| Issue |
A&A
Volume 503, Number 1, August III 2009
|
|
|---|---|---|
| Page(s) | 259 - 264 | |
| Section | Planets and planetary systems | |
| DOI | https://doi.org/10.1051/0004-6361/200912080 | |
| Published online | 02 July 2009 | |
Statistical analysis of micrometeoroids flux on Mercury
P. Borin1,2 - G. Cremonese2 - F. Marzari3 - M. Bruno4 - S. Marchi5
1 - CISAS, University of Padova, via Venezia 15, 35131 Padova, Italy
2 - INAF - Astronomical Observatory of Padova, Vicolo dell'Osservatorio 5, 35131 Padova, Italy
3 - Department of Physics, via Marzolo 8, 35131 Padova, Italy
4 - Department of Mineralogical and Petrological Science, via Valperga Caluso 35, 10125 Torino, Italy
5 - Department of Astronomy, Vicolo ell'Osservatorio 5, 35131 Padova, Italy
Received 16 March 2009 / Accepted 21 May 2009
Abstract
Context. Meteoroid impacts are an important source of neutral atoms in the exosphere of Mercury. Impacting particles of size smaller than 1 cm have been proposed to be the major contribution to exospheric gases. However, our knowledge of the fluxes and impact velocities of different sizes is based on old extrapolations of similar quantities on Earth.
Aims. We compute by means of N-body numerical integrations the orbital evolution of a large number of dust particles supposedly produced in the Main Belt. They migrate inward under the effect of drag forces until they encounter a terrestrial planet or eventually fall into the Sun. From our numerical simulations, we compute the flux of particles hitting Mercury's surface and the corresponding distribution of impact velocities.
Methods. The orbital evolution of dust particles of different sizes is computed with a numerical code based on a physical model developed previously by Marzari & Vanzani (1994, A&A, 283, 275). It includes the effects of Poynting-Robertson drag, solar wind drag, and planetary perturbations. A precise calibration of the particle flux on Mercury has been performed by comparing our model predictions for dust infall on to Earth with observational data.
Results. We provide predictions of the flux to different size particles impacting Mercury and their collisional velocity distribution. We compare our results with previous estimates and we find that these collisional velocities are lower but that the fluxes are significantly higher.
Key words: methods: N-body simulations - methods: statistical - meteors, meteoroids - planets and satellites: individual: Mercury
1 Introduction
The major sources of the dust population in the inner Solar System are asteroid collisions and debris released by short-period comets. The comminution products of cratering and fragmentation events in the asteroid belt are the origin of dust bands observed in IRAS data (Low et al. 1984; Hauser et al. 1984). These bands were interpreted as dust produced by the continuous collisional activity of the asteroid, which provides a constant supply of debris (Dermott et al. 1984; Sykes & Greenberg 1986). The dust grains produced in the asteroid belt slowly evolve under solar radiation forces and the gravitational force of the Sun and planets. In particular, particles smaller than 1 cm are significantly perturbed by Poynting-Robertson and solar wind drag and spiral towards the Sun on timescales that depend on their size and composition. During their journey, they may be not only gravitationally scattered by terrestrial planets but also trapped into one or more mean motion resonances (Jackson & Zook 1992; Marzari & Vanzani 1994; Marzari et al. 1996). Because of the interplay between the gravitational perturbations of the planets and the Poynting-Robertson drag, the orbital evolution can be quite complex. As a consequence, models based on a uniform and steady flux of dust grains from the Main Belt into the inner regions of the Solar System may be inappropriate. A full numerical approach is required to estimate how the grain population evolves while approaching the Sun.Meteoroid impacts have a very important role in the evolution of Mercury's surface and exosphere. Since the exobase is presently at the surface of the planet, the exosphere sources and sinks are tightly linked to the composition and structure of the planet surface. A significant fraction of volatiles released into the exosphere is thought to be produced by impact vaporization of meteoritic material on the surface (Cremonese et al. 2005). We may be able to identify two population of meteoroids depending on their dynamical evolution: small particles (r < 1 cm) dominated by the Poynting-Robertson drag, and large particles (r > 1 cm) driven by gravity only.
In this paper, we study the long-term evolution of dust grains (i.e., r<1 cm) from the Main Belt to Mercury. By means of numerical simulations, we estimate the flux of dust particles on the surface of Mercury and their impact velocity distribution. The overall flux is tuned on the basis of direct measurements of the mass accretion rate of cosmic dust at Earth orbit from Long Duration Exposure Facility (LDEF) satellite (Love & Brownlee 1993). According to Dermott et al. (2002), all the dust collected from satellite LDEF (Love & Brownlee 1993) originates in typical asteroidal orbits. These authors show that they can explain the measured accretion mass rate with that coming from the zodiacal dust bands. The major contributions to these bands are asteroidal collisions (about 48%) and short period comet dust production. The grains produced by short period comets by the time they reach the Earth may approach the planet with the low velocities typical of asteroidal orbits (Liou & Zook 1996). These grains are trapped in mean motion resonances with Jupiter and their eccentricities and inclinations are damped by the time they encounter the Earth. Following Dermott et al. (2002), about 34% of the dust reaching Earth might be resonant cometary dust. As a consequence, independently of the source, most of the interplanetary dust particles might indeed encounter the Earth on low eccentricity and low inclination orbits.
A model of dust originating in comets claims that a fraction as high as 90% of the dust collected at the Earth surface might be of cometary origin (Wiegert et al. 2009). However, this result strongly depends on the size distribution adopted for the dust particles ejected from comets. They calibrate the flux only for high speed large meteroid impacts on Earth and propagate the results to small dust sizes. We do not enter this debate in this paper. Our approach is purely dynamical and we consider dust reaching the Earth on asteroidal orbits, independently of its source. As a consequence, we account for a significant contribution of dust at the Earth. When future experiments are able to measure the impact velocity on dust collection facilities, it will be possible to discriminate between dust particles on low velocity asteroidal orbits and those on high velocity cometary trajectories. The flux of dust measured, such as that obtained by LDEF (Love & Brownlee 1993), should then consist of two components depending on the impact velocity: one that originated in low eccentricity and low inclination orbits (either coming from the asteroid belt or from short period comets), and one from cometary trajectories. A tuning coefficient can be derived in this scenario that can be applied to our results concerning the fraction of grains that approach the Earth at low relative velocity. This fraction is propagated to Mercury in our model.
2 Dynamical evolution model
To estimate the meteoritic flux at the heliocentric distance of Mercury, we utilize the dynamical evolution model of dust particles of Marzari & Vanzani (1994). It numerically integrates a (N+1)+M body problem (Sun + N planets + M body with negligible mass) with the high-precision integrator RA15. Radiation and solar wind pressure and Poynting-Robertson drag are included as perturbative forces together with the gravitational attractions of all the planets in the Solar System.
Adopting the same formalism as Marzari & Vanzani (1994), the
gravitational term is given by
where
where
The non-gravitational term consists of two terms: the radiation
force,
and the force given by the solar wind,
,
where
and
![]() |
(5) |
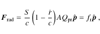
Where,
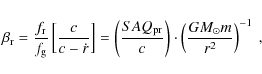
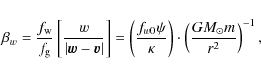
The efficiency of the radiation and corpuscolar resistive forces
can be expressed by defining their ratio with respect to the solar
gravity in the following manner:
and
for
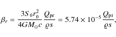
Taking the reference-distance r0 to be equal to 1 AU and assuming a dust particle of spherical shape of radius s, one obtains
and
where
Finally, the relative importance of the radiation and corpuscolar
forces can be estimated by the parameter
The adopted numerical algorithm for solving the equations of motion is the RA15 version of the RADAU integrator by Everhart (1985). The choice of this integrator is dictated by the frequent occurrence of close encounters between dust particles and planets. In this case, RA15 is very precise since it uses a variable stepsize.
Our simulations start with a ring of 1000 particles. The initial
semi-major axis is randomly selected to be in between 2.1 and 3.3 AU, the initial eccentricity varies in the range 0.0-0.4, and the inclination in the range 0-20
.
This choice reflects the
average orbital elements of asteroids assumed to be the sources of
the dust ring. For the grains, we assume a density of 2.5 g cm-3, a reasonable value for dust particles originating in
the Main Belt (Grün et al. 1985). Spherical particles are considered in
terms of the approximation of Mie's theory for which
,
the
dimensionless radiation-pressure coefficient averaged over the
solar spectrum, is 0.53 (Marzari & Vanzani 1994; Mukai et al. 1982).
3 Flux estimate from numerical integration
We compute the orbital evolution of the dust ring until all the
particles move well inside the orbit of Mercury. To estimate the
flux of impacting grains, we use a statistical approach since the
number of computed impacts is negligible. Any time a dust grain
falls within ten times the influence sphere of Mercury, we record
the minimum approach distance and the grain-planet relative
velocity. At the end of the run, we have a list of close
encounters that we can statistically analyse. We divide the
encounters in bins of radial distance from the planet centre and
we perform a least squares fit to the data with a parabola
function as P0 R2. The least squares fit, performed by
assuming a standard deviation for each data bin of
(where Ni is the number of close encounters in each bin),
allows us to compute the parameter P0 (Marzari et al. 1996). At this
point, if we use R to represent the radius of Mercury, we derive
the fractional number of impacts on the surface of the planet
.
We take proper account of the gravitational focusing factor
caused by Mercury's attraction. The relative velocity distribution
is instead well approximated by that computed for each close
encounter properly corrected for the gravitational focusing
factor. With 1000 particles, we can study reasonably well the
dynamical behaviour of the real grains as they approach the
planet. From the number of impacts
,
we can estimate the flux
by dividing
by an effective time interval
over which the impacts occur. In our simulations, the distribution
of close encounters versus time exhibits a rapid growth as the
first grains of the ring begin to approach the planet. The
distribution reaches a plateau where the rate of encounters is
approximately constant, and finally it rapidly declines. We define
an effective time interval
by inspecting the
distribution of encounters with time, where
represents
the timespan during which the encounter rate is approximately
constant. The flux
on the planet is then estimated to be the number of impacts
(rescaled to account for encounters occurring only during
)
divided by
.
In our simulations, we do not consider particles of radius smaller
than
m because, in general, solar radiation pressure
reduces solar gravity sufficiently to drive these particles out of
the Solar System (they become beta meteoroids). In other words,
the Poynting-Robertson and the solar gravity no longer dominate
(Burns et al. 1979; Sykes et al. 2004).
4 Calibration of flux
To calibrate our flux, i.e., to compute the true number of grains represented by our 1000 test particles, we need to know the density of particles within our initial ring. In the literature, the particle density in the Main Belt for different particle sizes is not clearly defined. It is given by a relation between the number of particles and their size only for the IRAS dust band, which is not applicable to the entire Main Belt (Mann et al. 1996).
A more robust way is to calibrate the density of our initial dust
ring by means of the observed flux of grains on the Earth. For
this purpose, during each simulation we record the close
encounters between test particles and the Earth. As for Mercury,
we then extrapolate the flux
of particles of a given size
r on the Earth surface. We then derive a set of calibration
coefficients C(r) for all the sizes we considered in our
simulations given by
.
These coefficients
represent the change in the flux of equal size particles as they
move from the Earth to Mercury and they account for the dynamical
behaviour of the dust grains (e.g., resonances, close encounters
with the planets, and acceleration of migration due to
eccentricity stirring). These coefficients are used to
transport the curve of the Earth meteoroid flux given by
Love & Brownlee (1993), which was obtained from experimental data
taken by the satellite LDEF, to Mercury. The flux on Mercury is
calculated by interpolating a curve for the mass flux, similar to
that of Love & Brownlee (1993), that is constrained to reproduce the
scaled points computed by multiplying the Love & Brownlee (1993)
curve by the C(r)s.
Additional effort is needed before rescaling the flux of Love & Brownlee (1993) to Mercury. In their paper, Love and Brownlee adopted an average meteoroid speed of 16.9 km s-1 to compute the flux values, while in our dynamical model we obtain a mean velocity of 18.6 km s-1 for grains coming from the Main Belt and impacting the Earth. Following the same method as Love & Brownlee (1993), we computed a new value of flux with our average velocity. Figure 1 shows the fluxes calculated with the two different average velocities. A slightly lower value of flux is obtained with the higher impact velocity.
It is important to note that Love and Brownlee determined the mass
flux and size distribution of micrometeoroids in the submillimiter
size range, in particular the mass range 10-9 to 10-4 grams, by measuring hypervelocity impact craters found on the
space-facing end of the gravity-gradient-stabilized LDEF
satellite. They found that the total mass accreted by the Earth
per year across the size range sampled in their work is
kg/year. The major source of uncertainty is the
value of the encounter velocity. Dermott et al. (2002) interpreted the mass
accretion rate on the Earth as being caused by particles in the
zodiacal cloud on typical asteroidal orbits. The possibility that
in the flux there is a consistent component on cometary highly
eccentric and inclined orbits (Wiegert et al. 2009) can be taken into
account in our model with an additional tuning factor that
indicates the fraction of dust coming from the two different types
of orbits.
![]() |
Figure 1: Terrestrial flux calculated following the Love and Brownlee procedure using the two differen average velocities of 16.9 km s-1 and 18.6 km s-1. |
| Open with DEXTER | |
5 Impact velocity
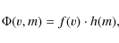
An important aspect of the model of Cintala (1992) for computing
the flux of meteoroids on Mercury is the velocity distribution of
impacting particles. The differential flux is written as
where f(v) is the velocity distribution of dust particles (s/km), and h(m) is the mass distribution function of the impacting particles (
The velocity distribution function is given by the following
equation
where k=3.81,
With our approach, the distribution of impact velocities is a direct outcome of the code. It is directly related to the dynamical behavior of the particles as they approach Mercury and accounts for the interplay between non-gravitational forces, resonances, and planet scattering.
![]() |
Figure 2:
Velocity distribution function of particles with radius of |
| Open with DEXTER | |
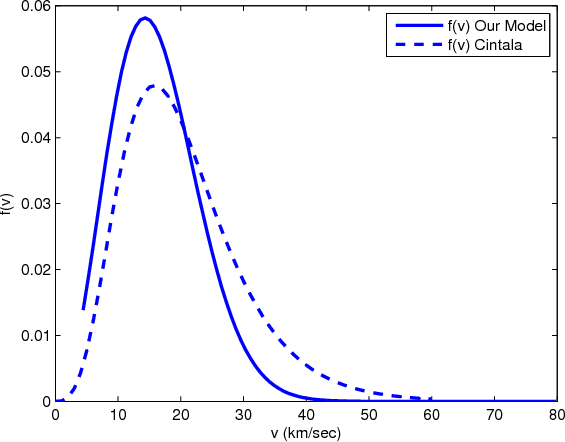
In Fig. 2, we compare the velocity distribution
for particles of
m and
m, respectively. There
is no substantial difference between the two curves and this is
also true for all the other particle sizes that we considered in
our simulations (
m). As a consequence, we combine all the data for the relative velocity in a single normalized distribution that can be compared to that of Cintala (1992). This is shown in Fig. 3. It is noteworthy that the analytic velocity distribution of Cintala (1992) is shifted towards the
high velocity tail and its peak is slightly higher than that
obtained from our numerical distribution. Our average impact
velocity at Mercury is 16.81 km s-1, while that predicted by
the Cintala (1992) model is 20.50 km s-1, about 18.0% higher.
![]() |
Figure 3: Comparison of velocity distribution given by our model and Cintala's model. |
| Open with DEXTER | |
6 Micrometeoroid flux on Mercury
According to the approach described in Cintala (1992), the impact flux depends on both the velocity distribution of dust particles and their mass distribution function.
The Cintala's mass distribution reported in Eq. (11) is
where m is the projectile mass, F1 = 0.364, ci are constants (Cintala 1992; Cremonese et al. 2005).
The advantage of our numerical approach is that we do not need to
make any assumption about the density or velocity distribution
since they are computed directly from the particle dynamics. After
the calibration at the Earth's orbit, we follow the evolution of
the particle ring as it reaches Mercury. Both the particle density
and velocity distributions are derived properly from the numerical
data once statistically interpreted. We directly compute the flux
for any particle size without any a priori assumption about
the density evolution.
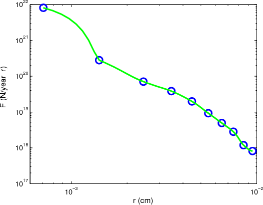
The data for the flux
of each particle size were
interpolated to obtain an analytical curve. In Fig. 4,
we show an interpolation of the numerical fluxes
.
By
integrating the analytical function, we estimate the total flux in
the size range that we considered, which can be compared with that
given by Cintala (1992) (see Table 1).
![]() |
Figure 4: Flux on Mercury obtained with our numerical simulations (blue points) and the cubic spline curve (green line). |
| Open with DEXTER | |
Table 1 shows that the total number of impacts given by
Cintala, measured in N/year, is about 76 times lower than our
estimate, and that our mass flux estimate given in
is 170 times higher.
7 Lifetime and resonances
Before impacting Mercury the lifetime of dust particle strongly depends on their radius and mass. In our simulations, we find that the lifetime of dust grains increases with their radius and this is a consequence of both a slower drift rate caused by P-R drag and resonance trapping. However, the lifetime is not a trivial linear function of the size since the interplay between planet scattering and resonances strongly affect the eccentricity, which is relevant in determining the drift rate produced by the P-R drag. In Figs. 5 and 6, we show some examples of resonance trapping for different size particles. During the resonant evolution it is noteworthy that the eccentricity of the particle increases leading to a much faster orbital decay once out of the resonance. Large particles are trapped more frequently and their eccentricity is, as a consequence, often increased accelerating their migration towards Mercury. Accounting for all these dynamical effects is possible only with a full numerical approach.
Table 1:
Flux obtained by Cintala and our model in the range 5-100
m.
![]() |
Figure 5:
Semimajor axis and eccentricity for a particle of 5 |
| Open with DEXTER | |
![]() |
Figure 6:
Semimajor axis and eccentricity for a particle of 90 |
| Open with DEXTER | |
8 Conclusions
In this paper, we have analysed the dynamical evolution of micrometeoroids from the Main Belt to Mercury to compute the flux of meteoroids on the surface of the planet. In our numerical model, we include the gravitational perturbations of all the planets and the Poynting-Robertson drag. From the data of the simulations, we extrapolate the ratios of dust grain fluxes on Earth and Mercury for different particle sizes. These ratios are used to transport the experimental curve of Love & Brownlee (1993) for the mass flux on the Earth to Mercury accounting for all the dynamical effects such as resonance trapping, planet scattering, and eccentricity excitation.
Our results for the flux of micrometeoroids in terms of mass is about 170 times higher than previous estimates (Cintala 1992). The flux computation depends on the calibration of the dust flux at the Earth orbit. This is performed on the basis of the LDEF satellite data that are interpreted as being determined mostly by dust grains on asteroidal orbits. This accounts for particles either coming from asteroids or short period comets (Dermott et al. 2002). The possibility that a significant fraction of dust comes from typical cometary orbits can be accounted for with an additional tuning coefficient. This will be possible when data on the dust impact velocities become available.
The flux estimate is a relevant parameter for calculating the contribution of neutral atoms to the exosphere (Cremonese et al. 2005) and for the definition of the environment of Mercury in view of future space missions such as the ESA-JAXA BepiColombo.
Acknowledgements
We wish to thank M. Fulle for his advices.
References
- Burns, J. A., Lamy, P. L., & Soter, S. 1979, Icarus, 40, 1 [NASA ADS] [CrossRef] (In the text)
- Cintala, M. J. 1992, J. Geophys. Res., 97 (In the text)
- Cremonese, G., Bruno, M., Mangano, V., et al. 2005, Icarus, 177, 122 [NASA ADS] [CrossRef] (In the text)
- Dermott, S. F., Nicholson, P. D., & Burns, J. A. 1984, Nature, 312, 505 [NASA ADS] [CrossRef] (In the text)
- Dermott, S. F., Durda, D. D., Grogan, K., et al. 2002, Asteroidal dust, in Asteroids III, ed. C. C. Bottke, B. Paolicchi (Arizona: University Press) (In the text)
- Everhart, E. 1985, Dynamics of Comets: Their Origin and Evolution, Proc. IAU Coll. 83, 185
- Grün, E., Zook, H. A., Fechtig, H., et al. 1985, Icarus, 62, 244 [NASA ADS] [CrossRef] (In the text)
- Hauser, M. G., Gillett, F. C., Low, F. J., et al. 1984, ApJ, 278, L15 [NASA ADS] [CrossRef] (In the text)
- Jackson, A. A., & Zook, H. A. 1992, Icarus, 97, 70 [NASA ADS] [CrossRef] (In the text)
- Leinert, C., Richter, I., Pitz, E., et al. 1981, A&A, 103, 177 [NASA ADS] (In the text)
- Liou, J. C., & Kook, H. A. 1996, Icarus, 23, 491 [NASA ADS] [CrossRef] (In the text)
- Love, S. G., & Brownlee, D. E. 1993, Science, 262 (In the text)
- Low, F. J., Young, E., Beintema, D. A., et al. 1984, ApJ, 278, L19 [NASA ADS] [CrossRef] (In the text)
- Mann, I. 2004, Space Sci. Rev., 110, 269 [NASA ADS] [CrossRef]
- Mann, I., Grun, E., Wilck, M., et al. 1996, Icarus, 120, 399 [NASA ADS] [CrossRef] (In the text)
- Marchi, S., Morbidelli, A., & Cremonese, G. 2005, A&A, 431, 1123 [NASA ADS] [CrossRef] [EDP Sciences]
- Marzari, F., & Vanzani, V. 1994, A&A, 283, 275 [NASA ADS] (In the text)
- Marzari, F., Scholl, H., Farinella, et al. 1996, Icarus, 119, 192 [NASA ADS] [CrossRef] (In the text)
- Mukai, T., & Yamamoto, T. 1982, A&A, 107, 97 [NASA ADS] (In the text)
- Sykes, M. V., & Greenberg, R. 1986, Icarus, 65, 51 [NASA ADS] [CrossRef] (In the text)
- Sykes, M. V., Grün, E., Reach, W. T., et al. 2004, The Interplanetary Dust Complex and Comets, Comets II (Tucson: University of Arizona Press), 677 (In the text)
- Wiegert, P. 2009, Icarus, 201, 295 [NASA ADS] [CrossRef] (In the text)
All Tables
Table 1:
Flux obtained by Cintala and our model in the range 5-100
m.
All Figures
![]() |
Figure 1: Terrestrial flux calculated following the Love and Brownlee procedure using the two differen average velocities of 16.9 km s-1 and 18.6 km s-1. |
| Open with DEXTER | |
| In the text | |
![]() |
Figure 2:
Velocity distribution function of particles with radius of |
| Open with DEXTER | |
| In the text | |
![]() |
Figure 3: Comparison of velocity distribution given by our model and Cintala's model. |
| Open with DEXTER | |
| In the text | |
![]() |
Figure 4: Flux on Mercury obtained with our numerical simulations (blue points) and the cubic spline curve (green line). |
| Open with DEXTER | |
| In the text | |
![]() |
Figure 5:
Semimajor axis and eccentricity for a particle of 5 |
| Open with DEXTER | |
| In the text | |
![]() |
Figure 6:
Semimajor axis and eccentricity for a particle of 90 |
| Open with DEXTER | |
| In the text | |
Copyright ESO 2009
Current usage metrics show cumulative count of Article Views (full-text article views including HTML views, PDF and ePub downloads, according to the available data) and Abstracts Views on Vision4Press platform.
Data correspond to usage on the plateform after 2015. The current usage metrics is available 48-96 hours after online publication and is updated daily on week days.
Initial download of the metrics may take a while.









![\begin{figure}
\par\includegraphics[width=8cm]{12080fg1.eps}
\end{figure}](/articles/aa/full_html/2009/31/aa12080-09/Timg46.png)


![\begin{figure}
\par\includegraphics[width=8.5cm,clip]{12080fg2.eps}
\end{figure}](/articles/aa/full_html/2009/31/aa12080-09/Timg56.png)
![\begin{figure}
\par\includegraphics[width=8cm,clip]{12080fg3.eps}
\end{figure}](/articles/aa/full_html/2009/31/aa12080-09/Timg58.png)
![\begin{displaymath}
h(m)=-\frac{1}{mF_{1}}\exp\left(\sum_{i=0}^{11}c_{i}\ln(m)^{...
...ht)\cdot \left[\sum_{i=1}^{11}i\cdot c_{i}\ln(m)^{i-1}\right],
\end{displaymath}](/articles/aa/full_html/2009/31/aa12080-09/img59.png)
![\begin{figure}
\par\includegraphics[width=7.5cm,clip]{12080fg4.eps}
\end{figure}](/articles/aa/full_html/2009/31/aa12080-09/Timg60.png)
![\begin{figure}
\par\includegraphics[width=7cm,clip]{12080fg5.eps}
\end{figure}](/articles/aa/full_html/2009/31/aa12080-09/Timg68.png)
![\begin{figure}
\par\includegraphics[width=7cm,clip]{12080fg6.eps}
\end{figure}](/articles/aa/full_html/2009/31/aa12080-09/Timg69.png)