| Issue |
A&A
Volume 503, Number 1, August III 2009
|
|
|---|---|---|
| Page(s) | 151 - 163 | |
| Section | Stellar structure and evolution | |
| DOI | https://doi.org/10.1051/0004-6361/200809454 | |
| Published online | 02 July 2009 | |
Hot subdwarfs from the stable Roche lobe overflow channel
S. Yu1,2 - L. Li2
1 - Armagh Observatory, College Hill, Armagh BT61 9DG,
Northern Ireland, UK
2 -
National Astronomical Observatories Yunnan Observatory, the Chinese Academy of Sciences, PO Box 110, Kunming 650011, PR China
Received 25 January 2008 / Accepted 2 June 2009
Abstract
Context. Hot subdwarfs are core-helium-burning stars with extremely thin envelopes. We discuss the formation and evolution of hot subdwarfs formed through the stable Roche lobe overflow (RLOF) channel of intermediate-mass binaries, although their formation channels are various.
Aims. In this study, we concentrate on the formation and evolution of hot subdwarfs binaries through the stable RLOF channel of intermediate-mass binaries. We aim at setting out the properties of hot subdwarfs and their progenitors, so that we can understand the formation and evolution of hot subdwarfs.
Methods. Employing Eggleton's stellar evolution code, we have computed conservative and nonconservative population I binary evolution sequences. The initial mass of the primary ranges from 2.2 to 6.3
,
spaced by approximately 0.1 in
,
the initial mass ratio
is between 1.1 and 4.5, and the Roche lobe overflow begins at the main sequence, the Hertzsprung gap and the first giant branch. In nonconservative binary evolution, we assume that 50 percent of the mass lost from the primary leaves the system, carrying away the specific angular momentum of the primary, and the remaining mass is accreted on to the secondary during the RLOF. Also, we have studied the distributions of the mass and orbital periods of hot subdwarfs using the population synthesis approach.
Results. We have obtained the ranges of the initial parameters of progenitor binaries and the properties of hot subdwarfs through the stable RLOF channel of intermediate-mass binaries, e.g. mass, envelope mass and age of hot subdwarfs. We have found that hot subdwarfs could be formed through stable Roche lobe overflow at the main sequence and Hertzsprung gap. We have also found that some subdwarf B or OB stars have anomalously high mass (
1
)
with a thick envelope (
0.07
-
0.16) in our models. By comparing our theoretical results with observations on the hot subdwarfs in open clusters, we suggest that more hot subdwarfs in binary systems might be found in open clusters in the future.
Key words: stars: subdwarfs - stars: horizontal-branch - stars: evolution - stars: formation
1 Introduction
Hot subdwarfs are generally considered to be core-helium-burning
stars with extremely thin hydrogen-rich or helium-rich envelopes.
Earlier observations (Humason & Zwicky 1947; Feige
1958; Greenstein 1966; Slettebak et al.
1961; Klemola 1962; Berger
1963) showed that a number of faint blue field stars with
early type at high galactic latitudes display peculiar spectra.
Sargent & Searle (1968) defined subdwarf B (sdB) stars
as stars with colors corresponding to those of B stars in which the
Balmer lines are abnormally broad compared to population I main
sequence B stars and they have weaker HeI lines for their color.
Similarly, they defined subdwarf O (sdO) stars as stars that have
strong Balmer lines relative to main sequence stars and in which
HeII
4686 is seen. An intermediate class (subdwarf OB, sdOB
stars), which has effective temperature and photospheric helium
abundances between those of sdB stars and sdO stars, has been
reported by Baschek & Norris (1975) and Hunger et al.
(1981). As a blueward extension of the horizontal branch
(HB), hot subdwarfs include three subgroups from their
spectroscopic classification (Heber 1986):
- (i)
- sdO - display strong HeII or HeI lines;
- (ii)
- sdOB - display hydrogen lines and helium lines;
- (iii)
- sdB - display strong broadended hydrogen lines and weak helium lines.
The majority of field hot subdwarfs found by recent observations (Maxted et al. 2001; Morales-Rueda et al. 2003; Napiwotzki et al. 2004; Edelmann et al. 2005; Morales-Rueda et al. 2005) is in short-period binaries, while few hot subdwarfs in close binaries were found in globular clusters (Moni Bidin et al. 2006a,b). This implies that there would be different formation channels for field and cluster hot subdwarfs. Burleigh et al. (1999) suggested a blue star, which was discovered by Elson et al. (1998) in the young cluster NGC 1818 in the Large Magellanic Cloud (LMC), is a possible hot subdwarf. If hot subdwarfs could exist in very young clusters, their formation would be a puzzle.
Various channels for the formation of hot subdwarfs have been
studied in the binary model (Han et al. 2002), as well as
the stable RLOF channel by which a low-mass giant loses most of its
envelope on the FGB. The giant would leave a degenerate core after
the mass transfer stops. If the mass of the degenerate core is high
enough, it would experience a helium flash and the star would appear
as a core-helium-burning hot subdwarf in a binary. In their model,
binary evolution sequences with the donor mass in the range from 0.8
to 1.9
with the accreting components of WD stars or
neutron stars (NS) were calculated. In addition, it was assumed that
mass transfer takes place at the FGB, and all the mass lost from the
system carried away its orbital angular momentum of the accreting
component. For the purpose of perfecting the stable RLOF channel and
attaining a comprehensive understanding of the formation of hot
subdwarfs following Han's calculation, we have executed a
computation of evolution sequences of intermediate-mass binaries.
In this study, we have simulated the formation and evolution of hot
subdwarfs through the stable RLOF channel in the conservative and
nonconservative case. We have taken into account the intermediate
mass star filling its Roche lobe at the main sequence (MS), the
Hertzsprung gap (HG) or the first giant branch (FGB). The mass
transfer stops once the radius of the donor is smaller than its
Roche lobe. If the mass of the helium core of the donor (the
primary,
)
is high enough, helium is ignited and the star
becomes a hot subdwarf in a binary in which the other component is
probably a main sequence star or a subgiant star. We have obtained
the properties of the hot subdwarfs and the initial parameters space
of their progenitors, e.g. the effective temperature, the surface
gravity, mass, envelope mass, lifetime of hot subdwarfs phase.
Subsequently, we carried out a Monte Carlo simulation in order to
acquire distributions of properties of hot sudwarfs from the stable
RLOF channel of intermediate-mass binaries and compared these
distributions with observations.
The outline of this paper is as follows. In Sect. 2, we describe the stellar evolution code adopted in this study. In Sect. 3, we present the results. The results are discussed in Sect. 4 and summarized in Sect. 5.
2 The stellar evolution code and the binary population synthesis code
2.1 The stellar evolution code and stellar models
We use Eggleton's (, ,) stellar evolution code, which has been updated with the latest physics over the last three decades (Han et al. 1994; Pols et al. 1995, 1998). The code uses a self-adaptive non-Lagrangian mesh and both convective and semiconvective mixing are treated as a diffusion process. The stellar structure equations, the mesh equation and the chemical composition equations are solved simultaneously.
The current code uses an equation of state that includes pressure ionization and Coulomb interaction (Pols et al. 1995), the latest opacity tables derived from Iglesias & Rogers (1996) and Alexander & Ferguson (1994a,b) via quadratic interpolation for X = 0.8, 0.7, 0.5, 0.35, 0.2, 0.1, 0 and for Y = 0.5 - Z, 0.2 - Z and 0. Nuclear reaction rates come from Caughlan & Fowler (1988) and Caughlan et al. (1985), and neutrino loss rates are from Itoh et al. (1989, 1992).
We use a typical Population I composition with hydrogen abundance
X = 0.700, helium abundance Y = 0.280 and metallicity Z =
0.020 in our computations. We set
/
,
the ratio of the mixing length to the local pressure
scaleheight is equal to 2. Such a value of
gives a roughly
correct lower main sequence, as determined observationally by
Andersen (1991). It also well reproduces the location
of the red giant branch in the Hertzsprung-Russell (HR) diagram for
stars in the Hyades supercluster (Eggen 1985), as
determined by Bessell et al. (1989). A fit to the Sun
also result in
as the most appropriate choice (Pols
et al. 1998).
Convective overshooting is important for the remnant mass of a
binary after RLOF evolution because the overshooting directly
affects the scale of the nuclear reaction region in a star. In this
paper, we follow the work of Schröder et al.
(1997) and use an approach based on the stability
criterion itself, the
prescription, by
incorporating a condition that mixing occurs in a region with
,
with
defined as the
product of a specified constant
,
the overshooting
parameter and a conveniently chosen factor that depends only on the
ratio
of the radiation pressure to the gas pressure:
![]() |
(1) |
We take
RLOF and stellar wind are involved in our models. RLOF is treated as
a modification of a surface boundary condition, which is written as:
![]() |
(2) |
where dm/dt is the mass changing rate of the star,
![]() |
(3) |
where we use a coefficient
Our models include two cases for binary evolution:
- (a)
- conservative case;
- (b)
- nonconservative case.
![]() |
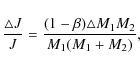
(4) |
where J is the orbital angular momentum of the system, M1 is the mass of the primary, and M2 is the mass of the secondary. We take the mass transfer efficiency
The parameter space for the model grid is three dimensional:
- (i)
- the range of initial mass of the primaries (
): log
= 0.35 (2.23
)
0.80 (6.31
), and
log
=
0.05;
- (ii)
- the initial mass ratio
:
= 1.1, 1.5, 2.0, 3.0, 4.0, 4.2, 4.5;
- (iii)
- the initial orbital periods of the binaries from the
minimum period, at which a zero-age main sequence (ZAMS)
star would fill its Roche lobe, to the maximum period,
at which a star would fill its Roche lobe at the FGB.
2.2 Monte Carlo simulation parameters
In order to obtain distributions of properties of hot subdwarfs from the stable RLOF channel of intermediate-mass binaries, we have performed a simple Monte Carlo simulation where we follow the evolution of a sample of a million binaries. The physical inputs of the simulation are depicted as follows:
- (i)
- we assume that the star formation rate (SFR) is constant over
the last 13.5 Gyr;
- (ii)
- for the initial mass function (IMF) of the primary, we adopted
the IMF of Miller & Scalo (1979); the primary mass is
generated using the formula of Eggleton et al. (),

(5)
where X is a random number uniformly distributed between 0 and 1. The studies by Kroupa et al. (1993) and Zoccali et al. (2000) support this IMF; - (iii)
- for the initial mass ratio distribution, we suppose a constant
one (Mazeh et al. 1992; Goldberg & Mazeh
1994),

(6)
where
;
- (iv)
- for the distribution of initial orbital separations, we
employed that used by Han et al. (2003), where they assume
that all stars are members of binary systems and that the
distribution of separations is constant in
(a is the
separation) for wide binaries and falls off smoothly at close
separations:

(7)
where
,
,
pc,
.
This
distribution implies that there is an equal number of wide binary
systems per logarithmic interval, and that approximately 50 per cent
of stellar systems are binary systems with orbital periods less than
100 yr.
3 Results
![]() |
Figure 1:
Logarithmic surface gravities versus effective temperature
of observed hot subdwarfs (see typical error-bars in the upper left
side). Open circles and solid triangles are for sdB and sdOB stars
observed by Edelmann et al. (2003). Open triangles are
for sdB stars observed by Lisker et al. (2005). Crosses
are for sdO stars observed by Stroeer et al. (2007).
Dashed line, dot-dashed line and dotted line indicate ZAEHB (the
Zero-Age Extreme Horizontal Branch, assuming the mass of hot
subdwarf is 0.5 |
| Open with DEXTER | |
![]() |
Figure 2:
Initial parameters of progenitors of hot subdwarfs in the
conservative case. Pluses (black) are for progenitors of sdB stars,
circles (dark grey) for progenitors of sdOB stars, and crosses
(light grey) for progenitors of sdO stars. Panels (1)-(6)
indicate the mass ratio |
| Open with DEXTER | |
In general, three subgroups are defined from photometric and
spectroscopic classifications: sdB, sdOB and sdO. Figure 1 displays the
position of observed hot subdwarfs. It is seen in Fig. 1 that there
is a boundary between sdB, sdOB and sdO stars at effective
temperature
K. The effective
temperature of sdB and sdOB stars is between 20 000 K and 35 000 K
while that of sdO is between 35 000 K and 80 000 K. Due to the tight
correlation of spectral type (effective temperature,
)
and spectroscopy, we define three subgroups from spectral type
(
)
classification corresponding to the spectroscopic
classification:
- (1)
- sdB -
is between 20 000 K
35 000 K;
- (2)
- sdOB -
is between 35 000 K
40 000 K;
- (3)
- sdO -
is between 40 000 K
80 000 K.
3.1 The initial parameter space
We are interested in the ranges of the initial parameters of the
progenitors of hot subdwarfs through the stable RLOF channel of
intermediate-mass binaries, i.e. the primary mass (
), the
mass ratio (
), the orbital periods (logP
).
Figures 2 and 3 show the initial parameter space of the progenitors of
hot subdwarfs in conservative case and nonconservative case.
![]() |
Figure 3:
Initial parameters of progenitors of hot subdwarfs in the
nonconservative case. Pluses (black) are for progenitors of sdB
stars, circles (dark grey) for progenitors of sdOB stars, and
crosses (light grey) for progenitors of sdO stars. Panels (1)-(6) indicate the mass ratio |
| Open with DEXTER | |
From Figs. 2 and 3, we see that the number of binary systems
experiencing stable mass transfer decreases with increasing mass
ratio
.
When
,
a large number of binary
systems in the conservative case have mass transfer rates higher
than 10-5
yr-1 (the light grey region). The
number of binaries with stable mass transfer in the nonconservative
case is more than that in the conservative case due to mass loss
from binaries. The primary lying in the light grey region in Figs. 2
and 3 would become a hot subdwarf in
106 yrs after it
experiences a stable mass transfer with a rate higher than 10-5
yr-1 which last
105 to
106 yrs. Given
in the conservative case (
in the nonconservative case), the mass transfer of all systems in
our models is dynamically unstable, and the stellar evolution code
breaks down.
The formation of different types of hot subdwarfs depends greatly on
the initial parameters (i.e. initial mass, initial orbital periods)
of binaries, although this relationship becomes weaker if
.
We depict these relationships as follows:
- (i)
- we can understand the relationship between the formation of
different types of hot subdwarfs and the initial mass of their
progenitors. A star with a larger initial mass could leave a larger
helium core. If the helium core is ignited, the star becomes a hot
subdwarf with an earlier spectral type;
- (ii)
- the relationship between the formation of different types of
hot subdwarfs and the initial orbital periods is more complicated
than the relationship mentioned above.
In addition, if
,
for a given initial mass, such
as
,
we can see that sdB or sdOB stars
(sdO stars) may also be produced when the initial orbital period is
longer than 31.6 days (shorter than 31.6 days but longer than 2.1 days), where the mass transfer begins at the FGB stage. In this
case, the timescale of the mass transfer is very short, as the
primary contracts soon. This leads to less mass lost from the
primary, leaving an sdB star with a larger helium core and thicker
envelope.
3.2 The T
-log(g) diagram
The evolution tracks of some hot subdwarfs with different initial parameters are shown in Fig. 4. Panels (a) and (b) are for the conservative case while Panels (c) and (d) for the nonconservative case.
![]() |
Figure 4:
Evolutionary tracks of hot subdwarfs with different initial
mass ratios in the
|
| Open with DEXTER | |
As seen from Fig. 4, the effective temperatures
of hot
subdwarfs increase with increasing initial mass while their
logarithmic surface gravities log(g) decrease. This is because a
star with higher initial mass could more easily leave a larger
helium core. For a given initial mass, log(g) of hot subdwarfs
decreases with increasing initial orbital periods.
We find that the relationship between
and P
is somewhat strange both in the conservative and nonconservative
case, especially for given
and
.
As mentioned in Sect. 3.1, this phenomenon
is associated with the mass of the envelope of hot subdwarfs. In
order to display the relationship between
and
P
clearly, we plot in Fig. 5 the evolution tracks of hot
subdwarfs with different initial mass and orbital periods in the
-log(g) diagram when
.
For a given
initial mass, such as 5.01
,
would increase
and then it would decline with increasing P
.
![]() |
Figure 5:
Evolutionary tracks of hot subdwarfs with mass ratio
q=1.5 in the
|
| Open with DEXTER | |
From Fig. 4, we can see that there is a lack of observed hot
subdwarfs in the upper left region of the
-log(g)
diagram. This is consistent with our models (Note that the evolution
curves in Fig. 4 are at the boundary for producing hot subdwarfs.).
In addition, if the mass of the helium core of a star is too small
to be ignited, it will not experience the core-helium-burning stage.
So, it is difficult to observe hot subdwarfs in the lower right
region of the
-log(g) diagram.
The evolutionary tracks of hot subdwarfs in our models can cover positions of observed hot subdwarfs except for a few observed hot subdwarfs with effective temperatures between 39 000 K and 50 000 K and logarithmic surface gravities between 6.1 and 6.4 (cgs). The origin of these hot subdwarfs is not clear.
![]() |
Figure 6:
The mass of hot subdwarfs ( |
| Open with DEXTER | |
![]() |
Figure 7:
The envelope mass of hot subdwarfs (
|
| Open with DEXTER | |
![]() |
Figure 8:
The mass of hot subdwarfs ( |
| Open with DEXTER | |
![]() |
Figure 9:
The envelope mass of hot subdwarfs (
|
| Open with DEXTER | |
![]() |
Figure 10:
The HR diagrams and the
|
| Open with DEXTER | |
3.3 The mass, the envelope mass and the orbital periods of hot subdwarfs
We have obtained the mass and the envelope mass of hot subdwarfs
which depend strongly on the initial parameters of their
progenitors, i.e. the primary mass (
), the orbital
periods (
)
and the mass ratio (
). The mass and
the envelope mass of hot subdwarfs for the conservative case are
shown in Figs. 6 and 7, and they are shown in Figs. 8 and 9 for the nonconservative case.
The relationship between the envelope mass of hot subdwarfs and the
initial parameters of their progenitors can help us to understand
the post-evolution of hot subdwarfs. As shown by Figs. 7 and 9, the
envelope mass has a weak dependence on the initial mass ratio if
while the envelope mass has a clearly wider range
if
.
For a given initial mass and initial mass
ratio, the longer the initial orbital periods, the higher the
envelope mass. Hot subdwarfs would enter asymptotic giant branch
manqué (AGB-manqu
)
stage after their
core helium exhaustion if their envelope masses are between
0.01 and 0.04
;
hot subdwarfs with an envelope mass
of
0.04
0.08
would undergo the early
asymptotic giant branch (early-AGB) stage; hot subdwarfs with the
envelope mass larger than
0.08
would become normal
asymptotic giant branch (AGB) stars (see Fig. 10 for an example).
As seen from Figs. 6-9, a few sdB stars have progenitors with a mass
of 3.98-5.01
if
,
while the majority
of sdB stars come from stars with mass of 2.23-3.55
.
This is because a primary with a high initial mass would lose more
mass after a long mass transfer phase due to the primary filling its
Roche lobe at the MS stage. The progenitors of sdO (sdOB) stars have
high mass in general, e.g.
5.01
(3.98
-4.47
).
In particular, we find that if the mass ratio
1.5,
there are some sdB or sdOB stars with anomalously high mass and
envelope mass (``anomalous'' sdB or sdOB stars, see Table 2)
formed though the stable RLOF channel, whose progenitors have a high
initial mass and a long initial orbital period, such as
,
days (see Table 3). These
results are consistent with the initial-final mass relation
discussed by Han et al. (2000), Chen et al. (2002,2003).
In order to obtain the mass distribution of hot subdwarfs and the
final orbital period distribution of the binaries in this work, we
have plotted Figs. 11 and 12 by executing a simple Monte Carlo
simulation as mentioned in Sect. 2.2. It is seen that the mass of
hot subdwarfs are in a wide range from 0.33 to 1.22
with
a peak near 0.45
.
The orbital periods of the binaries
are also in a wide range from 5.0 to 900.0 days, and peak at around
120.0 days in the conservative case while the peak at around 30.0 days in the nonconservative case.
In Fig. 12, we have also plotted the orbital periods of observed binary systems containing hot subdwarfs (Morales-Rueda et al. 2003; Edelmann et al. 2005; Napiwotzki et al. 2004) as short bars with different colors. A few observed binaries with long orbital periods could be formed through the stable RLOF channel while the majority of observed binaries with short orbital periods probably would come from the CE ejection channel (Han et al. 2002).
Table 1: The mass and the envelope mass of normal hot subdwarf stars.
Table 2:
The mass and the envelope mass of anomalous hot subdwarfs
for mass ratios
1.1, 1.5.
Table 3: Parameters of some typical hot subdwarfs and their progenitors.
![]() |
Figure 11:
The distributions of the masses of hot subdwarfs from the
stable RLOF channel in this paper. |
| Open with DEXTER | |
![]() |
Figure 12: Orbital-period distributions for stable RLOF hot subdwarfs. The solid and dotted line indicate the conservative and nonconservative cases, respectively. The red, blue and green bar along the period axis indicate the orbital periods of observed binaries with a companion of unknown type, main sequence and compact object, respectively (Morales-Rueda et al. 2003; Edelmann et al. 2005; Napiwotzki et al. 2004). |
| Open with DEXTER | |
3.4 The onset of mass transfer at different stage
The properties of hot subdwarfs are significantly affected by the stage where mass transfer began in their progenitors. When the onset of mass transfer is at the main sequence, the primary would lose an amount of mass. If its helium core is ignited, the primary would become a hot subdwarf with a low mass and a low envelope mass. Table 3 lists the parameters of hot subdwarfs and their progenitors where mass transfer begins at the main sequence, Hertzsprung gap or first giant branch in the conservative case and the nonconservative case.
From our calculations, we found that the properties of the hot
subdwarfs strongly depend on the initial orbital period when
,
but the dependence becomes weaker for hot subdwarfs with
high mass ratios. Figures 10 and 13 show the Hertzsprung-Russell (HR)
diagrams and the
-log(g) diagrams of hot subdwarfs
for a given initial primary mass with a different initial mass ratio
(
and 4.0) when mass transfer begins at different
stages in the conservative and nonconservative cases. From Figs. 10
and 13, we can see that the onset of mass transfer at different
stages affects not only the surface gravity of hot subdwarfs but
also their effective temperature given
.
The surface
gravity decreases with the increase of the initial orbital period.
For
,
the onset of mass transfer at different stages
almost does not affect the effective temperature of hot subdwarfs,
but the surface gravity decreases slightly with the initial orbital
period.
In the progenitors of hot subdwarfs, the possibility of the onset of
mass transfer at the main sequence decreases with mass ratio
.
In order to understand the mass transfer at different stages of
the primary with different initial mass, we have plotted integral
evolutionary tracks of the primary with different mass ratios in the
HR diagram and mass transfer rate in Fig. 14. From Fig. 14, we see
that the earlier the mass transfer begins, the lower the mass
transfer rate. However, mass transfer beginning at an early stage
tends to leave an sdB star. With an increase of initial orbital
period, mass transfer rates increase steadily, even up to 10-4
yr-1, but the timescale of mass transfer of 105 yr is quite short. Some binaries with high initial mass and long initial orbital period would be on the brink of experiencing a
delayed dynamical instability.
![]() |
Figure 13:
The HR diagrams and the
|
| Open with DEXTER | |
![]() |
Figure 14:
Integral evolutionary tracks ( top panels) and mass transfer
rate ( bottom panels) of the primary with initial mass of
|
| Open with DEXTER | |
3.5 Birth rate and number of hot subdwarfs from the stable RLOF channel
Table 4 lists the birth rates of hot subdwarfs formed in various
formation channels. In the table, the first column denotes the
metallicity (Z=0.02 for Population I); the second column gives
,
the critical mass ratio for the first stable RLOF on
the FGB; Cols. 3-8 list Galactic birth rates for hot subdwarfs (in
10-3 yr-1) from the stable RLOF channel of
intermediate-mass binaries (our model), the first stable RLOF
channel, the first CE ejection channel, the second RLOF channel, the
second CE ejection channel and the helium WD merger channel.
As Table 4 shows, the predicted birth rate of Population I hot
subdwarfs from the stable RLOF channel of intermediate-mass binaries
is 0.004 yr-1 for the Galaxy. By taking an effective Galactic
volume of
pc3 (Zombeck 1990),
we give an average birth rate per pc3 of
pc-3 yr-1. When convolved with the lifetime of hot
subdwarf phase, this rate implies a total number of hot subdwarfs
from the stable RLOF channel of intermediate-mass binaries in the
Galaxy of
.
Comparing this result with the
result of Han et al. (2003), we conclude that the stable
RLOF channel of intermediate-mass binaries is important.
In order to compare our results with observed hot subdwarfs in the
-log(g) diagram, we plot a grey diagram as Fig. 15.
Comparing this figure with Fig. 4, we suppose that some hot
subdwarfs with
K and log(g)> 6.0 might
be evolved sdB stars.
Table 4: Birth rates of hot subdwarfs from the stable RLOF channel of intermediate-mass binaries (our model) and other channels (Han et al. 2003) (in 10-3 yr-1).
3.6 The effect of the secondary
Most hot subdwarfs contain a main sequence (MS) or a subgiant star in our models. We discuss the effect of the secondary on observations for hot subdwarfs with a companion MS star in this section.
The luminosity of the secondary (Z=0.02) is fitted by Tout et al.
(1996) as:
![]() |
(8) |
where M is the mass of a main sequence star, and
4 Discussion
Han et al. (2002) have proposed a binary model for the formation of hot subdwarfs, including three channels: the CE ejection channel, the stable RLOF channel and the double helium WD merger channel. In the CE ejection channel, a primary experiences dynamically unstable mass transfer at the tip of the FGB and leads to the formation of a CE (Paczynski 1976). During the spiral-in process in the CE, the orbit of the binary shrinks due to the friction between binary and envelope. The CE will be ejected if the released orbital energy exceeds the binding energy in this process, and this process would leave a very tight binary containing the degenerate core of the giant. If the degenerate core experiences a helium flash, the remnant core of the giant may be ignited (Castellani & Castellani 1993) and hence appear as a core-helium-burning hot subdwarf in binaries with short orbital periods in the range of 0.05-40 days (Han et al. 2002). In stable RLOF channel, a primary undergoes a stable mass transfer at the FGB stage. If its helium core was ignited after the RLOF, the primary would become a hot subdwarf in binaries with long orbital periods in the range of 400-1500 days (Han et al. 2002). Our results indicate that the mass transfer can also begin at the MS stage (case A mass transfer) and HG stage (case B mass transfer). This leads to hot subdwarfs in binaries with a wide orbital period range of 5-900 days. Compared with the CE ejection channel, we found that there are a large number of hot subdwarfs in binaries with long orbital periods formed through the stable RLOF channel. This would sustain the observations by Green et al. (2000) and Morales-Rueda et al. (2003), who argued that some sdB stars could appear to be members of long period binaries. Moreover, it is possible that some hot subdwarfs in binaries with a very long orbital period could be misunderstood as single stars.
![]() |
Figure 15:
Comparison of our results to the atmospheric parameters of
sdB stars (open circles Edelmann et al. 2003; open
triangles Lisker et al. 2005), sdOB stars (solid
triangles Edelmann et al. 2003), sdO stars (crosses
Stroeer et al. 2007). The largest cross is for HE
1115-0631 (orbital period: 5.87 d, Napiwotzki et al.
2004). Our results are shown as shaded
|
| Open with DEXTER | |
In general, sdB stars are believed to have a mass of around 0.5
and a thin hydrogen rich envelope around 0.02
(Heber 1986; Saffer et al. 1994).
Han et al. (2002) suggested that the mass of sdB stars is in
the range of 0.33-0.68
.
In our models, the mass of
most sdB stars is in the range of 0.32-0.67
with a
thin envelope of 0.01-0.05
,
but a few sdB stars have
an anomalously high mass of 0.72-1.13
,
and a thick
envelope of 0.07-0.16
.
The reasons have been described
in Sect. 3. The mass of sdO stars is from 0.75
to 1.44
and its envelope mass is higher than 0.07
,
even up to 0.22
.
The mass and the envelope mass of sdOB
stars are between sdB stars and sdO stars. In addition, Han et al.
(2000) and Chen et al. (2002) discussed low- and
intermediate-mass close binary evolution and the initial-final mass
relation of these binaries. By calculating a binary evolution
sequence with an initial mass ratio between 1.1 and 4.0, and the
onset of the stable RLOF at the Hertzsprung gap stage, they found
that the remnant mass of the primary depends on the initial mass
ratio or orbital period for a given primary mass. These results are
similar to ours, but binary evolution calculations with the onset of
mass transfer at the main sequence stage have been included in our
models.
Elson et al. (1998) discovered a blue star with
K, log
,
log
(Burleigh et al. 1999) in the young cluster NGC 1818 in the Large Magellanic Cloud (LMC), which has a main-sequence
turnoff mass of
7.5-9.5
,
an age of
2-
yr (Will et al. 1995) and a metallicity of
0.005 (Kerber & Santiago 2005). This star was
considered as a candidate of luminous WD. However, Liebert
(1999) and Burleigh et al. (1999) pointed
out that the star would be a post-EHB star or EHB star, rather than
a WD, and it would lie in the Galactic halo or the disc of the LMC
instead of cluster NGC 1818. If this blue star was in a binary
system, we suggest that the star could be in the cluster NGC 1818 and
form through the stable RLOF channel of intermediate-mass binaries,
but this needs more observational and theoretical evidence to
confirm. We consider that hot subdwarfs could exist in young
clusters, and some of them might have high mass (>0.7
). We will focus on hot subdwarfs in young clusters and calculate a binary evolution sequence with different metallicity
(Z) to study their properties, formation and evolution in the
future.
Mass transfer efficiency is an important factor affecting the
initial parameter spaces, as lower mass transfer efficiency will
lead to more binaries experiencing stable RLOF rather than the
formation of a common envelope during rapid mass transfer. Past work
(Paczynski & Zió
kowski
1967; Refsdal et al. 1974; De
Greve & De Loore 1992; Chen & Han
2002,2003) employed mass transfer efficiency
0.5 for the calculation of stellar evolution in nonconservative
cases. However, De Mink et al. (2007) suggested that mass
transfer efficiency should not be a single constant by comparing
their models with a sample of 50 double-lined eclipsing binaries in
the Small Magellanic Cloud, which could be affected by spin up of
the accreting star and tidal interaction. They also found that
initially wider systems tend to favor less conservative models,
since accreting angular momentum will speed up the rotation of the
accreting star, resulting in mass loss along its equator region, as
discussed by Wellstein (2001) and Petrovic et al.
(2005). Our results are in line with this conclusion.
Due to the uncertain of the mass transfer efficiency (De Mink et al.
2007), the birth rate and the total number from our
models need further data to constrain. However, it is reasonable to
estimate that a high birth rate and large total number of hot
subdwarfs via stable RLOF channel will suggest less conservative
models.
Other effects on the birth rate and total number of hot subdwarfs in
our models would arise from the life-time of the secondary, which
will become too short, such that it is comparable to or even smaller
than the lifetime of the hot subdwarf phase (typical value:
yr) in some extreme cases. In these two cases,
the secondary presumably evolved rapidly to the giant branch or even
to later stages after fast mass transfer, while the primary could be
a giant or a hot subdwarf or a helium star, which could be
associated with a ``post-Algol'' binary (Nelson & Eggleton
2001). As a result, we could overestimate the birth rate
and the total number of hot subdwarfs via the stable RLOF channel.
5 Conclusions
We present the properties of hot subdwarfs from the stable RLOF
channel of intermediate-mass binaries by computing population I
binary evolution sequences both in conservative and nonconservative
cases, where the primary has an initial mass in the range of 2.2-6.3
,
initial mass ratio
,
1.5, 2.0, 3.0,
4.0, 4.2, 4.5, and onset of RLOF at the MS, HG, and FGB stage. Due
to the effect of the secondary, the ratio of the hot subdwarf
bianries which might be observed by ground-based telescope would be
larger around 3.0. We summarize our results as follows:
- 1.
- The birth rate of hot subdwarfs from the stable RLOF channel of
intermediate-mass binaries is
yr-1,
which is similar to the first CE ejection channel. However, the
current observations indicate that only a few hot subdwarfs binaries
could be formed via the stable RLOF channel (Fig. 12). This could be
associated with the rotation of the accreting star and the evolution
of the secondary.
- 2.
- We have obtained the initial parameter space of the progenitor binaries
of hot subdwarfs from the stable RLOF channel of intermediate-mass
binaries (Figs. 2 and 3).
- 3.
- Our results indicate that the hot subdwarfs from the stable RLOF channel of
intermediate-mass binaries have a mass in the range of 0.32-1.44
with a wide envelope mass of 0.01-0.22
.
Most sdB stars have a mass in the range of 0.32-0.67
with an envelope mass of 0.01-0.05
.
Most sdOB stars
have a mass in the range of 0.60-0.86
with an envelope
mass of 0.05-0.10
.
SdO stars have a mass in the range
of 0.75-1.44
with an envelope mass of 0.07-0.22
.
Furthermore, we found that some sdB or sdOB stars have
anomalously high mass, in the range of 0.72-1.13
and
0.97-1.23
,
respectively. The envelope mass is in the
range of 0.07-0.16
and 0.11-0.19
,
respectively. We expect that observations could confirm these
theoretical results in the future.
- 4.
- The orbital periods of the binaries have a
wide range of 5.0-900.0 days, while the peak is at around 120 days
for the conservative case and 30 days for the nonconservative case.
- 5.
- Our results favor that hot subdwarfs, formed through the RLOF
channel of intermediate-mass binaries, will be found in young
clusters in the future.
Acknowledgements
We would like to acknowledge Zhanwen Han, Fenghui Zhang and Xuefei Chen for their discussions and suggestions and also thank the referee and editor for their useful suggestions and comments.
References
- Alexander, D. R., & Ferguson, J. W. 1994a, in Molecules in the Stellar Environment, ed. U. G. Jorgensen (Berlin: Springer-Verlag), 149 (In the text)
- Alexander, D. R., & Ferguson, J. W. 1994b, ApJ, 437, 879 [NASA ADS] [CrossRef]
- Andersen, J. 1991, A&ARv, 3, 91 [NASA ADS] (In the text)
- Baschek, B., & Norris, J. 1975, ApJ, 199, 694 [NASA ADS] [CrossRef] (In the text)
- Berger, J. 1963, Pub. ASP, 75, 393 [NASA ADS] (In the text)
- Bessell, M. S., Brett, J. M., Scholz, M., & Wood, P. R. 1989, A&AS, 77, 1 [NASA ADS] (In the text)
- Burleigh, M. R., Saffer, R. A., Gilmore, G. F., et al. 1999, MNRAS, 310, L1 [NASA ADS] [CrossRef] (In the text)
- Carraro, G., Girardi, L., Bressan, A., & Chiosi, C. 1996, A&A, 305, 849 [NASA ADS] (In the text)
- Castellani, M., & Castellani, V. 1993, ApJ, 407, 649 [NASA ADS] [CrossRef] (In the text)
- Caughlan, G. R., & Fowle, W. A. 1988, At. Data Nucl. Data Tables, 40, 284 [NASA ADS] [CrossRef] (In the text)
- Caughlan, G. R., Fowler, W. A., Harris, M. J., & Zimmerman, B. A. 1985, At. Data Nucl. Data Tables, 35, 198 (In the text)
- Chen, X. F., & Han, Z. 2002, MNRAS, 335, 948 [NASA ADS] [CrossRef] (In the text)
- Chen, X. F., & Han, Z. 2003, MNRAS, 341, 662 [NASA ADS] [CrossRef]
- D'Cruz, N. L., Dorman, B., Rood, R. T., & O'Connell, R. W. 1996, ApJ, 466, 359 [NASA ADS] [CrossRef]
- De Greve, J. P., & De Loore, C. 1992, A&AS, 96, 653 [NASA ADS] (In the text)
- De Mink, S. E., Pols, O. R., & Hilditch, R. W. 2007, A&A, 467, 1181 [NASA ADS] [CrossRef] [EDP Sciences] (In the text)
- Dorman, B., Rood, R. T., & O'Connell, R. W. 1993, ApJ, 419, 596 [NASA ADS] [CrossRef] (In the text)
- Edelmann, H., Heber, U., Hagen, H.-J., et al. 2003, A&A, 400, 939 [NASA ADS] [CrossRef] [EDP Sciences] (In the text)
- Edelmann, H., Heber, U., Altmann, M., et al. 2005, A&A, 442, 1023 [NASA ADS] [CrossRef] [EDP Sciences] (In the text)
- Elson, R. A., Sigurdsson, S., Hurley, J., et al. 1998, ApJ, 499, L53 [NASA ADS] [CrossRef] (In the text)
- Eggen, O. J. 1985, AJ, 90, 333 [NASA ADS] [CrossRef] (In the text)
- Eggleton, P. P. 1971, MNRAS, 151, 351 [NASA ADS]
- Eggleton, P. P. 1972, MNRAS, 156, 361 [NASA ADS]
- Eggleton, P. P. 1973, MNRAS, 163, 179 [NASA ADS]
- Eggleton, P. P., Fitchett, M. J., & Tout, C. A. 1989, ApJ, 347, 998 [NASA ADS] [CrossRef]
- Feige, J. 1958, ApJ, 128, 267 [NASA ADS] [CrossRef] (In the text)
- Goldberg, D., & Mazeh, T. 1994, A&A, 282, 801 [NASA ADS] (In the text)
- Green, E. M., Liebert, J., & Saffer, R. A. 2000, [arXiv:astro-ph/0012246] (In the text)
- Greenstein, J. L. 1966, ApJ, 144, 496 [NASA ADS] [CrossRef] (In the text)
- Han, Z. 1998, MNRAS, 296, 1019 [NASA ADS] [CrossRef] (In the text)
- Han, Z., Podsiadlowski, Ph., & Eggleton, P. P. 1994, MNRAS, 270, 121 [NASA ADS] (In the text)
- Han, Z., Eggleton, P. P., Podsiadlowski, Ph., & Tout, C. A. 1995, MNRAS, 277, 1443 [NASA ADS] (In the text)
- Han, Z., Tout, C. A., & Eggleton, P. P. 2000, MNRAS, 319, 215 [NASA ADS] [CrossRef] (In the text)
- Han, Z., Podsiadlowski, Ph., Maxted, P. F. L., Marsh, T. R., & Ivanova, N. 2002, MNRAS, 336, 449 [NASA ADS] [CrossRef] (In the text)
- Han, Z., Podsiadlowski, Ph., Maxted, P. F. L., & Marsh, T. R. 2003, MNRAS, 341, 669 [NASA ADS] [CrossRef] (In the text)
- Han, Z., Podsiadlowski, Ph., Lynas-Gray, A. E., & Schawinski, K. 2007, IAUS, 241, 181 [NASA ADS] (In the text)
- Heber, U. 1986, A&A, 155, 33 [NASA ADS] (In the text)
- Humason, M. S., & Zwicky, F. 1947, ApJ, 105, 85 [NASA ADS] [CrossRef] (In the text)
- Hunger, K., Gruschinske, J., Kudritzki, R. P., & Simon, K.P. 1981, A&A, 95, 244 [NASA ADS] (In the text)
- Iben, I., Jr, & Renzini, A. 1983, ARA&A, 21, 271 [NASA ADS] [CrossRef] (In the text)
- Iben, I., Jr, & Tutukov, A. V. 1986, ApJ, 311, 753 [NASA ADS] [CrossRef] (In the text)
- Iglesias, C. A., & Rogers, F. G. 1996, ApJ, 464, 943 [NASA ADS] [CrossRef] (In the text)
- Itoh, N., Mutoh, H., Hikita, A., Kohyama, Y., & Munakata, H. 1989, ApJ, 339, 354 [NASA ADS] [CrossRef] (erratum 1990, ApJ, 360, 741 [CrossRef]) (In the text)
- Itoh, N., Mutoh, H., Hikita, A., & Kohyama, Y. 1992, ApJ, 395, 622 [NASA ADS] [CrossRef] (erratum 1993, ApJ, 404, 418) (In the text)
- Kerber, L. O., & Santiago, B. X. 2005, A&A, 435, 77 [NASA ADS] [CrossRef] [EDP Sciences] (In the text)
- Klemola, A. R. 1962, AJ, 67, 40 [NASA ADS] (In the text)
- Kroupa, P., Tout, C. A., & Gilmore, G. 1993, MNRAS, 262, 545 [NASA ADS] (In the text)
- Lee, Y. W. 1994, ApJ, 430, L113 [NASA ADS] [CrossRef] (In the text)
- Liebert, J. 1999, ApJ, 514, L25 [NASA ADS] [CrossRef] (In the text)
- Lisker, T., Heber, U., Napiwotzki, R., et al. 2005, A&A, 430, 223 [NASA ADS] [CrossRef] [EDP Sciences] (In the text)
- Maxted, P. F. L., Heber, U., Marsh, T. R., & North, R. C. 2001, MNRAS, 326, 1391 [NASA ADS] [CrossRef] (In the text)
- Mazeh, T., Goldberg, D., Duquennoy, A., & Mayor, M. 1992, ApJ, 401, 265 [NASA ADS] [CrossRef] (In the text)
- Miller, G. E., & Scalo, J. M. 1979, ApJS, 41, 513 [NASA ADS] [CrossRef] (In the text)
- Moni Bidin, C., Moehler, S., Piottol, G., et al. 2006, A&A, 451, 499 [NASA ADS] [CrossRef] [EDP Sciences] (In the text)
- Moni Bidin, C., Moehler, S., Piotto, G., et al. 2006, [arXiv:astro-ph/0606035v1]
- Morales-Rueda, L., Maxted, P. F. L., Marsh, T. R., et al. 2003, MNRAS, 338, 752 [NASA ADS] [CrossRef] (In the text)
- Morales-Rueda, L., Maxted, P. F. L., Marsh, T. R., et al. 2005, ASPC, 334, 333 [NASA ADS] (In the text)
- Napiwotzki, R., Karl, C. A., Lisker, T., et al. 2004, Ap&SS, 291, 321 [NASA ADS] [CrossRef] (In the text)
- Nelson, C. A., & Eggleton, P. P. 2001, ApJ, 552, 664 [NASA ADS] [CrossRef] (In the text)
- Paczynski, B. 1971, Acta Astron., 21, 1 [NASA ADS] (In the text)
- Paczynski, B. 1976, in Structure and Evolution of Close Binaries, ed. P. P. Eggleton, S. Mitton, J. Whelan (Dordrecht: Kluwer), 75 (In the text)
- Paczynski, B., & Ziókowski, J. 1967, Acta Astron., 17, 7 [NASA ADS] (In the text)
- Park, J. H., & Lee, Y. W. 1997, ApJ, 476, 28 [NASA ADS] [CrossRef]
- Petrovic, J., Langer, N., Yoon, S.-C., & Heger, A. 2005, A&A, 435, 247 [NASA ADS] [CrossRef] [EDP Sciences] (In the text)
- Podsiadlowski, Ph., Rappaport, S., & Pfahl, E. D. 2002, ApJ, 565, 1107 [NASA ADS] [CrossRef] (In the text)
- Pols, O. R., Tout, C. A., Eggleton, P. P., & Han, Z. 1995, MNRAS, 274, 964 [NASA ADS] (In the text)
- Pols, O. R., Tout, C. A., Schröder, K.-P., Eggleton, P. P., & Manners, J. 1997, MNRAS, 289, 869 [NASA ADS] (In the text)
- Pols, O. R., Schröder, K.-P., Hurley, J. R., Tout, C. A., & Eggleton, P. P. 1998, MNRAS, 298, 525 [NASA ADS] [CrossRef] (In the text)
- Refsdal, S., Roth, M. L., & Weigert, A. 1974, A&A, 36, 113 [NASA ADS] (In the text)
- Reimers, D. 1975, Mem. R. Soc. Liége, 6e Ser., 8, 369 (In the text)
- Renzini, A. 1981, in Effects of Mass Loss on Stellar Evolution, ed. C. Chiosi, R. Stalio (Dordrecht: Reidel), 319 (In the text)
- Saffer, R. A., Bergeron, P., Koester, D., & Liebert, J. 1994, ApJ, 432, 351 [NASA ADS] [CrossRef] (In the text)
- Sargent, W. L. W., & Searle, L. 1968, ApJ, 152, 443 [NASA ADS] [CrossRef] (In the text)
- Schröder, K.-P., Pols, O. R., & Eggleton, P. P. 1997, MNRAS, 285, 696 [NASA ADS] (In the text)
- Slettebak, A., Bahner, K., & stock, J. 1961, ApJ, 134, 195 [NASA ADS] [CrossRef] (In the text)
- Stroeer, A., Heber, U., Lisker, T., et al. 2007, A&A, 462, 269 [NASA ADS] [CrossRef] [EDP Sciences] (In the text)
- Sweigart, A. V. 1997, ApJ, 474, L23 [NASA ADS] [CrossRef] (In the text)
- Tout, C. A., Pols, O. R., Eggleton, P. P., et al., 1996, MNRAS, 281, 257 [NASA ADS] (In the text)
- Webbink, R. F. 1984, ApJ, 277, 355 [NASA ADS] [CrossRef] (In the text)
- Wellstein, S. 2001, Ph.D. Thesis (In the text)
- Will, Jean-Marie, Bomans, Dominik J., & de Boer Klaas, S. 1995, A&A, 295, 54 [NASA ADS] (In the text)
- Yi, S. K., & Yoon, Suk-Jin 2004, Ap&SS, 291, 205 [NASA ADS] [CrossRef] (In the text)
- Yi, S., Demarque, P., & Oemler, A., Jr 1997, ApJ, 486, 201 [NASA ADS] [CrossRef] (In the text)
- Zoccali, M., Cassisi, S., Frogel, J. A., et al. 2000, ApJ, 530, 418 [NASA ADS] [CrossRef] (In the text)
- Zombeck, M. V. 1990, Handbook of Astronomy and Astrophysics, 2nd edn. (Cambridge: Cambridge Univ. Press) (In the text)
All Tables
Table 1: The mass and the envelope mass of normal hot subdwarf stars.
Table 2:
The mass and the envelope mass of anomalous hot subdwarfs
for mass ratios
1.1, 1.5.
Table 3: Parameters of some typical hot subdwarfs and their progenitors.
Table 4: Birth rates of hot subdwarfs from the stable RLOF channel of intermediate-mass binaries (our model) and other channels (Han et al. 2003) (in 10-3 yr-1).
All Figures
![]() |
Figure 1:
Logarithmic surface gravities versus effective temperature
of observed hot subdwarfs (see typical error-bars in the upper left
side). Open circles and solid triangles are for sdB and sdOB stars
observed by Edelmann et al. (2003). Open triangles are
for sdB stars observed by Lisker et al. (2005). Crosses
are for sdO stars observed by Stroeer et al. (2007).
Dashed line, dot-dashed line and dotted line indicate ZAEHB (the
Zero-Age Extreme Horizontal Branch, assuming the mass of hot
subdwarf is 0.5 |
| Open with DEXTER | |
| In the text | |
![]() |
Figure 2:
Initial parameters of progenitors of hot subdwarfs in the
conservative case. Pluses (black) are for progenitors of sdB stars,
circles (dark grey) for progenitors of sdOB stars, and crosses
(light grey) for progenitors of sdO stars. Panels (1)-(6)
indicate the mass ratio |
| Open with DEXTER | |
| In the text | |
![]() |
Figure 3:
Initial parameters of progenitors of hot subdwarfs in the
nonconservative case. Pluses (black) are for progenitors of sdB
stars, circles (dark grey) for progenitors of sdOB stars, and
crosses (light grey) for progenitors of sdO stars. Panels (1)-(6) indicate the mass ratio |
| Open with DEXTER | |
| In the text | |
![]() |
Figure 4:
Evolutionary tracks of hot subdwarfs with different initial
mass ratios in the
|
| Open with DEXTER | |
| In the text | |
![]() |
Figure 5:
Evolutionary tracks of hot subdwarfs with mass ratio
q=1.5 in the
|
| Open with DEXTER | |
| In the text | |
![]() |
Figure 6:
The mass of hot subdwarfs ( |
| Open with DEXTER | |
| In the text | |
![]() |
Figure 7:
The envelope mass of hot subdwarfs (
|
| Open with DEXTER | |
| In the text | |
![]() |
Figure 8:
The mass of hot subdwarfs ( |
| Open with DEXTER | |
| In the text | |
![]() |
Figure 9:
The envelope mass of hot subdwarfs (
|
| Open with DEXTER | |
| In the text | |
![]() |
Figure 10:
The HR diagrams and the
|
| Open with DEXTER | |
| In the text | |
![]() |
Figure 11:
The distributions of the masses of hot subdwarfs from the
stable RLOF channel in this paper. |
| Open with DEXTER | |
| In the text | |
![]() |
Figure 12: Orbital-period distributions for stable RLOF hot subdwarfs. The solid and dotted line indicate the conservative and nonconservative cases, respectively. The red, blue and green bar along the period axis indicate the orbital periods of observed binaries with a companion of unknown type, main sequence and compact object, respectively (Morales-Rueda et al. 2003; Edelmann et al. 2005; Napiwotzki et al. 2004). |
| Open with DEXTER | |
| In the text | |
![]() |
Figure 13:
The HR diagrams and the
|
| Open with DEXTER | |
| In the text | |
![]() |
Figure 14:
Integral evolutionary tracks ( top panels) and mass transfer
rate ( bottom panels) of the primary with initial mass of
|
| Open with DEXTER | |
| In the text | |
![]() |
Figure 15:
Comparison of our results to the atmospheric parameters of
sdB stars (open circles Edelmann et al. 2003; open
triangles Lisker et al. 2005), sdOB stars (solid
triangles Edelmann et al. 2003), sdO stars (crosses
Stroeer et al. 2007). The largest cross is for HE
1115-0631 (orbital period: 5.87 d, Napiwotzki et al.
2004). Our results are shown as shaded
|
| Open with DEXTER | |
| In the text | |
Copyright ESO 2009
Current usage metrics show cumulative count of Article Views (full-text article views including HTML views, PDF and ePub downloads, according to the available data) and Abstracts Views on Vision4Press platform.
Data correspond to usage on the plateform after 2015. The current usage metrics is available 48-96 hours after online publication and is updated daily on week days.
Initial download of the metrics may take a while.

![\begin{displaymath}\frac{\textrm{d}m}{\textrm{d}t}=C\textrm{Max}\left [0,\left(\frac{r_{\rm
star}}{r_{\rm lobe}}\right)^{3}\right] ,
\end{displaymath}](/articles/aa/full_html/2009/31/aa09454-08/img28.png)


![\begin{figure}
\par\includegraphics[width=12cm,clip]{09454f1.ps}
\end{figure}](/articles/aa/full_html/2009/31/aa09454-08/Timg57.png)
![\begin{figure}
\par\includegraphics[origin=rb,angle=270,width=12cm,clip]{09454f2.ps}
\end{figure}](/articles/aa/full_html/2009/31/aa09454-08/Timg58.png)
![\begin{figure}
\par\includegraphics[origin=rb,angle=270,width=12cm,clip]{09454f3.ps}
\end{figure}](/articles/aa/full_html/2009/31/aa09454-08/Timg62.png)
![\begin{figure}
\par\includegraphics[origin=rb,angle=270,width=12cm,clip]{09454f4.ps}
\end{figure}](/articles/aa/full_html/2009/31/aa09454-08/Timg70.png)
![\begin{figure}
\par\includegraphics[origin=rb,angle=270,width=11.7cm,clip]{09454f5.ps}
\end{figure}](/articles/aa/full_html/2009/31/aa09454-08/Timg73.png)
![\begin{figure}
\par\includegraphics[origin=rb,angle=270,width=12cm,clip]{09454f6.ps}
\end{figure}](/articles/aa/full_html/2009/31/aa09454-08/Timg74.png)
![\begin{figure}
\par\includegraphics[origin=rb,angle=270,width=12cm,clip]{09454f7.ps}
\end{figure}](/articles/aa/full_html/2009/31/aa09454-08/Timg75.png)
![\begin{figure}
\par\includegraphics[origin=rb,angle=270,width=12cm,clip]{09454f8.ps}
\end{figure}](/articles/aa/full_html/2009/31/aa09454-08/Timg76.png)
![\begin{figure}
\par\includegraphics[origin=rb,angle=270,width=12cm,clip]{09454f9.ps}
\end{figure}](/articles/aa/full_html/2009/31/aa09454-08/Timg77.png)
![\begin{figure}
\par\includegraphics[origin=rb,angle=270,width=12cm,clip]{09454f10.ps}
\end{figure}](/articles/aa/full_html/2009/31/aa09454-08/Timg78.png)
![\begin{figure}
\par\includegraphics[width=9cm,clip]{09454f11.ps}
\end{figure}](/articles/aa/full_html/2009/31/aa09454-08/Timg105.png)
![\begin{figure}
\par\includegraphics[width=9cm,clip]{09454f12.ps}
\end{figure}](/articles/aa/full_html/2009/31/aa09454-08/Timg106.png)
![\begin{figure}
\par\includegraphics[origin=rb,angle=270,width=12cm,clip]{09454f13.ps}
\end{figure}](/articles/aa/full_html/2009/31/aa09454-08/Timg109.png)
![\begin{figure}
\par\includegraphics[origin=rb,angle=270,width=12cm,clip]{09454f14.ps}
\end{figure}](/articles/aa/full_html/2009/31/aa09454-08/Timg110.png)

![\begin{figure}
\par\includegraphics[width=9cm,clip]{09454f15.eps}
\end{figure}](/articles/aa/full_html/2009/31/aa09454-08/Timg126.png)