| Issue |
A&A
Volume 502, Number 3, August II 2009
|
|
|---|---|---|
| Page(s) | 817 - 832 | |
| Section | Galactic structure, stellar clusters, and populations | |
| DOI | https://doi.org/10.1051/0004-6361/200810615 | |
| Published online | 15 June 2009 | |
The photometric evolution of
dissolving star clusters
,![[*]](/icons/foot_motif.png)
II. Realistic models. Colours and M/L ratios
P. Anders1 - H. J. G. L. M. Lamers1 - H. Baumgardt2
1 - Sterrenkundig Instituut, Universiteit Utrecht, PO Box
80000, 3508 TA Utrecht, The Netherlands
2 -
Argelander Institut für Astronomie, Universität Bonn, Auf dem
Hügel 71, 53121 Bonn, Germany
Received 15 July 2008 / Accepted 14 May 2009
Abstract
Context. Evolutionary synthesis models are the primary means of constructing spectrophotometric models of stellar populations, and deriving physical parameters from observations compared with these models. One of the basic assumptions of evolutionary synthesis models has been the time-independence of the stellar mass function, apart from the successive removal of high-mass stars by stellar evolution. However, dynamical simulations of star clusters in tidal fields have demonstrated that the mass function can be changed by the preferential removal of low-mass stars from clusters.
Aims. We combine the results of dynamical simulations of star clusters in tidal fields with our evolutionary synthesis code GALEV. We extend the models to consider the total cluster disruption time as additional parameter.
Methods. Following up on our earlier work, which was based on simplifying assumptions, we reanalyse the mass-function evolution found in N-body simulations of star clusters in tidal fields, parametrise it as a function of age and total disruption time of the cluster, and use this parametrisation to compute GALEV models as a function of age, metallicity, and total cluster disruption time.
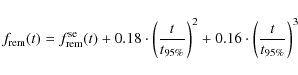
Results. We study the impact of cluster dissolution on colours (which generally become redder) and magnitudes (which become fainter) of star clusters, their mass-to-light ratios (which can deviate by a factor of
2-4 from predictions of standard models without cluster dissolution), and quantify the effect of the altered integrated photometry on cluster age determination. In most cases, clusters appear to be older than they are, where the age difference can range from 20% to 200%. By comparing our model results with observed M/L ratios for old compact objects in the mass range 104.5-108
,
we find a strong discrepancy for objects more massive than 107
,
such that observed M/L ratios are higher than predicted by our models. This could be caused either by differences in the underlying stellar mass function or be an indication of the presence of dark matter in these objects. Less massive objects are well described by the models.
Key words: Galaxy: globular clusters: general - Galaxy: open clusters and associations: general - galaxies: star clusters - methods: data analysis
1 Introduction
Since the pioneering work of Tinsley (Tinsley 1968,1980; Tinsley & Gunn 1976), evolutionary synthesis modelling has become the method-of-choice for predicting spectrophotometric properties of stellar populations. Popular models include STARBURST99 (Leitherer et al. 1999), GALAXEV (Bruzual & Charlot 2003), GALEV (Anders & Fritze-v. Alvensleben 2003; Bicker et al. 2004; Kotulla et al. 2009), PEGASE (Fioc & Rocca-Volmerange 1997), and the Maraston models (Maraston 2005), all giving predictions for single-age populations, so-called ``Simple Stellar Populations'' (SSPs). In addition, GALAXEV, PEGASE, and GALEV provide models for populations with arbitrarily extended star formation histories (SFH, like galaxies), while STARBURST99 only allows for an extended constant SFH. Comparing predictions from these models with observations allows us to derive basic physical parameters of the studied system (e.g., among many others, de Grijs & Anders 2006; Smith et al. 2007; Bicker et al. 2002; Kundu et al. 2005; Anders et al. 2004b; de Grijs et al. 2004; Kassin et al. 2003).
While the specific input physics, such as the choice of stellar isochrones and spectral libraries, the inclusion of gaseous emission, and their implementation varies among the models, some basic techniques and limitations are inherent to all of them. Specifically, a spectrum is assigned to each star along the isochrone, weighted according to a chosen stellar initial mass function (IMF) and all of these spectra are then integrated along the isochrone (and over the SFH, if applicable), to predict the integrated properties of the stellar population at a given age. For all currently available models, the stellar mass function (MF) is time-independently fixed at its initial value, the IMF.
Cluster disruption
has become a well-studied phenomenon. It can be
observed both in the earliest phases of a cluster's life (the so-called
``infant mortality'' caused by the removal of gas left over from the
cluster formation process by stellar winds and/or the first supernovae,
see e.g. Lada & Lada 2003; Bastian & Goodwin 2006) and for old
clusters (e.g., the prominent tidal tails of the Milky Way globular
cluster Palomar 5, Odenkirchen et al. 2003). Age and mass
distributions of an entire star cluster system can be used to
determine the typical disruption time of clusters of a given mass in
this cluster system (Boutloukos & Lamers 2003; Lamers et al. 2005b; Gieles et al. 2005). This cluster disruption time is predominantly
determined by the external tidal field that the cluster is experiencing
(see Lamers et al. 2005b), the local density of giant
molecular clouds (Gieles et al. 2006), and the occurrence of
spiral arm passages
(Gieles et al. 2007). In addition, the
cluster loses mass due to stellar evolution. While in the case of
``infant mortality'', the cluster is likely (almost) completely
disrupted (although a bound core might remain, see e.g.,
Bastian & Goodwin 2006, for ``infant weight loss''), cluster
dissolution in a smooth external tidal field is a more gradual process
accompanied by perpetual dynamical readjustment within the cluster. The
latter is characterised by a mass-dependent probability to remove a star
from a cluster: because of energy equipartition, massive stars tend to
sink towards the cluster centre, while low-mass stars are driven
outwards where they are more easily removed by the surrounding tidal
field (Spitzer & Shull 1975; Henon 1969; Giersz & Heggie 1997). The resulting radial dependence of the mean
stellar mass inside a cluster is called ``mass segregation''. Mass
segregation established by the very star formation process itself is
referred to as ``primordial mass segregation'' (for observational
evidence of ``primordial mass segregation'', see e.g.
Gouliermis et al. 2004; Chen et al. 2007).
Baumgardt & Makino (2003, hereafter: BM03) performed the first (and,
so far, most extensive) quantitative large-scale study of how the
stellar MF inside a star cluster changes because of dynamical cluster
evolution in a tidal field. They confirmed earlier findings of a
preferential loss of low-mass stars and derived a formula describing the
change in MF slope for low-mass stars. However, their derived formula
(formula (13) in BM03) applies only to stars with masses
0.5
,
while the effect is pronounced also for higher-mass stars
(see BM03 Fig. 7), which dominate the flux emerging from the cluster
(for ages shorter than a Hubble time). BM03 performed their simulations
for clusters that are not primordially mass-segregated. In
Baumgardt et al. (2008), they also studied the dissolution of
initially mass-segregated clusters (with a simplified initial setup
that differs from the BM03 simulations, hence we cannot combine these sets
of simulations), finding an even stronger MF evolution than BM03.
Marks et al. (2008) studied the evolution of the stellar MF
inside star clusters during the gas removal/``infant weight loss''
phase, and found it to also preferentially remove low-mass stars,
leading to a flattening or even turning-over of the MF. This effect is
most pronounced for initially mass-segregated clusters, and would be
amplified by the later dynamical cluster evolution, as presented in
BM03. Although their results cannot be straightforwardly combined with
the BM03 results (due to differences in model setups), both studies
suggest even further enhancement of the effects studied in this paper.
In Lamers et al. (2006), we constructed simplified evolutionary
synthesis models for solar metallicity, based on the GALEV models
and the results from BM03. The main simplification concerned the
description of the changing (logarithmic) MF, which we modelled with
fixed slopes, but a time-dependent lower mass limit (i.e., assuming that
only the lowest-mass stars are removed from the cluster, while
higher-mass stars might only be removed by stellar evolution). We scaled
our models to match the total mass in stars with
with
the BM03 simulations.
This approach was improved by Kruijssen & Lamers (2008) who incorporated the effects of stellar remnants and produced cluster models of different initial masses, different total disruption times and a range of metallicities. They showed that the presence of stellar remnants plays a dominant role in the mass evolution of the clusters and therefore also in the evolution of the mass-to-light ratio. They also found that metallicity affects the colour evolution of the clusters, not only by the difference in the colours of the stars, but also by influencing the cluster dynamics due to the sensitivity of stellar mass and remnant formation on metallicity. They determined colours and mass-to-light ratios for a range of metallicities. Kruijssen (2008) compared these predicted mass-to-light ratios with the observed ones for cluster samples in different galaxies (Milky Way, Cen A, M 31, and LMC) and found that the effects of mass segregation (and the associated preferential loss of low-mass stars) can explain the observed range much better than the range predicted by standard SSP models. Since the models of Kruijssen & Lamers (2008) are based on the simplified assumption that only the lowest-mass stars are removed from the cluster, they can be improved by models in which the mass function changes in a more physically realistic manner, i.e. the slope of the (logarithmic) mass function changes in a way derived from dynamical N-body simulations. This is the purpose of this paper.
We describe our input physics in Sect. 2. In particular, we reanalyse the data presented in BM03 to derive formulae parametrising the changing mass function (Sect. 2.3). In Sect. 3 we present our new evolutionary synthesis models, and discuss their implications for determinations of mass-to-light (M/L) ratios and cluster ages from observations. In Sect. 4, we present a comparison with previous models (Kruijssen & Lamers 2008; Lamers et al. 2006) and investigate the impact of model uncertainties (fit uncertainties, initial-final mass relations, and isochrones). We finish with our conclusions in Sect. 5.
2 Input physics
In this section we will summarise the input physics of the new star cluster models. This includes: the N-body simulations considered (Sect. 2.1), the definition and calculation of the cluster masses (Sect. 2.2), and the parametrisation of the changing mass function (Sect. 2.3).
2.1 N-body simulations by BM03
BM03 carried out a parameter study of the dynamical evolution of clusters dissolving in a tidal field. They studied clusters with a range of particle numbers (8 k-128 k, i.e., a range in cluster mass) on circular and elliptical orbits at different Galactocentric distances (i.e., strengths of the surrounding gravitational field). They accounted for mass lost due to stellar evolution (using fit formulae by Hurley et al. 2000), two-body relaxation, and the external tidal field.
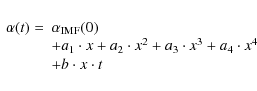
They initialised their clusters with a universal
Kroupa (2001) IMF, which is of the form:
![]() |
(1) |
with masses in the range
The MFs provided by BM03 are of single stars, where dynamically created binaries are resolved in their components. They provide the MF for the entire cluster (i.e., for all stars within the tidal radius). This MF compares well with the MF around the half-mass radius of the cluster, as shown by BM03.
BM03 do not take into account primordial mass segregation and primordial binaries. However, primordial mass segregation is found to increase even further the changes in the MFs found by BM03 (see Baumgardt et al. 2008). Primordial binaries seem to have little impact on the stars evaporating slowly from a cluster (see Küpper et al. 2008), but enhance the number of stars violently ejected during strong binary interactions. However, the latter are still only a small fraction of the stars leaving the cluster, hence we expect little changes in our conclusions if simulations with primordial binaries are included in our studies.
BM03 do not include an intermediate-mass black hole (IMBH) in the cluster. Gill et al. (2008) found that the presence of an IMBH reduces mass segregation in the centre, which might also influence the mass loss from star clusters, although this has still not been shown. In addition, the existence of IMBHs in star clusters remains unclear (see e.g. Maccarone & Servillat 2008).
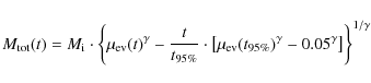
2.2 Total cluster disruption time and the total cluster mass
In a way similar to BM03, we identify the ``total cluster disruption
time'' with the time when only 5% of the initial cluster mass remains
bound. To avoid confusion, we specifically label this time
,
i.e., the time when the cluster has lost 95% of its initial
mass. However, we provide our models for ages up to the point where a
cluster with an initial mass of 106
has lost all but 102
of its luminous mass (or to a maximum age of 16 Gyr,
whichever occurs first). This termination age of the cluster models is
20-26% longer than the cluster disruption time
(for models with termination ages <16 Gyr, see Fig. 5, bottom panel).
As defined by Boutloukos & Lamers (2003) and
Lamers et al. (2005b), we use
), the total disruption time of a
104
star
cluster, as a rough proxy for characterising the strength of the
gravitational field surrounding a cluster: the stronger the field the
faster the cluster will dissolve, and the shorter t4. Using the
implicit equation
![]() |
(2) |
for the total disruption time
The total cluster mass as a function of the fractional age
is derived from Eq. (6) in Lamers et al. (2005a), who
also show good agreement with the data from BM03:
where
is the initial cluster mass. The
stellar evolution part of this equation was taken directly from the
GALEV models used in the remainder of this work (for details see
below). Since the total disruption time of clusters in a given
environment (e.g. tidal field) depends on the initial cluster mass, Eq. (3) can also be used to calculate the initial cluster mass
for an observed present-day total mass and adopted
.
The mass fraction in stellar remnants is taken from BM03 (their Eq. (16)):
![]() |
(4) |
where
The luminous mass is then
| (5) |
2.3 Parametrising the time-dependence of the mass function
Throughout the paper, we consider the logarithm of the logarithmically binned mass function (MF). Hence, for a Salpeter (1955) IMF, the power-law index -2.35 becomes a linear slope of -1.35.
To parametrise the changes in the (logarithmic) mass function, we
- took the MF data from BM03
- divided these by the IMF (by doing so we remove the power law break
at 0.5
in the Kroupa 2001 IMF)
- skipped the 2 highest not-empty mass bins (since those are
affected and partially emptied by stellar evolution), and
- fitted the remainder with a piecewise power law, independently for every simulation and age.
![]() |
Figure 1:
Dependence of MF slopes ( top panel: for stellar masses
|
| Open with DEXTER | |
Table 1:
The best-fit coefficients for Eq. (6). The middle
column gives the coefficients for the low-mass end of the MF for masses
0.3
.
The right column gives the coefficients for masses
>0.3
.
The time evolution of the MF slopes can be expressed as
where ``t'' is the cluster age in Myr, while ``x'' =
is the fractional cluster age in units of its total disruption time. The
best-fit coefficients are provided in Table 1. These fit
parameters have a very high formal accuracy, because of the large number
of data points used in the fit. However, the spread of N-body models
around our best fit is the dominant source of uncertainty (see below
and Sect. 4.1). We therefore omit the formal fit
uncertainties in Table 1.
In Fig. 1, we overplot our fit formulae for 4 disruption times
(1 Gyr, 5 Gyr, 8 Gyr, and 30 Gyr), which
are representative of the chosen grouping in disruption time.
We restrict the fitting to ages
,
since in many
cases clusters with older ages do not contain enough stars to determine
the MF slopes with reasonable accuracy. However, the general trends
continue beyond
,
following the fitted relation further
on, allowing an extrapolation for ages >
(see Fig. 1).
In addition, we take into account only simulations started with 32 k or more particles (these simulations have total disruption times in the range 2.3-25.5 Gyr), since many simulations with lower particle numbers show substantial uncertainties in the determined MF slopes.
We emphasize that considering all simulations with either 16 k or more
particles or 64 k or more particles yield fitted slopes that deviate from
the 32 k results by less than
0.1 for ages of up to at least
1.3
.
Considering also 8 k simulations or only the
128 k simulations yields larger deviations, due to the large run-to-run
scatter and small amount of data/coverage of parameter space,
respectively.
On average, the spread in the BM03 simulation results around the
fitted relation Eq. (6) is of the order of 15%, as
shown in Figs. 2 and 3. For
ages
,
these relative deviations
are larger, however, the absolute deviations of the
data from the fit formulae are small (of the order of
slope = 0.02-0.03). The impact of this uncertainty is discussed further in
Sect. 4.1.
Although the BM03 simulations are performed for a metallicity Z=0.001(using the fitting formulae from Hurley et al. 2000), we use Eq. (6) for all metallicities, assuming the metallicity to - at most - introduce second-order effects on the cluster dynamics. This is supported by Hurley et al. (2004), who found that metallicity effects largely cancel each other, resulting in a weak overall metallicity dependence of cluster dynamics (although details are metallicity-sensitive).
![]() |
Figure 2:
Dependence of MF slope on the age (in Myr) of the cluster for
stellar masses |
| Open with DEXTER | |
![]() |
Figure 3:
Same as Fig. 2, but for stellar masses
>0.3 |
| Open with DEXTER | |
2.4 The GALEV models
The GALEV models are extensively described in Schulz et al. (2002), Anders & Fritze-v. Alvensleben (2003), and Bicker et al. (2004). We provide here only a brief summary of the relevant input physics used.
The GALEV models used in this work are based on isochrones from
the Padova group, first presented in Bertelli et al. (1994), and
subsequently updated to include the TP-AGB phase
. This update, although not documented in a
refereed publication, was made publicly available approximately in 1999,
and treats the TP-AGB phase as later described in
Girardi et al. (2000). Since we concentrate mainly on the
evolution of old stellar clusters, the Padova isochrones were chosen
instead of the Geneva isochrones (Schaller et al. 1992). We
want to emphasize (and stimulate discussion amongst the various groups
of stellar evolution modellers) that the isochrone sets by
Bertelli et al. (1994) and Schaller et al. (1992) (and
associated papers) are the only available isochrones that cover
stellar evolution (in a consistent way) until its final stages as
well as a mass range up to
120
required to correctly
model ongoing star formation in galaxies. (For further discussion of
this point see Sect. 4.3.) For consistency with the
BM03 simulations we use a Kroupa (2001) IMF.
At each age, the time-dependent MF is evaluated using Eq. (6) for the appropriate total disruption time
.
To each star from the isochrones we assign the appropriate
spectrum from the BaSeL library
(Lejeune et al. 1997,1998) and a weight
according to the time-dependent MF. The integrated spectra is then
obtained by summing up the contributions from the individual stars.
Here, we assume a well-populated MF, hence any stochastic effects caused
by small number statistics, especially at the high-mass end of the MF,
are neglected, and we model an average star cluster.
The treatment of stochastic effects is beyond the scope of this paper. Their impact was studied in depth by Cerviño and collaborators (see e.g., Cerviño & Mollá 2002; Cerviño & Luridiana 2004,2006) and Fagiolini et al. (2007), who found these effects to be strongly age- and wavelength-dependent. The strongest impact was found for red passbands, which are dominated by a few red supergiants (young clusters) or very bright upper RGB and AGB stars (intermediate-age clusters). For non-dissolving clusters, the impact was found to become smaller for older ages. However, the decreasing number of stars with age in our dissolving cluster models probably cancels this reduction. We therefore discourage users against applying our models to single clusters. The models represent average star clusters of the given parameters, hence should be applied to a complete star cluster system.
More generally, small number statistics is the likely origin of the scatter seen in Figs. 2 and 3. However, as we use 19 BM03 models with a variety of parameters (i.e. total masses and dissolution times) to model the dissolution we can describe the average cluster dissolution. The impact of the spread seen in Figs. 2 and 3 will be discussed in more detail in Sect. 4.1.
Because of computational restrictions, we calculated individual models
only for MF slopes with 2 decimal places. If at any given age the MF
slopes were identical to within these 2 decimal places with the MF
slopes of a previously computed model, we reused this older model. Due
to this finite step-size, some cluster colours exhibit small jumps for
successive ages of the order of
0.001 mag (up to 0.004 mag in the
most extreme cases).
The spectrophotometry is normalised to a luminous cluster mass as described in Sect. 2.2.
We calculate models for
![]()
- in the range of 100-900 Myr: in 50 Myr steps
- in the range of 1-16 Gyr: in 500 Myr steps
- for
= 18, 20, 25, 30, 40, 60, 100, 150 and 200 Gyr
- Z=0.0004
[Fe/H] = - 1.7;
- Z=0.004
[Fe/H] = - 0.7;
- Z=0.008
[Fe/H] = - 0.4;
-
[Fe/H] = 0.0;
- Z=0.05
[Fe/H] = + 0.4.
We provide the user with integrated cluster magnitudes in a variety of
passbands and cluster masses (total mass, luminous mass, and mass in
stellar remnants) for each of the models. Integrated spectra are
available upon request
.
3 Results and implications
We present our new models for solar metallicity (unless stated
otherwise) and discuss their implications
. We
would like to emphasize that the absolute values of our models (and
therefore also the results and implications discussed in this section)
depend on our choice of isochrones and other input physics. In
Sect. 4 we discuss some of these uncertainties. The main
results, the systematic differences induced by the preferential mass
loss, are hardly changed.
![]() |
Figure 4:
Solar metallicity models with the changing mass function
treatment, following Eq. (6) with
|
| Open with DEXTER | |
3.1 Photometry
The photometry for the new models is shown in Fig. 4. The
colours are shown as differences between the new models with a changing
MF and the standard models with a fixed (initial) MF. For illustrative
purposes, in the bottom left panel the absolute values of the V-Icolour are presented. The V-band magnitude evolution (bottom right
panel) is given in absolute magnitudes for a 106
cluster.
The V-band magnitude evolution shows the stellar evolution fading line
as bright limit to the new models, which they follow for young ages,
when the effect of mass loss is not yet pronounced. After
10% of
their respective total disruption times, the new models have already
evolved 0.1 mag away from the fiducial fading line, due to the loss of
stars. At
80% (
10%, depending on the model) of their
respective total disruption times, the new models are 1 mag fainter than
standard models predict, due to the loss of stars.
Except for the very earliest stages of cluster evolution (the first few Myr), the flux in passbands redder than the V band is dominated by stars initially more massive than the main contributors to the flux in bluer passbands. This is caused by the flux in the red passbands being dominated by red (super)giants, which are more luminous than the stars at the low-mass end of the main sequence (MS), even after taking into account the higher number of low-mass MS stars provided by the IMF. For a changing MF due to dynamical evolution, the contribution from low-mass MS stars is even further reduced.
The dominant source of flux contribution in passbands including and bluewards of the V band is a strong function of time: at early stages, the flux is dominated by mid-MS stars (the evolution through the Hertzsprung gap is too fast to contribute significantly). As the cluster ages, the MS turn-off (MSTO) shifts successively redwards through the filters, ever increasing its contribution to the band's flux. However, the relative contribution of mid-MS stars and MSTO stars is also strongly dependent on the MF, and hence is dependent on the total disruption time of our models.
Since the selective mass loss preferentially removes the least massive stars from the cluster (and therefore its integrated photometry), it causes the cluster to become generally redder than the standard models without cluster dissolution (i.e., with infinite total cluster disruption time). The MF evolution and the resulting reddening speeds up while the cluster approaches its final disruption, leading to the steep colour evolutions towards the end of a cluster's lifetime, as seen in Fig. 4.
Two exceptions are noted:
- the colour U-B (and similar colours) becomes bluer than the
standard models for total disruption times shorter than
1 Gyr. At
these ages, the B band is dominated entirely by mid-MS stars, while
bluer bands contain contributions from the higher MS stars and the MSTO
stars. Since the mid-MS is depopulated more significantly than the upper
MS and MSTO because of the dynamical cluster evolution, the colours
become bluer. For longer total disruption times the mid-MS is not
sufficiently depopulated to be affected by this effect until the B band
becomes sensitive to the contributions of the MSTO stars. Redder
passbands are unaffected by this effect because they are more sensitive
to the contributions of bright red (super-)giants.
- for colours such as V-R and V-I and ages
6 Gyr, the models
become slightly bluer than the standard models for total disruption
times
10 Gyr. This is probably caused by the strong depopulation
of the lower MS (and the standard IMF containing a high number of stars
at low masses), which leaves an imprint even though a single lower-MS
star is 3-4 mag fainter than an RGB/AGB star of similar temperature.
Redder passbands are unaffected because the magnitude difference
between lower-MS stars and RGB/AGB stars increases with increasing
wavelength and decreasing temperature, and the total contribution from MS
stars decreases.
- for such old ages, the MF covers only a narrow mass range in both cases;
- the integrated cluster flux is dominated by the upper-RGB/AGB stars, since they are significantly brighter than the MSTO region (the magnitude difference between upper-RGB/AGB and MSTO increases with time), resulting in an even narrower ``effectively visible MF'' range;
- the temperature range that these stars cover is significantly smaller than at younger ages, resulting in a lower sensitivity of the colours to the exact distributions of stars along the isochrone.
The increasing maximum colour deviation in our dissolving clusters
models from the standard models for blue passbands and increasing total
disruption times
1 Gyr originates from the redward shifting of
the MSTO through the filters.
![]() |
Figure 5:
Same models as Fig. 4, but M/L ratios.
Upper panel: time evolution of V-band M/L ratio for the new models.
Middle panel: ratio of new model's V-band M/L ratio and
V-band M/L ratio from
standard models. The non-dissolving/standard model is shown as thick
line. Bottom panel: characteristic times of the models as function of
total disruption time: black crosses and line = age at which the cluster
contains only 100 |
| Open with DEXTER | |
![]() |
Figure 6: Top panel: time evolution of V-band M/L ratio (for solar metallicity) as a function of present-day cluster mass for a fixed local gravitational field strength characteristic for the Solar Neighbourhood (i.e. t4=1.3 Gyr, see Lamers et al. 2005a). Middle panel: V-band M/L ratio (for solar metallicity) as a function of present-day cluster mass for a range of local gravitational field strengths for clusters observed at an age of 12 Gyr. Bottom panel: V-band M/L ratio as a function of present-day cluster mass for a range in metallicity for clusters observed at an age of 12 Gyr and experiencing a typical disruption time t4=1.3 Gyr. In the top panel, observations from McLaughlin & van der Marel (2005) (MM05) and from Larsen & Richtler 2004; Larsen et al. 2004 are overplotted, for young clusters with ages < 1 Gyr. |
| Open with DEXTER | |
The low-mass stars preferentially removed in the course of cluster
dissolution have mass-to-light (M/L) ratios that are higher than the M/L
ratio of the average cluster star. On the other hand, as shown by BM03,
the fraction of (non-luminous) stellar remnants in dissolving clusters
is enhanced in relation to the standard models. These effects partially
cancel each other and lead to the time-dependent M/L ratios shown in
Fig. 5, which demonstrates that for each total
disruption time the M/L ratio of our dissolving cluster models is
systematically lower than a standard model would suggest for the
majority of a cluster's total disruption time. During the final stages
of cluster dissolution (up to
16% of a cluster's total disruption
time), the M/L ratio can become enhanced compared to the standard models
(see Fig. 5, bottom panel), because of the increasing
fraction of stellar remnants inside the cluster.
In Fig. 6, we present the dependence of the V-band M/L
ratio on the present cluster mass. The top panel shows how this relation
evolves with cluster age at a field strength (i.e., location in a galaxy
as characterised by t4, the total disruption time of a 104
cluster described in Sect. 2.2) that is
representative of the Solar Neighbourhood, as found by
Lamers et al. (2005a). As the clusters evolve, the M/L ratio
generally increases due to stellar evolution. In addition, the
lowest-mass clusters eventually disrupt (and drop out of this plot). The
highest-mass clusters lose mass, but still have M/L ratios close to the
canonical value for stellar evolution. Intermediate-mass clusters are
affected most by the changing mass function, which reduces their M/L
ratio significantly compared to the canonical value. A few cases of
enhanced M/L ratios can be seen for clusters close to final disruption
(at the low-mass end of the curves).
In Fig. 6, (top panel) we overplotted data of young
(ages < 1 Gyr) LMC and SMC clusters by McLaughlin & van der Marel (2005)
(labelled ``MM05'', for details of this dataset see following
subsection) and Larsen and collaborators (labelled ``Larsen'') in
4 spiral and irregular galaxies, (see Larsen & Richtler 2004 and
Larsen et al. 2004). Out of the 13 clusters in these samples,
8 have M/L ratios consistent with our models for their respective ages
(within their 1
uncertainty ranges). The remaining 5 clusters
all have too high M/L ratios for their respective ages. Two clusters are
very young (
10 Myr), and hence could be out of equilibrium during
their gas expulsion and readjustment phase, and their velocity
dispersions might not trace their dynamical masses (see
Goodwin & Bastian 2006). The deviations from the model
predictions of the remaining clusters might be indications of errors in
the models, or could be signs that the age determination is uncertain or
the velocity dispersions are seriously affected by the orbital motions
of binaries or other systematic observational effects, such as
macroturbulence in the stellar atmospheres or instrumental resolution.
The middle panel shows the M/L ratio in the V band as a function of the
present-day mass of 12 Gyr old clusters, for a range of gravitational
field strengths (i.e., typical disruption times t4). Within each line,
the cluster's total disruption time ranges from 10 Gyr (low mass end;
clusters with shorter total disruption times have been disrupted by an
age of 12 Gyr) to 200 Gyr (upper end of available total disruption time
range). For example, a cluster located at a position in a galaxy
characterised by a field strength at t4 = 1.3 Gyr (i.e., the blue
line, corresponding to the environment in the Solar Neighbourhood),
observed now (i.e., at an age of 12 Gyr) with a
mass = 106
,
is expected to have a
of
4, while a cluster with a
mass = 104
has a model
of
2.3.
The bottom panel shows the impact of metallicity on the M/L ratios: with
increasing metallicity, the M/L
ratio based on stellar
evolution increases. Therefore, all curves reach higher M/L
ratios at higher metallicities, while the shape of the curves is largely
unaffected. At the high-mass end, all curves become constant at their
respective values determined by stellar evolution alone. By comparing
the top and bottom panels of Fig. 6, both for our new
models and the non-dissolving standard models, the well-known
age-metallicity degeneracy is apparent (see e.g.,
Worthey 1994).
Since the GALEV code (as most other evolutionary synthesis codes) is incapable of directly dealing with stochastic effects (especially the stochastic effects inherent to the selective mass loss caused by dissolution), we employ the following estimation scheme:
- we assume, that the majority of stochasticity originates in evolved stars (mainly RGB, and AGB stars);
- as a function of age, we determine the ratio of evolved to unevolved stars (i.e., MS stars);
- from this ratio, we determine the total number of evolved stars for clusters of different masses, and the stochastic scatter (i.e., the square root of the total number of evolved stars);
- we determine average properties of the evolved stars (mean effective temperature, mean log (g), and mean luminosity);
- We multiply the stochastic scatter by the spectrum of the mean evolved star, and either add or subtract this from our standard spectrum.
Our results show features similar to those presented by Kruijssen & Lamers (2008) and applied by Kruijssen (2008). However, systematic differences are present, inherent to the underlying assumptions, and discussed in Sect. 4.4.
![]() |
Figure 7:
Observations of old ( |
| Open with DEXTER | |
3.2 Mass-to-light ratios
3.2.1 Comparison with observations
We compare our new models with old globular clusters (and other old massive stellar systems) in the Milky Way and other galaxies. This is a first step in validating our models.
Figure 7 compares our new models with observational data from McLaughlin & van der Marel (2005) and Mieske et al. (2008). The colour coding of the data refers to their metallicity:
- blue = [Fe/H] < -1.2 = ``MP'' (metal-poor);
- green = -1.2
[Fe/H] < -0.55 = ``IM''
(intermediate metallicity);
- red = -0.55
[Fe/H] < -0.2 = ``MR'' (metal-rich);
- magenta = -0.2
[Fe/H] = ``SO'' (around solar).
Overplotted are 2 sets of models for metallicities in the range from [Fe/H]= -1.7 to 0.0 (as is appropriate for the shown observational data), for cluster ages of 12 Gyr, and local tidal field strengths at t4 = 5 Gyr (upper/left branches of models of a given metallicity, representative for halo clusters) and t4 = 300 Myr (lower/right branches, representative for strong dissolution). The main point of the comparison is to illustrate the range of M/LV values that can be described by our models. As can be seen in Fig. 7, most Galactic GCs have M/L values compatible with our predictions and many, especially low-mass ones are below those of the standard isochrones. The estimated uncertainties of a few per cent, as estimated above for clusters in this mass range, are insufficient to bring the observations into agreement with the standard predictions from stellar evolution alone. We take this as clear evidence for cluster evolution/dissolution and that our evolving cluster models are a clear improvement over standard isochrone fitting for GCs.
Data for the Milky Way and the LMC are taken from McLaughlin & van der Marel (2005), the most extensive homogenised compilation of star cluster M/L ratios (which provides also other star cluster properties) for these galaxies. The majority of the data for the Milky Way was originally published by Pryor & Meylan (1993). Pryor & Meylan (1993) found a weak correlation between M/L ratio and mass, consistent with our models, but with large scatter and uncertainties (on average about 50-60%) and M/L ratios outside the accessible range of our models for some of their sample clusters (McLaughlin & van der Marel 2005 do not elaborate on this dependence). They found no significant correlation of M/L ratio with the distance of the cluster from the Galactic centre or the Galactic plane, in contrast to what might be expected from the BM03 simulations and our models (although the mixture of clusters with different masses at different Galactocentric radii, i.e., experiencing different tidal field strengths, could erase any correlation). However, the present-day cluster position within the Galaxy is probably less important to the total disruption time (and therefore the M/L ratio evolution) than the perigalactic distance and the number of past disk passages, which are unknown for most clusters. In addition, stochastic effects of the MF could induce additional scatter. The error bars are too large to enable us to identify a clear trend of M/L ratio with metallicity.
Of the 52 old clusters all but 8 are consistent within their 1
ranges with models for [Fe/H] = -1.7 or [Fe/H] = -0.7. All of these
8 clusters have significantly too low M/L ratios. NGC 2419
and NGC 4590 both have
metallicities
below
[Fe/H] = -1.7, the lowest metallicity for which we can provide models. Those
clusters could possibly be explained by models of even lower
metallicity. For the other clusters (NGC 5272, NGC 5286, NGC 5904,
NGC 6366, NGC 6715, NGC 7089), no immediate explanation (apart from
underestimated observational uncertainties or the impact of the unknown
perigalactic distance and past disk passages) is apparent. However, our
new models represent a significant improvement: while 6 clusters are
inconsistent with our new models, 21 clusters are inconsistent with the
standard constant-M/L models.
![]() |
Figure 8:
Observations of old ( |
| Open with DEXTER | |
Another way of analysing the properties of Milky Way globular clusters
is shown in Fig. 8, where we compare their dereddened
V-I colours (taken from the Harris catalogue) with their M/LV ratios (as given by McLaughlin & van der Marel 2005). We overplot our
models for a cluster age of 12 Gyr. The models with the longest
disruption time are equivalent to the standard/non-dissolving model
(marked with the red asterix). For decreasing disruption time, the
models' M/L ratios drop, before drastically increasing again at the
final stages of dissolution. We restrict this analysis to metal-poor
clusters (
), since the number of
higher-metallicity clusters with the required data is too low to draw
strong conclusions. We find good agreement between the observational
data and our models for these clusters in terms of their
M/LV ratios: the observational data are clearly spread over a wider range
than the standard model could account for, while our new models cover
this range in a far more comprehensive way. However, the
observed cluster colours span a wide range in V-I (although no colour
uncertainties are available), which we cannot fully account for with
our models. Our models might be about 0.05 mag too red for the
observations. This could originate from our choice of isochrones (see
Sect. 4.3, where we find that other isochrones infer
results that are bluer than our set of isochrones). However, the other
isochrones are then bluer than the observations, again by
0.05 mag. Other possible causes include uncertainties in the
reddening estimates, and filter curve mismatch.
![]() |
Figure 9:
Derived ages of dissolving star clusters with t
|
| Open with DEXTER | |
Data for massive star clusters in NGC 5128 (= Cen A) as well as massive objects (commonly referred to as ``Ultra-Compact Dwarf galaxies'' = UCDs) in the Virgo and Fornax galaxy cluster are taken from Mieske et al. (2008). These data include earlier observations by Rejkuba et al. (2007) for the star clusters in Cen A, and observations by a variety of authors for the UCDs (see Mieske et al. 2008, for details). While data for 27 of these clusters are not consistent with our new models, 47 clusters are not consistent with the standard constant-M/L models. Also for this sample, the new models provide significantly more accurate predictions.
We therefore conclude that the data of the samples are better described by our new models with preferential loss of low-mass stars, and we witness ongoing cluster dissolution. In future cluster modelling, this effect must clearly be taken into account.
Nonetheless, the sample of massive Cen A clusters and UCDs shows a very
clear and strong trend of increasing M/L ratio with object mass,
especially for metal-poor/intermediate metallicity objects (metal-rich
objects are reasonably well covered by our models, except for the Virgo
cluster UCD S490). This trend cannot be reproduced by our models: for
masses higher than
107
only 3 out of 12 objects
are consistent with our models within their respective 1
uncertainties (one further object is marginally consistent). These
massive systems are not expected to be mass-segregated because of their
large relaxation time, let alone close to disruption (which in our
models is the only possible way of reaching M/L ratios higher than
predicted by standard stellar evolution). While the models do have
inherent sources of uncertainties (e.g., the assumed initial-final mass
relation for remnants, uncertainties in the underlying stellar
isochrones, which will be studied in more detail in Sect. 4), they are unlikely to increase the model M/L
ratios sufficiently to accommodate a significant fraction of the
currently unexplained observations (especially without removing the
agreement for objects of lower M/L ratios). Two possible explanations
for the high M/L ratios would remain: either a stellar mass function
that deviates significantly from the universal
Kroupa (2001) IMF (see also
Dabringhausen et al. 2008; Mieske & Kroupa 2008), or dark matter (see
Baumgardt & Mieske 2008, for how dark matter can explain the high
M/L ratios of UCDs).
3.3 Impact on age determination
Evolutionary synthesis models are regularly used to derive the physical
parameters of star clusters (and galaxies) from observed
spectrophotometry. The derived quantities are age, mass and metallicity
of the star cluster as well as the extinction in front of the star
cluster (see e.g., among many others,
de Grijs & Anders 2006; Smith et al. 2007; Bicker et al. 2002; Kundu et al. 2005; Anders et al. 2004b; de Grijs et al. 2004; Kassin et al. 2003). Our GALEV models provide a model grid of
SEDs as a function of age, metallicity, and dust extinction. The
``AnalySED tool'' (which we developed and tested in
Anders et al. 2004a) compares these model SEDs with the
observed SED of a star cluster using a
algorithm, to derive
the best-fit model parameter combination and their respective
uncertainty ranges from integrated multi-band cluster photometry.
We employ here the ``AnalySED tool'' to quantify the differences
between the true ages of dissolving clusters (with a time-dependent MF)
and the ages derived using the standard evolutionary synthesis models
(with a MF fixed to the IMF slopes). We take the cluster photometry
from the dissolving cluster models (for a number of filter
combinations), apply Gaussian noise (with
mag) to the
photometry in the individual passbands, and analyse them using the
standard, non-dissolving cluster models. The analysis is done for fixed
solar metallicity and zero extinction, since leaving these parameters
free to vary would lead to even stronger deviations from the standard
models and larger uncertainties, as shown in
Anders et al. (2004a). For each filter combination, total
disruption time and age, we generate 1000 test clusters, derive their
physical parameters, and determine the mean of the derived ages. The
results in terms of the ratio of the derived mean age to the true
cluster age are shown in Fig. 9.
For all models, the ages become overestimated for a significant fraction of the cluster lifetime (for some ages and models the ages can also be severely underestimated). This agrees well with the discussion concerning the cluster colours in Sect. 3.1: generally, when the cluster colours become redder than the standard models, the ages become overestimated. A direct comparison is not appropriate, however, because ``AnalySED'' uses the whole available spectral energy distribution (SED, i.e., the dataset containing all magnitudes in a given set of filters for a given cluster) to determine the model with the best-matching parameters, and hence differences in different filters can either cancel or amplify each other.
Datasets including the mid-UV (here represented by the ACS HRC
F220W
filter) show only modest deviations from the standard models
(Fig. 9, top panels). However, 20% deviations are regularly
found. Datasets lacking the mid-UV, and especially those including
near-IR data, are more sensitive to the changes in the mass functions
(Fig. 9, bottom panels). For those datasets, deviations
of 50% or even a factor
2-3 are found.
4 Validation of the models
We investigate several uncertainties in our models, as well as comparing our new models with models previously released by our group. All the following values are maximum differences from the standard models of a given parameter in a given time interval, unless otherwise noted. In many cases the maximum deviations occur in the final stages of cluster dissolution, and for the longest total disruption times < maximum model age. If we had chosen a maximum model age of 13 Gyr instead of 16 Gyr, the maximum deviations would generally have been slightly smaller.
For the different issues discussed in this section, we also publish a few test cases on our webpage, illustrating the impact of different initial-final mass relations, isochrones, and parametrisations of the mass-function evolution on colours, masses, and mass-to-light ratios. For the parametrisations of the mass-function evolution, we select a few disruption times for presentation on our webpages, while for the initial-final mass relations and isochrones we present only data without disruption (i.e., pure stellar evolution) to avoid confusion.
4.1 Parametrisation of mass-function slope evolution
As discussed earlier, the mass-function slope evolution is derived from a subset of N-body simulations by BM03. The subset was selected to cover the parameter space well, while limiting the impact of low-number statistics (see Sect. 2.3).
The fit to the data of the time evolution of the mass function slopes
is formally of very high accuracy because of the high number of data
points. However, as shown in Figs. 2 and 3, the N-body models show an intrinsic spread
around the fitted function. We quantified this spread to have a median
value ![]()
15% for ages
1/3
.
For younger
ages, this relative spread is larger, although the median of the
absolute spread remains small, ![]()
0.02-0.03 change in the
slope.
We test the impact of this spread by calculating models for which the
time-dependent part of the mass function slope is reduced or increased
by 15%. We find, as expected, that the change in the ``high-mass
slope'' (i.e., for masses
0.3
)
is of primary
importance, while the time-dependent contribution from stars with
masses
0.3
changes the photometry only mildly. Since
the mass evolutions of the cluster (total, luminous and remnant mass)
were derived independent of the mass function evolution, the masses are
not affected.
The impact of this uncertainty on the colors is small: the resulting
changes for the models with the shortest disruption time
(i.e., 100 Myr) and the colours with the longest
wavelength coverage (i.e., V-K) reach
0.07 mag at final
disruption. These changes decrease rapidly with increasing disruption
time and decreasing wavelength coverage.
For ages
,
the magnitudes change by
0.15-0.2 mag (with the changes slightly larger for the shortest
and red passbands). Since the mass is unaltered, this directly
translates into a change in the M/L ratio by 15-20%.
![]() |
Figure 10: Integrated V-K colour (left panel) and M/LV ratio ( right panel) for a Kroupa IMF, solar metallicity, our standard isochrones, a range of cluster disruption times, with the effect of MF evolution enhanced by 15% w.r.t. the standard models. Shown are the quantities relative to the respective quantities of our standard models. Diminishing the effect of MF evolution by 15% yields quantitatively similar results, however, the changes are in the opposite direction. |
| Open with DEXTER | |
For ages
,
both magnitudes and M/L ratios diverge
from the models using the best-fit relation for the time evolution
of the mass function slopes. Models with a weaker time evolution are
increasingly brighter and have consequently lower M/L ratios.
In Fig. 10, we illustrate the effects of enhancing the MF evolution by 15%. Diminishing the effects of MF evolution by 15% provides quantitatively similar results, the changes with respect to the standard models being in the opposite direction. The V-K colour evolutions represent the most extreme cases: effects become smaller for shorter wavelength coverage and longer disruption times.
In summary, the uncertainty induced by the spread in N-body model data
around the fitted time evolution of the mass function slopes has an
impact on the model predictions. However, for ages
the induced uncertainties are much smaller than the error one makes by
not taking into account the effect of preferential mass loss and cluster
dissolution. In addition, we aim to describe the average
cluster.
4.2 Initial-final mass relations
Our model results, especially the M/L ratios discussed in Sect. 3.2, depend on the treatment of stellar remnants. The remnant mass is calculated from the progenitor star's initial mass and the adopted initial-final mass relation (IFMR), which accounts both for mass loss during the life of the progenitor star and caused by the ``death'' of the star and remnant formation.
The IFMR for white dwarfs used in this work is based on the work by Weidemann & Koester (1983, hereafter ``Weidemann83''). Since the IFMR remains uncertain, we tested our choice by adopting different IFMRs for white dwarfs, namely by Weidemann (2000, hereafter ``Weidemann00''), by Kalirai et al. (2008) (hereafter ``Kalirai08'') and the prescription by Hurley et al. (2000, hereafter ``HPT00''). For the latter one, we also adopted their IFMR for neutron stars, while for all other IFMRs we adopted Nomoto & Hashimoto (1988). Changes discussed below are given in relation to our standard IFMR Weidemann83.
We find the IFMR to be of minor influence on the results for ages
:
the total mass changes by a maximum of 2-3%,
while the luminous mass changes by 4% and 6% (for
Weidemann00/Kalirai08 and HPT00, respectively). This translates into
magnitude changes of
0.05 mag and
0.07 mag (for
Weidemann00/Kalirai08 and HPT00, respectively). The associated effect
on the M/L ratios is
4.5% and
6.5% (for
Weidemann00/Kalirai08 and HPT00, respectively). For older ages
,
the results eventually diverge. However, only in the
last 5% of a cluster's lifetime do the total masses differ by more
than 10%, regardless of the choice of IFMR. In Fig. 11, we
show the impact of the chosen IFMR on the M/LV ratio for infinite
disruption time.
![]() |
Figure 11: M/LV ratio for a Kroupa IMF, solar metallicity, no cluster dissolution and the 3 alternative IFMRs discussed in the text. Shown are the quantities relative to the respective quantities of our standard models. |
| Open with DEXTER | |
4.3 Isochrones
Our choice of isochrones (i.e., isochrones from the Pavoda group, first presented in Bertelli et al. 1994 with later updates of the Padova group concerning the TP-AGB phase = ``updated Padova94'') is motivated by the following reasons:
- 1.
- to ensure consistency with GALEV models of galaxies, we
require isochrones that cover the full mass range up to high masses
(ideally up to
120
)
to properly model ongoing star
formation in galaxies;
- 2.
- likewise models covering a wide range in metallicities is desired
to consistently model old/metal-poor globular clusters and
young/metal-rich star clusters formed in nearby starbursts, as well as
to model galaxies consistently from the onset of star formation to their
present stage;
- 3.
- the models should cover all relevant evolutionary stages of these stars, especially the very luminous phases (for our study the TP-AGB phase especially is of prime importance, but early stages such as supergiants are also important).
Since the main focus in this paper is systems older than
100 Myr
we prefer the updated Padova94 isochrones over the Geneva isochrones.
The alternative solution of combining isochrones from different
groups/epochs, was rejected since consistency cannot be ensured.
We tested solar-metallicity isochrones by Cariulo et al. (2004), Pietrinferni et al. (2004), and Marigo et al. (2008) (also known as ``Pisa/GIPSY'', ``BASTI'', and ``new Padova'', respectively) with respect to the updated Padova94 isochrones used in this study, and derived star cluster models for test purposes. While the Pisa isochrones are offset from all other isochrones (they are generally significantly hotter, but are based on more limiting input physics), the other isochrones are in overall good agreement with the updated Padova94 isochrones. Small differences include:
![]() |
Figure 12: Integrated B-V ( left panel) and V-K colour (right panel) for a Kroupa IMF, solar metallicity, no cluster dissolution and 3 different sets of isochrones: the ``upgraded Padova94'' (our standard models, black lines), the ``BASTI'' isochrones (red lines, Pietrinferni et al. 2004) and the ``new Padova'' isochrones (blue dotted lines, Marigo et al. 2008). |
| Open with DEXTER | |
- for increasing age, the BASTI main-sequence turn-off temperature
goes from slightly cooler than the updated Padova94 to slightly hotter
(by a few per cent). This results in an increasing deviation of
U-/B-band magnitudes from the updated Padova94 isochrones by up to
0.5 mag. The new Padova isochrones show much smaller deviations
0.15 mag in these passbands. In contrast, for both BASTI and new Padova,
colours such as U-B or B-V deviate for most of the time by
0.1 mag, and for the majority of time by
0.05 mag from the updated
Padova94 models;
- overall, the RGBs and AGBs in the BASTI and new Padova
isochrones are hotter than in the updated Padova94 isochrones. In
particular, stars with the highest luminosities on the RGB/AGB are
treated differently. For ages younger than
1 Gyr, the test models
deviate significantly, both from our standard model as well as from
each other. For ages
2 Gyr, the BASTI and new Padova isochrones
give comparable optical/NIR colours V-I and V-K, but are offset from
the updated Padova94 models by
-0.1 mag (V-I) and
-0.6 mag
(V-K), in the sense that the updated Padova94 models are redder;
- the BASTI ``non-canonical models'' (i.e., with core convective
overshooting during the H-burning phase) are closer to the updated
Padova94 isochrones than their ``canonical models'' (i.e., without
overshooting);
- the mass lost due to stellar evolution differs by between 2%
(new Padova) and 7% (BASTI) from the updated Padova94 isochrones;
- the relative effects induced by the preferential mass loss
(i.e., the difference between models with and without the effects of
cluster dissolution) are qualitatively robust against the choice of
isochrones. Small quantitative differences are present. However, they
tend to be even stronger for the new isochrones than for the updated
Padova94 isochrones.
To account for the uncertainty in the choice of isochrones, we plan to compile grids of dissolving cluster models, based on the BASTI, the new Padova and the Bertelli et al. (2008, once the extension to higher masses is published) isochrones, respectively, and release it on our webpage. These models will also employ the Kalirai et al. (2008) initial-final mass relation.
4.4 Comparison with earlier work
The new models presented here represent improvements to our earlier
work (Lamers et al. 2006). In Lamers et al. (2006), we
approximated the changes in the mass function by a time-dependent lower
mass limit (i.e., assuming that only the lowest-mass stars are removed
from the cluster, while higher-mass stars might only be removed by
stellar evolution) and scaled our models to match the total mass in
stars with M < 2
with the BM03 simulations. This
approach was improved by Kruijssen & Lamers (2008) by
incorporating the effects of stellar remnants for clusters of different
initial masses and different total disruption times for a range of
metallicities. In that paper, the consequences of various physical
effects on the photometry and M/L ratios were investigated, e.g.,
initial mass segregation, the role of white dwarfs and neutron stars,
and the role of metallicity.
Because of the normalisation procedure, the total masses of the earlier models differs negligibly from the new models. However, the number of bright stars in the new models decreases more slowly with time than in the old models by Lamers et al. (2006) (the models by Kruijssen & Lamers 2008, represented already an improvement to earlier work, and are more consistent with the work presented here). Hence, the new models are brighter than the old models, especially for short disruption times. Consequently, the new mass-to-light ratio is lower, by 20-40%.
The new models are redder than the older ones, because the changing slope of the mass function slowly depopulates the (blue) main-sequence turn-off region already early on. In contrast, in the older models stars in the main-sequence turn-off region are removed more abruptly when the lower mass limit reaches the turn-off mass.
Before the lower mass limit reaches the turn-off mass in the old models, colours become slightly bluer for a short time, because almost all main sequence stars redder than the turn-off have been removed by then. This feature is not present in the new models, due to the more gradual mass loss. In addition, the old models show a strong reddening in their final stages, since the star cluster contains exclusively red giants/AGB stars (plus stellar remnants). This feature is also not strongly present in the new models, because the mass function, even close to total disruption, covers a wider range.
5 Conclusions
We have presented a novel suite of evolutionary synthesis models that
accounts for the dynamical evolution of star clusters in a tidal field
in a realistic manner. The dynamically induced changes in the stellar
MF within the cluster and the overall mass loss of stars from the
cluster into the surrounding field population is consistently taken
into account
.
Based on the simulations presented in BM03, we improved the
parametrisation in the time evolution of the MF slope. We then combined
this new description of the MF slopes with our galev evolutionary
synthesis models. The resulting models, calculated for a range in
metallicities and total cluster disruption times, were shown to deviate
significantly from the canonical evolutionary synthesis models, which
neglect the effects of dynamical cluster evolution. Depending on the
total cluster disruption time and the colour index under investigation,
differences of up to 0.7 mag (and in a large number of cases exceeding
0.1 mag) were found. These deviation were shown to lead to significant
misinterpretations of the observations. For example, cluster age
determinations can be wrong by 20-50%, or in extreme cases by up to
a factor
2-3. These deviations were found to depend strongly
on the filter combination used to derive the ages: combinations
including near-IR filters tend to be more sensitive to the changing MF,
while for large wavelength coverage and/or large numbers of filters the
deviations are still significant but generally smaller.
The M/L ratios are also strongly affected, and therefore so are
photometric cluster masses derived from observations. For the largest
part of a cluster's lifetime the M/L ratios are significantly below the
canonical values (by up to a factor
3-7). In late stages of
cluster dissolution, the M/L ratios exceed the standard values, as the
cluster mass becomes increasingly dominated by stellar remnants. This
period can last for up to
16% of the cluster's total disruption
time. In both cases, the M/L ratios are strongly time-dependent. For
fixed cluster age and/or fixed local disruption time, the dependence of
M/L ratios on the presently observed cluster mass was investigated.
They are broadly consistent with observations, although the
observations show large scatter and uncertainties.
Our results confirm the trends in the evolution of colour and mass-to-light ratios of dissolving clusters, obtained by Kruijssen & Lamers (2008) and Kruijssen (2008), who used a simplified description of the changes in the mass function due to the preferential loss of low-mass stars in star clusters.
While the absolute values of our results depend on our choice of input physics, the general behaviour is robust against these choices. We will update our models whenever more sophisticated input physics becomes available.
Acknowledgements
P.A. acknowledges funding by NWO (grant 614.000.529) and the European Union (Marie Curie EIF grant MEIF-CT-2006-041108). P.A. and H.L. would like to thank the ISSI in Bern/Switzerland for their hospitality and support. P.A. would like to acknowledge fruitful discussions with Ines Brott and Rob Izzard, as well as with Diederik Kruijssen. Many thanks to Marina Rejkuba for a critical reading of the paper and asking the right questions. In addition, thanks to Marina Rejkuba and Steffen Mieske for kindly providing part of the observational data. P.A. is in Uta Fritzes debt for many years of teaching, advice and fruitful collaboration. This research was supported in part by the National Science Foundation under Grant No. PHY05-51164.
References
- Anders, P., & Fritze-v. Alvensleben, U. 2003, A&A, 401, 1063 [NASA ADS] [CrossRef] [EDP Sciences]
- Anders, P., Bissantz, N., Fritze-v. Alvensleben, U., & de Grijs, R. 2004a, MNRAS, 347, 196 [NASA ADS] [CrossRef] (In the text)
- Anders, P., de Grijs, R., Fritze-v. Alvensleben, U., & Bissantz, N. 2004b, MNRAS, 347, 17 [NASA ADS] [CrossRef]
- Bastian, N., & Goodwin, S. P. 2006, MNRAS, 369, L9 [NASA ADS]
- Baumgardt, H., & Makino, J. 2003, MNRAS, 340, 227 [NASA ADS] [CrossRef] (In the text)
- Baumgardt, H., & Mieske, S. 2008, MNRAS, 1255 (In the text)
- Baumgardt, H., De Marchi, G., & Kroupa, P. 2008, ApJ, 685, 247 [NASA ADS] [CrossRef] (In the text)
- Baumgardt, H., Côté, P., Hilker, M., et al. 2009, MNRAS, 748
- Bertelli, G., Bressan, A., Chiosi, C., Fagotto, F., & Nasi, E. 1994, A&AS, 106, 275 [NASA ADS] (In the text)
- Bertelli, G., Girardi, L., Marigo, P., & Nasi, E. 2008, A&A, 484, 815 [NASA ADS] [CrossRef] [EDP Sciences]
- Bicker, J., Fritze-v. Alvensleben, U., & Fricke, K. J. 2002, A&A, 387, 412 [NASA ADS] [CrossRef] [EDP Sciences]
- Bicker, J., Fritze-v. Alvensleben, U., Möller, C. S., & Fricke, K. J. 2004, A&A, 413, 37 [NASA ADS] [CrossRef] [EDP Sciences]
- Boutloukos, S. G., & Lamers, H. J. G. L. M. 2003, MNRAS, 338, 717 [NASA ADS] [CrossRef]
- Bruzual, G., & Charlot, S. 2003, MNRAS, 344, 1000 [NASA ADS] [CrossRef] (In the text)
- Cariulo, P., Degl'Innocenti, S., & Castellani, V. 2004, A&A, 421, 1121 [NASA ADS] [CrossRef] [EDP Sciences]
- Cerviño, M., & Mollá, M. 2002, A&A, 394, 525 [NASA ADS] [CrossRef] [EDP Sciences]
- Cerviño, M., & Luridiana, V. 2004, A&A, 413, 145 [NASA ADS] [CrossRef] [EDP Sciences]
- Cerviño, M., & Luridiana, V. 2006, A&A, 451, 475 [NASA ADS] [CrossRef] [EDP Sciences]
- Charbonnel, C., Meynet, G., Maeder, A., Schaller, G., & Schaerer, D. 1993, A&AS, 101, 415 [NASA ADS]
- Chen, L., de Grijs, R., & Zhao, J. L. 2007, AJ, 134, 1368 [NASA ADS] [CrossRef]
- Dabringhausen, J., Hilker, M., & Kroupa, P. 2008, MNRAS, 386, 864 [NASA ADS] [CrossRef]
- de Grijs, R., & Anders, P. 2006, MNRAS, 366, 295 [NASA ADS]
- de Grijs, R., Smith, L. J., Bunker, A., et al. 2004, MNRAS, 352, 263 [NASA ADS] [CrossRef]
- Fagiolini, M., Raimondo, G., & Degl'Innocenti, S. 2007, A&A, 462, 107 [NASA ADS] [CrossRef] [EDP Sciences] (In the text)
- Fioc, M. & Rocca-Volmerange, B. 1997, A&A, 326, 950 [NASA ADS] (In the text)
- Gieles, M., & Baumgardt, H. 2008, MNRAS, 389, L28 [NASA ADS] (In the text)
- Gieles, M., Bastian, N., Lamers, H. J. G. L. M., & Mout, J. N. 2005, A&A, 441, 949 [NASA ADS] [CrossRef] [EDP Sciences]
- Gieles, M., Portegies Zwart, S. F., Baumgardt, H., et al. 2006, MNRAS, 371, 793 [NASA ADS] [CrossRef] (In the text)
- Gieles, M., Athanassoula, E., & Portegies Zwart, S. F. 2007, MNRAS, 376, 809 [NASA ADS] [CrossRef] (In the text)
- Giersz, M., & Heggie, D. C. 1997, MNRAS, 286, 709 [NASA ADS]
- Gill, M., Trenti, M., Miller, M. C., van der Marel, R., Hamilton, D., & Stiavelli, M. 2008, ApJ, 686, 303 [NASA ADS] [CrossRef] (In the text)
- Girardi, L., Bressan, A., Bertelli, G., & Chiosi, C. 2000, A&AS, 141, 371 [NASA ADS] [CrossRef] [EDP Sciences] (In the text)
- Goodwin, S. P., & Bastian, N. 2006, MNRAS, 373, 752 [NASA ADS] [CrossRef] (In the text)
- Gouliermis, D., Keller, S. C., Kontizas, M., Kontizas, E., & Bellas-Velidis, I. 2004, A&A, 416, 137 [NASA ADS] [CrossRef] [EDP Sciences]
- Harris, W. E. 1996, AJ, 112, 1487 [NASA ADS] [CrossRef]
- Henon, M. 1969, A&A, 2, 151 [NASA ADS]
- Hurley, J. R., Pols, O. R., & Tout, C. A. 2000, MNRAS, 315, 543 [NASA ADS] [CrossRef] (In the text)
- Hurley, J. R., Tout, C. A., Aarseth, S. J., & Pols, O. R. 2004, MNRAS, 355, 1207 [NASA ADS] [CrossRef] (In the text)
- Kalirai, J. S., Hansen, B. M. S., Kelson, D. D., et al. 2008, ApJ, 676, 594 [NASA ADS] [CrossRef] (In the text)
- Kassin, S. A., Frogel, J. A., Pogge, R. W., Tiede, G. P., & Sellgren, K. 2003, AJ, 126, 1276 [NASA ADS] [CrossRef]
- Kotulla, R., Fritze, U., Weilbacher, P., & Anders, P. 2009, MNRAS, 396, 462 [NASA ADS] [CrossRef]
- Kroupa, P. 2001, MNRAS, 322, 231 [NASA ADS] [CrossRef] (In the text)
- Kruijssen, J. M. D. 2008, A&A, 486, L21 [NASA ADS] [CrossRef] [EDP Sciences] (In the text)
- Kruijssen, J. M. D., & Lamers, H. J. G. L. M. 2008, A&A, 490, 151 [NASA ADS] [CrossRef] [EDP Sciences] (In the text)
- Kundu, A., Zepf, S. E., Hempel, M., et al. 2005, ApJ, 634, L41 [NASA ADS] [CrossRef]
- Küpper, A. H. W., Kroupa, P., & Baumgardt, H. 2008, MNRAS, 389, 889 [NASA ADS] [CrossRef] (In the text)
- Lada, C. J., & Lada, E. A. 2003, ARA&A, 41, 57 [NASA ADS] [CrossRef]
- Lamers, H. J. G. L. M., Gieles, M., Bastian, N., et al. 2005a, A&A, 441, 117 [NASA ADS] [CrossRef] [EDP Sciences] (In the text)
- Lamers, H. J. G. L. M., Gieles, M., & Portegies Zwart, S. F. 2005b, A&A, 429, 173 [NASA ADS] [CrossRef] [EDP Sciences]
- Lamers, H. J. G. L. M., Anders, P., & de Grijs, R. 2006, A&A, 452, 131 [NASA ADS] [CrossRef] [EDP Sciences] (In the text)
- Larsen, S. S., & Richtler, T. 2004, A&A, 427, 495 [NASA ADS] [CrossRef] [EDP Sciences]
- Larsen, S. S., Brodie, J. P., & Hunter, D. A. 2004, AJ, 128, 2295 [NASA ADS] [CrossRef]
- Leitherer, C., Schaerer, D., Goldader, J. D., et al. 1999, ApJS, 123, 3 [NASA ADS] [CrossRef] (In the text)
- Lejeune, T., Cuisinier, F., & Buser, R. 1997, A&AS, 125, 229 [NASA ADS] [CrossRef] [EDP Sciences]
- Lejeune, T., Cuisinier, F., & Buser, R. 1998, A&AS, 130, 65 [NASA ADS] [CrossRef] [EDP Sciences]
- Maccarone, T. J., & Servillat, M. 2008, MNRAS, 389, 379 [NASA ADS] [CrossRef] (In the text)
- Maraston, C. 2005, MNRAS, 362, 799 [NASA ADS] [CrossRef] (In the text)
- Marigo, P., Girardi, L., Bressan, A., et al. 2008, A&A, 482, 883 [NASA ADS] [CrossRef] [EDP Sciences] (In the text)
- Marks, M., Kroupa, P., & Baumgardt, H. 2008, MNRAS, 386, 2047 [NASA ADS] [CrossRef] (In the text)
- McLaughlin, D. E., & van der Marel, R. P. 2005, ApJS, 161, 304 [NASA ADS] [CrossRef] (In the text)
- Mieske, S., & Kroupa, P. 2008, ApJ, 677, 276 [NASA ADS] [CrossRef]
- Mieske, S., Hilker, M., Jordán, A., et al. 2008, A&A, 487, 921 [NASA ADS] [CrossRef] [EDP Sciences] (In the text)
- Nomoto, K., & Hashimoto, M. 1988, Phys. Rep., 163, 13 [NASA ADS] [CrossRef] (In the text)
- Odenkirchen, M., Grebel, E. K., Dehnen, W., et al. 2003, AJ, 126, 2385 [NASA ADS] [CrossRef] (In the text)
- Pietrinferni, A., Cassisi, S., Salaris, M., & Castelli, F. 2004, ApJ, 612, 168 [NASA ADS] [CrossRef]
- Pietrinferni, A., Cassisi, S., Salaris, M., & Castelli, F. 2006, ApJ, 642, 797 [NASA ADS] [CrossRef]
- Pryor, C., & Meylan, G. 1993, in Structure and Dynamics of Globular Clusters, ed. S. G. Djorgovski, & G. Meylan, ASP Conf. Ser., 50, 357 (In the text)
- Rejkuba, M., Dubath, P., Minniti, D., & Meylan, G. 2007, A&A, 469, 147 [NASA ADS] [CrossRef] [EDP Sciences] (In the text)
- Salpeter, E. E. 1955, ApJ, 121, 161 [NASA ADS] [CrossRef] (In the text)
- Schaerer, D., Meynet, G., Maeder, A., & Schaller, G. 1993, A&AS, 98, 523 [NASA ADS]
- Schaller, G., Schaerer, D., Meynet, G., & Maeder, A. 1992, A&AS, 96, 269 [NASA ADS] (In the text)
- Schulz, J., Fritze-v. Alvensleben, U., Möller, C. S., & Fricke, K. J. 2002, A&A, 392, 1 [NASA ADS] [CrossRef] [EDP Sciences] (In the text)
- Smith, L. J., Bastian, N., Konstantopoulos, I. S., et al. 2007, ApJ, 667, L145 [NASA ADS] [CrossRef]
- Spitzer, Jr., L., & Shull, J. M. 1975, ApJ, 201, 773 [NASA ADS] [CrossRef]
- Tinsley, B. M. 1968, ApJ, 151, 547 [NASA ADS] [CrossRef]
- Tinsley, B. M. 1980, Fund. Cosmic Phys., 5, 287 [NASA ADS]
- Tinsley, B. M., & Gunn, J. E. 1976, ApJ, 203, 52 [NASA ADS] [CrossRef]
- Weidemann, V. 2000, A&A, 363, 647 [NASA ADS] (In the text)
- Weidemann, V., & Koester, D. 1983, A&A, 121, 77 [NASA ADS] (In the text)
- Worthey, G. 1994, ApJS, 95, 107 [NASA ADS] [CrossRef] (In the text)
- Yi, S., Demarque, P., Kim, Y.-C., et al. 2001, ApJS, 136, 417 [NASA ADS] [CrossRef]
Footnotes
- ... clusters
- The models for a range of total cluster disruption times and metallicities are available online, at http://www.phys.uu.nl/~anders/data/SSP_varMF/ and http://data.galev.org
- ...
- The data will also be made available in electronic form at the CDS via anonymous ftp to cdsarc.u-strasbg.fr (130.79.128.5) or via http://cdsweb.u-strasbg.fr/cgi-bin/qcat?J/A+A/502/817
- ... disruption
- With disruption we comprise all kinds of different cluster mass loss and destruction events (e.g., single disruptive encounters with giant molecular clouds, infant mortality, final cluster ``death''). Dissolution stands for any gradual destruction process, e.g., mass lost due to stellar evolution, tidal dissolution, or multiple weak encounters with giant molecular clouds.
- ... phase
- The models of the Padova group are available at their webpage: http://pleiadi.pd.astro.it/
- ... request
- The data are made publicly available at our webpages http://www.phys.uu.nl/~anders/data/SSP_varMF and http://data.galev.org. They will be made available via CDS as well.
- ... implications
- The data are made publicly available at our webpages http://www.phys.uu.nl/~anders/data/SSP_varMF and http://data.galev.org. They will be made available via CDS as well.
- ... NGC 2419
- A re-analysis of the velocity dispersion of NGC 2419 by Baumgardt et al. (2009), indicates that the mass-to-light ratio is around 2, which is in good agreement with a canonical mass-to-light ratio and no dynamical cluster evolution.
- ...
metallicities
- Data taken from the Harris catalogue Harris (1996), available at http://physwww.physics.mcmaster.ca/~harris/mwgc.dat
- ... account
- The models are made publicly available on our webpages http://www.phys.uu.nl/~anders/data/SSP_varMF/ and http://data.galev.org for general use. They will also become available via CDS.
All Tables
Table 1:
The best-fit coefficients for Eq. (6). The middle
column gives the coefficients for the low-mass end of the MF for masses
0.3
.
The right column gives the coefficients for masses
>0.3
.
All Figures
![]() |
Figure 1:
Dependence of MF slopes ( top panel: for stellar masses
|
| Open with DEXTER | |
| In the text | |
![]() |
Figure 2:
Dependence of MF slope on the age (in Myr) of the cluster for
stellar masses |
| Open with DEXTER | |
| In the text | |
![]() |
Figure 3:
Same as Fig. 2, but for stellar masses
>0.3 |
| Open with DEXTER | |
| In the text | |
![]() |
Figure 4:
Solar metallicity models with the changing mass function
treatment, following Eq. (6) with
|
| Open with DEXTER | |
| In the text | |
![]() |
Figure 5:
Same models as Fig. 4, but M/L ratios.
Upper panel: time evolution of V-band M/L ratio for the new models.
Middle panel: ratio of new model's V-band M/L ratio and
V-band M/L ratio from
standard models. The non-dissolving/standard model is shown as thick
line. Bottom panel: characteristic times of the models as function of
total disruption time: black crosses and line = age at which the cluster
contains only 100 |
| Open with DEXTER | |
| In the text | |
![]() |
Figure 6: Top panel: time evolution of V-band M/L ratio (for solar metallicity) as a function of present-day cluster mass for a fixed local gravitational field strength characteristic for the Solar Neighbourhood (i.e. t4=1.3 Gyr, see Lamers et al. 2005a). Middle panel: V-band M/L ratio (for solar metallicity) as a function of present-day cluster mass for a range of local gravitational field strengths for clusters observed at an age of 12 Gyr. Bottom panel: V-band M/L ratio as a function of present-day cluster mass for a range in metallicity for clusters observed at an age of 12 Gyr and experiencing a typical disruption time t4=1.3 Gyr. In the top panel, observations from McLaughlin & van der Marel (2005) (MM05) and from Larsen & Richtler 2004; Larsen et al. 2004 are overplotted, for young clusters with ages < 1 Gyr. |
| Open with DEXTER | |
| In the text | |
![]() |
Figure 7:
Observations of old ( |
| Open with DEXTER | |
| In the text | |
![]() |
Figure 8:
Observations of old ( |
| Open with DEXTER | |
| In the text | |
![]() |
Figure 9:
Derived ages of dissolving star clusters with t
|
| Open with DEXTER | |
| In the text | |
![]() |
Figure 10: Integrated V-K colour (left panel) and M/LV ratio ( right panel) for a Kroupa IMF, solar metallicity, our standard isochrones, a range of cluster disruption times, with the effect of MF evolution enhanced by 15% w.r.t. the standard models. Shown are the quantities relative to the respective quantities of our standard models. Diminishing the effect of MF evolution by 15% yields quantitatively similar results, however, the changes are in the opposite direction. |
| Open with DEXTER | |
| In the text | |
![]() |
Figure 11: M/LV ratio for a Kroupa IMF, solar metallicity, no cluster dissolution and the 3 alternative IFMRs discussed in the text. Shown are the quantities relative to the respective quantities of our standard models. |
| Open with DEXTER | |
| In the text | |
![]() |
Figure 12: Integrated B-V ( left panel) and V-K colour (right panel) for a Kroupa IMF, solar metallicity, no cluster dissolution and 3 different sets of isochrones: the ``upgraded Padova94'' (our standard models, black lines), the ``BASTI'' isochrones (red lines, Pietrinferni et al. 2004) and the ``new Padova'' isochrones (blue dotted lines, Marigo et al. 2008). |
| Open with DEXTER | |
| In the text | |
Copyright ESO 2009
Current usage metrics show cumulative count of Article Views (full-text article views including HTML views, PDF and ePub downloads, according to the available data) and Abstracts Views on Vision4Press platform.
Data correspond to usage on the plateform after 2015. The current usage metrics is available 48-96 hours after online publication and is updated daily on week days.
Initial download of the metrics may take a while.


![\begin{displaymath}M_{\rm tot}(t) = M_{\rm i} \cdot \left\{\mu_{\rm ev}(t)^\gamm...
...(t_{\rm 95\%})^\gamma -
0.05^\gamma
\right]\right\}^{1/\gamma}
\end{displaymath}](/articles/aa/full_html/2009/30/aa10615-08/img28.png)

![\begin{figure}
\par\includegraphics[angle=270,width=8.1cm]{figs/Slope1frac_new2_...
...ludegraphics[angle=270,width=8.1cm]{figs/Slope2frac_new2_binned.ps}
\end{figure}](/articles/aa/full_html/2009/30/aa10615-08/Timg36.png)

![\begin{figure}
\par\begin{tabular}{cc}
\includegraphics[angle=270,width=8cm]{fi...
...th=8cm]{figs/Tdep_Check_Slope1_1.0_2_new2.ps}\\
\end{tabular}\par
\end{figure}](/articles/aa/full_html/2009/30/aa10615-08/Timg43.png)
![\begin{figure}
\par\begin{tabular}{cc}
\includegraphics[angle=270,width=8cm]{fi...
...th=8cm]{figs/Tdep_Check_Slope2_1.0_2_new2.ps}\\
\end{tabular}\par
\end{figure}](/articles/aa/full_html/2009/30/aa10615-08/Timg44.png)
![\begin{figure}
\par\begin{tabular}{cc}
\includegraphics[angle=270,width=8cm]{fi...
...gle=270,width=8cm]{figs/FP4_Vmag_Peter_z3.ps}\\
\end{tabular}\par
\end{figure}](/articles/aa/full_html/2009/30/aa10615-08/Timg51.png)
![\begin{figure}
\par\includegraphics[angle=270,width=8.5cm]{figs/FP4_ML_V_Peter_z...
...ncludegraphics[angle=270,width=8.5cm]{figs/ML_min_cross_new.ps}\par
\end{figure}](/articles/aa/full_html/2009/30/aa10615-08/Timg53.png)
![\begin{figure}
\par\includegraphics[angle=270,width=9cm]{figs/ML_mass_age.ps}
...
...t4.ps}
\includegraphics[angle=270,width=9cm]{figs/ML_mass_met.ps}
\end{figure}](/articles/aa/full_html/2009/30/aa10615-08/Timg54.png)
![\begin{figure}
\par\includegraphics[angle=270,width=9cm]{figs/ML_mass_data_MP_2.ps}
\includegraphics[angle=270,width=9cm]{figs/ML_mass_data_MR_2.ps}
\end{figure}](/articles/aa/full_html/2009/30/aa10615-08/Timg57.png)
![\begin{figure}
\par\includegraphics[angle=270,width=8.8cm]{figs/Harris.ps}
\end{figure}](/articles/aa/full_html/2009/30/aa10615-08/Timg58.png)
![\begin{figure}
\par\hspace{1.2cm}
\begin{tabular}{cc}
\includegraphics[angle=2...
...gle=270,width=8cm]{figs/FP3_ages_z3_UBVI.ps}\\
\end{tabular}\par
\end{figure}](/articles/aa/full_html/2009/30/aa10615-08/Timg60.png)
![\begin{figure}
\par\includegraphics[angle=270,width=9cm]{figs/Uncertainties_slop...
...egraphics[angle=270,width=9cm]{figs/Uncertainties_slope_ML.ps}\par
\end{figure}](/articles/aa/full_html/2009/30/aa10615-08/Timg65.png)
![\begin{figure}
\par\includegraphics[angle=270,width=9cm]{figs/Uncertainties_IFMR_Paper.ps}\par
\end{figure}](/articles/aa/full_html/2009/30/aa10615-08/Timg68.png)
![\begin{figure}
\par\includegraphics[angle=270,width=9cm]{figs/BASTI1.ps}
\includegraphics[angle=270,width=9cm]{figs/BASTI2.ps}\par\end{figure}](/articles/aa/full_html/2009/30/aa10615-08/Timg69.png)