| Issue |
A&A
Volume 502, Number 3, August II 2009
|
|
|---|---|---|
| Page(s) | 871 - 881 | |
| Section | Stellar structure and evolution | |
| DOI | https://doi.org/10.1051/0004-6361/200911619 | |
| Published online | 15 June 2009 | |
The effect of rotation on the stability of nuclear burning in accreting neutron stars
L. Keek1,2,
- N. Langer1 - J. J. M. in 't Zand2
1 - Astronomical Institute, Utrecht University, PO Box 80000, 3508 TA Utrecht, The Netherlands
2 - SRON Netherlands Institute
for Space Research, Sorbonnelaan 2, 3584 CA Utrecht, The Netherlands
Received 5 January 2009 / Accepted 3 May 2009
Abstract
Hydrogen and/or helium accreted by a neutron star from a binary companion may undergo thermonuclear fusion. Different burning regimes are discerned at different mass accretion rates. Theoretical models predict helium fusion to proceed as a thermonuclear runaway for accretion rates below the Eddington limit and as stable burning above this limit. Observations,
however, place the boundary close to 10% of the Eddington limit.
We study the effect of rotationally induced transport processes on
the stability of helium burning. For the first time, detailed calculations of thin-shell helium burning on neutron stars are performed using a hydrodynamic stellar evolution code including rotation and rotationally induced magnetic fields. We find that in most cases the instabilities from the magnetic field provide the dominant contribution to the chemical
mixing, while Eddington-Sweet circulations become important at high
rotation rates. As helium is diffused to greater depths, the stability
of the burning is increased, such that the critical accretion rate
for stable helium burning is found to be lower. Combined with a higher
heat flux from the crust, as suggested by recent studies, turbulent
mixing could explain the observed critical accretion rate. Furthermore,
close to this boundary we find oscillatory burning, which previous
studies have linked to mHz QPOs. In models where we continuously lower
the heat flux from the crust, the period of the oscillations increases
by up to several tens of percents, similar to the observed frequency
drift, suggesting that this drift could be caused by the cooling of
deeper layers.
Key words: accretion, accretion disks - stars: neutron - stars: rotation - stars: magnetic fields - X-rays: binaries
1 Introduction
Neutron stars in low-mass X-ray binaries (LMXBs) accrete matter from a companion star through Roche-lobe overflow. Because of conservation of angular momentum, the matter forms a disk around the neutron star, where it radiates away a large fraction of the potential energy before reaching the neutron star surface. The companion is typically a main sequence star, donating matter with a large hydrogen abundance. For a number of systems likely to have a white dwarf companion, hydrogen may be deficient but helium is not (Nelson et al. 1986; in 't Zand et al. 2005; Webbink et al. 1983).
The accreted matter is thought to quickly spread over the neutron
star surface, forming a thin layer. When this layer is a few meters
thick, the temperature and density at the base reach the ignition
conditions for hydrogen and helium fusion. The thermonuclear burning
can proceed in a stable or an unstable manner, depending on the temperature
dependence of the burning and cooling rates, which in turn depend
on the conditions in the thin burning shell. These conditions are
largely set by the mass accretion rate (Fujimoto et al. 1981; see
also Bildsten 1998). Models predict that hydrogen burning
via the CNO cycle is stable for
(assuming spherical symmetry), while it is unstable for lower accretion
rates (assuming a neutron star mass of
with a
radius, a hydrogen mass fraction X=0.7and a CNO mass fraction
;
is the critical accretion rate where the accretion luminosity equals
the Eddington luminosity). For helium burning via the triple-alpha
process, theory places the critical accretion rate at the Eddington
limit
(Ayasli & Joss 1982; Fujimoto et al. 1981),
which suggests that stable helium burning does not take place in practice. If the accreted matter is hydrogen-deficient, the transition is expected to take place at an even higher accretion rate because of the lack of heating by stable hydrogen burning:
(Bildsten 1998).
Nevertheless, there are observational indications that stable helium
burning takes place at lower accretion rates. Van Paradijs et al.
(1988) observed from ten sources, most of which
are thought to accrete hydrogen-rich material, that the fraction of
hydrogen and helium that is burned in a stable manner increases strongly
with the mass accretion rate, while no bursts are observed at accretion
rates of
.
Cornelisse et al. (2003)
found for 4U 1820-30, which likely has a hydrogen-deficient mass
donor, that the burst rate is lower by a factor of 5 for
than for lower mass accretion rates, while no bursts are observed
at
.
Therefore, the transition
of unstable to stable burning probably takes place within several
tens of percents of
.
A possible solution for this discrepancy is to include mixing processes.
If hydrogen and/or helium are mixed to greater depths, where temperature
and density are higher, the conditions under which the fuel is burned
are different. An efficient source of mixing is formed by rotationally
induced hydrodynamic instabilities (Fujimoto 1993). Yoon et al. (2004a)
studied the effect of rotational mixing processes on thin shell burning
in accreting white dwarfs and find that burning proceeds more stably.
Piro & Bildsten (2007) calculated the effect of turbulent mixing in neutron
stars, including mixing due to rotationally induced magnetic fields
(Spruit 2002). They find that the magnetic fields are the
main driver of the mixing. Their analysis of helium accretion onto
an iron layer shows that, in the case of unstable burning, rotationally
induced mixing allows for lower recurrence times for helium flashes.
Furthermore, their models including mixing allow for steady-state
burning at accretion rates below
.
Analytically,
the dependence of
,
the accretion rate at
the transition between stable and unstable burning, on the rotation
rate of the neutron star,
,
is derived as
.
For neutron stars that rotate slower than 10% of the Keplerian velocity
at the surface, Piro & Bildsten (2007) find
.
Piro & Bildsten (2007) created one-dimensional numerical models of the neutron star envelope using analytical approximations of chemical mixing and of helium burning. In this paper we study the effect of mixing due to rotation and a rotationally induced magnetic field on the stability of helium burning in the neutron star envelope in more detail. We present the results of detailed numerical simulations, where we use a one-dimensional multi-zone model of the outer layers of the neutron star. We introduce both rotation and magnetic fields in the model. Using a stellar-evolution code, we investigate the stability of the burning as a function of the mass accretion rate, the rotation rate of the neutron star core and the heat flux emanating from the crust.
2 Method
To model the outer layers of the neutron star we employ a stellar evolution code that is a modified version of the code used by Yoon et al. (2004a) to model the nuclear burning of helium shells in white dwarfs. It implicitly solves the stellar structure equations on a one-dimensional grid consisting of a series of mass shells. The effect of the centrifugal force on the stellar structure is taken into account. Consequently, the mass shells are isobars rather than spherical shells (cf. Heger et al. 2000). The chemical evolution is modeled by an extensive nuclear network. The effects of rotation on the chemical mixing and the transport of angular momentum are calculated. The effects of a rotationally induced magnetic field on the mixing of angular momentum and chemical species are calculated as well (Spruit 2002). Convection is taken into account using the Ledoux criterion. Neutrino losses are calculated using the results of Itoh et al. (1996). We make use of the OPAL tables (Iglesias & Rogers 1996) for determining opacities. Heating due to viscous energy dissipation is not taken into account because it will prove to be negligible with respect to the assumed flux from the crust or the energy release from nuclear burning.
We consider the accretion of matter that is hydrogen-deficient, but has a large (99%) helium content. This allows us to study the stability of helium shell burning without the complication of the nuclear processes involving hydrogen. We discuss the potential effect of including hydrogen on our results.
Relativistic effects are not considered during the simulation, since they are small in the thin helium-burning shell. The effect of general relativity on observables, such as the luminosity and mass accretion rate, can be taken into account with appropriate gravitational redshift factors (e.g. Woosley et al. 2004), reducing the values for the observables typically by several tens of percent. We do not apply these corrections to our results, as we are primarily interested in the relative effect of rotationally induced mixing on the stability of shell burning.
As our models are one-dimensional, any asymmetries in the longitudinal and latitudinal directions are not resolved. For example, burning likely starts at one location in the envelope, after which it spreads to other regions (Bildsten 1995; Spitkovsky et al. 2002; Cooper & Narayan 2007). This idea is supported by the observation of so-called burst oscillations (Strohmayer et al. 1996; Strohmayer & Bildsten 2006), which are periodic variations in the light curve at the spin frequency of the neutron star that are observed during some type-I bursts. Also, Bildsten (1995) proposes a regime where the burning spreads relatively slowly across the surface on a similar timescale to the accretion of matter. We restrict ourselves to the case of stable helium burning, where flame spreading is not an issue.
2.1 Grid
The one-dimensional grid divides the star in shells with a certain mass and is separated into two parts to facilitate matter accretion, while limiting numerical noise in the nuclear burning region. In the inner Lagrangian part, each shell is assigned an absolute amount of mass, while in the outer so-called pseudo-Lagrangian part, a shell is assigned an amount of mass relative to the total mass in the model. To minimize numerical diffusion, we choose these regions such that the nuclear burning takes place in the Lagrangian part. After each time step, the grid is adjusted to ensure that any gradients in, for instance, temperature, energy generation rate or chemical composition are well resolved.
Apart from the different grid points our model has the notion of a ``core'', which represents the inner part of the star, which is not modeled in detail and which sets the inner boundary conditions of our grid. The core has a mass, radius, rotation rate and a luminosity. These quantities are kept at fixed values. During consecutive time steps, angular momentum is exchanged between the grid and the core, after which we return the angular momentum and velocity of the core to the initial values, effectively preventing the core to spin up or down. We can safely make this approximation, since the amount of angular momentum that is accreted on the timescale of nuclear burning is negligible with respect to the angular momentum of the core.
2.2 Accretion
Mass accretion is implemented by increasing the total amount of mass and scaling the mass of the grid points in the pseudo-Lagrangian region. The mass fractions of the isotopes at each of these grid points are set to the weighted mean of the original composition of the grid point and the assumed composition of the accreted matter, where we weigh by, respectively, the original mass of the grid point and the accreted mass that is added to the grid point.
The accreted matter originally carries angular momentum corresponding
to orbital motion at the Keplerian angular velocity at the surface
of
,
where M and
R are the mass and radius of the star, respectively. We assume,
however, that the angular momentum of the accreted material is quickly
shared with a number of the outermost grid points. This region coincides
with or is slightly smaller than the pseudo-Lagrangian region where
the mass is added. The distribution of the angular momentum is done
such that the specific angular momentum is constant in the outer region.
After the accreted angular momentum is added to the model, the mixing
of angular momentum resulting from the different viscous processes
is applied to the model. As in the treatment of the accretion of mass,
we make sure that the region where angular momentum is accreted lies
outside the region of interest, i.e. well above the helium-burning
shell.
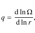
2.3 Diffusivity and viscosity
Due to the accretion of angular momentum, the outer layers of the
star spin faster than the core. Therefore a non-zero shear q is
present:
where r is the radial coordinate. The shear can give rise to hydrodynamical instabilities. We consider the dynamical shear instability, the secular shear and the Solberg-Høiland instability as well as Eddington-Sweet circulation (see, e.g., Heger et al. 2000 for details of the implementation). Furthermore, we consider the presence of a rotationally induced magnetic field.
A magnetic field is employed following the prescription of the ``Tayler-Spruit
dynamo'' presented by Spruit (2002). A small initial radial
magnetic field Br winds up due to the shear to create a much
stronger toroidal field
.
The field growth is limited by
magnetohydrodynamic (MHD) instabilities. In this process Bris increased as well, such that once an equilibrium situation is reached,
the initial field strength Br is unimportant. Equilibrium is
reached on much shorter timescales than the mixing processes induced
by the magnetic field. Therefore, in our model we employ the equilibrium
values for Br and
.
Both the magnetic and non-magnetic hydrodynamic instabilities cause
turbulence, which allows for chemical mixing and the transport of
angular momentum. Furthermore, angular momentum is also transported
because of magnetic torques. We treat the chemical and angular momentum
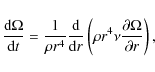
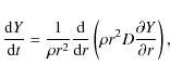
mixing as diffusion processes. Transfer of angular momentum is governed
by the one-dimensional diffusion equation
with
where D is the diffusivity. D and
The Tayler-Spruit formalism accounts for both compositional and a
temperature gradients, which provide a stabilizing stratification
against the magnetohydrodynamic instabilities that limit the growth
of the magnetic field. The effective radial viscosity
is described as a function of
and
,
the viscosities when thermal diffusion either can be ignored or dominates, respectively:
where the factor 0<f(q)<1 is introduced to ensure
with
Analytic studies often use as approximation only
While the Tayler-Spruit dynamo is often applied in the spherical approximation, we use it here for a thin shell (see also Piro & Bildsten 2007). For the dynamo to work, the presence of a non-zero shear locally is sufficient. Since the resulting magnetic field is predominantly toroidal, the angular momentum transport and the chemical mixing induced by the dynamo are limited to the radial region where the shear is present.
In Sect. 4.1 we discuss some potential problems with the Tayler-Spruit mechanism.
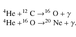
2.4 Nuclear network
An extensive nuclear network consisting of 35 isotopes and 65 nuclear
reactions is employed to model the chemical evolution. The most important
reaction sequence for our models is the triple alpha process, for
which the net reaction is
Furthermore, alpha capture reactions onto carbon and oxygen are considered:
We disable the energy output of the
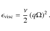
2.5 Viscous and compressional heating
Viscous energy release due to the presence of shear heats the neutron
star envelope. The energy generation rate per unit mass by viscous
heating,
,
can be calculated as
We find that the relatively small shear present in our models, in the range of rotation rates and mass accretion rates we consider, leads to a negligible amount of viscous heating, as the total energy generated per unit time is several orders of magnitude smaller than the assumed flux from the crust or the energy generated by stable helium burning (see also Piro & Bildsten 2007). Therefore, we do not take viscous heating into account in our calculations.
The continuous accretion of matter onto the neutron star compresses the matter in the envelope. This gives rise to compressional heating, which is calculated in our models.
2.6 Initial model
We start with a grid of approximately 600 grid points that represent
the outer layers of the neutron star from a column depth of
down to
,
with a total mass of
.
As initial composition we take 50%
and 50%
.
This acts as a buffer
that is inert with respect to the triple-alpha reactions of helium
burning. On this grid matter is accreted with a composition of 99%
and 1% other isotopes, based on the equilibrium
mass fractions of the CNO cycle.
We use a core with a mass of
and a radius
for a canonical neutron star. The angular velocity
of the core,
,
is expressed in units of the Keplerian angular
velocity at the surface:
.
We create models with different values for
.
The heat flux
from the neutron star crust is modeled by setting the luminosity at
the inner boundary of our grid to a fixed value
.
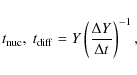
2.7 Flux from the crust
As the ignition of the accreted helium depends strongly on the temperature and we do not consider heating by stable hydrogen burning, it is influenced
by
.
The crust is a deeper layer of the neutron
star starting at
and extending
down to the core where densities exceed the nuclear density. When
matter is accreted onto the neutron star, the crust is compressed.
This gives rise to pycnonuclear burning and electron-capture reactions
that heat both the neutron star core and the outer layers. Therefore,
this heat flux is generally assumed to scale with the accretion rate
and a fixed energy generated per accreted nucleon is applied. Previous
studies often use a value close to 0.1 MeV/nucleon (Haensel & Zdunik 2003).
Cumming et al. (2006) use values in the range of 0.1-0.3 MeV/nucleon
when studying the ignition conditions of long duration type I X-ray
bursts. The analysis of the superburst from 4U 1608-52 (Keek et al. 2008)
indicates that the temperature of the crust was likely much higher
than predicted by current models. Recently Gupta et al. (2007) have
calculated the thermal structure of the crust, for the first time
including electron captures into excited states, finding a heat flux
from the crust up to ten times higher than obtained in previous studies
(see also Gupta et al. 2008). It is clear that the value of the
heat flux from the crust is still not well determined. Therefore,
we choose to vary it independently from the mass accretion rate.
Heat from helium burning in the envelope may be conducted into the
core. From here it is either dissipated by neutrino emission or conducted outwards, back to the envelope on a thermal timescale on the order of
.
This gives an extra contribution to
,
the size of which depends on the amount of heat from the envelope
conducted inwards and on the efficiency of neutrino cooling of the
core. The latter is determined from the equation of state of the core
(see discussion in Cumming et al. 2006), which is not well-constrained
at this moment (see, e.g., Lattimer & Prakash 2007). Therefore, a
certain value for
can physically be obtained
by different combinations of an outward flux from the core and the
crust as well as an inward heat flux from the envelope. In our calculations
we do not go into these details, but treat
as
a free parameter. When we make a comparison to the physical situation,
we will assume that crustal heating gives the dominant contribution
to
.
By choosing a certain value for
,
we fix the
total heat flow into and out of the envelope to a net flux into the
envelope. For studying unstable burning, a flash would give rise to
a large heat flow out of the envelope and our boundary condition would
not be valid for the duration of the flash. However, we only consider
stable burning, which leads to a relatively lower heat flux that is
constant in time and is compatible with our boundary condition.
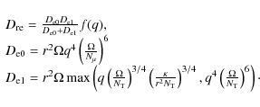
3 Results
3.1 Turbulent mixing
The accretion of angular momentum gives rise to shear, which causes turbulence and induces a magnetic field. These drive the transport of angular momentum and the mixing of the chemical composition. In turn, the chemical and angular velocity profiles influence the diffusivity and viscosity, until an equilibrium is reached. We present the properties of equilibrium models with different rotation rates of the core and different mass accretion rates. The heat flux from the crust is set to a value such that steady-state burning is achieved.
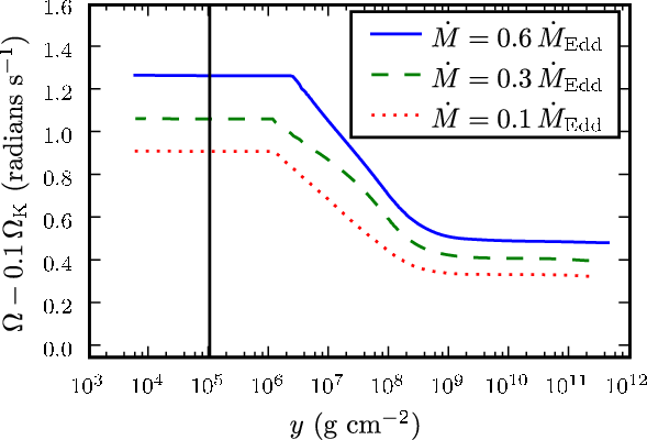
Figure 1 shows the rotational velocity
profile for several values of the mass accretion rate. The viscous
processes transport angular momentum efficiently through the outer
layers of the neutron star into the core, resulting in a small difference in
between the outer and inner part of our model of
.
The largest change in
is at
.
We will see that at this depth helium burning generates heat and changes
the chemical composition. In the figure we indicate the region of
the model where the accreted angular momentum is added as described
in the previous section. Since the accreted angular momentum is quickly
shared with this region, the angular momentum transport is not calculated
in a physically correct way in that part of the model. Furthermore,
at
lies the pseudo-Lagrangian
region where the accreted matter is added. Therefore, we limit most
plots to show the Lagrangian part,
.
![]() |
Figure 1:
Rotational velocity |
| Open with DEXTER | |
For higher accretion rates, angular momentum is added faster to the
star, resulting in a higher shear (Fig. 2
top), although the difference is less than an order of magnitude in
the range of accretion rates we consider. Since the accreted material
originally rotates with the Keplerian velocity, models with a more
slowly rotating core experience an up to 103 times larger shear
(Fig. 2 bottom). The shear profiles show
two broad ``bumps'': one in the region
and another at
.
We will see
below that nuclear burning and diffusion lead to a gradient in the
chemical composition in these regions. This gradient has a stabilizing
effect that reduces the angular momentum transport, causing a somewhat
larger shear.
![]() |
Figure 2:
Comparison of shear q with column depth y. Top: models with different mass accretion rates
and their rotation rate of the core fixed to
|
| Open with DEXTER | |
The presence of shear causes turbulence and induces a magnetic field,
which both drive diffusion and viscous processes. We obtain a magnetic
field with a radial component
and
a toroidal component
.
We calculate
D and
both due to the hydrodynamic instabilities and due
to the (generation of) the magnetic field (Figs. 3-5).
We find the latter to have the largest contribution to the diffusivity
and viscosity. Of the non-magnetic instabilities, Eddington-Sweet
circulation is the dominant process. At
D and
due to this process peak, since at this depth the
luminosity gradient is largest due to helium burning. Note that convective
mixing plays no role in our models of steady-state burning, because
heat transport is radiative throughout our models, except at the onset
of a flash, similar to what is found by Woosley et al. (2004).
We investigate how D and
depend on the rotation rate
.
The contribution from the non-magnetic instabilities increases with
increasing
(Fig. 3).
For the Eddington-Sweet circulation the diffusivity and viscosity
are proportional to
(Heger et al. 2000; Kippenhahn 1974).
![]() |
Figure 3:
Non-magnetic diffusivity D and viscosity |
| Open with DEXTER | |
![]() |
Figure 4:
Magnetic diffusivity D as a function of column depth y for different values of the angular
velocity of the core and an accretion rate of
|
| Open with DEXTER | |
![]() |
Figure 5:
Magnetic viscosity |
| Open with DEXTER | |
During our calculations we assume angular momentum is accreted with an efficiency of 100%. Due to viscous processes in the disk, the actual efficiency may be lower. We investigate the dependency of the shear, diffusivity and viscosity on the accretion efficiency by comparing a model with 100% to a model with 0% efficiency. In the helium-burning region, the difference is at most several tens of percent. For more realistic efficiencies, the deviation from the 100% efficient model is likely even less. Therefore, we neglect this effect in our calculations.
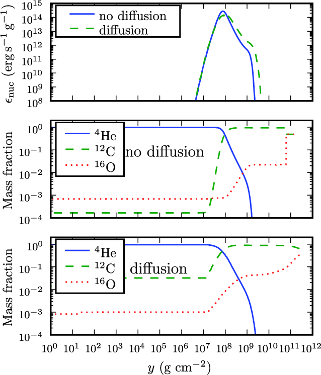
![]() |
Figure 6:
Nuclear energy generation rate
|
| Open with DEXTER | |
The viscosity allows for the transport of angular momentum, leading
in the envelope to the angular velocity profile we presented in Fig. 1. Similarly, diffusion mixes the
chemical composition of our model. Without diffusion, the chemical
profile consists on the outside of the star (Fig. 6
middle, left-hand side) of accreted helium, which burns at
,
forming a layer of mostly carbon. On the inside (right-hand side)
the composition is that of the initial model: 50% 12C and 50%
16O. When we include diffusion, 4He is mixed down to higher
column depths, while some 12C is mixed all the way to the surface
(Fig. 6 bottom). Due to the increased
helium abundance at
,
the energy
generation rate is higher there compared to the models without diffusion
(Fig. 6 top). For models with different
rotation rates of the core, we see that those with higher diffusivity
(see Fig. 4) mix helium deeper inwards
and consequently release more energy due to thermonuclear burning
at larger column depths (Fig. 7).
![]() |
Figure 7:
Nuclear energy generation rate
|
| Open with DEXTER | |
![]() |
Figure 8:
Timescales for helium burning, chemical diffusion and accretion as a function of column depth y for
|
| Open with DEXTER | |
In the steady state helium is burned typically at the depth where
the accretion timescale equals the burning timescale. In the case
of diffusive mixing of the chemical composition, fuel can be transported
to deeper layers than the accretion column. In this case, helium is
burned down to the depth where the burning timescale equals the diffusion
timescale. We determine as a function of column depth the burning
and chemical diffusion timescales
and
for 4He by calculating
with Y the 4He mass fraction and
![]() |
Figure 9:
Nuclear luminosity
|
| Open with DEXTER | |
3.2 Effect of mixing on stability
The temperature in the burning shell has an important influence on
the stability of the nuclear burning. Typically, burning is stable
for higher temperatures of the neutron-star envelope, which depends
strongly on the heat flux from the crust. We express this heat flux
as a luminosity
and investigate for which values
burning is stable by starting at a high value of
and subsequently lowering it at a rate that is slow with respect to
the thermal timescale of the inner part of our model. For a certain
value of
nuclear burning no longer proceeds
stably and a flash occurs. We refer to this as the critical luminosity
.
At that point we stop the calculation.
We perform this procedure for two models with
and
.
Both models take viscous
processes into account, such that the angular velocity profiles are
similar. However, we enable chemical diffusion only for one model,
while the other is calculated without chemical diffusion. For the
model excluding chemical mixing, we start with stable burning (Fig. 9 top). Lowering
,
helium shell burning exhibits oscillations
with increasing amplitude. These oscillations are well resolved in
time by our calculations. For
the oscillation amplitude increases rapidly, until a flash occurs.
We regard this as the onset of unstable burning. It is possible that
what we regard as the onset of instability is actually just an oscillation
with a large amplitude, which could be followed by a series of oscillations
before the unstable situation is reached. Nevertheless, observing
how fast the amplitude of the oscillations increases in a small interval
of
,
we expect that our measure of
is accurate within 0.2%. The period of the pulses increases, from
approximately
at
to
at
,
just before the final two oscillations.
![]() |
Figure 10:
The heat flux from the crust at the transition
of stable to unstable burning
|
| Open with DEXTER | |
For the model including diffusion, the behavior is similar (Fig. 9
bottom). The amplitude of the oscillations, however, is large for
a broader range of
and the behavior is less
regular. During intervals of
,
the amplitude
slowly increases and subsequently decreases either slowly or fast.
The cause of the irregularities is likely the increased complexity
of our model when turbulent mixing is included, giving rise to more
``noise''. Despite the irregular behavior, we can still discern
a general trend towards oscillations with larger amplitudes while
we lower
.
The period of the oscillations is
and does not change significantly.
The value of
we obtain for this model is over
a factor two lower than for the model without diffusion:
.
This shows the substantial stabilizing effect of turbulent mixing.
The uncertainty in
is likely larger than for
the model without diffusion because of the increased noise. Note that
for the chosen angular velocity of the core,
,
the diffusivity is at its minimum value. For another choice of
,
the effect is likely to be even stronger.
We investigate the dependence of
on
by calculating two series of models, one including and one excluding
chemical diffusion. Due to the increased noise, the models that include
diffusion are computationally more expensive. Therefore, we limit
ourselves to two models with relatively low rotation rates,
,
and two models with high rotation rates:
.
We find that
is lower by more than a factor of
2 for all values of
we consider (Fig. 10). Furthermore, even for the models without diffusion we see a decrease in
of up to 12% when going to higher rotation rates. This stabilizing effect stems from the centrifugal force
,
which lowers the effective gravity, increasing the efficiency of stabilizing effects. Note that because of the one-dimensional approximation we
use, this is likely an underestimation (see Sect. 4.2).
We noted earlier that diffusivity due to Eddington-Sweet circulation
can be comparable to or even exceed the diffusivity due to magnetic
fields. To investigate the effect of nonmagnetic instabilities alone,
we created a model with
and
including only angular momentum transport and chemical diffusion due
to nonmagnetic instabilities. Angular momentum transport is much less
efficient, leading to a large shear. The secular shear instability
drives the diffusivity and viscosity. For this model we find
,
which is
lower than what we find without diffusion (Fig. 10).
When we change
,
it takes a thermal timescale
for our model to adjust. Since we lower
continuously, this introduces a systematic error in the value of
we obtain, as the model is not fully adjusted to that value of
when we stop the calculation. To estimate the systematical error,
we take one model and lower
at different rates,
all slow with respect to the thermal timescale of the model, and find
that the difference in
and, ergo, the systematic
error is about 4%.
3.3 Mass accretion rate dependence
The dependence of
on the mass accretion rate
is investigated by calculating two series of models with and without
chemical diffusion, in a similar way to how we studied the dependence
on
.
The angular velocity of the core is set to
.
We find that
increases towards higher mass accretion
rates (Fig. 11). For the models without
chemical diffusion, the accretion rate above which the luminosity
of the crust exceeds
as expected from a crustal
energy release of
,
which is used in many studies (see Sect. 2.7),
lies at
.
This is lower than found in previous
studies (e.g., Bildsten 1998). Including chemical diffusion,
the transition takes place at lower rate: approximately
.
![]() |
Figure 11:
The heat flux from the crust at the transition of stable to unstable burning
|
| Open with DEXTER | |
To understand the behavior of increasing
for
higher values of
,
we follow the stability analysis of thermonuclear
burning in a thin shell by Giannone & Weigert (1967) (see also Yoon et al. 2004b).
These authors derive an expression for the inverse of the growth timescale
of temperature perturbations,
,
by considering
both thermonuclear burning and radiative cooling (Eq. (16) in Giannone & Weigert 1967).
In this expression the luminosity from below the thin shell is ignored.
We can include
by adding it to the luminosity
of the shell, which results in an extra term in the numerator of the
right-hand side of Eq. (16) in Giannone & Weigert (1967):
.
Here,
is the mass of the shell, which for steady-state
burning is proportional to the mass accretion rate. Increasing
leads to a lower perturbation growth timescale. Therefore, to keep
the same perturbation growth timescale, a larger value of
is required at higher
.
This simple picture suggests that
depends linearly on
,
while Fig. 11
suggests for the series of models without chemical diffusion that
the relation deviates from a linear dependence. In fact, for higher
also the temperature and density in the shell are higher,
which influences the perturbation growth timescale as well.
4 Discussion
We performed detailed calculations of thin shell burning of accreted helium on a neutron star. Similar to what was found by Yoon et al. (2004a) for white dwarfs, also for neutron stars rotational mixing leads to more stable burning. As was demonstrated by Piro & Bildsten (2007), rotationally induced magnetic fields provide in most cases the dominant contribution to the diffusivity and viscosity. Yoon et al. (2004a) considered only nonmagnetic hydrodynamic instabilities. In those models the transport of angular momentum is less efficient, resulting in a much larger shear. The secular shear instability is in that case the driver of turbulent mixing. We take magnetic fields into account through the Tayler-Spruit dynamo (Spruit 2002), which causes efficient angular momentum transport and turbulent mixing. Eddington-Sweet circulation also plays an important role, especially in the burning zone, at the peak of the energy generation rate, where there is a steep gradient in the luminosity.
In our models with diffusion the geometrical thickness of the burning
shell is greater (Fig. 6). For instance,
for a model with
and
the thickness of the burning shell is
excluding and
including chemical diffusion, where we define the shell such that at the boundary the energy generation rate is
10-3 times the peak value. This results in an increased stability
of thermonuclear burning.
Due to the increased stability, the critical value of the heat flux
for the crust
at the transition of stable and
unstable burning is lower for models that include chemical diffusion.
Even for the rotation rate which gives the minimum diffusivity, nuclear
burning proceeds stably down to values of
that
are a factor of two lower than for the non-diffusion case. In these
calculations we vary the flux from the crust independent of the mass
accretion rate. For several values of
and
we
determine
.
Observationally, this boundary is
placed at
.
At this accretion
rate, we find
for a model with
.
Assuming the heat
flux from the crust is the main source of this luminosity, this corresponds to an emergent heat from the crust of
.
This is almost three times the value of
used in many previous studies. Nevertheless, it is in agreement with
the increased heat deposition in the crust from calculations by Gupta et al. (2007).
It is especially interesting to note that we already obtain this result
at the value for
for which the diffusivity is minimal. Piro & Bildsten (2007)
find this behavior only at low rotation rates:
.
The Taylor-Spruit mechanism considers stabilizing effects due to temperature
and compositional stratification. Piro & Bildsten (2007) simplify their
models by taking into account only the former when determining the
recurrence time of bursts and the condition for stable burning. This
allows for a simple dependence of D on
of
.
However, by including both stabilizing effects, the dependence of
D on
and q is more complex. In our calculations we
find that the spread in the diffusivity in the considered range of
rotation rates is at most one order of magnitude. Furthermore, we
find that at high angular velocities Eddington-Sweet circulations
drive mixing just as efficiently as the magnetic instabilities at
low rotation rates. This means that, for all rotation rates, the stability
of shell burning is increased by chemical mixing due to rotation and
rotationally induced magnetic fields.
4.1 Mixing efficiencies
In our models we find that the magnetic instabilities and torques provide the most efficient mixing of the chemical composition and angular momentum. The only exception is found at higher rotation rates, where the Eddington-Sweet circulations provide an important contribution to the diffusivity in the helium burning shell. Note that we employ a one-dimensional approximation of the diffusivity due to Eddington-Sweet circulations (Kippenhahn 1974). At higher rotation rates two-dimensional effects may be important that cannot be tested with our model, but that may influence the efficiency of mixing due to these circulations.
Several studies need the Tayler-Spruit dynamo to reproduce observed quantities. Heger et al. (2005) model the pre-supernova evolution of massive stars and use the angular momentum transport due to rotationally induced magnetic fields to explain observed pulsar frequencies. Suijs et al. (2008) performed similar calculations for white dwarf progenitors and find that angular momentum transport by magnetic torques is needed to explain the observed range of white dwarf rotation rates.
However, the mechanism of the Tayler-Spruit dynamo is uncertain. Zahn et al. (2007)
performed calculations with three-dimensional models which do not
reproduce the dynamo effect. Therefore, it is possible that this mechanism
has a lower efficiency or is absent (see, e.g., the discussion in
Maeder et al. 2008). In that case, non-magnetic instabilities drive
chemical mixing and angular momentum transport. These are less efficient
by many orders of magnitude. This leads to a large shear, causing
the secular shear instability to provide the dominant contribution
to D and
,
similarly to what Yoon et al. (2004a) found in white
dwarf models which did not include a rotationally induced magnetic
field. We performed calculations on one model without a rotationally
induced magnetic field and we find a value of
that is 23% lower than for similar models that do not take chemical
diffusion into account (Fig. 10). This model
has a rotation rate of
.
Models with a slower
rotating core will have a higher shear, which may result in a lower
value of
.
Therefore, even without magnetic fields,
the effect of rotational mixing on the stability of helium shell burning
is considerable.
4.2 Centrifugal force
Another stabilizing effect of rotation is provided by the centrifugal
force. Yoon et al. (2004a) found that for shell burning in white dwarfs,
the centrifugal force lowers the density and degeneracy in the shell,
which leads to increased stability. We created a series of models
without chemical mixing and found that for increasing
,
is lower by up to 12%. However, this is probably an underestimation.
Our implementation of the centrifugal force is a one-dimensional approximation.
The centrifugal force depends on latitude, being strongest at the
equator and vanishing at the poles. Our calculations use a value that
is averaged over latitude (e.g. Heger et al. 2000). In the case
of rigidly rotating polytropes, this approximation has been found
accurate for rotation rates up to
(Yoon et al. 2004a and references therein). Therefore, we limit the effect of the centrifugal force above 60% of the critical velocity. In actuality, the centrifugal force may reduce
even further for fast-spinning neutron stars.
4.3 Marginally stable burning
Revnivtsev et al. (2001) observe from the LMXBs 4U 1636-53, 4U 1608-52
and Aql X-1 millihertz quasi-periodic oscillations (mHz QPOs) and
speculate that this phenomenon may be related to a special mode of
nuclear burning. This behavior is thought to occur at the boundary
of stable and unstable burning, since it is observed in a narrow range
of accretion rates, where type I X-ray bursts were observed at lower
accretion rates, while they were absent at higher accretion rates.
The oscillatory burning mode at this boundary was expected from one-zone
models by Paczynski (1983) as ``marginally stable burning''.
Heger et al. (2007) reproduce this behavior in multi-zone numerical
models of the neutron star envelope and derive the period of the oscillations
to be the geometric mean of the accretion and
thermal timescales:
.
Altamirano et al. (2008) observe frequency drifts in mHz QPOs from
4U 1636-53. The mHz QPOs are observable for approximately
.
During this time the frequency drops by several tens of percent. At
a certain point, a type I X-ray burst is observed, after which no
oscillations are detected for some time. The change in period is not
found to be directly related to variations in the X-ray flux on short
timescales. Therefore, the frequency of the oscillations does not
appear to be sensitive to variations in the accretion rate. Furthermore,
Molkov et al. (2005) observed a long type I X-ray burst from SLX 1735-269
that exhibits
oscillations during the burst
decay. Also in this case, a drift to lower frequencies takes place
during the part of the X-ray light curve where the black body temperature is observed to decrease.
In our models we also observe oscillations at the boundary of stable
and unstable burning. This is most pronounced in the models without
chemical diffusion. When we lower
,
effectively
cooling our burning layer, the frequency of the oscillations decreases
by several tens of percents until a flash occurs. The frequency drift
takes place over a narrow range of
,
just before
the onset of a flash. The amplitude of the oscillations is greater
in this range, making the oscillations more easily detectable. This
supports the suggestion by Altamirano et al. (2008) that the frequency
drifts are due to cooling of deeper layers and could explain why it
is not sensitive to short-term variations in the accretion rate. The
cooling could, for instance, be caused by the slow release of energy
from a deeper layer that was heated up during an X-ray burst.
The models that include diffusion display oscillations as well, but the behavior is much more irregular, as the amplitude of the oscillations changes in a seemingly erratic way. This makes it difficult to draw conclusions from the oscillatory behavior. We suspect that numerical noise is the source of this behavior. A different implementation of the mixing processes in the model may be required to improve this.
4.4 Further consequences of mixing
Apart from the increased stability of helium burning, chemical mixing
can give rise to other effects. Superbursts, which are energetic type I X-ray bursts that last up to a day, are thought to be the result
of a carbon flash (Strohmayer & Brown 2002; Cumming & Bildsten 2001). Fifteen
superbursts have been observed from ten sources, most of which have
accretion rates
(in 't Zand et al. 2004; Kuulkers 2004; Remillard et al. 2005; Kuulkers 2005).
As noted by Piro & Bildsten (2007), turbulent mixing could allow for stable
burning of helium at these accretion rates, building up a thick carbon
layer. However, all superbursters exhibit normal type I bursts as
well. In the presence of hydrogen, the rp-process creates heavy isotopes, while lowering the carbon abundance. It has proven difficult to explain how carbon can survive many normal bursts to fuel a superburst (e.g., Keek et al. 2008).
While helium is mixed down, we find that carbon is mixed up to smaller column depths (Fig. 6). For our helium-accreting model this is of little consequence, but many neutron stars in LMXBs accrete hydrogen-rich material. Hydrogen burns via the hot-CNO cycle. The energy generation rate of this process depends on the mass fractions of the CNO seed nuclei, which are increased if carbon is mixed into the hydrogen/helium layer. This may lower the hydrogen mass fraction in the burning shell. If subsequently a hydrogen/helium flash occurs, there is less hydrogen present for the rp-process to destroy the carbon created by helium fusion. This could allow for the creation of a thick carbon layer to fuel a superburst. Further calculations are needed to assess the magnitude of this effect.
Our models show that carbon is mixed all the way to the neutron star
photosphere at
.
In case hydrogen-rich
material is accreted, the ashes of hydrogen and helium burning can
contain heavy isotopes, e.g. iron. If mixing increases the mass fractions
of these isotopes near the surface, this would allow for the detection
of absorption lines from the neutron star. Measuring the gravitational
redshift of the absorption line provides constraints on the neutron-star
equation of state, such as has been shown with the tentative result
of Cottam et al. (2002) (Özel 2006). This is analogous to
the calculations of Weinberg et al. (2006), who predict that convection
during particularly luminous X-ray bursts can mix heavy elements to
the photosphere.
5 Conclusion
A longstanding problem for the theory of thermonuclear burning in
the envelope of accreting neutron stars is the accretion rate at which
the burning changes from unstable to stable. While observations point
to
,
the models find
when hydrogen-rich material is accreted and
when it is hydrogen-deficient. Recent analytical and numerical models
(Piro & Bildsten 2007) suggest that turbulent mixing due to rotationally
induced magnetic fields leads to an increased stability of the thin
shell burning on neutron stars, similar to the effect of mixing due
to hydrodynamic instabilities in the white dwarf case (Yoon et al. 2004a).
We perform for the first time detailed calculations of nuclear burning
of accreted helium in the neutron star envelope using an extensive
numerical model including both magnetic and non-magnetic hydrodynamic
instabilities. In most cases the magnetic instabilities and torques
provide the largest contribution to the diffusivity and the viscosity,
respectively, while Eddington-Sweet circulations become important
at high rotation rates. We create models with an accretion rate of
and different rotation rates
of the core. We do not couple the heat flux from the crust to the
mass accretion rate, but leave it as a free parameter, finding the
threshold value between stable and unstable burning. This value is
lower by at least a factor of two for models including diffusion,
in comparison with models without chemical mixing. If we ignore the
rotationally induced magnetic fields, mixing due to the secular shear
instability can lower the critical heat flux by several tens of percent.
For higher rotation rates, the centrifugal force allows for stable
burning at crustal heat fluxes that are up to 12% smaller in our
models. Note, however, that this is likely an underestimation, because
of the employed approximation of the centrifugal force in our one-dimensional model.
These effects show that the stability of helium shell burning is increased
due to rotation, such that stable burning can take place at sub-Eddington
accretion rates. Magnetic field generation through the Tayler-Spruit
dynamo yields the strongest effect. However, even without magnetic fields, hydrodynamic instabilities and the centrifugal force increase
stability substantially. We calculate models including chemical diffusion
for several values of the accretion rate and find that, at approximately
40% of the Eddington-limited rate, the critical heat flux from the
crust equals the value inferred from an energy release of
,
which is used in many previous studies. Therefore, to explain the
observed transition at
,
an increased
energy release is required, as found recently by Gupta et al. (2007).
Combined with this larger energy release, rotational mixing and rotationally induced magnetic fields may explain the transition from unstable to stable burning at the observed accretion rate. A better understanding of the mixing efficiencies is required to further constrain the importance of these mixing processes.
Our models exhibit oscillations close to the transition of stable to unstable burning, which have been related to the observed mHz QPOs (Heger et al. 2007). When we lower the heat flux from the crust at a constant rate, we find that the frequency of the oscillations is reduced by up to several tens of percent. This supports the suggestion by Altamirano et al. (2008) that the frequency drifts observed in mHz QPOs are due to cooling.
Acknowledgements
L.K. acknowledges support from the Netherlands Organization for Scientific Research (NWO). We thank D. Altamirano, P. G. Jonker and A. Heger for interesting discussions and we are grateful for helpful comments from the referee.
References
- Altamirano, D., van der Klis, M., Wijnands, R., et al. 2008, ApJ, 673, L35 [NASA ADS] [CrossRef] (In the text)
- Ayasli, S., & Joss, P. C. 1982, ApJ, 256, 637 [NASA ADS] [CrossRef]
- Bildsten, L. 1995, ApJ, 438, 852 [NASA ADS] [CrossRef]
- Bildsten, L. 1998, in The Many Faces of Neutron Stars., ed. R. Buccheri, J. van Paradijs, & A. Alpar, NATO ASIC Proc., 515, 419 (In the text)
- Chaboyer, B., & Zahn, J.-P. 1992, A&A, 253, 173 [NASA ADS] (In the text)
- Cooper, R. L., & Narayan, R. 2007, ApJ, 657, L29 [NASA ADS] [CrossRef]
- Cornelisse, R., in't Zand, J. J. M., Verbunt, F., et al. 2003, A&A, 405, 1033 [NASA ADS] [CrossRef] [EDP Sciences] (In the text)
- Cottam, J., Paerels, F., & Mendez, M. 2002, Nature, 420, 51 [NASA ADS] [CrossRef] (In the text)
- Cumming, A., & Bildsten, L. 2001, ApJ, 559, L127 [NASA ADS] [CrossRef]
- Cumming, A., Macbeth, J., in 't Zand, J. J. M., et al. 2006, ApJ, 646, 429 [NASA ADS] [CrossRef] (In the text)
- Fujimoto, M. Y. 1993, ApJ, 419, 768 [NASA ADS] [CrossRef] (In the text)
- Fujimoto, M. Y., Hanawa, T., & Miyaji, S. 1981, ApJ, 247, 267 [NASA ADS] [CrossRef] (In the text)
- Giannone, P., & Weigert, A. 1967, Z. Astrophys., 67, 41 [NASA ADS] (In the text)
- Gupta, S., Brown, E. F., Schatz, H., Möller, P., & Kratz, K.-L. 2007, ApJ, 662, 1188 [NASA ADS] [CrossRef] (In the text)
- Gupta, S. S., Kawano, T., & Möller, P. 2008, Phys. Rev. Lett., 101, 231101 [NASA ADS] [CrossRef] (In the text)
- Haensel, P., & Zdunik, J. L. 2003, A&A, 404, L33 [NASA ADS] [CrossRef] [EDP Sciences] (In the text)
- Heger, A., Langer, N., & Woosley, S. E. 2000, ApJ, 528, 368 [NASA ADS] [CrossRef] (In the text)
- Heger, A., Woosley, S. E., & Spruit, H. C. 2005, ApJ, 626, 350 [NASA ADS] [CrossRef] (In the text)
- Heger, A., Cumming, A., & Woosley, S. E. 2007, ApJ, 665, 1311 [NASA ADS] [CrossRef] (In the text)
- Iglesias, C. A., & Rogers, F. J. 1996, ApJ, 464, 943 [NASA ADS] [CrossRef] (In the text)
- in 't Zand, J. J. M., Cornelisse, R., & Cumming, A. 2004, A&A, 426, 257 [NASA ADS] [CrossRef] [EDP Sciences]
- in 't Zand, J. J. M., Cumming, A., van der Sluys, M. V., Verbunt, F., & Pols, O. R. 2005, A&A, 441, 675 [NASA ADS] [CrossRef] [EDP Sciences]
- Itoh, N., Hayashi, H., Nishikawa, A., & Kohyama, Y. 1996, ApJS, 102, 411 [NASA ADS] [CrossRef] (In the text)
- Keek, L., in 't Zand, J. J. M., Kuulkers, E., et al. 2008, A&A, 479, 177 [NASA ADS] [CrossRef] [EDP Sciences] (In the text)
- Kippenhahn, R. 1974, in Late Stages of Stellar Evolution, ed. R. J. Tayler, & J. E. Hesser, IAU Symp., 66, 20
- Kuulkers, E. 2004, Nucl. Phys. Proc. Suppl., 132, 466 [NASA ADS] [CrossRef]
- Kuulkers, E. 2005, The Astronomer's Telegram, 483, 1 [NASA ADS]
- Lattimer, J. M., & Prakash, M. 2007, Phys. Rep., 442, 109 [NASA ADS] [CrossRef] (In the text)
- Maeder, A., Meynet, G., Georgy, C., & Ekström, S. 2008, ArXiv e-prints (In the text)
- Molkov, S., Revnivtsev, M., Lutovinov, A., & Sunyaev, R. 2005, A&A, 434, 1069 [NASA ADS] [CrossRef] [EDP Sciences] (In the text)
- Nelson, L. A., Rappaport, S. A., & Joss, P. C. 1986, ApJ, 304, 231 [NASA ADS] [CrossRef]
- Özel, F. 2006, Nature, 441, 1115 [NASA ADS] [CrossRef] (In the text)
- Paczynski, B. 1983, ApJ, 264, 282 [NASA ADS] [CrossRef] (In the text)
- Piro, A. L., & Bildsten, L. 2007, ApJ, 663, 1252 [NASA ADS] [CrossRef] (In the text)
- Remillard, R., Morgan, E., & The ASM Team at MIT, N. 2005, The Astronomer's Telegram, 482, 1 [NASA ADS]
- Revnivtsev, M., Churazov, E., Gilfanov, M., & Sunyaev, R. 2001, A&A, 372, 138 [NASA ADS] [CrossRef] [EDP Sciences] (In the text)
- Spitkovsky, A., Levin, Y., & Ushomirsky, G. 2002, ApJ, 566, 1018 [NASA ADS] [CrossRef]
- Spruit, H. C. 2002, A&A, 381, 923 [NASA ADS] [CrossRef] [EDP Sciences] (In the text)
- Strohmayer, T., & Bildsten, L. 2006, New views of thermonuclear bursts (Cambridge UK: Cambridge University Press), 113
- Strohmayer, T. E., & Brown, E. F. 2002, ApJ, 566, 1045 [NASA ADS] [CrossRef]
- Strohmayer, T. E., Zhang, W., Swank, J. H., et al. 1996, ApJ, 469, L9 [NASA ADS] [CrossRef]
- Suijs, M. P. L., Langer, N., Poelarends, A.-J., et al. 2008, A&A, 481, L87 [NASA ADS] [CrossRef] [EDP Sciences] (In the text)
- van Paradijs, J., Penninx, W., & Lewin, W. H. G. 1988, MNRAS, 233, 437 [NASA ADS] (In the text)
- Webbink, R. F., Rappaport, S., & Savonije, G. J. 1983, ApJ, 270, 678 [NASA ADS] [CrossRef]
- Weinberg, N. N., Bildsten, L., & Schatz, H. 2006, ApJ, 639, 1018 [NASA ADS] [CrossRef] (In the text)
- Woosley, S. E., Heger, A., Cumming, A., et al. 2004, ApJS, 151, 75 [NASA ADS] [CrossRef] (In the text)
- Yoon, S.-C., Langer, N., & Scheithauer, S. 2004a, A&A, 425, 217 [NASA ADS] [CrossRef] [EDP Sciences] (In the text)
- Yoon, S.-C., Langer, N., & van der Sluys, M. 2004b, A&A, 425, 207 [NASA ADS] [CrossRef] [EDP Sciences] (In the text)
- Zahn, J.-P., Brun, A. S., & Mathis, S. 2007, A&A, 474, 145 [NASA ADS] [CrossRef] [EDP Sciences] (In the text)
Footnotes
- ...
- Present address: School of Physics and Astronomy, University of Minnesota, 116 Church Street S.E., Minneapolis, MN 55455, USA.
All Figures
![]() |
Figure 1:
Rotational velocity |
| Open with DEXTER | |
| In the text | |
![]() |
Figure 2:
Comparison of shear q with column depth y. Top: models with different mass accretion rates
and their rotation rate of the core fixed to
|
| Open with DEXTER | |
| In the text | |
![]() |
Figure 3:
Non-magnetic diffusivity D and viscosity |
| Open with DEXTER | |
| In the text | |
![]() |
Figure 4:
Magnetic diffusivity D as a function of column depth y for different values of the angular
velocity of the core and an accretion rate of
|
| Open with DEXTER | |
| In the text | |
![]() |
Figure 5:
Magnetic viscosity |
| Open with DEXTER | |
| In the text | |
![]() |
Figure 6:
Nuclear energy generation rate
|
| Open with DEXTER | |
| In the text | |
![]() |
Figure 7:
Nuclear energy generation rate
|
| Open with DEXTER | |
| In the text | |
![]() |
Figure 8:
Timescales for helium burning, chemical diffusion and accretion as a function of column depth y for
|
| Open with DEXTER | |
| In the text | |
![]() |
Figure 9:
Nuclear luminosity
|
| Open with DEXTER | |
| In the text | |
![]() |
Figure 10:
The heat flux from the crust at the transition
of stable to unstable burning
|
| Open with DEXTER | |
| In the text | |
![]() |
Figure 11:
The heat flux from the crust at the transition of stable to unstable burning
|
| Open with DEXTER | |
| In the text | |
Copyright ESO 2009
Current usage metrics show cumulative count of Article Views (full-text article views including HTML views, PDF and ePub downloads, according to the available data) and Abstracts Views on Vision4Press platform.
Data correspond to usage on the plateform after 2015. The current usage metrics is available 48-96 hours after online publication and is updated daily on week days.
Initial download of the metrics may take a while.









![\begin{figure}
\par\includegraphics[clip,width=9cm]{11619fg1}
\end{figure}](/articles/aa/full_html/2009/30/aa11619-09/Timg73.png)
![\begin{figure}
\par\includegraphics[clip,width=9cm]{11619fg2}\par\includegraphics[clip,width=9cm]{11619fg3}
\end{figure}](/articles/aa/full_html/2009/30/aa11619-09/Timg80.png)
![\begin{figure}
\par\includegraphics[bb=170bp 302bp 450bp 463bp,clip,width=9cm]{11619fg4}
\end{figure}](/articles/aa/full_html/2009/30/aa11619-09/Timg84.png)
![\begin{figure}
\par\includegraphics[clip,width=9cm]{11619fg5}
\end{figure}](/articles/aa/full_html/2009/30/aa11619-09/Timg87.png)
![\begin{figure}
\par\includegraphics[clip,width=9cm]{11619fg6}
\end{figure}](/articles/aa/full_html/2009/30/aa11619-09/Timg90.png)
![\begin{figure}
\par\includegraphics[clip,width=9cm]{11619fg7}
\end{figure}](/articles/aa/full_html/2009/30/aa11619-09/Timg91.png)
![\begin{figure}
\par\includegraphics[width=9cm,clip]{11619fg8}
\end{figure}](/articles/aa/full_html/2009/30/aa11619-09/Timg93.png)
![\begin{figure}
\par\includegraphics[clip,width=9cm]{11619fg9}
\end{figure}](/articles/aa/full_html/2009/30/aa11619-09/Timg94.png)

![\begin{figure}
\par\includegraphics[bb=164bp 300bp 418bp 490bp,clip,width=9cm]{1...
...ncludegraphics[bb=164bp 300bp 418bp 490bp,clip,width=9cm]{11619f11}
\end{figure}](/articles/aa/full_html/2009/30/aa11619-09/Timg102.png)
![\begin{figure}
\par\includegraphics[bb=175bp 302bp 450bp 464bp,clip,width=9cm]{11619f12}
\end{figure}](/articles/aa/full_html/2009/30/aa11619-09/Timg108.png)
![\begin{figure}
\par\includegraphics[clip]{11619f13}
\end{figure}](/articles/aa/full_html/2009/30/aa11619-09/Timg122.png)