| Issue |
A&A
Volume 503, Number 2, August IV 2009
|
|
|---|---|---|
| Page(s) | 601 - 612 | |
| Section | Planets and planetary systems | |
| DOI | https://doi.org/10.1051/0004-6361/200811466 | |
| Published online | 02 July 2009 | |
Characterization of the HD 17156 planetary system
,![[*]](/icons/foot_motif.png)
M. Barbieri1 -
R. Alonso1 -
S. Desidera2 -
A. Sozzetti3 -
A. F. Martinez Fiorenzano4 -
J. M. Almenara5 -
M. Cecconi4 -
R. U. Claudi2 -
D. Charbonneau7 -
M. Endl8 -
V. Granata2,9 -
R. Gratton2 -
G. Laughlin10 -
B. Loeillet1,6 -
Exoplanet Amateur Consortium
1 - Laboratoire d'Astrophysique de Marseille, 38 rue Joliot-Curie, 13388 Marseille Cedex 13, France
2 -
INAF Osservatorio Astronomico di Padova, Vicolo dell' Osservatorio 5, 35122 Padova, Italy
3 -
INAF Osservatorio Astronomico di Torino, 10025 Pino Torinese, Italy
4 -
Fundación Galileo Galilei - INAF, Rambla José Ana Fernández Pérez 7, 38712 Breña Baja (TF), Spain
5 -
Instituto de Astrofísica de Canarias, C/Vía Láctea s/n, 38200 La Laguna, Spain
6 -
IAP, 98bis Bd Arago, 75014 Paris, France
7 -
Harvard-Smithsonian Center for Astrophysics, 60 Garden Street, Cambridge, MA 02138, USA
8 -
McDonald Observatory, The University of Texas at Austin, Austin, TX 78712, USA
9 -
CISAS, Università di Padova, Italy
10 -
University of California Observatories, University of California at Santa Cruz Santa Cruz, CA 95064, USA
Received 2 December 2008 / Accepted 12 March 2009
Abstract
Aims. We present data to improve the known parameters of the HD 17156 system (peculiar due to the eccentricity and long orbital period of its transiting planet) and constrain the presence of stellar companions.
Methods. Photometric data were acquired for 4 transits, and high precision radial velocity measurements were simultaneously acquired with the SARG spectrograph at TNG for one transit. The template spectra of HD 17156 was used to derive effective temperature, gravity, and metallicity. A fit of the photometric and spectroscopic data was performed to measure the stellar and planetary radii, and the spin-orbit alignment. Planet orbital elements and ephemeris were derived from the fit. Near infrared adaptive optic images were acquired with the AdOpt module of TNG.
Results. We found that the star has a radius of
and the planet
.
The transit ephemeris is
BJD. Analysis of the Rossiter-Mclaughlin effect shows that the system is spin orbit aligned with an angle
.
The analysis of high resolution images did not reveal any stellar companion with a projected separation between of 150 and 1 000 AU from HD 17156.
Key words: stars: individual: HD 17156 - stars: binaries: eclipsing - stars: planetary systems - techniques: spectroscopic - techniques: photometric
1 Introduction
The discovery of transiting extrasolar planets (TESP) is of special relevance for the study and characterization of planetary systems. The combination of photometric and radial velocity measurements allows one to directly measure the mass and radius of an exoplanet, and hence its density, which is the primary constraint on a planet's bulk composition. Dedicated follow-up observations of TESP during primary transit and secondary eclipse at visible as well as infrared wavelengths allow direct measurements of planetary emission and absorption (e.g., Charbonneau et al. 2007, and references therein). Transmission spectroscopy during primary eclipse in recent years has been successful in characterizing the atmospheric chemistry of several Hot Jupiters (e.g., Charbonneau et al. 2002; Tinetti et al. 2007). Infrared measurements gathered at a variety of orbital phases, including secondary eclipse, have permitted the characterization of the longitudinal temperature profiles of nearby TESP. The rapidly increasing amount of high-quality data obtained for TESP has provided the first crucial constraints on theoretical models describing the physical structure and the atmospheres of gas and ice exoplanets. The detailed characterization of TESP ultimately is of special relevance to test several proposed formation and orbital evolution mechanisms of close-in planets.
The planet HD 17156b, detected by (Fischer et al. 2007, hereinafter F07) using the radial velocity method, was shown to transit in front of its parent star by Barbieri et al. (2007). Additional photometric measurements were presented in follow-up papers by Gillon et al. (2008), Narita et al. (2008), Irwin et al. (2008), Winn et al. (2008). This planet is unique among the known transiting systems in that its period (21.2 days) is more than 5 times longer than the average period for this sample, and it has the largest eccentricity (e = 0.67).
Schlesinger (1910), Rossiter (1924) and McLaughlin (1924)
showed that a transiting object, such asr companion, produces a distortion
in the stellar line profiles due to the partial eclipse of the rotating stellar
surface during the event, and thus an apparent anomaly in the measured
radial velocity of the observed primary star. In the case of close-in giant planets
transiting solar-type stars, the amplitude of the Rossiter-McLaughlin
effect ranges typically between a few and
100 m s-1,
depending on orbital period, stellar and planetary radii, and
stellar rotational velocity. This is within the current instrument
capabilities for the brightest transiting planets. Indeed, this effect
has been previously observed on several TESP
(e.g. Winn 2008, and references therein).
The observation of the Rossiter-McLaughlin effect allows us to measure
the relative inclination angle between the sky projections of the orbital plane
and the stellar spin axis.
Another important result derived from these observations is the possibility
to determine whether short orbital period transiting planets move in the same
direction of the stellar spin, indicating the existence of strong dynamical interactions
between the parent star and its planet. Measurements of the Rossiter-McLaughlin
effect thus provide relevant residual evidence of planet formation and migration
processes, as well as dynamical interactions with perturbing bodies
(Marzari & Weidenschilling 2002).
Up to now 8 of the 9 transiting planets for which the Rossiter-McLaughlin effect was measured are coplanar systems, as our Solar System (the orbital axes of all the planets and the Sun spin axis are aligned within a few degrees). This is compatible with a formation mechanism for close-in giant planets including migration via tidal interactions with the protoplanetary disk. Only the XO-3 planet seems to be a non aligned system (Hébrard et al. 2008).
The measurement of the Rossiter-McLaughlin effect is of special relevance for the HD 17156 system, given the very high eccentricity and orbital period, much longer than the other transiting planets. With a period of 21 days, HD 17156b is well outside the peak in the period distribution of close-in planets at about 3 days, possibly implying a different migration history with respect to the other transiting planets. An eccentricity as high as that of HD 17156b hardly can be explained by models of planet migration via tidal interactions with the protoplanetary disk. Alternatively, high-eccentricity planets might be the outcome of a variety of possible planet-planet dynamical interactions (Marzari & Weidenschilling 2002). In these scenarios, high relative inclinations between the stellar rotation axis and the planet orbital plane are possible. An additional way to obtain large relative inclinations and eccentricities is represented by Kozai resonances with a close stellar companion. Interestingly, a rather large planetary mass coupled with a short orbital period might be an indication of binarity, as typically high-mass short-period planets occur in binary systems (Desidera & Barbieri 2007).
Narita et al. (2008) presented the first observations of the
Rossiter-McLaughlin effect for HD 17156. They found an angle
between the sky projections of the orbital axis and the stellar rotation
axis
.
However, Cochran et al. (2008)
did not confirm this claim, suggesting instead well-aligned axes.
Such a discrepancy calls for additional high-precision RV monitoring
during planetary transit. These are presented in this work, along with
additional photometric observations and a critical revision of
stellar and planetary parameters.
To further constrain the origin of the special properties of HD 17156b,
we also searched for possible wide stellar companions using adaptive optics observations.
The overall organization of this paper begins in Sect. 2 with the description of high resolution spectroscopy data obtained with the SARG spectrograph at TNG. Section 3 covers the analysis of the stellar parameters. Section 4 presents the photometric data collected during several planetary transits. Section 5 describes the analysis of the radial velocity and photometric data, and their results. In Sect. 6 we present the results of the search for additional stellar companions to HD 17156. In Sect. 7 our conclusion are presented.
2 High resolution spectroscopy
We observed HD 17156 on 2007 December 3, including continuous monitoring
(about 8 hours) during the transit, with SARG, the high resolution
spectrograph of the TNG (Gratton et al. 2001). Observing
conditions were not optimal, with seeing ranging from 1.3
to 2.0
.
We obtained the stellar template (without the iodine cell) first and then started
uninterrupted series of observations with the iodine cell.
The exposure time of the spectra
acquired with the iodine cell was 900 s, typically resulting in a S/N of
about 80 per pixel.
One additional spectrum was obtained on 25 Oct. 2007.
These spectra were reduced and analyzed in the same way those from the ongoing
planet search program with SARG (Desidera et al. 2007) using the
AUSTRAL code (Endl et al. 2000). Table 1 lists the
radial velocities.
Table 1: Differential radial velocities and bisector velocity span of HD 17156 obtained with SARG at TNG.
The absolute radial velocity of HD 17156 was derived by cross correlating the
stellar template acquired with SARG to a few suitable reference stars
observed with the same set-up and with available high-accuracy absolute
radial velocity from Nidever et al. (2002). It results in
km s-1.
3 Stellar parameters
3.1 Spectroscopic analysis
We have used the TNG/SARG template spectrum of HD 17156 to provide an
independent assessment of its atmospheric parameters (
,
,
and [Fe/H]) with respect to the values reported by F07.
Our methodology follows a standard procedure whose details can be
found in several works
(e.g., Santos et al. 2004; Gonzalez & Lambert 1996; Gonzalez et al. 2001).
We briefly summarize
it here. We initially selected a set of relatively weak FeI and
Fe II lines (see, e.g., Sozzetti et al. 2004, and references therein, for
details on the line list), and measured
equivalent widths (EWs) using the automated software ARES
, made
available to the community by Sousa et al. (2007).
The EWs measured with ARES are then entered in to the 2002 version of the
MOOG spectral synthesis code (Sneden 1973)
, together with
a grid of Kurucz ATLAS plane-parallel stellar model atmospheres
(Kurucz 1993).
The atmospheric parameters of HD 17156 are then derived under the
assumption of local thermodynamic equilibrium, using the standard
technique of Fe ionization balance (see, e.g., Santos et al. 2004; Sozzetti et al. 2004, and references
therein).
We obtained
K,
,
and [Fe/H] =
,
the formal errors
on
and
having been derived using the procedure described in Neuforge-Verheecke & Magain (1997) and Gonzalez & Vanture (1998),
while the nominal uncertainty for [Fe/H] corresponds to the scatter obtained from
the FeI lines rather than the formal error of the mean.
We also quantified the sensitivity of our iron abundance determination
to variations of
with respect to the nominal
and
values, and found changes in [Fe/H] of at
most 0.05 dex, below the adopted uncertainty of 0.08 dex.
To further test the accuracy of the
determination above, we have carried out additional consistency
checks. For example, in Fig. 1 we show the comparison of
the observed H
line profile in an archival Keck/HIRES
spectrum against four synthetic profiles for solar-metallicity dwarfs
([Fe/H] = 0.0,
)
from the Kurucz database. As is
well-known, the H
line is very sensitive to changes in
,
while relatively insensitive to changes in
and
[Fe/H] (see, e.g., Sozzetti et al. 2007; Santos et al. 2006, and references therein),
thus this exercise helps to test the accuracy of
the spectroscopic
derived above. The results shown in
Fig. 1, in which a 10 Å region centered on H
is displayed together with four calculated profiles for different
values, indicate rather good agreement with the estimate
reported in Table 2.
![]() |
Figure 1:
The portion of the spectrum of HD 17156 around H |
| Open with DEXTER | |
Table 2: Upper panel: input parameters for the Monte Carlo experiment and best values. Lower panel: kinematical properties and galactic orbit parameters.
3.2 Age
Based on isochrone fitting, F07 reported an
age estimate for HD 17156 of 5.7
+1.3-1.9 Gyr,
suggesting an old, slightly evolved F8/G0 primary.
We performed an independent isochrone fitting using the set of isochrones of
Girardi et al. (2000) and the software PARAM described in
da Silva et al. (2006)
.
The input values for PARAM are the parallax, the visual magnitude,
[Fe/H] and
.
We used the parallax from van Leeuwen (2007) and for the
metallicity and effective temperature we ran the code
twice, once with the values from F07 and once with
our estimate.
The results of PARAM for the stellar age are
and
Gyr, for the F07 and our parameters, respectively.
These are only marginally compatible with the previous age
estimate by F07.
The stellar mass and radius are instead fully compatible (see below).
Other indirect age indicators confirm an age of a few Gyr.
The low level of Ca II H&K chromospheric activity suggests an age
of about 6 Gyr (Fischer et al. 2007).
The lack of X-ray emission from ROSAT (Voges et al. 2000)
yields an upper limit of
.
This in turn implies an age older than 1.6 Gyr, using the
age-X ray emission calibration by Mamajek & Hillenbrand (2008).
To obtain an additional age estimate and to investigate possible chemical peculiarities of HD 17156 with respect to other planet hosts with similar physical properties, we measured its lithium (Li) abundance.
Figure 2 shows a spectral synthesis of a 10 Å region
centered on the Li
6707.8 Å line in an archival Keck/HIRES
spectrum of HD 17156, and using the atmospheric parameters derived from the
Fe-line analysis and the line list of Reddy et al. (2002).
In the figure, the observed spectrum is compared to three synthetic
spectra, each differing
only in the assumed Li abundance. We find a best-fit value of
for HD 17156. We then infer a rather
old age for the star of t > 2 Gyr, based on the average Li abundance
curves as a function of effective temperature for clusters of different
ages reported by Sestito & Randich (2005).
The measured Li abundance for HD 17156 does not appear peculiar when compared
to that of sub-samples of nearby planet hosts with similar
(Gonzalez 2008; Israelian et al. 2004).
To further investigate these
issues we will present in a future paper a more detailed study of the
elemental abundances in HD 17156.
![]() |
Figure 2: Portion of the HD 17156 spectrum centered on the Lithium 6707.8 Å line. The results of the spectral synthesis for three different lithium abundance are overplotted. |
| Open with DEXTER | |
3.3 Stellar mass and radius
F07 provided mass and radius estimate from isochrone
interpolations (mass
,
radius
1.47+0.13-0.17
).
Our isochrone fit (see Sect. 3.2) gives
and
when assuming
and [Fe/H] from
F07 and our analysis respectively, and
same the radius
.
The comparison of the results of the two fits shows that they are compatible within error bars, but the best values are slightly different. The origin of these differences is not clear, and to understand this problem independent measurements of the star mass and radii are needed.
3.3.1 Monte Carlo experiment. Method
For this purpose we adopted an approach based on a Monte Carlo experiment. In each realization we generated a set of observed stellar properties. Using calibrations from the literature we obtained the corresponding values for mass and radius. From the resulting distributions we obtained the most probable values and relative errors for the mass and radius.
In more detail, we created 106 different synthetic systems where we
generated Gaussian distributions for the parallax, the
V and K magnitudes, and
,
using as standard deviations their
respective error bars. The input parameters and their relative standard deviations are reported in Table 2.
In the same way, we generated values for the bolometric correction and the bolometric magnitude of the Sun. For each synthetic set obtained this way we calculated the absolute magnitudes, luminosity, radius, mass, density and gravity.
The V magnitude was obtained from Simbad, K
magnitude from 2MASS after conversion to the Bessel-Brett system (Carpenter 2001), and the
from our spectroscopic determination. For the parallax we
adopted the recently revised Hipparcos value (van Leeuwen 2007),
which indicates that HD 17156 lies at 75 pc from the Sun, 3 pc closer
than the previous estimate. The bolometric correction was set to BC = -0.03 (Girardi et al. 2000) while for the solar bolometric magnitude we used the value
.
The stellar radius was obtained using the
-K mag calibration of
Kervella et al. (2004), and using the Stefan-Boltzmann law. The stellar mass
was calculated from various mass-luminosity relations (MLR) namely:
i) the classical MLR
;
ii) the MLR of
Malkov (2007) using absolute magnitude and iii) stellar luminosity;
iv) the MLR of Henry (2004). Density and gravity
were estimated directly from the radius and mass assuming a spherically symmetric star.
3.3.2 Monte Carlo experiment. Results
The distribution of absolute magnitudes in V band peaks at 3.7
(Fig. 3, upper left), while the luminosity peak at 2.5
(Fig. 3, upper right). These values are slightly different from the ones obtained by Fischer et al. (2007), and the source of these
differences is ascribed only to the difference in the adopted parallax.
The resulting distributions for the radius are shown in
Fig. 3 (middle left). The two relations used provide
similar results (
)
for the best value and also the
shape of the distributions is very similar. Fischer et al. (2007) suggest a slightly
larger radius. Also in this case, the difference originates from the
change in the adopted parallax.
In Fig. 3 (middle right) we present the mass distributions
obtained with the MLRs. Using the relation
of Henry (2004) we obtain the highest mass
(
). However, we note that this relation was originally
derived from parameters of close binary stars. Malkov (2003)
demonstrated that this kind of relation does not describe single
stars well. In order to avoid this problem we adopted the MLRs of
Malkov (2007) obtained on detached main-sequence double-lined
eclipsing binaries. These relations are also valid for slightly evolved stars like HD 17156 (almost
all the stars used to derive these relations are also slightly evolved;
O. Malkov, private communication). We obtain best values for the mass between
1.2 and 1.24
,
the first obtained using MLR(MV) and the
second using MLR(L). The classical MLR (
)
provides
.
These results are consistent with the values
estimated by F07 (
).
The resulting distributions for the gravity and the density
are portrayed in the lower panels of Fig. 3. The mean
values are
= 4.22 and
g /cm3.
The results of this experiment show a fairly good agreement with the
estimate of
based on isochrone fitting (both ours and the one by
F07). We conclude that the two independent approaches based on isochrone fitting and the use of scaling relations provide consistent results.
In the following we do not adopt a value for the radius,
because we want to determine its value independently from the light-curve
fits. Moreover, we fix the value of the mass to the value of the weighted mean of our mass estimation (not using the Henry MLR results)
.
We summarize in Table 2 all the data relative to
this Monte Carlo experiment.
![]() |
Figure 3:
Probability density function of the stellar parameters obtained with the Monte Carlo experiment. Upper left: absolute magnitude.
Upper right: luminosity.
Middle left: radius: thick line results using Stefan-Boltzmann law, thin line results using the calibration of Kervella (
|
| Open with DEXTER | |
3.4 Rotational velocity
F07 derived v
km s-1 for HD 17156.
Our template spectrum is suitable for an independent measurement of
this quantity.
We discuss here three different methods adopted for
the measurement of
,
based on our template spectra.
With the first method we derive
by the Fast Fourier Transform
analysis of the star's absorption profile (see Fig. 4).
To determine the
,
the observed profile of a stellar absorption line is made
symmetric by mirroring one of its halves, with the purpose of reducing
the noise of the FFT. A new profile is calculated by the convolution
of a macroturbulence profile (Gaussian) and a rotational one, to compare
the FFTs of the symmetric and the calculated (model) profiles.
The
value of the rotation profile is set as variable parameter
until the first minimum of the FFT from the calculated profile coincides
with the minimum of the FFT from the symmetric one.
The value of
for HD 17156 was determined considering possible values of
macroturbulent velocity (
)
from B-V and
(Valenti & Fischer 2005), and we obtained a
ranging from 1.8 to 2.8 km s-1.
The second method that we used consists of obtaining the rotational velocity by means of a
suitable calibration of the FWHM of the cross-correlation
function against the B-V color. This relation was derived for all the stars
in the SARG planet search survey, and it was calibrated into
using
stars with known rotational velocity from the literature.
Using the B-V from the Tycho catalog converted to the Johnson system
(B-V=0.632), the resulting
km s-1.
Finally, using MOOG we synthesized a number of isolated FeI lines in
the template spectrum. From these we measured
km s-1.
The values obtained with the three methods suggest a range of values for
compatible with the measurement of F07. The measurement of
from the analysis of the Rossiter-Mclaughlin effect will be
presented in Sect. 5.3.
![]() |
Figure 4:
Estimation of
|
| Open with DEXTER | |
Table 3: Summary of photometric observations of HD 17156 performed in 2007/08.
3.5 Galactic orbit
The measurements of the absolute radial velocity given in Sect. 2, together with the revised parallax and proper motion from
Hipparcos (van Leeuwen 2007), allow one to calculate the space velocity
with respect to the Local Standard of Rest and the galactic orbit of HD 17156. Space velocities are
calculated following the procedure delineated by Johnson & Soderblom (1987) and Murray (1989),
adopting the value of standard solar motion of Dehnen & Binney (1998)
(with U positive toward the galactic anticenter). The calculations
yield
(U,V,W) = (+0.6,+26.1,-22.8) km s-1.
The galactic orbit of the
star is obtained integrating the equations of motion of a massless
particle in the potential described by Allen & Santillan (1991). The
equations of motion are solved using the RADAU integrator (Everhart 1985)
assuming that the rectangular galactocentric coordinates of the
Sun are
kpc, and that the
local circular velocity is 220 km s-1. We compute 1000 orbits each
time randomly varying the initial coordinates and velocity of the star
within the error bars and integrating for a time of 4 Gyr (
15
full orbits around the Galactic Center).
The UVW spatial velocity and the mean values of the computed orbits are
reported in Table 2. The mean galactic radius provides
an estimate of the galactocentric distance of the star at the moment of
its formation. The value for HD 17156,
kpc, implies
that the star spends most of its time in regions outside of the solar circle.
4 Photometric observations
Photometric observations of the transit of 2007 December 3 were obtained with various telescopes. On 2007 December 2 we used three medium-class telescopes (Asiago 1.82 m and OHP 1.20 m) and a number of small telescopes, including six 30-40 cm amateur-operated telescopes all located in continental Europe as well as the Telast 0.3-m telescope in the Canary Islands. Weather conditions across continental Europe were not optimal.
Observations at Asiago started under photometric conditions, transit ingress was observed but observations ended on December 04 UT 02:30, due to the presence of clouds, which prevented the observations of the third and fourth contacts. OHP observations were performed under variable sky conditions due to intermittent clouds and veils; good observing conditions were achieved only during the transit time window, with only a small coverage of the Out Of Transit (OOT) flat part of the lightcurve before the first contact. Observations with Telast were obtained under normal sky conditions and were performed throughout the night. Amateur observations were carried out by six observatories spread over central and northern Italy. Observing conditions suffered from clouds and veils similarly to the other European sites involved in the campaign, and the full transit was successfully observed by four telescopes, the remaining two observatories obtaining data only for the ingress phase of the transit.
![]() |
Figure 5: Mosaic of the differential light curves obtained during transits of HD 17156b obtained with several telescopes. In each box the horizontal axis is the photometric phase and the vertical axis is the relative flux, along with the best fit model. From left to right column and from top to bottom: T1a = Almenara, T1b = Gasparri and T1c = Lopresti datasets from the Barbieri et al. (2007). T2a = OHP, T2b = Telast, T2c = Castellani, T2d = Asiago, T2e = Lopresti, T2f = Marchini, T2g = Nicolini, T2h = Papini, T2i = Vallerani. T2a to T2i light-curves were collected on 2007 December 03. T3a = Gary 2007 December 25, T4a = Gregorio 2008 September 25, T5a = Gary 2008 October 2008. |
| Open with DEXTER | |
Three additional attempts to coordinate transit observations of HD 17156b were carried out on 25 December 2007 and on September 25 and October 17 2008. Unfortunately, due to bad weather conditions, there was only one useful observation for each date.
All observations were obtained in R band except the two obtained by Gary that was acquired in white light; the characteristics of the different telescopes are summarized in Table 3.
4.1 Data reduction
The Asiago, OHP, and Telast raw images were calibrated using flat field and bias frames. The resulting images were analyzed with IDL routines to perform standard aperture photometry. The center of the aperture was calculated using a Gaussian fit, and the aperture radius was held fixed for each set (in the range 15-20 pixels). The sky background contribution was removed after an estimation. The brightest non-variable stars in the field were measured in the same way, and a reference light curve was constructed by adding the flux of these stars. The target flux was divided by this reference to get the final normalized light-curve.
The images obtained by amateur telescopes were reduced, bias subtracted,
and dark flat-field corrected using commercial software. Aperture
photometry of HD 17156 was then performed using IRIS
and adopting a fixed aperture equal to 2 times the stellar FWHM.
The sum of the flux of the brightest stars in the field was used
as reference to build the normalized light-curve.
The final light-curve for each telescope was corrected for differential airmass and residual systematic effects by dividing them by a linear function of time to the region outside the transit. The photometric error on each point of the lightcurve was calculated as the rms over an interval of 30 min (the timescale of the ingress/egress phase). The typical rms values of the OOT lightcurves are reported in Table 3, while the complete photometric dataset is available in electronic format at CDS.
The whole dataset consists of
7000 photometric points.
We used these data to perform a global analysis of the planetary transit.
For the light curve fit we used all the lightcurves that we collected without performing data binning. In Fig. 5 we show the light curves used in this study, folded with the best orbital period from the fit. For displaying purposes the combined light-curve of the 15 lightcurves is shown in Fig. 6. This combined light curve was obtained using a bin width of 90 s; the OOT has an rms of 0.0016.
5 System parameters
We performed the analysis of the HD 17156 system in three steps.
First, using the radial velocities presented in Table 1 along with
other published RV values: F07 (2 datasets: Keck+Subaru),
Narita et al. (2008), Cochran et al. (2008) (2 datasets: HET + HJST),
we have derived a new spectroscopic orbital solution for HD 17156.
A full Keplerian orbit of five parameters:
the radial velocity semi-amplitude
,
the time of periastron passage TP,
the orbital period P, the orbital eccentricity e,
and the argument of periastron
was adjusted to the data.
Second, we carried out a fit to the light-curve that we obtained and
also to the Barbieri et al. (2007) datasets using the e, and the
obtained from the orbital solution.
In this scheme, the adjustable parameters
are the ratio of the radii
,
their relative sum
,
the orbital inclination i, the midtransit time
,
and the orbital period P.
The values derived from the light-curve analysis were then used to determine,
through the analysis of the Rossiter-McLaughlin effect, new values of
and of the angle
between the equatorial plane of the
star and the orbital plane of the planet.
The modeling of the transit lightcurve and Rossiter-McLaughlin effect was carried out using the analytical formulae provided by Giménez (2006a) and Giménez (2006b). The mathematical basis for the description of the two effects is the same, i.e. the Kopal (1977) theory of eclipsing binary stars. This fact warrants an internally consistent description of the observed data.
![]() |
Figure 6: Combined light curve of all photometric data folded with the orbital period, along with the best fitting model. The time interval between each point is 90 s. |
| Open with DEXTER | |
5.1 Orbital radial velocity analysis
In order to derive the stellar spectroscopic orbit using the combined set of radial velocities mentioned above we used only the OOT measurements in all datasets. Observations on the night of the transit are valuable for this because of the steep RV slope (about 23 m/s/h). We use a downhill simplex algorithm to perform the RV fit to the six datasets, including the zero point shifts between the datasets as free parameters. A stellar jitter of 3 m/s was added in quadrature to the observational errors F07.
The best-fit solution has a value of reduced
,
and the results are in close agreement with the discovery paper
F07 and its subsequent analysis
(Irwin et al. 2008). Uncertainties in the
best fit parameters were obtained exploring the
grid with
adequate resolution. The orbital solution and relative parameter
uncertainties are presented in Table 4. In Fig. 7 we show
the phased radial velocity curve with the best-fit model. Using the
value of primary mass provided in Sect. 3.3 and its uncertainty,
the resulting minimum mass for the planet is
,
and
the semi-major axis is
AU.
Table 4: Parameters of the HD 17156 system.
![]() |
Figure 7: Upper panel: radial velocities of HD 17156 phased to the best-fit orbital solution. Bottom panel: residuals from the orbital solution. |
| Open with DEXTER | |
5.2 Photometric analysis
We used the description of Giménez (2006a) to analyze the lightcurves obtained in Sect. 4.1. In our model we allowed the ratio of the radii, the phase of first contact, the time of transit center and the orbital inclination to vary. We fixed the limb darkening coefficients to the values corresponding to a star with similar temperature and metallicity to HD 17156 from the Claret (2000) tables. For the R band the adopted limb darkening coefficients were: u+=ua+ub=0.6323 and u-=ua-ub=-0.0655. The eccentricity and the longitude of periastron were held fixed to the best fit values obtained from the RV analysis (Sect. 5.1). Errors were estimated using the bootstrap scheme described in Alonso et al. (2008)
The results of the analysis of the 15 datasets are collected in Table 4.
Using Kepler's third law we obtain for the stellar and planetary radii
and
.
The histogram of the residuals of the light curves (Fig. 8) has a Gaussian shape with a standard deviation of 0.0062.
![]() |
Figure 8: Histogram of the lightcurve residuals. Overplotted is the best Gaussian fit. |
| Open with DEXTER | |
The results are consistent with previous determinations (Irwin et al. 2008; Gillon et al. 2008; Barbieri et al. 2007; Narita et al. 2008); nevertheless the values of inclination and stellar radius show larger deviations than values presented by other authors.
In their analysis Irwin et al. (2008) and Narita et al. (2008) fixed the stellar
radius to the value proposed by F07, while Gillon et al. (2008)
directly obtained the radius from their analysis.
The origin of the discrepancy of the stellar radius
might lie in the different values for the inclination, because
its value controls the transit duration and the relative sum of the radii.
For confirmation we repeated the fit with only the published
light-curve of Gillon et al. (2008) and keeping the limb-darkening coefficients
for the B band fixed to
u+=ua+ub=0.7989 and
u-=ua-ub= 0.3019. The
results are the following:
,
,
,
BJD,
and
.
These results are very close to the results of our previous fit.
We note that a transit model that does not take into account the non-zero eccentricity might lead to erroneous results in the orbital inclination and thus also the stellar radius (see, for instance, Sect. 3.2 in Alonso et al. 2008).
5.3 Rossiter-McLaughlin effect analysis
The analysis of the TNG RV data obtained during the transit was performed
using the formalism developed by Giménez (2006b).
We allowed
and
to vary and we fixed
the values of K, P, e,
,
k, i,
,
to the best values obtained from RV and photometry analysis and reported
in Table 5. In this analysis we fixed the limb darkening coefficients
to the values corresponding to a star with similar temperature
and metallicity to HD 17156 from the Claret (2000) tables.
The adopted limb darkening coefficients were:
u+=ua+ub=0.7638 and
u-=ua-ub=0.01828.
Figure 9 presents the best fitted model to the data.
The best fitted values to the RV orbital residuals of SARG are
km s-1 and
.
The value of
agrees with the values determined
by F07 and by our analysis of the stellar spectra.
is consistent with zero, indicating that the eclicptic plane
of the planet is closely aligned with the equatorial plane of the star.
This value of
does not confirm the claim of
Narita et al. (2008)
for a large misalignment in this system, but rather agrees with
the relative alignment obtained by Cochran et al. (2008).
Moreover, the two groups
find very different values for
.
To study the nature of this discrepancy
we repeated the fit on their datasets independently, and the results of the fits
are summarized in Table 5.
The results obtained using the HET dataset,
in spite of their good precision, do not provide strong constraints due to
their partial coverage of the transit and the fact that the zero point in the OOT
data cannot be estimated correctly. Instead, the fit to the HJST data are in excellent
agreement with the determination obtained with SARG.
Finally, the Narita et al. dataset provides a
in good agreement with previous
determinations, and a value of
that formally points toward the
occurrence of some misalignment.
These results indicate also that our adopted description is consistent with the one
used by Narita et al. however, the intrinsically lower precision
of their RV data makes these results not significant.
Table 5: Results of the Rossiter-McLaughlin modeling of all datasets. (OAO: Narita et al dataset).
![]() |
Figure 9: Upper panel: residuals of radial velocities of HD 17156 phased to the best-fit orbital solution with the best fitted Rossiter-Mclaughlin effect overlayed. Bottom panel: residuals from the Rossiter-Mclaughlin effect. |
| Open with DEXTER | |
We also measured line bisectors and bisector velocity span using the technique developed by Martínez Fiorenzano et al. (2005) and looked for changes in the line profiles caused by the planetary transit (see Loeillet et al. 2008). We do not detect significant variations (Fig. 10). This is not unexpected considering the typical signal to noise ratio of our spectra and the low amplitude of the Rossiter signature.
![]() |
Figure 10: Bisector velocity span (BVS) from line bisectors of HD 17156 spectra. Upper panel displays BVS vs. RV. Lower panel shows the line bisectors from all spectra, where the horizontal lines enclose the top and bottom zones considered to compute the BVS. |
| Open with DEXTER | |
6 Indications of additional companions
HD 17156 was observed with the AdOpt module of TNG, the adaptive optics module of TNG
(Cecconi et al. 2006). The instrument feeds the HgCdTe Hawaii
detector of NICS, the near infrared camera and spectrograph of
TNG, providing a field of view of about
arcsec, with a
pixel scale of 0.0437
/pixel. Plate scale and absolute detector
orientation were derived in a companion program of
follow-up of binary systems with long term radial velocity trends from
the SARG planet search (Desidera et al. 2007).
A series of 15 s images of HD 17156 were acquired on 3, 18 and 23 October
2007 in the Br
intermediate-band filter. Images were taken moving
the target to different positions on the detector, to allow sky
subtraction without the need for additional observations, and each night
at three different field orientations to make it easier to disentangle
true companions from image artifacts. The target itself was used as a
reference star for the adaptive optics. Observing conditions were poor on
the night of October 3, and rather good on the nights of 18 and 23 October,
when we obtained a typical Strehl Ratio of about 0.3.
Data reduction was performed by first correcting for detector cross-talk
using dedicated routines
and then performing standard image preprocessing (flat fielding, bad pixel
and sky background corrections) in the IRAF environment. Individual images taken at a
fixed orientation were shifted and coadded.
The successive analysis was optimized for the detection of companions in
different separation ranges. At small separations (from about 0.15 to 2 arcsec)
we selected the two best combined images taken at different field orientations on 2007 Oct. 18.
They are shown in Fig. 11. These two sets of images are
characterized by similar patterns of optical aberrations, and therefore,
considering their difference, most of the patterns cancel out in difference images
(Fig. 11), improving significantly the detection limits (angular
differential imaging, Marois et al. 2006).
In the differential image, a true companion is expected to show two peaks, one positive and one
negative, at the same projected separation from the central star and position
angle displaced by 20
(the rotation angle between the two sets of images
in our case). For detection at separations larger than about 2 arcsec, we summed all the images after an appropriate rotation, obtaining a deep image over a field of about
arcsec.
No companion was seen in either the differential image at small separation and or the deep combined image within 10 arcsec. The limit for detection was fixed at peak intensities 5 times higher than the dispersion over annuli at different radial separation. The results both for the differential image and the deep composite image are shown in Fig. 12.
![]() |
Figure 11:
Images of HD 17156. Upper panel: image of HD 17156 obtained with the AdOpt module of TNG. A similar quasi-static speckle pattern can be seen.
Lower panel: difference between two images taken with two different field orientations, which
allows us to significantly improve detection limits in the inner regions.
The field of view shown is
|
| Open with DEXTER | |
![]() |
Figure 12: Detectability limits for companions of difference magnitude around HD 17156 as a function of the projected separation in arcsec. Continuous line: limits on the difference image. Dotted line: limits on the composite deep image. |
| Open with DEXTER | |
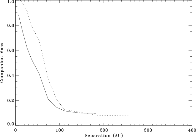
The contrast limits derived above were transformed into limits on
companion masses using the mass-luminosity
relation by Delfosse et al. (2000),
and projected separation in arcsec to AU using the
Hipparcos distance to the star (Fig. 13).
A main-sequence companion can be
excluded at a projected separation of between about 150 and 1000 AU
(the limit of the image size).
At such separations only brown-dwarf or white-dwarf
companions are compatible with our detection limits.
At smaller separation, detectability worsens quickly, and only stars
with mass larger than about 0.4
can be excluded at projected
separations closer than
50 AU.
![]() |
Figure 13: Detectability limits for stellar companions around HD 17156 as a function of the projected separation in AU. Continuous line: limits on the difference image dotted line: limits on the composite deep image. |
| Open with DEXTER | |
The residuals from the radial velocity orbital solution do not suggest the occurrence of long term trends. This places further constraints on the binarity of the target. However, the timespan is rather short, and the continuation of the radial velocity monitoring is mandatory for a more complete view.
The available astrometric data from Hipparcos does not show evidence for stellar companions either (no astrometric acceleration within the timespan of the Hipparcos observations and no significant differences between Hipparcos and long-term proper motion).
7 Summary and discussion
In this paper, we studied the characteristics of HD 17156 and its transiting planets. Stellar parameters (mass, radius, metallicity) agree quite well with the previous study by F07.
Our measurement of the stellar radius of HD 17156 obtained through the analysis
of the transit light-curve is the same as the one obtained using the
Stefan-Boltzmann law or the Kervella calibration (Table 2). Gillon et al. (2008)
obtained a radius of
,
which is only marginally compatible with our estimate of
.
On the one hand, to explain such a large stellar radius and the observed visual magnitude, it would be necessary to add
0.3 mag of interstellar absorption, that at the distance of HD 17156 is not realistic (suggesting a mean extinction of 4
mag/kpc) because HD 17156 is located well inside the Local Bubble, where
no strong absorption is present, and the maximum expected absorption
is a few hundred mag. On the other hand, the comparison of the Gillon et al. (2008)
radius estimate with stellar models also does not appear satisfactory:
it is not possible to find a model with a radius
that agrees with the observed temperature and metallicity of HD 17156.
We conclude that the determination of the stellar radius, and by inference planetary radius,
of Gillon et al. (2008) is overestimated by 15%.
For a planet of 3M
and an age of
2 Gyr, theoretical models of planet
evolution (Baraffe et al. 2008) predict a radius between 0.9 and
1.1
as a function of the chemical composition of the planet. Our
determination of the radius of HD 17156b is
.
This is in excellent agreement with theoretical expectations.
Thus, the strong tidal heating effects on the planet do not appear to
contribute to significantly inflate its radius.
Fortney et al. (2007) suggested that HD 17156b, due to its large orbital
eccentricity, can change its spectral type during the orbit from a warm pL type
at apoastron to a hotter pM type at periastron. Their models suggest
that for pM class planets the observed radius int the R band could be 5 larger than the radius measured in the B band (due to the increased
opacity of TiO and VO in the R band). Comparing our radius measurements
in the R band and the measurements obtained in the B band
by Gillon et al. (2008), we find identical results. This
result is however not significant because of the large error involved in radius
measurement. In order to obtain a significant difference of
the radius in B and R band each measurement should be more
accurate than 0.03
.
Our RV monitoring of HD 17156 during the 2007 December 3 transit does not confirm the misalignment between the stellar spin and planet orbit axes claimed by Narita et al. (2008), but it agrees instead with the opposite finding by Cochran et al. (2008). We think our results are more robust because the other most accurate dataset (HET in Cochran et al. 2008) does not cover the full transit, leaving some uncertainties in their Rossiter modeling. We then conclude that the projection on the sky of the stellar spin and planet orbit axes are aligned to better than 10 deg.
Therefore HD 17156 joins most of the other exoplanet
systems with available measurements of the Rossiter-McLaughlin effect in being compatible
with coplanarity. The only possible exception is represented by the
XO-3 system, for which Hébrard et al. (2008) found
indications for a large departure
from coplanarity (![]()
). However, as acknowledged by the authors,
this result should be taken as preliminary, because of the possibility
of unrecognized systematic errors in observations taken at large
airmass and with significant moonlight contamination.
Our result confirms that large deviations from coplanarity
between stellar spin and planet orbit axes are at most rather rare.
Such rarity had already been established
at a high confidence level for the ``classical''
Hot Jupiters in short-period circular orbits.
For massive eccentric planets the situation is less clear:
HD 147506b (M=8.6
,
P=5.6 days, e=0.52) and HD 17156 (M=3.2
,
P=21 days,
e=0.67) have projected inclinations below 10
while the possible detection of spin-orbit misalignment in the
XO-3 system (M=12.5
,
P=3.2 days, e=0.29) still awaits
confirmation, as discussed above.
The results of the spin-orbit alignment measurements for the HD 17156 system can be compared with the prediction of the planet scattering models. A range of alignments can be the outcome of planet-planet scattering (Marzari & Weidenschilling 2002). Therefore, our indication of coplanarity does not exclude planet-planet scattering in the HD 17156 system. A larger number of transiting planets with significant eccentricities have to be discovered and characterized to allow more conclusive inferences.
We also searched for stellar companions using adaptive optics, to test the hypothesis of the Kozai mechanism to explain the large eccentricity of HD 17156 b. We did not detect companions within 1000 AU, and our detection limits allowed us to exclude main sequence companions with projected separations from about 150 to 1000 AU. This result makes unlikely the occurrence of a companion inducing Kozai eccentricity oscillations on the planet, but this possibility cannot yet be completely ruled out (companions at small projected separation and faint white dwarfs and brown dwarf companions are still possible). Continuation of radial velocity and photometric monitoring will allow a more complete analysis of the possible existence of additional companions at small separations.
Acknowledgements
This work was partially funded by PRIN 2006 ``From disk to planetary systems: understanding the origin and demographics of solar and extrasolar planetary systems'' by INAF. We thank the TNG director for time allocation in Director Discretionary Time. We thank the referre Norio Narita for his useful comments and suggestions.
References
- Allen, C., & Santillan, A. 1991, Rev. Mex. Astron. Astrofis., 22, 255 [NASA ADS] (In the text)
- Alonso, R., Barbieri, M., Rabus, M., et al. 2008, A&A, 487, L5 [NASA ADS] [CrossRef] [EDP Sciences] (In the text)
- Baraffe, I., Chabrier, G., & Barman, T. 2008, A&A, 482, 315 [NASA ADS] [CrossRef] [EDP Sciences] (In the text)
- Barbieri, M., Alonso, R., Laughlin, G., et al. 2007, A&A, 476, L13 [NASA ADS] [CrossRef] [EDP Sciences] (In the text)
- Carpenter, J. M. 2001, AJ, 121, 2851 [NASA ADS] [CrossRef] (In the text)
- Charbonneau, D., Brown, T. M., Noyes, R. W., & Gilliland, R. L. 2002, ApJ, 568, 377 [NASA ADS] [CrossRef] (In the text)
- Charbonneau, D., Brown, T. M., Burrows, A., & Laughlin, G. 2007, Protostars and Planets V, 701 (In the text)
- Cecconi, M., Ghedina, A., Bagnara, P., et al. 2006, Proc. SPIE, 6272, 77 [NASA ADS] (In the text)
- Claret, A. 2000, A&A, 363, 1081 [NASA ADS] (In the text)
- Cochran, W. D., Redfield, S., Endl, M., & Cochran, A. L. 2008, ApJ, 683, L59 [NASA ADS] [CrossRef] (In the text)
- da Silva, L., Girardi, L., Pasquini, L., et al. 2006, A&A, 458, 609 [NASA ADS] [CrossRef] [EDP Sciences] (In the text)
- Dehnen, W., & Binney, J. J. 1998, MNRAS, 298, 387 [NASA ADS] [CrossRef] (In the text)
- Delfosse, X., Forveille, T., Ségransan, D., et al. 2000, A&A, 364, 217 [NASA ADS] (In the text)
- Desidera, S., Gratton, R., Endl, M., et al. 2007, ArXiv e-prints, 705,[arXiv:0705.3141] (In the text)
- Desidera, S., & Barbieri, M. 2007, A&A, 462, 345 [NASA ADS] [CrossRef] [EDP Sciences] (In the text)
- Endl, M., Kürster, M., & Els, S. 2000, A&A, 362, 585 [NASA ADS] (In the text)
- Everhart, E. 1985, Dynamics of Comets: Their Origin and Evolution, Proc. IAU Colloq., 83, ed. A. Carusi, & G. B. Valsecchi (Dordrecht: Reidel), Astrophys. Space Sci. Lib., 115, 185 (In the text)
- Fischer, D. A., Vogt, S. S., Marcy, G. W., et al. 2007, ApJ, 669, 1336 [NASA ADS] [CrossRef] (In the text)
- Fortney, J. J., Marley, M. S., & Barnes, J. W. 2007, ApJ, 659, 1661 [NASA ADS] [CrossRef] (In the text)
- Gillon, M., Triaud, A. H. M. J., Mayor, M., et al. 2008, A&A, 485, 871 [NASA ADS] [CrossRef] [EDP Sciences] (In the text)
- Giménez, A. 2006, A&A, 450, 1231 [NASA ADS] [CrossRef] [EDP Sciences] (In the text)
- Giménez, A. 2006, ApJ, 650, 408 [NASA ADS] [CrossRef] (In the text)
- Girardi, L., Bressan, A., Bertelli, G., & Chiosi, C. 2000, A&AS, 141, 371 [NASA ADS] [CrossRef] [EDP Sciences] (In the text)
- Gonzalez, G. 1997, MNRAS, 285, 403 [NASA ADS]
- Gonzalez, G. 2008, MNRAS, 386, 928 [NASA ADS] [CrossRef]
- Gonzalez, G., & Lambert, D. L. 1996, AJ, 111, 424 [NASA ADS] [CrossRef]
- Gonzalez, G., & Vanture, A. D. 1998, A&A, 339, L29 [NASA ADS] (In the text)
- Gonzalez, G., Laws, C., Tyagi, S., & Reddy, B. E. 2001, AJ, 121, 432 [NASA ADS] [CrossRef]
- Gratton, R. G., Bonanno, G., Bruno, P., et al. 2001, Exp. Astron., 12, 107 [NASA ADS] [CrossRef] (In the text)
- Hébrard, G., Bouchy, F., Pont, F., et al. 2008, A&A, 488, 763 [NASA ADS] [CrossRef] [EDP Sciences] (In the text)
- Henry, T. J. 2004, Spectroscopically and Spatially Resolving the Components of the Close Binary Stars, 318, 159 [NASA ADS] (In the text)
- Irwin, J., Charbonneau, D., Nutzman, P., et al. 2008, ApJ, 681, 636 [NASA ADS] [CrossRef] (In the text)
- Israelian, G., Santos, N. C., Mayor, M., & Rebolo, R. 2004, A&A, 414, 601 [NASA ADS] [CrossRef] [EDP Sciences]
- Johnson, D. R. H., & Soderblom, D. R. 1987, AJ, 93, 864 [NASA ADS] [CrossRef] (In the text)
- Kervella, P., Thévenin, F., Di Folco, E., & Ségransan, D. 2004, A&A, 426, 297 [NASA ADS] [CrossRef] [EDP Sciences] (In the text)
- Kopal, Z. 1977, Ap&SS, 50, 225 [NASA ADS] [CrossRef] (In the text)
- Kurucz, R. 1993, ATLAS9 Stellar Atmosphere Programs and 2 km/s grid. Kurucz CD-ROM No. 13, Cambridge, Mass.: Smithsonian Astrophysical Observatory, 13 (In the text)
- Loeillet, B., et al. 2008, A&A, 481, 529 [NASA ADS] [CrossRef] [EDP Sciences] (In the text)
- Mamajek, E. E., & Hillenbrand, L. A. 2008, ApJ, 687, 1264 [NASA ADS] [CrossRef] (In the text)
- Malkov, O. Y. 2003, A&A, 402, 1055 [NASA ADS] [CrossRef] [EDP Sciences] (In the text)
- Malkov, O. Y. 2007, MNRAS, 382, 1073 [NASA ADS] (In the text)
- Marois, C., Lafrenière, D., Doyon, R., Macintosh, B., & Nadeau, D. 2006, ApJ, 641, 556 [NASA ADS] [CrossRef] (In the text)
- Martínez Fiorenzano, A. F., Gratton, R. G., Desidera, S., Cosentino, R., & Endl, M. 2005, A&A, 442, 775 [NASA ADS] [CrossRef] [EDP Sciences] (In the text)
- Marzari, F., & Weidenschilling, S. J. 2002, Icarus, 156, 570 [NASA ADS] [CrossRef] (In the text)
- McLaughlin, D. B. 1924, ApJ, 60, 22 [NASA ADS] [CrossRef] (In the text)
- Murray, C. A. 1989, A&A, 218, 325 [NASA ADS] (In the text)
- Narita, N., Sato, B., Ohshima, O., & Winn, J. N. 2008, PASJ, 60, L1 [NASA ADS] (In the text)
- Nordström, B., Shporer, A., Bouchy, F., et al. 2004, A&A, 418, 989 [NASA ADS] [CrossRef] [EDP Sciences]
- Neuforge-Verheecke, C., & Magain, P. 1997, A&A, 328, 261 [NASA ADS] (In the text)
- Nidever, D. L., Marcy, G. W., Butler, R. P., Fischer, D. A., & Vogt, S. S. 2002, ApJS, 141, 503 [NASA ADS] [CrossRef] (In the text)
- Pasquini, L., Döllinger, M. P., Weiss, A., et al. 2007, A&A, 473, 979 [NASA ADS] [CrossRef] [EDP Sciences]
- Ramírez, I., & Meléndez, J. 2005, ApJ, 626, 446 [NASA ADS] [CrossRef]
- Reddy, B. E., Lambert, D. L., Laws, C., Gonzalez, G., & Covey, K. 2002, MNRAS, 335, 1005 [NASA ADS] [CrossRef] (In the text)
- Rossiter, R. A. 1924, ApJ, 60, 15 [NASA ADS] [CrossRef] (In the text)
- Santos, N. C., Israelian, G., & Mayor, M. 2004, A&A, 415, 1153 [NASA ADS] [CrossRef] [EDP Sciences]
- Santos, N. C., Ecuvillon, A., Israelian, G., et al. 2006, A&A, 458, 997 [NASA ADS] [CrossRef] [EDP Sciences]
- Schlesinger, F. 1910, Publications of the Allegheny Observatory of the University of Pittsburgh, 1, 123 [NASA ADS] (In the text)
- Sestito, P., & Randich, S. 2005, A&A, 442, 615 [NASA ADS] [CrossRef] [EDP Sciences] (In the text)
- Sousa, S. G., Santos, N. C., Israelian, G., Mayor, M., & Monteiro, M. J. P. F. G. 2007, A&A, 469, 783 [NASA ADS] [CrossRef] [EDP Sciences] (In the text)
- Sozzetti, A., Yong, D., Torres, G., et al. 2004, ApJ, 616, L167 [NASA ADS] [CrossRef] (In the text)
- Sozzetti, A., Torres, G., Charbonneau, D., et al. 2007, ApJ, 664, 1190 [NASA ADS] [CrossRef]
- Sneden, C. A. 1973, Ph.D. Thesis, (In the text)
- Tinetti, G., Vidal-Madjar, A., Liang, M.-C., et al. 2007, Nature, 448, 169 [NASA ADS] [CrossRef] (In the text)
- Valenti, J. A., & Fischer, D. A. 2005, ApJS, 159, 141 [NASA ADS] [CrossRef] (In the text)
- Voges, W., Aschenbach, B., Boller, T., et al. 2000, IAU Circ., 7432, 1 [NASA ADS] (In the text)
- van Leeuwen, F. 2007, A&A, 474, 653 [NASA ADS] [CrossRef] [EDP Sciences] (In the text)
- Winn, J. N. 2008, [arXiv:0807.4929] (In the text)
- Winn, J. N., Holman, M. J., Henry, G. M. et al. 2008, [arXiv:0810.4725] (In the text)
Footnotes
- ... system
- Based on observations made with the Italian Telescopio Nazionale Galileo (TNG) operated on the island of La Palma by the Fundacion Galileo Galilei of the INAF (Istituto Nazionale di Astrofisica) at the Spanish Observatorio del Roque de los Muchachos of the Instituto de Astrofisica de Canarias. Based on observations collected at Asiago observatory, at Observatoire de Haute Provence and with Telast at IAC.
- ...
- Photometry and radial velocity data are only available in electronic form at the CDS via anonymous ftp to cdsarc.u-strasbg.fr (130.79.128.5) or via http://cdsweb.u-strasbg.fr/cgi-bin/qcat?J/A+A/503/601
- ... Consortium
- E.A.C. observations obtained by: F. Castellani (Mt. Baldo Observatory), B. Gary, J. Gregorio, C. Lopresti, A. Marchini (Siena University Observatory), M. Nicolini (Cavezzo Observatory), R. Papini, C. Vallerani.
- ... ARES
- http://www.astro.up.pt/~sousasag/ares
- ...(Sneden 1973)
- http://verdi.as.utexas.edu/moog.html
- ...da Silva et al. (2006)
- http://stev.oapd.inaf.it/param
- ... IRIS
- http://www.astrosurf.com/buil/iris
- ... routines
- http://www.tng.iac.es/instruments/nics/files/crt_nics7.f
All Tables
Table 1: Differential radial velocities and bisector velocity span of HD 17156 obtained with SARG at TNG.
Table 2: Upper panel: input parameters for the Monte Carlo experiment and best values. Lower panel: kinematical properties and galactic orbit parameters.
Table 3: Summary of photometric observations of HD 17156 performed in 2007/08.
Table 4: Parameters of the HD 17156 system.
Table 5: Results of the Rossiter-McLaughlin modeling of all datasets. (OAO: Narita et al dataset).
All Figures
![]() |
Figure 1:
The portion of the spectrum of HD 17156 around H |
| Open with DEXTER | |
| In the text | |
![]() |
Figure 2: Portion of the HD 17156 spectrum centered on the Lithium 6707.8 Å line. The results of the spectral synthesis for three different lithium abundance are overplotted. |
| Open with DEXTER | |
| In the text | |
![]() |
Figure 3:
Probability density function of the stellar parameters obtained with the Monte Carlo experiment. Upper left: absolute magnitude.
Upper right: luminosity.
Middle left: radius: thick line results using Stefan-Boltzmann law, thin line results using the calibration of Kervella (
|
| Open with DEXTER | |
| In the text | |
![]() |
Figure 4:
Estimation of
|
| Open with DEXTER | |
| In the text | |
![]() |
Figure 5: Mosaic of the differential light curves obtained during transits of HD 17156b obtained with several telescopes. In each box the horizontal axis is the photometric phase and the vertical axis is the relative flux, along with the best fit model. From left to right column and from top to bottom: T1a = Almenara, T1b = Gasparri and T1c = Lopresti datasets from the Barbieri et al. (2007). T2a = OHP, T2b = Telast, T2c = Castellani, T2d = Asiago, T2e = Lopresti, T2f = Marchini, T2g = Nicolini, T2h = Papini, T2i = Vallerani. T2a to T2i light-curves were collected on 2007 December 03. T3a = Gary 2007 December 25, T4a = Gregorio 2008 September 25, T5a = Gary 2008 October 2008. |
| Open with DEXTER | |
| In the text | |
![]() |
Figure 6: Combined light curve of all photometric data folded with the orbital period, along with the best fitting model. The time interval between each point is 90 s. |
| Open with DEXTER | |
| In the text | |
![]() |
Figure 7: Upper panel: radial velocities of HD 17156 phased to the best-fit orbital solution. Bottom panel: residuals from the orbital solution. |
| Open with DEXTER | |
| In the text | |
![]() |
Figure 8: Histogram of the lightcurve residuals. Overplotted is the best Gaussian fit. |
| Open with DEXTER | |
| In the text | |
![]() |
Figure 9: Upper panel: residuals of radial velocities of HD 17156 phased to the best-fit orbital solution with the best fitted Rossiter-Mclaughlin effect overlayed. Bottom panel: residuals from the Rossiter-Mclaughlin effect. |
| Open with DEXTER | |
| In the text | |
![]() |
Figure 10: Bisector velocity span (BVS) from line bisectors of HD 17156 spectra. Upper panel displays BVS vs. RV. Lower panel shows the line bisectors from all spectra, where the horizontal lines enclose the top and bottom zones considered to compute the BVS. |
| Open with DEXTER | |
| In the text | |
![]() |
Figure 11:
Images of HD 17156. Upper panel: image of HD 17156 obtained with the AdOpt module of TNG. A similar quasi-static speckle pattern can be seen.
Lower panel: difference between two images taken with two different field orientations, which
allows us to significantly improve detection limits in the inner regions.
The field of view shown is
|
| Open with DEXTER | |
| In the text | |
![]() |
Figure 12: Detectability limits for companions of difference magnitude around HD 17156 as a function of the projected separation in arcsec. Continuous line: limits on the difference image. Dotted line: limits on the composite deep image. |
| Open with DEXTER | |
| In the text | |
![]() |
Figure 13: Detectability limits for stellar companions around HD 17156 as a function of the projected separation in AU. Continuous line: limits on the difference image dotted line: limits on the composite deep image. |
| Open with DEXTER | |
| In the text | |
Copyright ESO 2009
Current usage metrics show cumulative count of Article Views (full-text article views including HTML views, PDF and ePub downloads, according to the available data) and Abstracts Views on Vision4Press platform.
Data correspond to usage on the plateform after 2015. The current usage metrics is available 48-96 hours after online publication and is updated daily on week days.
Initial download of the metrics may take a while.
![\begin{figure}
\par\includegraphics[width=8.5cm,clip]{11466f01.ps}
\end{figure}](/articles/aa/full_html/2009/32/aa11466-08/Timg27.png)
![\begin{figure}
\par\includegraphics[width=8.9cm,clip]{11466f02.ps}
\end{figure}](/articles/aa/full_html/2009/32/aa11466-08/Timg71.png)
![\begin{figure}
\par\includegraphics[width=8.9cm,clip]{11466f3.eps}
\end{figure}](/articles/aa/full_html/2009/32/aa11466-08/Timg84.png)
![\begin{figure}
\par\includegraphics[width=8.9cm,clip]{11466f09.ps}
\end{figure}](/articles/aa/full_html/2009/32/aa11466-08/Timg91.png)
![\begin{figure}
\par\includegraphics[width=8.9cm,clip]{11466f10.ps}
\end{figure}](/articles/aa/full_html/2009/32/aa11466-08/Timg97.png)
![\begin{figure}
\par\includegraphics[width=16cm,clip]{11466f11.ps}
\end{figure}](/articles/aa/full_html/2009/32/aa11466-08/Timg103.png)
![\begin{figure}
\par\includegraphics[angle=-90,width=8.9cm,clip]{11466f12.ps}\par\includegraphics[angle=-90,width=8.9cm,clip]{11466f13.ps}
\end{figure}](/articles/aa/full_html/2009/32/aa11466-08/Timg120.png)
![\begin{figure}
\par\includegraphics[angle=-90,width=8.9cm,clip]{11466f14.ps}
\end{figure}](/articles/aa/full_html/2009/32/aa11466-08/Timg122.png)
![\begin{figure}
\par\includegraphics[angle=-90,width=8.9cm,clip]{11466f15.ps}\par\includegraphics[angle=-90,width=8.9cm,clip]{11466f16.ps}
\end{figure}](/articles/aa/full_html/2009/32/aa11466-08/Timg130.png)
![\begin{figure}
\par\includegraphics[width=8.9cm,clip]{11466f17.ps}
\end{figure}](/articles/aa/full_html/2009/32/aa11466-08/Timg131.png)
![\begin{figure}
\par\includegraphics[width=5cm,clip]{11466f18.ps}\par\includegraphics[width=5cm,clip]{11466f19.ps}
\end{figure}](/articles/aa/full_html/2009/32/aa11466-08/Timg137.png)
![\begin{figure}
\par\includegraphics[width=8.9cm,clip]{11466f20.ps}
\end{figure}](/articles/aa/full_html/2009/32/aa11466-08/Timg138.png)
![\begin{figure}
\par\includegraphics[width=8.9cm,clip]{11466f21.ps}
\end{figure}](/articles/aa/full_html/2009/32/aa11466-08/Timg139.png)