| Issue |
A&A
Volume 502, Number 3, August II 2009
|
|
|---|---|---|
| Page(s) | 771 - 786 | |
| Section | Extragalactic astronomy | |
| DOI | https://doi.org/10.1051/0004-6361/200811532 | |
| Published online | 05 May 2009 | |
The edge of the M 87 halo and the kinematics of the diffuse
light in the Virgo cluster core![[*]](/icons/foot_motif.png)
M. Doherty1 - M. Arnaboldi2,3 - P. Das4 - O. Gerhard4 - J. A. L. Aguerri5 - R. Ciardullo6 - J. J. Feldmeier7 - K. C. Freeman8 - G. H. Jacoby9 - G. Murante3
1 - European Southern Observatory, Santiago, Chile
2 - European Southern Observatory, Garching, Germany
3 - INAF, Osservatorio Astronomico di Pino Torinese,
Pino Torinese, Italy
4 - Max-Planck-Institut für extraterrestrische Physik, Garching,
Germany
5 - Instituto de Astrofisica de Canarias, Tenerife, Spain
6 - Dept. of Astronomy and Astrophysics, Pennsylvania State
University, University Park, PA, USA
7 - Dept. of Physics and Astronomy, Youngstown State University,
Youngstown, OH, USA
8 - Mount Stromlo Observatory, Research School of Astronomy and
Astrophysics, ACT, Australia
9 - WIYN Observatory, Tucson, AZ, USA
Received 16 December 2008 / Accepted 22 April 2009
Abstract
Aims. We study the kinematics and dynamics of the extreme outer halo of M 87, the central galaxy in the Virgo cluster, and its transition to the intracluster light (ICL).
Methods. We present high resolution FLAMES/VLT spectroscopy of intracluster planetary nebula (PN) candidates, targeting three new fields in the Virgo cluster core with surface brightness down to
.
Based on the projected phase space information (sky positions and line-of-sight velocities) we separate galaxy and cluster components in the confirmed PN sample. We then use the spherical Jeans equation and the total gravitational potential as traced by the X-ray emission to derive the orbital distribution in the outer stellar halo of M 87. We determine the luminosity-specific PN number for the M 87 halo and the ICL from the photometric PN catalogs and sampled luminosities, and discuss the origin of the ICL in Virgo based on its measured PN velocities.
Results. We confirm a further 12 PNs in Virgo, five of which are bound to the halo of M 87, and the remainder are true intracluster planetary nebulas (ICPNs). The M 87 PNs are confined to the extended stellar envelope of M 87, within a projected radius of
kpc, while the ICPNs are scattered across the whole surveyed region between M 87 and M 86, supporting a truncation of M 87's luminous outer halo at a
level. The line-of-sight velocity distribution of the M 87 PNs at projected radii of 60 kpc and 144 kpc shows (i) no evidence for rotation of the halo along the photometric major axis; and (ii) that the velocity dispersion decreases in the outer halo, down to
km s-1 at 144 kpc. The Jeans model for the M 87 halo stars fits the observed line-of-sight velocity dispersion profile only if the stellar orbits are strongly radially anisotropic (
at
kpc increasing to 0.8 at the outer edge), and if additionally the stellar halo is truncated at
kpc average elliptical radius. The
-parameters for the M 87 halo and the ICL are in the range of values observed for old (>10 Gyr) stellar populations.
Conclusions. Both the spatial segregation of the PNs at the systemic velocity of M 87 and the dynamical model support that the stellar halo of M 87 ends at
150 kpc. We discuss several possible explanations for the origin of this truncation but are unable to discriminate between them: tidal truncation following an earlier encounter of M 87 with another mass concentration in the Virgo core, possibly around M 84, early AGN feedback effects, and adiabatic contraction due to the cluster dark matter collapsing onto M 87. From the spatial and velocity distribution of the ICPNs we infer that M 87 and M 86 are falling towards each other and that we may be observing them just before the first close pass. The new PN data support the view that the core of the Virgo cluster is not yet virialized but is in an ongoing state of assembly, and that massive elliptical galaxies are important contributors to the ICL in the Virgo cluster.
Key words: galaxies: clusters: individual: Virgo - stellar dynamics - ISM: planetary nebulae: general - galaxies: halos - galaxies: elliptical and lenticular, cD - galaxies: formation
1 Introduction
Over the past few years the diffuse intracluster light (ICL) has been the focus of many studies, both in nearby (Mihos et al. 2005; Feldmeier et al. 2004) and in intermediate redshift clusters (Zibetti et al. 2005; Krick & Bernstein 2007). It has been found that the ICL is centrally concentrated and in many cases, including the diffuse outer halos of galaxies, comprisesTheoretical studies of the diffuse cluster light through simulations predict that the ICL is unmixed and therefore should exhibit a fair amount of sub-structure (Rudick et al. 2006; Napolitano et al. 2003; Murante et al. 2004). An important contribution to the diffuse light in clusters may come from the extended halos of giant galaxies: numerical simulations predict the presence of such halos around isolated galaxies out to several hundred kpc, consisting of stars shed by merging sub-units (Abadi et al. 2006). When these galaxies enter the cluster core, their halos would be stripped first by the tidal fields and later by the tidal shocking in the interaction with the cluster's central core and cD galaxy (Murante et al. 2007; Rudick et al. 2006).
Indeed the deep image of the Virgo cluster core by Mihos et al. (2005),
reaching
mag arcsec-2, shows a variety of features
such as streamers, arcs and smaller features associated with
individual galaxies. It also shows faint, very extended diffuse halos
surrounding the large galaxies. In particular, around the giant
elliptical galaxy M 87, the Mihos et al. (2005) photometry reveals an
extended stellar envelope at very low surface brightness levels,
mag arcsec-2, with flattened isophotes
(noted previously by Kormendy & Bahcall 1974; Weil et al. 1997; Arp & Bertola 1971), and out to
(
kpc) along the semi-major axis.
The Virgo cluster has long been known to be dynamically unmixed, with complex sub-structures. This was first realized from the spatial and velocity distribution of Virgo galaxies (e.g. Binggeli et al. 1987,1993). In particular Binggeli et al. (1993) found tentative evidence from the asymmetry in the velocity distribution of dwarf spheroidal galaxies that even the core of Virgo is not virialized, and suggested that the cluster is dynamically young, with two sub-clumps M 87 and M 86 falling in towards each other in the centre.
From photometry in
clusters
(Krick & Bernstein 2007; Gonzalez et al. 2005) and from kinematic studies of the ICL in
nearby clusters (Gerhard et al. 2005,2007; Arnaboldi et al. 2004) we have learned that the
genuine ICL component, defined as the light radiated by stars
floating freely in the cluster potential, and the extended halos of
bright (elliptical) galaxies often overlap spatially, and cannot
easily be distinguished from broad-band photometry alone. Kinematic
information can complement the photometry. For surface brightness
mag/arcsec2, integrated light spectroscopy can be
used to measure the mean velocity and velocity dispersion in the
outer halos of the brightest cluster galaxies (Kelson et al. 2002; Sembach & Tonry 1996);
however, reaching the faint surface brightness level of the true ICL
component with this technique is very difficult. Since planetary
nebulas (PNs) follow light (e.g. Coccato et al. 2009), the
spectroscopic study of these tracers, both in the extended halos and
the ICL, offers a way to identify and measure the kinematics of
these diffuse stellar components down to very faint surface
brightness (
in Virgo), but it is currently limited to
clusters with distances <100 Mpc (Gerhard et al. 2005).
For the Virgo cluster, there has been considerable success with a two-step approach of identifying PN candidates with narrow-band imaging followed by multi-object spectroscopy. Arnaboldi et al. (1996) observed the outer regions of the giant elliptical M 86, measuring velocities for 19 objects. Three of these turned out to be true ICPNs, with velocities similar to that of the mean velocity of the Virgo cluster. Subsequently, 23 PNs were detected in a spectroscopic survey with 2dF on the 4 m Anglo-Australian Telescope (Freeman et al. 2000; Arnaboldi et al. 2002). These results were all based on single line identifications, although the second oxygen line was seen with the right ratio in the composite spectrum of 23 PNs observed by Freeman et al. (2000). The first confirmation based on detecting the [OIII] doublet in a single PN spectrum was made in Arnaboldi et al. (2003). Expanding on this early work, we began a campaign to systematically survey PN candidates in the Virgo cluster using multi-object spectroscopy with the FLAMES/GIRAFFE spectrograph on the VLT (Arnaboldi et al. 2004, hereafter A04). A04 presented the first measurements of the velocity distribution of PNs from three survey fields in the Virgo cluster core and concluded that in two of these fields the light is dominated by the extended halos of the nearby giant elliptical galaxies, while the ICL component dominates the diffuse light in only one field, where a ``broad'' line-of-sight velocity distribution is measured, and all PNs are true ``ICPNs''.
We here present PN velocity measurements from a further three pointings in the heart of the cluster core. We emphasize that these pointings are targeting faint surface brightness regions well outside of individual galaxies, in order to trace the ICPNs expected to be moving freely in the cluster potential, and thus to investigate the dynamical state of the ICL and of the core of the Virgo cluster. The photometric/geometric classification of PNs as ICPNs is in fact revised later in the paper according to the dynamical information obtained from the line-of-sight (LOS) velocities of the confirmed PNs.
![]() |
Figure 1: Deep image of the Virgo cluster core showing the diffuse light distribution (Mihos et al. 2005), with our target fields superposed. Target fields of the previous spectroscopy (A04) are shown as red circles and our new target fields as well. The blue ellipse shows the boundary used in the dynamical modeling in Sect. 4.4. |
| Open with DEXTER | |
In this paper we give a summary of our observations and data reduction
in Sect. 2 where we also discuss the sample completeness and
show the final emission spectra. The distribution of measured
line-of-sight velocities (LOSVD) and the projected phase-space
diagram for these PNs are presented in Sect. 3. From these
data we distinguish between ICPNs and PNs bound to the halo of M 87.
In Sect. 4 we discuss the rotation, velocity dispersion and
physical extent of the stellar halo of M 87, using the velocities of
the PNs bound to M 87 in the combined data sets of this paper and A04.
We then construct a dynamical model based on the gravitational
potential obtained from X-ray observations and the combined
absorption-line and PN velocity dispersion data for the galaxy.
Possible mechanisms for the truncation of M 87's stellar halo are
discussed in Sect. 4.5. In Sect. 5 we compute the
luminosity-specific PN number
for both the M 87 halo and
the ICL in Virgo, and in Sect. 6 we discuss the implications of
the ICPN LOSVD for our understanding of the dynamical status of the
cluster core and the origin of the ICL in Virgo. Summary and
conclusions of the paper are given in Sect. 7.
In what follows, we adopt a distance of 15 Mpc for M 87, equivalent to a distance modulus of 30.88; therefore 1'' = 73 pc.
2 Observations
The observations were taken in service mode (22 h, 076.B-0086 PI: M.
Arnaboldi) over the nights 25-28th March 2006 using the FLAMES
spectrograph on UT2/VLT in MEDUSA mode which allows spectra to be
taken through up to 132 fibers simultaneously
. The data were taken in clear conditions with
seeing <
.
We used the high resolution grism HR504.8 centred at
504.8 nm and with wavelength coverage 250 Å and spectral resolution
20 000. With this setup, the instrumental broadening of the arc lines
is FWHM = 0.29 Å or 17 km s-1, and the error on the wavelength
measurements is 0.0025 Å or 150 ms-1 (Royer et al. 2002).
Figure 1 shows the location of the selected fields targeted with FLAMES, including the three previous fields FCJ, CORE and SUB presented in A04, and the three new fields F4, F7_1, F7_2. The photometry used for the selection of PN candidates is from Feldmeier et al. (2003); his fields F4 and F7 contain the FLAMES fields F4 and (F7_1, F7_2), respectively.
2.1 Data reduction and sample completeness
The data were reduced using the GIRAFFE pipeline
including bias subtraction, determining fiber location on the CCD,
wavelength calibration, geometric distortion corrections and
extraction of the one-dimensional spectra. The co-addition was carried
out separately as a final step on the one-dimensional spectra as the
fibers are allocated in a slightly different order for MEDUSA plates 1
and 2 and the pipeline does not account for this.
Table 1 shows the number of spectroscopically confirmed
emission-line objects and planetary nebulas, with respect to the
number of candidates targeted (
), and the number of
candidates targeted above the photometric completeness limit for
each field (
).
A histogram showing the number of candidates versus number of
confirmed emission-line objects by magnitude is shown in
Fig. 2. The photometric completeness limits
(
)
in the two photometric fields F4 (
m5007=26.6)
and F7 (
m5007=26.8) are shown as blue dotted lines. These photometric
completeness magnitude limits are defined as to where the
signal-to-noise over the entire photometric measurement is nine per
pixel or greater, corresponding to a photometric error of
approximately 0.12 mag (Feldmeier et al. 2003). The confirmation rate
for emission-line objects above the completeness limit is then 40-70%
depending on the field. This is comparable with the results from A04
(30-80% varying by field), and is a reasonable recovery rate given
the following effects.
Firstly, if the astrometry is not very precise or if some rotation error is introduced in positioning the plate, then part or all of the flux from some objects may miss the fibers. This is more serious for faint objects as they will then not be detected above the noise. Indeed, in Fig. 3 the total flux in the [O III] 5007 Å line is not clearly correlated with the magnitude m5007 of the source, indicating that fiber positioning might be problematic. We measure the relative fluxes for the same [O III]5007 Å detection in different frames and find that it can in fact vary by up to a factor of two.
Table 1: Observed fields and spectroscopic confirmations.
The likelihood of having false candidates above the completeness limit is very low. Each candidate ICPN was hand-inspected, and the code that finds the objects has been extensively tested on closer galaxies. In some cases (e.g., M 51, Durrell et al. 2003), there has been close to 100% recovery, using the same techniques as used to select the candidate ICPNs here.
However, below the photometric completeness limit the uncertainties are clearly much higher. Although many of the fainter objects are still likely to be ICPNs and were hence targeted spectroscopically, the probability for ``spillover'' (Aguerri et al. 2005) increases substantially. Due to the photometric errors in the [OIII] fluxes some objects will be measured with a brighter flux than their real flux. If in addition their broad-band fluxes fall below the limiting magnitude of the off-band image they will be selected as ICPNs when they are in fact very faint continuum stars, due to the fact that they will have erroneously large negative colours.
2.2 Spectra of PNs and background emission line galaxies
Figure 3 shows all of the spectra for the confirmed
PNs, ranked by their photometric magnitude m5007. For most of the
PNs brighter than
m5007=27 we also detect the second line
[O III]
4959. The expected location of [O III]
4959 is
shown by a red dash, where not immediately obvious by eye. The target
fields F7_1 and F7_2 overlap and have one source in common. The
independently measured velocities for this source agree to within
3 km s-1.
Our weakest believable detection has a total signal-to-noise ratio S/N=3. As an additional check we create the average combined spectrum for the 12 identified PNs (Fig. 4) and measured the equivalent width ratio of the two [OIII] lines. The ratio is 3 as expected if all identifications are real.
In Fig. 5, examples of the other emission-line
objects present in the sample are shown: an [O II] doublet, an
asymmetric Ly
line, and an unidentified broad emission line
which might be an AGN (for example CIV1550 or
CIII]1909). Alternatively, there is a possibility that the line is
HeII at 1640 Å in a LBG at higher redshift. Shapley et al. (2003) discuss that this is sometimes seen as
nebular emission and also as much broader emission (
)
possibly from stellar winds. The FWHM of the lines we see is about
(observed frame). The contamination rate of these other
emission-line objects is 7/19, or 37%.
![]() |
Figure 2: Histogram showing the m5007 mag of all our observed targets (solid black line) over-plotted with those where emission lines were detected (red dashed line). The blue dotted lines show the photometric completeness limits for target fields F4 (26.6) and F7 (26.8). |
| Open with DEXTER | |
The PN emission lines are all resolved, and thus we have been able to measure the expansion velocities of these PNs and to derive information on the masses of the progenitor stars. This work is presented in a companion paper (Arnaboldi et al. 2008). Here we concentrate on the kinematics, yielding information on the halo of M 87 and the assembly history of the Virgo cluster.
3 LOSVD and projected phase space
Figure 6 shows the distribution of velocities of
the newly identified PNs in the Virgo cluster core.
The velocities have not been adjusted for a heliocentric correction, as
the observations were almost all taken close to the equinox and the
correction is within only
.
For the subsequent analysis, we combine these velocities with the A04 sample in the FCJ and Core fields. Figure 7 shows the location of these PNs on the deep image of the cluster core from Mihos et al. (2005), and Fig. 8 shows their distribution in the projected phase-space plane defined by projected distance from M 87 center and line-of-sight velocity.
In the phase-space diagram Fig. 8, we can
identify two regions with very different characteristics: for
projected distances
most of the PNs are strongly clustered
around the systemic velocity of M 87,
km s-1. By
contrast, for
,
the PN velocities spread widely over a
velocity range more typical for the Virgo cluster. From the latter,
intracluster region we see a string of low PN velocities (800-400 km s-1), extending inwards to the upper FCJ field (see
Fig. 7).
In the FCJ field at projected distance
there are two of
these intracluster outliers at
km s-1. The remaining PNs are
distributed symmetrically around
and have mean velocity
and velocity dispersion
km s-1 (A04);
their velocity distribution is shown in the middle panel of
Fig. 6.
![]() |
Figure 3:
Spectra for the confirmed PNs, ranked by magnitude m5007 and smoothed by a factor 7 to 0.035 nm per pixel. m5007 and the
LOS velocities are labelled in the top left corner of each spectrum.
The expected location of [O III] |
| Open with DEXTER | |
In the combined new F7/F4 fields at
we find five PNs
tightly clustered around
km s-1; these have mean
velocity
and an rms dispersion of
.
At
comparable radii there are two additional PNs with velocities of 753 and
634 km s-1; compared to the previous five, these are
and
outliers. It is unlikely that one or two of these outliers are
part of the same (very asymmetric) distribution as the five PNs
clustered around
.
By contrast, they fit naturally into
the stream leading from the FCJ outliers all the way into the ICL. The probability of finding 5 PNs with velocity dispersion less than 80 km s-1 from a Gaussian velocity distribution with
km s-1 around
km s-1 as measured at 60 kpc is less than 1%. It is even smaller for larger
or when the two outliers at
VLOS=800 km s-1 are also considered as part of the distribution. We
therefore identify as PNs bound to the M 87 halo only those PNs which
are clustered around the systemic velocity of M 87. These are confined
to radii
.
The M 87-bound PNs in the FCJ and combined F7/F4 fields are located at mean projected radii of 60 and 144 kpc, respectively. They correspond to the narrow peaks in the line-of-sight velocity distributions (LOSVD) in the lower and middle histograms in Fig. 6.
Outside
in Fig. 8 we find PNs at larger
relative velocities to M 87, with an approximately uniform distribution
in the range -300 to 2600 km s-1. Those in the radial range
(the F7/F4 field) are confined to negative velocities
with respect to M 87. These are probably encroaching stars from M 86
and other Virgo components
. By contrast, the PNs further than
from
M 87 (in the Core field) show a broad distribution of velocities, more
characteristic of the cluster as a whole (see A04).
In the middle and bottom panels of Fig. 6, the ICL PNs show up as approximately flat velocity distributions in their velocity range, besides the peak of velocities from PNs bound to M 87. A flat distribution of velocities in addition to the peak near M 87's systemic velocity is also seen in the LOSVD of the dwarf spheroidal galaxies in the same region of the Virgo cluster core (Binggeli et al. 1993) which is shown in the top panel of Fig. 6. However, for the dwarf galaxies the flat velocity distribution extends to significantly more redshifted velocities, indicating that the dwarfs and ICL PNs kinematics can only partially be related.
![]() |
Figure 4: Combined spectrum of all 12 identified PNs, Doppler corrected to the rest-frame. |
| Open with DEXTER | |
![]() |
Figure 5:
Examples of the other emission-line objects present in the
sample, [OII], Ly |
| Open with DEXTER | |
![]() |
Figure 6:
Radial velocity histograms. The bottom panel shows the
velocity distribution of all identified PNs in the 3 new fields. The
peak at
|
| Open with DEXTER | |
4 The M 87 Halo
We have seen from the phase-space diagram in Fig. 8 that the PNs in the FCJ and F7/F4 fields divide into two components, one associated with the halo of M 87, and the other with the unbound Virgo ICL. All PNs found around the M 87 systemic velocity are within R=161 kpc projected radius from the galaxy's center. In the following subsections we combine our velocity measurements with the kinematic data in the literature, and discuss the rotation, velocity dispersion profile, dynamics and truncation of the outer M 87 halo. Finally we consider possible origins of the truncation.
4.1 Rotation of outer halo?
First we ask whether there is any evidence in our data for rotation in
the outer halo of M 87. For the globular cluster (GC) system of M 87,
Cohen & Ryzhov (1997) inferred a rotation of about 100 km s-1 for
kpc, approximately about the minor axis of the galaxy intensity
isophotes, using spectra of low resolution with errors for the GC
velocities of order 100 km s-1. Cohen (2000) added new data for GCs in
the halo at 24<R<43 kpc with smaller errors (typically
), and inferred a rotation of 300 km s-1. Côté et al. (2001)
carried out an independent analysis using a new spectroscopic and
photometric database (Hanes et al. 2001) partly based on that of
Cohen & Ryzhov (1997) and Cohen (2000), and similarly find
.
Côté et al. (2001) found that the metal rich GCs rotate
everywhere about the photometric minor axis of the galaxy, while the
metal poor GCs have a more complex behaviour: they rotate about the
photometric minor axis of the galaxy between 15<R<40 kpc, and about
the major axis at R<15 kpc.
If the PN population in the outer halo of M 87 also rotated about the
galaxy's photometric minor axis, similarly to the M 87 GC system at
15<R<40 kpc, we should see a signature along the major axis of the
galaxy, that is, the mean velocities of the PN LOSVD peaks associated
with M 87 in our two pointings FCJ (A04; this is F3 in Feldmeier et al. 2003)
and F7/F4 (Fig. 1) should be offset from the
systemic velocity of the galaxy (1307 km s-1). From the extrapolated fit
of Côté et al. (2001) to the GC radial velocities we would expect a
negative constant offset of about 160 km s-1 at both field positions,
i.e., a mean velocity of
km s-1.
For the M 87 sample of PNs identified in the phase-space diagram in
Fig. 8, we find a mean velocity of
in the new field (F7/F4) at
mean projected radius R=144 kpc. In the previously studied field
(FCJ; A04) the mean velocity is
at mean R=60 kpc.
Thus we see no evidence for rotation of the outer stellar halo
around the galaxy's minor axis in either the PN sample at R=60 kpc
or at R=144 kpc. The rotation seen in the GCs may thus suggest
that they do not trace the main stellar population of M 87, or that
they are contaminated with IC GCs with a LOSVD similar to the
encroaching stars of M 86 as seen in Fig. 8
(see also Fig. 1 of Côté et al. 2001). We have not surveyed fields
along the minor axis, so we cannot check with PNs whether there is
rotation about the major axis.
![]() |
Figure 7:
Deep image of the Virgo cluster core showing the distribution
of the intracluster light (Mihos et al. 2005). The spatial distribution
of our spectroscopically confirmed PNs are overlaid. The A04 targets
are shown in green. Our new targets are shown in red if redshifted
with respect to Earth and blue if blueshifted. Objects with
velocities higher than the mean velocity of Virgo (1100 km s-1) are
shown as crosses and those with lower velocities shown as circles.
Dwarf spheroidals are marked as magenta dots. The velocities (in km s-1) are labelled for all objects shown. The nominal ``edge'' of the
M 87 halo at
|
| Open with DEXTER | |
4.2 Velocity dispersion profile
With the new data, we can also now plot the velocity dispersion
profile of M 87 all the way out to R=144 kpc from the centre of the
galaxy. Figure 9 shows this as a function of
projected radius from M 87 centre. In the inner regions (
)
we use the G-band absorption line measurements from the integrated
stellar light of van der Marel (1994). In the region
we use stellar velocity dispersions from
Sembach & Tonry (1996). As these authors discuss, their data is
systematically offset from most other datasets by
,
due to
using a larger slitwidth. Romanowsky & Kochanek (2001) calculate that this amounts to
an additional instrumental dispersion of 183 km s-1 and so we adjust the
velocity dispersion by this amount (subtracting in quadrature) to
bring it in line with the van der Marel dataset. We take the average
of the velocity dispersions at each positive and negative R, assuming
symmetry with respect to the galaxy's center. We exclude the Sembach
& Tonry data in radial bins beyond 80
as there is a
discrepancy between the velocity dispersions at the corresponding
opposite positions in radius along the axis and furthermore the values
in those bins have large error bars. This may be due to low S/N in the
outer part of the galaxy where the surface brightness is low and/or
real anisotropies in the velocity dispersions. Either way we judge it
better to exclude these data points as they are less trustworthy.
![]() |
Figure 8: Distribution of line-of-sight velocity versus projected distance from the center of M 87 for all spectroscopically confirmed PNs in the new fields as well as the FCJ and Core fields of A04. |
| Open with DEXTER | |
We also show in Fig. 9 the data of
Côté et al. (2001) for the metal-rich GCs out to 380
.
We exclude
the outer bins (380
-635
)
where the error bars are
close to 100% and therefore do not constrain the shape of the
velocity dispersion profile in any way. The metal-poor GC system is
more spatially extended than its metal-rich counterpart (see
Fig. 10 below and Côté et al. 2001) and may be composed of
accreted and/or infalling remains of ``failed'' or disrupted dwarfs:
their velocity dispersion data are also shown in
Fig. 9, but do not trace the velocity
dispersions of the M 87 stars. We also note from Fig. 1 of
Côté et al. (2001) that the GC sample is likely to contain intracluster
GCs just as our PN sample contains ICPNs, requiring a careful analysis
of the GC LOSVDs.
Finally, the two outermost velocity dispersion points are from
planetary nebulas presented in A04 and this paper. We note that when
we bin the A04 data to be consistent with the binning of the velocity
distribution in this work (100 km s-1 bins) the peak around M 87 is
resolved into a somewhat narrower peak of 9 objects, with additional two lower
velocity and one higher velocity outliers
(Fig. 6). The mean and rms velocity of this peak
of
km s-1 and
km s-1 from A04 would then
change to
and
respectively. It is
possible that the larger value of
obtained by A04 could
be due to the inclusion of some ICPNs from the component with uniform
LOSVD seen in Fig. 6. We carried out
tests
but could not distinguish between
both interpretations. The phase space plot in Fig. 8 and the dynamical model discussed below favors the
high value of
at R=60 kpc.
In any case, the PN velocity measurements show that the halo of M 87
becomes colder at larger radii: the velocity dispersion decreases to
78 km s-1 at
kpc.
![]() |
Figure 9:
Velocity dispersion profile of M 87, including stellar
velocity dispersions from absorption-line spectra and discrete LOS
velocity measurements from globular cluster and PN data. The squares
are data points from van der Marel (1994), the green diamonds are based on
Sembach & Tonry (1996), and the red and blue stars are velocity dispersions
for the metal-rich and metal-poor GC samples of Côté et al. (2001),
respectively. The filled red circle is the PN velocity dispersion dertermined in A04 and the filled red square shows a recalculation of the velocity dispersion if 3 of the PNs inclued by A04 are considered to be outliers (but see text). The filled red trangle is the outermost velocity dispersion point determined in this paper. These last two points are approximately
along the major axis of the outer isophotes, which have ellipticity
|
| Open with DEXTER | |
4.3 Truncation of the M 87 stellar halo
In the FCJ field, there are M 87 halo PNs detected throughout, but in the F7/F4 fields, the PNs around the systemic velocity of M 87 (=1307 km s-1) appear to be found only within a projected radius of R= 161 kpc (see the spatial distribution of the spectroscopically confirmed PNs in Fig. 7). At projected radii R > 161 kpc from the center of M 87, we find only the encroaching stars of M 86 and other Virgo components. We now investigate whether this spatial and velocity segregation is significant and indicates that the M 87 stellar halo is truncated.
Kormendy et al. (2008) present a composite V-band surface-brightness
profile for M 87 out to 135 kpc along the semi-major-axis. This is
shown with black circles in Fig. 10, with the
semi-major axis of each isophote replaced by the average ellipse
radius,
of the isophote. We will use the latter
in the construction of the spherical Jeans models in
Sect. 4.4. Kormendy et al. (2008) fit a Sérsic profile
to the semi-major axis profile excluding the central core and the last
two data points (which may have a significant ICL contamination), and
obtain the following best-fit parameters:
,
kpc,
n = 11.885. We use this Sérsic fit to the surface
brightness profile (see Fig. 10) to compute the
luminosity of the M 87 halo at radii outside the available photometry.
We note that the description of M 87 as a classical E0 or E1 galaxy is
based on short exposure optical images, while in deep images its
isophotes show marked eccentricity. For the extrapolation we assume an
ellipticity
and position angle (
), based
on the outer parts of the ellipticity and position angle profiles in
Kormendy et al. (2008). We then evaluate the M 87 halo luminosities in the
regions of overlap between the photometric and spectroscopic fields,
in which, respectively, the photometric identification and
spectroscopic follow-up of the PNs was carried out. These are shown by
the colored regions in Fig. 11. For ellipticity
,
the PNs belonging to M 87 appear to be found within an
average ellipse radius
kpc. We use the isophote
corresponding to this radius to demarcate the region containing PNs
belonging to M 87 (in red in Fig. 11) from the region
containing no PNs belonging to M 87 (in green in
Fig. 11). Table 2 gives the areas
and the V-band luminosities of the various regions obtained. On the
basis of the Sérsic fit, the ratio of the M 87 luminosity in the
F7-green and in the F7-red area is 0.92.
![]() |
Figure 10:
V-band surface brightness profile for M 87 from
Kormendy et al. (2008) shown with black circles along average ellipse
radii
|
| Open with DEXTER | |
From the number of spectroscopically confirmed M 87 PNs in the F7-red
area (i.e., 5), and the ratio of the M 87 halo luminosities from the
Sérsic fit (i.e., 0.92), we can then predict the expected number
of PNs at the M 87 systemic velocity in the F7-green area, to be
PNs. The observational result of zero M 87 PNs
detected in the F7-green area thus implies a truncation of the M 87
stellar halo at
kpc, at a
level.
This radius tells us the location of the outermost PN in terms of the
average ellipse radii and we now refer to it as the truncation radius
.
| |
Figure 11:
Left: the red region is the intersection between the photometric
field FCJ and the FLAMES (FCJ) pointing.
Right: the red region is the part of the intersection between the
photometric field F7 from Feldmeier et al. (2003) and the regions
jointly covered by the F7_1, F7_2 and F4 FLAMES circular
pointings, which is within the isophote with an average ellipse
radius,
|
| Open with DEXTER | |
This is a surprising result: the numerical simulations of
Abadi et al. (2006) find that the luminous halos around isolated galaxies
should extend to the virial radius, i.e., to several hundred kpc and
well beyond their traditional luminous radius. It is therefore not
obvious why there should be a truncation of the M 87 stellar halo, see
Sect. 4.5. One question is whether the truncation we see
occurs only at the targeted
within an opening angle
,
say, rather than at all azimuths, and whether when azimuthally
averaged, the halo light distribution would extend to larger radii.
This could be the case if we had reached the radii where the stellar
halo of M 87 has a significant amount of substructure, similar to the
outer Milky Way halo (Bell et al. 2008). For example, we might explain
the spatial segregation of the M 87 halo PNs in terms of a cold stellar
shell at our field position, followed by a steeper surface brightness
profile at those
whereas at other
the profile would be
shallower. This would also explain the small
that we
measure in our fields at R=144 kpc, as the stars populating shells
are near to the apocenters of their elongated orbits.
To assess this we must reconsider the photometric structure of M 87.
Within a semi-major axis of
kpc and
,
the
surface brightness distribution around M 87 is well approximated by an
extended envelope with
(Kormendy et al. 2008; Mihos et al. 2005).
This ellipsoidal component includes the diffuse fan of stellar
material, which extends along the projected southeast semi-major axis
out to
kpc (Weil et al. 1997; Arp & Bertola 1971), but is otherwise fairly
smooth. At larger radii and fainter surface brightnesses, the light
distribution is a superposition of the outer halo of M 87 and the ICL
and is brightest in the range of
towards M 86 where our target
fields are. At these radii it does show irregular features and
some radial streamers, and our fields are large enough to include
several of these. In fact, some of our outermost M 87 PNs may be close
to an arc-like feature in the Mihos et al. (2005) image beyond which little
light is seen. However, both the earlier results of Weil et al. (1997) who
reported the apparent lack of sharp-edged fine structures around M 87,
and our independent inspection of the Mihos et al. (2005) image near M 87,
provide no evidence for a large number of ``shell-like'' features at
various azimuths and radii around M 87. This is true both inside and
outside our truncation isophote, and in particular around
kpc, where the PN data already indicate a falling velocity
dispersion profile (see Fig. 9).
Further investigation of the extended luminosity distribution around M 87 would require quantitative photometry of the deep image of Mihos et al. (2005), and a large-area and wide-angle PN velocity survey to separate the outer halo of the galaxy from the ICL with better statistics.
In what follows, we follow an independent approach and test the hypothesis of a truncated stellar halo in M 87 dynamically. We will verify whether we can make a dynamical model for M 87 in which the stellar velocity dispersion reaches low values everywhere around M 87, and the total gravitational potential is traced by the X-ray emission of the hot gas.
Table 2: M 87 halo PNs and sampled luminosities.
4.4 The mass distribution and anisotropy in the M 87 outer halo
The smooth photometric and X-ray emission profiles indicate that
the outer halo of M 87 is in approximate dynamical equilibrium.
With the extended velocity dispersion profile we are now able to
create dynamical models of M 87 to infer the orbital structure in the
outermost halo. In a spherical system, the intrinsic velocity
dispersions of a population of stars with density j moving in a
potential
are related by the second-order Jeans equation
where the anisotropy parameter
Therefore if we know the potential
,
density of stars j and
assume a radial dependence for the anisotropy, we can solve for the
intrinsic radial (
)
and tangential (
)
velocity dispersion profiles. These can then be projected and compared
with the observed projected velocity dispersion profile to fix the
parameters of the assumed anisotropy profile. Under the spherical
assumption, the radii of the observables will be the average ellipse
radii
introduced in Sect. 4.3.
One method of deriving the potential of a galaxy is to use electron density and temperature profiles obtained from X-ray measurements of the thermal bremsstrahlung emission from the hot interstellar medium surrounding massive elliptical galaxies. If the gas is relatively undisturbed then we can assume that the gas is in hydrostatic equilibrium and thus derive the potential.
Nulsen & Böhringer (1995) use ROSAT data and a maximum likelihood
method to deduce the most likely mass profile in the Virgo cluster
core, extending from the centre of M 87 out to 300 kpc. They
parametrize this profile with a model composed of two (approximate)
isothermal mass distributions, one attributed to the mass of M 87 with
a mass per unit length
kpc-1and the other to the dark matter of the cluster with a mass per unit
length
kpc-1 and a core
radius a = 42 kpc. This parametrization is given as
This mass profile is related to the potential through
![]() |
Figure 12: Circular velocity profiles for M 87 from X-ray data. |
| Open with DEXTER | |
The density of the stars was obtained through the deprojection of the surface-brightness profile of M 87. To obtain the intrinsic luminosity density, we adopt the Kormendy et al. (2008) profile (also missing the last two data points), and using their Sérsic fit, extrapolate to very large radii, see Sect. 4.3; then we employ the standard deprojection formula. In Fig. 10, the Sérsic extrapolation is shown by the red circles and the reprojection of the intrinsic luminosity density is shown by the solid black line which follows the circles very well.
Finally, the radial dependence we adopt for the anisotropy profile is
given by
where r1<r2,
where x = r1/r2 so that
Then the projected velocity dispersion,
To obtain a dynamical model for the Sérsic light distribution in the
potential implied by Fig. 12, we fixed the minimum
and maximum anisotropy using constant anisotropy models and then
employed a
minimization approach to deduce the best-fit r2for the solution in Eq. (5). This minimization takes into
account the long-slit data, the
point at 60 kpc from A04, and the new
point at 144 kpc, but not the globular
cluster data. The best-fit model is shown by the solid black line in
Fig. 13. It fits the data very well within 6 kpc but
it is unable to reproduce the low PN velocity dispersions in the outer
parts, at
kpc and
kpc, where it would predict
LOSVDs with dispersions of 350-400 km s-1.
On the basis of the results in Sect. 4.3, we assume now that
the galaxy's intrinsic luminosity density is truncated at
kpc (i.e., in a spherical system the intrinsic
truncation radius is the same as the projected truncation radius).
The reprojection of this truncated intrinsic luminosity density is
also shown in Fig. 10 by the blue dashed line. We
construct a Jeans model for the truncated luminosity distribution in
the same way as above. Finally, to check the influence of the assumed
potential on the results, we have evaluated one further model, also
assuming a truncation in the luminosity density but using the circular
velocity that was adjusted to the analysis of XMM-Newton
observations in Matsushita et al. (2002). The corresponding Jeans models are
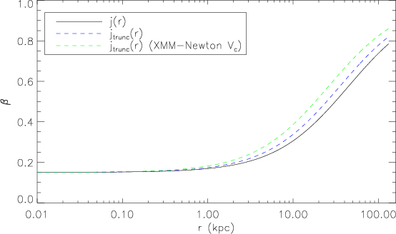
shown in Fig. 13 with the blue and green dashed lines
respectively, with the second model dipping slightly lower in the
outer parts, reflecting the lower potential in this region.
Both truncated models behave as the untruncated Sérsic model in the
center, but fall much more steeply at radii
kpc, thus
being able to reproduce the outermost
data points at
and
kpc (corresponding to projected radii
R=60 and R=144 kpc). At
kpc, the truncated models
predict a velocity dispersion which favours the higher value of
,
i.e., 247 km s-1. Figure 14 shows
that the best-fit models imply a mildy radially anisotropic orbital
distribution (
)
in the centre that becomes highly
radially anisotropic in the outer halo (
).
We conclude that, under the assumption of spherical symmetry, the
Jeans models can only reproduce the low PN velocity dispersion
measurements in the outer halo of M 87 at
kpc only with
a truncation of the intrinsic luminous density.
In principle, this dynamical argument could be circumvented if at
the position of our outer fields the stellar halo of M 87 was
strongly flattened along the line-of-sight. In this case
could be low at these radii independent of a
truncation. However, at
kpc radius such a flattening is
likely to be local and would have arisen from the geometry of
accretion, rather than signifying an angular momentum supported
global structure collapsed from even
times
further out. Thus the well-mixed, three-dimensional stellar halo of
M 87 would then have ended at even smaller radii. Also note that in
this case we could still not explain the lack of PNs at the M 87
systemic velocities for radii greater than
(see
Fig. 8 and the discussion in
Sect. 4.3.)
![]() |
Figure 13:
Velocity dispersion profiles derived for Jeans models with
spherical symmetry and surface brightness profiles as in
Fig. 10; see text. The velocity dispersion data
points are shown at their average ellipse radii
|
| Open with DEXTER | |
![]() |
Figure 14:
Anisotropy profiles for the best-fit models: they imply
a mildy radially anisotropic orbital distribution (
|
| Open with DEXTER | |
4.5 On the possible origin of a truncated stellar halo in M 87
Summarizing the last two sections, there are two independent and
mutually consistent pieces of evidence that the stellar halo of M 87
ends at
kpc: the lack of PNs around the systemic
velocity of M 87 beyond this radius, and the very low velocity
dispersion in the outer halo.
In well-mixed, dense galaxy clusters it is expected that galaxies are
tidally truncated by the cluster's tidal field
(Merritt 1984; Ghigna et al. 1998). The tidal effects are strongest near the
cluster core radius and the approximation
for the tidal radius is
found to work well. Here
is the pericenter of the
galaxy's orbit in the cluster, and
and
are the velocity dispersions of the galaxy halo
and the cluster, respectively. The tidal truncation of the dark matter
halos of galaxies has been detected with combined strong and weak
lensing observations in several dense clusters
(Halkola et al. 2007; Natarajan et al. 1998,2002; Limousin et al. 2007). Tidal radii
of between 15 and 60 kpc have been found, in agreement with
predictions.
The case of M 87 is not so simple though. M 87 is at the center of at
least a subcluster potential well, traced by the X-ray emission and
the dark matter mass profile derived from it (Nulsen & Böhringer 1995; Schindler et al. 1999, see
Fig. 12). A galaxy at the center
of its cluster experiences a symmetric gravitational field from the
cluster dark matter, and is consequently not gravitationally truncated
(Merritt 1984). On the other hand, M 87 has a relative motion of
km s-1 with respect to the galaxies in the cluster core
(Binggeli et al. 1993), and the galaxy distribution in the core is complicated
and not centered on M 87, containing a strong concentration around
M 84/M 86 (Binggeli et al. 1987). It is possible that the M 84/M 86 concentration
including the associated dark matter exerts a significant tidal field
on M 87. There is no obvious feature in the density of the X-ray
emitting gas at
kpc around M 87, but because the
total mass within the truncation radius appears to be already
dominated by cluster dark matter, a tidal truncation of the M 87 mass
distribution may be difficult to see in X-ray observations. However,
if M 87 was currently tidally truncated by a tidal field with assumed
mass center towards M 84/M 86, we would expect to see some of the
tidally dissolved stars as PNe in our outer F7 fields at slightly
redshifted velocities with respect to the systemic velocity. Within
the limited statistics, we do not see any PNs with such velocities
outside a projected radius of 161 kpc, see Sect. 4.3. This
suggests that if there has been a tidal truncation, it would have
occurred some time ago during the interaction with another mass
concentration. The most likely candidate in the Virgo core may be
that around M 84; at a relative velocity with respect to M 87 of about
300 km s-1, M 84 could have travelled their current projected separation
in
Gyr.
On the other hand, due to the dynamical youth of the Virgo cluster, it is also possible that M 87 has not been tidally affected yet, and is more similar to an isolated massive elliptical galaxy. As already mentioned in Sect. 4.3, the luminous halos around isolated galaxies are expected from numerical simulations (Abadi et al. 2006) to extend to the virial radius, i.e., to several hundred kpc, and well beyond their traditional luminous radius. Hence we now consider the possible origins of the truncation of the M 87 stellar halo in the context of isolated galaxies.
One possible explanation might lie in the fact that M 87 is an old galaxy with a massive nuclear black hole, which points to much stronger AGN activity in the past than is apparent now. The feedback from its AGN through the surrounding hot gas might at some redshift zf have stopped the star formation in nearby satellite galaxies through, e.g., ram pressure stripping. When these satellites later accreted onto the galaxy, they would have predominantly added dark matter to the outer halo, so that the virial radius RV of M 87 kept growing, but the luminous radius stalled at RV(zf). On this assumption, we can estimate zf from the redshift dependence of the virial radius.
The X-ray observations show that the hot gas extends out to 300 kpc
(Matsushita et al. 2002; Nulsen & Böhringer 1995). The derived integrated mass profile of the total
gravitating matter shows a change in slope at about 30 kpc
(Matsushita et al. 2002), and then increases linearly at large radii (see
Fig. 12 above). The mass distribution inferred from
the X-ray measurements thus provides evidence for two components: a
galaxy dark matter component and a cluster dark matter component. From
the modeling of Nulsen & Böhringer (1995) and the rotation curve in
Fig. 12 we can estimate the maximum circular velocity
generated by the M 87 galaxy halo now to be
.
Using the results of Bullock et al. (2001), this corresponds
to a present-day virial mass
and virial radius
kpc,
several times larger than the truncation radius inferred from both the
PN number counts and the outer halo dynamics,
kpc. For the same
,
the virial radius of M 87 would
have been 149 kpc at redshift
,
arguing that feedback
would need to have been effective quite early-on to explain the
observed truncation radius.
A second possible explanation would assume that the accretion of dark matter and satellites onto M 87 ceased with the collapse of the Virgo cluster core. In the new potential after the collapse, the satellites would both have been deflected from their nearly radial orbits with respect to M 87, and have significantly larger impact velocities than previously, making accretion and merging with M 87 suddenly less likely. The total mass of M 87 would thus not increase any further, stalling at the virial mass at that redshift. Moreover, the rotation curve in Fig. 12 shows that with the on-going collapse of the Virgo cluster a substantial cluster dark matter cusp has since built up within the halo of M 87. The likely effect of this is an adiabatic contraction of the galaxy's luminous and dark halo.
The two-component mass model of Nulsen & Böhringer (1995) (see Eq. (2)) for the present-day mass distribution predicts within
kpc, a galaxy mass of
and a cluster dark matter mass of
,
assuming a flat
rotation curve for the galactic contribution to the mass. The luminous
mass of M 87, (4-5)
(Cappellari et al. 2006), is consistent with the estimated total galaxy
mass. As an example, consider truncation of the accretion onto M 87 by
the collapse of the Virgo core at redshift
.
Using a lower
for the M 87 halo before adiabatic
contraction and again the results of Bullock et al. (2001), the virial
mass and radius at that redshift become
and virial radius
kpc. An (over)estimate of the adiabatic contraction can be obtained
from angular momentum conservation at the outer radius, i.e.,
,
giving
.
This suggests that the observed
truncation radius could well be the relic of the virial radius from
the time when the cluster core collapsed.
It is clear that more data are needed to pursue this question further. In particular, a larger number of PNs all around M 87 would be very useful to set stronger constraints on the tidal hypothesis.
5 The luminosity-specific PN number for the M 87 halo and the ICL in Virgo
The physical quantity which ties a PN population to the luminosity of
its parent stars, is the luminosity-specific PN number
,
where
is the number of all PNs in the
population
and
is the bolometric luminosity of the parent stellar
population. Observations show that this quantity varies with the
(B-V) color of the stellar continuum light (Hui et al. 1993), and simple
stellar population models predict that it is a function of the age and
metallicity of the parent stellar population (Buzzoni et al. 2006).
Furthermore, within the framework of single stellar populations
models, the
parameter quantifies the average PN lifetime
(Ciardullo et al. 2005; Villaver et al. 2002) via the relation
,
where
is the ``specific evolutionary
flux'' and is nearly constant (see Buzzoni et al. 2006, for a detailed discussion). The PN samples in elliptical galaxies and the ICL
are all confined to the brightest 1 to 2.5 mag of the PNLF.
Therefore we use the
parameter, defined in terms of
N2.5, the number of PNs down to 2.5 mag below the PNLF
cut-off:
equals about one tenth of
according
to the double exponential formula of Ciardullo et al. (1989) for the
PNLF.
We can use the number of photometrically detected PNs in the FCJ,
F7/F4 fields, and the luminosities of both the M 87 halo and the ICL
populations sampled in the surveyed areas, to compute the
values for these two components. Since the M 87 halo and
the ICL coexist at the two field positions, we determine the fraction
of the PNs in the photometric sample bound to the M 87 halo or in the
ICL according to the fraction of spectroscopically confirmed PNs
associated with each component in the LOSVD, i.e., with the narrow M 87
peak or the nearly uniform velocity distribution for the ICL.
Luminosity of the ICL - We estimate the luminosities of the ICL
stellar population in our fields from the deep photometry of
Mihos et al. (2005). Such surface brightness measurements for the
diffuse light generally contain the cumulative contributions from
extended galaxy halos, the true ICL, and from excess unresolved
background galaxies above that adopted from the sky subtraction.
Depending on the method of sky subtraction, the homogeneous part of
the last component may be included in the sky measurement. The
photometry of Mihos et al. (2005) shows a ``plateau'' of the surface
brightness at a value of
half way between M 87 and
M 86, where the F7/F4 fields are situated. As we have seen in
Sects. 4.3 and 4.4, there is no
contribution from the halo of M 87 to the plateau. Williams et al. (2007)
estimate the surface brightness of background galaxies from their
deep imaging survey with the Hubble Space Telescope's Advanced
Camera for Surveys (ACS), in a small (intracluster) field within our
field F4. These galaxies, which are resolved in the ACS data, would
contribute a diffuse surface brightness of
in
ground-based data. The sky subtraction procedure adopted by
Mihos et al. (2005) would have already subtracted this component if its
surface brightness is similar in the edges of the mosaic where the
sky was measured. In the following, we therefore use
for the ICL surface brightness in this region, with a possible
uncertainty of a few tenths of a magnitude due to a possible
inhomogeneity of the background sources.
The
values and their implications - In what
follows we make the assumption that the ICL surface brightness is
constant in the FCJ, F7/F4 fields at this value of
mag arcsec-2. In Table 3 we give the corresponding
ICL luminosities and the number of spectroscopically confirmed PNs
from the ICL in these fields,
.
In
Table 4 we give the number of PNs in the complete
photometric samples in the overlap area covered by the spectroscopic
follow-up,
,
and the fraction of PNs in the M 87 halo and the
ICL according to their measured LOSVDs. Because of the small number
statistics, we compute
for the M 87 halo in FCJ, and for
the ICL in F7, where their respective contributions are largest.
Table 3: ICL PNs and sampled luminosities in the colored regions of Fig. 11.
Table 4: Number of PNs in the photometric samples, for the M 87 halo and the ICL.
The
of each field is scaled by a factor
![]() |
(6) |
where PNLF(m) is the analytic expression for the PNLF (Ciardullo et al. 1989), M* and m* denote the absolute and apparent magnitude of its bright cutoff, respectively, and
The V-band luminosities in each field are converted to bolometric
luminosities according to
![]() |
(7) |
According to Buzzoni et al. (2006), a value of BCV = -0.85 mag can be taken as a representative correction for all galaxy types within 10% uncertainty.
Finally, we obtain the bolometric luminosity-specific PN number
:
for the M 87 halo light at the FCJ position it is
PN
,
and for the
ICL at the F7 position it is
PN
.
The values of
for different stellar
populations are well documented (Ciardullo et al. 2005; Coccato et al. 2009; Buzzoni et al. 2006):
in the range
PN
are
observed for bright ellipticals and S0s. Both the
values obtained for the ICL and for the M 87 halo stars are consistent
with those of old (> 10 Gyr) stellar populations.
Uncertainties in the
values - The luminosity
of the M 87 halo is computed using Monte Carlo integration of the
Sérsic fit to the surface brightness from Kormendy et al. (2008) in
the FCJ field, and the errors here are of the order of few percent.
The luminosity of the ICL is computed using
from
Mihos et al. (2005). We independently estimated the ICL surface brightness
by comparing the reprojected surface brightness profile of the M 87
halo with the Sérsic fit of Kormendy et al. (2008) in the F7 field.
This results in an azimuthally averaged ICL
.
While
fainter than the measurement of Mihos et al. (2005), the two
values may be quite consistent when taking into account that the ICL
is observed mostly on the side of M 87 towards M 86/M 84.
Considering the uncertainties in the surface brightness for the M 87
halo and ICL, and the statistical errors in the number of detected
PNs, the
values for M 87 and ICL differ at the
![]()
level. We speculate that
is a factor
2 larger than
because of different metallicity
distributions in the ICL and the M 87 halo, with a larger fraction of
metal-poor stars in the intracluster component, as shown by
Williams et al. (2007).
6 ICL and the dynamics of the Virgo cluster core
6.1 ICPNs and dwarf spheroidals
The LOSVDs in Fig. 6 show the dynamical components in the Virgo cluster core: the halo of M 87, and the ICL component traced by a broad PN velocity distribution. This component covers the velocity range from 1300 km s-1 down to the systemic velocity of M 86 at -244 km s-1. Overlaying the spatial coordinates of the PNs on the deep image of the Virgo cluster core (Fig. 7; Mihos et al. 2005) we can easily see the association of the PN components identified in the velocity - position space, with the morphological components of the surface brightness distribution in the Virgo core. The M 87 PNs are confined to still relatively bright regions covered by the M 87 halo, while the ICL PNs are scattered across the whole region.
For comparison, we examine the phase space distribution of dwarf
elliptical galaxies in a region covering our target fields for the PNs
spectra, i.e., in a 1.5 degree diameter circle centred on the midpoint
of M 87 and M 86 (Fig. 7). The aim is to search
for possible associations between our ICPNs and the positions and
velocities of the dwarf galaxies. The top panel of
Fig. 6 shows a histogram of the LOS velocities
for all dwarfs in the region marked in Fig. 7.
The velocities form a flat, uniform distribution extending to larger
positive velocities than the ICPNs. We ask whether any of the PNs
could be physically associated with the dwarf galaxies. There are only
two potential associations: one is between a PN with velocity 818 km s-1 and a close-by dE at 791 km s-1. This dE has total blue apparent
magnitude 15.4, i.e.,
MB=-15.48 (using the assumed distance) or
.
According to Ciardullo et al. (2005),
galaxies fainter than
and bluer than V-I<1.1 produce
about one [O III]-bright PN in every
.
It is
therefore unlikely that the dwarf galaxy in question produced the PN
detected here (as the expected number is 0.35) although it cannot be
ruled out completely. On the other hand, the second association may
well be genuine: this is of a PN with velocity +28 km s-1 and a close-by
Sb spiral galaxy to its west, which has velocity 30 km s-1 and
(and therefore is capable of producing between 85 and
2000 PNs depending on its age, see Buzzoni et al. 2006).
Although the majority of the ICPNs do not appear to be physically associated with the dwarf galaxies (i.e., the PNs are unlikely to originate in the dwarfs), their distribution in velocity space is at least partially similar, indicating that they follow similar dynamics.
6.2 Dynamical status of the Virgo core
The velocity distribution of dwarf spheroidals (dE+dS0) in a
radius circular region centred on M 87 is very flat and broad, with the
peak of the distribution at 1300 km s-1 and a long tail of negative
velocities (Binggeli et al. 1993). The LOSVD of the ICPNs now confirms that
this asymmetry is also present in the very center of the Virgo core,
in a region of
diameter. Figure 8
shows that velocities near the systemic velocity of M 86 are seen to
about half-way from M 86 to M 87.
The asymmetry and skewness of the LOSVD may arise from the merging of
subclusters along the LOS as described by Schindler & Böhringer (1993). In their
simulations of two merging clusters of unequal mass, the LOSVD is
found to be highly asymmetric with a long tail on one side and a
cut-off on the other side, shortly (
yr) before the
subclusters merge.
The observed LOSVDs of the PNs, GCs (Côté et al. 2001), and (dE+dS0) in the Virgo core may therefore be interpreted as additional evidence that the two massive subclusters in the Virgo core associated with the giant ellipticals M 87 and M 86 are currently falling towards each other - more or less along the LOS, with M 87 falling backwards from the front and M 86 forwards from the back - and will eventually merge, i.e. the entire core of the Virgo cluster must then be out of virial equilibrium and dynamically evolving.
The distribution of the brightest galaxies in Virgo also favors a recent and on-going assembly: West & Blakeslee (2000) found that Virgo's brightest elliptical galaxies tend to be aligned along the principal axis of the cluster (which is inclined by only about 10-15 degrees to the line of sight) and which on larger scales connects Virgo to the rich cluster Abell 1367. This work suggests that the formation of the cluster is driven by infall along this filament.
Do the halos of M 87 and M 86 already touch each other, or are they just
before their close pass? PNLF distances (Jacoby et al. 1990) and
ground-based surface brightness fluctuation distances (Tonry et al. 2001)
indicate that M 86 is behind M 87 by just under
0.15 mag. The globular cluster LF turnover also suggests that M 86 is
likely 0.1 to 0.2 mag more distant than the main body of Virgo
(Kundu & Whitmore 2001). However, the most recent surface brightness fluctuation
measurements by Mei et al. (2007) find that M 87 and M 86
are only at very slightly different distances. Within the errors, the
distance moduli (M 87:
,
M 86:
)
are
consistent with being either at the same distance or separated by 1-2 Mpc. Unfortunately the evidence from the relative distances of
M 87/M 86 is not conclusive at this stage.
6.3 Implications for the formation of the ICL
The observational facts concerning the ICL in the Virgo cluster core are:
- 1.
- The LOSVD of the ICPNs is not symetrically distributed around
the systemic velocity of M 87. Those between M 87 and M 86 are mostly
at ``bluer'' velocities, i.e., <800 km s-1. ``Red'' velocities are
only seen in the field
north of the line connecting
M 87 with M 86; see Fig. 7;
- 2.
- While the dwarf spheroidals' (dE+dS0) LOSVD in the region marked
in Fig. 7 extend into ``red'' velocities, up to
2500 km s-1, ICPNs with velocities greater than 1800 km s-1 are seen
only at its northern perimeter, while those in the region between
M 87 and M 86 are confined to <800 km s-1 (see
Figs. 6, 7,
8). This is not a consequence of the filter used
in the photometric selection of these objects, which still has a
transmission of 50% to [OIII]
5007 at
2275 km s-1 (Feldmeier et al. 2003)
;
- 3.
- The morphology of the ICL between M 87 and M 86 is ``diffuse''; it is mostly not in tidal tails or streams (Mihos et al. 2005);
- 4.
- The measured
parameter for the ICL is in the
observed range for old stellar populations;
- 5.
- The metallicity distribution of the RGB stars associated with the ICL in the Williams et al. (2007) field is broad, with a peak at about 0.1 solar, and the best model of Williams et al. (2007) indicates an old stellar population (>10 Gyr).
We conclude that we have found observational evidence in the Virgo core for the mechanism described by Rudick et al. (2006): we observe the diffuse component ``pre-processed'' in the M 86 sub-group, which is or has been gravitationally unbound from M 86 as this substructure is being accreted by M 87. The idea that the diffuse light is being stripped from the M 86 sub-group is consistent with the observed highly skewed LOSVD and with the predictions from the simulations of Schindler & Böhringer (1993). Note that the light in the M 86 subgroup is tidally stripped by the more massive M 87 component, while these two sub-structures merge along the LOS; we do not see a diffuse ICL with a broad velocity component redwards of the systemic velocity of M 87, because it has not yet been formed.
This scenario is also consistent with the simulations of Murante et al. (2007). Their statistical analysis of the diffuse star particles in a hydrodynamical cosmological simulation indicates that most of the ICL is associated with the merging tree of the brightest cluster galaxy, and about 80% of the ICL is liberated shortly before, during and shortly after major mergers of massive galaxies. The results from Murante et al. (2007) imply that the main contribution to the ICL comes from merging in earlier sub-units whose merger remnants later merge with the final cD galaxy. Similarly, Rudick et al. (2006) predict that violent merging events quickly add ICL, and without or between these events, the ICL fraction rises only slowly. Once the M 86 subgroup has finally merged with M 87, this will have created the most massive galaxy in the then Virgo cluster, and the ICL in the future Virgo core will indeed have originated mainly from the progenitors associated with its merging tree.
7 Summary and conclusions
Using high resolution multi-object spectroscopy with FLAMES/MEDUSA on
the VLT we confirm a further 12 PNs in the Virgo cluster, located
between 130 and 250 kpc from the center of M 87, and obtain their
radial velocities. For most of these objects we also detect the second
line [O III]
4959 Å. These PNs trace the kinematics of diffuse
light in Virgo, at typical surface brightness of
.
The phase-space distribution for the new sample of PN velocities combined with earlier measurements at 60 and 150 kpc from M 87 illustrates the hierarchical nature of structure formation. One group of PNs has an unrelaxed distribution of velocities with a range characteristic for the still assembling Virgo cluster core, while the second group has a narrow velocity distribution which traces the bound, cold outer halo of M 87. We summarize our results for these two groups in turn.
7.1 Dynamical status of the Virgo cluster and origin of the ICL
Seven of the newly confirmed PNs are genuine intracluster PNs in the Virgo core, not bound to M 87. Their spatial and velocity distribution indicates that we are witnessing the gravitational stripping of the diffuse light component around the M 86 group, as this sub-structure is being accreted by the more massive M 87. We do not see a diffuse ICL with a broad velocity distribution including red-shifted velocities around M 87, because it presumably has not been formed yet.
On the basis of the LOSVDs of ICPNs and galaxies in the Virgo core, we surmise that M 87 and M 86 are falling towards each other nearly along the line of sight, and that we may be observing them in the phase just before the first close pass. We thus conclude that the heart of the Virgo cluster is still far from equilibrium.
Finally, the
values determined for the ICL indicate an
old stellar population. This is consistent with the analysis by
Williams et al. (2007) of the colour-magnitude diagram (CMD) for ICL red giant
stars, which showed an old stellar population (
10 Gyr) with a
large spread of metallicities. Differently, the CMD for a nearby dwarf
spheroidal galaxy indicates a similarly old, but metal-poor stellar
population (Durrell et al. 2007). Together with the observed
distribution of the ICPNs, these results suggest that at least some of
the ICL in Virgo originates from stars unbound from the brightest and
most massive galaxies.
7.2 The M 87 halo
The other five of the newly confirmed PNs are associated with the bound halo of M 87, at a mean projected radius R=144 kpc from the centre of the galaxy. These PNs have velocities close to the systemic velocity of M 87, with a small dispersion, and are furthermore segregated spatially from the rest of the (intracluster) PNs, as shown in Figs. 7 and 8.
The LOSVDs of the M 87 PNs both in the new fields and in the FCJ field
of A04 are consistent with no rotation of the outer halo around the
photometric minor axis, outside R = 15 kpc. We cannot test whether
the halo is rotating around the major axis. The rms velocity
dispersion for the 5 M 87 PNs at 144 kpc is
km s-1, much
smaller than the central velocity dispersion. Together with the
results of A04, this indicates that the M 87 halo becomes ``dynamically''
cold beyond 50 kpc radius.
The PNs around the systemic velocity of M 87 are confined to radii
kpc. The absence of M 87 PNs at larger radii with respect to
the extrapolated Sérsic fit to the surface brightness profile from
Kormendy et al. (2008), despite being based on small numbers, is
significant at the
level. This suggests that the edge
of M 87 has been detected, and it occurs at quite a large average
ellipse radius -
kpc.
We have tested the hypothesis of a truncated stellar halo dynamically,
using the observed stellar kinematics of the M 87 halo. Combining all
the velocity dispersion data available in the literature with our new
M 87
data, we have solved the spherical Jeans equation
assuming a total gravitational potential as traced by the X-ray
emission. Within this framework, the Jeans model is able to reproduce
the ``cold'' PN velocity dispersion in the outer halo of M 87 only if (i)
the orbital structure in the outer halo becomes highly radially
anisotropic, with
at r > 10 kpc; and (ii) the
intrinsic luminous density is truncated. This dynamical argument can
be circumvented only if the stellar distribution were strongly
flattened along the line-of-sight in the surveyed fields. At these
radii this flattening would be local and imply that the spheroidal
stellar halo would end at even smaller radii.
The evidence for the truncation of the luminous halo of M 87 thus comes from both the spatial distribution of the PNs with velocities near the systemic velocity of M 87 (Fig. 8), and from the small velocity dispersions in both the A04 field and in the new fields near the outer edge.
The reason for the truncation is not obvious; we discuss possible mechanisms in Sect. 4.5. Differently from some dense clusters where lensing analysis indicates that galaxies outside the cluster center are tidally truncated by the dark matter cusp of the cluster, M 87 in Virgo is located at the center of the deepest potential well traced by the X-ray isophotes. We also do not see unbound PNs with velocities near 1300 km s-1 further out from M 87. This suggests that if there has been a tidal truncation, it would have occurred some time ago during the interaction with another mass concentration, such as around the other massive galaxy in the Virgo core, M 84. Alternatively, due to the dynamical youth of the Virgo cluster, it is also possible that M 87 has not been tidally disturbed yet, and is more similar to an isolated massive elliptical galaxy and should thus still be accreting matter (Abadi et al. 2006). In this case possible explanations for the truncation could be early AGN feedback effects that indirectly truncate star formation in accreting satellites, or adiabatic contraction of the M 87 halo due to cluster dark matter collapsing onto the galaxy.
The existing data cannot discriminate between these scenarios. The next step in this project is therefore to obtain a sample of at least a few hundred measured PN velocities covering the whole M 87 halo. This is required to verify that the velocity dispersion decreases everywhere around the galaxy, and to obtain statistically better constraints on phase-space structures in the surrounding ICL, including possible stars tidally dissolved from M 87. With a homogenous imaging and spectroscopic PN survey covering the whole halo of M 87 out to 40 arcmin we will be able to accurately measure the rotation, radial anisotropy of the orbits, and truncation of the outer halo of M 87.
Acknowledgements
We wish to thank Nando Patat for carrying out the observations in service mode, and Marina Rejkuba and Sandro Villanova for advice in using the GIRAFFE pipeline. We thank Ken Sembach for providing his velocity dispersion data in digital format, John Kormendy for giving us the surface brightness profile data for M 87 and the parameters of the best Sérsic fit before publication, and Ralf Bender, James Binney and Karl Gebhardt for useful discussions. P.D. was supported by the DFG Cluster of Excellence.
References
- Abadi, M. G., Navarro, J. F., & Steinmetz, M. 2006, MNRAS, 365, 747 [NASA ADS] [CrossRef] (In the text)
- Aguerri, J. A. L., Gerhard, O. E., Arnaboldi, M., et al. 2005, AJ, 129, 2585 [NASA ADS] [CrossRef]
- Arnaboldi, M., Freeman, K. C., Mendez, R. H., et al. 1996, ApJ, 472, 145 [NASA ADS] [CrossRef] (In the text)
- Arnaboldi, M., Aguerri, J. A. L., Napolitano, N. R., et al. 2002, AJ, 123, 760 [NASA ADS] [CrossRef]
- Arnaboldi, M., Freeman, K. C., Okamura, S., et al. 2003, AJ, 125, 514 [NASA ADS] [CrossRef] (In the text)
- Arnaboldi, M., Gerhard, O., Aguerri, J. A. L., et al. 2004, ApJ, 614, L33 [NASA ADS] [CrossRef]
- Arnaboldi, M., Doherty, M., Gerhard, O., et al. 2008, ApJ, 674, L17 [NASA ADS] [CrossRef] (In the text)
- Arp, H., & Bertola, F. 1971, ApJ, 163, 195 [NASA ADS] [CrossRef]
- Bell, E., Zucker, D. B., Belokurov, V., Sharma, S., & et al. 2008, ApJ, 680, 295 [NASA ADS] [CrossRef] (In the text)
- Binggeli, B., Tammann, G. A., & Sandage, A. 1987, AJ, 94, 251 [NASA ADS] [CrossRef]
- Binggeli, B., Popescu, C. C., & Tammann, G. A. 1993, A&AS, 98, 275 [NASA ADS]
- Bullock, J. S., Kolatt, T. S., Sigad, Y., et al. 2001, MNRAS, 321, 559 [NASA ADS] [CrossRef] (In the text)
- Buzzoni, A., Arnaboldi, M., & Corradi, R. L. M. 2006, MNRAS, 368, 877 [NASA ADS] [CrossRef] (In the text)
- Cappellari, M., Bacon, R., Bureau, M., et al. 2006, MNRAS, 366, 1126 [NASA ADS] (In the text)
- Ciardullo, R., Jacoby, G. H., Ford, H. C., & Neill, J. D. 1989, ApJ, 339, 53 [NASA ADS] [CrossRef] (In the text)
- Ciardullo, R., Sigurdsson, S., Feldmeier, J. J., & Jacoby, G. H. 2005, ApJ, 629, 499 [NASA ADS] [CrossRef]
- Coccato, L., Gerhard, O., Arnaboldi, M., et al. 2009, MNRAS, 217 (In the text)
- Cohen, J. G. 2000, AJ, 119, 162 [NASA ADS] [CrossRef] (In the text)
- Cohen, J. G., & Ryzhov, A. 1997, ApJ, 486, 230 [NASA ADS] [CrossRef] (In the text)
- Côté, P., McLaughlin, D. E., Hanes, D. A., et al. 2001, ApJ, 559, 828 [NASA ADS] [CrossRef] (In the text)
- Durrell, P. R., Mihos, J. C., Feldmeier, J. J., Jacoby, G. H., & Ciardullo, R. 2003, ApJ, 582, 170 [NASA ADS] [CrossRef] (In the text)
- Durrell, P. R., Williams, B. F., Ciardullo, R., et al. 2007, ApJ, 656, 746 [NASA ADS] [CrossRef] (In the text)
- Feldmeier, J. J., Ciardullo, R., Jacoby, G. H., & Durrell, P. R. 2003, ApJS, 145, 65 [NASA ADS] [CrossRef] (In the text)
- Feldmeier, J. J., Mihos, J. C., Morrison, H. L., et al. 2004, ApJ, 609, 617 [NASA ADS] [CrossRef]
- Freeman, K. C., Arnaboldi, M., Capaccioli, M., et al. 2000, in Dynamics of Galaxies: from the Early Universe to the Present, ed. F. Combes, G. A. Mamon, & V. Charmandaris, ASP Conf. Ser., 197, 389
- Gerhard, O., Arnaboldi, M., Freeman, K. C., et al. 2005, ApJ, 621, L93 [NASA ADS] [CrossRef]
- Gerhard, O., Arnaboldi, M., Freeman, K. C., et al. 2007, A&A, 468, 815 [NASA ADS] [CrossRef] [EDP Sciences]
- Ghigna, S., Moore, B., Governato, F., et al. 1998, MNRAS, 300, 146 [NASA ADS] [CrossRef]
- Gonzalez, A. H., Zabludoff, A. I., & Zaritsky, D. 2005, ApJ, 618, 195 [NASA ADS] [CrossRef]
- Gonzalez, A. H., Zaritsky, D., & Zabludoff, A. I. 2007, ApJ, 666, 147 [NASA ADS] [CrossRef] (In the text)
- Halkola, A., Seitz, S., & Pannella, M. 2007, ApJ, 656, 739 [NASA ADS] [CrossRef]
- Hanes, D. A., Côté, P., Bridges, T. J., et al. 2001, ApJ, 559, 812 [NASA ADS] [CrossRef] (In the text)
- Hui, X., Ford, H. C., Ciardullo, R., & Jacoby, G. H. 1993, ApJ, 414, 463 [NASA ADS] [CrossRef] (In the text)
- Jacoby, G. H., & De Marco, O. 2002, AJ, 123, 269 [NASA ADS] [CrossRef]
- Jacoby, G. H., Ciardullo, R., & Ford, H. C. 1990, ApJ, 356, 332 [NASA ADS] [CrossRef] (In the text)
- Kelson, D. D., Zabludoff, A. I., Williams, K. A., et al. 2002, ApJ, 576, 720 [NASA ADS] [CrossRef]
- Kormendy, J., & Bahcall, J.N. 1974, AJ, 79, 671 [NASA ADS] [CrossRef]
- Kormendy, J., Fisher, D. B., Cornell, M. E., & Bender, R. 2008, ArXiv e-prints (In the text)
- Krick, J. E., & Bernstein, R. A. 2007, AJ, 134, 466 [NASA ADS] [CrossRef]
- Kundu, A., & Whitmore, B. C. 2001, AJ, 121, 2950 [NASA ADS] [CrossRef] (In the text)
- Limousin, M., Kneib, J. P., Bardeau, S., et al. 2007, A&A, 461, 881 [NASA ADS] [CrossRef] [EDP Sciences]
- Matsushita, K., Belsole, E., Finoguenov, A., & Böhringer, H. 2002, A&A, 386, 77 [NASA ADS] [CrossRef] [EDP Sciences] (In the text)
- Mei, S., Blakeslee, J. P., Côté, P., et al. 2007, ApJ, 655, 144 [NASA ADS] [CrossRef]
- Merritt, D. 1984, ApJ, 276, 26 [NASA ADS] [CrossRef]
- Mihos, J. C., Harding, P., Feldmeier, J., & Morrison, H. 2005, ApJ, 631, L41 [NASA ADS] [CrossRef]
- Moore, B., Katz, N., Lake, G., Dressler, A., & Oemler, A. 1996, Nature, 379, 613 [NASA ADS] [CrossRef] (In the text)
- Murante, G., Arnaboldi, M., Gerhard, O., et al. 2004, ApJ, 607, L83 [NASA ADS] [CrossRef]
- Murante, G., Giovalli, M., Gerhard, O., et al. 2007, MNRAS, 377, 2 [NASA ADS] [CrossRef]
- Napolitano, N. R., Pannella, M., Arnaboldi, M., et al. 2003, ApJ, 594, 172 [NASA ADS] [CrossRef]
- Natarajan, P., Kneib, J.-P., Smail, I., & Ellis, R. S. 1998, ApJ, 499, 600 [NASA ADS] [CrossRef]
- Natarajan, P., Kneib, J.-P., & Smail, I. 2002, ApJ, 580, L11 [NASA ADS] [CrossRef]
- Nulsen, P. E. J., & Böhringer, H. 1995, MNRAS, 274, 1093 [NASA ADS] (In the text)
- Romanowsky, A. J., & Kochanek, C. S. 2001, ApJ, 553, 722 [NASA ADS] [CrossRef] (In the text)
- Royer, F., Blecha, A., North, P., et al. 2002, in Astronomical Data Analysis II, Presented at the Society of Photo-Optical Instrumentation Engineers (SPIE) Conference, ed. J.-L. Starck, & F. D. Murtagh, Proc. SPIE, 4847, 184 (In the text)
- Rudick, C. S., Mihos, J. C., & McBride, C. 2006, ApJ, 648, 936 [NASA ADS] [CrossRef]
- Schindler, S., & Böhringer, H. 1993, A&A, 269, 83 [NASA ADS] (In the text)
- Schindler, S., Binggeli, B., & Böhringer, H. 1999, A&A, 343, 420 [NASA ADS]
- Sembach, K. R., & Tonry, J. L. 1996, AJ, 112, 797 [NASA ADS] [CrossRef]
- Shapley, A. E., Steidel, C. C., Pettini, M., & Adelberger, K. L. 2003, ApJ, 588, 65 [NASA ADS] [CrossRef]
- Tonry, J. L., Dressler, A., Blakeslee, J. P., et al. 2001, ApJ, 546, 681 [NASA ADS] [CrossRef] (In the text)
- van der Marel, R. P. 1994, MNRAS, 270, 271 [NASA ADS] (In the text)
- Villaver, E., Manchado, A., & García-Segura, G. 2002, ApJ, 581, 1204 [NASA ADS] [CrossRef]
- Weil, M. L., Bland-Hawthorn, J., & Malin, D. F. 1997, ApJ, 490, 664 [NASA ADS] [CrossRef]
- West, M. J., & Blakeslee, J. P. 2000, ApJ, 543, L27 [NASA ADS] [CrossRef]
- Williams, B. F., Ciardullo, R., Durrell, P. R., et al. 2007, ApJ, 656, 756 [NASA ADS] [CrossRef] (In the text)
- Zibetti, S., White, S. D. M., Schneider, D. P., & Brinkmann, J. 2005, MNRAS, 358, 949 [NASA ADS] [CrossRef]
Footnotes
- ... core
- Based on data collected with VLT Kueyen at Cerro Paranal, Chile, operated by ESO during observing run 076.B-0086(A).
- ... simultaneously
- See http://www.eso.org/sci/facilities/paranal/instruments/flames/overview.html
- ... pipeline
- The GIRAFFE pipeline is available at http://girbldrs.sourceforge.net
- ... components
- They cannot be in the Local Group: the faintest PNs in the SMC have m5007=23 (Jacoby & De Marco 2002) so are still much brighter than the brightest Virgo PNs at m5007=26.3.
- ...
tests
- We carried out a
test for the (FCJ; A04) sample
and i) a broad Gaussian (
km s-1 and
km s-1); ii) a uniform distribution plus a narrow Gaussian
(
km s-1 and
km s-1). Because of the
limited statistics of the PN sample in this field, the results
depend on the velocity range chosen for the test. In a
700 - 1650 km s-1 range, the two distributions fit the data equally well
with
probability, while the broad Gaussian is ruled out in
a
350 - 1650 km s-1 range.
- ...
population
- This is given by the integral over the whole eight magnitude range of the Planetary Nebula Luminosity Function (PNLF).
- ...(Feldmeier et al. 2003)
- There may be a different, small selection effect due to the finite limiting magnitude of the photometric PN survey, as the ICPN that we detect are slightly biased towards objects on the near side of the cluster core.
All Tables
Table 1: Observed fields and spectroscopic confirmations.
Table 2: M 87 halo PNs and sampled luminosities.
Table 3: ICL PNs and sampled luminosities in the colored regions of Fig. 11.
Table 4: Number of PNs in the photometric samples, for the M 87 halo and the ICL.
All Figures
![]() |
Figure 1: Deep image of the Virgo cluster core showing the diffuse light distribution (Mihos et al. 2005), with our target fields superposed. Target fields of the previous spectroscopy (A04) are shown as red circles and our new target fields as well. The blue ellipse shows the boundary used in the dynamical modeling in Sect. 4.4. |
| Open with DEXTER | |
| In the text | |
![]() |
Figure 2: Histogram showing the m5007 mag of all our observed targets (solid black line) over-plotted with those where emission lines were detected (red dashed line). The blue dotted lines show the photometric completeness limits for target fields F4 (26.6) and F7 (26.8). |
| Open with DEXTER | |
| In the text | |
![]() |
Figure 3:
Spectra for the confirmed PNs, ranked by magnitude m5007 and smoothed by a factor 7 to 0.035 nm per pixel. m5007 and the
LOS velocities are labelled in the top left corner of each spectrum.
The expected location of [O III] |
| Open with DEXTER | |
| In the text | |
![]() |
Figure 4: Combined spectrum of all 12 identified PNs, Doppler corrected to the rest-frame. |
| Open with DEXTER | |
| In the text | |
![]() |
Figure 5:
Examples of the other emission-line objects present in the
sample, [OII], Ly |
| Open with DEXTER | |
| In the text | |
![]() |
Figure 6:
Radial velocity histograms. The bottom panel shows the
velocity distribution of all identified PNs in the 3 new fields. The
peak at
|
| Open with DEXTER | |
| In the text | |
![]() |
Figure 7:
Deep image of the Virgo cluster core showing the distribution
of the intracluster light (Mihos et al. 2005). The spatial distribution
of our spectroscopically confirmed PNs are overlaid. The A04 targets
are shown in green. Our new targets are shown in red if redshifted
with respect to Earth and blue if blueshifted. Objects with
velocities higher than the mean velocity of Virgo (1100 km s-1) are
shown as crosses and those with lower velocities shown as circles.
Dwarf spheroidals are marked as magenta dots. The velocities (in km s-1) are labelled for all objects shown. The nominal ``edge'' of the
M 87 halo at
|
| Open with DEXTER | |
| In the text | |
![]() |
Figure 8: Distribution of line-of-sight velocity versus projected distance from the center of M 87 for all spectroscopically confirmed PNs in the new fields as well as the FCJ and Core fields of A04. |
| Open with DEXTER | |
| In the text | |
![]() |
Figure 9:
Velocity dispersion profile of M 87, including stellar
velocity dispersions from absorption-line spectra and discrete LOS
velocity measurements from globular cluster and PN data. The squares
are data points from van der Marel (1994), the green diamonds are based on
Sembach & Tonry (1996), and the red and blue stars are velocity dispersions
for the metal-rich and metal-poor GC samples of Côté et al. (2001),
respectively. The filled red circle is the PN velocity dispersion dertermined in A04 and the filled red square shows a recalculation of the velocity dispersion if 3 of the PNs inclued by A04 are considered to be outliers (but see text). The filled red trangle is the outermost velocity dispersion point determined in this paper. These last two points are approximately
along the major axis of the outer isophotes, which have ellipticity
|
| Open with DEXTER | |
| In the text | |
![]() |
Figure 10:
V-band surface brightness profile for M 87 from
Kormendy et al. (2008) shown with black circles along average ellipse
radii
|
| Open with DEXTER | |
| In the text | |
| |
Figure 11:
Left: the red region is the intersection between the photometric
field FCJ and the FLAMES (FCJ) pointing.
Right: the red region is the part of the intersection between the
photometric field F7 from Feldmeier et al. (2003) and the regions
jointly covered by the F7_1, F7_2 and F4 FLAMES circular
pointings, which is within the isophote with an average ellipse
radius,
|
| Open with DEXTER | |
| In the text | |
![]() |
Figure 12: Circular velocity profiles for M 87 from X-ray data. |
| Open with DEXTER | |
| In the text | |
![]() |
Figure 13:
Velocity dispersion profiles derived for Jeans models with
spherical symmetry and surface brightness profiles as in
Fig. 10; see text. The velocity dispersion data
points are shown at their average ellipse radii
|
| Open with DEXTER | |
| In the text | |
![]() |
Figure 14:
Anisotropy profiles for the best-fit models: they imply
a mildy radially anisotropic orbital distribution (
|
| Open with DEXTER | |
| In the text | |
Copyright ESO 2009
Current usage metrics show cumulative count of Article Views (full-text article views including HTML views, PDF and ePub downloads, according to the available data) and Abstracts Views on Vision4Press platform.
Data correspond to usage on the plateform after 2015. The current usage metrics is available 48-96 hours after online publication and is updated daily on week days.
Initial download of the metrics may take a while.
![\begin{figure}
\par\includegraphics[scale=0.6]{11532/1532fig1.eps}
\end{figure}](/articles/aa/full_html/2009/30/aa11532-08/Timg31.png)
![\begin{figure}
\par\includegraphics[scale=0.35,angle=90]{1532fig2.ps}
\end{figure}](/articles/aa/full_html/2009/30/aa11532-08/Timg45.png)
![\begin{figure}
\par\includegraphics[angle=90,scale=0.75]{1532fig3.ps}
\end{figure}](/articles/aa/full_html/2009/30/aa11532-08/Timg56.png)
![\begin{figure}
\par\includegraphics[scale=0.35,angle=90]{1532fig4.ps}
\end{figure}](/articles/aa/full_html/2009/30/aa11532-08/Timg68.png)
![\begin{figure}
\par\includegraphics[angle=90,scale=0.53]{1532fig5.ps}
\end{figure}](/articles/aa/full_html/2009/30/aa11532-08/Timg69.png)
![\begin{figure}
\par\hspace*{6mm}\includegraphics[scale=0.5]{1532fig6.ps}
\end{figure}](/articles/aa/full_html/2009/30/aa11532-08/Timg71.png)
![\begin{figure}
\par\includegraphics[scale=0.8]{11532/1532fig7.eps}
\end{figure}](/articles/aa/full_html/2009/30/aa11532-08/Timg77.png)
![\begin{figure}
\par\includegraphics[scale=0.45]{1532fig8.ps}
\end{figure}](/articles/aa/full_html/2009/30/aa11532-08/Timg82.png)
![\begin{figure}
\par\includegraphics[scale=0.4]{1532fig9.ps}
\end{figure}](/articles/aa/full_html/2009/30/aa11532-08/Timg91.png)
![\begin{figure}
\par\includegraphics[scale=0.4]{1532fi10.ps}
\end{figure}](/articles/aa/full_html/2009/30/aa11532-08/Timg98.png)

![\begin{figure}
\par\includegraphics[scale=0.4]{1532fi12.ps}
\end{figure}](/articles/aa/full_html/2009/30/aa11532-08/Timg125.png)



![\begin{figure}
\par\includegraphics[scale=0.4]{1532fi13.ps}
\end{figure}](/articles/aa/full_html/2009/30/aa11532-08/Timg138.png)
![\begin{figure}
\par\includegraphics[scale=0.4]{1532fi14.ps}
\end{figure}](/articles/aa/full_html/2009/30/aa11532-08/Timg139.png)

