| Issue |
A&A
Volume 503, Number 2, August IV 2009
|
|
|---|---|---|
| Page(s) | 591 - 593 | |
| Section | The Sun | |
| DOI | https://doi.org/10.1051/0004-6361/200811356 | |
| Published online | 15 July 2009 | |
Diamagnetic current does not produce an instability in the solar corona
J. Vranjes - S. Poedts
Center for Plasma Astrophysics, and Leuven Mathematical Modeling and Computational Science Center (LMCC), Celestijnenlaan 200 B, 3001 Leuven, Belgium
Received 16 November 2008 / Accepted 12 June 2009
Abstract
Context. The solar atmosphere contains density irregularities of various sizes embedded in magnetic fields. In the case of a density gradient perpendicular to the magnetic field vector, the plasma supports drift waves that are usually growing as a result of the free energy stored in the density gradient.
Aims. Some basic features of the drift wave are discussed here and, in particular, the gyro-viscosity stress tensor effects and the properties of the diamagnetic drift. Also, the recently proposed ``new'' instability due to the diamagnetic drift is checked.
Methods. This analysis involves a calculation that considers some terms missing in previous calculations that have appeared in the literature.
Results. It is shown that the diamagnetic drift, which is essential for the recently proposed new physical phenomenon, cannot contribute to the flux in the continuity equation. Moreover, the part of the ion polarization drift contribution to the ion flux cancels out exactly with the contribution of the part of the stress tensor drift to the same flux.
Conclusions. Thus, the ion diamagnetic current does not produce an instability in the solar corona.
Key words: Sun: corona - waves - instabilities
1 Introduction
Observations in the past have provided ample evidence of numerous plasma density irregularities, filaments, and threads in the magnetically dominated solar atmosphere. The most recent Hinode observations (see e.g. De Pontieu et al. 2007) only confirm that the solar atmosphere is a highly structured and inhomogeneous system with grass-like density filaments of various sizes pervading the whole domain. Such density irregularities are, as a rule, associated with the magnetic field, thus creating a perfect environment for the drift wave. Clearly, the observable characteristic dimensions of the density irregularities are limited by the presently available spatial resolutions of the current instruments (presently a fraction of an arcsecond). However, even extremely short, meter-size scales cannot be excluded, especially in the solar corona Vranjes & Poedts 2008; hence, the density inhomogeneity scale lengths may have any values from the meter size up to thousands of kilometers in the case of coronal plumes.
In the past, the role of drift waves in the solar atmosphere has either been overlooked or greatly underestimated. This may be partly because the study of drift waves necessarily implies a multi-component fluid or kinetic description, contrary to the MHD (magnetohydrodynamics) model widely applied in solar physics, within which the drift wave can simply not be obtained. In fact, the drift mode is not only able to survive drastically different plasma characteristics such as the collisional-collisionless extremes in the lower and upper solar atmosphere, respectively, but in fact to benefit (grow) from each of them separately. As a result the term `universally growing mode' for the drift mode in the literature.
In collisional plasma, such as in the lower solar chromosphere, the
mode grows thanks to electron collisions, and this can be studied within
the framework of the fluid description. In collision-less plasma,
such as in the solar corona, the mode grows due to the electron
resonant effects, and this is a purely kinetic effect. All that is
needed for the growth is simply the presence of density
gradients perpendicular to the ambient magnetic field vector. A
plasma flow along the magnetic field, with a density gradient in the
perpendicular direction (shear plasma flow) can make the mode
grow, as has been shown both within fluid Saleem et al. 2007 and
kinetic theory Kaneko et al. 2003. The same holds for the case of a current
directed along the magnetic field vector Goldston & Rutherford 1995 or in the case
of a perpendicular electron or ion temperature gradient
Goldston & Rutherford 1995,Weiland 2000, so numerous experimentally verified
ways exist to make the mode unstable/growing (see also Vranjes
Poedts 2009). The purpose of the present
work is to show, however, that the recently suggested additional
instability triggering mechanism, the diamagnetic currents, cannot possibly make the mode growing.
2 Elements of the drift wave theory
Within the fluid description, the motion of ions and electrons is
described by
and
respectively. The shape of these equations reveals that we are dealing with electrostatic perturbations, the hot ion effects are included through the pressure and the gyro-viscosity stress tensor terms, and the lefthand side of the electron momentum equation is omitted, implying perturbations with phase speed and a perturbed velocity both far below the electron thermal velocity.
In certain parameter domains, the drift mode may become
electromagnetic Vranjes
Poedts 2006, provided the plasma
is large
enough. This yields a coupling of the drift and the kinetic Alfvén
wave. However, as shown by Vranjes & Poedts (2006), the Alfvén
part of the mode is of no interest as it is always damped by
the collisions, so it will not be discussed here. The
usual gas viscosity is as a rule negligible even for a relatively
high-density environment like the photosphere and chromosphere. More
details are available in Vranjes
Poedts (2006).
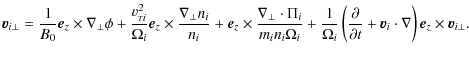
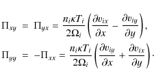
The ion gyro-viscous components that we need here are given by
Weiland 2000
Here and below we have taken
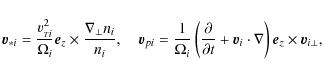
The ion perpendicular velocity, obtained from Eq. (1), is
described by the following recurrent formula
It can be calculated up to small terms of any order using the drift approximation
2.1 Gyro-viscosity effects and ``new instability'' driven by ion diamagnetic current
The ion gyro-viscosity is usually overlooked in the literature in studies within the framework of the multi-component plasma theory. For the solar plasma case, this may have particularly important consequences because the ion and electron temperatures are typically of the same order of magnitude, so that a cold ion approximation and the consequent neglect of the ion gyro-viscosity cannot be justified. In fact, such a neglect may even give rise to some artificial, unphysical results, as shown below.
As a matter of fact, it is a well known Weiland 2000,Vranjes
Poedts 2006, yet
often disregarded fact, that a part of the ion gyro-viscosity
stress tensor contributes to the cancellation of some terms in the
ion continuity equations. This implies that, if the gyro-viscosity
terms are omitted in the derivations, the resulting ion equations
contain terms that cannot possibly be there. Moreover and
unfortunately, these extra terms yield some false physical effects.
A typical example of that type can be seen in the recent work
Mecheri & Marsch 2008 where the discovery of a ``new instability'' of the drift
wave was claimed as a result of such an erroneous calculation.
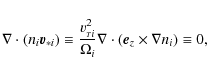
The above-mentioned cancellation of terms appears when Eq. (3)
is substituted into the ion continuity equation
.
The cancellation involves, respectively, the diamagnetic
and polarization drifts from one side
and the stress tensor drift term
From the first expression in Eq. (4), it is seen that, as long
as the magnetic field is homogeneous, we have
describing a well-known fundamental property Weiland 2000. Physically, this is because the diamagnetic drift is a fluid effect and not a particle drift, therefore it cannot contribute to the flux in the continuity equation. It appears due to the gyration of ion particles in the presence of a density gradient and without any macroscopic motion of the ion guiding center. As a result, this term does not contribute to the flux in the continuity equations. However, this term is essential in the mentioned work of Mecheri
The mentioned cancellation of terms appears due to the convective
derivative part
in the polarization drift
On the other hand, the (gyro-viscosity) stress tensor drift term
yields
Within the second-order small terms approximation, the first term on the righthand side in this expression cancels out exactly with the term
We stress that the cancellation of terms is exact and valid
for any plasma regardless of any specific parameters, and this
includes the solar corona. Moreover, the analysis of drift
waves obtained from this formal fluid theory can also be easily obtained by using the kinetic theory where the problem of the
stress tensor is not an issue (cf., references Weiland 2000, and
Vranjes
Poedts 2006).
However, if the derivation is performed incorrectly, e.g. by simply
ignoring the stress tensor contribution, then the resulting
equations contain some extra terms originating from the convective
derivative in the ion polarization drift. For perturbations of the
form
this implies terms like
,
which in
reality cancel out exactly. These extra terms are in fact
explicitly seen throughout Mecheri
Marsch (2008),
and are erroneously claimed to produce a ``new instability'' of the
drift wave. We observe that the stress tensor contribution is
included nowhere in the work of Mecheri
Marsch, so their
equations contain extra terms originating both from the polarization
drift and from condition (5) not being taken
into account.
3 Summary
The importance of the drift wave in the solar atmosphere has been
pointed out, and the most important mechanisms that make the mode
grow are briefly mentioned. The diamagnetic drift (current)
plays an essential role in the description of the drift wave. We
have stressed that: (i) the diamagnetic drift is a fluid effect and
not a particle drift, therefore it cannot contribute to the flux in
the continuity equation; and (ii) a well-known
cancellation exists of the part of the ion polarization drift contribution
to the ion flux on the one hand and the contribution of the part of
the stress tensor drift to the same flux, on the other.
Therefore, to avoid artificial, unphysical results,
great care is needed in studies dealing with hot ion effects as in
the case of the solar corona. We have shown that the results
presented in the work of Mecheri
Marsch are an artifact of some
basic errors in the starting set of equations. Their equations
indeed contain the terms that determine all the results obtained
in the commented paper. However, those terms cancel out exactly due
to Eq. (5) and due to the stress tensor effect. This
cancellation is valid in general and independent of the physical
system, and it must be taken into account in a proper model.
Acknowledgements
These results were obtained in the framework of the projects GOA/2009-009 (K.U.Leuven), G.0304.07 (FWO-Vlaanderen) and C 90347 (ESA Prodex 9). Financial support by the European Commission through the SOLAIRE Network (MTRN-CT-2006-035484) is gratefully acknowledged.
References
- De Pontieu, B., Mcintosh, S. W., Carlsson, M., et al. 2007, Science, 318, 1574 [NASA ADS] [CrossRef]
- Godston, R. J., & Rutherford, P. H. 1995, Introduction to Plasma Physics (Bristol: Institute of Physics Pub.) (In the text)
- Kaneko, T., Tsunoyama, H., & Hatakeyama, R. 2003, Phys. Rev. Lett., 90, 125001 [NASA ADS] [CrossRef] (In the text)
- Mecheri, R., & Marsch, E. 2008, A&A, 481, 853 [NASA ADS] [CrossRef] [EDP Sciences] (In the text)
- Saleem, H., Vranjes, J., & Poedts, S. 2007, A&A, 471, 289 [NASA ADS] [CrossRef] [EDP Sciences] (In the text)
- Vranjes, J., & Poedts, S. 2006, A&A, 458, 635 [NASA ADS] [CrossRef] [EDP Sciences]
- Vranjes, J., & Poedts, S. 2008, A&A, 482, 653 [NASA ADS] [CrossRef] [EDP Sciences] (In the text)
- Vranjes, J., & Poedts, S. 2009, EPL, 86, 39001 [NASA ADS] [CrossRef] [EDP Sciences]
- Weiland, J. 2000, Collective Modes in Inhomogeneous Plasmas (Bristol: Institute of Physics Pub.) (In the text)
Copyright ESO 2009
Current usage metrics show cumulative count of Article Views (full-text article views including HTML views, PDF and ePub downloads, according to the available data) and Abstracts Views on Vision4Press platform.
Data correspond to usage on the plateform after 2015. The current usage metrics is available 48-96 hours after online publication and is updated daily on week days.
Initial download of the metrics may take a while.
![$\displaystyle m_in_i\left[\frac{\partial \vec v_i}{\partial t} + (\vec
v_i\cdot\nabla) \vec v_i\right]$](/articles/aa/full_html/2009/32/aa11356-08/img2.png)



