| Issue |
A&A
Volume 503, Number 1, August III 2009
|
|
|---|---|---|
| Page(s) | 137 - 150 | |
| Section | Stellar structure and evolution | |
| DOI | https://doi.org/10.1051/0004-6361/200811234 | |
| Published online | 22 June 2009 | |
Relative frequencies of supernovae types: dependence on host galaxy magnitude, galactocentric radius, and local metallicity
S. Boissier1 - N. Prantzos2
1 - Laboratoire d'Astrophysique de Marseille, OAMP, Université Aix-Marseille & CNRS UMR6110, 38 rue Frédéric Joliot Curie, 13388 Marseille Cedex 13, France
2 -
Institut d'Astrophysique de Paris, UMR7095 CNRS, Univ. P. & M. Curie, 98bis Bd. Arago, 75104 Paris, France
Received 27 October 2008 / Accepted 10 May 2009
Abstract
Context. Stellar evolution theory suggests that the relationship between number ratios of supernova (SN) types and metallicity can provide important information about the physical properties of the progenitor stars (e.g., mass, metallicity, rotation, binarity).
Aims. We investigate the metallicity dependence of the number ratios of various SN types, using a large sample of SN along with information about their radial position within, and magnitude of, their host galaxy.
Methods. We derive global galaxy gas-phase metallicities (using the well-known metallicity-luminosity relation) and local metallicities, i.e., at the position of the SN. In the latter case, we use the empirical fact that the metallicity gradients in disk galaxies are
constant when expressed in dex/R25.
Results. We confirm a dependence of the N(Ibc)/N(II) ratio on metallicity. Single star models with rotation and binary star models with no rotation appear to reproduce equally well the metallicity dependence. The size of our sample does not allow significant conclusions about the N(Ic)/N(Ib) ratio. Finally, we find an unexpected metallicity dependence of the ratio of thermonuclear to core collapse supernovae, which we interpret in terms of the star formation properties of the host galaxies.
Key words: stars: supernovae: general
1 Introduction
The classification of supernovae in various types (II, Ib, Ic, Ia) is based on the presence of various features in their spectra such as the presence or absence of hydrogen, which distinguishes SNII from SNI, while within the SNI family, the presence of Si lines characterizes SNIa and the presence of He lines distinguishes SNIb from SNIc (see e.g, Hamuy 2002; Turatto 2003, and references therein). While SNIa are observed in all types of galaxies (ellipticals, irregulars, spirals), SNIb and Ic (collectively called SNIbc in this work including SN with types Ib, Ic, and Ib/c), as well as SNII are only observed in star forming regions of spirals and irregulars. For that reason, they are assumed to originate in massive stars, as a result of the gravitational collapse of their Fe cores (gravitational SN or core collapse SN, CCSN in the following). Various schemes have been proposed to relate each one of those types to a progenitor star, either within the framework of single-star models (e.g., Heger et al. 2003; Maeder & Meynet 2004) or binary star evolution (e.g., Eldridge et al. 2008).
A comprehensive summary of our understanding of the various CCSN types
is provided in Fryer et al. (2007). Among the various factors
affecting the surface chemical composition of a massive star at the
time of its explosion, mass, metallicity, rotation, and binarity
appear to play an important role, while the potential impact of others
(e.g., magnetic fields) has not been sufficiently explored yet. The
extent to which each one of the aforementioned factors (as well as
their combined action) determines the mass lost by the star and its
final surface composition has been the subject of intense theoretical
and observational investigations. In the framework of single star
models, it is believed that, for a given metallicity, the lowest mass
progenitors of CCSN become SNII, stars more massive than some (yet
poorly known) limit
produce SNIb, and stars more massive than
end their lives as SNIc. In principle, a decrease in
metallicity increases both
and
,
but its effect may
be compensated for by rotation, which mixes nucleosynthesis products
from the core to the surface.
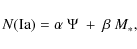
In an early attempt to determine empirically the role of metallicity in shaping the various CCSN types, Prantzos & Boissier (2003, PB03 in the following) studied the relationship between the number ratio of SNIbc to SNII N(Ibc)/N(II) versus the typical metallicity of the host galaxy. In the absence of relevant metallicity measurements, they used the galaxian luminosity as a proxy for metallicity, taking advantage of the well-known metallicity-luminosity relation.
Assuming reasonable values for the slope of the IMF
(in the -1.30 to -1.70 range), PB03 used the observed global
ratio of N(Ibc)/N(II) to derive
-24
.
This mass is comparable to the maximum mass for type II-P SN found by Smartt et al.
(2009) in their volume-limited sample,
for a Salpeter IMF (and up to 22
for a steeper IMF). PB03
argued that this value is much lower than the one provided by
non-rotating models of single star evolution, even at high metallicity
(>30
,
e.g., Heger et al. 2003). They suggested instead that
rotating models, such as the solar metallicity models of Meynet &
Maeder (2003) provide suitable alternative solutions. Furthermore,
PB03 identified a correlation between N(Ibc)/N(II) and metallicity
(albeit with large error bars) and attributed this to
(the limiting mass between SNII and SNIbc) decreasing with
metallicity Z. In the absence of relevant models at lower
metallicities at that time, PB03 deduced the required
relationship, to fit the observational data (again, for
reasonable values of the IMF slope). Subsequent models of low Zmassive rotating stars (Maeder & Meynet 2004) confirmed
those quantitative predictions relatively
well. Similar observational
results were obtained for the N(Ibc)/N(II) versus Z relation by Prieto et al.
(2008), who did not use the mass-metallicity relation but
directly measured metallicities of a smaller sample of host galaxies
from the SDSS database. In the meantime, Eldridge et al. (2008)
proposed non-rotating models for binary star evolution, the results of
which reproduce also satisfactorily the N(Ibc)/N(II) versus metallicity
relation. We discuss those theoretical developments in Sect. 5.
In this work, we investigate the relation between metallicity and
number ratios of various SN types with a much larger SN sample than
PB03 (Sect. 2). We extend our study to the ratios of N(Ic)/N(Ib)
and, for the first time, to N(Ia)/N(CC). Furthermore, we derive not
only global (typical) galaxian metallicities (Sect. 3) but also local
ones, i.e., at the position of the SN within its host galaxy. For that
purpose, we use the fact that metallicity gradients appear to be
constant when expressed in dex/R25
(Sect. 4). We are thus able to establish statistically significant
corelations with both global and local metallicity of N(Ibc)/N(II)
and, somewhat surprisingly, of N(Ia)/N(CC). We discuss those
findings in Sect. 5 and summarize our work in Sect. 6.
2 The supernova sample
We use a version of the Asiago Supernova Catalogue (presented
in Barbon et al. 1999) to obtain information about a large number of
supernovae and their host galaxies. This information concerns the SN
type, magnitude (usually the discovery magnitude), and relative
distance to the galactic center, the galaxy type, and various
parameters, such as position angle, inclination, R25 radius,
and heliocentric radial velocity
.
For each galaxy, we use the LEDA
database (Paturel et al. 2003) to obtain the B-band
absolute magnitude MB.
In this list, we retain only galaxies with morphological types
corresponding to spirals (S0 to Sd) and irregulars (Irr) because we are
interested in the ratio of the various supernovae types occuring
in star-forming galaxies.
![]() |
Figure 1:
Top three panels: supernovae absolute magnitude
(adopting a basic Hubble's law with H0=70 km s-1 Mpc-1) as
a function of the heliocentric velocity, for SN of type II, Ibc,
and Ia, respectively (from top to bottom). The curves show the
average ( solid) and 1 |
| Open with DEXTER | |
Because of differences in their intrinsic luminosities, various
supernovae types can be detected at different distances. In
particular, SN Ia are intrinsically brighter than core collapse SN and
can be detected further away. Figure 1 (three top panels)
shows the SN magnitude as a function of
in our sample.
We are aware that these SN magnitudes are not perfectly well
determined, and not always comparable to each other (discovery versus peak
magnitude, different photometric bands, no true unique distance) but,
overall, they provide a rough idea of the event brightness.
The curves indicate the average values and 1-
standard
deviation from them. They are obtained by computing statistics within
the indicated bin size at many points along the x-axis; the distances
between those points is less than the bin size, i.e., the points are
not independent. We also include four independent points along the
curves with error bars.
The grey shaded area indicates the absolute magnitude for SN fainter
than 19 mag, where very few SN are found. This value
corresponds roughly to the limiting magnitude of SN surveys,
especially the LOSS SN Survey (van den Bergh et al. 2005) providing a
large number of SN each year. Although the Asiago catalogue does not
represent a clearly defined sample, we can consider 19 to be our
approximate limiting magnitude.
Since the various SN types do not have identical absolute
magnitudes, we must ensure that within the volume that we use, we do not
miss some types while detecting others. To check this, we use
the absolute magnitudes (and observation dispersion) given by Richardson et al.
(2002) for various types: -16.61 (1.23) for SNII; -17.23(0.62) for SNIbc; -19.16 (0.76) for Ia. These values are given in
their Table 1 and correspond respectively to normal SN II-P, normal
Ibc, and normal Ia. The most common type among SNII is II-P. Other
types (IIn, IIL) are on average brighter, thus if
there is no bias against II-P, there should be no bias against SNII either.
We note that Richardson et al. (2002) find evidence for a bimodal
distribution of the magnitudes of SNIbc, with a brighter component
than the normal one. Here again, if we choose our sample in such a way
as to include all normal SNIbc, we should not be biased against the
brighter ones.
As long as the values of Richardson et al. (2002) (average and 1
standard deviation) do not cross the grey-shaded area, the
majority of the SN should be present in the catalogue. Figure 1 thus
shows that we may miss a significant number of events for SNII, SNIbc,
and SNIa respectively beyond
,
9000, and 20 000 km s-1.
Thus, to avoid biasing our sample against or in favor of one
of the SN subtypes, we have to cut it at
km s-1.
Richardson et al. (2006) produced absolute magnitudes for Ib and Ic, of
-17.98 (scatter of 0.46), and -18.14 (0.48) respectively for the
so-called ``normal'' ones. These values are similar and slightly
brighter than the ``normal Ibc'' taken from Richardson et al. (2002), so
SNIb and SNIc should be biased neither against each other, nor against
SNII adopting
km s-1.
We note that here and in the rest of the paper, SN classified as Ib/c are
included when computing N(Ibc), but are omitted when computing the
ratio N(Ib)/N(Ic).
It can be seen in Fig. 1 that our SNIbc and SNIa are on average fainter than the absolute magnitude given by Richardson et al. (2002). This is probably because no extinction corrections are applied to the Asiago values, which also correspond to discovery magnitudes that may differ from peak magnitudes (the effect is less important for SN II-P, which are of about constant magnitude for a longer time than Ia or Ibc, making peak and discovery magnitudes closer to each other).
Because the Asiago catalogue is quite inhomogeneous and in view of the
aforementioned magnitudes limits, we checked the
robustness of our results by performing our analysis for samples
defined in slightly different ways. In particular, we adopted a more
conservative approach, defining a sample with
km s-1.
This sample should be less affected by any residual bias but suffers
from lower statistics.
We also checked that older SN could be misclassified by performing our
analysis when considering only events that occurred during and after
the year 2000 with the disadvantage of a smaller number of events and
larger error-bars. This affects mostly the trend found for
N(Ia)/N(CC) as we discuss in Sects. 3.2, 4.1, and 4.2.
Table 1: Size of the samples and ratios.
Richardson et al. (2002) note that about 20% of SN may be sub-luminous (with large uncertainties in this number). If the same fractions apply to all subtypes, our results, of course, would be unchanged. However, we should not consider that results are very robust whenever the obtained trends could be ascribed to a variation in the number of a subtype by this amount.
Another possible source of bias in SN host studies is the Shaw
(1979) effect, i.e., the difficulty in detecting SN in the inner
parts of distant galaxies, especially in photographic plates searches.
This effect depends on the SN search programs (and is thus hard to
quantify for the Asiago catalogue), although van den Bergh (1997)
considers that it can be neglected for
.
Our conservative sample (
km s-1) should thus be
relatively unaffected. Cappellaro et al. (1993) state that within the same
velocity limit (
km s-1), 18% of all SNe are lost in
the Asiago/Crimea searches in the overexposure of the central area of
galaxies. If all of the SN lost are of a single type, the maximum error
caused by this effect on a ratio is thus 18% in the
km s-1 sample. Cappellaro et al. (1993) measure 23% of lost SN for
km s-1 and 35% for their entire sample.
These numbers are based on the SN missed in photographic
searches, assuming CCD/Visual surveys do not miss any of the SN in
the central regions. Thus, they could underestimate the true effect.
However, we can assume that they provide an estimate of the
uncertainty in the ratios (especially those derived from the SN
radius) caused by the Shaw (1979) effect.
A trend is considered robust if it creates a
gradient larger than this uncertainty.
In the bottom panel of Fig. 1, we show the N(Ibc)/N(II),
N(Ib)/N(Ic), and N(Ia)/N(CC) ratios within the volume defined by
.
The intersection with the vertical lines at 5000 (2000) km s-1 corresponds to the number indicated in Table 1 for our adopted sample (and
the ``conservative'' sample).
We note that the N(Ibc)/N(II) and N(Ib)/N(Ic)
ratios do not depend significantly on the velocity limit adopted. This
confirms that we do not miss a large fraction of SNII versus SNIbc (and
SNIb versus SNIc) within our samples
;
this may not be so surprising as the average absolute magnitudes
differ by relatively small amounts of
versus
,
and
versus
.
The ratios
N(Ib)/N(Ic), and N(Ibc)/N(II) are thus quite robust, at least in
the local universe
.
In contrast, the N(Ia)/N(CC) ratio increases continuously when
including more distant SN (i.e., going from
km s-1 to
km s-1). Although the limitation
km s-1 should still allow us to derive meaningful results, we note that
this ratio does depend on the limit adopted and should thus be
considered relatively uncertain.
Adopting
km s-1, the catalogue provides
1038 SN, of which 701 occur in star forming galaxies (spirals
and irregulars) with at least the host galaxy
magnitude known. The sample that we use to study the core-collapse ratios is
then a factor 2.5 larger than the 280 CCSN used in PB03. The distribution
of SN types in this sample is given in Table 1.
The SN ratios that we obtain for the different SN types of our sample
are consistent with published values: the ratio of SNIbc to SNII
supernovae in our sample is N(Ibc)/N(II) =
,
similar to
0.27 in PB03;
in Bressan et al. (2002); 0.33 in Hamuy
(2002); 0.41 in Smartt et al. (2009); and 0.3, 0.16, and 0.31 for respectively
S0a/b, Sbc/d and Irr galaxies in Mannucci et al. (2005). The ratio of
thermonuclear to core collapse SN in that sample is
N(Ia)/N(CC) =
,
and the same ratio is obtained from the
local universe supernovae sample (Smartt et al. 2009). Using the
rates from Mannucci et al. (2005), we obtain for that ratio the values
0.41, 0.19, and 0.34 in S0a/b, Sbc/d, and Irr galaxies, respectively;
the corresponding uncertainties, however, are very large, due to small
statistics. Our result for N(Ic)/N(Ib) =
is consistent
with the one obtained from the local universe sample of Smartt et al.
(2009): N(Ic)/N(Ib) = 2 considering the small statistics (27 SN) in
their sample for this ratio (compensated however by a careful
checking of the data for every SN used in their work).
![]() |
Figure 2:
From top to bottom: number ratios of
N(Ibc)/N(II), N(Ic)/N(Ib), and N(Ia)/N(CC), as function of
galaxian blue magnitude MB for the conservative
|
| Open with DEXTER | |
3 Dependence of SN type ratios on global galaxy properties
Using a sample of 280 CCSN from an earlier version of the Asiago
catalogue, PB03 found that the N(Ibc)/N(II) ratio has an average
value of
0.30, whereas it increases with host galaxy magnitude.
They interpreted the latter as an effect of the global galaxian
metallicity (increasing with galaxian luminosity) on the masses of the
precursors of the CCSN sub-types: as metallicity increases, the
stellar enveloppe is more easily lost and lower mass stars may become
SNIbc, increasing thus the N(Ibc)/N(II) ratio.
Assuming that all CCSN are produced by single stars, and that the
physical reason for a star to explode as a SNIc, SNIb, or SNII is only
its initial mass (see the discussion in Sect. 5 for other
possibilities), the N(Ibc)/N(II) ratio
is expressed as
where
i.e., the N(Ibc)/N(II) ratio is a function of the slope of the IMF and of
3.1 The N(Ibc)/N(II) and N(Ic)/N(Ib) ratios
We first repeat the analysis as PB03 for the ratios of
CCSN subtypes with our larger sample. In Fig. 2, the top panels show
the N(Ibc)/N(II) ratio versus MB. Four bins in MB with
100
CCSN in each one are constructed and the corresponding MB value is
taken as the median value of MB in each bin.
In the insert panel, it is evident that in bins of constant CCSN
numbers, N(Ibc) increases for brighter galaxies (and N(II) decreases
by the same amount),
causing the N(Ibc)/N(II) ratio to increase with galaxian luminosity.
The resulting N(Ibc)/N(II) versus MB relation is quite similar to the
one obtained in PB03 (dotted curve), with smaller vertical error
bars, reflecting the larger size of the new sample.
We thus confirm the detection of PB03 of a correlation between the N(Ibc)/N(II)
ratio and global galaxian metallicity, which is also supported
by the study of Prieto et al. (2008).
The only limitation of this conclusion is obtained with the
conservative sample for which the relation is rather flat. The main
difference come from the bin corresponding to the brightest galaxies
showing low values with respect to the
km s-1 sample and
the PB03 fit (error bars are however rather large).
We return to the
interpretation of that result in Sect. 5, after presenting in Sect. 4
the results of our study concerning that same ratio as a function of
local metallicity.
The N(Ic)/N(Ib) ratio (middle panel of Fig. 2) has considerably
larger uncertainties than the N(Ibc)/N(II) ratio, because of poorer
number statistics. Indeed, each one of the four bins contains
8 SNIb
and
12 Ic (insert in middle panel), for an average ratio of
N(Ic)/N(Ib)
1.6 That ratio shows no clear variation with MB.
At first sight, this appears to indicate an opposite situation to the
case of the N(Ibc)/N(II) ratio. We shall see, however, in Sect. 4,
that the situation is different when N(Ic)/N(Ib) is expressed as a
function of local metallicity. This ``puzzling'' behaviour is
discussed further in Sect. 4 and attributed to small number statistics.
3.2 The N(Ia)/N(CC) ratio
We extend our study to the N(Ia)/N(CC) ratio as a
function of host galaxy MB. As can be seen in the bottom panels of
Fig. 2, there is also a clear trend in that case, such that brighter
galaxies hosts proportionally more SNIa than CCSN. To our knowledge,
this is the first time that this correlation has been detected. In
view of the numbers of SN involved (see insert panel), we propose that
this result is robust, in contrast to the case for N(Ic)/N(Ib).
We note that we identify this correlation for the conservative
limit
km s-1 (right panel), although its slope decreases
in that case. On the other hand, taking only recent SN
from the sample (trying to avoid misclassifications), the correlation
becomes steeper. The dependence of N(Ia)/N(CC) on the magnitude is thus
relatively uncertain in terms of absolute value; however since we do
find a correlation with magnitude in every one of our tests, we conclude
that it is real.
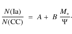
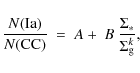
This result can be translated in terms of metallicity, larger N(Ia)/N(CC) ratios being found in more metal-rich galaxies. We see indeed in Sect. 4 that this result also holds when the local metallicity is considered. However, we understand that, in contrast to the previous case, there is no causal relationship here, i.e., metallicity does not in any way affect the N(Ia)/N(CC) ratio. Instead, it is the mass of the host galaxy that affects this ratio, in a way that can most easily be seen as follows.
The CCSN rate of a galaxy is proportional to the star formation rate ![]()
| (3) |
The SNIa rate is more difficult to evaluate, since thermonuclear supernovae may result from stars of all ages, not just the young ones. Scannapieco & Bildsten (2005) introduced a useful parametrization, describing the SNIa rate as a sum of two terms, one depending on the current star formation rate and the other on the total stellar mass M* (i.e., the time integrated star formation rate). That parametrization (adopted by e.g., Sullivan et al. 2006; Aubourg et al. 2008) reproduces most available data satisfactorily and we adopt it here
| (4) |
where
![]() |
(5) |
It is well known that larger galaxies have, on average, lower specific star formation rates
4 Dependence of SN type ratios on local galaxy properties
![]() |
Figure 3: Same thing as in Fig. 2, but this time as a function of galactocentric radius, expressed in units of R25. |
| Open with DEXTER | |
PB03 used the absolute magnitude of the host galaxy as a proxy for its global metallicity, based on the well established magnitude-metallicity relationship. However, disk galaxies are known to exhibit metallicity gradients (e.g., Henry & Worthey 1999; Zaritsky et al. 1994; van Zee et al. 1998). If metallicity indeed affects the ratios of SN types, a radial effect should also be found. Hakobyan (2008) demonstrated that the radial distributions of SNIbc and SNII differ, more SNIbc being found at smaller radii than SNII (also using a sample extracted from the Asiago catalogue, but with a different selection from ours), A similar analysis was completed by van den Bergh (1997), for a smaller sample of 156 SN.
4.1 Dependence on galactocentric distance
We investigate whether this radial effect is seen in
our sample, using the supernovae for which we can compute a
galactocentric radius. This is possible when the catalogue provides
the offset of the SN, the position angle, and inclination of the host
galaxy, as well as its R25 radius, which is needed to normalize
the results. From these parameters, we can compute the distance between
the SN position and the center of the galaxy, within its plane, that
we refer to as the galactocentric radius of the SN. We note that we
deproject the minor axis by simply dividing its value by
),
and we do not consider galaxies that are almost edge-on (inclination
larger than 80 degrees). These restrictions reduce the size of the
usable sample for this part of the study, but only moderately
(see Table 1) allowing us to work with reliable number statistics.
Figure 3 displays the same ratios as Fig. 2, this time as a function of galactocentric radius. In the case of N(Ibc)/N(II), a clear trend is observed. SNIbc are found at smaller normalised radius than SNII, in agreement with Hakobyan (2008). van den Bergh (1997) suggested from his small sample that SN Ibc are more centrally concentrated in their host galaxy than SNII. As mentioned in Sect. 2, the Shaw (1979) effect should be lower than 35%, but the difference between the inner and outer bins is much larger (about a factor 2.5). Adopting the conservative sample (right panel), the Shaw (1979) effect should be even smaller, and we still find a trend (which is even stronger: slope of -0.85 instead of -0.71). Thus, we believe that this trend is unaffected by this source of bias. The easiest way to interpret this observation is in term of metallicities: higher metallicities are found in the inner parts of galaxies, leading to a lower limiting mass for type Ibc supernovae. We quantify this effect in Sect. 5.2 in terms of local metallicities, showing that it is consistent with what we obtained in Sect. 4 by using global metallicities.
The clear trend obtained in the case of N(Ic)/N(Ib) (middle panels
in Fig. 3) is rather surprising, in view of the results of Sect. 2:
N(Ic)/N(Ib) apparently increases with decreasing galactocentric
radius (i.e., with increasing metallicity), while no variation with
MB is seen in Fig. 2.
We note that with a difference between inner and outer bins of a
factor about 5, here again, we cannot attribute the observed trend to
the Shaw (1979) effect (if we adopt the conservative sample, we do
not have any SN Ib in the innermost bin, but the trend in the three
other bins is stronger).
We attribute this striking difference in the trend with magnitude
and radius to the small number statistics involved in the evaluation
of that ratio. As emphasized at in the beginning of Sect. 4, the assumption
of stationarity is crucial to the evaluation of the various SN ratios,
and is naturally fullfilled if large numbers of SN are
involved. In this case, the formation times of the SN progenitors of
all types span the entire range of the progenitor lifetimes (
);
an average
can then be used, allowing one to pass from Eq. (1)
to Eq. (2). However, in the case of small numbers of SN the situation
is different: if a few starbursts occurred recently (less than a few
Myr ago), only the most massive of their stars have had time to explode up
to now, favouring SNIc (presumably resulting from more massive stars)
over SNIb (and, for the same reasons, SNIbc over SNII). In that case,
the term
in Eq. (1) does not cancel out with the
corresponding term in the denominator and may mask the effect of any
metallicity dependence of
(the dividing mass between SN
exploding as Ibc or II) or of
(the dividing mass between SN
exploding as Ib or Ic). We shall see in the next section that the
radial trend of N(Ic)/N(Ib) found here translates directly into a
local metallicity trend, but because of low number statistics it is
impossible to draw meaningful conclusions.
Finally, the bottom panels of Fig. 3 displays the ratio of
thermonuclear to core collapse supernovae N(Ia)/N(CC). The ratio
appears to increase in the inner galaxian zones.
The trend is relatively weak: for the slope and uncertainty in the
figure, a Student's t-test indicates a
20% probability of the
null hypothesis that there is no dependence of N(Ia)/N(CC) on the
radius. Similar results are obtained for the conservative sample
(
km s-1).
Another worrying issue is that inner and outer bins are different only
by a factor
1.4. This is still larger than the typical
uncertainties due to the Shaw (1979) effect or underluminous SN,
but, in combination with the large statistical error bars, it makes
this trend less robust in terms of the uncertainties than the other
ones presented in the figure.
Interestingly, if we keep only SN that exploded during or after the
year 2000, avoiding possible misclassifications for older SN, we find
a steeper trend with radius (slope
,
reducing the
probability for the null hypothesis to less than 1%). In summary,
although the trend in Fig. 3 is not very strong, it is reasonable to
believe that it is real because it persists when the size sample is reduced
by various criteria in attempting to improve the quality of our results.
It is reassuring that this trend is also expected
on the basis of the analysis made in Sect. 3.2. Indeed, the gaseous
profiles of disk galaxies vary little with galactocentric radius,
while the stellar ones vary much more (for instance, in the case of the
Milky Way disk the scalelength of the stellar profile is
2.5 kpc, while the one of the gas
8 kpc; see e.g., Boissier & Prantzos (1999)
for observed stellar and gaseous profiles of the MW
disk). This implies that the term
in Eq. (5) is expected to
increase in the inner galaxian zones and so will do the corresponding
N(Ia)/N(CC) ratio. We develop this argument further analytically in
Sect. 5.3 and illustrate it with a numerical example for the case
of the Milky Way disk. We shall see in the next section that this
radial trend is also expressed in terms of local metallicity; however,
as already argued in Sect. 2, metallicity is not the root cause of
that effect.
4.2 Dependence on local metallicity
To probe the metallicity dependence of SN types, one may use direct or indirect methods to determine metallicity. Direct measurements of abundances of host galaxies of supernovae are possible only for moderately large samples of SN (e.g., 254 galaxies from the SDSS in Prieto et al. 2008) and these are integrated abundances over the entire galaxy, not at the supernova position. The Measurement of local metallicities, i.e., in HII regions at the immediate vicinity of the supernova, would be ideal but it would require an enormous observational effort before reasonable statistics can be obtained. Determinations of local metallicities from spectroscopy of neighboring HII regions do exist (Smartt et al. 2009; Modjaz et al. 2008) but only for a relatively small number of events, not allowing the statistical study of the various trends explored in this work.
In PB03, we used an indirect way, i.e., the well-known mass-metallicity relationship to evaluate the metallicity of the host galaxies (of late type) of CCSN. In this work, we use known relationships among disk galaxies to derive again in an indirect (and approximate) way the local metallicity of galaxies at the galactocentric radius of the supernovae of our sample.
It is known that the abundance
gradient in nearby disk galaxies has a universal value when expressed
in dex/R25 (e.g., Henry & Worthey 1999) of dlog(O/H)/d
dex/R25.
With detailed semi-analytical models of disk galaxy evolution,
Prantzos & Boissier (2000) showed that this universality can indeed be
reproduced, thus confirming an earlier suggestion of Garnett et al. (1997)
about ``homologuous'' disk evolution. Combining this empirical fact
with the observed luminosity-metallicity relation,
it is possible to deduce the metallicity at the vicinity of the SN from
the luminosity of the host galaxy and the galactocentric radius of the SN,
which was evaluated in Sect. 4.1.
![]() |
Figure 4: Top: metallicity (oxygen) gradient per R25 as a function of absolute magnitude MB. Bottom: characteristic metallicity (at 0.4 R25) as a function of MB. Data in both panels are from Zaritsky et al. (1994) (squares) and van Zee et al. (1998) (triangles). r is the correlation coefficient, and the solid line indicates in each case the best linear least squares fit (the parameters of the line are given in each panel). In the top panel, the gradients derived by Bresolin et al. (2004) and Bresolin (2007) for M 51 and M 101 are overplotted. In the bottom panel, dashed and dotted lines indicate, respectively the empirical relations obtained by Tremonti et al. (2004) and Garnett (2002) using respectively global metallicities (measured on the integrated galaxy) and metallicities at the effective (half-light) radius. The latter was used as a proxy for the global metallicity in PB03. We apply the same approach in this paper for the global metallicity. |
| Open with DEXTER | |
![]() |
Figure 5: Metallicities of the various SN types of our sample, as a function of their position (expressed in R/R25) inside their host galaxy. Metallicities are derived from the SN position in and the magnitude of the host galaxy, according to the procedure described in Sect. 5.2 and Eq. (6). The color/type coding is completed according to the absolute magnitude of the SN with respect to the three quartiles Q1, Q2, and Q3 indicated in each panel. |
| Open with DEXTER | |
For our purpose, we use the data of two studies of abundance gradients with relatively large samples of nearby galaxies: Zaritsky et al. (1994) and van Zee et al. (1998). We show in Fig. 4 (top) the abundance gradients in dex/R25, which display little variation (if any at all) with absolute magnitude. In the bottom panel of Fig. 4, we display the abundance measured at 0.4 R25 as a function of the absolute Bband magnitude MB (the metallicity-luminosity relation). Each panel features the linear least squares fit to these relationships (solid lines) that we adopt in this work to compute the local metallicity. The dashed and dotted lines in the bottom panel of Fig. 4 indicate the metallicity-luminosity relations of Tremonti et al. (2004) and Garnett (2002). The first one was obtained from integrated galaxy spectra of the Sloan Digital Sky Survey. The second one displays the metallicity at the effective (half-light) radius and was used in PB03 to estimate the metallicity in SN hosts without knowing the galactocentric distance of the SN. In this paper, for consistency, we still use it to estimate the global metallicity. Despite using different definitions of the ``characterisitic'' abundance, the aforementioned relationships are very close to each other, and our results would be marginally affected by the use of either of them.
Assuming that the two empirical relations (i.e., the solid lines in the
top and bottom panels) are valid for all galaxies in our sample,
we can compute the metallicity profile (in terms of R/R25) of
each galaxy from its luminosity. We can then easily evaluate the local
metallicity at the galactocentric radius of the supernova. Using the
numerical values of Fig. 4 (i.e the fits appearing in each panel), we
obtain
| = | |||
![]() |
(6) |
We note that, although the abundance gradient has an almost universal value in dex/R25, our fit indicates a slight trend with MB, which is expressed by the last term (dependence on MB) in the derived expression. We retain this term for consistency, but it is clear that, in view of its small magnitude, it has no influence on the results.
![]() |
Figure 6:
Symbols with solid errror bars: number ratios of
SNIbc/SNII as a function
of global galaxian metallicity ( top, obtained from the
magnitude-metallicity relation of Fig. 4) and of local metallicity
( bottom, obtained from Eq. (6)), for the conservative
|
| Open with DEXTER | |
![]() |
Figure 7:
Symbols with solid errror bars: number ratios of
SNIc/SNIb as a function of global galaxian metallicity ( top, obtained from the
magnitude-metallicity relation of Fig. 4) and of local metallicity
( bottom, obtained from Eq. (6)), for the conservative
|
| Open with DEXTER | |
The resulting local metallicities O/H(R) as a function of normalized galactocentric radius R/R25 are given in Fig. 5 for all the SN of our sample: the upper panels displays the results for CCSN and SNIa, the middle panels SNII and SNIbc, and the bottom panels SNIb and SNIc. In all cases, the metallicity gradient is the same, but the absolute value of the metallicity at each normalized radius depends on the corresponding host galaxy magnitude. It is the first time that this technique has been used to derive the local metallicities of SN progenitors. These results obviously depend on how accurately the adopted average relationships (metallicity-luminosity and gradient-luminosity) apply to each galaxy of our sample.
After deriving the metallicities at the position of each supernovae in this way, we then compute the corresponding ratios as a function of the local metallicity. In Figs. 6 and 7, we present the results for the ratios N(Ibc)/N(II) and N(Ic)/N(Ib) respectively as a function of global metallicity (top, after the results of Sect. 4.1 and the magnitude-metallicity relationship) and of local metallicity (bottom).
Before discussing these results, we note that we created the same figure adopting different abundance gradients. In the past few years, several studies have mentioned the possible errors in abundances obtained from strong lines as in Zaritsky et al. (1994) or van Zee et al. (1998). Bresolin et al. (2004) and Bresolin (2007) performed a more detailed analysis of the gradients in M 51 and M 101. They found flatter gradients than in previous studies for the same galaxies, although their gradients are within the dispersion of those in Fig. 4. We performed the same analysis as described above but adopting the two values for M 51 and M 101 rather than our fit, but found that our results were unchanged qualitatively. The only difference is that flatter gradients cause the trend with metallicity to become steeper and vice versa.
In the case of N(Ibc)/N(II), the results of the
km s-1 as a function of global metallicity are consistent with
those obtained in both PB03 (dotted curve) and Prieto et al.
(2008, vertical dotted error bars). We note the relatively good
statistics, due to the size of our sample (see insert). The
corresponding ratios as a function of local metallicity (bottom panel)
are quite consistent with those obtained for global metallicity and
the statistics is almost equivalent.
Looking at the
km s-1 sample, we note that
the trend with global metallicity is consistent with the absence of
relationship. However, this is strongly dependent on the higher metallicity
bin (the three other data points remain indeed within 1
of the PB03
fit). We think that low number statistics are partly responsible for this
difference. The relation with local metallicity however (which should
be a more reliable estimator of the true progenitor metallicity) is
totally consistent with the one obtained with the
km s-1 sample.
We conclude that the trend between N(Ibc)/N(II) and metallicity,
first identified in PB03, is firmly established
as long as the two types Ibc and II are unbiased as a function of
R/R25. The discussion in Sect. 4.1 suggests that this is the
case. In Fig. 5, the symbol/color coding
according to the SN magnitudes also shows that SN in the inner galactic
regions are apparently not biased towards the brighter ones.
The case of N(Ic)/N(Ib) is much less clear. Results show no trend
with global metallicity (as expected from Sect. 3.1) but they do show
a trend as a function of local metallicity (as expected from Sect. 4.1), even if the slope and its intersect are poorly constrained
(see the error bars and the difference between the two samples shown
in Fig. 7).
Because of the smaller samples (see inserts), statistics is poorer in
that case, as reflected in the large error bars. The arguments
developped in Sect. 4.1 suggest that such a conflicting situation can
indeed occur: Eq. (2) does not apply and Eq. (1) (which always applies)
can produce ambiguous results, depending on the ages of the few
starbursts involved. It is then impossible to draw any conclusions
about the dependence of this ratio on metallicity; a substantially
larger sample is required for that.
![]() |
Figure 8:
Number ratio of SNIa/CCSN as a function of global
(top) and local ( bottom) galaxian metallicity. Data are
displayed ( left panels) for our two samples adopting various
maximal heliocentric velocities
|
| Open with DEXTER | |
Finally, our results for the SNIa/CCSN ratio are plotted in
Fig. 8 as
a function of global (top) and local (bottom) metallicities. Results
are plotted for the two samples with values of the maximal
heliocentric velocities of the host galaxies
,
and 5000 km s-1. The left and right panels show the results using respectively
all the SN and only the recent ones. It is clearly seen that:
- i)
- For global metallicities, the slope of the relation differs between the
two samples defined by different maximal velocities by quite a large
amount. This reflects the differences mentioned in Sect. 3.2 in the
N(Ia)/N(CC) ratio as a function of the magnitude.
We note that if we restrict ourselves to recent SN (right part of Fig. 8), the data from the 2 samples (
,
and 5000 km s-1) agree to
within their respective error bars with each other (the error bars are however
large). This suggests that misclassifications do play a role in our
N(Ia)/N(CC) ratio and the slope of the relation is quite uncertain.
However, in any cases, we do find a correlation.
- ii)
- The same tendency is obtained for local metallicities. We note
that, although the number of SNIa in each bin is rather small (see
inserts for the case of
km s-1) the lifetimes of the
progenitors of SNIa are quite long, in general, and thus we have not
the problem described in the previous paragraphs for the SNIc/SNIb
ratio (the more so, since the numbers of CCSN in each bin are quite
substantial). Here again, very similar trends are obtained when we restrict
ourselves to recent SN (even if large statistical error bars make the
slope less significant, especially for the
km s-1sample). The variation in the ratio across the entire range of
metallicity is larger than the uncertainties (mentioned in Sect. 2)
due to the Shaw (1979) effect, or the presence of sub-luminous SN.
We conclude then that the trend of increasing SNIa/CCSN ratio
with metallicity is likely to be real, although the relation between
the SNIa/CCSN ratio and metallicity still carries large
uncertainties.
5 Discussion
5.1 The N(Ibc)/N(II) ratio
The variation in the N(Ibc)/N(II) ratio with metallicity has been quite well established (PB03; Prieto et al. 2008, and this work). It has been equally well established that non-rotating single star models can reproduce neither the observed trend nor the average value of that ratio. This is clearly seen in Fig. 9, where we plot the results of Eldridge et al. (2008) (long dashed curve).
As suggested in PB03, single star models with rotation are in this respect promissing. In Fig. 9, we present the results of these models from the Geneva group (Maeder & Meynet 2004, dot-dashed curve; Meynet et al. 2008, dotted curve). They are both obtained for a power-law IMF of slope x=-1.35. Their behaviour is compatible with observational data, especially if observational error bars are taken into account.
An even more robust fit to the data is obtained by the binary star models of Eldridge et al. (2008). This result is surprising, since it is not a priori obvious how metallicity can affect to such extent the evolution of stars in binaries. Eldridge et al. (2008) argue that most of the hydrogen envelope is removed by binary interaction in the case of close binary systems, and that metallicity-dependent stellar winds remove the remainder.
In view of those results, it appears difficult to decide whether stellar rotation or binary evolution produces the observed trend. Theoretical uncertainties are quite important in both cases (but certainly more so in the case of binary evolution), making it premature to draw firm conclusions. It may well be that both factors contribute to the observed trend.
Stellar models predict the metallicity dependence of
,
the
minimum mass for a single star to lose its hydrogen envelope. Using
a stellar MF allows one to calculate the resulting
N(Ibc)/N(II) ratio versus metallicity, as e.g., in Fig. 9.
Inversely,
observed N(Ibc)/N(II) ratio versus metallicity can be used to infer
versus metallicity. This was done for the first time in PB03,
who predicted the metallicity dependence of
on the basis of
then available data for N(Ibc)/N(II) versus metallicity. In Fig. 10,
we present the result of both PB03 (thin solid curve) and our new
evaluation (thick solid curve) for a slope x=-1.35 of the IMF. The two
curves are close to each other and not very different from the
theoretical predictions of Meynet et al. (2008, dotted curve)
at low metallicities. We note that to compare the results of
Meynet et al. (2008), expressed as a function of Z/
,
to our own,
expressed as a function of O/H, we assume that the solar
oxygen abundance is log(O/H)
+ 12=8.8; this value is close to
that determined for the Sun log(O/H)
+
by Caffau et al. (2008). At high
metallicities observationally determined
is systematically
lower than the predictions of Meynet et al. (2008) but by only a
couple of solar masses. We Note that the theoretical predictions of
are independent of the IMF, while the empirical
determinations do depend on it: a steeper IMF would produce a
versus metallicity curve lower by a few solar masses than the
one shown in Fig. 10.
In contrast, the
theoretical N(Ibc)/N(II) ratio
versus metallicity does depend on the IMF: a steeper IMF would produce
N(Ibc)/N(II) ratios lower than depicted in Fig. 9.
Given the various uncertainties, our estimates of the minimum mass of
SNIbc at solar metallicity are in fairly good agreement with empirical
estimates for the minimum mass of WN stars in the Milky Way, which
lies in the 20-25
range
(Massey et al. 2001; Massey 2003; Crowther 2007).
![]() |
Figure 9: Number ratio of SNIbc/SNII as a function of local galaxian metallicity and comparison to single star rotating models of Maeder & Meynet (2004, MM04, dot-dashed) and of Meynet et al. (2008, M08, dotted), single non-rotating stellar models of Eldridge et al. (2008, EIT08, long dashed) and binary non-rotating stellar models of Eldridge et al. (2008, EIT08, short dashed). |
| Open with DEXTER | |
![]() |
Figure 10:
Minimum mass for single stars becoming SNIb or SNIc as a
function of metallicity, according to theoretical and empirical
evaluations. The two horizontal lines are from Arbutina
(2007), based on measured global SNIbc/CCSN and SNIc/SNIb ratios.
The three lower curves are for
|
| Open with DEXTER | |
5.2 The N(Ic)/N(Ib) ratio
In the case of the N(Ic)/N(Ib) ratio, the observational situation is
not at present clear, since different trends are obtained as a
function of global and local metallicity; we argued in the previous
section that small number statistics are at the origin of this
dichotomy. One may only determine a global value of
N(Ic)/N(Ib)
1.6, i.e., there are about 50% more SNIc than SNIb.
Fryer et al. (2007) find that this high ratio is `` ... against
intuition in the single star case and it may be a further argument in
favor of binary origin for SNIc''. However, a simple evaluation of
the limiting masses on the basis of global observations and for a
Salpeter IMF with slope x=-1.35 gives
and
(Arbutina 2007), i.e. it is easy to obtain the
observed ratio if it is assumed that SNIb originate in stars of a limited
range of masses (between 24 and 31
,
with more massive stars
exploding as SNIc).
From the theoretical point of view, there is a dearth of predictions for N(Ic)/N(Ib) even for the single star case. It is generally assumed that SNIc originate from more massive stars than SNIb. However, there is no agreement on the amount of He left in the envelope for a star to explode as SNIc. Moreover, although it is generally agreed that the most massive stars end up in black holes, it is not clear what happens when a black hole is formed: is a bright emission of radiation still obtained, or is the explosion underluminous or does it even fail (see e.g. Fryer et al. 2007, and references therein)? In the last case, the upper part of the IMF would not contribute to SNIc and the N(Ic)/N(Ib) ratio could be small.
We present in Fig. 10 for illustration purposes three curves for the
mass limit
as a function of metallicity, on the basis of
various assumptions about the true observational trend. We assume
that the stellar IMF extends up to 100
and that the results of
this work for
(thick solid curve in Fig. 10) are
correct. The slope of the IMF plays little role in the resulting
and we consider here only the case of x=-1.35 (Salpeter
slope). We proceed by considering three possible cases for the
variation in N(Ic)/N(Ib) ratio with metallicity, on the basis of the
results presented in Fig. 7:
- i)
- N(Ic)/N(Ib) = const. = 1.6 (upper left panel in Fig. 7). This
leads to the lowest of the three curves for
in Fig. 10 ( short-dashed curve): the curve runs almost parallel to the one for
,
at a ``distance'' of a 6-10
,
i.e., SNIb are produced only
for a limited range of stellar masses from 45 to 55
at
the lowest metallicities and from 20 to 26
at the highest
metallicities.
- ii)
- N(Ic)/N(Ib) = Z/
at all metallicities (lower left panel of
Fig. 7, trend extrapolated to lower than solar metallicities). In that
case, we obtain the highest lying curve in Fig. 10 (long-dashed).
At low metallicities, the ratio is low and the limiting mass
is as high as 75
,
while at high metallicities we recover the
results of the previous case.
- iii)
- N(Ic)/N(Ib) = Z/
at Z >
and N(Ic)/N(Ib) = 1 for
Z <
.
This case leads to a curve intermediate between the two
previous ones (dot-dashed in Fig. 10).
![]() |
Figure 11: Illustration of the variation in SNIa/CCSN ratio as a function of metallicity, with a realistic model of galactic evolution (from Boissier & Prantzos 1999). Top left: rates of CCSN ( solid) and SNIa ( solid: model, dotted: analytical) and gas fraction ( dashed) as a function of galactocentric radius. Bottom left: SNIa/CCSN ratio ( solid: model, dotted: analytical) and metallicity profile ( dashed, right vertical axis). Top right: SNIa/CCSN ratio ( solid: model, dotted: analytical) and metallicity ( dashed, right vertical axis). Bottom right: SNIa/CCSN ratio ( solid: model, dotted: analytical) as a function of metallicity; comparison is made to the data for local metallicity of Fig. 8 ( bottom-left). |
| Open with DEXTER | |
5.3 The N(Ia)/N(CC) ratio
In Sect. 3.2 we provide an explanation of the observed variation in
N(Ia)/N(CC) ratio with global metallicity. Here we provide a
similar argument for the observed variation in the N(Ia)/N(CC) ratio
with local metallicity. For a star-forming galactic
disk, Eq. (5) can be rewritten in terms of the local surface densities
of stars
and star formation rate
,
where
is the gas surface density at
galactocentric distance R and k=1.4 is the coefficient in the
Kennicutt (1998) empirical ``star formation law'', as
![]() |
(7) |
where all variables depend on radial distance R. Stellar profiles in galactic disks are usually fitted with exponentials of scalelength R*, i.e.,
![]() |
(8) |
where C is a new constant. For reasonable values of k (<2), it can clearly be seen that, Eq. (8) is a decreasing function of radius R. Thus, in galactic disks the N(Ia)/N(CC) ratio is expected to increase towards the inner galaxy, i.e., to be correlated with metallicity, as observed.
We illustrate this behaviour in Fig. 11, where we plot the relevant quantities for the case of the Milky Way disk. All curves are obtained from an updated successful model of the Galactic disk (from Boissier & Prantzos 1999). For the SNIa rate, the formalism by Greggio & Renzini (1983) is adopted in the model and the corresponding results are displayed with solid curves in all panels. We also apply the simple analytic expression of Eq. (8) and the corresponding results are plotted with dotted curves. Figure 11 displays the present-day (T=12.5 Gyr) radial profiles of CCSN, SNIa, and gas fraction (top left panels), the profiles of N(Ia)/N(CC) ratio and oxygen (bottom left panels), and shows clearly that both N(Ia)/N(CC) and metallicity increase at lower gas fractions, i.e., in the inner disk (top right panel). Finally, in the bottom right panel we show that the resulting N(Ia)/N(CC) versus metallicity relation compares favorably with the data of Fig. 8; the analytical prescription for the SNIa rate leads to a more steeply rising N(Ia)/N(CC) ratio with metallicity than the prescription of Greggio & Renzini (1983), but in both cases the agreement with observations is satisfactory. Obviously, an increase in the observational sample of SN will allow us in the future to reduce the size of the error bars and to constrain prescriptions for the SNIa rate.
6 Summary
We have derived relationships between the ratios of various SN types and metallicity of host galaxies. For that purpose, we have determined either global metallicities (reflecting the composition at radius R=0.4 R25) or local ones, i.e., at the position of the SN inside the host galaxy. In the former case, we used the well known metallicity-magnitude relationship, a technique applied already in PB03 (albeit with a smaller SN sample). In the latter case, we assumed that galaxian metallicity gradients are approximately constant when expressed in dex/R25; this method is applied for the first time, to our knowledge, to the determination of local metallicities in disks and appears to be quite promising. We performed a number of tests, defining several samples and using different values for the abundance gradients, to ensure that the observed trends were not biased.
We find that N(Ibc)/N(II) ratio increases with both global galaxy
metallicity (as already found in PB03 and in Prieto et al. 2008) and
local one. Our study reduces the size of the error bars of previous
works considerably. We now consider this result to be established. The variation in
N(Ibc)/N(II) with metallicity is larger than the changes that could
cause any biases we can think of, and the trend is consistently
obtained for almost all our samples, e.g., with various
assumptions or limits on
,
with the exception of the
km s-1 sample in which the ratio for the higher global metallicity bin is lower than expected for such a trend.
We have discussed the results in terms of either single star models with rotation or
binary evolution models. In view of observational and theoretical
uncertainties, which are certainly larger for binary evolution than
for single stars, we find it difficult to chose between the
two possibilities. Assuming that only single stars produce SNIbc, we
derive the empirical
versus metallicity relation and find
it to be compatible with the one obtained with the latest models of
the Geneva group (Meynet et al. 2008).
We study the N(Ic)/N(Ib) ratio and we find it consistent with being
constant with global metallicity but increasing with local metallicity. We
attribute this difference to small number statistics and we believe
that larger SN samples in the future will allow us to distinguish between
the two possibilities. Nevertheless, we derive the empirical
relation assuming again that only single stars
produce SNIb and SNIc. We find that this assumption leads to
SNIb being produced within a relatively limited range of stellar
masses, as found in rotating star models of Meynet et al. (2008). We
show that the single star channel can justify N(Ic)/N(Ib) ratios as
high as 2 and we disagree in this respect with Fryer et al. (2007) in their claim that
such a high ratio favours a
binary formation channel for SNIc.
Finally, for the first time, we find an unexpected correlation between
the ratio N(Ia)/N(CC) and metallicity, both globally and locally.
Although the precise values of the slope and intersect may be affected by the existing
large uncertainties (various samples provide different results), the
trend is statistically secure (the null hypothesis has a probability
of only 7% using local metallicity and the conservative
km s-1 sample).
We argue that this is not a causal relationship, in contrast to the
previous cases; instead, both N(Ia)/N(CC) and metallicity are higher
in regions of lower gas fractions (or lower specific star formation
rates). We develop this argument analytically and we illustrate it
with a quantitative application to the case of the Milky Way disk.
Comparing this situation to that only
6 years ago, we find that the
increase in the SN sample size since PB03, and the use of local
metallicities rather than global ones has allowed us to establish
the strong likelihood of
the N(Ibc)/N(II) versus
metallicity trend. We expect then that a similar increase in the
future will allow one to establish reliably the N(Ic)/N(Ib) versus metallicity
trend and to probe with greater accuracy the details of the SNIa rate.
Acknowledgements
We thank S. Basa and T. Zhang for useful discussions. We thank the referee, S. Smartt for his detailed review of the paper and his suggestions. We acknowledge the usage of the HyperLeda database (http://leda.univ-lyon1.fr), as well of the Padova-Asiago supernova catalogue, from the Padova-Asiago Supernova Group (http://web.pd.astro.it/supern/).
References
- Anderson, J. P., & James, P. A. 2008, MNRAS, 390, 1527 [NASA ADS] (In the text)
- Arbutina, B. 2007, Int. J. Mod. Phys. D, 16, 1219 [NASA ADS] [CrossRef] (In the text)
- Aubourg, E., Tojeiro, R., Jimenez, R., et al. 2008, A&A, 492, 631 [NASA ADS] [CrossRef] [EDP Sciences] (In the text)
- Barbon, R., Buondí, V., Cappellaro, E., & Turatto, M. 1999, A&AS, 139, 531 [NASA ADS] [CrossRef] [EDP Sciences] (In the text)
- Boissier, S., & Prantzos, N. 1999, MNRAS, 307, 857 [NASA ADS] [CrossRef] (In the text)
- Boissier, S., & Prantzos, N. 2000, MNRAS, 312, 398 [NASA ADS] [CrossRef] (In the text)
- Boissier, S., Boselli, A., Prantzos, N., & Gavazzi, G. 2001, MNRAS, 321, 733 [NASA ADS] [CrossRef] (In the text)
- Boissier, S., Prantzos, N., Boselli, A., & Gavazzi, G. 2003, MNRAS, 346, 1215 [NASA ADS] [CrossRef] (In the text)
- Bresolin, F. 2007, ApJ, 656, 186 [NASA ADS] [CrossRef] (In the text)
- Bresolin, F., Garnett, D. R., & Kennicutt, R. C., Jr. 2004, ApJ, 615, 228 [NASA ADS] [CrossRef] (In the text)
- Bressan, A., Della Valle, M., & Marziani, P. 2002, MNRAS, 331, L25 [NASA ADS] [CrossRef] (In the text)
- Caffau, E., Ludwig, H.-G., Steffen, M., et al. 2008, A&A, 488, 1031 [NASA ADS] [CrossRef] [EDP Sciences] (In the text)
- Cappellaro, E., Turatto, M., Benetti, S., et al. 1993, A&A, 273, 383 [NASA ADS] (In the text)
- Crowther, P. A. 2007, ARA&A, 45, 177 [NASA ADS] [CrossRef] (In the text)
- Eldridge, J. J., Izzard, R. G., & Tout, C. A. 2008, MNRAS, 384, 1109 [NASA ADS] [CrossRef] (In the text)
- Fryer, C. L., Mazzali, P. A., Prochaska, J., et al. 2007, PASP, 119, 1211 [NASA ADS] [CrossRef] (In the text)
- Garnett, D. R. 2002, ApJ, 581, 1019 [NASA ADS] [CrossRef] (In the text)
- Garnett, D. R., Shields, G. A., Skillman, E. D., Sagan, S. P., & Dufour, R. J. 1997, ApJ, 489, 63 [NASA ADS] [CrossRef] (In the text)
- Greggio, L., & Renzini, A. 1983, A&A, 118, 217 [NASA ADS] (In the text)
- Hakobyan, A. A. 2008, Astrophys., 51, 69 [NASA ADS] [CrossRef] (In the text)
- Hamuy, M. 2002, in Core Collapse of Massive Stars, ed. C. L. Fryer (Dordrecht: Kluwer) (In the text)
- Heger, A., Fryer, C. L., Woosley, S. E., Langer, N., & Hartmann, D. H. 2003, ApJ, 591, 288 [NASA ADS] [CrossRef] (In the text)
- Henry, R. B. C., & Worthey, G. 1999, PASP, 111, 919 [NASA ADS] [CrossRef] (In the text)
- Kelly, P. L., Kirshner, R. P., & Pahre, M. 2008, ApJ, 687, 1201 [NASA ADS] [CrossRef] (In the text)
- Kennicutt, R. C., Jr. 1998, ApJ, 498, 541 [NASA ADS] [CrossRef] (In the text)
- Maeder, A., & Meynet, G. 2004, A&A, 422, 225 [NASA ADS] [CrossRef] [EDP Sciences] (In the text)
- Mannucci, F., Della Valle, M., Panagia, N., et al. 2005, A&A, 433, 807 [NASA ADS] [CrossRef] [EDP Sciences] (In the text)
- Massey, P. 2003, ARA&A, 41, 15 [NASA ADS] [CrossRef] (In the text)
- Massey, P., DeGioia-Eastwood, K., & Waterhouse, E. 2001, AJ, 121, 1050 [NASA ADS] [CrossRef] (In the text)
- Meynet, G., & Maeder, A. 2003, A&A, 404, 975 [NASA ADS] [CrossRef] [EDP Sciences] (In the text)
- Meynet, G., Chiappini, C., Georgy, C., et al. 2008 [arXiv:0810.0652] (In the text)
- Modjaz, M., Kawley, L., Kirshner, R. P., et al. 2008, AJ, 135, 1136 [NASA ADS] [CrossRef] (In the text)
- Paturel, G., Petit, C., Prugniel, P., et al. 2003, A&A, 412, 45 [NASA ADS] [CrossRef] [EDP Sciences] (In the text)
- Prantzos, N., & Boissier, S. 2000, MNRAS, 313, 338 [NASA ADS] [CrossRef] (In the text)
- Prantzos, N., & Boissier, S. 2003, A&A, 406, 259 [NASA ADS] [CrossRef] [EDP Sciences] (In the text)
- Prieto, J. L., Stanek, K. Z., & Beacom, J. F. 2008, ApJ, 673, 999 [NASA ADS] [CrossRef] (In the text)
- Richardson, D., Branch, D., Casebeer, D., et al. 2002, AJ, 123, 745 [NASA ADS] [CrossRef] (In the text)
- Richardson, D., Branch, D., & Baron, E. 2006, AJ, 131, 2233 [NASA ADS] [CrossRef] (In the text)
- Scannapieco, E., & Bildsten, L. 2005, ApJ, 629, L85 [NASA ADS] [CrossRef] (In the text)
- Shaw, R. L. 1979, A&A, 76, 188 [NASA ADS] (In the text)
- Smartt, S. J., Eldridge, J. J., Crockett, R. M., & Maund, J. R. 2009, MNRAS, 395, 1409 [NASA ADS] [CrossRef] (In the text)
- Sullivan, M., Le Borgne, D., Pritchet, C. J., et al. 2006, ApJ, 648, 868 [NASA ADS] [CrossRef] (In the text)
- Tremonti, C. A., Heckman, T. M., Kauffmann, G., et al. 2004, ApJ, 613, 898 [NASA ADS] [CrossRef] (In the text)
- Turatto, M. 2003, in Supernovae and GRBs, v. 598 of Lecture Notes in Physics, ed. K. Weiler (Springer-Verlag), 21 (In the text)
- van den Bergh, S. 1997, AJ, 113, 197 [NASA ADS] [CrossRef] (In the text)
- van den Bergh, S., Li, W., & Filippenko, A. V. 2005, PASP, 117, 773 [NASA ADS] [CrossRef] (In the text)
- van Zee, L., Salzer, J. J., Haynes, M. P., O'Donoghue, A. A., & Balonek, T. J. 1998, AJ, 116, 2805 [NASA ADS] [CrossRef] (In the text)
- Zaritsky, D., Kennicutt, R. C., Jr., & Huchra, J. P. 1994, ApJ, 420, 87 [NASA ADS] [CrossRef] (In the text)
Footnotes
- ...R
- The R25 radius is the radius of the 25 mag arcsec-2 B-band isophote.
- ... samples
- In the worst case scenario, it would mean that we miss similar fractions of SNII versus SNIbc (and SNIb versus SNIc) when we push the velocity limit to higher values.
- ... universe
- Since the N(Ibc)/N(II) ratio depends on metallicity (PB03) and since cosmic metallicity decreases, on average, with redshift, that ratio is expected to decline with redshift, albeit very slowly.
All Tables
Table 1: Size of the samples and ratios.
All Figures
![]() |
Figure 1:
Top three panels: supernovae absolute magnitude
(adopting a basic Hubble's law with H0=70 km s-1 Mpc-1) as
a function of the heliocentric velocity, for SN of type II, Ibc,
and Ia, respectively (from top to bottom). The curves show the
average ( solid) and 1 |
| Open with DEXTER | |
| In the text | |
![]() |
Figure 2:
From top to bottom: number ratios of
N(Ibc)/N(II), N(Ic)/N(Ib), and N(Ia)/N(CC), as function of
galaxian blue magnitude MB for the conservative
|
| Open with DEXTER | |
| In the text | |
![]() |
Figure 3: Same thing as in Fig. 2, but this time as a function of galactocentric radius, expressed in units of R25. |
| Open with DEXTER | |
| In the text | |
![]() |
Figure 4: Top: metallicity (oxygen) gradient per R25 as a function of absolute magnitude MB. Bottom: characteristic metallicity (at 0.4 R25) as a function of MB. Data in both panels are from Zaritsky et al. (1994) (squares) and van Zee et al. (1998) (triangles). r is the correlation coefficient, and the solid line indicates in each case the best linear least squares fit (the parameters of the line are given in each panel). In the top panel, the gradients derived by Bresolin et al. (2004) and Bresolin (2007) for M 51 and M 101 are overplotted. In the bottom panel, dashed and dotted lines indicate, respectively the empirical relations obtained by Tremonti et al. (2004) and Garnett (2002) using respectively global metallicities (measured on the integrated galaxy) and metallicities at the effective (half-light) radius. The latter was used as a proxy for the global metallicity in PB03. We apply the same approach in this paper for the global metallicity. |
| Open with DEXTER | |
| In the text | |
![]() |
Figure 5: Metallicities of the various SN types of our sample, as a function of their position (expressed in R/R25) inside their host galaxy. Metallicities are derived from the SN position in and the magnitude of the host galaxy, according to the procedure described in Sect. 5.2 and Eq. (6). The color/type coding is completed according to the absolute magnitude of the SN with respect to the three quartiles Q1, Q2, and Q3 indicated in each panel. |
| Open with DEXTER | |
| In the text | |
![]() |
Figure 6:
Symbols with solid errror bars: number ratios of
SNIbc/SNII as a function
of global galaxian metallicity ( top, obtained from the
magnitude-metallicity relation of Fig. 4) and of local metallicity
( bottom, obtained from Eq. (6)), for the conservative
|
| Open with DEXTER | |
| In the text | |
![]() |
Figure 7:
Symbols with solid errror bars: number ratios of
SNIc/SNIb as a function of global galaxian metallicity ( top, obtained from the
magnitude-metallicity relation of Fig. 4) and of local metallicity
( bottom, obtained from Eq. (6)), for the conservative
|
| Open with DEXTER | |
| In the text | |
![]() |
Figure 8:
Number ratio of SNIa/CCSN as a function of global
(top) and local ( bottom) galaxian metallicity. Data are
displayed ( left panels) for our two samples adopting various
maximal heliocentric velocities
|
| Open with DEXTER | |
| In the text | |
![]() |
Figure 9: Number ratio of SNIbc/SNII as a function of local galaxian metallicity and comparison to single star rotating models of Maeder & Meynet (2004, MM04, dot-dashed) and of Meynet et al. (2008, M08, dotted), single non-rotating stellar models of Eldridge et al. (2008, EIT08, long dashed) and binary non-rotating stellar models of Eldridge et al. (2008, EIT08, short dashed). |
| Open with DEXTER | |
| In the text | |
![]() |
Figure 10:
Minimum mass for single stars becoming SNIb or SNIc as a
function of metallicity, according to theoretical and empirical
evaluations. The two horizontal lines are from Arbutina
(2007), based on measured global SNIbc/CCSN and SNIc/SNIb ratios.
The three lower curves are for
|
| Open with DEXTER | |
| In the text | |
![]() |
Figure 11: Illustration of the variation in SNIa/CCSN ratio as a function of metallicity, with a realistic model of galactic evolution (from Boissier & Prantzos 1999). Top left: rates of CCSN ( solid) and SNIa ( solid: model, dotted: analytical) and gas fraction ( dashed) as a function of galactocentric radius. Bottom left: SNIa/CCSN ratio ( solid: model, dotted: analytical) and metallicity profile ( dashed, right vertical axis). Top right: SNIa/CCSN ratio ( solid: model, dotted: analytical) and metallicity ( dashed, right vertical axis). Bottom right: SNIa/CCSN ratio ( solid: model, dotted: analytical) as a function of metallicity; comparison is made to the data for local metallicity of Fig. 8 ( bottom-left). |
| Open with DEXTER | |
| In the text | |
Copyright ESO 2009
Current usage metrics show cumulative count of Article Views (full-text article views including HTML views, PDF and ePub downloads, according to the available data) and Abstracts Views on Vision4Press platform.
Data correspond to usage on the plateform after 2015. The current usage metrics is available 48-96 hours after online publication and is updated daily on week days.
Initial download of the metrics may take a while.
![\begin{figure}
\par\includegraphics[width=8.9cm,clip]{11234f1.eps}
\end{figure}](/articles/aa/full_html/2009/31/aa11234-08/Timg15.png)
![\begin{figure}
\par\includegraphics[angle=-90,width=16.5cm,clip]{11234f2.eps}
\end{figure}](/articles/aa/full_html/2009/31/aa11234-08/Timg28.png)



![\begin{figure}
\par\includegraphics[angle=-90,width=16.5cm,clip]{11234f3.eps}
\end{figure}](/articles/aa/full_html/2009/31/aa11234-08/Timg44.png)
![\begin{figure}
\par\includegraphics[width=9cm,clip]{11234f4.eps}
\end{figure}](/articles/aa/full_html/2009/31/aa11234-08/Timg50.png)
![\begin{figure}
\par\includegraphics[width=8.8cm]{11234f5.eps}
\end{figure}](/articles/aa/full_html/2009/31/aa11234-08/Timg51.png)

![\begin{figure}
\par\includegraphics[angle=-90,width=16cm,clip]{11234f6.eps}
\end{figure}](/articles/aa/full_html/2009/31/aa11234-08/Timg55.png)
![\begin{figure}
\par\includegraphics[angle=-90,width=16cm,clip]{11234f7.eps}
\end{figure}](/articles/aa/full_html/2009/31/aa11234-08/Timg56.png)
![\begin{figure}
\par\includegraphics[angle=-90,width=16.5cm,clip]{11234f8.eps}
\end{figure}](/articles/aa/full_html/2009/31/aa11234-08/Timg57.png)
![\begin{figure}
\par\includegraphics[width=8.5cm]{11234f9.eps}
\end{figure}](/articles/aa/full_html/2009/31/aa11234-08/Timg61.png)
![\begin{figure}
\par\includegraphics[width=8.5cm]{11234f10.eps}
\end{figure}](/articles/aa/full_html/2009/31/aa11234-08/Timg62.png)
![\begin{figure}
\par\includegraphics[angle=-90,width=16cm,clip]{11234f11.eps}
\end{figure}](/articles/aa/full_html/2009/31/aa11234-08/Timg65.png)

