| Issue |
A&A
Volume 503, Number 1, August III 2009
|
|
|---|---|---|
| Page(s) | 183 - 195 | |
| Section | Stellar atmospheres | |
| DOI | https://doi.org/10.1051/0004-6361/200912247 | |
| Published online | 22 July 2009 | |
Spatially resolving the inhomogeneous structure of the dynamical atmosphere
of Betelgeuse with VLTI/AMBER
K. Ohnaka1 - K.-H. Hofmann1 - M. Benisty2 - A. Chelli3 - T. Driebe1 - F. Millour1,4 - R. Petrov4 - D. Schertl1 - Ph. Stee5 - F. Vakili4 - G. Weigelt1
1 - Max-Planck-Institut für Radioastronomie,
Auf dem Hügel 69, 53121 Bonn, Germany
2 -
INAF - Osservatorio Astrofisico di Arcetri, Instituto Nazionale di
Astrofisica, Largo E. Fermi 5, 50125 Firenze, Italy
3 -
Laboratoire d'Astrophysique de Grenoble, UMR 5571,
Université Joseph Fourier/CNRS, BP 53, 38041 Grenoble Cedex 9, France
4 -
Lab. H. Fizeau, CNRS UMR 6525, Univ. de Nice-Sophia Antipolis,
Obs. de la Côte d'Azur, Parc Valrose, 06108 Nice, France
5 -
Lab. H. Fizeau, CNRS UMR 6525, Univ. de Nice-Sophia Antipolis,
Obs. de la Côte d'Azur, Avenue Copernic, 06130 Grasse, France
Received 1 April 2009 / Accepted 22 June 2009
Abstract
Aims. We present spatially resolved, high-spectral resolution K-band observations of the red supergiant Betelgeuse (
Ori) using AMBER at the Very Large Telescope Interferometer (VLTI). Our aim is to probe inhomogeneous structures in the dynamical atmosphere of Betelgeuse.
Methods. Betelgeuse was observed in the wavelength range between 2.28 and 2.31
m with VLTI/AMBER using baselines of 16, 32, and 48 m. The spectral resolutions of 4800-12 000 allow us to study inhomogeneities seen in the individual CO first overtone lines.
Results. Spectrally dispersed interferograms have been successfully obtained in the second, third, and fifth lobes, which represents the highest spatial resolution (9 mas) achieved for Betelgeuse. This corresponds to five resolution elements over its stellar disk. The AMBER visibilities and closure phases in the K-band continuum can be reasonably fitted by a uniform disk with a diameter of
mas or a limb-darkening disk with
mas and a limb-darkening parameter of
.
These AMBER data and the previous K-band interferometric data taken at various epochs suggest that Betelgeuse seen in the K-band continuum shows much smaller deviations from the above uniform disk or limb-darkened disk than predicted by recent 3-D convection simulations for red supergiants. On the other hand, our AMBER data in the CO lines reveal salient inhomogeneous structures. The visibilities and phases (closure phases, as well as differential phases representing asymmetry in lines with respect to the continuum) measured within the CO lines show that the blue and red wings originate in spatially distinct regions over the stellar disk, indicating an inhomogeneous velocity field that makes the star appear different in the blue and red wings. Our AMBER data in the CO lines can be roughly explained by a simple model, in which a patch of CO gas is moving outward or inward with velocities of 10-15 km s-1, while the CO gas in the remaining region in the atmosphere is moving in the opposite direction at the same velocities. Also, the AMBER data are consistent with the presence of warm molecular layers (so-called MOLsphere) extending to
1.4-1.5
with a CO column density of
cm-2.
Conclusions. Our AMBER observations of Betelgeuse are the first spatially resolved study of the so-called macroturbulence in a stellar atmosphere (photosphere and possibly MOLsphere as well) other than the Sun. The spatially resolved CO gas motion is likely to be related to convective motion in the upper atmosphere or intermittent mass ejections in clumps or arcs.
Key words: infrared: stars - techniques: interferometric - stars: supergiants - stars: late-type - stars: atmospheres - stars: individual: Betelgeuse
1 Introduction
Red supergiants (RSGs) experience slow, intensive mass loss up to
10-4
yr-1.
Despite its importance not only in stellar evolution but also
in the chemical enrichment of the interstellar matter,
the mass loss mechanism in RSGs is not well understood.
While radiation pressure on dust grains is often considered to be the
driving mechanism of mass loss in cool evolved stars,
it is not clear where and how dust forms in RSGs
and how mass outflows are initiated.
Alternative scenarios include Alfvén-wave-driven winds
(Airapetian et al. 2000;
Schröder & Cuntz 2005, 2007),
a combination of Alfvén waves and the wave damping due to dust
(Vidotto & Janteco-Pereira 2006), and
convective turbulence combined with radiation pressure on
molecules (Josselin & Plez 2007).
The atmosphere of RSGs exhibits complicated structures. In the lower
photosphere, vigorous convective motion is expected with the convective cell
size possibly comparable to the stellar radius (Schwarzschild
1975; Freytag et al. 2002).
The photometric variabilities, as well as the variations in the radial
velocities of the metal lines in the visible, can be interpreted as
caused by such giant convective cells (Kiss et al. 2006;
Gray 2008).
Extended chromospheres exist in the outer region.
For example, the UV observations of the M supergiant Betelgeuse
(
Ori) with the Hubble Space
Telescope revealed that the hot (
6000-8000 K) chromospheric
plasma is more than twice as extended as the photosphere measured in
the near-IR with a bright feature
(Gilliland & Dupree 1996;
Uitenbroek et al. 1998).
The image in the H
line is even more extended, 4-5 times as
large as the photosphere (Hebden et al. 1987), consistent
with the extended chromosphere.
However, radio continuum observations of Betelgeuse with
the Very Large Array (VLA) suggest that much cooler (
1000-3000 K)
gas extends to several stellar radii, showing an irregular structure
(Lim et al. 1998).
The non-spherical shape of the outer atmosphere of Betelgeuse was also
detected by mid-IR interferometric observations by
Tatebe et al. (2007).
Furthermore, the narrow-slit spectroscopy of Betelgeuse
in the 10
m region by Verhoelst et al. (2006)
reveals that silicate dust forms only at large distances from the star
(
20
)
and that Al2O3 may form as close as
2
.
This means that the hot chromospheric plasma, cooler gas, and Al2O3 dust
may coexist within several stellar radii from the star, but
the cooler component is much more abundant compared to the chromospheric
gas, because it dominates the radio emission.
The presence of cool gas in the outer atmosphere of RSGs
is consistent with dense molecular layers existing close to the star,
the so-called ``MOLsphere'', which was proposed
by Tsuji (2000a, 2000b) to explain the
IR spectra of the early M supergiants
Ori and
Cep.
While these stars were deemed too hot for H2O to form,
he showed that dense
H2O gas with column densities on the order of 1020 cm-2
and temperatures of 1500-2000 K at
1.3-2.0
can
explain the spectral features at 2.7 and 6
m, which cannot be
reproduced by non-gray hydrostatic photospheric models.
Near- and mid-IR interferometric studies also lend support to
the MOLsphere toward RSGs (e.g., Perrin et al. 2004,
2005, 2007; Ohnaka 2004a;
Tsuji 2006),
although the current, crude MOLsphere models cannot reproduce the
H2O absorption lines observed at 12
m
(Ryde et al. 2006a,b).
On the other hand, Verhoelst et al. (2009) argue
against such dense molecular gas being in the outer atmosphere of
RSGs.
They instead propose that the 2.7 and 6
m features in RSGs
can be explained by a continuous (i.e. featureless) dust opacity
source such as amorphous carbon and metallic iron, although it is not
clear whether such grain species indeed form in oxygen-rich
environments.
A better understanding of the inhomogeneous structure of the outer
atmosphere of RSGs is a key to unraveling the mass-loss mechanism
in these stars.
Inhomogeneities over the stellar surface were detected
by high spatial resolution imaging of a few nearby RSGs.
The high-resolution images of Betelgeuse at 0.7-1.25
m with spatial
resolutions of down to 30 mas (the stellar angular size is
50 mas
at these wavelengths) show the
wavelength-dependent appearance of asymmetric structures
(Burns et al. 1997; Tuthill et al. 1997;
Young et al. 2000).
However, their origin is by no means clear.
They may be related to large convective cells predicted to be present
in cool luminous stars (Schwarzschild 1975;
Freytag et al. 2002)
or alternatively to thermal instability taking place
in the outer atmosphere. For example, the magnetohydrodynamical
simulation of Suzuki (2007) for red giant branch (RGB)
stars, which are much less luminous than RSGs,
shows that thermal instability leads to ``structured'' stellar
winds with many bubbles of hot gas (
105 K)
embedded in cool winds (
K).
For cooler RSGs, the formation of molecules may also promote
such thermal instability, and in particular, CO is an important
coolant in the atmosphere of late-type stars
(Cuntz & Muchmore 1994).
To glean clues to the origin of the inhomogeneities and the mass-loss
mechanism in RSGs,
high spatial resolution observations in IR molecular lines
are very effective.
The high spectral resolution (
)
of the near-IR interferometric instrument AMBER
(Astronomical Multi-BEam combineR)
at VLTI allows us to resolve
the CO first overtone lines and to spatially resolve inhomogeneous structures
within each CO line.
In this paper, we present high-spectral and high-spatial resolution
K-band AMBER
observations of the prototypical RSG Betelgeuse (M1-2Ia-Ibe).
2 Observations
2.1 AMBER
Table 1: Summary of the AMBER observations of Betelgeuse and the calibrator Sirius.
AMBER (Petrov et al. 2007) operates in the J, H, and K bands
with spectral resolutions
of 35, 1500, and 12 000, combining three 8.2 m Unit Telescopes (UTs)
or 1.8 m Auxiliary Telescopes (ATs).
AMBER is a spectro-interferometric instrument that records
spectrally dispersed fringes on the detector.
With the maximum baseline length of 130 m currently available at the VLTI,
spatially resolved spectroscopy with an angular resolution of down to 2 mas is
possible with AMBER, which enables us to study
the wavelength dependence of the size and shape of the object.
AMBER observations with three telescopes
allow us to measure three visibilities and three differential phases (DPs),
as well as one closure phase (CP).
Visibility is the amplitude of the Fourier transform (complex function) of the
object's intensity distribution in the plane of the sky and contains
information about the size and shape of the object.
On the other hand, the phase of the Fourier transform (also called ``Fourier
phase'' to avoid confusion) contains information
about the object's deviation from point symmetry.
While the atmospheric turbulence prevents us from measuring the phase
directly, AMBER measures two observables (DP and CP) that are related to the
object's phase.
DP approximately represents the object's phase in a spectral feature
measured with respect to the continuum
. Therefore, non-zero DPs mean a photocenter shift of the
spectral feature-forming region with respect to the continuum forming
region.
The CP is the sum of phases around a closed triangle of baselines
(i.e.,
)
and not affected by the
atmospheric turbulence. For point-symmetric objects, CP is always zero
or
.
Non-zero and non-
CPs, whether in the
continuum or in some spectral features, indicate the asymmetry of the object.
Two-telescope AMBER observations provide only one visibility
and one DP. (CP cannot be measured with two telescopes.)
Betelgeuse was observed on 2008 January 08 with AMBER using three ATs
in the E0-G0-H0 array configuration
with 16-32-48 m baselines (AMBER Guaranteed Time Observation,
Program ID: 080.D-0236A, P.I.: K. Ohnaka).
Since the E0-G0-H0 configuration is
a linear array lying at +71
from North (+90
= East) on
the ground,
the position angles of the three projected baseline vectors are the same.
We used the K-band high-resolution mode (HR_K) of AMBER with a spectral
resolution of 12 000 covering wavelengths from 2.28 to 2.31
m.
As shown below, this wavelength range was chosen to observe the strong
12C16O (hereafter simply CO) first overtone lines near the (2, 0) band head.
The H-band brightness of Betelgeuse is too high for the VLTI fringe tracker
FINITO. However, the extremely high brightness of Betelgeuse
(
K = -4.4),
together with the excellent weather conditions (
seeing),
enabled us to detect low-contrast fringes on all three baselines without
FINITO.
We also downloaded AMBER data of Betelgeuse obtained
on 2006 February 10 (Program ID: 60.A-9054A) from the ESO data archive.
These data were taken with two ATs in the E0-G0-16 m configuration using the
K-band medium-resolution mode (MR_K) without FINITO.
The wavelength range between 2.1 and 2.2
m was covered
with a spectral resolution of 1500.
Since there are no strong spectral features in this wavelength region,
these MR_K data approximately sample the continuum.
In both runs in 2008 and 2006, Sirius (
CMa,
A1V,
K = -1.4) was observed
for the calibration of the interferometric data of Betelgeuse.
We adopted an angular diameter of 5.6 mas for Sirius given by
Richichi & Percheron (2005).
Observations of stars with known angular diameters and no asymmetry
are needed to evaluate the so-called interferometer transfer
function, which represents the instrumental and atmospheric effects
on visibility and phase measurements, and for calibrating
interferometric data of a science target.
A summary of the observations is given in Table 1.
For the reduction of the AMBER data, we used amdlib ver.2.2
,
which is based on the P2VM algorithm (Tatulli et al. 2007).
We split each data set of Betelgeuse and Sirius into five or six subsets
with each subset containing 500 frames and
derived the visibilities, DPs, and CPs, as well as spectra, from
each subset.
One of the parameters in the reduction with amdlib is the frame selection
criterion.
For each subset,
we checked for a systematic difference in the results by taking
the best 20%, 40%, 60%, 80%, and 100% of all frames in terms of the fringe S/N.
We found out that the visibilities obtained from the first two subsets of
the Betelgeuse data #2, and the Sirius data taken in 2008 show a significant
dependence on the selection criteria (the more frames included, the lower
the visibility), while the visibilities from the other subsets
do not show such a dependence. Furthermore, this dependence only occurs
on the 16 m and 48 m (E0-G0 and E0-H0) baselines, while the
visibilities on the 32 m (G0-H0) baseline are not affected by the
selection criterion in any subset. The vibration of the AT at the E0
station is very likely to be the cause of this problem, because it only
appears on the baselines using the E0 station, and vibration always lowers
visibility. Therefore, we dropped these subsets affected by the
AT vibration for the derivation
of the visibilities, DPs, and CPs on the 16 m and 48 m baselines,
while we used all subsets for the observables on the 32 m baseline.
For the subsets not affected by the vibration,
the reduction with different selection criteria
does not lead to a significant systematic difference in the results.
Selecting fewer frames only results in larger errors
in the final
results, while including frames with very poor S/N
produces spurious results at a few wavelengths.
Therefore, we included 80% of all frames in the subsets not affected
by the vibration.
For the AMBER MR_K data, we did not find any signature of vibration, so
we used all subsets with 80% of frames included.
Currently, AMBER data taken in the HR_K mode are affected by the Fabry-Perot
effect caused by the InfraRed Image Sensor (IRIS), which stabilizes the image
motion (see Fig. 6 in Weigelt et al. 2008).
The IRIS Fabry-Perot effect is seen as time-dependent, high-frequency
beating in the raw visibilities, DPs, and CPs of Betelgeuse and Sirius plotted
as a function of wavelength. However, fortunately, it is mostly removed by
dividing the data of Betelgeuse with that of Sirius, and the IRIS
beating is barely discernible in the calibrated visibilities, DPs, and CPs of
Betelgeuse. This is because the data of Betelgeuse and Sirius were taken
close in time. In other cases, the IRIS beating degrades the final data
significantly.
While the visibilities and DPs on the shortest baseline reduced from the data taken with a spectral resolution of 12 000 are of sufficient quality, the visibilities and DPs on the longer baselines and CPs turned out to be noisy. Therefore, we improved the S/N for these observables by binning the data (object, dark, sky, and P2VM calibration data) in the spectral direction. For the visibilities and DPs on the middle baseline, binning with a box car filter with a width of three pixels turned out to be sufficient. This results in a spectral resolution of 8000 instead of 12 000 achieved with the two-pixel sampling. For the observables on the longest baseline and CPs, it was necessary to bin the data with five pixels, corresponding to a resolution of 4800, to obtain reasonable S/Ns. As shown below, the individual CO lines can still be resolved with these lowered spectral resolutions.
The errors of the resulting visibilities, DPs, and CPs were estimated from the standard deviation among the results obtained from five or six subsets. The errors of the calibrated observables were computed from such errors in the data of Betelgeuse and Sirius. Since we have only one data set for Sirius, it is impossible to estimate the systematic error in the transfer function. Therefore, to account for this error source, we added a systematic error of 5% to the above errors.
In both runs in 2008 and 2006,
Sirius served not only as an interferometric calibrator but also as a
spectroscopic standard star. We attempted to remove telluric lines as
much as possible by dividing the spectra of Betelgeuse with
that of Sirius, although the difference in air mass for the 2008 data
did not allow us to achieve this perfectly.
The telluric lines identified in the spectrum of Sirius were used
for wavelength calibration. As a template of the telluric lines,
we convolved the atmospheric transmission spectra from Wallace & Hinkle
(1996) to match the resolutions of the
HR_K and MR_K modes of AMBER.
The uncertainty in wavelength calibration is
m (
8 km s-1) for the HR_K
observations and
m (
70 km s-1)
for the MR_K observations.
The wavelength scale was then converted to the
heliocentric frame using the IRAF
task
RVCORRECT.
Table 2: Summary of the VINCI observations of Betelgeuse.
2.2 VINCI
To discuss temporal variations in the K-band visibility, we also
downloaded interferometric data of Betelgeuse
taken with VINCI (VLT INterferometer Commissioning Instrument)
from the ESO archive (Program ID: 60.A-9222A).
These data were obtained as part of the commissioning of the instrument.
A detailed description of the instrument is given in
Kervella et al. (2000).
As summarized in Table 2,
The VINCI observations of Betelgeuse occurred on eight nights between
2001 and 2003 using two 40 cm siderostats in the E0-G0-16 m and B3-C3-8 m
configurations (both the E0-G0 and B3-C3 configurations
lie at +71
from North (+90
= East) on the ground).
A number of calibrators were observed
on these nights (6-35 calibrator measurements on each night),
as listed in Table 3.
We used the VINCI data reduction software ver.3.0
(Kervella et al.
2004) to derive visibility. The interferometer transfer
function was computed from all calibrator measurements taken during
a given night, and the mean of these transfer function values was
used to obtain the calibrated visibilities of the science target.
The error of each calibrated visibility was derived from the
statistical error in each measurement of the science
target given by the reduction software and the error in the transfer
function. This latter error results from the statistical error
in each calibrator measurement and the standard deviation of the
transfer function values obtained on the given night.
The VINCI data reduction software computes visibility using
two different algorithms: Fourier transform and wavelet transform.
For the data presented here, the calibrated visibilities
derived with two methods agree well, and we only give the results
obtained with the wavelet transform in Table 2.
The errors in the calibrated visibilities are typically 1-3%.
Unlike AMBER, VINCI observations were made with the K-broadband
filter covering from 2 to 2.4
m. Therefore, we computed
the effective wavelength using the VINCI transmission presented
in Wittkowski et al. (2004) and the spectrum of
Betelgeuse observed with the Stratoscope II (detector B)
by Woolf et al. (1964). The resulting effective
wavelength, 2.175
m, was used for calculating the
spatial frequency for each observation.
Table 3: Calibrators used for the VINCI observations of Betelgeuse.
3 Results
Figure 1 shows the calibrated visibilities, DPs, and CPs observed
toward Betelgeuse as a function of wavelength.
The visibilities and DPs on the middle and longest baselines, as well
as the CPs were derived from the binned data (spectral resolutions of 8000 and 4800), while the results on
the shortest baseline were derived from the data with
a spectral resolution of 12 000.
The figure reveals the detection of interferometric signals even on the
longest baseline (48 m).
This marks the highest spatial resolution (9 mas) obtained for Betelgeuse,
corresponding to nearly five resolution elements over its stellar disk.
The visibilities, DPs, and CPs derived from the two data sets mostly show
the same spectral features,
demonstrating that the observed features are real despite the low fringe
contrast.
There seems to be a difference in visibility level for the
E0-G0-16 m baseline.
However, given the uncertainties in the calibrated visibilities shown in
the figure, this discrepancy is marginal.
We note that the CPs near the CO band head
between 2.294 and 2.296
m are much noisier - errors of
50-100
- than at the other wavelengths even in the binned data.
![]() |
Figure 1:
AMBER observations of Betelgeuse.
In all panels except for a), the black and red lines
represent the data sets #1 and #2, respectively.
The spectrum shown in the panel a) was derived from the
merged data.
The positions of the CO first overtone lines, as well as other atomic and molecular lines,
are marked with the ticks.
In the panels except for a),
two error bars near the left ordinate represent
the typical errors in the continuum ( left) and in the CO lines ( right) for
the data set #1.
The errors for the data set #2 are shown near the right ordinate
in the same manner.
The error in the normalized spectrum is 0.5% and 1% in the continuum
and in the CO lines, respectively.
The wavelength scale is in the heliocentric frame.
a): Normalized flux.
b)-d): Visibilities observed on the E0-G0-16 m, G0-H0-32 m, and
E0-H0-48 m baselines. The visibilities on the middle and longest baselines are
binned with a box car filter with widths of three and five pixels,
respectively.
e): Closure phases with five-pixel binning.
Note that the errors in CP near the CO band head between 2.294 and
2.296 |
| Open with DEXTER | |
![]() |
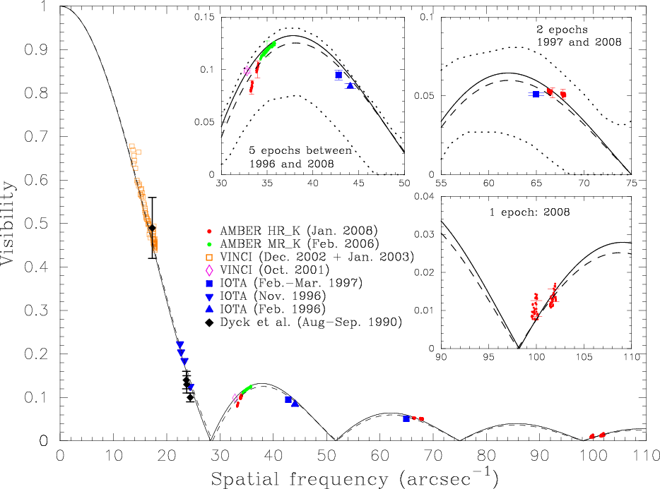
Figure 2:
K-band continuum/broadband visibilities of Betelgeuse
plotted as a function
of spatial frequency. The insets show enlarged views of the second, third,
and fifth lobes.
The error bars of the single AMBER data points are exemplarily shown in the
insets. The errors of the VINCI and IOTA data are also shown in the insets.
The solid and dashed lines represent the visibilities for a uniform disk with
a diameter of 43.19 mas and for a limb-darkened disk with a diameter of
43.56 mas
and a limb-darkening parameter of 0.12 (power-law-type limb-darkened disk
of Hestroffer 1997), respectively.
The dotted lines represent the full amplitude of the
variations in the 2.22 |
| Open with DEXTER | |
3.1 Continuum:
m
The observed spectrum of Betelgeuse below 2.293
m only shows
several weak atomic and molecular absorption features, as identified
in Fig. 1a. There are also subtle signatures in the observed
visibilities corresponding to these features. In particular, the
effects of the Ti (+ HF) feature at 2.29
m can be seen in the
visibilities on all three baselines and also
possibly in the CPs. These weak lines form in the deep photospheric
layers and can be used for testing photospheric models, which we
plan in a future paper.
The spectral resolution of the HR mode of AMBER allows us to select
continuum points that are not affected by these lines.
Since the visibilities on the longest baseline were
derived with the five-pixel binning,
we also derived the visibilities on the shorter baselines
and the spectra from the data binned with five pixels.
Then we selected 37 continuum points in the spectra, avoiding the lines.
In Fig. 2, we plot the visibilities observed at these
continuum points below 2.293
m as a function of spatial frequency.
Also plotted are the AMBER MR_K data between 2.1 and 2.2
m,
VINCI data,
K-band data obtained at the Infrared Optical Telescope Array
(IOTA) by Perrin et al. (2004), and
the K-band measurements by Dyck et al. (1992).
The visibilities derived from the AMBER MR_K data agree very well with
the result obtained by Hernández & Chelli (2007) using
not only amdlib but also another algorithm based on the Fourier transform.
The errors in the visibilities from the MR_K data are
6%.
The DP between 2.1 and 2.2
m derived from these data is zero
within a measurement error of
5
,
which is no surprise, given
the absence of strong spectral features in this wavelength range.
While the AMBER HR_K and MR_K data measure the continuum almost free
of the effects
of molecular/atomic features, the VINCI and IOTA data, as well as the
measurements of Dyck et al. (1992),
were taken with a broad band filter spanning the entire K band,
which includes the molecular absorption features due to CO, H2O, and CN
and atomic lines.
However, since the CO and H2O bands only appear at limited wavelengths
(CO: longward of 2.3
m, H2O: either edge of the K band),
and CN and atomic features are weak in Betelgeuse,
the total K-band flux is dominated by the continuum.
Therefore, the data taken with the K broad-band filter represent the
visibilities in the continuum in first approximation, and this is why
they are included in the discussion below.
To derive the angular size of the object in the continuum,
we fitted the observed visibilities with a uniform disk and a
limb-darkened disk.
Uniform-disk fitting to the AMBER continuum data in 2008 and 2006
results in
mas (reduced
)
and
mas (reduced
), respectively,
while the fitting to all the data (AMBER, IOTA, and VINCI)
results in
mas (reduced
).
Fitting to the AMBER HR_K data
with a power-law-type limb-darkened disk (Hestroffer et al.
1997) results in a limb-darkened disk diameter of
mas and a limb-darkening parameter of
(reduced
),
while fitting to all the data results in a limb-darkened disk
diameter of
mas and a limb-darkening parameter of
(reduced
).
These results agree with the limb-darkened disk diameter
and the limb-darkening parameter derived by Perrin et al. (2004)
from the K-broadband IOTA data.
Since a uniform disk has a limb-darkening parameter of 0, the fit suggests
a small limb-darkening effect in the K-band continuum.
Limb-darkened disk fitting to the AMBER MR_K data did not give
a meaningful result, because the data are located in one narrow spatial
frequency range.
The fit to the AMBER HR_K data in 2008
shows that the 16, 32, and 48 m baselines correspond
to the second, third, and fifth lobes.
Although the longest baseline falls near the fourth null (i.e.,
between the fourth and fifth lobes),
the detection of fringes in the fifth lobe is corroborated by the 180
CPs measured in the continuum below 2.293
m
(Fig. 1e).
This is because CP is the sum of the phases on the three
baselines (E0-G0, G0-H0, and H0-E0), that is, CP = 180
(2nd lobe) +
0
(3rd lobe) + 0
(5th lobe) = 180
.
While the above fit shows the AMBER HR_K data cannot be perfectly
fitted with a uniform disk or limb-darkened disk (i.e.,
),
Fig. 2 suggests that the deviation from the fitted curves
is not drastic at the time of the observations.
This means that the spatial scale of inhomogeneities in the K-band
continuum is even smaller than
the resolution of the longest baseline (9 mas) and/or the
contrast of the inhomogeneities is low.
This picture is also supported by the result that the CPs measured in the
continuum are 180
within the errors,
as expected from the above fit with a uniform disk or a limb-darkened disk.
The data in the second and third lobes were taken at seven different
epochs as given in Fig. 2.
Therefore, these data points contain information about the
effects of time-dependent surface inhomogeneities
on the K-band visibility in the continuum.
Recent 3-D hydrodynamical convection simulations for RSGs by
Chiavassa et al. (2007) and Ludwig & Beckers (2008)
predict significant temporal variations in visibility beyond the first null
due to ever-changing inhomogeneities.
For example, Chiavassa et al. (2007) present the
amplitude of such variations in the 2.2
m visibility in the second
and third lobes predicted for Betelgeuse, which are plotted
in Fig. 2.
(The model visibility at 2.1
m presented in
Ludwig & Beckers 2008 also shows similar behavior.)
However, most of the observational data points in the second and third lobes
are located near the upper boundary or at least in the upper half of the
predicted range, instead of equally distributed above and below the
center of the range. This means that the model predicts that the visibility
is systematically lower than the observations.
The observed data in the second lobe,
where we have AMBER, VINCI, and IOTA data from five epochs,
show only a modest scatter around the limb-darkened-disk fit.
The data on the third lobe do not show large
variations, either, although we have data from only two epochs.
Therefore, the AMBER, VINCI, and IOTA observations
imply that the 3-D convection simulation of Chiavassa et al.
(2007) predicts deviations that are too large
(presumably from too strong inhomogeneities) from
the limb-darkening disk that fits the observed data reasonably
in the K-band continuum.
However, given that only our AMBER HR_K data probe the very
high-spatial frequency regime and the number of the observation epochs is
not yet very large, we cannot conclude whether or not the
visibility at these high spatial frequencies shows little deviation from a
uniform-disk or limb-darkened disk all the time.
Also, only our AMBER observations have
measured CP, whose deviations from zero or
would represent a clear
signature of asymmetry.
The visibilities of Betelgeuse observed with the H-broadband filter
with IOTA show more deviation from a uniform disk than in the K band
continuum, and non-zero CPs are also detected in the third and fourth lobes
(Haubois et al. 2006).
While these results reveal inhomogeneous structures seen
with the H-broadband filter (including the absorption features due to
molecules such as H2O, CO, and OH), it is not
yet clear whether the amplitude of the deviation is consistent with
the current convection simulation models,
because the H-band IOTA data represent only one epoch.
Further spectro-interferometric monitoring observations in the K and
H bands at such high
spatial frequencies as obtained here will enable us to study the
spatial and time scale of inhomogeneities in the continuum and provide
stronger observational tests for the 3-D simulations of convection in
RSGs. Particularly, multi-epoch observations at the same spatial
frequencies will provide a direct test for the visibility fluctuation
predicted by the simulations.
Recently, Townes et al. (2009) have reported a monotonic
decrease by 15% in the 11
m diameter of Betelgeuse in the past 15
years, from 1993 to 2009. Its origin is unclear.
We examined a possible long-term variation
in the K-band uniform-disk diameter in the interferometric
observations in the literature and the VINCI data.
The uniform-disk diameters derived from the first-lobe data in the past
are
mas (Aug., Sep. 1990, Dyck et al. 1992)
and
mas (Nov. 1996, Perrin et al. 2004).
We fitted the VINCI data in the first lobe taken in Dec. 2002 and
Jan. 2003 with a uniform disk model computed with the K-band
transmission of VINCI and the spectrum of Betelgeuse, which were
used for computing the effective wavelength.
The resulting uniform-disk diameter,
mas,
agrees very well with the
obtained by Meisner (priv. comm.) from the same VINCI data but using a
different algorithm based on coherent integration (Meisner 2003).
The error includes the uncertainty in the determination of the effective
wavelength in VINCI observations (Meisner, priv. comm.), which we also
added to the error in our uniform-disk diameter.
Therefore, the K-broadband uniform-disk diameter shows a decrease of
% from 1990 to 2003, much less pronounced than at 11
m.
The continuum uniform-disk diameters of 42.69 and 43.19 mas obtained from the
AMBER data taken in 2006 and 2008 might indicate an increase in the
angular size after 2003.
However, these diameters obtained from the data beyond the first null
can be affected by inhomogeneities (although not very strong),
which makes the apparent increase in the angular size inconclusive.
![]() |
Figure 3:
Visibilities a), differential phases b),
and closure phase c) observed in the CO first overtone lines
toward Betelgeuse.
In the panels a) and b), the black, red,
and blue lines represent the visibilities or differential phases observed
on the E0-G0-16 m, G0-H0-32 m, and E0-H0-48 m baselines, respectively.
In panel a), the visibility obtained on the longest baseline
(blue) is scaled by a factor of six and shifted downward by 0.1 for the
sake of visual clarity.
The black, red, and blue dotted lines represent the continuum visibilities
of a uniform disk with 43.19 mas for the E0-G0-16 m, G0-H0-32 m, and
E0-H0-48 m baselines, respectively.
In panel c), the observed CP is shown by the black solid line.
The dotted line represents CP = |
| Open with DEXTER | |
3.2 CO first overtone lines:
m
Figure 1 reveals salient signatures of the CO first overtone
lines in the visibilities, DPs, and CPs longward of 2.293
m.
Figure 3 shows the enlarged views between
2.299 and 2.306
m (only the data set #1 is plotted for visual
clarity), where the observed spectrum and the line positions
are overplotted in each panel to show
the shape of the visibilities, DPs, and CPs within the CO lines.
Each absorption feature consists of two transitions with
high and low rotational quantum numbers J. But for simplicity,
we refer to such an absorption feature with high and low J as a ``line''
in the present work.
Comparison of the observed line positions with the laboratory data results
in a heliocentric velocity of 24 km s-1.
This value agrees with the velocity range 17-27 km s-1 derived from
the visible and IR atomic and molecular lines, as well as the mm
CO lines (e.g., Brooke et al. 1974;
Huggins 1987; Smith et al. 1989;
Huggins et al. 1994; Ryde et al. 1999).
Figure 3a shows the visibilities observed on the three
baselines. Particularly surprising is that the visibility observed
within a given CO line on the shortest baseline (
16 m) is
anti-symmetric with respect to the line core (i.e., ``
''-shaped).
While the visibility on the
middle baseline (
32 m) is roughly symmetric,
the visibility on the longest baseline (
48 m) is asymmetric
with the peak slightly redshifted with respect to the line core in most
cases.
These results mean that Betelgeuse appears different in the blue and red
wings of the CO lines and that
the blue and red wings originate
in spatially distinct regions differing in size and/or shape.
The observed DPs and CPs show remarkable non-zero and non-
values,
as high as DP = -130
(Fig. 1g) or CP =
(Figs. 1e and 3c).
These non-zero and non-
DPs and CPs confirm that the blue and red wings
of the CO lines originate in spatially distinct regions.
On the other hand, the observed DPs and CPs are nearly zero near the
line core, which means that the star appears symmetric.
One might suspect that such blue-red asymmetry in visibilities, DPs, and CPs
within
the CO line profiles can be explained by one CO absorption
feature, which appears to be a single line, being a blend of two transitions with
low and high J. If two lines with different excitation potentials form at
different regions over the stellar surface, it may make the star appear
different in the blue and red wings and cause the blue-red asymmetry.
However, the relative positions of the high
and low J lines switch at 2.3032
m: shortward of this wavelength,
the high J lines appear blueward of the low J lines, while above
2.3032
m, the high J lines appear redward of the low J lines.
Still, the same asymmetry is observed in all CO lines, whether shortward
or longward of 2.3032
m. Therefore, the observed asymmetry in the
visibility, DPs, and CP cannot be explained by the blend of two transitions
with high and low J.
Stellar rotation or spherically expanding/infalling flows are also unlikely
to be the cause of the blue-red asymmetry in visibilities and phases.
The projected photospheric rotational velocity of
Betelgeuse is low,
km s-1
(Uitenbroeck 1998; Harper & Brown 2006).
Moreover, the rotational axis inferred from the chromospheric emission lines
lies at
65
(Harper & Brown 2006), which is very close
to the position angle of the projected baselines of our AMBER observations.
In this case, rotation can have no noticeable effect on visibilities and
phases.
In spherically expanding/infalling flows,
the velocity in the line of sight changes as a
function of the angular distance from the stellar disk center.
Therefore, the photons at different wavelengths (=different velocities) within a
line profile originate in annular regions with different sizes,
which makes the star appear different in the blue and red wings.
However, such spherically symmetric models obviously
cannot explain the observed non-zero/non-
DPs and CPs.
The observed blue-red asymmetry in visibility, DP, and CP may be explained by an inhomogeneous velocity field in the atmosphere, in which upwelling and downdrafting CO gas exist in spatially distinct regions. In spectroscopic analyses using 1-D model atmospheres, such a non-thermal velocity field is empirically incorporated as macroturbulence, which manifests itself as a broadening of spectral lines (``macro'' means the spatial scale of the non-thermal gas motion is larger than the length of the unit optical depth of photons). In the next section, we examine whether the observed visibilities, DPs, and CPs can be explained by such an inhomogeneous velocity field.
![]() |
Figure 4:
Schematic view of our patchy model for Betelgeuse.
a) Cross section of the model. The star is surrounded by two layers
with an inhomogeneous velocity field.
b) 3-D view of the model. The N- and E-axes define the plane of
the sky. Only one layer is drawn for the sake of visual clarity.
Within the cone specified by a half-opening angle of |
| Open with DEXTER | |
![]() |
Figure 5:
Comparison between our patchy model (
|
| Open with DEXTER | |
4 Modeling
To characterize the inhomogeneous velocity field and the properties of
the CO gas in the atmosphere of Betelgeuse, we constructed the following
patchy two-layer model, in which the star is surrounded by the inner
and outer CO layers.
The star was assumed to be a blackbody of an effective temperature
of 3600 K based on the value derived by Perrin et al. (2004).
The inner layer represents the
photosphere - the region included in 1-D photospheric
models, usually spanning continuum optical depths of
101-102 to
10-5-10-6.
The outer layer represents the MOLsphere.
Given the dense H2O gas in the MOLsphere suggested for
Betelgeuse
from spectroscopic and interferometric observations
(Perrin et al. 2004, 2007; Ohnaka 2004a;
Tsuji 2006), it is plausible
that there is also a significant amount of CO in the MOLsphere.
The basic picture of our model is depicted in
Fig. 4.
This two-layer model is similar to the one described in
Ohnaka (2004b), but we introduced two modifications.
First, the geometrical thickness of each
layer is assumed to be very small compared to its
radius, therefore the two layers are detached from each other.
This simplifies the computation of the line opacity in the presence
of a velocity field as described below.
Second, while the column density and temperature of each layer were assumed
to be constant over the stellar surface,
we incorporated the following inhomogeneous velocity field:
CO gas is moving radially outward (or inward) with a velocity of
in one patch, while it is moving in the opposite direction
at the same velocity in the remaining region. We assumed the same
velocity field for two layers.
As Fig. 4b illustrates,
we define such a patch as a cone.
Its half-opening angle (
)
characterizes the size of the patch,
while its position is specified by two angles,
and
,
which define the vector connecting the center of the patch
and the center of the star.
We do not know a priori the actual number and shape of patches (if any) on the stellar surface, and the present data are insufficient to derive the inhomogeneous surface pattern uniquely. We only assume one patch in our modeling to keep the number of free parameters as small as possible. The aim of our modeling is not to derive the actual inhomogeneous surface structure but to see whether there is indeed a model with an inhomogeneous velocity field that can explain the observed blue-red asymmetry in visibility, DP, and CP within the CO lines.
To decrease the number of free parameters, we fixed the CO column density
and radius of the inner layer as follows.
A spherical photospheric model with the molecular opacities due to CO, TiO, H2O, OH, and SiO incorporated based on the opacity sampling
(Ohnaka, in prep.) was computed using the stellar parameters of Betelgeuse
given in Tsuji (2006).
This photospheric model gives a CO column density of
cm-2, which we adopted for the inner layer.
We assumed the radius of the inner CO layer to be a half of
the geometrical thickness of this photospheric model (
0.1
),
that is,
a radius of 1.05
.
While this choice is ambiguous, it turned out
not to affect the result significantly, as far as the radius
is smaller than
1.1
.
It is necessary to include the microturbulence, which represents the
non-thermal gas motion on a spatial scale smaller than the length of the
unit optical depth of photons.
The microturbulent velocity in the photosphere of Betelgeuse derived
from spectroscopic analyses ranges from 4 to 6 km s-1 (Lambert et al.
1984; Tsuji et al. 1994; Tsuji 2006).
We adopted a microturbulent velocity of 5 km s-1 for both the inner and
outer CO layers in our modeling.
For the outer layer, we fixed its radius and temperature based on the
previous spectroscopic and interferometric studies of the MOLsphere.
The radius of the MOLsphere of Betelgeuse measured from the near- and
mid-IR H2O features is 1.45
(Ohnaka 2004a),
1.3
(Tsuji 2006), and 1.31-1.43
(Perrin et al. 2007). We tentatively adopted 1.45
for
our modeling.
The temperature of the H2O MOLsphere derived by the above authors ranges
from 1500 to 2250 K. A gas temperature of 1800 K, which lies roughly
in the middle of this range, was adopted for the outer CO layer.
Therefore, the free parameters of our model are the temperature of the
inner CO layer (
), the CO column density of the outer CO layer
(
), the velocity of the CO gas motion (
),
and the position and size of the patch (
,
,
and
).
The intensity distribution for this patchy model was computed at each
wavelength between 2.291 and 2.309
m by performing ray tracing
along a number of lines of sight (see Ohnaka 2004a,b).
The only difference from these previous studies is the inclusion of
the Doppler shift
due to the velocity field in the calculation of the line opacity.
Since each layer is geometrically thin, the velocity
component along the line of sight within one layer can be approximated
to be constant, which simplifies the computation.
The CO line list of Goorvitch (1994) was used for
calculating the line opacity.
The monochromatic 2-D complex visibility was calculated by taking the
Fourier transform of the intensity and then was spectrally convolved to
match the resolution of our AMBER observations (12 000, 8000, and 4800).
The visibility amplitude and phase were
derived from this spectrally convolved 2-D complex visibility, which
was scaled with the uniform-disk diameter of 43.19 mas derived from
the AMBER HR_K data in the continuum.
CP was obtained as the sum of Fourier phases
predicted for three baselines,
while DP on a given baseline was computed by taking
the difference in Fourier phase between a CO line and the continuum
below 2.293
m.
The correspondence between the sign of CP measured with AMBER and
the positional offset in the plane of the sky is described
in Kraus et al. (2009).
![]() |
Figure 6: Images of Betelgeuse predicted by our patchy model shown in Fig. 5 at different wavelengths in the CO line consisting of R(29) and R(72). a)-d): Model images in the continuum, blue wing, line core, and red wing as indicated in the panel e). The extended MOLsphere is slightly visible in the panel c). e): Normalized flux (left ordinate) and visibility on the shortest baseline (right ordinate). The filled circles and solid line represent the observed and model flux, respectively. The observed visibility and model prediction are shown by the filled diamonds and dashed line, respectively. The line positions are marked with the vertical ticks. A color version of this figure is available in the electronic edition. |
| Open with DEXTER | |
Figure 5 shows a model with
= 2250 K and
=
cm-2,
characterized by a large, upwelling spot (
![]()
,
=
10 km s-1) covering nearly a half of the apparent stellar disk (
![]()
,
,
see also Figs. 6b and 6d).
Given the simple nature of the model, the overall agreement is reasonable,
although there are still discrepancies between the model and the
observed data.
Particularly, the agreement is poor near the band head, which is
discussed below. Also, the visibility on the longest baseline as well as
the CP predicted
by the model is too smooth compared to the observed data (note that the
spectral resolution of the model matches that of the binned data).
Figure 6 shows the images predicted by
this model at different wavelengths within a CO line (R(29) and R(72)).
The figure illustrates that
the velocity field makes the star appear different in the blue and red
wings.
This can cause the visibility to be anti-symmetric with respect to the line
core as observed on the shortest baseline and also explains the
observed asymmetric DPs and CPs.
The stellar image at the line core is the sum of the blue- and
red-shifted components. This makes the star appear nearly centrosymmetric
(Fig. 6c) and results in DPs and CPs close to zero
at the line core as observed.
The agreement between the observed data and the model becomes poorer near the band head. In particular, the deviations of DP from zero predicted for the middle and longest baselines are too small compared to the observed values. The reason why the DPs predicted by the model do not show significant deviation from zero is as follows. Since the lines are very crowded near the band head, the blue (or red) wing of one line overlaps with the red (or blue) wing of the adjacent lines. This means that the appearance of the star at a given wavelength in such a crowded region is the sum of the blue- and red-shifted components as in the case of the image at the core of an isolated line. As Fig. 6c shows, the resulting image appears roughly centrosymmetric. This is the reason why the DPs predicted by the model do not show noticeable deviations from zero. A possible reason for the discrepancy near the band head is our assumption that the CO column density and temperature are uniform over the stellar surface. Inhomogeneities in CO column density and/or in temperature over the surface may reconcile the disagreement between the model and the observed data near the band head.
The uncertainty ranges of
,
,
and
derived from our
modeling are 2000-2500 K,
cm-2, and 10-15 km s-1,
respectively.
We also computed models with
set to zero (i.e., no MOLsphere), but
such models cannot reproduce the visibilities observed near the band head.
The uncertainties in the position and size of the patch are very
large: the ranges for
,
,
and
are
20
-80
,
20
-80
,
and 0
-40
,
respectively.
However, these uncertainties in the position and size of the patch
should not be taken at face value, because we assumed for simplicity that
there is only one spot, which may not be the case.
Also, we cannot conclude that the CO gas in the patch is
moving upward or downward. We computed models in which the patch is moving
downward and found out that there are parameter sets that are consistent
with the observations.
However, apart from these uncertainties in the actual
surface pattern and the direction of the velocity field,
our AMBER data and modeling suggest an inhomogeneous velocity field with
amplitudes of
10-15 km s-1.
5 Discussion
The amplitude of the velocity field suggested from our modeling, 10-15 km s-1,
compares favorably with the macroturbulent velocities derived in the previous
spectroscopic analyses.
Macroturbulence manifests itself as the broadening of spectral lines
in observed spectra.
In spectral analyses using 1-D model atmospheres,
macroturbulence is usually incorporated as an additional line broadening
factor with a Gaussian distribution (i.e.
)).
The macroturbulent velocity - either
as the Gaussian dispersion
or the
corresponding
to
- is derived so that synthetic spectra reproduce
observed line profiles.
For Betelgeuse, macroturbulent velocities as high as
20 km s-1 (FWHM) were derived from the optical lines by Lobel & Dupree
(2000) and Gray (2000), while lower values of
10-12 km s-1 were obtained from near- and mid-IR lines (Jennings et al.
1986; Jennings & Sada 1998;
Ryde et al. 2006a; Tsuji 2006).
Josselin & Plez (2007) have analyzed spectral line profiles in the
optical and extracted information about the velocity field in a sample of
RSGs.
For Betelgeuse, they find that the strong lines
with lower excitation potentials of
1 eV show blue- and red-shifted
components at approximately
10 km s-1 with respect to the velocity
of weak lines with excitation potentials of
3 eV.
These velocities
agree roughly with the 10-15 km s-1 derived from our modeling
of the CO first overtone lines with excitation potentials of <1 eV.
Josselin & Plez (2007) detect no periodic or regular
temporal variation in the velocity of the blue- and red-shifted components,
which led them to interpret these two components as upward
and downward convective motion.
On the other hand,
it is not so obvious whether such strong convective motion
can be present in the CO line formation layers, where the convective
energy flux is small.
Alternatively, it is possible that the CO gas motion detected by our AMBER
observations may represent local mass ejections.
High-resolution studies of the dusty RSG VY CMa and less massive
evolved stars, such as IRC+10216 and CIT6,
suggest that the mass loss is accompanied by episodic mass
ejections in clumps or arcs (Humphreys et al. 2007;
Smith et al. 2009; Weigelt et al. 2002;
Monnier et al. 2000).
While the circumstellar envelope around Betelgeuse is spherical on a
large scale unlike VY CMa, inhomogeneities such as clumps and plumes have
been detected (Plez & Lambert 2002; Smith et al. 2009).
The recent high-resolution images in the near-IR
taken by Kervella et al. (2009) reveal
a large plume extending to roughly six stellar radii in the southwestern
region of the star.
The long-term variability of the H
line velocity can also be
interpreted as a consequence of ``intermittent failed ejections'',
in which material is flung out and falls back toward the star
(Smith et al. 1989).
To summarize, our AMBER observations are the first
spatially-resolved detection of macroturbulent gas motion
in a stellar atmosphere (photosphere and possibly MOLsphere) other than the
Sun
.
The spatially resolved CO gas motion can represent the convective motion in
the upper photosphere (and also in the MOLsphere) or the motion related to
intermittent mass ejections in clumps and/or arcs.
The (u,v) coverage of the present AMBER data is insufficient for deriving the actual inhomogeneous structure in the photosphere and MOLsphere. In particular, the lack of visibilities in the first lobe makes it difficult to measure the size of the MOLsphere seen in the CO lines, and we simply assumed the same radius and temperature as those derived from the near- and mid-IR H2O features. While baselines shorter than the 16 m currently available at the VLTI is desirable, it is also possible to observe Betelgeuse in the first lobe by taking advantage of the projection effect. Such new data will be indispensable for constraining the geometrical extent of the CO gas in the MOLsphere of Betelgeuse.
Lastly, we estimate the number of observations needed to reconstruct
an image.
As a rule of thumb, the number of (u,v) points should be larger than the
number of filled pixels (i.e., pixels with stellar flux) in the reconstructed
image (e.g., Haniff 2007).
This means that we need at least five (u,v) points - realistically about
10 points - to reconstruct a 1-D image
with five resolution elements over the stellar disk
as in our present work.
Therefore, to reconstruct a 2-D image with
pixels, we need
approximately 100 (u,v) points, which corresponds to
33 observations
(
3 nights)
with AMBER using three telescopes.
It is crucial that these (u,v) points are as uniformly distributed
as possible, which will become feasible when more new VLTI
configurations, particularly
short baselines perpendicular to E0-G0-H0, are opened.
The above estimate is roughly consistent with
the image reconstruction simulation for the VLTI 2nd generation instrument
MATISSE (Hofmann et al. 2008).
6 Concluding remarks
We have spatially resolved the CO gas motion in the atmosphere of Betelgeuse
with high-spectral resolution using
VLTI/AMBER and successfully measured the visibilities, DPs,
and CPs in the second, third, and fifth lobes,
marking the highest spatial resolution (
9 mas) achieved for
Betelgeuse.
The visibilities observed in the CO first overtone lines
suggest that the blue and red wings of individual lines originate in
spatially distinct regions, and the non-zero/non-
DPs and CPs
observed in the CO lines corroborate this picture.
Our simple model suggests an inhomogeneous velocity field with amplitudes
of
10-15 km s-1 in the atmosphere of Betelgeuse.
These AMBER observations are the first to spatially resolve the so-called
macroturbulence in a stellar atmosphere other than the Sun.
The spatially resolved CO gas motion is likely to correspond to the
convective motion in the upper
photosphere (and possibly MOLsphere as well) or intermittent, failed
clumpy mass ejections.
Our modeling also shows that the AMBER data are consistent with the
presence of the MOLsphere extending to
1.45
with a CO column density of
1020 cm-2 and a temperature
of 1800 K.
The visibilities and CPs observed in
the continuum below 2.293
m do not show any drastic deviation from
a limb-darkened disk with a diameter of 43.56 mas and a limb-darkening
parameter of 0.12 at the time of the observations.
Comparison of our AMBER HR_K data with the previous AMBER
MR_K data, VINCI data, and IOTA measurements reveals that
the recent 3-D convection simulations for Betelgeuse predict
the K-band continuum visibility to be too low beyond the first null.
We plan to continue AMBER observations of Betelgeuse to study
temporal variations in the visibilities and phases in the CO lines,
as well as in the continuum. Such high-spatial resolution data
will provide tight constraints on the time and spatial scale
of the inhomogeneities.
When more baselines, particularly short ones, become available,
reconstruction of a
-pixel image will be feasible
with observations in
3 nights. High-resolution imaging
for various molecular lines will be essential for understanding
the physical processes responsible for the inhomogeneous structures
in RSGs.
Acknowledgements
We thank the ESO VLTI team in Garching and in Paranal, particularly Fredrik Rantakyrö, for supporting our AMBER observations. We also thank Jeff Meisner for his reduction of the VINCI data and discussion of the accuracy of the determination of the diameter diameters from the VINCI data.
References
- Airapetian, V. S., Ofman, L., Robinson, R. D., Carpenter, K., & Davila, J. 2000, ApJ, 528, 965 [NASA ADS] [CrossRef] (In the text)
- Brooke, A. L., Lambert, D. L., & Barnes III, T. G. 1974, PASP, 86, 419 [NASA ADS] [CrossRef] (In the text)
- Burns, D., Baldwin, J. E., Boysen, R. C., et al. 1997, MNRAS, 290, L11 [NASA ADS] (In the text)
- Chiavassa, A., Plez, B., Josselin, E., & Freytag, B. 2007, SF2A-2007, ed. J. Bouvier, A. Chalabaev, & C. Charbonnel, 447, also available at[arXiv:astro-ph/0802.1403] (In the text)
- Cuntz, M., & Muchmore, D. O. 1994, ApJ, 433, 303 [NASA ADS] [CrossRef] (In the text)
- Dyck, H. M., Benson, J. A., Ridgway, S. T., & Dixon, D. J. 1992, AJ, 104, 1982 [NASA ADS] [CrossRef] (In the text)
- Freytag, B., Steffen, M., & Dorch, B. 2002, Astron. Nachr., 323, 213 [NASA ADS] [CrossRef] (In the text)
- Gilliland, R. L., & Dupree, A. K. 1996, ApJ, 463, L29 [NASA ADS] [CrossRef] (In the text)
- Goorvitch, D. 1994, ApJS, 95, 535 [NASA ADS] [CrossRef] (In the text)
- Gray, D. F. 2000, ApJ, 532, 487 [NASA ADS] [CrossRef] (In the text)
- Gray, D. F. 2008, AJ, 135, 1450 [NASA ADS] [CrossRef] (In the text)
- Haniff, C. 2007, New Astron. Rev., 51, 565 [NASA ADS] [CrossRef] (In the text)
- Harper, G. M., & Brown, A. 2006, ApJ, 646, 1179 [NASA ADS] [CrossRef] (In the text)
- Haubois, X., Perrin, G., Lacour, S., et al. 2006, SF2A-2006, ed. D. Barret, F. Casoli, G. Lagache, A. Lecavelier, & L. Pagani, 471 (In the text)
- Hebden, J. C., Eckart, A., & Keith Hege, E. 1987, ApJ, 314, 690 [NASA ADS] [CrossRef] (In the text)
- Hernández, O., & Chelli, A. 2007, AMBER Scientific Workshop, presentation available at http://www-laog.obs.ujf-grenoble.fr/amber/IMG/pdf/hernandez_Workshop_0307LOAG.pdf (In the text)
- Hestroffer, D. 1997, A&A, 327, 199 [NASA ADS] (In the text)
- Hofmann, K.-H., Heininger, M., Jaffe, W., et al. 2008, SPIE Proc, 7013, 70133Y (In the text)
- Huggins, P. J. 1987, ApJ, 313, 400 [NASA ADS] [CrossRef] (In the text)
- Huggins, P. J., Bachiller, R., Cox, P., & Forveille, T. 1994, ApJ, 424, L127 [NASA ADS] [CrossRef] (In the text)
- Humphreys, R. M., Helton, L. A., & Jones, T. 2007, AJ, 133, 2716 [NASA ADS] [CrossRef] (In the text)
- Jennings, D. E., Deming, D., Wiedemann, G. R., Keady, J. J. 1986, ApJ, 310, L39 [NASA ADS] [CrossRef] (In the text)
- Jennings, D. E., Sada, P. V. 1998, Science, 279, 844 [NASA ADS] [CrossRef] (In the text)
- Josselin, E., & Plez, B. 2007, A&A, 469, 671 [NASA ADS] [CrossRef] [EDP Sciences] (In the text)
- Kervella, P., Coudé du Foresto, V., Glindemann, A., & Hofmann, R. 2000, SPIE Proc., 4006, 31 [NASA ADS] (In the text)
- Kervella, P., Ségransan, D., & Coudé du Foresto, V. 2004, A&A, 425, 1161 [NASA ADS] [CrossRef] [EDP Sciences] (In the text)
- Kervella, P., Verhoelst, T., Ridgway, S. T., et al. 2009, A&A, in press [arXiv:astro-ph/0907.1843] (In the text)
- Kiss, L. L., Szabó, Gy. M., & Bedding, T. R. 2006, MNRAS, 372, 1721 [NASA ADS] [CrossRef] (In the text)
- Kraus, S., Weigelt, G., Balega, Y. Y., et al. 2009, A&A, 497, 195 [NASA ADS] [CrossRef] [EDP Sciences] (In the text)
- Lambert, D. L., Brown, J. A., Hinkle, K. H., & Johnson, H. R. 1984, ApJ, 284, 223 [NASA ADS] [CrossRef] (In the text)
- Lim, J., Carilli, C., White, S. M., Beasley, A. J., & Marson, R. G. 1998, Nature, 392, 575 [NASA ADS] [CrossRef] (In the text)
- Lobel, A., & Dupree, A. K. 2000, ApJ, 545, 454 [NASA ADS] [CrossRef] (In the text)
- Ludwig, H.-G., & Beckers, J. 2008, ESO Astrophysics Symposia ``The Power of Optical/IR Interferometry: Recent Scientific Results and 2nd Generation Instrumentation'', ed. A. Richichi, F. Delplancke, F. Paresce, & A. Chelli (Springer), 485 (In the text)
- Meisner, J. A. 2003, Ap&SS, 286, 119 [NASA ADS] [CrossRef] (In the text)
- Monnier, J. D., Tuthill, P. G., & Danchi, W. C. 2000, ApJ, 545, 957 [NASA ADS] [CrossRef] (In the text)
- Ohnaka, K. 2004a, A&A, 421, 1149 [NASA ADS] [CrossRef] [EDP Sciences] (In the text)
- Ohnaka, K. 2004b, A&A, 424, 1011 [NASA ADS] [CrossRef] [EDP Sciences] (In the text)
- Perrin, G., Ridgway, S. T., Coudé du Foresto, V., et al. 2004, A&A, 418, 675 [NASA ADS] [CrossRef] [EDP Sciences] (In the text)
- Perrin, G., Ridgway, S. T., Verhoelst, T., et al. 2005, A&A, 436, 317 [NASA ADS] [CrossRef] [EDP Sciences] (In the text)
- Perrin, G., Verhoelst, T., Ridgway, S. T., et al. 2007, A&A, 474, 599 [NASA ADS] [CrossRef] [EDP Sciences] (In the text)
- Petrov, R. G., Malbet, F., Weigelt, G., et al. 2007, A&A, 464, 1 [NASA ADS] [CrossRef] [EDP Sciences] (In the text)
- Plez, B., & Lambert, D. L. 2002, A&A, 386, 1009 [NASA ADS] [CrossRef] [EDP Sciences] (In the text)
- Richichi, A., & Percheron, I. 2005, A&A, 434, 1201 [NASA ADS] [CrossRef] [EDP Sciences] (In the text)
- Ryde, N., Gustafsson, B., Hinkle, K. H., et al. 1999, A&A, 347, L35 [NASA ADS] (In the text)
- Ryde, N., Harper, G. M., Richter, M. J., Greathouse, T. K., & Lacy, J. H. 2006a, ApJ, 637, 1040 [NASA ADS] [CrossRef] (In the text)
- Ryde, N., Richter, M. J., Harper, G. M., Eriksson, K., & Lambert, D. L. 2006b, ApJ, 645, 652 [NASA ADS] [CrossRef]
- Schröder, K.-P., & Cuntz, M. 2005, ApJ, 630, L73 [NASA ADS] [CrossRef] (In the text)
- Schröder, K.-P., & Cuntz, M. 2007, A&A, 465, 593 [NASA ADS] [CrossRef] [EDP Sciences] (In the text)
- Schwarzschild, M. 1975, ApJ, 195, 137 [NASA ADS] [CrossRef] (In the text)
- Smith, N., Hinkle, K. H., & Ryde, N. 2009, AJ, 137, 3558 [NASA ADS] [CrossRef] (In the text)
- Smith, M., Patten, B. M., & Goldberg, L. 1989, AJ, 98, 2233 [NASA ADS] [CrossRef] (In the text)
- Suzuki, T. K. 2007, ApJ, 659, 1592 [NASA ADS] [CrossRef] (In the text)
- Tatebe, K., Chandler, A. A., Wishnow, E. H., Hale, D. D. S., & Townes, C. H. 2007, A&A, 670, L21 [NASA ADS] (In the text)
- Tatulli, E., Millour, F., Chelli, A., et al. 2007, A&A, 464, 29 [NASA ADS] [CrossRef] [EDP Sciences] (In the text)
- Townes, C. H., Wishnow, E. H., Hale, D. D. S., & Walp, B. 2009, ApJ, 697, L127 [NASA ADS] [CrossRef] (In the text)
- Tsuji, T. 2000a, ApJ, 538, 801 [NASA ADS] [CrossRef] (In the text)
- Tsuji, T. 2000b, ApJ, 540, L99 [NASA ADS] [CrossRef] (In the text)
- Tsuji, T. 2006, ApJ, 645, 1448 [NASA ADS] [CrossRef] (In the text)
- Tsuji, T., Ohnaka, K., Hinkle, K. H., & Ridgway, S. T. 1994, A&A, 289, 469 [NASA ADS] (In the text)
- Tuthill, P. G., Haniff, C. A., & Baldwin, J. E. 1997, MNRAS, 285, 529 [NASA ADS] (In the text)
- Uitenbroek, H., Dupree, A. K., & Gilliland, R. L. 1998, ApJ, 116, 2501 [NASA ADS] (In the text)
- Verhoelst, T., Decin, L., Van Malderen, R., et al. 2006, A&A, 447, 311 [NASA ADS] [CrossRef] [EDP Sciences] (In the text)
- Verhoelst, T., Van der Zypern, N., Hony, S., et al. 2009, A&A, 498, 127 [NASA ADS] [CrossRef] [EDP Sciences] (In the text)
- Vidotto, A. A., & Janteco-Pereira, V. 2006, ApJ, 639, 416 [NASA ADS] [CrossRef] (In the text)
- Wallace, L., & Hinkle, K. H. 1996, ApJS, 107, 312 [NASA ADS] [CrossRef] (In the text)
- Weigelt, G., Balega, Y. Y., Blöcker, T., et al. 2002, A&A, 392, 131 [NASA ADS] [CrossRef] [EDP Sciences] (In the text)
- Weigelt, G., Chesneau, O., Driebe, T., et al. 2008, SPIE Proc., 7013, 701303 (In the text)
- Wittkowski, M., Aufdenberg, J. P., & Kervella, P. 2004, A&A, 413, 711 [NASA ADS] [CrossRef] [EDP Sciences] (In the text)
- Woolf, N. J., Schwarzschild, M., & Rose, W. K. 1964, ApJ, 140, 833 [NASA ADS] [CrossRef] (In the text)
- Young, J. S., Baldwin, J. E., Boysen, R. C., et al. 2000, MNRAS, 315, 635 [NASA ADS] [CrossRef] (In the text)
Footnotes
- ... VLTI/AMBER
- Based on AMBER and VINCI observations made with the Very Large Telescope Interferometer of the European Southern Observatory. Program IDs: 080.D-0236 (AMBER Guaranteed Time Observation), 60.A-9054A, and 60.A-9222A.
- ... continuum
- Exactly speaking, two pieces of information are lost in the derivation of DP from AMBER observations: the absolute phase offset and the linear phase gradient with respect to wavenumber.
- ... ver.2.2
- Available at http://www.jmmc.fr/data_processing_amber.htm
- ... IRAF
- IRAF is distributed by the National Optical Astronomy Observatories, which are operated by the Association of Universities for Research in Astronomy, Inc., under cooperative agreement with the National Science Foundation.
- ... ver.3.0
- Available at http://www.jmmc.fr/data_processing_vinci.htm
- ...
Sun
- The chromospheric gas motion toward Betelgeuse was spatially resolved with the HST observations in the UV by Gilliland & Dupree (1996).
All Tables
Table 1: Summary of the AMBER observations of Betelgeuse and the calibrator Sirius.
Table 2: Summary of the VINCI observations of Betelgeuse.
Table 3: Calibrators used for the VINCI observations of Betelgeuse.
All Figures
![]() |
Figure 1:
AMBER observations of Betelgeuse.
In all panels except for a), the black and red lines
represent the data sets #1 and #2, respectively.
The spectrum shown in the panel a) was derived from the
merged data.
The positions of the CO first overtone lines, as well as other atomic and molecular lines,
are marked with the ticks.
In the panels except for a),
two error bars near the left ordinate represent
the typical errors in the continuum ( left) and in the CO lines ( right) for
the data set #1.
The errors for the data set #2 are shown near the right ordinate
in the same manner.
The error in the normalized spectrum is 0.5% and 1% in the continuum
and in the CO lines, respectively.
The wavelength scale is in the heliocentric frame.
a): Normalized flux.
b)-d): Visibilities observed on the E0-G0-16 m, G0-H0-32 m, and
E0-H0-48 m baselines. The visibilities on the middle and longest baselines are
binned with a box car filter with widths of three and five pixels,
respectively.
e): Closure phases with five-pixel binning.
Note that the errors in CP near the CO band head between 2.294 and
2.296 |
| Open with DEXTER | |
| In the text | |
![]() |
Figure 2:
K-band continuum/broadband visibilities of Betelgeuse
plotted as a function
of spatial frequency. The insets show enlarged views of the second, third,
and fifth lobes.
The error bars of the single AMBER data points are exemplarily shown in the
insets. The errors of the VINCI and IOTA data are also shown in the insets.
The solid and dashed lines represent the visibilities for a uniform disk with
a diameter of 43.19 mas and for a limb-darkened disk with a diameter of
43.56 mas
and a limb-darkening parameter of 0.12 (power-law-type limb-darkened disk
of Hestroffer 1997), respectively.
The dotted lines represent the full amplitude of the
variations in the 2.22 |
| Open with DEXTER | |
| In the text | |
![]() |
Figure 3:
Visibilities a), differential phases b),
and closure phase c) observed in the CO first overtone lines
toward Betelgeuse.
In the panels a) and b), the black, red,
and blue lines represent the visibilities or differential phases observed
on the E0-G0-16 m, G0-H0-32 m, and E0-H0-48 m baselines, respectively.
In panel a), the visibility obtained on the longest baseline
(blue) is scaled by a factor of six and shifted downward by 0.1 for the
sake of visual clarity.
The black, red, and blue dotted lines represent the continuum visibilities
of a uniform disk with 43.19 mas for the E0-G0-16 m, G0-H0-32 m, and
E0-H0-48 m baselines, respectively.
In panel c), the observed CP is shown by the black solid line.
The dotted line represents CP = |
| Open with DEXTER | |
| In the text | |
![]() |
Figure 4:
Schematic view of our patchy model for Betelgeuse.
a) Cross section of the model. The star is surrounded by two layers
with an inhomogeneous velocity field.
b) 3-D view of the model. The N- and E-axes define the plane of
the sky. Only one layer is drawn for the sake of visual clarity.
Within the cone specified by a half-opening angle of |
| Open with DEXTER | |
| In the text | |
![]() |
Figure 5:
Comparison between our patchy model (
|
| Open with DEXTER | |
| In the text | |
![]() |
Figure 6: Images of Betelgeuse predicted by our patchy model shown in Fig. 5 at different wavelengths in the CO line consisting of R(29) and R(72). a)-d): Model images in the continuum, blue wing, line core, and red wing as indicated in the panel e). The extended MOLsphere is slightly visible in the panel c). e): Normalized flux (left ordinate) and visibility on the shortest baseline (right ordinate). The filled circles and solid line represent the observed and model flux, respectively. The observed visibility and model prediction are shown by the filled diamonds and dashed line, respectively. The line positions are marked with the vertical ticks. A color version of this figure is available in the electronic edition. |
| Open with DEXTER | |
| In the text | |
Copyright ESO 2009
Current usage metrics show cumulative count of Article Views (full-text article views including HTML views, PDF and ePub downloads, according to the available data) and Abstracts Views on Vision4Press platform.
Data correspond to usage on the plateform after 2015. The current usage metrics is available 48-96 hours after online publication and is updated daily on week days.
Initial download of the metrics may take a while.
![\begin{figure}
\par\includegraphics[width=16.5cm,clip]{12247F1.ps}
\end{figure}](/articles/aa/full_html/2009/31/aa12247-09/Timg134.png)
![\begin{figure}
\par\includegraphics[angle=-90,width=16.5cm,clip]{12247F2.ps}
\end{figure}](/articles/aa/full_html/2009/31/aa12247-09/Timg135.png)
![\begin{figure}
\par\includegraphics[width=8.5cm,clip]{12247F3.ps}
\end{figure}](/articles/aa/full_html/2009/31/aa12247-09/Timg152.png)
![\begin{figure}
\par\includegraphics[width=7.5cm,clip]{12247F4.eps}
\end{figure}](/articles/aa/full_html/2009/31/aa12247-09/Timg156.png)
![\begin{figure}
\par\includegraphics[angle=-90,width=16.5cm,clip]{12247F5.ps}
\end{figure}](/articles/aa/full_html/2009/31/aa12247-09/Timg157.png)
![\begin{figure}
\par\includegraphics[width=8.5cm,clip]{12247F6.ps}
\end{figure}](/articles/aa/full_html/2009/31/aa12247-09/Timg159.png)