Issue |
A&A
Volume 502, Number 3, August II 2009
|
|
---|---|---|
Page(s) | 969 - 979 | |
Section | The Sun | |
DOI | https://doi.org/10.1051/0004-6361/200911727 | |
Published online | 15 June 2009 |
The magnetic flux of the quiet Sun internetwork as observed with the Tenerife infrared polarimeter![[*]](/icons/foot_motif.png)
C. Beck1 - R. Rezaei2
1 - Instituto de Astrofísica de Canarias
(CSIC), Via Lactéa, 38205 La Laguna (Tenerife), Spain
2 - Kiepenheuer-Institut für Sonnenphysik,
Schöneckstr. 6, 79104 Freiburg, Germany
Received 26 Junuary 2009 / Accepted 14 April 2009
Abstract
Context. Observations made with the spectropolarimeter onboard the HINODE satellite have detected abundant horizontal magnetic fields in the internetwork quiet Sun.
Aims. We compare the results for the horizontal fields obtained at 630nm with ground-based observations at 1.56 m, where the sensitivity to magnetic fields is higher than in the visible.
Methods. We obtained 30-s integrated spectropolarimetric data of the quiet Sun on disc centre during a period of extremely stable and good seeing. The data have a rms noise in polarization of around
of the continuum intensity. The low noise level allows the spectra to be inverted with the SIR code. We compare the inversion results with proxies to determine the magnetic flux.
Results. We confirm the presence of the horizontal fields in the quiet Sun internetwork as reported for the satellite data, including voids without linear polarization signal that extend over an area of a few granules. Voids in the circular polarization signal are only of granular scale. More than 60% of the surface show polarization signals of above four times the rms noise level. We find that the total magnetic flux contained in the more inclined to horizontal fields (
)
is lower by a factor of around 2 than that of the less inclined fields. The proxies for flux determination are strongly affected by the thermodynamic state of the atmosphere, and hence, seem to be unreliable.
Conclusions. During spells of good seeing conditions, adaptive optics can render ground-based slit-spectrograph observations at a 70-cm telescope equivalent to the seeing-free space-based data of half-meter class telescopes. We suggest that the difference in the ratio of horizontal to transversal flux between the ground-based infrared data and the satellite-based visible data is due to the different formation heights of the respective spectral lines. We emphasize that the true amount of magnetic flux cannot be derived directly from the spectra. For purely horizontal flux, one would need its vertical extension that has to be estimated by explicit modeling, using the observed spectra as boundary conditions, or be taken from MHD simulations. Time-series of the evolution of the magnetic flux and chromospheric diagnostics are needed to address its possible contribution to chromospheric heating.
Key words: Sun: magnetic fields - Sun: photosphere
1 Introduction
![]() |
Figure 1:
Overview maps of the observations on 21.5.08. Top: TIP Op. 001,
taken at around UT 8:30. Bottom: TIP Op. 005, from around UT
9:30. Left to right: G-band image, maps of |
Open with DEXTER |
Recent observations of magnetic fields in quiet Sun regions acquired
with the spectropolarimeter onboard the HINODE satellite
(Kosugi et al. 2007) have detected abundant horizontal magnetic
fields (Lites et al. 2008; Orozco Suárez et al. 2007, hereafter OR07 and LI08), whose existence had been
predicted before on the basis of the mismatch of observed average
magnetic flux between Zeeman and Hanle measurements by
Trujillo Bueno et al. (2004). Studies of photospheric magnetic fields using
Zeeman-sensitive spectral lines in the visible (VIS) wavelength range,
however, suffer from a severe drawback that depends on the wavelength:
the thermal broadening ()
dominates the Zeeman splitting
caused by the magnetic field (
). For spectral lines in
the near-infrared (IR), the relation is more favorable. The retrieval of
magnetic field properties from spectra in the VIS is thus less reliable,
because the lines are in the weak-field limit, which imposes severe
limits (Martínez González et al. 2006b,2008c). The separation of the
oppositely polarized spectral components is not proportional to the field
strength, and both field strength and magnetic flux can influence
the amplitude of the polarization signal in similar ways. Observations of
solar magnetic fields commonly do not resolve the magnetic structures: thus,
the measurement of the polarization signal amplitude, which is always determined relative
to the intensity, becomes more complicated because of
spatial resolution, stray light, and thermodynamics of the solar atmosphere
(Martínez González et al. 2006b). An accurate determination of magnetic field
properties from the weak polarization signals prevalent in the quiet Sun in
VIS lines is thus strongly dependent on the quality of the
observations, the signal-to-noise ratio
(Rezaei et al. 2007; Bellot Rubio & Collados 2003), and the spatial resolution
(Khomenko et al. 2005b). IR spectra at 1.56
m allow us to disentangle
most of the ambiguities because the field strength can be inferred from
the splitting of the polarization, or in some cases, even the intensity
components of the spectral line for magnetic fields above around 400 G
(Beck et al. 2007; Beck 2006). It is thus unsurprising that studies
before HINODE using solely VIS lines
(Socas-Navarro & Lites 2004; Socas-Navarro & Sánchez Almeida 2003; Sánchez Almeida & Lites 2000; Lites & Socas-Navarro 2004; Domínguez Cerdeña et al. 2003)
or IR lines
(Khomenko et al. 2003; Lin 1995; Domínguez Cerdeña et al. 2006a; Martínez González et al. 2006a) did not
agree especially about the intrinsic field strength: the VIS observations indicated a significant fraction of strong kG fields, whereas the IR was dominated by weaker hG fields.
The contradictory findings from VIS or IR spectral lines could only recently be reconciled to some degree. Rezaei et al. (2007) found for the first time a predominance of weak fields in the internetwork (IN) from observations at 630 nm in a study of the relation between photospheric fields and chromospheric emission. They used ground-based observations obtained using the Kiepenheuer-Institute adaptive optics system (von der Lühe et al. 2003) and the POLIS spectropolarimeter (Beck et al. 2005b) at the German Vacuum Tower Telescope (VTT) in Izaña. Martínez González et al. (2008c) showed that for simultaneous observations in VIS and IR lines taken under identical seeing conditions, the VIS observations are compatible with the weak fields retrieved from the corresponding IR spectra. The VIS spectra alone were, however, found again to be biased towards kG fields because of the limitations of the weak-field limit.
The latest findings about the magnetic fields in the internetwork
quiet Sun from the HINODE in VIS lines should thus again be compared and
confirmed with corresponding observations in the IR. During an
observation campaign in 2008, we were able to obtain IR spectra at
1.56 m in extremely good and stable seeing, yielding a nearly
uniform spatial resolution in time and space close to the diffraction limit of the VTT at these wavelengths. We describe the observations in Sect. 2 and explain additional analysis steps and the inversion of the spectra with the SIR code in Sect. 3. The results are presented in Sect. 4 and summarized and discussed in Sect. 5. Our conclusions are given in Sect. 6.
2 Observations
On 2008 May 21, we observed a region of quiet Sun on disc centre with the
Tenerife Infrared Polarimeter (TIP, Collados et al. 2007; Martínez Pillet et al. 1999) at the German
Vacuum Tower Telescope (VTT) in Izaña. We used the 1.56 m range that includes two Zeeman-sensitive Fe I solar
spectral lines at 1564.8 nm (
)
and 1565.2 nm (
). The slit width of 100
m corresponded to
0
45. The slit was stepped in 0
5 steps across the solar image in
the focal plane. The spatial sampling along the slit was 0
175; the
spectra were binned later to a 0
35 sampling, which is sufficient to sample the
diffraction limit of the VTT (0
6 at 1.5
m). Because of the extremely
good and stable seeing conditions, we used an integration time of
30 s per scan step. Two maps of
were taken from UT 7:58 until 8:43 (Operation 001), and from UT 9:16 until 10:01 (Operation 005). The TIP
data were reduced with the appropriate routines
(e.g., Schlichenmaier & Collados 2002) including the correction of the telescope polarization (Beck et al. 2005a). The noise level of the
polarization signal in continuum windows is around
of the
continuum intensity.
We used a narrow-band G-band imaging channel for speckle-reconstructed context images and the TElecentric SOlar Spectrometer (TESOS, Kentischer et al. 1998) for G-band spectroscopy simultaneously with TIP. We aligned the speckle-reconstructed G-band images taken during the TIP maps with the same methods as described in Beck et al. (2007); the TESOS spectra were not considered in the present study.
Figure 1 shows overview maps of the observations: the aligned
speckle-reconstructed G-band data, the continuum intensity
at around
1565 nm, the maximum linear polarization signal
of the 1564.8 nm
line, the maximum circular polarization signal
,
the polarization
degree p, and finally, the polarity of the magnetic fields that indicates
whether the field lines were
(anti)parallel to the line of sight (LOS). The polarity was defined as
1 (black and white in Fig. 1) from the order of
minimum and maximum Stokes V signal around the 1564.8 nm line core for all
locations with a polarization degree above the threshold discussed
below. Locations without significant polarization signal appear grey
in the polarity map. We defined
,
,
and p as the strongest polarization signal in a small wavelength range
around the line core of 1564.8 nm in
,
Stokes V, and
,
respectively. Assuming that the speckle-reconstructed
G-band data (leftmost image) is a close representation of the true solar
surface structure, the TIP data exhibit the same structure only degraded by the limited spatial sampling, despite the 30 s
integration time. The cadence
of the G-band data was interrupted in both observations close to the end of
scanning, and the G-band data has no exact timing information. It was
thus impossible to obtain a good alignment with
for the last
approximately 10
of the scans. The maps of
,
,
and p are all displayed with an identical upper threshold in
polarization amplitude of 1% of
.
The maps of p are dominated by the contribution from
circular polarization, i.e., nearly vertical magnetic fields, but there are also several locations with strong linear polarization signal. We note that
only a small fraction of the magnetic fields leads to bright points in the
G-band (e.g., x/y= 8-15/25-
in the upper left image),
as also found by de Wijn et al. (2008).
The second map (lower row), taken around an hour later, again
shows the strongest and stable magnetic flux concentrations of the
previous observation displaced by around 5
:
the black patch
in the polarity map at
,
or the small white patch
at 18/58
,
can be reidentified in the 2nd map as well at
38/65
and 18/63
,
respectively.
![]() |
Figure 2:
Left to right:
|
Open with DEXTER |
3 Data analysis
To compare with the study of LI08, we also calculated
the total linear and circular polarization,
and
,
by
integrating the absolute polarization signal
and
with wavelength. These quantities are related to the
longitudinal (
)
and transversal (
)
component of the magnetic
field. The (anti)parallel direction of the longitudinal fields is introduced
into
again by a multiplication with the polarity map. Figure 2 displays the maps of
and
.
We show
in addition maps of the ratio of linear to circular polarization, L/V. The ratio was
calculated for an average of a few spectral pixels (
10 pm) near the location of
the highest V signal of 1564.8 nm (see Beck 2006). The spatial pattern in
these maps is strikingly similar to that found by LI08:
the polarization signal shows ``voids'' of some granules extent (about
10
diameter in
,
3-5
in
)
that are free of any clear signal; the linear polarization signal appears in the shape of
small ``blobs'' around the edges of the voids. The blobs of enhanced
are slightly smaller than individual granules (cf. Ishikawa et al. 2008). In the ratio L/V ( right column), several more locations with stronger linear than circular
polarization show up in the form of similar blobs as in
.
For example, at
and 30/30
in the upper left image, two blobs appear in
(blue rectangles), whereas in L/V (upper right) a third blob is visible between them at
.
![]() |
Figure 3:
Example of top to bottom IQUV spectra for one scan step from Op. 001 at left and Op. 005 at right. The display threshold for QUV was set to |
Open with DEXTER |
Figure 3 shows one example of slit spectra from each observation. There is a residual (vertical) fringe pattern in QUV of
Op. 001, which originates from imperfect flatfielding, of maximum
amplitude around 0.0005 of
in Stokes U, and smaller amplitude
in Q and V. The amplitude of the fringes is so small that they are not
visible, even in the wavelength-integrated map of
(see
Fig. 2). The fringes are presumably caused by the glass window that protects the CCD chip inside the cryostat. We applied some additional
corrections to the lower part of the slit from 0
to
around 20
,
but emphasize that it could be improved
by applying a PCA analysis as in
Martínez González et al. (2008c,a). For the 2nd observation, residual
fringes are much weaker and can only be seen in Stokes Q. The inversion
code is unable to reproduce the pattern because of the
combination of its limited number of degrees of freedom, the least squares minimization that it uses, and the extent of the fringes in
wavelength. The characteristic wavelength of the fringe pattern is about twice as wide as one of the solar spectral lines; with the chosen
setup, the inversion code has no degrees of freedom (see the next paragraph)
to produce such a pattern. In this case, two synthetic profiles will show
small deviations from the observed profile: the one that includes the fringe pattern (which the inversion code cannot generate), and the one that ignores the additional modulation. We thus assume that the influence of the fringes on the
results is negligible. Comparing the two spectral lines at 1564.8 nm and
1565.2 nm, it is clear that most of the linear polarization signals seen in
the more sensitive 1564.8 nm line are absent in the other, as already
noted by Khomenko et al. (2003); only the strongest linear
polarization signals appear in both lines. Almost every profile along the
slit exhibits a significant circular polarization signal in both spectra.
The noise level in the spectra is low enough for us to run a ``standard''
inversion of the spectra with the SIR code
(Ruiz Cobo & del Toro Iniesta 1992). ``Standard'' means that we do not modify the
inversion setup significantly to optimize it for the special type of data, to
get a hopefully unbiased first guess of the magnetic field properties without
enforcing a priori knowledge. We used the same setup as Beck et al. (2007):
in each pixel, we assumed one field-free and one magnetic atmosphere component,
with additional stray light. We only modified the inversion to use three nodes
in temperature for the magnetic component, and place equal weight on the
polarization components Q,U, and V. The parameters of the magnetic field
and the LOS velocities were assumed to be constant with optical depth. The
2-C+stray light setup mimics observations of unresolved magnetic flux
(magnetic component) in equally unresolved intergranular lanes (field-free
component), whereas the stray light corresponds to the granular contribution
to the spectra. Figures 4, A.1
and A.2 show several examples of observed spectra together with the
best-fit spectra retrieved by the inversion. We selected locations with a low
polarization degree and mostly higher linear than circular polarization signal
for the figures. For all of these examples, the signal in the less sensitive
1565.2 nm line is already close to or below the noise level, whereas the
1564.8 nm line still yields a ``significant'' signal that the inversion code
can reproduce.
![]() |
Figure 4: Top: example of inverted spectra of the 1564.8 nm ( left column) and 1565.2 nm line ( right column). Black lines: observed spectra of top to bottom IQUV; red: best-fit profile of the inversion. The dash-dotted horizontal lines mark three times the rms noise level, the solid horizontal line the zero level. The vertical solid line denotes the rest wavelength. Bottom: polarization degree of the 1564.8 nm line with the threshold for inversion ( dash-dotted) and final rejection ( horizontal solid line). |
Open with DEXTER |
In defining ``significant'', we used the polarization degree p. The
routine that performed the inversion used a threshold of
of
:
if the maximal value of p of either 1564.8 nm or 1565.2 nm was above this limit, the 2-C inversion with a magnetic component was executed. As can be seen in Figs. 4 or A.3
(right column, 3rd row), this level is reached already by (most probably)
noise alone in two out of 13 cases for 1564.8 nm. We thus have set a slightly
higher threshold for the analysis of the inversion result and rejected all
profiles with
of
in 1564.8 nm. In both maps,
around 63% of the pixels are above the threshold corresponding to 4 times the noise rms in p (
of
).
Sheminova (2009) found that about 70% of the surface area in a 2-D MHD
simulation was covered by magnetic fields. OR07 measured a fraction of 630 nm
profiles of 87% and 35.5% that had a polarization degree of 3 and 4.5 times the
noise level of about
in their HINODE data. These numbers
thus all agree that the area fraction covered by magnetic fields or exhibiting polarization signal should be above 50%, but
Fig. 5 infers
that the fraction of profiles with
strongly depends on the
threshold used. For comparison with a theoretical calculation, we derived the
same fraction of profiles with
from spectra of 1564.8 nm
synthesized from a simulation run with the Co5bold code described in
Schaffenberger et al. (2005,2006) and previously used in
Steiner et al. (2008). The snapshot was taken from the h20 run with an
initial homogeneous horizontal magnetic field of 20 G. The simulation box
corresponded to a 6
6 square; its spatial resolution is much higher
than for the present observations (compare the insets 1 and 3). We thus convolved the
simulations' spectra spatially with a Gaussian kernel of
.
We also added a noise level of
to them. The
original simulation spectra without convolution and noise (red dashed in
Fig. 5) contain a much higher fraction of profiles
with a high polarization degree than the observations. After the convolution,
the curve already roughly matches that of the observations (red
solid). We ascribe the remaining difference to the imperfect match of the
spatial resolution, the different spatial sampling, and the much larger solar
area studied by the observations
(
). We note only that the
convolved simulated spectra can be matched almost perfectly to the
observations by compressing the curve in the abscissa by a factor of 1.5 ( blue dotted line). This compression can be understood as a reduction
in the polarization degree that could be due to, e.g., the stray light that
was not included in the convolution, or the usage of a Gaussian kernel with
its steep drop with distance. A reduction by 1.5 may sound large, but
one has to consider that the effect is to change, e.g., a 0.6% polarization
level to instead 0.4%, for which only a small amount of additional stray
light is needed. The slopes of all curves clearly change when the noise
level is reached; the fraction of profiles is constantly close to 100%
for thresholds below the noise. We suggest that the fraction of profiles above
a polarization threshold can be easily used to match the spatial
resolution of simulation spectra to observations, and is also a good indicator of the spatial resolution achieved in a specific observation.
![]() |
Figure 5:
Fraction of profiles with
|
Open with DEXTER |
4 Inversion results
The inversion code constructs its synthetic spectra, S, by the following combination of inversion components:
![]() |
(1) |
where









![]() |
Figure 6: Comparison of the geometry in the calculation of SIR and a possible topology inside the resolution element. a) Left to right: reference frame, LOS direction, and filling fraction; b) geometry in the calculation by SIR for field inclinations to the LOS of left to right 0, 25, and 90 degrees; c) possible solution for the real topology. |
Open with DEXTER |
From the inversion results, we estimated the magnetic flux by
where A is the area corresponding to a single pixel of 0



For this estimate of the magnetic flux, we did not consider the field
inclination. We justify this by assuming that the volume
contributing to the spectra from one pixel corresponds roughly to a (275 km)3 cube. The spatial extent in the horizontal dimensions (dx, dy) is
360 km by 250 km. For the extension of the formation height, H, of the IR
line at 1564.8 nm, Cabrera Solana et al. (2005) give a range of around
two dex in log ,
e.g., from around 0 to -2 for velocity perturbations or
from 0.5 to -2.5 for magnetic fields. In the HSRA model atmosphere
(Gingerich et al. 1971) that they used, this range corresponds to
around 250 km. Figure 6 shows one possible way how the
calculation of SIR, which determines a filling fraction in the horizontal
plane and then solves the radiative transfer along the LOS, could be related
to the real topology inside the pixel. We assumed a constant filling fraction
of 25% of the horizontal area Axy, and plotted three cases for field
inclinations to the LOS of 0, 25, and 90 degrees. To obtain the magnetic flux,
the filling fraction has to be multiplied by the corresponding area
perpendicular to the field direction. For horizontal magnetic fields, the
respective area is, however, not Axy but Axz or Ayz, depending
on the field azimuth. If d
,
the surfaces of the cube are equal
and thus the field orientation can be ignored to first order. This is only
an approximation, since for example in the 90-deg-case, SIR calculates
the synthetic profile assuming that the horizontal fields are present
everywhere inside the formation height, which does not necessarily
provide the same result as when they fill only half the formation height
with a double filling fraction.
![]() |
Figure 7:
Inversion results of Op. 001 ( top row) and Op. 005 ( bottom
row). Left to right: field strength, LOS inclination, filling
fraction, total flux. Red contours in |
Open with DEXTER |
Figure 7 shows maps of B, ,
f, and
for the two
observations. Magnetic fields with kG or more are restricted to vertical
fields (1st and 2nd column,
or 180
). The kG
fields show a high magnetic filling fraction, but parts with horizontal
fields can also reach the same level in f. The more inclined fields,
however, do not appear prominently in the flux map (rightmost
column). We overplotted contour lines tracing the strongest linear
polarization signal (cf. Fig. 2) onto the flux map. Locations of high magnetic flux are almost exclusively related to vertical fields with little linear polarization signal.
The total amount of magnetic flux in both maps calculated with
Eq. (2) is around
Mx. There is a slight
imbalance of 53% to 47% for magnetic flux parallel or antiparallel to the
LOS. Including the field inclination in the calculation to obtain the LOS
magnetic flux by multiplying
with cos
,
the imbalance is exactly reversed. Since the fraction is close to 50%, we conclude
that the FOV provides a sufficiently large statistical sample of quiet
Sun regions where no strong bias to a particular field orientation is
expected. The histogram of inclinations using the full range from 0 to 180 deg was also fairly symmetric, so in the following we have converted
the field inclinations above 90 degrees to their corresponding values in the range from 0 to 90 degrees.
![]() |
Figure 8: Histograms of ( clockwise, starting left top) magnetic flux, filling fraction, field inclination, field strength. Blue and red lines correspond to the least/most inclined fields, black lines to the full FOV. |
Open with DEXTER |
Figure 8 shows histograms of B, ,
,
and f. We
calculated the histograms for three different samples: the full FOV ( black), all locations with nearly vertical magnetic fields (blue,
), and nearly horizontal magnetic fields (red,
). For the histogram of
,
we separated the data
points into those for magnetic fields above and below 500 G. The
visual impression of the 2-D maps is confirmed by the histograms: the nearly
vertical fields correspond to the locations of large magnetic flux and
high field strength (300-1000 G); the nearly horizontal fields are limited to
field strengths below around 500 G.
![]() |
Figure 9: The same histograms as in Fig. 8 but separated into granules ( black lines) and intergranular lanes ( red). The inlets show the masks used for the separation. |
Open with DEXTER |
The distribution of magnetic field strength for the full FOV agrees with previous observations of the IR lines (Khomenko et al. 2003; Martínez González et al. 2008c) or the field strength distribution derived by Sheminova (2009) from 2-D MHD simulations, especially for the most probable field strength of around 250 G. We emphasize that a) the ``bump'' at around 1.5 kG commonly found when analyzing 630 nm data (e.g., Domínguez Cerdeña et al. 2006a, OR07) is missing, even when the network locations inside the FOV are not masked out, and that b) the decrease in the relative occurrence of fields below 250 G is not due to the polarization detection limit. Figure A.2 shows 3 examples of weak fields below 200 G (2nd row) that could still be reliably reproduced by the inversion. The spatial resolution of observations is also crucial to the detection of these weak fields (see Fig. 5). The distribution of the nearly horizontal fields ( red curve at bottom left of Fig. 8) shows an enhanced fraction of these weak fields below 200 G, which implies that the detection limit due to the noise is not yet reached at 200 G. In the question of the seemingly preference for kG fields in the analysis of 630 nm data, Martínez González et al. (2006b) cautioned that the thermodynamics must be treated consistently in an analysis of the 630 nm line pair in the weak field limit. Rezaei et al. (2007) were able to derive a distribution without the bump using a SIR inversion of 630 nm data of lower spatial resolution than available nowadays in HINODE observations. It would be worthwhile to analyse the HINODE data without employing the Milne-Eddington (ME) approximation to determine whether the field strength distribution changes with a more sophisticated treatment of the thermodynamics.
The field inclination shows some clear trends: for fields below 500 G, an
inclination above 45
is preferred with a plateau of constant
probability up to 90
,
whereas strong fields above 500 G are restricted
to an inclination of 35
or less. The distribution for the full FOV
shows a small peak near 0
inclination (
the very small area
fraction of ``network'' fields inside the FOV), and then a rapid increase in occurrence up to 15
followed by a slow reduction towards
90
.
The shape of the distribution matches more closely the one given
by OR07 in their Fig. 3 for the MHD simulation run of
Vögler et al. (2005), than the one that these authors derived from their observations.
A second method of classification into different type of structures is to
separate the FOV into granules and intergranular lanes (IGLs). We derived a
mask using the continuum intensity maps and a threshold of 0.995 and 1.005 of
to define IGLs (black in the inlets in Fig. 9) and
granules (white), respectively. Locations with an intensity
between the two values were excluded (green). The masks
retain the granulation pattern of the continuum intensity. At the
near-infrared wavelength of the observations and at their spatial sampling,
magnetic elements are not bright in the continuum at the disc centre,
and thus should not have unintentionally been counted as part of the granular sample. We then
calculated the histograms of the same quantities as in Fig. 8. The
pattern is very similar to that in Fig. 8: in the IGLs, one has a
predominance of more vertical, stronger fields of higher magnetic flux. A
strong difference between granules and IGLs is seen in the magnetic filling
fraction. The IGLs contain a larger contribution of high filling fractions
centred on 0.2-0.3, whereas the granules have a distribution that peaks close to f=0and drops steeply for larger f. This indicates that the magnetic flux in (or
above) granules is more diffuse than in the IGLs and becomes more
dispersed than concentrated, whereas in the IGLs the converging granular flows
advect and concentrate magnetic flux.
The relative amount of magnetic flux in concentrated vertical fields in IGLs
and the diffuse weak horizontal fields in granules is of strong interest,
e.g., for reconciling Hanle and Zeeman measurements at low spatial
resolution, which have yielded quite different average magnetic flux densities,
Zeeman-based observations being lower by around an order of magnitude. The
histograms of Figs. 8 and 9 indicate a tight relation
between field strength, magnetic flux, and field inclination. We thus also
created scatter plots of inclination versus the other two quantities (top two
panels of Fig. 10). We remark that the field inclination did not enter into the calculation of the magnetic flux, but only the
filling fraction and field strength. In the scatter plots, there is a clear
trend for the inclined fields above 45
to be limited to below 500 G and below
around
Mx. Higher fluxes are only achieved by nearly
vertical fields (see Ishikawa & Tsuneta 2009, their Fig. 6). To obtain the
total amount of magnetic flux as a function of inclination, we added the
magnetic fluxes at all locations with a field inclination in
(lower panel). The distribution is similar to
the scatter plot at top of Fig. 10; we find that around 2/3 of the total magnetic flux comes from magnetic fields with
.
![]() |
Figure 10:
Scatter plots of magnetic flux versus inclination ( top) and field strength versus inclination ( middle). Red crosses are binned data. Bottom: total magnetic flux in the full FOV as function of field inclination in 1 deg bins. The black vertical line marks 45 |
Open with DEXTER |
![]() |
Figure 11:
Linear polarization map
|
Open with DEXTER |
In the observations of low spatial resolution, the weaker and more
inclined magnetic fields could not be detected because their linear
polarization signal had been spatially smoothed to values below
the noise level (see Fig. 11, observations are described in detail in Martínez González et al. 2008c; Khomenko et al. 2005a). These data of 2003 were acquired for the same spectral range as the present investigation and
an identical integration time of 30 s per spectrum, but an image correction
of only a correlation tracker was used to remove image shifts
during the exposure. A single position at
(
)
in a
FOV shows significant linear
polarization signal that would indicate inclined magnetic fields.
Khomenko et al. (2003), however, were able to detect linear polarization
signals in 50-s integration data from TIP taken on 2000 July 29 and
2000 September 5
. They found that around 20% of the pixels inside the FOV exhibited a significant linear polarization signal that could be analysed quantitatively.
5 Discussion
5.1 General properties of the QS magnetic fields
The weak horizontal magnetic field of the solar internetwork regions is only detectable with observations of high spatial resolution and high polarimetric sensitivity. The presence of these fields was expected from Hanle measurements, and evidence of them has been found in some observations before (Khomenko et al. 2003; Martínez González et al. 2008c; Lites et al. 1996; Harvey et al. 2007; Martínez González et al. 2008b). They have only been seen prominently with data from the spectropolarimeter onboard the HINODE satellite (Kosugi et al. 2007), as reported by OR07 and LI08. By comparing the present Fig. 2 with Figs. 2 and 7 of LI08, we conclude that the present observations trace the same solar structures, i.e., ground-based observations aided by real-time adaptive optics correction can reach the required spatial resolution during spells of excellent seeing conditions, and hence, the results of the two independent sets of data should be compatible.
Some of the present findings disagree with those of the HINODE
data. However, we propose that the disagreements are mainly caused by the analysis methods, the
different magnetic sensitivities of the spectral lines, and a
physical reason. The distributions of field strength again exhibit the mismatch
between IR and VIS found in previous studies, i.e., a significant fraction of
kG fields in VIS (OR07) that does not appear for IR
data. Bellot Rubio & Collados (2003), Martínez González et al. (2006b), and
Rezaei et al. (2007) demonstrated that this feature is related to the noise
level of the data and the thermodynamics, because IR and VIS spectra together
can be reproduced simultaneously by weak fields
(Martínez González et al. 2008c). The usage of a ME method in OR07 possibly also
contributes to this effect. The field strength distribution here peaks at
around 250 G, whereas Orozco Suárez et al. (2007) give 90 G. This may again
be related to the weak-field limit of the 630 nm lines and the ME
approximation, which makes the VIS lines less reliable than the stronger
splitting IR lines. The magnetic filling fraction f compares fairly well to
one minus the stray light contribution of OR07; magnetic filling fractions
peak at around 0.1 here and at 0.2 in OR07. The field inclinations differ the most: we do not find any increase in the distribution for horizontal fields,
but instead a probability that declines slowly with inclination for fields with
inclinations above 20.
OR07 and LI 08 both found a clear dominance
of horizontal over vertical fields and transversal over longitudinal flux. With the same caveat as in LI08 that the vertical and
horizontal extent of the transverse fields cannot be derived directly
from the spectra, we found that 2/3 of the total flux originates in fields with inclinations below 45
,
whereas LI08 give a ratio of 5 in favor of the transversal fields.
![]() |
Figure 12: Scatter plots of transversal and longitudinal flux versus maximal linear ( left top) and circular polarization degree ( left bottom), same versus total linear ( middle top) and circular polarization ( middle bottom), and scatter plot of field strength versus total linear ( right top) and circular polarization ( right bottom). Black: all data points; red: after binning. The blue line in the middle top panel is a linear fit to the binned data. |
Open with DEXTER |
5.2 Reliability of proxies in magnetic flux determination
Since we were able to invert successfully most of the pixels because of the low noise level of our data, we have information about
field strength, field inclination, and magnetic flux with some certainty. This
allows us to test the validity of some of the approximations in LI08,
who convert the total linear and circular polarization signal into their
estimates of transversal and longitudinal flux. We calculated the longitudinal
(
)
and transversal (
)
flux from the inversion results to be
To a first order approximation, the circularly polarized Stokes V signal should scale with




















The polarization amplitudes and, hence also, the integrated polarization
amplitudes measure the ratio of polarized to unpolarized light. Their absolute
values strongly depend on the thermodynamical structure of the atmosphere and
the structure resolution. This becomes even worse for VIS lines in
the weak-field limit, where the field strength also changes the amplitudes of
the polarization lobes, not only their location in wavelength. In
Appendix B, we tested the derivation of calibration curves between
transversal magnetic flux and
based on various assumptions
(constant inclination, constant flux, temperature variation). We found
that only by varying the temperature stratification at constant magnetic
flux, we can reproduce the scatter seen in Fig. 12. In total, the
scatter in the relationship and the different calibration curves that
can be obtained by, e.g., only varying the inclination by 10 degrees place the accuracy of the derivation of magnetic flux from proxies such as
or
into some doubt.
However, apart from the observations with HINODE that favor a dominant
fraction of horizontal fields, some simulation results also
suggested that magnetic field are more horizontal than previously found. Schüssler & Vögler (2008) and Steiner et al. (2008, ST08) reported the ratio of horizontal to vertical
fields in their respective simulations, providing numbers from 2 to 6, in
accordance with the factor of 5 derived by LI08. This seems incompatible with
the present investigation, but both simulations show that the ratio is
strongly dependent on the height in the atmosphere. In their
Fig. 1, ST08 show the
field strengths as a function of height for two simulation runs (v10 = initial 10 G vertical field, h20= 20 G horizontal). At a height of around 200 km, which
is appropriate for the IR lines at 1565 nm used here, the ratio of v10 favors the longitudinal fields,
.
This is significantly closer to the ratio of
than the factor of 5 that ST08
derived after synthesizing 630 nm spectra of their simulation and analyzing
them in the same way as LI08.
5.3 Vertical unsigned flux density
Various authors have derived the
average unsigned flux density of the vertical magnetic fields from Zeeman-sensitive spectral lines
(Domínguez Cerdeña et al. 2006a; Martínez González et al. 2008c; Khomenko et al. 2005a; Lites et al. 2008; Lites 2002; Domínguez Cerdeña et al. 2003; Keller et al. 1994; Domínguez Cerdeña et al. 2006b; Orozco Suárez et al. 2007; Carroll & Kopf 2008).
In the older literature, magnetic field proxies such as the Stokes V amplitude
or integrated area were used, and more recently an inversion of
spectra. The obtained values for
have significant
scatter, depending on the observations used or the analysis method employed,
but in general yield values between 5 and 30 G. In addition, LI08 measured a transversal magnetic flux of around 50 G. Observations using the
Hanle effect yielded significantly higher values of around 100 G (e.g., Trujillo Bueno et al. 2004).
![]() |
Figure 13: Histograms of vertical flux density in linear ( top) and logarithmic scale ( bottom). The vertical lines mark 2 G. Black and red lines show the observations and an exponential decay law. The inlet in the upper panel shows a magnification of the low flux range. |
Open with DEXTER |
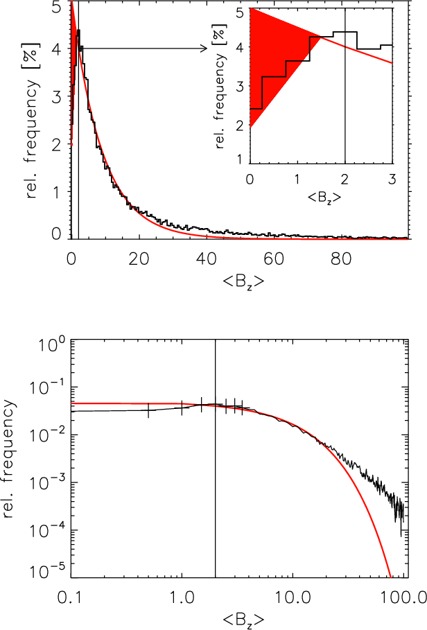
Figure 13 shows the distribution of
in our
observations, derived from the longitudinal flux after division by the area A(cf. Eq. (2)); the bin size was 0.5 G. The distribution shows a
maximum near 2 G, but is otherwise in good agreement with a
monotonically increasing probability at weaker fluxes (solid red line,
exponential decay law). The difference between the exponential decay and the
observed distribution for
G only covers a small area of far
less than 10% relative frequency (red filled area in the upper panel of Fig. 13 from 0 to 2 G, see the inlet). In the
double-logarithmic display in the lower half, we displayed the first 7
histogram points with crosses. It can be clearly seen that from high fluxes up
to the maximum probability value the points closely follow an exponential law; only the first
four points corresponding to the weakest fluxes below 2 G deviate from the principal trend. Since the noise imposes a hard threshold on the detection of the lowest magnetic fluxes, we believe that the occurrence of the maximum is
fully artificial. Very weak fluxes produce increasingly weaker polarization
signals that can escape detection completely or are eventually rejected by the
inversion threshold. Pietarila Graham et al. (2009) claimed that the
distribution of the magnetic flux density cannot be determined from
observations because of the peaked appearance of the probability distributions
as in Fig. 13. However, given the small deviation between the observed distribution and an exponential decay law predicted by MHD simulations,
we propose that the probability distribution function of magnetic flux can
be derived from observations when one considers that the weakest fluxes must escape detection because of the noise level.
Using the strongly Zeeman-sensitive IR lines at 1.56 m, it is possible to
disentangle the field strength B on the part of the surface that is covered
by fields from the area filling fraction f of the magnetic structure that is almost certainly unresolved. This makes an important difference to the calculation of the magnetic flux density, compared with the spectral
lines at 630 nm used by the HINODE spectropolarimeter and in the work of
Pietarila Graham et al. (2009). The 630 nm lines are in the weak-field limit for the
weak magnetic fields of the quiet Sun, i.e., they are sensitive to a
strong interplay between thermodynamics and magnetic field properties, as also
demonstrated in Appendix B. It is more difficult to determine Band f accurately for these lines, even if one carefully considers the thermodynamics (Martínez González et al. 2006b).
Normalizing the observed magnetic flux to the complete FOV, including the locations with no significant polarization signal, the average values for the total, longitudinal, and transversal flux using Eqs. (2) and (3) are 22 G, 16 G,
and 11 G, respectively. If one only considers the area of actually observed
polarization signal, the corresponding values are 26 G, 20 G, and 13 G.
The values are at the upper range of Zeeman-based measurements. As
mentioned by, e.g., Pietarila Graham et al. (2009), the cancellation of
Stokes V signals due to unresolved opposite polarities inside a resolution
element causes an underestimation of the true amount of magnetic flux.
Our observations with a 0
37 sampling are
prone to this. The average flux densities can thus only be taken as a lower limit to the total magnetic flux, but we believe that they represent a rather solid limit to the total magnetic flux observed at the 1
resolution achieved.
6 Summary and conclusions
We have analysed two long-integration data sets of quiet Sun regions obtained
under extremely good seeing conditions with the TIP at 1.56 m. We have found that the data allow us to study the weak horizontal internetwork fields that
appeared prominently in HINODE observations recently (OR07 and LI08). Because of the lower noise level than for HINODE data and the higher
sensitivity of the IR lines, we were able to invert the spectra with SIR and avoid using strong approximations in the derivation of magnetic
field properties. We found that
the more inclined/``horizontal'' fields (
)
are generally
weaker (<500 G) and contain in total less magnetic flux than the less
inclined/``vertical'' fields. Since the data properties (spatial scales of
observed structures, pixels with significant polarization signal) and the
inversion results (magnetic filling fraction, relation to granules/IGLs) seem
to agree roughly with the HINODE data and their analysis in OR07 and LI08, we
ascribe the reversal in the ratio of transversal to longitudinal fields
(HINODE data: 5, IR data: 0.42) to: a) the different formation height of the
spectral lines, and b) the analysis methods, i.e., either inversions
using the ME approximation or a consistent treatment of thermodynamics
(SIR), or calibration from integrated polarization signal to magnetic
flux. We conclude that the issue would be investigated most effectively
with simultaneous IR/VIS data, since simulations predict a strong
dependence of the ratio on geometrical height (Steiner et al. 2008). Although the existence of a significant fraction of inclined magnetic
fields is confirmed by the present IR observations, their influence on the
dynamics of the solar atmosphere remains unclear. They do not seem to
affect the granulation pattern, but could contribute to chromospheric
heating as discussed in Ishikawa & Tsuneta (2009). This issue could be addressed by a combination of repeated spectropolarimetry of photospheric fields with chromospheric diagnostics.
Acknowledgements
The VTT is operated by the Kiepenheuer-Institut für Sonnenphysik (KIS) at the Spanish Observatorio del Teide of the Instituto de Astrofísica de Canarias (IAC). R.R. acknowledges support by the Deutsche Forschungsgemeinschaft under grant SCHM 1168/8-2. C.B. thanks M. Collados for being the only co-observer to show up during the campaign. We thank O. Steiner (KIS) for making the CO5BOLD simulation data available to us.
References
- Beck, C. 2006, Ph.D. Thesis, Albert-Ludwigs-University, Freiburg
- Beck, C., Schlichenmaier, R., Collados, M., Bellot Rubio, L., & Kentischer, T. 2005a, A&A, 443, 1047 [NASA ADS] [CrossRef] [EDP Sciences] (In the text)
- Beck, C., Schmidt, W., Kentischer, T., & Elmore, D. 2005b, A&A, 437, 1159 [NASA ADS] [CrossRef] [EDP Sciences] (In the text)
- Beck, C., Bellot Rubio, L. R., Schlichenmaier, R., & Sütterlin, P. 2007, A&A, 472, 607 [NASA ADS] [CrossRef] [EDP Sciences]
- Bellot Rubio, L. R. 2003, Kiepenheuer Institut für Sonnenphysik, Freiburg
- Bellot Rubio, L. R., & Collados, M. 2003, A&A, 406, 357 [NASA ADS] [CrossRef] [EDP Sciences]
- Bellot Rubio, L. R., Ruiz Cobo, B., & Collados, M. 2000, ApJ, 535, 475 [NASA ADS] [CrossRef]
- Cabrera Solana, D., Bellot Rubio, L. R., & del Toro Iniesta, J. C. 2005, A&A, 439, 687 [NASA ADS] [CrossRef] [EDP Sciences] (In the text)
- Carroll, T. A., & Kopf, M. 2008, A&A, 481, L37 [NASA ADS] [CrossRef] [EDP Sciences]
- Collados, M., Lagg, A., Díaz Garcí A. J. J., et al. 2007, in The Physics of Chromospheric Plasmas, ed. P. Heinzel, I. Dorotovic, & R. J. Rutten, ASP Conf. Ser., 368, 611
- de Wijn, A. G., Lites, B. W., Berger, T. E., et al. 2008, ApJ, 684, 1469 [NASA ADS] [CrossRef] (In the text)
- Domínguez Cerdeña, I., Sánchez Almeida, J., & Kneer, F. 2003, A&A, 407, 741 [NASA ADS] [CrossRef] [EDP Sciences]
- Domínguez Cerdeña, I., Almeida, J. S., & Kneer, F. 2006a, ApJ, 646, 1421 [NASA ADS] [CrossRef]
- Domínguez Cerdeña, I., Sánchez Almeida, J., & Kneer, F. 2006b, ApJ, 636, 496 [NASA ADS] [CrossRef]
- Gingerich, O., Noyes, R. W., Kalkofen, W., & Cuny, Y. 1971, Sol. Phys., 18, 347 [NASA ADS] [CrossRef] (In the text)
- Harvey, J. W., Branston, D., Henney, C. J., & Keller, C. U. 2007, ApJ, 659,L177
- Ishikawa, R., & Tsuneta, S. 2009, A&A, 495, 607 [NASA ADS] [CrossRef] [EDP Sciences] (In the text)
- Ishikawa, R., Tsuneta, S., Ichimoto, K., et al. 2008, A&A, 481, L25 [NASA ADS] [CrossRef] [EDP Sciences] (In the text)
- Jefferies, J., Lites, B. W., & Skumanich, A. 1989, ApJ, 343, 920 [NASA ADS] [CrossRef] (In the text)
- Keller, C. U., Deubner, F.-L., Egger, U., Fleck, B., & Povel, H. P. 1994, A&A, 286, 626 [NASA ADS]
- Kentischer, T. J., Schmidt, W., Sigwarth, M., & von Uexküll, M. 1998, A&A, 340, 569 [NASA ADS] (In the text)
- Khomenko, E. V., Collados, M., Solanki, S. K., Lagg, A., & Trujillo Bueno, J. 2003, A&A, 408, 1115 [NASA ADS] [CrossRef] [EDP Sciences]
- Khomenko, E. V., Martínez González, M. J., Collados, M., et al. 2005a, A&A, 436, L27 [NASA ADS] [CrossRef] [EDP Sciences]
- Khomenko, E. V., Shelyag, S., Solanki, S. K., & Vögler, A. 2005b, A&A, 442, 1059 [NASA ADS] [CrossRef] [EDP Sciences] (In the text)
- Kosugi, T., Matsuzaki, K., Sakao, T., et al. 2007, Sol. Phys., 243, 3 [NASA ADS] [CrossRef] (In the text)
- Lin, H. 1995, ApJ, 446, 421 [NASA ADS] [CrossRef]
- Lites, B. W. 2002, ApJ, 573, 431 [NASA ADS] [CrossRef]
- Lites, B. W., & Socas-Navarro, H. 2004, ApJ, 613, 600 [NASA ADS] [CrossRef]
- Lites, B. W., Leka, K. D., Skumanich, A., Martinez Pillet, V., & Shimizu, T. 1996, ApJ, 460, 1019 [NASA ADS] [CrossRef]
- Lites, B. W., Kubo, M., Socas-Navarro, H., et al. 2008, ApJ, 672, 1237 [NASA ADS] [CrossRef]
- Martínez Pillet, V., Collados, M., Sánchez Almeida, J., et al. 1999, in High Resolution Solar Physics: Theory, Observations, and Techniques, ASP Conf. Ser., 183, 264
- Martínez González, M. J., Collados, M., & Ruiz Cobo, B. 2006a, in Astronomical Society of the Pacific Conference Series, ed. R. Casini, & B. W. Lites, ASP Conf. Ser., 358, 36
- Martínez González, M. J., Collados, M., & Ruiz Cobo, B. 2006b, A&A, 456, 1159 [NASA ADS] [CrossRef] [EDP Sciences]
- Martínez González, M. J., Asensio Ramos, A., Carroll, T. A., et al. 2008a, A&A, 486, 637 [NASA ADS] [CrossRef] [EDP Sciences]
- Martínez González, M. J., Asensio Ramos, A., López Ariste, A., & Manso Sainz, R. 2008b, A&A, 479, 229 [NASA ADS] [CrossRef] [EDP Sciences]
- Martínez González, M. J., Collados, M., Ruiz Cobo, B., & Beck, C. 2008c, A&A, 477, 953 [NASA ADS] [CrossRef] [EDP Sciences]
- Orozco Suárez, D., Bellot Rubio, L., del Toro Iniesta, J., et al. 2007, ApJ, 670, L61 [NASA ADS] [CrossRef]
- Pietarila Graham, J., Danilovic, S., & Schuessler, M. 2009, ApJ, 693, 1728 [NASA ADS] [CrossRef] (In the text)
- Rezaei, R., Schlichenmaier, R., Beck, C. A. R., Bruls, J. H. M. J., & Schmidt, W. 2007, A&A, 466, 1131 [NASA ADS] [CrossRef] [EDP Sciences]
- Ruiz Cobo, B., & del Toro Iniesta, J. C. 1992, ApJ, 398, 375 [NASA ADS] [CrossRef] (In the text)
- Sánchez Almeida, J., & Lites, B. W. 2000, ApJ, 532, 1215 [NASA ADS] [CrossRef]
- Schaffenberger, W., Wedemeyer-Böhm, S., Steiner, O., & Freytag, B. 2005, in Chromospheric and Coronal Magnetic Fields, ed. D. E. Innes, A. Lagg, & S. A. Solanki, ESA SP, 596
- Schaffenberger, W., Wedemeyer-Böhm, S., Steiner, O., & Freytag, B. 2006, in Solar MHD Theory and Observations: A High Spatial Resolution Perspective, ed. J. Leibacher, R. F. Stein, & H. Uitenbroek, ASP Conf. Ser., 354, 345
- Schlichenmaier, R., & Collados, M. 2002, A&A, 381, 668 [NASA ADS] [CrossRef] [EDP Sciences] (In the text)
- Schüssler, M., & Vögler, A. 2008, A&A, 481, L5 [NASA ADS] [CrossRef] [EDP Sciences] (In the text)
- Sheminova, V. A. 2009, Sol. Phys., 254, 29 [NASA ADS] [CrossRef] (In the text)
- Socas-Navarro, H., & Sánchez Almeida, J. 2003, ApJ, 593, 581 [NASA ADS] [CrossRef]
- Socas-Navarro, H., & Lites, B. W. 2004, ApJ, 616, 587 [NASA ADS] [CrossRef]
- Steiner, O., Rezaei, R., Schaffenberger, W., & Wedemeyer-Böhm, S. 2008, ApJ, 680, L85 [NASA ADS] [CrossRef] (In the text)
- Trujillo Bueno, J., Shchukina, N., & Asensio Ramos, A. 2004, Nature, 430, 326 [NASA ADS] [CrossRef] (In the text)
- Vögler, A., Shelyag, S., Schüssler, M., et al. 2005, A&A, 429, 335 [NASA ADS] [CrossRef] [EDP Sciences] (In the text)
- von der Lühe, O., Soltau, D., Berkefeld, T., & Schelenz, T. 2003, in Proc. SPIE, ed. by Stephen L. Keil, Sergey V. Avakyan, 4853, 187 (In the text)
Online Material
Appendix A: Examples of inverted spectra
![]() |
Figure A.1: Examples of observed ( black line) and best-fit spectra ( red) in Op. 001 ( 1st and 3rd row). The dash-dotted horizontal lines in QUV indicate three times the rms noise level, and the solid horizontal line the zero level. The vertical solid line denotes the rest wavelength. The 2nd and 4th row show the corresponding temperature stratifications of the magnetic component ( solid), the field-free component ( dash-dotted), and the HSRA atmosphere that is used as initial model ( dashed). Field strength and LOS inclination and their respective errors are given in the plot of Stokes I of 1564.8 nm ( upper left in each panel); the number of each profile is given in the upper left corner of each panel. |
Open with DEXTER |
![]() |
Figure A.2: Same as Fig. A.1 for TIP Op. 005. |
Open with DEXTER |
![]() |
Figure A.3: Polarization degree of 1564.8 nm for the profiles shown in Figs. A.1 ( upper two rows) and A.2 ( lower two rows). The dash-dotted and solid horizontal lines denote the inversion and final rejection threshold, respectively. |
Open with DEXTER |
Figures A.1 and A.2 show several profiles taken from the
first and second long-integration observation of 2008 May 21 (Op. 001 and
Op. 005), respectively. The positions of the profiles are marked by
consecutive numbers in Fig. 1. The profiles shown were selected to
have a small polarization degree that in some cases was barely sufficient to
meet the inversion threshold (e.g., profiles Nos. 6 and 7). Below the spectra,
the temperature stratifications used in the generation of the
best-fit spectra are shown. With 3 nodes in temperature, the SIR code can use
a parabola for changing the stratification; the parabola shape appears quite
prominent for many of the locations. We note, however, that the IR lines at
1.56 m are not sensitive to the temperature in the atmosphere above log
(Cabrera Solana et al. 2005). Only one profile
corresponds to a kG field (Fig. A.2, top middle, No. 8). Figure A.3 shows the polarization degree of 1564.8 nm for all profiles of
the previous figures. Profile No. 9 exceeds the inversion threshold of 0.001
of
near +750 m
with a spike that is presumably not of solar
origin, but is instead noise in the Stokes U profile. The final rejection threshold of 0.0014 is, however, only reached by signals clearly related to the Zeeman effect (multiple double or triple lobes).
Reliability of the inversion results.
As discussed in Sect. 3, we used a constant value for the magnetic field strength (B), inclination (



SIR calculates an error estimate for the free fit parameters using the
diagonal elements of the covariance matrix, expressed by the response
functions (Bellot Rubio et al. 2000; Bellot Rubio 2003). The error estimate
depends on the number of degrees of freedom in each variable; for parameters
constant with optical depth thus a single value is returned. The error
estimate, however, provides only information about the
reliability of the best-fit solution for the corresponding
-minimum inside the chosen inversion setup. The estimated errors
in the inversion of the profiles shown in Figs. 4, A.1, and A.2 are noted on the
Stokes I panel for the Fe I 1565.2 nm line. The average uncertainties in the calculated magnetic field strength and inclination angle given by SIR are
G and
deg, respectively. The values agree with a previous error estimate in Beck (2006) derived from a direct analysis of the profile shape of the 1.56
m lines (Table 3.2 on p. 47;
G and
deg).
Appendix B: Calibration of Ltot to transversal flux
We tried to follow the procedure described in LI08 to calibrate the
linear polarization signal into a transversal magnetic flux estimate that is independent
of the inversion results. To reduce the influence of noise, LI08
first determine the ``preferred azimuth frame'', where the linear polarization
signal is concentrated in Stokes Q. To achieve this, we determined the
azimuth angle from the ratio of U to Q, and rotated the spectra
correspondingly to maximize the Stokes Q signal. The scatter plot in Fig. B.1 compares the previously used total linear polarization,
,
with the corresponding
as a measure of the linear polarization. The rotation of the spectra reduces the noise contribution by a constant amount, but the old and new values otherwise have a linear relationship with a slope close to unity.
We then averaged the rotated Q spectra over all spatial positions exceeding
the polarization threshold for the inversion. The average Stokes Q spectrum
was used as a spectral mask by LI08, but unfortunately their method
fails for the infrared lines. The wavelengths around the line core have
negative values in the average Q profile (Fig. B.2), which prevents
to use it in the same way as in LI08. We thus used
as defined above instead, which we understand to be
equivalent to the approach of LI08 despite not using a (somewhat arbitrary) spectral mask.
The plot of
versus transversal flux (Fig. 12,
middle upper panel) showed considerable scatter that places the
use of a single calibration curve in doubt. We thus not only tried to obtain a
calibration curve, but also to quantify the effect of various parameters on
the obtained relation. The upper part of Fig. B.3 shows
calibration curves of
versus field strength for different field
inclinations
.
The uppermost curve for
corresponds
to the one used by LI08. With the assumption that the field inclination does not necessary equal
,
one already finds that one and the
same value of
can be obtained for a range of around 200-550 G
in field strength. The same effect is shown in the middle part, where
the magnetic flux,
,
was kept constant at
Mx, B was varied, and
was derived accordingly from
.
Again a range of around 200-500 G in B corresponds to the same value of
.
As a final test, we chose to
investigate the influence of the temperature stratification on the resulting
-value. We retained the magnetic flux, field strength and field
inclination constant at (
Mx, 20 G,
), and
synthesized spectra for different temperature stratifications. We used 10 000
temperature stratifications that were derived for the magnetic component in
the inversion, and thus can be taken to be an estimate of the range of
temperatures expected in the quiet Sun. The histogram of the resulting
-values is displayed in the bottom part of
Fig. B.3. The value of
ranges from nearly zero up to 0.01, which also
roughly corresponds to the scatter in
in Fig. 12. We
thus conclude that the largest contribution to the scatter
comes from temperature effects. We remark that we used a magnetic filling
factor of unity in all calculations. Any additional variation in the
filling factor due to unresolved magnetic structures would
increase the scatter in
even more.
We conclude that the usage of a calibration curve for a derivation of transversal magnetic flux from
or
,
regardless of the exact calculation of the wavelength integrated quantities, is not reliable for a solid estimate, mainly because the strong influence of the thermodynamical state of the atmosphere on the weak polarization signals.
![]() |
Figure B.1: Scatter plot of the integrated Stokes Q signal in the preferred reference frame versus the total linear polarization without rotation. Solid line: unity slope; dashed line: unity slope with an offset of 0.0001. |
Open with DEXTER |
![]() |
Figure B.2: The average Stokes Q profile. |
Open with DEXTER |
![]() |
Figure B.3:
Top: calibration curves from
|
Open with DEXTER |
Footnotes
- ... polarimeter
- Appendices A and B are only available in electronic form at http://www.aanda.org
- ... spectra
- The average spectrum used as stray-light contribution is blue-shifted and has a continuum intensity of unity.
- ... 5
- See http://www3.kis.uni-freiburg.de/~cbeck/TIP_archive/TIP_archivemain.html
All Figures
![]() |
Figure 1:
Overview maps of the observations on 21.5.08. Top: TIP Op. 001,
taken at around UT 8:30. Bottom: TIP Op. 005, from around UT
9:30. Left to right: G-band image, maps of |
Open with DEXTER | |
In the text |
![]() |
Figure 2:
Left to right:
|
Open with DEXTER | |
In the text |
![]() |
Figure 3:
Example of top to bottom IQUV spectra for one scan step from Op. 001 at left and Op. 005 at right. The display threshold for QUV was set to |
Open with DEXTER | |
In the text |
![]() |
Figure 4: Top: example of inverted spectra of the 1564.8 nm ( left column) and 1565.2 nm line ( right column). Black lines: observed spectra of top to bottom IQUV; red: best-fit profile of the inversion. The dash-dotted horizontal lines mark three times the rms noise level, the solid horizontal line the zero level. The vertical solid line denotes the rest wavelength. Bottom: polarization degree of the 1564.8 nm line with the threshold for inversion ( dash-dotted) and final rejection ( horizontal solid line). |
Open with DEXTER | |
In the text |
![]() |
Figure 5:
Fraction of profiles with
|
Open with DEXTER | |
In the text |
![]() |
Figure 6: Comparison of the geometry in the calculation of SIR and a possible topology inside the resolution element. a) Left to right: reference frame, LOS direction, and filling fraction; b) geometry in the calculation by SIR for field inclinations to the LOS of left to right 0, 25, and 90 degrees; c) possible solution for the real topology. |
Open with DEXTER | |
In the text |
![]() |
Figure 7:
Inversion results of Op. 001 ( top row) and Op. 005 ( bottom
row). Left to right: field strength, LOS inclination, filling
fraction, total flux. Red contours in |
Open with DEXTER | |
In the text |
![]() |
Figure 8: Histograms of ( clockwise, starting left top) magnetic flux, filling fraction, field inclination, field strength. Blue and red lines correspond to the least/most inclined fields, black lines to the full FOV. |
Open with DEXTER | |
In the text |
![]() |
Figure 9: The same histograms as in Fig. 8 but separated into granules ( black lines) and intergranular lanes ( red). The inlets show the masks used for the separation. |
Open with DEXTER | |
In the text |
![]() |
Figure 10:
Scatter plots of magnetic flux versus inclination ( top) and field strength versus inclination ( middle). Red crosses are binned data. Bottom: total magnetic flux in the full FOV as function of field inclination in 1 deg bins. The black vertical line marks 45 |
Open with DEXTER | |
In the text |
![]() |
Figure 11:
Linear polarization map
|
Open with DEXTER | |
In the text |
![]() |
Figure 12: Scatter plots of transversal and longitudinal flux versus maximal linear ( left top) and circular polarization degree ( left bottom), same versus total linear ( middle top) and circular polarization ( middle bottom), and scatter plot of field strength versus total linear ( right top) and circular polarization ( right bottom). Black: all data points; red: after binning. The blue line in the middle top panel is a linear fit to the binned data. |
Open with DEXTER | |
In the text |
![]() |
Figure 13: Histograms of vertical flux density in linear ( top) and logarithmic scale ( bottom). The vertical lines mark 2 G. Black and red lines show the observations and an exponential decay law. The inlet in the upper panel shows a magnification of the low flux range. |
Open with DEXTER | |
In the text |
![]() |
Figure A.1: Examples of observed ( black line) and best-fit spectra ( red) in Op. 001 ( 1st and 3rd row). The dash-dotted horizontal lines in QUV indicate three times the rms noise level, and the solid horizontal line the zero level. The vertical solid line denotes the rest wavelength. The 2nd and 4th row show the corresponding temperature stratifications of the magnetic component ( solid), the field-free component ( dash-dotted), and the HSRA atmosphere that is used as initial model ( dashed). Field strength and LOS inclination and their respective errors are given in the plot of Stokes I of 1564.8 nm ( upper left in each panel); the number of each profile is given in the upper left corner of each panel. |
Open with DEXTER | |
In the text |
![]() |
Figure A.2: Same as Fig. A.1 for TIP Op. 005. |
Open with DEXTER | |
In the text |
![]() |
Figure A.3: Polarization degree of 1564.8 nm for the profiles shown in Figs. A.1 ( upper two rows) and A.2 ( lower two rows). The dash-dotted and solid horizontal lines denote the inversion and final rejection threshold, respectively. |
Open with DEXTER | |
In the text |
![]() |
Figure B.1: Scatter plot of the integrated Stokes Q signal in the preferred reference frame versus the total linear polarization without rotation. Solid line: unity slope; dashed line: unity slope with an offset of 0.0001. |
Open with DEXTER | |
In the text |
![]() |
Figure B.2: The average Stokes Q profile. |
Open with DEXTER | |
In the text |
![]() |
Figure B.3:
Top: calibration curves from
|
Open with DEXTER | |
In the text |
Copyright ESO 2009
Current usage metrics show cumulative count of Article Views (full-text article views including HTML views, PDF and ePub downloads, according to the available data) and Abstracts Views on Vision4Press platform.
Data correspond to usage on the plateform after 2015. The current usage metrics is available 48-96 hours after online publication and is updated daily on week days.
Initial download of the metrics may take a while.