschke, H. 1997, A&A, 327, 743 [NASA ADS] (In the text)
- Herbst, T. M., Robberto, M., & Beckwith, S. V. W. 1997, ApJ, 114, 744 [NASA ADS] (In the text)
- Herbst, T. M., Hartung, M., Kasper, M. E., Leinert, C., & Ratzka, T. 2007, ApJ, 134, 359 [NASA ADS] (In the text)
- Herbst, W., Booth, J. F., Chugainov, P. F., et al. 1986, ApJ, 310, L71 [NASA ADS] [CrossRef] (In the text)
- Hogerheijde, M. R., van Langevelde, H. J., Mundy, L. G., Blake, G. A., & van Dishoeck, E. F. 1997, ApJ, 490, L99 [NASA ADS] [CrossRef] (In the text)
- Hummel, C. A., Benson, J. A., Hutter, D. J., Johnston, K. J., et al. 2003, AJ, 125, 2630 [NASA ADS] [CrossRef]
- Jaffe, W. J. 2004, Proc. SPIE, 5491, 715 [NASA ADS] (In the text)
- Jäger, C., Molster, F. J., Dorschner, J., et al. 1998, A&A, 339, 904 [NASA ADS] (In the text)
- Johns-Krull, C. M. 2007, ApJ, 664, 975 [NASA ADS] [CrossRef] (In the text)
- Joy, A. H. 1945, ApJ, 102, 168 [NASA ADS] [CrossRef] (In the text)
- Kemper, F., Vriend, W. J., & Tielens, A. G. G. M. 2004, ApJ, 609, 826 [NASA ADS] [CrossRef] (In the text)
- Köhler, R. 2008, The Universe under the Microscope - Astrophysics at High Angular Resolution, J. Phys: Conf. Ser., 131, 012028
- Köhler, R., Ratzka, T., Herbst, T., & Kasper, M. 2008, A&A, 482, 929 [NASA ADS] [CrossRef] [EDP Sciences]
- Königl, A. 1991, ApJ, 370, L39 [NASA ADS] [CrossRef] (In the text)
- Koresko, C. D. 2000, ApJ, 531, L147 [NASA ADS] [CrossRef] (In the text)
- Koresko, C. D., Herbst, T. M., & Leinert, C. 1997, ApJ, 480, 741 [NASA ADS] [CrossRef] (In the text)
- Koresko, C. D., Beckwith, S. V. W., Ghez, A. M., Matthews, K., & Neugebauer, G. 1991, AJ, 102, 2073 [NASA ADS] [CrossRef] (In the text)
- Kurucz, R. L. 1992, in The Stellar Populations of Galaxies, ed. B. Barbuy, & A. Renzini, IAU Symp., 149, 225 (In the text)
- Leinert, C., Graser, U., Przygodda, F., et al. 2003a, Ap&SS, 286, 73 [NASA ADS] [CrossRef]
- Leinert, C., Graser, U., Waters, L. B. F. M., et al. 2003b, Proc. SPIE, 4838, 893 [NASA ADS]
- Leinert, C., van Boekel, R., Waters, L. B. F. M., et al. 2004, A&A, 423, 537 [NASA ADS] [CrossRef] [EDP Sciences] (In the text)
- Loinard, L., Torres, R. M., Mioduszewski, A. J., et al. 2007, ApJ, 671, 546 [NASA ADS] [CrossRef] (In the text)
- Mathis, J. S., Rumpl, W., & Nordsieck, K. H. 1977, ApJ, 217, 425 [NASA ADS] [CrossRef] (In the text)
- Men'shchikov, A. B., Henning, T., & Fischer, O. 1999, ApJ, 519, 257 [NASA ADS] [CrossRef] (In the text)
- Morel, S., Ballester, P., Bauvir, B., et al. 2004, Proc. SPIE, 5491, 1666 [NASA ADS] (In the text)
- Ossenkopf, V., & Henning, T. 1994, A&A, 291, 943 [NASA ADS] (In the text)
- Pringle, J. E. 1989, MNRAS, 239, 361 [NASA ADS]
- Przygodda, F. 2004, Ph.D. Thesis, Ruprecht-Karls-Universität Heidelberg (In the text)
- Ratzka, T. 2005, Ph.D. Thesis, Ruprecht-Karls-Universität Heidelberg (In the text)
- Ratzka, T., Leinert, C., Henning, T., et al. 2007, A&A, 471, 173 [NASA ADS] [CrossRef] [EDP Sciences] (In the text)
- Reipurth, B. 2000, AJ, 120, 3177 [NASA ADS] [CrossRef] (In the text)
- Rieke, G. H., & Lebofsky, M. J. 1985, ApJ, 288, 618 [NASA ADS] [CrossRef] (In the text)
- Schegerer, A. A., Wolf, S., Ratzka, T., & Leinert, C. 2008, A&A, 478, 779 [NASA ADS] [CrossRef] [EDP Sciences]
- Schegerer, A., Wolf, S., Voshchinnikov, N. V., Przygodda, F., & Kessler-Silacci, J. E. 2006, A&A, 456, 535 [NASA ADS] [CrossRef] [EDP Sciences] (In the text)
- Schmidt-Kaler, T. 1982, Physical parameters of the stars, ed. K. Schaifers, & H. Voigt, Landolt-Börnstein - Numerical Data and Functional Relationships in Science and Technology - New Series No. VI/2b (Berlin, Heidelberg, New York: Springer-Verlag) (In the text)
- Schräpler, R., & Henning, T. 2004, ApJ, 614, 960 [NASA ADS] [CrossRef] (In the text)
- Servoin, J. L., & Piriou, B. 1973, Phys. Stat. Sol., 55, 677 [CrossRef] (In the text)
- Skemer, A. J., Close, L. M., Hinz, P. M., et al. 2008, ApJ, 676, 1082 [NASA ADS] [CrossRef] (In the text)
- Solf, J., & Böhm, K.-H. 1999, ApJ, 523, 709 [NASA ADS] [CrossRef] (In the text)
- Stapelfeldt, K. R., Burrows, C. J., Krist, J. E., et al. 1998, ApJ, 508, 736 [NASA ADS] [CrossRef] (In the text)
- van Boekel, R., Min, M., Leinert, C., et al. 2004, Nature, 432, 479 [NASA ADS] [CrossRef] (In the text)
- Walter, F. M., Herczeg, G., Brown, A., et al. 2003, AJ, 126, 3076 [NASA ADS] [CrossRef] (In the text)
- Weingartner, J. C., & Draine, B. T. 2001, ApJ, 548, 296 [NASA ADS] [CrossRef] (In the text)
- White, R. J., & Ghez, A. M. 2001, ApJ, 556, 265 [NASA ADS] [CrossRef]
- Whitworth, A. P. 2001, in The Formation of Binary Stars, ed. H. Zinnecker, & R. D. Mathieu, ASP, IAU Symp., 200, 33
- Wolf, S. 2003, ApJ, 582, 859 [NASA ADS] [CrossRef] (In the text)
- Wolf, S., & Hillenbrand, L. A. 2003, ApJ, 596, 603 [NASA ADS] [CrossRef]
- Wolf, S., Henning, T., & Stecklum, B. 1999, A&A, 349, 839 [NASA ADS]
- Wolf, S., Padgett, D. L., & Stapelfeldt, K. R. 2003, ApJ, 588, 373 [NASA ADS] [CrossRef]
- Zinnecker, H. 1989, in ESO Workshop on Low Mass Star Formation and Pre-Main Sequence Objects, ed. B. Reipurth, European Southern Observatory Astrophysics Symposia, 33, 447
- Zinnecker, H. 1991, in Fragmentation of Molecular Clouds and Star Formation, ed. E. Falgarone, F. Boulanger, & G. Duvert (Dordrecht: Kluwer Academic Publishers), IAU Symp., 147, 526
Footnotes
- ... T Tauri
- Based on observations with the Very Large Telescope Interferometer (VLTI, proposal 074. C-0209(A) and 077.C-0176(C)).
- ... Catalogue''
- http://www.eso.org/~arichich/download/vlticalibs-ws/
- ... calibration
- http://www.eso.org/sci/facilities/paranal/instruments/midi/tools/
- ... MIA+EWS
- http://www.strw.leidenuniv.nl/~nevec/MIDI/
- ...
![[*]](/icons/foot_motif.png)
- http://www.mpia-hd.mpg.de/MIDISOFT/
- ... mass
- The opacities used by Hogerheijde et al. (1997) are plotted for comparison in Fig. 3 as dotted curve (Hogerheijde, priv. communication). Since MC3D only provides cross sections no absolute opacities can be given.
- ...)
- Since the separation vector of the binary is almost perpendicular to the position angle of the shortest projected baseline, the binary modulation of the visibility measured with this baseline is not pronounced. A fit for the visibility therefore has not been attempted in this case.
- ... neglected
- Between 8
m and 13
m, the separation increases from 120 mas to 125 mas for the intermediate and from 102 mas to 103 mas for the longest baseline.
- ... known
- Mathematically we cannot exclude that one of the components is unresolved. But we expect that this is not the case and that the visibility of the faint component is smooth and monotonous, with no obvious maximum around 9.5
m (see the smooth trend of the visibilities observed for T Tau N and of the visibility measured perpendicular to the line connecting the components of T Tau S).
- ... basis
- In fact, we will see that for a given wavelength, the phase equality necessary for strict validity of relations (A.1) and (A.2) will be fulfilled at suitable values of the spatial frequencies.
- ...8-13
m
- At the same time, it will also give the visibility amplitude
.
All Tables
Table 1: Journal of MIDI observations.
Table 2: Photometric measurements.
Table 3: The parameters of the radiative transfer model of T Tau N.
Table 4: Results of the spectral decomposition of the MIDI spectra.
Table 5: The parameters of the radiative transfer model of T Tau Sa.
All Figures
![]() |
Figure 1:
The calibrated visibilities for T Tau N ( upper row) and T Tau S ( lower row). The errors are the calibration errors. The thick lines within the concentric rings on the right side of the individual panels represent the length and position angle of the projected baseline. Between 9.4 |
| In the text | |
![]() |
Figure 2: The spectra for the northern and the southern component together with a combined spectrum of the whole source. A spectrum obtained with Spitzer in February 2004 is drawn as dashed black line. Underlaid in grey are two spectra taken with TIMMI 2 in February 2002 (solid line) and December 2002 (dashed line). |
| In the text | |
![]() |
Figure 3:
Comparison of the mass absorption coefficients of the dust in the disc atmopshere (solid) with those of the insterstellar extinction law (diamonds) from Rieke & Lebofsky (1985). The values are given relative to the V-band. Plotted as dotted curve are the opacities provided by Ossenkopf & Henning (1994) for a gas density of
|
| In the text | |
![]() |
Figure 4:
Results of the simultaneous fit to the SED and the visibilities of T Tau N. Top left: the model (Table 3) is plotted for inclinations of
|
| In the text | |
![]() |
Figure 5:
The modelled visibilities of T Tau N for 8.4 |
| In the text | |
![]() |
Figure 6:
The spectral energy distribution for the model of T Tau N with a disc inclination of 20 |
| In the text | |
![]() |
Figure 7: Contributions of the dust species to the total flux of T Tau N ( upper left panel) and the correlated fluxes. The three different baselines are indicated. In each panel the best fit (dashed black) is plotted together with the measured spectrum (solid black). The lines above the fitted continuum (solid grey) represent the various contributions: small amorphous (dotted grey), large amorphous (dashed grey), and crystalline grains (dashed-dotted grey). |
| In the text | |
![]() |
Figure 8: The calibrated visibilities vs. spatial frequency are given by the error bars. Overplotted are the best fits (diamonds) for the measurements with the two long baselines. The lines are the linear approximations of the extended structures surrounding the components of the southern binary T Tau S. A fit for the measurement with the short baseline has not been attempted due to the limited modulation of the signal. The dashed line in the first panel shows the visibility as it is expected from the fitted parameters. A factor 0.6 has been applied. |
| In the text | |
![]() |
Figure 9:
In grey the near-infrared measurements of the positions of T Tau Sb with respect to T Tau Sa are plotted, see Köhler et al. (2008) and references therein. The ellipses represent the errors. The best-fit orbit derived by Köhler (2008) is also shown (dotted: periastron, dashed-dotted: line of nodes). The positions marked by crosses are separated by one year. Overplotted are the projected separations derived from our mid-infrared interferometric measurements and the determined relative position (black ellipse). The dashed, black ellipse is the second possible position due to the 180 |
| In the text | |
![]() |
Figure 10:
The resulting flux ratio of the correlated fluxes when averaging the two polynomials derived from the fits to the two visibilities (black). Also shown is the flux ratio when averaging the two polynomials determined by the fits to the two correlated fluxes (grey). The latter are shifted by 0.05 |
| In the text | |
![]() |
Figure 11: The total spectrum of T Tau S (grey) as well as the individual fluxes of T Tau Sa and T Tau Sb under the assumption that the average of the flux ratios given in Fig. 10 is the flux ratio of the total fluxes. Despite this approximation, the results are close to the final spectral decomposition (Fig. 14). |
| In the text | |
![]() |
Figure 12:
Results of the fit to the SED of T Tau Sb. The model (see text) is plotted for inclinations of
|
| In the text | |
![]() |
Figure 13:
Results of the simultaneous fit to the SED and the visibilities of T Tau Sa. Top left: the model (Table 5) is plotted for inclinations of
|
| In the text | |
![]() |
Figure 14:
The total spectrum of T Tau S (grey) as well as the individual fluxes of T Tau Sa and T Tau Sb as determined with the help of the modelled visibilities of T Tau Sb. Overplotted as dashed lines are fits for astronomical silicates with optical depths of
|
| In the text | |
![]() |
Figure 15:
The spectral energy distribution for the model of T Tau Sa with a disc inclination of 72 |
| In the text | |
![]() |
Figure 16:
The K-band visibility of T Tau Sa at 2.2 |
| In the text | |
![]() |
Figure 17: A sketch of the T Tau system combining results of our MIDI measurements and previous observations. The dashed ellipse labelled ``C'' indicates the emission structure found by Herbst et al. (2007). The orbits are taken from Köhler (2008). The dotted line represents the periastron, the dashed-dotted line the line of nodes. See text for further details. |
| In the text | |
![]() |
Figure 18:
Top: the modelled visibilities of T Tau Sa for 8.4 |
| In the text | |
![]() |
Figure 19: The modelled visibilities of T Tau Sa drawn as a function of the position angle of the minor axis of the disc (solid: 44 m projected baseline length, dashed: 62 m, dotted: 88 m). For comparison, the expected visibilities are plotted in the right panel. The corresponding shaded areas in the graph indicate the suitable position angles. |
| In the text | |
![]() |
Figure C.1:
The normalised visibility (solid black) and the phase (dashed black) of |
| In the text | |
Copyright ESO 2009
Current usage metrics show cumulative count of Article Views (full-text article views including HTML views, PDF and ePub downloads, according to the available data) and Abstracts Views on Vision4Press platform.
Data correspond to usage on the plateform after 2015. The current usage metrics is available 48-96 hours after online publication and is updated daily on week days.
Initial download of the metrics may take a while.


![\begin{figure}
\par\includegraphics[height=17cm,angle=90,clip]{11390a01.ps}
\end{figure}](/articles/aa/full_html/2009/29/aa11390-08/Timg108.png)
![\begin{displaymath}\rho_{\rm disc}\left(r,z\right)=\rho_0\left(R_{\star}\over r\...
...{1\over 2} \left[z\over h\left(r\right)\right]\right)\rm {\ ,}
\end{displaymath}](/articles/aa/full_html/2009/29/aa11390-08/img139.png)

![\begin{figure}
\par\includegraphics[height=8.5cm,angle=90]{11390a02.ps}
\end{figure}](/articles/aa/full_html/2009/29/aa11390-08/Timg143.png)


![\begin{figure}
\par\includegraphics[width=8.5cm,angle=0]{11390a03.ps}
\end{figure}](/articles/aa/full_html/2009/29/aa11390-08/Timg155.png)
![\begin{figure}
\par\mbox{\includegraphics[width=9.0cm,angle=0]{11390a04.ps}\incl...
...{11390c04.ps}\includegraphics[width=9.0cm,angle=0]{11390d04.ps} }
\end{figure}](/articles/aa/full_html/2009/29/aa11390-08/Timg164.png)
![\begin{figure}
\par\mbox{\includegraphics[width=5.5cm,angle=0]{11390a05.ps}\hspa...
...space{0.6cm}
\includegraphics[width=5.5cm,angle=0]{11390c05.ps} }
\end{figure}](/articles/aa/full_html/2009/29/aa11390-08/Timg165.png)
![\begin{figure}
\par\includegraphics[width=8.5cm,angle=0]{11390a06.ps}
\end{figure}](/articles/aa/full_html/2009/29/aa11390-08/Timg167.png)
![\begin{figure}
\par\mbox{\includegraphics[width=9.0cm,angle=0]{11390a07.ps}\incl...
...{11390c07.ps}\includegraphics[width=9.0cm,angle=0]{11390d07.ps} }
\end{figure}](/articles/aa/full_html/2009/29/aa11390-08/Timg168.png)




![\begin{figure}
\par\includegraphics[height=8.5cm,angle=90]{11390a08.ps}\par\incl...
...1390b08.ps}\par\includegraphics[height=8.5cm,angle=90]{11390c08.ps}
\end{figure}](/articles/aa/full_html/2009/29/aa11390-08/Timg200.png)

![\begin{figure}
\par\includegraphics[width=8.8cm,angle=0]{11390a09.ps}
\end{figure}](/articles/aa/full_html/2009/29/aa11390-08/Timg207.png)
![\begin{figure}
\par\includegraphics[height=8.8cm,angle=90]{11390a10.ps}
\end{figure}](/articles/aa/full_html/2009/29/aa11390-08/Timg208.png)
![\begin{figure}
\par\includegraphics[height=8.5cm,angle=90]{11390a11.ps}
\end{figure}](/articles/aa/full_html/2009/29/aa11390-08/Timg209.png)


![\begin{figure}
\par\includegraphics[width=9.0cm,angle=0]{11390a12.ps}
\end{figure}](/articles/aa/full_html/2009/29/aa11390-08/Timg220.png)
![\begin{figure}
\par\mbox{\includegraphics[width=9.0cm,angle=0]{11390a14.ps}\incl...
...{11390c14.ps}\includegraphics[width=9.0cm,angle=0]{11390d14.ps} }
\end{figure}](/articles/aa/full_html/2009/29/aa11390-08/Timg223.png)
![\begin{figure}
\par\includegraphics[height=8.5cm,angle=90]{11390a13.ps}
\end{figure}](/articles/aa/full_html/2009/29/aa11390-08/Timg230.png)
![\begin{figure}
\par\includegraphics[width=8.5cm,angle=0]{11390a15.ps}
\end{figure}](/articles/aa/full_html/2009/29/aa11390-08/Timg234.png)
![\begin{figure}
\par\includegraphics[height=8.0cm,angle=0]{11390a16.ps}
\end{figure}](/articles/aa/full_html/2009/29/aa11390-08/Timg239.png)
![\begin{figure}
\par\includegraphics[height=8.4cm,angle=0]{11390a17.ps}
\end{figure}](/articles/aa/full_html/2009/29/aa11390-08/Timg240.png)
![\begin{figure}
\par\mbox{\includegraphics[width=5.5cm,angle=0]{11390a18.ps}\hspa...
...space{0.6cm}
\includegraphics[width=5.5cm,angle=0]{11390f18.ps} }
\end{figure}](/articles/aa/full_html/2009/29/aa11390-08/Timg243.png)
![\begin{figure}
\par\includegraphics[width=9.0cm,angle=0]{11390a19.ps}
\end{figure}](/articles/aa/full_html/2009/29/aa11390-08/Timg251.png)

![\begin{displaymath}F_o^{\rm cor}(u) = \left\vert\int_{-\infty}^{\infty}\left[P_{...
...da}(x-s)\right] {\rm e}^{-2\pi {\rm i} ux}{\rm d}x \right\vert
\end{displaymath}](/articles/aa/full_html/2009/29/aa11390-08/img270.png)






![\begin{figure}
\par\includegraphics[height=8.5cm,angle=90]{11390a20.ps}
\end{figure}](/articles/aa/full_html/2009/29/aa11390-08/Timg351.png)