| Issue |
A&A
Volume 503, Number 1, August III 2009
|
|
|---|---|---|
| Page(s) | 19 - 24 | |
| Section | Astrophysical processes | |
| DOI | https://doi.org/10.1051/0004-6361/200912113 | |
| Published online | 02 July 2009 | |
Dynamical feedback of the curvature drift instability on its saturation process
Z. Osmanov1 - D. Shapakidze1 - G. Machabeli1,2
1 - E. Kharadze Georgian National Astrophysical
Observatory, Chavchavadze State University,
Kazbegi str. 2a, 0106 Tbilisi, Georgia
2 -
Javakhishvili State University, Chavchavadze str. 3,
0179 Tbilisi, Georgia
Received 19 March 2009 / Accepted 27 May 2009
Abstract
Aims. We investigate the reconstruction of pulsar magnetospheres close to the light cylinder surface to study the curvature drift instability (CDI) responsible for the twisting of magnetic field lines in the mentioned zone. The influence of plasma dynamics on the saturation process of the CDI is studied.
Methods. On the basis of the Euler, continuity, and induction equations, we derive the increment of the CDI and analyze parametrically excited drift modes. The dynamics of the reconstruction of the pulsar magnetosphere is studied analytically.
Results. We show that there is a possibility of a parametrically excited rotational-energy pumping-process in the drift modes. It is indicated by the generation of a toroidal component of the magnetic field that transforms the field lines into such a configuration, in which plasma particles do not experience any forces. At this stage, the instability process saturates and the further amplification of the toroidal component to the magnetic field lines is suspended.
Key words: instabilities - plasmas - pulsars: general - acceleration of particles
1 Introduction
Exploring the magnetic field of the Crab nebula, Piddington (1957) was the first to discover the presence of a central object in the nebula, with frozen magnetic field inside. It was assumed that the rotation of a central object provokes the generation of the toroidal component of magnetic field. Investigations have also shown that this kind of magnetic field characterizes magnetized star outflows (Weber & Davis 1967). Pulsars are one of the most distinctive examples of rotationally powered magnetized stars producing the relativistic outflows commonly known as pulsar winds.
One of the major problems for pulsar winds concerns the transition of the magnetized plasma flows by means of the so-called ``light cylinder'' surface, a hypothetical zone, where the linear velocity of rotation equals the speed of light. According to the model of pulsar magnetosphere (Goldreich & Julian 1969), the relativistic plasma flow, emanating from the pulsar surface streams along very strong magnetic field lines. The typical values of the magnetic field are of the order of 1012 G (Manchester & Taylor 1977). Such a strong magnetic field forces the particles, streaming toward the light cylinder zone, to co-rotate with a pulsar. On the other hand, once the relativistic effect of the mass increment is taken into account, the radial acceleration of the particles appears to be limited. This means that the particles will never cross the light cylinder surface if the rigid rotation is preserved (Machabeli & Rogava 1994). Therefore, the co-rotation of the magnetized plasma cannot be maintained close to the mentioned zone and a further exploration of this phenomenon is needed.
The simplest means of explaining the transition in the plasma
outflow at the light cylinder surface is to constrain the motion of
the flow to become asymptotically close to a regime, in which
particles do not experience any forces (see e.g.,
Machabeli et al. 2000; Rogava et al. 2003). For this purpose, if the magnetic field is
still strong, one needs to twist the field lines in an appropriate
way. In other words, it is necessary to generate the toroidal
component of the magnetic field. The pulsars maintain the dipolar
magnetic field with a certain curvature of the field lines. The
particles moving along the curved field lines drift perpendicularly
to the curvature plane. The existence of the drift motion creates
the necessary conditions for developing a CDI (see e.g.,
Kazbegi et al. 1989, 1991a,b; Shapakidze et al. 2003). The mechanism excites
transverse drift modes providing the magnetic field with the
toroidal component. The CDI becomes effective in the vicinity of the
light cylinder surface, where the pulsar's dipolar field is
comparable to the toroidal component of the excited mode. The
kinetic energy of the primary beam particles, of Goldreich-Julian
(GJ) density, can indeed supply the generation of the drift waves.
Mostly, it is assumed that the toroidal component of the magnetic
field is created by the GJ current. However, the kinetic energy
density, Wb, of the primary beam is insufficient to change the
configuration of the dipolar magnetic field, B0, significantly,
since
.
Therefore, the process of generating
the toroidal component, Br (of the order of B0), requires an
additional energy supply, which can be extracted from the pulsar
rotational energy. We have already shown that the rotational energy
pumping into the drift modes can be implemented by the ``parametric''
instability (Osmanov et al. 2008). This mechanism is called parametric,
because the effect is caused by the relativistic centrifugal force,
which, as a parameter, changes in time and induces the instability.
The aim of the present paper is to study the saturation process of
this instability close to the light cylinder zone.
The problem analysis is completed well if one considers the mechanical analog of the motion of plasma flow along the pulsar magnetic field lines and studies the dynamics of a single particle moving inside the rotating channels. In the present paper, we apply the method developed in Rogava et al. (2003) and study the plasma process that converts the configuration of the magnetic field lines to the Archimedes' spiral: it appears that in order to suppress the reaction force, the field lines, rather being straight, should deviate back and lag behind the rotation; consequently, the curvature will eventually increase, inevitably leading to the decrement of the reaction force; this process will last until the magnetic field lines form the shape of the Archimedes' spiral, which removes the reaction force and saturates the instability.
The paper is arranged as follows. In Sect. 2, we examine the parametric curvature drift instability and derive an expression for its corresponding growth rate. In Sect. 3, we consider the kinematics of a particle moving along the rotating magnetic field line. In Sect. 4, we apply the method for 1-second pulsars and the Crab pulsar, and in Sect. 5, we summarize our results.
2 Parametric curvature drift instability
It is well known that the presence of an external varying parameter
usually generates the plasma instability. For example, the mechanism
of energy pumping process from the external alternating electric
field into the electron-ion plasma is quite well investigated (see
e.g., Silin 1973; Galeev & Sagdeev 1973; Max 1973). Although the physics of the parametric
instability in the electron-ion plasma differs from that of the
electron-positron (
)
plasma, the techniques of
calculation can be the same. The case of a
plasma,
where the external varying parameter is the altering centrifugal
acceleration, was considered by Machabeli et al.
(2005).
We start our consideration by initially assuming that the magnetic
field lines are almost straight with very small non zero curvature
(see Fig. 1a). The plasma stream is supposed to move along
the co-rotating field lines of a very strong magnetic field (
1012 G
for typical pulsars). We assume that the plasma flow
consists of two components: the plasma component composed of
electrons and positrons (
); and, the so-called, beam
component (b) composed of ultra relativistic electrons. The
dynamics of plasma particles moving along the straight rotating
magnetic field lines is described by the Euler equation
(Machabeli et al. 2005)
where
R is the coordinate along the straight field lines,
and the induction equation
where
![]() |
Figure 1:
a) The geometry in
which the set of main Eqs. (1-3) is considered;
(
|
| Open with DEXTER | |
Rewriting the Euler equation in Eq. (1) for the leading
state and taking into account the frozen-in condition
,
the solution for
ultra relativistic particle velocities writes as follows (Machabeli & Rogava 1994)
where
The centrifugal force eventually causes the separation of charges in plasma consisting of several species. This process becomes so important that the corresponding electromagnetic field affects the dynamics of the charged particles. Therefore, the produced electric field should also be considered in Eq. (1) as the next term to be approximated (Osmanov et al. 2008).
To clarify the mathematical treatment, we linearize the set of
Eqs. (1-3), assuming that, to the zeroth approximation,
the flow has a longitudinal velocity satisfying Eq. (4) and
also drifts along the x-axis because of the curvature of magnetic
field lines (see Fig. 1):
where
We represent all physical quantities as the sum of the zeroth and
the first order terms
where
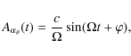
We then express the perturbed quantities as
examining only the x components of Eqs. (1, 3), considering the perturbations with
Introducing a special ansatz for
where
and substituting Eqs. (11, 12) into Eqs. (8, 9), one derives the expressions
Combining Eqs. (15, 16) with Eq. (10), it is straightforward to reduce it to the form
where
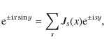
where Js(x) (
where
To solve Eq. (19), we must examine similar equations, e.g., rewrite Eq. (19) for
Let us consider the resonance condition, which corresponds to the
curvature drift modes. As is clear from Eq. (19), the
proper frequency for the CDI equals
Therefore, physically meaningful solutions relate the case, when
Since particles have different phases, to solve Eq. (19),
we must examine the average value of Br with respect to
.
Then, by taking into account the formula
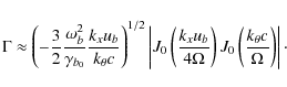
preserving only the leading terms of Eq. (19), and also taking into account that the beam components exceed the corresponding plasma terms by many orders of magnitude, one derives the dispersion relation for the CDI (Osmanov et al. 2008)
To determine the CDI growth rate,
We can qualitatively analyze how the shape of magnetic field lines changes with time. After perturbing the magnetic field in the transverse direction, the toroidal component will strengthen and the field lines will gradually lag behind the rotation. This process will inevitably influence the dynamics of the particles. As a result, the acceleration will be lower than in the case of straight field lines. Since the CDI is centrifugally excited, the corresponding efficiency will also decrease, completely vanishing for such a configuration of the magnetic field lines, when the particles do not accelerate centrifugally at all.
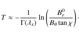
Let us assume that the corresponding critical value of the toroidal
component, when the instability diminishes, is Br. Then, from
simple considerations, we can estimate the corresponding timescale
of this transformation. Indeed, referring to Fig. 1b,
.
On the other hand, the toroidal
component of magnetic field behaves with time as
where B0r denotes the initial perturbed value of the toroidal component. Consequently, the timescale of the process can be estimated to be
3 Kinematics of particles moving along the curved magnetic field lines
We describe the kinematics of particles moving along the corotating
curved magnetic field lines. In particular, we adopt the Archimedes'
spiral for the configuration of magnetic field lines
where
where v is the radial velocity of a particle motion, and
which means that, for any Archimedes' spiral with
![]() |
Figure 2:
The arm of Archimedes
spiral in polar coordinates ( |
| Open with DEXTER | |
The relativistic momentum of the particle is given by
where m and
are the rest mass and the Lorentz factor of
the particle, respectively. The expansion of the equation of motion,
(
is the reaction force), in terms
of the radial component
and the angular component
of the reaction force, yields the equation (Rogava et al. 2003)
where
We note that
![]() |
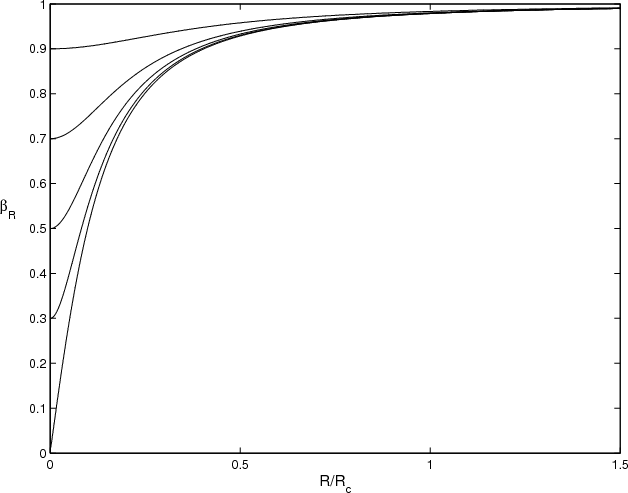
Figure 3:
Behaviour of |
| Open with DEXTER | |
Since we are interested in relativistic flows, let us consider
setting
.
In Fig. 3, we plot the
solution to Eq. (31), that is the dependence of
versus
(
is the light cylinder
radius) for the different initial values of
.
As is
clear from these plots, even though the initial velocity of
particles is weakly relativistic (e.g.,
), it
asymptotically converges to the characteristic velocity,
.
As a
result, the particle trajectory in the LF must become linear.
Indeed, in Fig. 4, we show the particle trajectory in the
Rotational Frame (RF) of reference (see Fig. 4a) as well as
in the LF (see Fig. 4b) for both
and
the same spiral configuration with
.
Observing the
particle trajectory from the LF, one can note that the path
asymptotically becomes linear, indicating that the rotational energy
pumping process diminishes. Therefore, we conclude that the magnetic
field with the of the Archimedes' spiral may guarantee the
saturation process of the CDI.
On the other hand, the equation of Archimedes' spiral yields
(see Fig. 1b), resulting in
at the LC when
.
| |
Figure 4:
a) The trajectory of a
particle in the Rotational Frame (RF) of reference; and b) the
trajectory of a particle in the Laboratory Frame (LF) of reference.
The set of parameters is P = 1 s and
|
| Open with DEXTER | |
4 Discussion
We consider Eq. (23) and plot the timescale of the
instability versus the wavelength,
,
for several values
of initial toroidal perturbations B0r. In Fig. 5, we
display the behavior of
,
when
,
for
several values of initial perturbation
.
Two major applications are examined: (a) 1-s
pulsar and (b) the Crab pulsar. From Eq. (23), we can infer
that the timescale is a continuously decreasing function of the
initial perturbation, B0r: as becomes smaller the
parameter, so does the initial perturbation and, consequently, the
magnetic field lines need more time to achieve the required
structure. As observations show, the ratio
ranges from
1011s (PSR 0531 - Crab pulsar) to 1018 s (PSR 1952+29).
However, the greatest values of the twisting timescales, shown in
Fig. 5, vary between 104 s and 102 s, which are shorter
by many orders of magnitude than
,
illustrating the high
efficiency of the instability.
The reconstruction of the magnetic field requires a certain amount
of energy, therefore it is essential to estimate pulsar's slowdown
luminosity (
)
and compare it to the, so-called, ``magnetic
luminosity'' (
,
where
is
the variation in the magnetic field energy due to the instability).
For
,
one has
where
The ``magnetic luminosity'',
where
A direct comparison between Eqs. (33) and (35) infers that
| |
Figure 5:
Here we show the
behaviour of the timescale of sweepback of the magnetic field lines
versus the wave length,
|
| Open with DEXTER | |
In Fig. 5b, we show the behavior in
for the
Crab pulsar in the different cases of initial magnetic
perturbations. The dependence does not change qualitatively but the
twisting process changes quantitatively as the corresponding
timescale is now of the order of
10-102 s. The ``magnetic
luminosity'' of the Crab pulsar for
,
cm,
s (see Fig. 5b), and
approximately equals [see Eq. (34)]
On the other hand, a direct calculation of the Crab pulsar (
Therefore, as in the case of the Crab pulsar, the energy required to reconstruct the magnetosphere averages
The sweepback mechanism described in this paper, therefore, appears to be extremely efficient for pulsar magnetospheres. The curvature drift instability may lead to the reconstruction of the magnetic field lines in such a way that the dynamics of magnetosphere becomes force-free, which in its turn, completely disrupts the instability, thus saturating the CDI.
5 Summary
We have analytically examined the non-stationary pattern of the
pulsar magnetosphere near the LC zone. The
GJ current can be estimated
by
,
giving the value of the corresponding magnetic field,
,
where
(where
)
is the length scale of the spatial
inhomogeneity of the magnetic field. If we assume a dipolar configuration,
then, taking the value of the GJ density,
,
into account, one can show that the toroidal magnetic field equals
.
Inside the light cylinder (
), this value is less than the required
one-B and reaches its maximum value,
,
on the light surface.
Therefore, the GJ current cannot significantly change
the configuration of the magnetic
field. This current evidently exceeds the
curvature drift current, because
.
However, the drift current,
,
is not the source of the toroidal component, Br,
of the magnetic field, but it is a trigger mechanism for generation of
the perturbed current,
J1= e(nb0v1bx+nb1ub) responsible for the creation of Br (see Eq. (10)).
The source of the instability of the current and the resulting
magnetic field is the pulsar's rotational energy. We have found that the instability
is achieved by the parametric mechanism, which effectively pumps the pulsar
rotational energy directly into the generated mode.
The process lasts until the plasma dynamics reaches the force-free regime of motion and the
overall magnetosphere relaxes to the steady state configuration.
Bucciantini et al. (2006) considered the dynamics of rotating pulsar winds by
performing the numerical solution of relativistic
magnetohydrodynamic (RMHD) equations in the Schwarzschild metric. The system was allowed to relax to a steady
state configuration rapidly approaching the force-free regime.
We suppose that the full set of RMHD equations comprises the terms applicable to CDI.
Therefore, we highlight the numerical results obtained by Bucciantini et al. (2006) as
confirmation of our theory. On the other hand, the aim of the present
work was to explain the saturation of the CDI in
terms of the generation of currents, which makes the physics of
the process more transparent.
The main aspects of the present work can be summarized as follows:
- 1.
- Examining the pulsar magnetospheric relativistic plasma, we have studied
the role of the parametrically excited CDI in the process
of sweepback of magnetic field lines and the saturation process of the
instability. The present parametric instability is based on the
method developed by Silin (1973), but differs from this in
principal, since we study an alternating centrifugal force
instead of an alternating electric force.
- 2.
- The linear analysis of the Euler, continuity, and induction
equations yields the dispersion relation governing
the CDI.
- 3.
- Considering the resonance frequencies of the sweepback process,
an expression of the instability increment has been
obtained.
- 4.
- On the basis of the expression of the instability growth rate,
we have derived the formula of the transition timescale ofquasi-linear
configuration of field lines into the
Archimedes' spiral. The particles' motion is force-free along these magnetic field lines,
leading to the saturation of the instability.
- 5.
- The transition timescale has been compared to the wavelength for 1-s pulsars and the Crab pulsar. For both cases it was shown that the corresponding timescale is shorter than pulsar's spin down rates by many orders of magnitude illustrating the high efficiency of the discussed process.
Acknowledgements
The authors are grateful to Dr. N. Bucciantini for interesting discussions. Z.O. and D.Sh. acknowledge the hospitality of the Abdus Salam International Centre for Theoretical Physics (Trieste, Italy). The research was supported by the Georgian National Science Foundation grant GNSF/ST06/4-096.
References
- Abramovitz, M., & Stegan, I. 1965, Handbook of Mathematical Functions (New York: Dover Publications Inc.), 320 (In the text)
- Bucciantini, N., Thompson, T. A., Arons, J., Quataert, E., & Del Zanna, L. 2006, MNRAS, 368, 1717 [NASA ADS] [CrossRef] (In the text)
- Galeev, & Sagdeev 1973, Nucl. Fussion, 13, 603 (In the text)
- Goldreich, P., & Julian, W. H. 1969, ApJ, 157, 869 [NASA ADS] [CrossRef] (In the text)
- Kazbegi, A. Z., Machabeli, G. Z., & Melikidze, G. I. 1989, in Joint Varenna-Abastumani International School & Workshop on Plasma Astrophysics, ed. T. D. Guyenne (Paris: European Space Agency), ESA SP-285, 277 (In the text)
- Kazbegi, A. Z., Machabeli, G. Z., & Melikidze, G. I. 1991a, MNRAS, 253, 377 [NASA ADS]
- Kazbegi, A. Z., Machabeli, G. Z., & Melikidze, G. I. 1991b, Aust. J. Phys., 44, 573 [NASA ADS]
- Machabeli, G. Z., & Rogava, A. D. 1994, Phys. Rev. A, 50, 98 [NASA ADS] [CrossRef] (In the text)
- Machabeli, G. Z., Mchedlishvili, G. Z., & Shapakidze, D. E. 2000, Ap&SS, 271, 277 [NASA ADS] [CrossRef] (In the text)
- Machabeli, G., Osmanov, Z., & Mahajan, S. 2005, Phys. Plasmas, 12, 062901 [NASA ADS] [CrossRef] (In the text)
- Manchester, R. N., & Taylor J. H. 1977, Pulsars (San Francisco: W. H. Freeman and Company) (In the text)
- Max, C. 1973, Phys. Fluids, 16, 1480 [NASA ADS] [CrossRef] (In the text)
- Mestel, L., & Shibata, S. 1994, MNRAS, 271, 621 [NASA ADS]
- Osmanov, Z., Dalakishvili, Z., & Machabeli, Z. 2008, MNRAS, 383, 1007 [NASA ADS] [CrossRef] (In the text)
- Piddington, J. H. 1957, Austr. J. Phys., 10, 530 [NASA ADS] (In the text)
- Rogava, A. D., Dalakishvili, G., & Osmanov, Z. N. 2003, Gen. Rel. Grav., 35, 1133 [NASA ADS] [CrossRef] (In the text)
- Shapakidze, D., Machabeli, G. Melikidze, G., & Khechinashvili, D. 2003, Phys. Rev. E, 67, 026407 [NASA ADS] [CrossRef] (In the text)
- Silin, V. P. 1973, Parametricheskoe Vozdeistvie izluchenija bol'shoj mosshnosti na plazmu (Moskva: Nauka) (In the text)
- Silin, V. P., & Tikhonchuk, V. T. 1970, J. Appl. Mech. Tech. Phys., 11, 922 [NASA ADS] [CrossRef] (In the text)
- Weber, E. J., & Davis, L. Jr. 1967, ApJ, 148, 217 [NASA ADS] [CrossRef] (In the text)
All Figures
![]() |
Figure 1:
a) The geometry in
which the set of main Eqs. (1-3) is considered;
(
|
| Open with DEXTER | |
| In the text | |
![]() |
Figure 2:
The arm of Archimedes
spiral in polar coordinates ( |
| Open with DEXTER | |
| In the text | |
![]() |
Figure 3:
Behaviour of |
| Open with DEXTER | |
| In the text | |
| |
Figure 4:
a) The trajectory of a
particle in the Rotational Frame (RF) of reference; and b) the
trajectory of a particle in the Laboratory Frame (LF) of reference.
The set of parameters is P = 1 s and
|
| Open with DEXTER | |
| In the text | |
| |
Figure 5:
Here we show the
behaviour of the timescale of sweepback of the magnetic field lines
versus the wave length,
|
| Open with DEXTER | |
| In the text | |
Copyright ESO 2009
Current usage metrics show cumulative count of Article Views (full-text article views including HTML views, PDF and ePub downloads, according to the available data) and Abstracts Views on Vision4Press platform.
Data correspond to usage on the plateform after 2015. The current usage metrics is available 48-96 hours after online publication and is updated daily on week days.
Initial download of the metrics may take a while.



![\begin{figure}
\par\mbox{\includegraphics[width=4.3cm,clip]{12113fg3.ps}\hspace*{4mm}
\includegraphics[width=4.3cm,clip]{12113fg4.ps} }\end{figure}](/articles/aa/full_html/2009/31/aa12113-09/Timg41.png)



![\begin{displaymath}
\Psi^1(t,\vec{r})\propto\Psi^1(t) \exp\left[{\rm i}\left({\vec{kr}} \right)\right] ,
\end{displaymath}](/articles/aa/full_html/2009/31/aa12113-09/img52.png)





![\begin{displaymath}
A_{\alpha_x}(t) = \frac{u_{\alpha}}{2\Omega}\left(\Omega
t +...
...ac{u_{\alpha}}{4\Omega}\sin[2\left(\Omega t
+ \varphi\right)],
\end{displaymath}](/articles/aa/full_html/2009/31/aa12113-09/img62.png)







![$\displaystyle \ \times\
B_{r}\left(\omega+\Omega
\left(2[s-l]+n-p+\sigma\right)...
...1-\frac{k_xu_{\alpha}}{\omega
+ \frac{k_xu_{\alpha}}{2}+\Omega (2s+n)}\!\right]$](/articles/aa/full_html/2009/31/aa12113-09/img72.png)
![$\displaystyle \ +\ \sum_{\alpha={\rm e}^{\pm},b}\frac{\omega^2_{\alpha}k_xu_{\a...
...})J_p(h)}{\left(\omega
+ \frac{k_xu_{\alpha}}{2}+\Omega (2[s+\mu]+n)\right)^2 }$](/articles/aa/full_html/2009/31/aa12113-09/img74.png)

![\begin{displaymath}
\left(\omega + \frac{k_xu_{b}}{2}\right)^2 \approx
\frac{3\o...
...ght)J_{0}\left(\frac{k_{\theta}c}{\Omega}\right)\right]^2\cdot
\end{displaymath}](/articles/aa/full_html/2009/31/aa12113-09/img86.png)




![\begin{figure}
\par\includegraphics[width=9cm,clip]{12113fg.ps}
\end{figure}](/articles/aa/full_html/2009/31/aa12113-09/Timg104.png)



![\begin{figure}
\par\includegraphics[width=9cm,clip]{12113fg1.ps}
\end{figure}](/articles/aa/full_html/2009/31/aa12113-09/Timg116.png)





