Issue |
A&A
Volume 503, Number 1, August III 2009
|
|
---|---|---|
Page(s) | 203 - 206 | |
Section | The Sun | |
DOI | https://doi.org/10.1051/0004-6361/200811217 | |
Published online | 02 July 2009 |
Observations of a subcritical switch-on shock
H. Q. Feng1,2 - J. M. Wang1 - J. K. Chao3
1 - College of Physics and Electronic Information, Luoyang Normal University, Luoyang 471022, PR China
2 -
State Key Laboratory of Space Weather, Center for Space Science and Applied Research, CAS, Beijing 100190, PR China
3 -
Institute of Space Science, National Central University, Chungli 32001, Taiwan
Received 24 October 2008 / Accepted 19 May 2009
Abstract
Context. The conditions that lead to subcritical switch-on shocks are very rare in interplanetary space.
Aims. In this work, we report the identification of a subcritical switch-on shock driven by an interplanetary coronal mass ejection.
Methods. The subcritical switch-on shock is identified by fitting the Rankine-Hugoniot (R-H) conditions.
Results. It is found that the shock has the following characteristics. (1) Proton density, temperature, and total magnetic field strength all increase from the upstream region to the downstream region. (2) Observed parameters meet the R-H relations closely. (3) The fast-mode Mach number is greater than unity in the preshock state and less than unity in the postshock state. (4) The normal Alfvén-Mach number is almost equal to 1 in the postshock state, while the upstream tangential magnetic component is around zero but the downstream tangential magnetic component is not zero (it is ``switched on'').
Conclusions. Considering that the shock parameters satisfy all the properties of subcritical switch-on shocks, we conclude that the discontinuity is a subcritical switch-on shock.
Key words: shock waves - Sun: coronal mass ejections (CMEs) - Sun: solar wind
1 Introduction
According to the MHD wave theory, four linear MHD waves exist and are called the fast magnetosonic wave, the Alfvén wave, the slow magnetosonic wave, and the entropy wave. The entropy wave has zero velocity with respect to plasma. If we define state 1 as the state where the fluid velocity is super-fast-magnetosonic, state 2 where the fluid velocity is sub-fast-magnetosonic and super-Alfvénic, state 3 where the fluid velocity is sub-Alfvénic and super-slow-magnetosonic, and state 4 where the fluid velocity is sub-slow-magnetosonic, the entropy-satisfying jump relations then include 1
















![]() |
Figure 1: The evolutionarity regions for the fast and slow shocks. Here Vi , ai-, aiA , ai+ are velocities of the gas and of the small disturbances with respect to the jump before (i=1) and after (i=2) it (Barmin et al. 1996). |
Open with DEXTER |
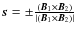
Switch-on shocks are a particular case of fast-mode shocks that lie at the boundary of the evolutionary rectangle (see Fig. 1) and propagate along the magnetic field. In this case, the flow speed behind the shock is exactly equal to the intermediate speed (viz. Alfvén speed). The evolutionarity of switch-on shocks has been discussed by Akhiezer et al. (1958) and Syrovatskii (1959), where the ambient gas is treated as ideal and perfectly conducting. Thus the shock was treated as a discontinuity. They found that switch-on cannot emit enough small-amplitude plane waves to adjust themselves to small normal disturbances. Then theoretical study and numerical simulations showed that the switch-on shocks are admissible for cases in which the magnetic diffusivity of the ambient gas is much greater than any other diffusivity, which is a realistic situation (Barmin & Gogosov 1960; Gogosov 1961; odd 1966; Landau & Lifshitz 1984).
Switch-on shocks are evolutionary only until the Alfvén Mach
number
becomes small enough that it is equal to a certain
limiting value,
,
where
and
are the ordinary sound speed and the
Alfvén speed, respectively (Kantrowitz & Petschek
1966; Landau & Lifshitz 1984). This means that
switch-on shocks only occur in the low-plasma beta region.
Therefore, if a fast CME moves in the low-beta solar wind, it may
induce a switch-on shock (De Sterck et al. 1998). In
addition, the complex bow-shock topology made switch-on shocks
possible, and a switch-on shock has been observed in the Earth's bow
shock (Farris et al. 1994). Switch-on shocks are easy to
develop in the low plasma beta region; however, the plasma beta is
high in interplanetary space, so switch-on shocks driven by CMEs are
very rare in interplanetary space. Fortunately, we identify a
subcritical switch on shock observed by Wind on October 31, 2001 by
fitting the Rankine-Hugoniot (R-H) relations. As stated previously,
the rigid definition of a switch-on shock requires that the magnetic
field and shock normal directions are aligned exactly, which is
unrealistic on account of the effect of interplanetary
perturbations. We therefore define subcritical switch-on shocks to be
for which the angle,
,
between the shock normal and
the upstream magnetic field vector is less than
.
In this
paper, we report the identification of a subcritical switch-on shock
observed in interplanetary space.
2 Observations of a subcritical switch-on shock
2.1 Data and method of analysis
The magnetic field data obtained from magnetic field investigation (MFI) magnetometer and the proton data obtained from the 3-dimension plasma (3DP) analyzer are used for the subcritical switch-on shock identification. A description of the instruments onboard Wind can be found in Lepping et al. (1995) and Lin et al. (1995). The data have a time resolution of 3 s. Here the coordinate system is the geocentric solar ecliptic (GSE) Cartesian system, where x is along the Earth-Sun line and points to the Sun, y points to the dusk in the ecliptic plane (opposing planetary motion), and z points to the ecliptic north pole.
For an ideal MHD shock, the coplanarity theorem requires that the
up- and down-stream magnetic fields (
and
)
and the shock normal vector
lie on a
coplanar plane. The shock normal vector can therefore be obtained as
(Colburn & Sonnet 1966)
so one can define an orthogonal shock coordinate system. Let






In the present paper, we apply a new shock-fitting procedure
proposed recently by Lin et al. (2006). Their method is
based on one-fluid R-H relations, a Monte Carlo calculation, and a
minimization technique. Lin et al. (2006) use the upstream
and downstream observed mean variables and associated errors to
randomly generate arrays of the variables needed for the fitting
procedure, and all generated array, for these variables satisfy the
R-H relations. Here, each array is generated by using a
random-number generator function, called Rnd(). This
function generates an array of normally distributed numbers with an
average of zero, and the standard deviation (SD) calculated from
these numbers equals
.
Then a minimization technique are
used, and with this, a best fit solution is obtained that satisfies
the R-H relations and that is closest to the data mean. It should be
noted that the total (associated) error consists of the SD and a
systematic error that may be due to instruments and/or any other
uncertainties. The SD can be calculated directly from the observable
array. However, the systematic error is usually unknown; Lin et al.
assumed that the systematic error is a half the SD. More detailed
descriptions about the procedure can be found in Lin et al.
(2006).
![]() |
Figure 2: The interplanetary magnetic field and plasma data measured by Wind in GSE coordinate system on October 31, 2001. |
Open with DEXTER |
2.2 Identification based on the R-H relation
This shock was observed at about 1347 UT on October 31, 2001, with
Wind located at (25.8, -83.8, 7.0) RE in the GSE coordinate
system. About 8 h later, Wind observed an interplanetary coronal
mass ejection (ICME), which can be found in the ICME list given by
Cane & Richardson (2003). The shock was driven by the ICME.
Figure 2 shows the observed values of the parameters as functions of
time for this event. From top to bottom, the panels show the x,
y, z components of the magnetic field (Bx, By,
Bz), the magnitude of the total magnetic field (|B|), the
proton density (N), the x, y, z components of the proton
speed (
,
,
), and temperatures (
).
From Fig. 2 it can be seen that the proton number density N, the
proton temperature
,
and the total magnetic field strength
|B| increase across the discontinuity. In addition, across the
discontinuity, the proton velocity |V| (not given in Fig. 2) also
increased by 56 km s-1. All these jump signatures are consistent with
the requirements for a fast shock.
The selected upstream regions are labeled by the two left-most vertical lines in Fig. 2. Correspondingly, the regions between the two right most vertical lines are downstream. The selection of those intervals representative of the upstream and downstream regions is difficult and important, and a certain amount of subjectivity seems unavoidable. We try to select the intervals that are close to the transition layer when the magnetic field and plasma are relatively stable to reduce the effect of waves as well as the disturbances associated with the other structures. For this event, there are only coherent weak waveform fluctuates on both sides of the discontinuity, so it is easy to select the upstream and downstream regions.
The second column of Table 1 lists the observed averaged values of
the magnetic filed vector ,
the solar wind velocity
vector
,
the number density N, and the plasma beta
(
). Subscripts 1 and 2 refer to the upstream and downstream
variables. We should note that Table 1 does not list the observed
proton and electron temperatures, which are included in the
.
Using the observed averaged values, we estimated the corresponding
shock parameters. The derived parameters are the shock normal vector
(from Eq. (1)), the two other axes of the shock
coordinate system
and
,
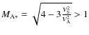
the normal
Alfvén-Mach number (
)
in the
upstream/downstream region, the fast-mode Mach number
(
)
in the upstream/downstream region, and the
shock normal angle,
,
between the shock normal and the upstream magnetic field vector. In
the above expression,
is the Alfvén speed based on the
magnetic-field component normal to shock front (
),
is the component of the bulk
velocity normal to the shock front and measured in the shock frame
of reference, and
is the speed of the fast-magnetosonic wave
in the direction of the shock normal, respectively.
Table 1: The observed and best-fitting parameters of the 2001 October 31 discontinuity event.
![]() |
Figure 3: The observed magnetic fields on 2001 October 31 in the shock coordinate system. |
Open with DEXTER |
Employing the fitting procedure of Lin et al. (2006), we
obtain a best-fit solution, which satisfies the R-H relations. The
third column of Table 1 lists the best-fit values and the
corresponding parameters that are calculated from the fitting
values. From Table 1, we found that this discontinuity has the
following properties. (1) The fitting values are in strong agreement
with the observed values, that is the observed parameters meet the
R-H relations. (2) The proton density, temperature, and the total
magnetic field strength increase from the upstream region to the
downstream region. (3) The fast-mode Mach number is greater than
unity in the preshock state and less than unity in the postshock
state. (4) The normal Alfvén-Mach number (
)
is greater
than unity in the preshock state and almost equal to unity in the
postshock state (see Table 1). (5) The angle (
)
between the shock normal and upstream magnetic field is very small.
Figure 3 gives the magnetic-field profiles in the shock coordinate
system. From Fig. 3, we can see that the upstream tangential
magnetic field
is aligned almost along the shock normal;
however, this component of the field becomes very large downstream
of the shock ramp. The value of
approximately keeps
constant, and the Bs component is approximately zero. In
addition, we also calculated the critical Alfvén Mach
.The calculated value is
,
which is less than the
estimated
from observed mean variables. This
conflict may be caused by the errors due to fluctuations of the
observational data. However, the estimated
from
fitting variables is less than
,
so we conclude that the
discontinuity is a subcritical switch-on shock.
3 Summary
In more than four decades, there have been many investigations of
interplanetary fast shocks. However, there are only a few of studies
switch-on shocks. As Kennel & Edmiston (1988) have pointed
out, the switch-on shock is one of the peculiarities of MHD shock
theory. At first sight, one would believe that a plane shock
propagating parallel to the upstream magnetic field would be
entirely hydrodynamic and would not change the magnetic field. On
the other hand, below an upper limit normal Alfvén-Mach number
to be defined, the hydrodynamic R-H relations lead to flow speeds
that are less than the intermediate speed downstream, a violation of
the MHD evolutionary conditions. The compromise effected by the full
MHD R-H conditions is to ``switch on" tangential components of
magnetic field and flow velocity, so that the normal component of
the flow speed precisely equals the intermediate speed downstream
(Kennel & Edmiston 1988). However, switch-on shocks are
indeed evolutionary. They lie at the boundary of the corresponding
evolutionary rectangle. As for the infrequent observations of
switch-on shock in interplanetary space, it may be that the plasma
beta is high in interplanetary space. In this study, an
interplanetary subcritical switch-on shock is identified by fitting
the R-H relations. This subcritical switch-on shock was observed by
Wind on October 31, 2001. The shock was driven by an ICME. We fitted
this discontinuity using the procedure of Lin et al. (2006)
and found that the observed magnetic field and plasma data satisfy
the R-H relations well. In addition, this shock has special
characteristics of subcritical switch-on shocks: (1) the normal
Alfvén-Mach number (
)
is greater than unity in the
preshock state and almost equal to unity in the postshock state; (2)
the upstream tangential magnetic component is around zero and the
angle (
)
between the shock normal and upstream
magnetic field is very small; however, downstream of the shock ramp,
this component of the field becomes very large. We therefore believe
that this event is a subcritical switch-on shock.
Acknowledgements
This work was supported by National Nature Science Foundation of China (NSFC) under grant Nos. 40804034, 10603014, 40890160. This work was also sponsored by Program for Science & Technology Innovation Talents in Universities of Henan Province (HASTIT) under grant Nos. 2010HASTIT022, and by a Project Supported by the Specialized Research Fund for State Key Laboratories. The authors thank NASA/GSFC for the use of Wind MFI and 3DP obtained via the CDA Web page.
References
- Akhiezer, A. I., Liubarskisl, S. I., & Polovin, V. 1958, Soviet Phys. JETP., 8, 507 (In the text)
- Barmin, A. A., & Gogosov, V. V. 1960, Soviet Phys. Doklady, 134, 5, 1041 (In the text)
- Barmin, A. A., Kulikovskiy, A. G., & Pogorelsov, N. V. 1996, J. Comput. Phys., 126, 77 [NASA ADS] [CrossRef] (In the text)
- Cane, H. V., & Richardson, I. G. 2003, J. Geophys. Res., 108, 1156 [CrossRef] (In the text)
- Colburn, D. S., & Sonnet, C. P. 1966, Space Sci. Rev., 5, 439 [NASA ADS] [CrossRef] (In the text)
- De Sterck, H., & Poedts, S. 1999, A&A, 343, 641 [NASA ADS]
- De Sterck, H., Deconinck, H., Poedts, S., & Roose, D. 1998, Int. Ser. num. math., 129, 195 (In the text)
- Daughton, W., Winske, D., & Yin, L. 2001, Fully kinetic simulations of slow-mode shocks (Berlin: Schaltungsdienst Lange o.H.G)
- Farris, M. H., Russell, C. T., Fitzenreiter, R. J., & Ogilvie, K. W., 1994, Geophys. Res. Lett., 21, 837 [NASA ADS] [CrossRef] (In the text)
- Gogosov, V. V. 1961, J. Appl. Math. Mech., 25, 141 (In the text)
- Kantrowitz, A., & Petschek, H. E. 1966, Plasma Physics in Theory and Application, (New York: McGraw-Hill), 147 (In the text)
- Kennel, C. F., & Edmiston, J. P. 1988 J. Geophys. Res., 93, 11363 (In the text)
- Knetter, T., Neubauer, F. M., Horbury, T., & Balogh, A. 2004, J. Geophys. Res., 109, A06102 [CrossRef] (In the text)
- Landau, L. D., & Lifshitz, E. M. 1984, Electrodynamics of Continuous Media (Oxford: Pergamon Press) (In the text)
- Lepping, R. P., Ac
na, M. H., Burlaga, L. F. et al. 1995, Space Sci. Rev., 71, 207 [NASA ADS] [CrossRef] (In the text)
- Lin, C. C., Chao, J. K., Lee, L. C., Lyu, L. H., & Wu, D. J. 2006, J. Geophys. Res., 111, A09104 [CrossRef] (In the text)
- Lin, R. P., Anderson, K. A., Ashford, S. et al. 1995, Space Sci. Rev., 71, 125 [NASA ADS] [CrossRef] (In the text)
- Sonnerup, B. U, & Cahill Jr, L. T. 1967, J. Geophys. Res., 72, 171 [NASA ADS] [CrossRef] (In the text)
- Syrovatskii, S. I. 1959, Sov. Phys., JETP. 8, 1024 (In the text)
- Todd, L. 1964, J. Fluid Mech., 18, 321 [NASA ADS] [CrossRef] (In the text)
- Todd, L. 1965, J. Fluid Mech., 21, 193 [NASA ADS] [CrossRef] (In the text)
- Todd, L. 1966, J. Fluid Mech., 24, 597 [NASA ADS] [CrossRef] (In the text)
- Wu, C. C. 1990, J. Geophys. Res., 95, 8149 [NASA ADS] [CrossRef] (In the text)
All Tables
Table 1: The observed and best-fitting parameters of the 2001 October 31 discontinuity event.
All Figures
![]() |
Figure 1: The evolutionarity regions for the fast and slow shocks. Here Vi , ai-, aiA , ai+ are velocities of the gas and of the small disturbances with respect to the jump before (i=1) and after (i=2) it (Barmin et al. 1996). |
Open with DEXTER | |
In the text |
![]() |
Figure 2: The interplanetary magnetic field and plasma data measured by Wind in GSE coordinate system on October 31, 2001. |
Open with DEXTER | |
In the text |
![]() |
Figure 3: The observed magnetic fields on 2001 October 31 in the shock coordinate system. |
Open with DEXTER | |
In the text |
Copyright ESO 2009
Current usage metrics show cumulative count of Article Views (full-text article views including HTML views, PDF and ePub downloads, according to the available data) and Abstracts Views on Vision4Press platform.
Data correspond to usage on the plateform after 2015. The current usage metrics is available 48-96 hours after online publication and is updated daily on week days.
Initial download of the metrics may take a while.