| Issue |
A&A
Volume 502, Number 3, August II 2009
|
|
|---|---|---|
| Page(s) | 791 - 801 | |
| Section | Extragalactic astronomy | |
| DOI | https://doi.org/10.1051/0004-6361/200911856 | |
| Published online | 15 June 2009 | |
Origin of Ly
absorption in nearby starbursts and implications for other galaxies![[*]](/icons/foot_motif.png)
H. Atek1 - D. Schaerer2,3 - D. Kunth1
1 - Institut d'Astrophysique de Paris (IAP), 98bis boulevard Arago, 75014 Paris, France
2 -
Observatoire de Genève, Université de Genève, 51 Ch. des Maillettes, 1290 Sauverny, Switzerland
3 -
Laboratoire d'Astrophysique de Toulouse-Tarbes, Université de Toulouse, CNRS, 14 Avenue E. Belin,
31400 Toulouse, France
Received 16 February 2009 / Accepted 6 May 2009
Abstract
Context. Despite the privileged position that Lyman-
(Ly
)
emission line holds in the exploration of the distant universe and modern observational cosmology, the origin of the observed diversity of Ly
profiles still needs to be thoroughly explained. Observations of nearby star forming galaxies bring their batch of apparent contradictions between Ly
emission and their physical parameters, and call for a detailed understanding of the physical processes at work. One of the most metal-poor galaxies known, IZw 18, is of particular interest in this context.
Aims. We fit the Ly
spectrum of IZw 18 to understand the origin of the damped absorption profile and its spatial variations across the NW region, and establish a general picture of the physical parameters governing the Ly
strength and profile both in local and in high-z galaxies.
Methods. We used a 3D Ly
radiation transfer code to model Hubble Space Telescope (HST) observations of IZw 18. Observational constraints of relevant parameters such as dust or H I column density were derived from previous studies and from the present analysis. Different geometrical configurations of the source and the neutral gas were explored.
Results. The integrated Ly
profile of NW region of IZw 18 is reproduced using the observed small amount of dust (
)
and a spherical H I shell with
cm-2. Such a high column density makes it possible to transform a strong Ly
emission (
= 60 Å) into a damped absorption even with low extinction. When a slab geometry is applied and a given line of sight is chosen, the Ly
profile can be successfully reproduced with no dust at all and
cm-2. The spatial variations of the profile shape are naturally explained by radiation transfer effects, i.e. by scattering of Ly
photons, when the observed surface brightness profile of the source is taken into account. In the case of outflowing inter stellar medium (ISM), as commonly observed in Lyman break galaxies (LBGs), a high
and dust content are required to observe Ly
in absorption. For nearly static neutral gas as observed in IZw 18 and other low-luminosity galaxies, only a small amount of dust is required provided a sufficiently high
covers the galaxy. We also show how geometrical and apertures effects affect the Ly
profile.
Key words: galaxies: starburst - galaxies: ISM - ultraviolet: galaxies - radiative transfer - galaxies: individual: IZw 18
1 Introduction
The detection of high-redshift (z) galaxies has become, through the
last decade, a routine fact, although the discovery of primeval
galaxies that are forming their first stars still remains a
challenge. Depending on the selection techniques, mainly two classes
of galaxies are found: Lyman break galaxies (LBGs) selected by their
UV continuum break, and Lyman-alpha emitters (LAEs) selected upon
their Ly
emission line. The situation was, however far different
before this successful era. Partridge & Peebles (1967) were the first to estimate that
young distant galaxies should be detectable through a strong
Ly
emission. Nevertheless, it took nearly thirty years until such
populations could be found at
-7, thanks in particular to
instruments with large fields of view (FOV) and 4-8 m class telescopes
(see e.g. Malhotra & Rhoads 2002; Hu et al. 1998; Taniguchi et al. 2005; Nilsson et al. 2009; Kudritzki et al. 2000; Kashikawa et al. 2006; Tapken et al. 2006; Ajiki et al. 2003; Gronwall et al. 2007; Shimasaku et al. 2006; Ouchi et al. 2008). Only recently, has GALEX
provided a comparable survey for the first time at low redshift
(
-0.35, Deharveng et al. 2008), thanks to its wide FOV and spectroscopic
capabilities in the UV.
Earlier studies of nearby galaxies using mostly the UV capabilities of
IUE and HST recognized quickly that Ly
emission was fainter than
naively expected from recombination theory and that the Ly
line
showed a great diversity of profiles from absorption to emission
(e.g. Meier & Terlevich 1981; Thuan & Izotov 1997; Thuan et al. 1997; Kunth et al. 1998; Hartmann et al. 1988,1984; Terlevich et al. 1993; Lequeux et al. 1995; Deharveng et al. 1985). Later, HST has
allowed mapping the spatial distribution of Ly
emission and
absorption, of the stellar sources, nebular emission, and dust
(see Hayes et al. 2005; Atek et al. 2008; Mas-Hesse et al. 2003; Kunth et al. 2003; Hayes et al. 2008).
Despite all this information, no clear picture has yet emerged to consistently explain the Ly
and related observations in nearby starbursts.
Indeed, it is now well known, both theoretically and empirically, that
different physical processes affect the Ly
intensity, profile
shape, and ``visibility'' (i.e. detection frequency among
starbursts)
:
destruction of Ly
photons by dust (cf. Charlot & Fall 1993; Neufeld 1990),
velocity fields in the ISM (Lequeux et al. 1995; Kunth et al. 1998),
an inhomogeneous ISM (Neufeld 1991; Hansen & Peng Oh 2006; Giavalisco et al. 1996),
underlying stellar absorption (Valls-Gabaud 1993),
and star-formation duty cycles (Malhotra & Rhoads 2002; Valls-Gabaud 1993).
Also a ``unifying'' scenario to explain the observed diversity of Ly
profiles in terms of an evolutionary sequence
of starburst-driven super-shells/superwind was presented by Tenorio-Tagle et al. (1999) and has since been compared with local starburst observations by Mas-Hesse et al. (2003).
For distant galaxies, Schaerer & Verhamme (2008) and Verhamme et al. (2008) have recently shown - using radiation transfer models
and empirical constraints - that Ly
line profiles of high-zLBGs and LAEs can be reproduced well and that the diversity of Ly
from emission to
absorption stems mainly from an increase in the dust content and the H I column density.
Despite this progress, a global picture identifying the main processes
and explaining this diversity also in a quantitative manner is
still missing for Ly
in local/nearby galaxies. Furthermore,
differences between the high and low redshift samples - if any -
must be understood. We here provide a first step towards these goals
by examining and modelling one of the most metal-poor star-forming
galaxies in the local Universe, IZw 18, and by putting it into context.
Since its discovery by Zwicky (1966), IZw 18 has been studied
extensively, and it remains one of the most metal-poor galaxies
known today (Skillman & Kennicutt 1993; Izotov & Thuan 1999).
Its main H II region (called the NW region, cf. Fig. 1)
showing strong optical emission lines is clearly a site of very recent
(<10 Myr) and/or ongoing massive star formation
(cf. de Mello et al. 1998; Hunter & Thronson 1995; Brown et al. 2002).
Therefore the finding of a broad damped Ly
absorption line
by Kunth et al. (1994,1998) came as a surprise, where strong emission
was predicted, given the strong optical H recombination lines
and the low dust content expected for such low metallicities
(cf. Terlevich et al. 1993; Kunth et al. 1994).
Observations of SBS 0335-052, nearly as metal-poor as IZw 18, showed
later a similarly broad profile (Thuan & Izotov 1997).
However, since compared to IZw 18,
SBS 0335-052 has a higher extinction
and is now known to
harbor more dust both in absolute terms (dust mass) and in relative
terms (
)
(Houck et al. 2004; Engelbracht et al. 2008; Wu et al. 2007; Thuan et al. 1999),
it is more challenging to explain Ly
absorption in IZw 18 than
in SBS 0335-052. For these reasons IZw 18 represents an ideal
test case to understand how strong intrinsic Ly
emission is transformed
to the observed broad Ly
absorption, in a dust-poor (but not dust-free),
very metal-poor galaxy.
Kunth et al. (1994,1998) suggested that both dust absorption and
multiple scattering of Ly
photons out of their narrow (2.0
2.0
)
GHRS/HST aperture offer the most natural explanation for the observed weakness of Ly
in IZw 18. They also noted that all galaxies showing Ly
absorption (4/8 in their
small sample) showed nearly static neutral gas, which must increase
the mean free path of Ly
photons.
However, the IUE spectrum of IZw 18 taken with an entrance hole of
20
10
shows basically the same profile, indicating
that no significant amount of Ly
emission is recovered at least over 5-10 times larger scales. In any case, whether quantitatively these explanations
are viable remains to be seen. This is one of the concrete goals of the
present paper.
To address the above questions we use the most recent
observations of IZw 18 and our state-of-the-art 3D Ly
and UV continuum
radiation transfer code MCLya (Verhamme et al. 2006). This will in particular
allow us to carefully examine in a quantitative manner the possible explanations
leading to Ly
absorption in IZw 18. Finally, we also discuss other nearby
starbursts with Ly
absorption, and place the local objects in a
broader context.
Our paper is structured as follows.
In Sect. 2 we describe the main observations from HST and other
facilities and summarise the main observational constraints. In Sect. 3
we set out to explain the Ly
absorption in IZw 18, discussing our radiation transfer modelling
tool and geometrical effects and presenting modeling results for different ISM geometries.
Our results for IZw 18 are discussed and compared to other nearby and high-z starbursts
in Sect. 4. In Sect. 5 we summarise our main conclusions.
2 Observations
The main observational data used in this paper are summarized in Table 1. We present the instrument configuration, the exposure time and the reference of the program of observations. We describe in this section the method to determine the physical parameters of IZw 18 using the archival spectroscopic and imaging data. Other observational constraints are also taken from previous results in the literature.
Table 1: HST observations of IZw 18.
2.1 Spectroscopy
We use archival spectroscopic observations obtained with the Space Telescope Imaging Spectrograph (STIS) onboard HST, under program GO-9054, by Brown et al. (2002). The G140L grating was used combined with the 52
0.5
slit. IZw 18 was spatially covered with seven adjacent slit positions along its main axis (see Fig. 1). Standard calibrations were performed using the CALSTIS pipeline (Ver 2.26), and exposures (two) for each position are registered and co-added. In addition, data were corrected for geocoronal Ly
emission by fitting and subtracting the nearby background regions in individual spectra. This calibration and spectra extraction were performed with IRAF and IDL routines.
In Fig. 2 we show the spatial variations of the
Ly
profile across the NW region. Spectra were extracted from the seven adjacent
positions of the STIS long slit covering the galaxy in the NE-SW axis, providing spatial information in two
directions. Flux was then integrated in each slit along a 4
aperture centered on the NW component of IZw 18. Finally, an integrated spectrum of the NW region was also constructed
from these integrated slit spectra.
The strength of the Ly
absorption in these spectra is quantified
by its equivalent width and corresponding H I column density,
,
determined assuming a Voigt profile and b=20 km s-1 (cf. below).
These values are reported in Table 2.
![]() |
Figure 1:
FUV Image of IZw 18 showing the different observation
apertures. The FOV is 16
|
| Open with DEXTER | |
![]() |
Figure 2: STIS spectra of the NW region of IZw 18 taken at different locations (cf. Fig. 1). The slit positions 4 to 7 show the variation in the profile shape from the center to the edge of NW region. For comparison, the integrated spectrum in the seven slits over the center of NW region is overplotted. All spectra were normalized to the continuum value determined in Fig. 3. For the sake of clarity, a cut-off is applied on geocoronal emission residuals and spectra smoothed with a 3-pixel boxcar. |
| Open with DEXTER | |
Earlier, Ly
observations of IZw 18 were obtained by Kunth et al. (1994) and
later on by Kunth et al. (1998) using the Large Science Aperture (LSA,
2
2
)
of GHRS onboard HST (see
Fig. 1). Mas-Hesse et al. (2003, hereafter MH03) observed the galaxy
again with better settings using STIS with G140M grating through a 52
0.5
longslit, translating to a spectral resolution
around 0.15 Å (37 km s-1 at Ly
wavelength). The longer wavelength
range of the STIS observations allows a better coverage of the
Ly
absorption red wing, as compared to GHRS spectrum, and confirms
the large damped Ly
absorption. In Fig. 3, we plot
together the STIS and GHRS spectra. Because of differences in the
instrument apertures, the spectra had to be matched.
To fit and estimate the UV continuum we used the archival STIS observations
that allows a broad wavelength coverage to include the absorption wings.
All the spectra were then normalized to the
value where the Ly
red wing reaches this continuum (
1300 Å). The different Ly
profiles obtained
are in good agreement. A correct estimation of the continuum around
Ly
is particularly important for the modeling of the
Ly
spectral profile (see Sect. 3.2).
Table 2:
Spatial variations of Ly
properties in STIS slit positions.
![]() |
Figure 3:
IZw 18 spectroscopic data.
The figure presents a compilation of spectroscopic informations available for IZw 18. Geocoronal Ly |
| Open with DEXTER | |
Table 2 presents line measurements of the Ly
profile in the different slits. Columns (2) and (4) indicate the H I column density and the Ly
line equivalent width derived by fitting each Ly
absorption with a Voigt profile with b=20 km s-1. The errors in Cols. (3) and (5) are determined from the lower and upper limits of the fits. The last column is the integrated flux in FUV (1500 Å) image over the NW region and in simulated slits in order to match the aperture used for the extraction of STIS spectra. The same quantities are also given for integrated spectrum in the entire NW region and for the MH03 STIS spectrum.
Clearly, Ly
shows a broad absorption over the entire extent
of the NW region. The width of the profile corresponds to an
H I column density of
(0.3-3)
1021 cm-2, in agreement with earlier determinations
(
(1.0-3.2)
1021 cm-2 from UV observations by
Kunth et al. (1998), although this method does not systematically give the true value of
,
as we will see later on.
Beyond the scale of the H II NW region (
250 pc), the
UV-optical part of IZw 18 is known to be embedded in a large neutral
H I cloud extending over several kpc (van Zee et al. 1998).
Furthermore, the strength of the Ly
absorption clearly decreases
from the center to the border of the NW, as shown in Fig. 2 for slits 4 to 7 (slits 3 to1 show also a slight decrease),
corresponding to an apparent change of
by up to a factor of
10. This systematic change of the Ly
will be explained
below as the result of simple radiation transfer effects (Sect. 3.2.4).
Because of the configuration of their apertures, centered on the bright UV peak of the NW region, the GHRS and STIS MH03 spectra are in good agreement (cf. Fig. 3). This is also true for the central slit of the 2002 STIS data. The integrated spectrum of the NW region shows residual emission at the center that may stem from the contribution of the external slits that show such emission and to geocoronal Ly
residuals, as the STIS MH03 and GHRS spectra have better resolution, which allows a more reliable correction. Since the profile shape in the wings remains the same, we take the STIS MH03 spectrum as a proxy for an integrated spectrum of the NW region in our modeling. We derived for this spectrum an H I column density of
cm-2 from Voigt profile fitting (cf. Table 2).
2.2 Imaging
The UV images, part of the same observing program GO-9054 as that of the STIS spectroscopy, were retrieved from the ESO/ST-ECF archive. IZw 18 was observed with F25SRF2 filter with bandpass centered at 1457 Å. Standard calibrations were performed through CALSTIS pipeline. Images were then corrected for misalignment, divided by the exposure time, and co-added. The final FUV image was then multiplied by PHOTFLAM and PHOTBW header keywords to obtain a flux-calibrated image.
We also retrieved HST optical images from the archive obtained with the Wide Field Planetary Camera 2 (WFPC2) under programs GO-6536 and GO-5434. Data consist of H
and H
narrow-band imaging and corresponding broad band continuum images (see Table 1). Data were first processed through the standard HST pipeline that gives images in units of counts per second. Multiplying by PHOTFLAM keyword gives fluxes in erg s-1 cm-2 Å-1. Finally all images are rotated and aligned to the same orientation and co-added in each filter using inverse variance weighting. OWe estimated the line flux contribution to the continuum images using the appropriate filter throughput ratios at H
and H
wavelengths and filter width given by PHOTBW. Continuum images were scaled and subtracted from online images, then multiplied by the filter bandwidth to obtain pure emission line fluxes. Continuum-subtracted H
and H
images of IZw 18 are e.g. shown
in Cannon et al. (2002). We measured a total H
flux (uncorrected for reddening) of 3.28
10-13 erg s-1 cm-2 within a circular aperture of 10.5
radius, in agreement with values found by de Mello et al. (1998) and Cannon et al. (2002).
![]() |
Figure 4:
IZw 18 imaging.
Left: intrinsic Ly |
| Open with DEXTER | |
Extinction:
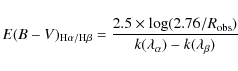
The extinction map of IZw 18 is created using the ratio between H
and H
images. In the absence of dust extinction, the theoretical value of the Balmer ratio is known to be loosely sensitive to temperature and density. Following Cannon et al. (2002), we adopted a value of H
/H
= 2.76. Potential sources of error on the expected value, such as collisional excitation of H I or underlying stellar absorption, are also addressed in this paper.
An E(B-V) map was thus constructed using the relation:
![]() |
(1) |
where
Overall the extinction in IZw 18 and in its NW region is known to be very low. Mas-Hesse (1990) found that the Balmer decrement of the whole NW region is consistent with no extinction. However, Dufour et al. (1988) reported an extinction of
in their 2.5
6
slit. Ground-based spectroscopic observations revealed typical values ranging from
up to 0.2 (e.g. Izotov et al. 1997; Martin 1996; Vílchez & Iglesias-Páramo 1998). The main reasons for such discrepancies may be differences in the aperture size and the location of the slits on the galaxy, as the dust does not seem to be homogeneously distributed in IZw 18 (see Fig. 4). In the present work, we define a circular aperture (3.2
radius) centered on the NW region. We exclude the central region (1
circular aperture), where H
and H
emissions are much weaker and the Balmer ratio gives unreasonably low values, from our measurement.
The mean color excess derived in this way is
.
This value agrees with the determinations by Cannon et al. (2002) (
E(B-V) = 0-0.09), obtained in different parts of the NW region, and with Péquignot (2008). We also find no extinction when the central region is not excluded, in agreement with Mas-Hesse (1990).
Subsequently we will adopt an average value of
E(B-V) = 0.05 for the NW region.
![]() |
Figure 5:
1D emission profile of NW region. The different profiles are obtained by adding the flux along the slit (spatial direction) in the same aperture as used for the extraction of the spectra (cf. Fig. 2) centered on the NW region. Then the 1D profile corresponds to the direction along the dispersion axis. One pixel corresponds to |
| Open with DEXTER | |
Intrinsic Ly
emission:
From the H
image and with the extinction map, we produced a theoretical Ly
emission map (Fig. 4).
It is determined using
,
where we assume a case B recombination theory (Brocklehurst 1971) and the extinction law previously mentioned. Naturally, given the small extinction corrections, the
resulting map of intrinsic Ly
emission shows a very similar
morphology to the H
map. Schematically, the NW region is
surrounded by a Ly
emission shell including in particular
one bright knot (NW1 in the notation of Cannon et al. 2002).
Finally, the spatial variation of the UV continuum, and the intrinsic Ly
equivalent width are shown in Fig. 5. The UV image has been corrected for reddening, scaled to Ly
wavelength using a UV slope of
,
and used with the intrinsic Ly
map to construct the theoretical
map. Over the entire NW region we obtain
50 Å, compatible with expectations for a young starburst. However, as shown in Fig. 5, we observe very high values around the UV-bright central region.
Taken together, the observations of strong Ly
absorption
across the entire NW region despite the presence of intrinsic
strong Ly
emission and a very low amount of extinction
clearly call for a physically consistent explanation
of these apparent contradicting phenomena.
2.3 Other observational constraints
A mean velocity offset,
(em - abs), between
the systemic velocity, measured from the optical lines, and
metallic absorption lines of O I and Si II, was measured by Kunth et al. (1998)
in the small GHRS aperture centered on the NW region.
They found
(em - abs)
25 km s-1, indicating that the neutral gas
is mostly static with respect to the central H II region.
Recent FUSE observations including other ISM absorption lines
confirm the absence of an outflow in IZw 18 on a large aperture
including by far all the UV emitting regions of this galaxy;
Grimes et al. (2009) measure velocity shifts
between
0 and 40 km s-1 with a mean offset of 8 km s-1.
The Doppler parameter b describes the thermal motion of
hydrogen atoms. The H I velocity dispersion observed by van Zee et al. (1998)
is about 12-14 km s-1, which translates to
-20 km s-1. A
slightly higher value (
km s-1) was quoted by
Kunth et al. (1994) from their VLA observations. Given the very damped
profile of the Ly
absorption, variations within this range of
values does not affect the model fit.
The full width at half maximum (FWHM) of the Ly
emission line can be constrained using FWHM(H
). Dufour et al. (1988) found FWHM(H
)
6.1 Å (280 km s-1) from their spectrophotometry observations but with a resolution of 275 km s-1. Observations with a better resolution (
km s-1 FWHM) indicates FWHM(H
)
150 km s-1 (Martin 1996). This is consistent with a relatively narrow emission line, and we adopt FWHM(Ly
)
= 100 km s-1, although our results are insensitive to the differences found in the observations.
3 Explaining the Ly
absorption in IZw 18
3.1 General considerations
![]() |
Figure 6:
Sketch showing geometrical effects on the Ly |
| Open with DEXTER | |
To transform the intrinsic Ly
emission (emitted in the H II region) to a
pure absorption profile can in principle only be achieved in two ways:
1) by true destruction of Ly
photons (by dust or possibly by
conversion to two-photon continuous emission in the ionized region), or
2) by geometrical effects leading to the scattering of Ly
photons
out of the line of sight, or by a combination of both.
Examples of line profiles due to dust absorption are shown e.g. in Verhamme et al. (2006,2008) and Schaerer & Verhamme (2008). Effect 2) is illustrated
in Fig. 6, showing how for example even a dust-free slab
produces an absorption (Voigt) profile along the central line of sight
from a point-like background source.
This geometrical situation also corresponds to the ``classical'' case
of damped Ly
systems (DLA) in front of distant quasars or to other Ly
forest observations.
If the scattering foreground layer was truly dust-free, it is clear that
the photons are conserved; hence, the photons scattered away from line center
(causing the apparent absorption line) must emerge somewhere. In a static
configuration, radiation transfer effects redistribute the photons into
the wings, leading to a symmetric double peak Ly
profile (Neufeld 1990),
as sketched in Fig. 6 for the distant, non-central lines
of sight.
Adding dust to effect 2), i.e. combining 1) and 2), will reduce the strength
of the scattered component and further increase the depth of the central
absorption profile.
Using radiation transfer models we now examine whether these effects can quantitatively explain the observations of IZw 18 and which of these effects is dominant.
3.2 Ly
and UV continuum radiation transfer modeling
3.2.1 MCLya code and input parameters
We use an improved version of the Monte Carlo radiation transfer code MCLya of
Verhamme et al. (2006) including the detailed physics of Ly
line and UV continuum transfer,
dust scattering, and dust absorption for arbitrary 3D geometries and velocity fields.
The following improvements have been included (see Hayes et al. 2009, for more details):
angular redistribution functions taking quantum mechanical results for Ly
into account
(cf. Stenflo 1980; Dijkstra & Loeb 2008),
frequency changes of Ly
photons due to the recoil effect (e.g. Zheng & Miralda-Escudé 2002),
the presence of deuterium
(assuming a canonical abundance of
,
Dijkstra et al. 2006),
and anisotropic dust scattering using the Henyey-Greenstein phase function (using parameters adopted in Witt & Gordon 2000).
Furthermore, a relatively minor bug in the angular redistribution of Ly
photons
has been fixed, and the code has been parallelized for efficient use on supercomputers.
For the physical conditions in the simulations used for the present paper,
these improvements lead only to minor changes with respect to the MCLya version
used by Schaerer & Verhamme (2008) and Verhamme et al. (2008).
More details on the code upgrade will be given in Hayes et al. (2009).
For simplicity, and given the available observational constraints, all simulations carried out subsequently assume a homogeneous and co-spatial distribution of neutral hydrogen and dust with a constant density and temperature. The corresponding microscopic H I velocity distribution is described by the Doppler parameter b. The remaining input parameters of the code are the H I geometry and velocity field. We also consider the spatial location and distribution of both the UV continuum and line emission source(s).
We consider the following H I geometries:
spherically symmetric shells with a central source,
and plane-parallel slabs with a background or internal source (including different
source geometries).
These cases are described by 3 additional parameters:
(i) the expansion velocity of the shell,
,
or the velocity of the slab with
respect to the source;
(ii) the H I column density towards the source,
;
and
(iii) the dust-absorption optical depth
that expresses the dust-to-gas ratio.
As discussed by Verhamme et al. (2006),
is related to the usual color excess
E(B-V) by
;
we assume
E(B-V) = 0.1
for convenience.
In short, for a given geometry we have 4 parameters (b,
,
,
);
b=20 km s-1 and
km s-1 are constrained by the observations
(see Sect. 2.3),
is varied between 0 (no dust) and 0.5,
the maximum allowed by the observations (Sect. 2.3),
and
is varied to reproduce the observed Ly
line profile.
For each parameter set, a full Monte Carlo simulation is run allowing for
enough statistics to compute both integrated and spatially resolved
spectra in the Ly
region. The radiation transfer calculations
cover a broad enough spectral range (here typically from -10 000 to +10 000 km s-1) to reach the continuum for the highest column-density simulations.
As described in Verhamme et al. (2006) our MC simulations are computed
for a flat input spectrum, keeping track of the necessary information
to recompute a posteriori simulations for arbitrary input spectra.
For the Ly
fits we assume an input spectrum given by a flat (stellar) continuum
plus the Ly
line, described by a Gaussian with variable equivalent width
and
full width at half maximum FWHM(Ly
). The
is kept free, although constraints are available from our theoretical
(intrinsic) Ly
map; an FWHM=100 km s-1 is assumed as for H
,
although our
results are basically independent of its exact value.
Other continua, such as synthetic high-resolution starburst spectra
from Schaerer & Verhamme (2008), can also be used.
3.2.2 Shell models
To consider a simple geometry to understand the observed Ly
absorption of IZw 18, we examine predictions for the integrated
spectrum of a spherical shell with/without dust. In this case no ``loss'' of
photons by spatial diffusion is allowed; hence, to transform
intrinsic Ly
emission into an absorption profile requires absorption by dust.
We now examine whether spatially integrated shells can recover the
observed profile for reasonable amounts of dust and reasonable H I columns.
![]() |
Figure 7:
Comparison of the observed and fitted Ly |
| Open with DEXTER | |
Adopting an average extinction of
(i.e.
)
and b=20 km s-1 we computed several static shell models with varying
.
As shown in Fig. 7, the predicted profile agrees with the
observations for
cm-2and for an input spectrum with a Ly
line equivalent width EW(Ly
) = 60 Å. We do not fit the absorptions in the blue wing, attributed to
Si II
1193.3, 1194, 5 and Si III
1206.5, 1207.5 (Schaerer & Verhamme 2008) and possibly to Galactic and intergalactic H I
absorption, since these are not taken into account in our model.
The reason for the resulting broad damped Ly
absorption is as follows:
because of the high H I column density, even a small amount of dust destroys almost all
photons in and around the Ly
line center. Scattering on hydrogen
atoms with such a high column density greatly increases the mean path of
Ly
photons, hence the probability of being absorbed by
dust. Therefore, the net absorption is only caused by dust absorption,
since in the present case, we observe all the scattered photons
escaping from the shell, without any line-of-sight effect.
Influence of
:
we adopted a static shell in our model to fit the Ly
Influence of
:
we can show that
Other solutions:
we need to invoke a relatively high column density (
The solution proposed here to fit IZw 18 profile is not unique, and different combinations of
and
can reproduce the absorption. For instance, the use of a higher value for the extinction (
= 1) and a lower H I column density (
=
cm-2) produce the same fit quality.
Overall, this somewhat academic case of a shell model for IZw 18 serves to show that even low dust quantities may suffice to transform
Ly
emission into a broad absorption profile, provided
a sufficiently high column density and/or sufficiently low
outflow velocity, as also discussed in Sect. 4.
In any case, the radio observations of IZw 18 very
clearly show a large spatial extension of H I compared to the size
of the NW region (and to that of the spectroscopic apertures).
The effect of such geometries on Ly
are addressed now.
3.2.3 Extended geometries and line of sight effects
The galaxy spectrum we observe in reality, could deviate significantly from the simple homogeneous shell model presented here, since the source is spatially resolved and the spectrum is not integrated over the whole shell surface. Furthermore, the spectrum can depend on viewing angle and on the geometry of the ISM.
We show in Fig. 8 that IZw 18 absorption can be
adjusted with lower H I column density than required for the shell
model and without any dust (
E(B-V) = 0). This result is achieved by
taking a slab geometry with a static gas and applying sight-line
selection criterium, where only photons in the observer's direction
are collected. Then the absorption is caused not by dust destruction,
but by diffusion of the photons out of the observer's
direction. Strictly speaking, no photon is destroyed. This
demonstrates even better that Ly
absorption can be observed in
dust-free galaxies (cf. Fig. 6 for a schematic
overview). Only a nearly static neutral ISM is required, with
cm-2 in this case.
We expect to recover the diffused photons in other directions and/or farther from the source.
On the other hand, in the presence of dust, this diffuse part would be attenuated or suppressed.
For example, for models with homogeneous gas and dust distributions, our Ly
transfer
simulations (see Hayes et al. 2009) already predict quite low escape fractions for Ly
line
photons, with
typically 5-10% for column densities
cm-2, dust optical depths
,
and low expansion velocities (
km s-1). Much lower
escape fractions (
)
are predicted for larger amounts of dust,
such as for the average value adopted for the NW region; therefore, we expect relatively small amounts of diffuse emission from Ly
line photons.
![]() |
Figure 8:
Ly |
| Open with DEXTER | |
3.2.4 Spatial variations of Ly
profile
In Sect. 2.1 (Fig. 2) we have shown that the
Ly
profile shows spatial variations between the different STIS slits.
We now demonstrate that, given the observational constraints, the Ly
radiation transport explain
these variations fairly well. We consider a large, static, and uniform cloud of
H I (
=
cm-2, b = 20 km s-1,
= 0.5) represented by a slab geometry, covering the NW star-forming region. We then simulate the observed spatial variations of the emission strength by using weighted point sources located in front of the H I slab, emitting a flat UV continuum, as input to our radiation transfer code following the observed UV profile of Fig. 5. The addition of Ly
line emission will be discussed below.
The result of this simulation is shown in
Fig. 9. The output spectrum is what an observer
would see when his line-of-sight is perpendicular to the slab
surface. At the center (1150
pixel
1155), in the direction of the brightest
source, we observe the strongest (largest) Ly
absorption
profile. The profile proves increasingly narrower as one moves away
from the center, what reproduces the trend observed in IZw 18. The
double-peak contribution, characteristic of diffused photons, can even
be seen in the peripheral region (1135
pixel
1140).
![]() |
Figure 9:
Predicted spatial variations of the Ly |
| Open with DEXTER | |
![]() |
Figure 10:
Geometrical effects on the Ly |
| Open with DEXTER | |
To understand these results, let us decipher the different contributions in the simulation. Figure 6 depicts the situation for this purpose. It shows the observed spectra in a simulation using a point source and isotropic emission behind a uniform slab of neutral gas. Observing the slab face-on, toward the source, we obtain an absorption profile. Only photons far from the line center are transmitted directly, forming the ``continuum''. Photons in the line center are resonantly absorbed and reemitted, diffusing in frequency and in space, and leading to the lack of emission at and around the line core. These photons will be collected if we look at the cube at a position far from the source. A double-peak profile is then observed consisting of the diffused photons and the absence of photons that would have escape directly, without scattering, in this direction.
Figure 10 now shows a combination of these single sources but with different intensities, illustrating the extended source simulation of Fig. 9. As
for the single source, the spectrum of the central region shows a
typical damped absorption.
At the positions of the fainter peripheral sources, two contributions lead to a narrower absorption
profile: a) the transmitted flux that is fainter than in the central region; and b) photons that have diffused from the brighter sources to escape farther (double-peak emission), contributing to``filling the wing''.
In the central region the direct transmission is stronger and the diffuse part is weaker.
In this way spatial variations of the UV continuum combined with the resonant transport effects of Ly
radiation, can explain qualitatively the observed Ly
profile variations in IZw 18.
The observed profile in slit 7 (Fig. 2) may even show a hint
of the predicted double-peak profile in its red wing, although the S/N is quite
low in this region.
For the effect of adding Ly
line emission on top of the UV continuum
emission, one could naively expect a very different behavior given the very large
Ly
equivalent width of the source in the peripheral parts of the NW region
(cf. Fig. 5).
However, the final spectrum remains unchanged despite the high Ly
equivalent width used. It appears that the photons emitted at the core of the line are either destroyed by dust (
= 0.5 here) or backscattered, and only photons with higher frequency shift diffuse and contribute to the double-peak emission. Therefore, increasing
has no incidence on the output spectrum since with FWHM(Ly
) = 100 km s-1, all photons are emitted close to the center. This is easily confirmed by looking at the reflected spectrum (cf. Fig. 6) which increases with higher
.
We need to use unreasonably high FWHM(Ly
)
(
1000 km s-1) to affect our result and see the double-peak contribution increasing (in the profile wings).
This implies in particular that our model predictions are insensitive
to the observed spatial variations of
(cf. Fig. 5).
In short, we conclude that the observed variations in the Ly
profile
across the NW region can be understood by a combination of the line-of-sight effects
discussed earlier and by radiation transfer effects related to an extended source.
3.3 Discussion
For the first attempt to reproduce the damped absorption profile of IZw 18, we used a simple expanding-shell model (Sect. 3.2.2).
If line-of-sight arguments could not be invoked, we would need
a relatively high column density (
=
cm-2) and a minimum amount of dust (
), which in this case is the only way to lose Ly
photons. However, when we spatially selected photons in the observer's sightline, we showed (Fig. 8) that one may observe Ly
in absorption even without any dust (E(B-V) = 0). These conclusions also held for the SE region of IZw 18 for which the integrated spectrum show slightly more Ly
absorption (a Voigt fit yields
cm-2).
Martin (1996) finds evidence of supergiant shell in IZw 18 expanding at a speed of 35-60 km s-1. The geometry proposed is a bipolar shell seen almost perpendicularly to its main axis (cf. their Fig. 4). This configuration is comparable to the shell geometry adopted here (Sect. 3.2.2) given the negligible effects of such small expansion velocities on our model spectrum. However, the output spectrum of the shell model would be significantly affected if the H I coverage is inhomogeneous and low column densities are observed in some sightlines, which is still unclear here. For the same reasons (low velocity and large H I coverage), applying our extended geometry scenario (Sect. 3.2.3) to this configuration would yield the same results, because our sightline selection is still compatible with this ISM morphology.
From our shell model we derived an H I column density of
cm-2 that is higher than any independent measurements of
cm-2 from radio data by van Zee et al. (1998). Since radio observations measure the total H I content, our model would imply, for symetrical reasons, a value twice higher than given. However, with a typical beam size of 5
,
the radio observations are not able to resolve the potential subparsec-size H I clumps in the NW region, and the smoothing effects could lead easily to an underestimation by a factor of 2-4. Therefore, in the absence of higher resolution observations, we cannot rule out the supershell geometry.
The second model adopted led to a good fit with
=
and without dust comparable to observational constraints, and also explained the spatial variations of the absorption profile. It is therefore more likely that, if the emission region is embedded in an H I region, the geometry would be not symmetric, with a higher column density in the front and/or ionized holes in the back. Finally, it is worth noting that the geometry proposed by Martin (1996) is not an embedded-like source, and the expanding shell is bipolar and asymmetric with an axis inclined by
to our line of sight (see their Fig. 4), while van Zee et al. (1998) find a higher inclination of
.
4 Comparison of IZw 18 with other nearby and high-z starbursts
We have just shown how with a low extinction or even no dust at all
it is possible to explain by radiation transfer and geometrical effects
the transformation of a strong intrinsic Ly
emission
into the broad Ly
absorption profile observed in IZw 18.
We need now to understand whether this galaxy is unique or representative of a certain class of objects and what our results
imply for other studies, including Ly
observations
of high-z objects in particular.
4.1 Comparison with local starbursts
Four of the eight H II galaxies observed with GHRS/HST by
Kunth et al. (1998) show broad Ly
absorption profiles: II Zw 70, Mrk
36, SBS 0335-052, and IZw 18. As already noted by these
authors, these objects clearly differ from those with Ly
in
emission by very low velocity shifts between the interstellar absorption
lines and the systemic velocity
. An essentially static ISM appears therefore as
one of the main factors leading to Ly
absorption, as already
concluded by these authors and as supported by our radiation transfer
modeling.
Furthermore, among the Ly
absorbers, SBS 0335-052 and II Zw 70 clearly show higher extinction, with
E(B-V) = 0.18 and 0.15, respectively (less than 0.02 for Mrk 36, Izotov & Thuan 1998). Hence the ISM properties of these objects
should fulfill the same conditions, which have allowed us to explain
the Ly
absorption of IZw 18, and the dust destruction of Ly
photons
should be equally or more important.
Although very likely, we cannot fully prove this until H I column density measurements
from the radio are available for all of them.
For SBS 0335-052
reaches high values up to
cm-2 (Pustilnik et al. 2001). Similarly, Mrk 36 shows a high column-density peak up to
cm-2 (Bravo-Alfaro et al. 2004).
Of course, depending on the efficiency of dust destruction, some spatial regions
with diffuse Ly
emission may be expected; however, this is not necessarily the case.
For example, for SBS 0335-052 we know that Ly
absorption is observed
over a large area, showing that absorption by dust must be important (Atek et al. 2008).
The other half of the HST sample of Kunth et al. (1998) shows Ly
profiles in emission
and varying amounts of dust (E(B-V) ranging from
0.02 to 0.18).
As already mentioned by these authors, the main difference with the other part of the sample
showing Ly
absorption appears to be the clear signature of ISM outflows in the former.
A continuity of ISM velocities between ``static'' and ``outflowing'' is expected
and observed (see e.g. Martin 2005; Grimes et al. 2009), mostly correlated with galaxy
luminosity, stellar mass, and star formation rate (SFR).
A more detailed analysis of the full sample of nearby starbursts observed in Ly
will be presented elsewhere (Atek et al. 2009).
4.2 Comparison with distant galaxies
Compared to distant galaxies, it is clear that IZw 18 and SBS 0335-052, or at least
the regions of these objects showing intense star formation, show
very high H I column density. For example, with
cm-2, these two regions would correspond to the high
tail of all DLA systems
found in the SDSS DR3 survey
(cf. Prochaska et al. 2005).
Also, few high-z starbursts with Ly
absorption as broad as in IZw 18 and SBS 0335-052 are known. While
25% of the LBGs of Shapley et al. (2003)
show Ly
absorption, their stacked spectrum shows a narrower absorption profile.
Among the broadest Ly
profiles of
LBGs are the two lensed
galaxies MS 1512-cB58 and FORJ0332-3557, whose
absorption profiles corresponds to
cm-2 (Pettini et al. 2000; Cabanac et al. 2008).
However, LBGs in general and these two objects in particular differ in many
properties compared to IZw 18. The objects with strong Ly
absorption
show significant dust extinction (
,
where
is the color excess determined from stellar light), and high SFR
(dust-corrected
yr-1). Furthermore outflows with significant
velocities (
km s-1) are generally observed in LBGs.
In comparison, IZw 18 is a very low-luminosity, low-SFR object (with a UV luminosity
lower than that of LBGs by 2-3 orders of magnitude, SFR(UV)
0.3
yr-1 (Grimes et al. 2009)
with a low extinction (
), which shows a static ISM.
For LBGs, Schaerer & Verhamme (2008) have shown with radiation transfer models that
the absorption profile of MS 1512-cB58 stems from the relatively large amount of
dust and the high column density; with the observed ISM conditions, this suffices
to transform intrinsic Ly
emission expected from the ongoing starburst to
broad Ly
absorption, despite the relatively high outflow velocity (
km s-1). In IZw 18 geometrical effects or a static high
ISM with small amounts of dust
are sufficient to do a similar ``transformation''.
In short, we suggest schematically the following two explanations for Ly
absorption
in nearby and distant starbursts.
1) On average the cold ISM (relevant for Ly
transfer) of LBGs shows
the geometry of a spherically expanding shell with relatively high velocities
and small variations (
-300 km s-1) (cf. Schaerer & Verhamme 2008; Verhamme et al. 2008; Shapley et al. 2003). In such cases the main factors determining the escape fraction
of Ly
photons are
and
,
as shown by radiation transfer models
(Hayes et al. 2009; Verhamme et al. 2008), and significant amounts of dust are required
to obtain broad Ly
absorption profiles.
2) In nearby galaxies, small amounts of dust in a static/low velocity
ISM with a high H I column density suffice to create Ly
absorption. Furthermore,
the occurrence of Ly
absorption is most probably metallicity independent, at least
to first order. In addition, geometrical effects due to small apertures may also
increase the observed Ly
absorption.
The distinction between groups 1) and 2) is most likely simply due to the outflow properties,
i.e. the wind velocity, which is known to increase with SFR, galaxy
mass, and specific SFR (e.g. Rupke et al. 2005; Schwartz et al. 2006; Martin 2005; Grimes et al. 2009).
Qualitatively, this increase in the outflow velocity is understood by
increasing mechanical feedback on the ISM related to stronger SF activity (SFR) in galaxies
with increasing mass or luminosity. At the low-luminosity (SFR) end, feedback appears
to be insufficient to ``ignite'' outflows, hence the nearly static ISM in IZw 18 and alike objects.
What ultimately settles the ISM geometry,
and dust-to-gas ratio, and
this assures in particular a high H I column density in IZw 18 and other local
objects remains to be explained.
Clearly, the observed trends and diversity need to be examined further both qualitatively and quantitatively. This will be the scope of subsequent publications.
5 Summary and conclusion
Archival HST/STIS UV spectroscopy and imaging, and HST/WFPC2 optical imaging data of the nearby star-forming galaxy IZw 18, were obtained. We applied the 3D Monte Carlo Ly
radiative transfer code MCLya (Verhamme et al. 2006) to quantitatively explain the intriguing Ly
absorption in this galaxy and the apparent spatial variation of the Ly
profile. Then, using the example of IZw 18, we discussed under which physical conditions one observes Ly
in emission or absorption both in nearby or high-z galaxies. Our main results can be summarized as follows.
- We first examined the predictions of a spherical shell model to reproduce the integrated spectrum of the NW region of IZw 18. This model described a static shell of H I mixed with dust grains, surrounding a central point source emitting UV continuum plus a Ly
emission line. Adopting dust extinction derived from observations (
E(B-V) = 0.05) and b=20 km s-1, we were able to fit the Ly
profile with H I column density of
=
cm-2. Even with a strong intrinsic Ly
emission
(up to 200 Å), a
small amount of dust is enough to cause strong damped Ly
emission, since the probability of absorption by dust is greatly increased by the high column density and by a nearly static ISM.
In this model, the loss of Ly
photons is only possible by means of true dust absorption, since we spatially recover all photons.
- Given the large spatial extension of H I covering the NW region (van Zee et al. 1998), we also explored the slab geometry of neutral gas in front of the UV source. We have shown that considering only emission along the observer's line-of-sight can reproduce the strong Ly
absorption without any dust (
E(B-V) = 0). This is achieved by the diffusion of the photons out of the observer's sightline provided a sufficiently high column density (at least
=
cm-2) and a nearly static ISM configuration.
- We observed spatial variations in the Ly
profile shape in the different STIS slits. From observations we constructed the 1D profile variations of the UV continuum and
across the NW region. Despite strong UV emission at the center and high
around, the Ly
profile is still in absorption in all the NW region and proves narrower toward the peripheral region.
To understand these variations we simulated an extended source with a spatially varying UV emission strength by following the 1D spatial profile, in front of a slab of neutral gas with
=
cm-2 and
E(B-V) = 0.05.
Then, by observing the slab at different distances from the center, we were able to reproduce the observed spatial variations.
We demonstrated qualitatively that this comes from radiative transfer effects, in particular, to the diffusion of Ly
photons and to the spatial variation of the UV continuum source.
Finally, adding a Ly
recombination line to the source simulating the observed
profile does not affect the final spectrum.
The distinction between Ly
These results and the global trends observed between Ly
emission and absorption in local starbursts seems to be mainly related to the presence or not of ISM outflows. Since high-z objects (LBGs, LAEs) generally show outflows with high, but relatively similar velocities (with bulk velocity typically
100-200 km s-1), the transition from Ly
absorption to emission in these objects is, on the other hand, mostly determined by the dust content and H I column density (cf. Schaerer & Verhamme 2008; Verhamme et al. 2008).
strength and profile diversity, and their relevant parameters now need to be tested with larger samples of galaxies. This is the main objective of upcoming publications
(e.g. Atek et al. 2009).
We would like to warmly thank Anne Verhamme, Matthew Hayes, Sally Heap, and Françoise Combes for useful discussions. We are also grateful to Miguel Mas-Hesse for providing us with his UV spectra and for useful comments.
Simulations were done on the regor PC cluster at the Geneva
Observatory co-funded by grants to Georges Meynet, Daniel Pfenniger, and DS.
H.A. and D.K. are supported by the Centre National d'Études Spatiales (CNES).
The work of D.S. is supported by the Swiss National Science Foundation.
References
Footnotes
- ... galaxies
- Based on observations made with the Hubble Space Telescope obtained from the ESO/ST-ECF Science Archive Facility.
- ...
starbursts)
- See Schaerer (2007) for an overview.
- ... velocity
- Two of the objects with Ly
in
absorption, IZw 18 and SBS 0335-052, have also been observed with FUSE.
with a large aperture. The measurements of Grimes et al. (2009) confirm
the earlier finding of low velocity shifts, now also on a much
larger aperture.
All Tables
Table 1: HST observations of IZw 18.
Table 2:
Spatial variations of Ly
properties in STIS slit positions.
All Figures
![]() |
Figure 1:
FUV Image of IZw 18 showing the different observation
apertures. The FOV is 16
|
| Open with DEXTER | |
| In the text | |
![]() |
Figure 2: STIS spectra of the NW region of IZw 18 taken at different locations (cf. Fig. 1). The slit positions 4 to 7 show the variation in the profile shape from the center to the edge of NW region. For comparison, the integrated spectrum in the seven slits over the center of NW region is overplotted. All spectra were normalized to the continuum value determined in Fig. 3. For the sake of clarity, a cut-off is applied on geocoronal emission residuals and spectra smoothed with a 3-pixel boxcar. |
| Open with DEXTER | |
| In the text | |
![]() |
Figure 3:
IZw 18 spectroscopic data.
The figure presents a compilation of spectroscopic informations available for IZw 18. Geocoronal Ly |
| Open with DEXTER | |
| In the text | |
![]() |
Figure 4:
IZw 18 imaging.
Left: intrinsic Ly |
| Open with DEXTER | |
| In the text | |
![]() |
Figure 5:
1D emission profile of NW region. The different profiles are obtained by adding the flux along the slit (spatial direction) in the same aperture as used for the extraction of the spectra (cf. Fig. 2) centered on the NW region. Then the 1D profile corresponds to the direction along the dispersion axis. One pixel corresponds to |
| Open with DEXTER | |
| In the text | |
![]() |
Figure 6:
Sketch showing geometrical effects on the Ly |
| Open with DEXTER | |
| In the text | |
![]() |
Figure 7:
Comparison of the observed and fitted Ly |
| Open with DEXTER | |
| In the text | |
![]() |
Figure 8:
Ly |
| Open with DEXTER | |
| In the text | |
![]() |
Figure 9:
Predicted spatial variations of the Ly |
| Open with DEXTER | |
| In the text | |
![]() |
Figure 10:
Geometrical effects on the Ly |
| Open with DEXTER | |
| In the text | |
Copyright ESO 2009
Current usage metrics show cumulative count of Article Views (full-text article views including HTML views, PDF and ePub downloads, according to the available data) and Abstracts Views on Vision4Press platform.
Data correspond to usage on the plateform after 2015. The current usage metrics is available 48-96 hours after online publication and is updated daily on week days.
Initial download of the metrics may take a while.
![\begin{figure}
\par\includegraphics[width=8.5cm,height=10cm]{images/11856im1.eps}
\end{figure}](/articles/aa/full_html/2009/30/aa11856-09/Timg23.png)
![\begin{figure}
\par\includegraphics[width=9cm,height=7cm]{plots/11856fg1.eps}
\end{figure}](/articles/aa/full_html/2009/30/aa11856-09/Timg24.png)
![\begin{figure}
\par\includegraphics[width=8.8cm,clip]{plots/11856fg2.eps}
\end{figure}](/articles/aa/full_html/2009/30/aa11856-09/Timg47.png)
![\begin{figure}
\par\mbox{\includegraphics[width=6.5cm,height=8cm]{images/11856im...
...}
\includegraphics[width=6.5cm,height=8cm]{images/11856im3.eps} }
\end{figure}](/articles/aa/full_html/2009/30/aa11856-09/Timg49.png)

![\begin{figure}
\par\includegraphics[width=9cm,height=6.5cm]{plots/11856fg3.eps}
\end{figure}](/articles/aa/full_html/2009/30/aa11856-09/Timg58.png)
![\begin{figure}
\par\includegraphics[width=8.8cm,clip]{plots/11856fg4.eps}
\end{figure}](/articles/aa/full_html/2009/30/aa11856-09/Timg65.png)
![\begin{figure}
\par\includegraphics[width=9cm,height=7cm]{plots/11856fg5.eps}
\end{figure}](/articles/aa/full_html/2009/30/aa11856-09/Timg70.png)
![\begin{figure}
\par\includegraphics[width=9cm,height=7cm,clip]{plots/11856fg6.eps}
\end{figure}](/articles/aa/full_html/2009/30/aa11856-09/Timg81.png)
![\begin{figure}
\par\includegraphics[width=8.5cm,height=7cm,clip]{plots/11856fg7.eps}
\end{figure}](/articles/aa/full_html/2009/30/aa11856-09/Timg83.png)
![\begin{figure}
\par\includegraphics[width=8.8cm,clip]{plots/11856fg8.eps}
\end{figure}](/articles/aa/full_html/2009/30/aa11856-09/Timg84.png)