| Issue |
A&A
Volume 503, Number 2, August IV 2009
|
|
|---|---|---|
| Page(s) | 323 - 343 | |
| Section | Astrophysical processes | |
| DOI | https://doi.org/10.1051/0004-6361/200912129 | |
| Published online | 22 June 2009 | |
The photodissociation and chemistry of CO isotopologues: applications to interstellar clouds and circumstellar disks![[*]](/icons/foot_motif.png)
R. Visser1 - E. F. van Dishoeck1,2 - J. H. Black3
1 - Leiden Observatory, Leiden University, PO Box 9513, 2300 RA Leiden, The Netherlands
2 - Max-Planck-Institut für Extraterrestrische Physik, Giessenbachstrasse 1, 85748 Garching, Germany
3 - Onsala Space Observatory, Chalmers University of Technology, 43992 Onsala, Sweden
Received 21 March 2009 / Accepted 11 June 2009
Abstract
Aims. Photodissociation by UV light is an important destruction mechanism for carbon monoxide (CO) in many astrophysical environments, ranging from interstellar clouds to protoplanetary disks. The aim of this work is to gain a better understanding of the depth dependence and isotope-selective nature of this process.
Methods. We present a photodissociation model based on recent spectroscopic data from the literature, which allows us to compute depth-dependent and isotope-selective photodissociation rates at higher accuracy than in previous work. The model includes self-shielding, mutual shielding and shielding by atomic and molecular hydrogen, and it is the first such model to include the rare isotopologues C17O and 13C17O. We couple it to a simple chemical network to analyse CO abundances in diffuse and translucent clouds, photon-dominated regions, and circumstellar disks.
Results. The photodissociation rate in the unattenuated interstellar radiation field is
s-1, 30% higher than currently adopted values. Increasing the excitation temperature or the Doppler width can reduce the photodissociation rates and the isotopic selectivity by as much as a factor of three for temperatures above 100 K. The model reproduces column densities observed towards diffuse clouds and PDRs, and it offers an explanation for both the enhanced and the reduced
ratios seen in diffuse clouds. The photodissociation of C17O and 13C17O shows almost exactly the same depth dependence as that of C18O and 13C18O, respectively, so 17O and 18O are equally fractionated with respect to 16O. This supports the recent hypothesis that CO photodissociation in the solar nebula is responsible for the anomalous 17O and 18O abundances in meteorites. Grain growth in circumstellar disks can enhance the
and
ratios by a factor of ten relative to the initial isotopic abundances.
Key words: astrochemistry - molecular processes - molecular data - ISM: molecules - stars: planetary systems: protoplanetary disks - ISM: clouds
1 Introduction
Carbon monoxide (CO) is one of the most important molecules in astronomy. It is second in abundance only to molecular hydrogen (H2) and it is the main gas-phase reservoir of interstellar carbon. Because it is readily detectable and chemically stable, CO and its less abundant isotopologues are the main tracers of the gas properties, structure and kinematics in a wide variety of astrophysical environments (for recent examples, see Bayet et al. 2006; Narayanan et al. 2008; Najita et al. 2003; Greve et al. 2005; Wilson et al. 2005; Oka et al. 2007; Leroy et al. 2005; Dame et al. 2001; Huggins et al. 2005). In particular, the pure rotational lines at millimetre wavelengths are often used to determine the total gas mass. This requires knowledge of the CO-H2 abundance ratio, which may differ by several orders of magnitude from one object to the next (Panic et al. 2008; Lacy et al. 1994; Burgh et al. 2007). If isotopologue lines are used, the isotopic ratio enters as an additional unknown.
CO also controls much of the chemistry in the gas phase and on grain surfaces, and is a precursor to more complex molecules. In photon-dominated regions (PDRs), dark cores and shells around evolved stars, the amount of carbon locked up in CO compared with that in atomic C and C+ determines the abundances of small and large carbon-chain molecules (e.g., Teyssier et al. 2004; Brown & Millar 2003; Millar et al. 1987; Aikawa & Herbst 1999; Morata & Herbst 2008; Jansen et al. 1995; Cernicharo 2004). CO ice on the surfaces of grains can be hydrogenated to more complex saturated molecules such as CH3OH (e.g., Watanabe & Kouchi 2002; Charnley et al. 1995), so the partitioning of CO between the gas and grains is important for the overall chemical composition as well (e.g., Rodgers & Charnley 2003; Garrod & Herbst 2006; Caselli et al. 1993; Doty et al. 2004).
A key process in controlling the gas-phase abundance of 12CO and its isotopologues is photodissociation by ultraviolet (UV) photons. This is governed entirely by discrete absorptions into predissociative excited states; any possible contributions from continuum channels are negligible (Hudson 1971; Cooper & Kirby 1987; Fock et al. 1980; Letzelter et al. 1987). Spectroscopic measurements in the laboratory at increasingly higher spectral resolution have made it possible for detailed photodissociation models to be constructed (Solomon & Klemperer 1972; Bally & Langer 1982; Glassgold et al. 1985; van Dishoeck & Black 1986; Viala et al. 1988; van Dishoeck & Black 1988, hereafter vDB88; Warin et al. 1996; Lee et al. 1996). The currently adopted photodissociation rate in the unattenuated interstellar radiation field is
s-1.
Because the photodissociation of CO is a line process, it is subject to self-shielding: the lines become saturated at a 12CO column depth of about 1015 cm-2, and the photodissociation rate strongly decreases (vDB88; Lee et al. 1996). Bally & Langer (1982) realised this is an isotope-selective effect. Due to their lower abundance, isotopologues other than 12CO are not self-shielded until much deeper into a cloud or other object. This results in a zone where the abundances of these isotopologues are reduced with respect to 12CO, and the abundances of atomic 13C, 17O and 18O are enhanced with respect to 12C and 16O. For example, the C17O-12CO and C18O-12CO column density ratios towards X Per are a factor of five lower than the elemental oxygen isotope ratios (Sheffer et al. 2002). The 13CO-12CO ratio along the same line of sight is unchanged from the elemental carbon isotope ratio, indicating that 13CO is replenished through low-temperature isotope-exchange reactions. A much larger sample of sources shows
column density ratios both enhanced and reduced by up to a factor of two relative to the elemental isotopic ratio (Sheffer et al. 2007; Burgh et al. 2007; Sonnentrucker et al. 2007). The reduced ratios have so far defied explanation, as all models predict that isotope-exchange reactions prevail over selective photodissociation in translucent clouds.
CO self-shielding has been suggested as an explanation for the anomalous 17O- 18O abundance ratio found in meteorites (Lyons & Young 2005; Lee et al. 2008; Clayton et al. 1973; Clayton 2002). In cold environments, molecules such as water (H2O) may be enhanced in heavy isotopes. This so-called isotope fractionation process is due to the difference in vibrational energies of H216O, H217O and H218O, and is therefore mass-dependent. It results in 18O being about twice as fractionated as 17O. However, 17O and 18O are nearly equally fractionated in the most refractory phases in meteorites (calcium-aluminium-rich inclusions, or CAIs), hinting at a mass-independent fractionation mechanism. Isotope-selective photodissociation of CO in the surface of the early circumsolar disk is such a mechanism, because it depends on the relative abundances of the isotopologues and the mutual overlap of absorption lines, rather than on the mass of the isotopologues. The enhanced amounts of 17O and 18O are subsequently transported to the planet- and comet-forming zones and eventually incorporated into CAIs. Recent observations of 12CO, C17O and C18O in two young stellar objects support the hypothesis of CO photodissociation as the cause of the anomalous oxygen isotope ratios in CAIs (Smith et al. 2009). A crucial point in the Lyons & Young model is the assumption that the photodissociation rates of C17O and C18O are equal. Our model can test this at least partially.
Detailed descriptions of the CO photodissociation process are also important in other astronomical contexts. The circumstellar envelopes of evolved stars are widely observed through CO emission lines. The measurable sizes of these envelopes are limited primarily by the photodissociation of CO in the radiation field of background starlight (Mamon et al. 1988). Finally, proper treatment of the line-by-line contributions to the photodissociation of CO may affect the analysis of CO photochemistry in the upper atmospheres of planets (Fox & Black 1989).
In this paper, we present an updated version of the photodissociation model from vDB88, based on laboratory experiments performed in the past twenty years (Sect. 2). We expand the model to include C17O and 13C17O and we cover a broader range of CO excitation temperatures and Doppler widths (Sects. 3 and 4). We rederive the shielding functions from vDB88 and extend these also to higher excitation temperatures and larger Doppler widths (Sect. 5). Finally, we couple the model to a chemical network and discuss the implications for translucent clouds, PDRs and circumstellar disks, with a special focus on the meteoritic 18O anomaly (Sect. 6).
2 Molecular data
The photodissociation of CO by interstellar radiation occurs through discrete absorptions into predissociated bound states, as first suggested by Hudson (1971) and later confirmed by Fock et al. (1980). Any possible contributions from continuum channels are negligible at wavelengths longer than the Lyman limit of atomic hydrogen (Cooper & Kirby 1987; Letzelter et al. 1987).
Ground-state CO has a dissociation energy of 11.09 eV and the general interstellar radiation field is cut off at 13.6 eV, so knowledge of all absorption lines within that range (911.75-1117.80 Å) is required to compute the photodissociation rate. These data were only partially available in 1988, but ongoing laboratory work has filled in a lot of gaps. Measurements have also been extended to include CO isotopologues, providing more accurate values than can be obtained from theoretical isotopic relations. Table 1 lists the values we adopt for 12CO.
Table 1: New molecular data for 12COa.
2.1 Band positions and identifications
Eidelsberg & Rostas (1990, hereafter ER90) and Eidelsberg et al. (1992) redid the experiments of Letzelter et al. (1987) at higher spectral resolution and higher accuracy, and also for 13CO, C18O and 13C18O. They reported 46 predissociative absorption bands between 11.09 and 13.6 eV, many of which were rotationally resolved. Nine of these have a cross section too low to contribute significantly to the overall dissociation rate. The remaining 37 bands are largely the same as the 33 bands of vDB88; bands 1 and 2 of the latter are resolved into four and two individual bands, respectively. Throughout this work, band numbers refer to our numbering scheme (Table 1), unless noted otherwise.
Thanks to the higher resolution and the isotopologue data, ER90 could identify the electronic and vibrational character of the upper states more reliably than Stark et al. in vDB88. The vibrational levels are required to compute the positions for those isotopologue bands that have not been measured directly. Nine of the vDB88 bands (not counting the previously unresolved bands 1 and 2) have a revised v' value.
The Eidelsberg et al. (1992) positions (
or
)
are the best available for most bands, with an estimated accuracy of 0.1-0.5 cm-1. Seven of their 12CO bands were too weak or diffuse for a reliable analysis, so their positions are accurate only to within 5 cm-1. Nevertheless, we adopt the Eidelsberg et al. positions for three of these: bands 2A, 6 and 14. The former was blended with band 2B in vDB88, and the other two show a better match with the isotopologue band positions if we take the Eidelsberg et al. values. For the other four weak or diffuse bands, Nos. 4, 15, 19 and 28, we keep the vDB88 positions. Ubachs et al. (1994) further improved the experiments, obtaining an accuracy of about 0.01-0.1 cm-1, so we adopt their band positions where available. Finally, we adopt the even more accurate positions (0.003 cm-1 or better) available for the C1, E0, E1 and L0 bands (Cacciani et al. 2002; Cacciani & Ubachs 2004; Ubachs et al. 2000; Cacciani et al. 2001)
.
Band positions for isotopologues other than 12CO are still scarce, although many more are currently known from experiments than in 1988. The C1 and E1 bands have been measured for all six natural isotopologues, and the E0 band for all but 13C17O, at an accuracy of 0.003 cm-1 (Cacciani & Ubachs 2004; Ubachs et al. 2000; Cacciani et al. 1995,2001). The positions of the E0 band are especially important because of its key role in the isotope-selective nature of the CO photodissociation (Sect. 3.3). Positions are known at lower accuracy (0.003-0.5 cm-1) for an additional 25 C18O, 30 13CO and 9 13C18O bands (Cacciani et al. 2002; Eidelsberg et al. 1992; Ubachs et al. 1994); these are included throughout.
We compute the remaining band positions from theoretical isotopic relations. For band b of isotopologue i, the position is
with
- if it is part of a vibrational series (such as band 30, for which the corresponding v'=1 band is No. 27), we can derive
from the difference in
;
- else, if it is part of a Rydberg series converging to the
or
state of CO+, we take those constants (Haridass et al. 2000);
- else, we take the constants of ground-state CO (Guelachvili et al. 1983).
2.2 Rotational constants
The rotational constants (
and
)
for each excited state are needed to compute the positions of the individual absorption lines. ER90 provided
values for most bands, at an estimated accuracy of better than 1%. Their
values are less well constrained and may be off by more than a factor of two. However, this is of little importance for the low-J lines typically involved in the photodissociation of CO. More accurate values (
to better than 0.1%,
to 10% or better) are available for 12 states from higher-resolution experiments (Eikema et al. 1994; Cacciani et al. 2002; Cacciani & Ubachs 2004; Ubachs et al. 1994,2000; Cacciani et al. 2001). Again, the data for isotopologues other than 12CO are generally scarce, so we have to compute their constants from theoretical isotopic relations. This increases the uncertainty in
to a few per cent. In case of bands 12, 15, 19 and 28, ER90 reported constants for C18O but not for 12CO, so we employ the theoretical relations for the latter. We adopt the vDB88 constants for bands 4 and 14, because they are more accurate than those of ER90. No constants are available for Rydberg bands 2A and 6, so we adopt the constants of the associated CO+ states (
and
,
respectively).
In seven cases, the rotational constants of the P and R branch (e parity) were found to differ from those of the Q branch (f parity; Cacciani et al. 2002; Cacciani & Ubachs 2004; Ubachs et al. 1994,2000). For these bands, the f parity values are given in Table 1. Table 2 lists the difference between the f and e values, defined as
and
.
The uncertainties in
and
are on the order of 1 and 10%, respectively.
Table 2: Parity-dependent rotational constants for 12CO.
2.3 Oscillator strengths
ER90 measured the integrated absorption cross sections (
)
for all their bands to a typical accuracy of 20%, but they cautioned that some values, especially for mutually overlapping bands, may be off by up to a factor of two. The oscillator strengths (
)
derived from these data are different from vDB88 for most bands, sometimes by even more than a factor of two. In addition, there are differences of up to an order of magnitude between the cross sections of 12CO and those of the other isotopologues for many bands shortwards of 990 Å. The isotopic differences are likely due in part to the difficulty in determining individual cross sections for strongly overlapping bands, but isotope-selective oscillator strengths in general are not unexpected. For example, they were also observed recently in high-resolution measurements of N2 (Stark, priv. comm.). For CO, the oscillator strengths depend on the details of the interactions between the J', v' levels of the excited states and other rovibronic levels. These interactions, in turn, depend on the energy levels, which are different between the isotopologues. We adopt the isotope-selective oscillator strengths where available. In case of transitions where no isotopic data exist, we choose to take the value of the isotopologue nearest in mass. This gives the closest match in energy levels and should, in general, also give the closest match in oscillator strengths, which to first order are determined by the Franck-Condon factors.
For ten of our bands, we adopt oscillator strenghts from studies that aimed specifically at measuring this parameter (Eidelsberg et al. 2004; Federman et al. 2001; Eidelsberg et al. 2006). Their esimated accuracy is 5-15%. The oscillator strength for the E0 band from Federman et al. (2001) is almost twice as large as that of vDB88 and ER90, which appears to be due to an inadequate treatment of saturation effects in the older work. The 2001 value corresponds well to other values derived since 1990. Federman et al. also measured the oscillator strength of the weaker C1 band and found it to be the same, within the error margins, as that of vDB88 and ER90. Recent measurements of the K0, L0 and E1 transitions and the four W transitions show larger oscillator strengths than those of vDB88 and ER90 (Eidelsberg et al. 2004,2006). The new values correspond closely to those of Sheffer et al. (2003), who derived oscillator strengths for eight bands by fitting a synthetic spectrum to Far Ultraviolet Spectroscopic Explorer (FUSE) data taken towards the star HD 203374A. Lastly, the Eidelsberg et al. (2004) value for the L'1 band is 33% lower than that of vDB88, but very similar to those of ER90 and Sheffer et al. (2003), so we adopt it as well.
We compute the oscillator strengths of individual lines as the product of the appropriate Hönl-London factor and the oscillator strength of the corresponding band (Morton & Noreau 1994). Significant departures from Hönl-London patterns have been reported for many N2 lines, sometimes even for the lowest rotational levels (Stark et al. 2008,2005). The oscillator strength measured in one particular N2 band for the P(22) line was twenty times stronger than that for the P(2) line, due to strong mixing of the upper state with a nearby Rydberg state. For other bands where deviations from Hönl-London factors were observed, the effect was generally less than 50% at J'=10. Similar deviations are likely to occur for CO, but a lack of experimental data prevents us from including this in our model. Note, however, that large deviations are only expected for specific levels that happen to be strongly interacting with another state. Many hundreds of levels contribute to the photodissociation rate, so the effect of some erroneous individual line oscillator strengths is small.
2.4 Lifetimes and predissociation probabilities
Upon excitation, there is competition between dissociative and radiative decay. A band's predissociation probability (
)
can be computed if the upper state's total and radiative lifetimes are known:
.
ER90 reported total lifetimes (1/
)
for all their bands, but many of these are no more than order-of-magnitude estimates. Higher-resolution experiments have since produced more accurate values for 17 of our bands (Cacciani et al. 2002; Ubachs et al. 1994; Cacciani et al. 1998; Eidelsberg et al. 2006; Ubachs et al. 2000; Cacciani et al. 2001). In several cases, values that differ by up to a factor of three are reported for different isotopologues. Where available, we take isotope-specific values. Otherwise, we follow the same procedure as for the oscillator strengths, and take the value of the isotopologue nearest in mass.
The total lifetimes of some upper states have been shown to depend on the rotational level (Eidelsberg et al. 2006; Ubachs et al. 2000; Drabbels et al. 1993). In case of
states, a dependence on parity was sometimes observed as well. We include these effects for the five bands in which they have been measured (Table 3).
Table 3: Parity- and rotation-dependent inverse lifetimes for 12CO.
Recent experiments by Chakraborty et al. (2008) suggest isotope-dependent photodissociation rates for the E0, E1, K0 and W2 bands. These have been interpreted to imply different predissociation probabilities of individual lines of the various isotopologues due to a near-resonance accidental predissociation process. Similar effects have been reported for ClO2 and CO2 (Bhattacharya et al. 2000; Lim et al. 1999). In this process, the bound-state levels into which the UV absorption takes place do not couple directly with the continuum of a dissociative state. Instead, they first transfer population to another bound state, whose levels happen to lie close in energy. For the CO E1 state, this process was rotationally resolved by Ubachs et al. (2000) for all naturally occurring isotopologues and shown to be due to spin-orbit interaction with the
v'=6 state, which in turn couples with a repulsive state. The predissociation rates of the E1 state are found to increase significantly due to this process, but only for specific J' levels that accidentally overlap. For example, interaction occurs at J'=7, 9 and 12 for 12CO, but at J'=1 and 6 for 13C18O. Since the dissociation probabilities for the E1 state due to direct predissociation were already high,
,
this increase in dissociation rate only has a very minor effect (Cacciani et al. 1998). Moreover, under astrophysical conditions a range of J' values are populated, so that the effect of individual levels is diluted. Since Chakraborty et al. did not derive line-by-line molecular parameters, we cannot easily incorporate their results into our model. In Sect. 6.3, we show that our results do not change significantly when we include the proposed effects in an ad-hoc way.
The radiative lifetime of an excited state is a sum over the decay into all lower-lying levels, including the
and
electronic states and the v'
0 levels of the ground state. The total decay rate to the ground state is obtained by summing the oscillator strengths from Table 1 for each vibrational series (Cacciani et al. 1998; Morton & Noreau 1994). Theoretical work by Kirby & Cooper (1989) showed that transitions to electronic states other than the ground state contribute about 1% of the overall radiative decay rate for the C state and about 8% for the E state. No data are available for the excited states at higher energies. Fortunately, the radiative decay rate from these higher states to the ground state is small compared to the dissociation rate, so an uncertainty of
10% will not affect the
values.
The predissociation probabilities thus computed are nearly identical to those of vDB88: the largest difference is a 10% decrease for the C1 band. This is due to the larger oscillator strength now adopted.
There have been suggestions that the C0 state can also contribute to the photodissociation rate. Cacciani et al. (2001) measured upper-state lifetimes in the C0 and C1 states for several CO isotopologues. For the v'=0 state of 13CO they found a total lifetime of 1770 ps, consistent with a value of 1780 ps for 12CO, but different from the lifetime of 1500 ps in 13C18O. Although the three values agree within the mutual uncertainties of 10-15%
on each measurement, Cacciani et al. suggested that the heaviest species, 13C18O, has a predissociation yield of
rather than zero if the measurements are taken at face value and if the radiative lifetime of the C0 state is presumed to be 1780 ps for all three species. The accurate absorption oscillator strength measured by Federman et al. (2001) for the C0 band, 0.123
0.016, implies a radiative lifetime that can be no longer than 1658 ps at the lower bound of measurement uncertainty in
.
Taken together, the lifetime measurements of Cacciani et al. and the absorption measurements of Federman et al. favour a conservative conclusion that the dissociation yield is zero for each of these three isotopologues. We assume the C0 band is also non-dissociative in C17O, C18O and 13C17O; this is consistent with earlier studies (e.g., vDB88; ER90; Morton & Noreau 1994).
2.5 Atomic and molecular hydrogen
Lines of atomic and molecular hydrogen (H and H2) form an important contribution to the overall shielding of CO. As in vDB88, we include H Lyman lines up to n=50 and H2 Lyman and Werner lines (transitions to the
and
states) from the v''=0, J''=0-7 levels of the electronic ground state. We adopt the line positions, oscillator strengths and lifetimes from Abgrall et al. (1993a,b), as compiled for the freely available MEUDON PDR code (Le Bourlot et al. 1993; Le Petit et al. 2006,2002)
. Ground-state rotational constants, required to compute the level populations, come from Jennings et al. (1984).
3 Depth-dependent photodissociation
3.1 Default model parameters
The simplest way of modelling the depth-dependent photodissociation involves dividing a one-dimensional model of an astrophysical object, irradiated only from one side, into small steps, in which the photodissociation rates can be assumed constant. We compute the abundances from the edge inwards, so that at each step we know the columns of CO, H, H2 and dust shielding the unattenuated radiation field.
Following vDB88, Le Bourlot et al. (1993), Lee et al. (1996) and Le Petit et al. (2006), we treat the line and continuum attenuation separately. For each of our 37 CO bands, we include all lines originating from the first ten rotational levels (J''=0-9) of the v''=0 level of the electronic ground state. That results in 855 lines per isotopologue. In addition, we have 48 H lines and 444 H2 lines, for a total of 5622. We use an adaptive wavelength grid that resolves all lines without wasting computational time on empty regions. For typical model parameters, the wavelength range from 911.75 to 1117.80 Å is divided into
47 000 steps.
We characterise the population distribution of CO over the rotational levels by a single temperature,
.
The H2 population requires a more detailed treatment, because UV pumping plays a large role for the J''>4 levels (van Dishoeck & Black 1986). We populate the J''=0-3 levels according to a single temperature,
,
and adopt fixed columns of
,
,
and
cm-2 for J''=4-7. This reproduces observed translucent cloud column densities to within a factor of two (van Dishoeck & Black 1986, and references therein). The J''>4 population scales with the UV intensity, so we re-evaluate this point for PDRs and circumstellar disks in Sects. 6.2 and 6.3.
The line profiles of CO, H2 and H are taken to be Voigt functions, with default Doppler widths (b) of 0.3, 3.0 and 5.0 km s-1, respectively. We adopt Draine (1978) as our standard unattenuated interstellar radiation field.
3.2 Unshielded photodissociation rates
We obtain an unshielded CO photodissociation rate of
s-1. This rate is 30% higher than that of vDB88, due to the generally larger oscillator strengths in our data set. The new data for bands 33 and 24 (the E0 and K0 transitions) have the largest effect: they account for 63 and 21% of the overall increase. Clearly, the rate depends on the choice of radiation field. If we adopt Habing (1968), Gondhalekar et al. (1980) or Mathis et al. (1983) instead of Draine (1978), the photodissociation rate becomes 2.0, 2.0 or
s-1, respectively. vDB88 reported the same relative differences between these three fields.
Table 4:
Relative and absolute shielding effects for the ten most important bands in the
Oph clouda.
3.3 Shielding by CO, H2 and H
Self-shielding, shielding by H, H2 and the other CO isotopologues, and continuum shielding by dust all reduce the photodissociation rates inside a cloud or other environment relative to the unshielded rates. For a given combination of column densities (N) and visual extinction (
), the photodissociation rate for isotopologue i is
with
For now, we ignore shielding by dust and compute the depth-dependent photodissociation rates due to line shielding only. Our test case is the centre of the diffuse cloud towards the star
Oph. The observed column densities of H, H2, 12CO and 13CO are
,
,
and
cm-2 (van Dishoeck & Black 1986; Lambert et al. 1994), and we assume C17O, C18O, 13C17O and 13C18O column densities of
,
,
and
cm-2, consistent with observational constraints. For the centre of the cloud, we adopt half of these values. We set
km s-1 and
K (Sheffer et al. 1992), and we populate the H2 rotational levels explicitly according to the observed distribution. The cloud is illuminated by three times the Draine field (
).
Table 4 lists the relative contribution of the most important bands at the edge and centre for each isotopologue, as well as the overall photodissociation rate at each point. The column densities are small, but isotope-selective shielding already occurs: the 12CO rate at the centre is lower than that of the other isotopologues by factors of three to six.
The E0 band is the most important contributor at the edge. This was also found by vDB88, but the higher oscillator strength now adopted makes it even stronger. Going to the centre, it saturates rapidly for 12CO: its absolute contribition to the total dissociation rate decreases by two orders of magnitude, and it goes from the strongest band to the 12th strongest band. The five strongest bands at the centre are the same as in vDB88: Nos. 13, 15, 19, 20 and 23.
Figure 1 illustrates the isotope-selective shielding. The left panel is centred on the R(1) line of the E0 band (No. 33 from Table 1). This line is fully saturated in 12CO and the relative intensity of the radiation field (I/I0, with I0 the intensity at the edge of the cloud) goes to zero. 13CO and C18O also visibly reduce the intensity, to
I/I0=0.50 and 0.72, but the other three isotopologues are not abundant enough to do so. Consequently, these three are not self-shielded in the
Oph cloud, but they are shielded by 12CO, 13CO and C18O. The weaker shielding of 13C17O and 13C18O in the E0 band compared to C17O is due to their lines having less overlap with the 12CO lines.
![]() |
Figure 1:
Relative intensity of the radiation field (I/I0) and intrinsic line profiles for the six CO isotopologues ( |
| Open with DEXTER | |
The right panel of Fig. 1 contains the R(0) line of the W1 band (No. 20), with the R(1) line present as a shoulder on the red wing. Also visible is the saturated B13 R(2) line of H2 at 956.58 Å. The W1 band is weaker than the E0 band, so 12CO is the only isotopologue to cause any appreciable reduction in the radiation field and to be (partially) self-shielded. The shielding of the other five isotopologues is dominated by overlap with the 12CO and H2 lines. This figure also shows the need for accurate line positions: if the 13C18O line were shifted by 0.1 Å in either direction, it would no longer overlap with the H2 line and be less strongly shielded. Note that the position of the W1 band has only been measured for 12CO, 13CO and C18O, so we have to compute the position for the other isotopologues from theoretical isotopic relations. This causes the C17O line to appear longwards of the C18O line.
3.4 Continuum shielding by dust
Dust can provide a very strong attenuation of the radiation field. This effect is largely independent of wavelength for the 912-1118 Å radiation available to dissociate CO, so it affects all isotopologues to the same extent. It can be expressed as an exponential function of the visual extinction, as expressed in Eq. (2). For typical interstellar dust grains (radius of 0.1
m and optical properties from Roberge et al. 1991), the extinction coefficient
is 3.53 for CO (van Dishoeck et al. 2006). Larger grains have less opacity in the UV and do not shield CO as strongly. For ice-coated grains with a mean radius of 1
m, appropriate for circumstellar disks (Jonkheid et al. 2006), the extinction coefficient is only 0.6. The effects of dust shielding are discussed more fully in Sect. 6.
Photodissociation of CO may still take place even in highly extincted regions. Cosmic rays or energetic electrons generated by cosmic rays can excite H2, allowing it to emit in a multitude of bands, including the Lyman and Werner systems (Prasad & Tarafdar 1983). The resulting UV photons can dissociate CO at a rate of about 10-15 s-1 (Gredel et al. 1987), independent of depth. That is enough to increase the atomic C abundance by some three orders of magnitude compared to a situation where the photodissociation rate is absolutely zero. The cosmic-ray-induced photodissociation rate is sensitive to the spectroscopic constants of CO, especially where it concerns the overlap between CO and H2 lines, so it would be interesting to redo the calculations of Gredel et al. with the new data from Table 1. However, that is beyond the scope of this paper.
3.5 Uncertainties
The uncertainties in the molecular data are echoed in the model results. When coupled to a chemical network, as in Sect. 6, the main observables produced by the model are the column densities of the CO isotopologues for a given astrophysical environment. The accuracy of the photodissociation rates is only relevant in a specific range of depths; in the average interstellar UV field, this range runs from an
of
0.2 to
2 mag. Photoprocesses are so dominant at lower extinctions and so slow at higher extinctions that the exact rate does not matter. In the intermediate regime, both the absolute photodissociation rates and the differences between the rates for individual isotopologues are important. The oscillator strengths are the key variable in both cases and these are generally known rather accurately. Taking account of the experimental uncertainties in the band oscillator strengths and of the theoretical uncertainties in computing the properties for individual lines, and identifying which bands are important contributors (Table 4), we estimate the absolute photodissociation rates to be accurate to about 20%. This error margin carries over into the absolute CO abundances and column densities for the
mag range when the rates are put into a chemical model. The accuracy on the rates and abundances of the isotopologues relative to each other is estimated to be about 10% when summed over all states, even when we allow for the kind of isotope-specific predissociation probabilities suggested by Chakraborty et al. (2008).
4 Excitation temperature and Doppler width
The calculations of vDB88 were only done for low excitation temperatures of CO and H2. Here, we extend this work to higher temperatures, as required for PDRs and disks, and we re-examine the effect of the Doppler widths of CO, H2 and H on the photodissociation rates. We first treat four cases separately, increasing either
,
,
or
.
At the end of this section we combine these effects in a grid of excitation temperatures and Doppler widths. As a template model we take the centre of the
Oph cloud, with column densities and other parameters as described in Sect. 3.3.
4.1 Increasing T
(CO)
As the excitation temperature of CO increases, additional rotational levels are populated and photodissociation is spread across more lines. Figure 2 visualises this for band 13 of 12CO. At 4 K, only four lines are active: the R(0), R(1), P(1) and P(2) lines at 933.02, 932.98, 933.09 and 933.12 Å. The R(0) and P(1) lines are both fully self-shielded at the line centre. Going to 16 K, the R(0) line loses about 70% of its intrinsic intensity and ceases to be self-shielding. In addition, the R(2), P(3) and higher-J lines start to absorb. The combination of less saturated low-J lines and more active higher-J lines yields a 39% higher photodissociation rate at 16 K compared to 4 K.
![]() |
Figure 2:
Illustration of the effect of increasing
|
| Open with DEXTER | |
A higher CO excitation temperature has the same favourable effect for 13CO, which is partially self-shielded at the centre of the
Oph cloud. Its photodissociation rates increase by 16% when going from 4 to 16 K. C18O is also partially self-shielded, but less so than 13CO, so the favourable effect is smaller. At the same time, it suffers from increased overlap by 12CO. The net result is a small increase in the photodissociation rate of 0.2%.
The two heaviest isotopologues, 13C17O and 13C18O, are not abundant enough to be self-shielded. Their J''<2 lines generally have little overlap with the corresponding 12CO lines, especially in the E0 band near 1076 Å. This band, whose lines are amongst the narrowest in our data set, is the strongest contributor to the photodissociation rate at the centre of the cloud for 13C17O and 13C18O (Table 4). In fact, its narrow lines are part of the reason it is the strongest contributor. The J''=3 and 4 lines that become active at 16 K do have some overlap with 12CO. Without the favourable effect of less self-shielding, this causes the photodissociation rate for 13C17O and 13C18O to decrease for higher excitation temperatures. The change is only small, though: 0.4% for 13C17O and 2% for 13C18O.
Finally, C17O experiences an increase of 18% in its photodissociation rate. Its lines lie closer to those of 12CO than do the 13C17O and 13C18O lines, so it is generally more strongly shielded. At 4 K, most of the shielding is due to the saturated R(0) lines of 12CO. These become partially unsaturated at higher
,
so the corresponding R(0) lines of C17O become a stronger contributor to the photodissociation rate, even though the shift towards higher-J lines make them intrinsically weaker. Overall, increasing
from 4 to 16 K thus results in a higher C17O photodissociation rate.
4.2 Increasing b(CO)
The width of the absorption lines is due to Doppler broadening and natural (or lifetime) broadening. The integrated intensity in each line remains the same when
increases, so a larger width is accompanied by a lower peak intensity. The resulting reduction in self-shielding then causes a higher 12CO photodissociation rate, as shown in Fig. 2 for band 13. However, the effect is rather small because the Doppler width is smaller than the natural width for most lines at typical b values. Natural broadening is the dominant broadening mechanism up to
,
with both parameters in their normal units. The R(0) line of band 13 has an inverse lifetime of
s-1 (Tables 1 and 3), so Doppler broadening becomes important at about 1 km s-1. From 0.3 to 3 km s-1, as in Fig. 2, the line width only increases by a factor of 1.9. Integrated over all lines, the 12CO photodissociation rate becomes 26% higher.
The rates of the other five isotopologues decrease along this
interval due to increased shielding by the E0 lines of 12CO. With an inverse lifetime of only
s-1, Doppler broadening is this band's dominant broadening mechanism in the regime of interest. A tenfold increase in the Doppler parameter from 0.3 to 3 km s-1 results in a nearly tenfold increase in the line widths. At 0.3 km s-1, the E0 lines of 12CO are still sufficiently narrow that they do not strongly shield the lines of the other isotopologues. This is no longer the case at 3 km s-1. 13CO still benefits somewhat from reduced self-shielding in other bands, but it is not enough to overcome the reduced strength of the E0 band, and its photodissociation rates decrease by 2%. The decrease is 13% for C17O and 26-28% for the remaining three isotopologues. The relatively small decrease for C17O is due to its E0 band being already partially shielded by 12CO at 0.3 km s-1, so the stronger shielding at 3 km s-1 has less of an effect.
4.3 Increasing T
(H2) or b(H2)
Increasing the excitation temperature of H2, while keeping the CO parameters constant, results in a decreased photodissociation rate for all six isotopologues. The cause, as again illustrated in Fig. 2, is the activation of more H2 lines. At
K, the R(1) line of the B8 band at 1002.45 Å is very narrow and does not shield the F0 band (No. 30) of the CO isotopologues. (The continuum-like shielding visible in Fig. 2 is due to the strongly saturated B8 R(0) line at 1001.82 Å.) It becomes much more intense at 30 K and widens due to being saturated, thereby shielding part of the F0 band. The same thing happens to other CO bands, resulting in an overall rate decrease of 0.6-2.5%. There is no particular trend visible amongst the isotopologues; the magnitude of the rate change depends purely on the chance that a given CO band overlaps with an H2 line.
Similar decreases of one or two percent in the CO photodissociation rates are seen when the H2 Doppler width is changed from 1 to 10 km s-1. As the H2 lines become broader, the amount of overlap with CO increases across the entire wavelength range. As an example, Fig. 2 shows again the 1002.0-1002.8 Å region, where the B8 R(1) line of H2 further reduces the contribution of the F0 band to the 12CO photodissociation rate.
4.4 Grid of T
and b
We now combine the four individual cases into a grid of excitation temperatures and Doppler widths to see how they influence each other.
is raised from 4 to 512 K in steps of factors of two. The v''=1 vibrational level of 12CO lies at 2143 cm-1 above the v''=0 level, so it starts to be thermally populated at
500 K. No data are available on dissociative transitions out of this level, so we choose not to go to higher excitation temperatures. We increase the range of rotational levels up to J''=39, at 2984 cm-1 above the J''=0 level for 12CO. At
K, the normalised population distribution peaks at J''=9 and decreases to
at J''=39. The H2 excitation temperature is set to
to take account of the fact that its critical densities for thermalisation are lower than those of CO. Where necessary, absorption by rotational levels above our normal limit of J''=7 and by non-zero vibrational levels is taken into account (Abgrall et al. 1993a; Dabrowski 1984; Abgrall et al. 1993b). All H2 rovibrational levels are strictly thermally populated; no UV pumping is included. The grid is run for CO Doppler widths of 0.1, 0.3, 1.0 and 3.2 km s-1; we set
and
,
corresponding to the differences appropriate for thermal broadening.
![]() |
Figure 3:
Left: photodissociation rate of the CO isotopologues as a function of excitation temperature, normalised to the rate at 4 K, at four different Doppler widths, for parameters corresponding to the centre of the |
| Open with DEXTER | |
The left set of panels in Fig. 3 shows the photodissociation rate of the six isotopologues at the centre of the
Oph cloud as a function of excitation temperature for the different Doppler widths. The rates are normalised to the rate at 4 K. The 12CO rate increases from 4 to 16 K, as described in Sect. 4.1. At higher temperatures the increased overlap with H2 lines takes over and the rate goes down. As long as the CO excitation temperature is less than
100 K, the 12CO rate remains constant up to
km s-1 and increases as
goes from 0.3 to 3.2 km s-1 (right side of Fig. 3). At higher temperatures there is so much shielding by H2 that reduced self-shielding in the CO lines has no discernable effect on the rate. Instead, the rate goes down with b due to stronger shielding by the broadened H2 lines.
The 13CO rate also increases initially with
and then goes down as H2 shielding takes over. The rate increases from
to 0.3 km s-1, but decreases for higher values as described in Sect. 4.2. For the remaining four isotopologues, the plotted curves likewise result from a combination of weaker shielding by 12CO and stronger shielding by H2. At CO excitation temperatures between 4 and 8 K, the rates typically change by a few per cent either way. Going to higher temperatures, all rates decrease monotonically. Likewise, the rates generally decrease towards higher
values.
A change in behaviour is seen when increasing
from 256 to 512 K. It is at this point that the v''>0 levels of H2 become populated. Less energy is now needed to excite H2 to the B and C states, so absorption shifts towards longer wavelengths. This causes even stronger shielding in the heavy CO isotopologues, for whom the E0 band at 1076 Å is still an important contributor to the photodissociation rate, at least as long as
does not exceed 0.3 km s-1. The E0 band is strongly self-shielded in 12CO (Table 4), so the shift of the H2 absorption to longer wavelengths does not reduce its contribution by much. In fact, the weaker H2 absorption at shorter wavelengths allows for an increased contribution of bands like Nos. 13 and 16 at 933 and 941 Å, causing a net increase in the 12CO photodissociation rate from 256 to 512 K. The situation changes somewhat when the CO Doppler width increases to 1.0 km s-1 or more. The E0 band of the heavy isotopologues is now much less of a contributor, because it is shielded by the broader 12CO lines. The shifting H2 absorption does not cause any additional shielding, so the rates remain almost the same. Furthermore, the H2 lines are also broader and continue to shield the 12CO bands at shorter wavelengths, preventing its photodissociation rate from increasing like it does in the low-b cases.
The main astrophysical consequence becomes clear when we look at the photodissociation rates of the five heavier isotopologues with respect to that of 12CO. Figure 4 shows this
ratio as a function of
and
.
In these plots, the 12CO rate shows as a horizontal line with a value of unity. The ratios generally decrease with both parameters: a higher excitation temperature and a larger Doppler width both cause less self-shielding in 12CO, so the rate differences between the isotopologues become smaller. Shielding by H2 increases at the same time, further reducing the differences between the isotopologues. This means that photodissociation of CO is more strongly isotope-selective in cold sources than in hot sources.
5 Shielding function approximations
It is unpractical for many astrophysical applications to do the full integration of all 5622 lines in our model every time a photodissociation rate is required. Therefore, we present approximations to the shielding functions
introduced in Eq. (2). The approximations are derived for several sets of model parameters and are valid across a wide range of astrophysical environments (Sect. 5.2).
![]() |
Figure 4: As Fig. 3, but with all rates normalised to the 12CO rate. |
| Open with DEXTER | |
5.1 Shielding functions on a two-dimensional grid of N(CO) and N(H2)
The transition from atomic to molecular hydrogen occurs much closer to the edge of the cloud than the C+-C-CO transition, so the column density of atomic H is roughly constant at the depths where shielding of CO is important. In addition, H shields CO by only a few per cent. Therefore, it is a good approximation to compute the shielding functions on a grid of CO and H2 column densities, while taking a constant column of H. It is sufficient to express the shielding of all CO isotopologues as a function of
,
because self-shielding of the heavier CO isotopologues is a small effect compared to shielding by 12CO.
Table 5:
Two-dimensional shielding functions
for
km s-1,
K and
a.
Table 5 presents the shielding functions in the same manner as vDB88 did, but for somewhat different model parameters:
instead of 1.0 km s-1,
instead of 10 K, and
instead of 101.5 K. The present parameters correspond more closely to what is observed in diffuse and translucent clouds. The column density ratios for the six isotopologues are kept constant at the elemental isotope ratios from Wilson (1999):
,
and
.
A small column of
cm-2 of H2 at J''=4-7 is included throughout (except at
)
to account for UV pumping (Sect. 3.1)
. Shielding functions for larger values of b and
and for other isotope ratios are given in Tables 6-8 in the online appendix to this paper. For ease of use, we have also set up a webpage
where the shielding functions can be downloaded in plain text format. This webpage offers shielding functions for a wider variety of parameters than is possible to include in this paper. In addition, it uses a grid of
)
and
values that is five times finer than the grid in Tables 5-8, allowing for more accurate interpolation.
For column densities of up to 1017 cm-2 of CO and 1021 cm-2 of H2, our shielding functions are generally within a few per cent of the vDB88 values when corrected for the difference in b and
.
Larger differences occur for larger columns: we predict the shielding to be about five times weaker at
cm-2 and more than a hundred times stronger at
cm-2. The 912-1118 Å wavelength range was divided into 23 bins by vDB88, and most lines were included only in one bin to speed up the computation. We integrate all lines over all wavelengths. As the lines get strongly saturated at high column depths, absorption in the line wings becomes important. Thus, H2 lines can cause substantial shielding over a range of more than 10 Å, while CO lines may still absorb several Å away from the line centre. The binned integration method of vDB88 did not take these effects into account, so they underpredicted shielding at large H2 columns and overpredicted shielding at large CO columns (Fig. 5). It should be noted, however, that photodissociation at these depths is typically already so slow a process that it is no longer the dominant destruction pathway for CO. In addition, a large CO column is usually accompanied by a large H2 column, so the two effects partially cancel each other.
5.2 Comparison between the full model and the approximations
Despite being computed for a limited number of model parameters, the shielding functions from Tables 5-8 provide a good approximation to the rates from the full model for a wide range of astrophysical environments. Section 6.1 presents a grid of translucent cloud models, where the photodissociation model is coupled to a chemical network and CO is traced as a function of depth. This presents a large range of column densities, with the ratios between the isotopologues deviating from the fixed values adopted for Tables 5-8. The grid covers gas densities from 100 to 1000 cm-3 and gas temperatures from 15 to 100 K, while keeping the excitation temperatures and Doppler widths constant at the values used for Table 5. Altogether, the grid contains 2880 points per isotopologue where the photodissociation rate is computed. Here, we compare the photodissociaton rates from the approximate method to the full integration for each of these points. The sensitivity of
to the
ratio can be corrected for in a simple manner: we use the shielding functions from Table 8 when the ratio is closer to 35 than to 69, and those from Table 5 otherwise.
The rate from our approximate method is within 10% of the ``real'' rate in 98.3% of all points (Fig. 6). In no cases is the difference between the approximate rates and the full model more than 40%. Perhaps even more important than the absolute photodissociation rates are the ratios, Q, between the rates of 12CO and the other five isotopologues xCyO:
The shielding functions from Tables 5 and 8 together reproduce the ratios from the full method to the same accuracy as the absolute rates. At 98.4% of all points in the grid of translucent clouds, the ratios are off by less than 10% (Fig. 6). Similar scores can be obtained for models of PDRs or other environments if one uses shielding functions computed for the right combination of parameters. Otherwise, the accuracy goes down. For example, the shielding functions from Table 5 (
![]() |
Figure 5:
Illustration of the effect of not integrating strongly saturated lines over the entire wavelength regime. Full black curve: relative intensity of the radiation field at
|
| Open with DEXTER | |
![]() |
Figure 6: Histogram of the absolute relative difference between the approximate method (Tables 5 and 8; see text for details) and the full computation for the absolute photodissociation rates (k, black line) and the isotopologue rate ratios (Q, red line) in a grid of translucent cloud models. The data for all six isotopologues are taken together, but the Q values for 12CO (which are unity regardless of the method) are omitted. |
| Open with DEXTER | |
6 Chemistry of CO: astrophysical implications
Photodissociation is an important destruction mechanism for CO in many environments. In this section, we couple the photodissociation model to a small chemical network in order to explore abundances and column densities. Specifically, we model the CO chemistry in translucent clouds, PDRs and circumstellar disks, and we compare our results to observations of such objects. The photodissociation rates are computed with our full model throughout this section.
6.1 Translucent clouds
6.1.1 Model setup
Translucent clouds, with visual extinctions between 1 and 5 mag, form an excellent test case for our CO photodissociation model. Two recent studies of several dozen lines of sight through diffuse (
mag) and translucent clouds provide a set of CO and H2 column densities for comparison (Sheffer et al. 2008; Sonnentrucker et al. 2007). These surveys show a clear correlation between
and
,
with distinctly different slopes for H2 columns of less and more than
cm-2. Sheffer et al. attributed this break to a change in the formation mechanism of CO. Their models show that the two-step conversion from C+ to CH+ and CO+,
followed by reaction with H (forming CO directly) or H2 (forming HCO+, which then recombines with an electron to give CO) is the dominant pathway at low column densities. However, the highly endothermic Reaction (4) is not fast enough at gas kinetic temperatures typical for these environments to explain the observed abundances of CH+ and CO. Suprathermal chemistry has been suggested as a solution to this problem. Sheffer et al. followed the approach of Federman et al. (1996), who argued that Alfvén waves entering the cloud from the outside result in non-thermal motions between ions and neutrals. Other mechanisms have been suggested by Joulain et al. (1998) and Pety & Falgarone (2000). The effect of the Alfvén waves can be incorporated into a chemical model by replacing the kinetic temperature in the rate equation for Reaction (4) and all other ion-neutral reactions by an effective temperature:
Here,
![]() |
Figure 7:
Column densities of 12CO versus those of H2. Left: data for all points with
|
| Open with DEXTER | |
We present here a grid of translucent cloud models to see how well the new photodissociation results match the observations. We set the Alfvén speed to 3.3 km s-1 for
cm-2 and to zero for larger column densities (Sheffer et al. 2008). The grid comprises densities (
)
of 100, 300, 500, 700 and 1000 cm-3, gas temperatures of 15, 30, 50 and 100 K, and relative UV intensities (
)
of 1, 3 and 10. The dust temperature is assumed to stay low for all models (
K), so the H2 formation rate does not change. The ionisation rate of
due to cosmic rays is set to a constant value of
s-1. Attenuation by 0.1
m dust grains (Sect. 3.4) is taken into account. The Doppler widths and level populations are as described in Sect. 3.1, with CO and H2 excitation temperatures of 5 and 51.5 K. Taking other b or
values plausible for these environments does not alter our results significantly. All models are run to an
of 5 mag; results are also presented for a range of smaller extinctions.
The models require a chemical network to compute the abundances at each depth step. Since we are only interested in CO, the number of relevant species and reactions is limited. We adopt the network from a recent PDR benchmark study (Röllig et al. 2007), which includes only 31 species consisting of H, He, C and O. We duplicate all C- and O-containing species and reactions for 13C, 17O and 18O. Freeze-out and thermal evaporation are added for all neutral species, but no grain-surface reactions are included other than H2 formation according to Black & van Dishoeck (1987). We add ion-molecule exchange reactions such as
which can enhance the abundances of the heavy isotopologues of CO and HCO+ (Smith & Adams 1980; Langer et al. 1984; Watson et al. 1976). The temperature-dependence of the rate of these two reactions was fitted by Liszt (2007); the alternative equations from Woods & Willacy (2009) give the same results. The effective temperature from Eq. (6) is used instead of the kinetic temperature for all ion-neutral reactions, including Reactions (7) and (8). Altogether, the network contains 118 species and 1723 reactions. We adopt the elemental abundances of Cardelli et al. (1996) and isotope ratios appropriate for the local ISM (
6.1.2 12CO
The left panel of Fig. 7 shows
versus
for all depth steps in our grid. These and other column densities are also listed for a set of selected
values in Tables 10-13 in the online appendix to this paper. The scatter in the data is due to the different physical parameters. For a given
,
is about two times larger at
K than at 15 K. The formation rate of H2 increases with temperature; through the chain of reactions starting with Reaction (4), that results in a larger CO abundance and column density. Up to
cm-2, increasing the gas density by a factor of ten increases
also by about a factor of ten. This is due to the photodissociation rate being mostly independent of density, while the rates of the two-body reactions forming CO are not. Photodissociation ceases to be the main destruction mechanism for CO deeper into the cloud, so increasing
has a smaller effect there. Increasing the UV intensity from
to 10 has the simple effect of decreasing
roughly tenfold for
cm-2. For larger depths, changing
only has a small effect. These dependencies on the physical parameters are consistent with the observations of Sheffer et al. (2008).
![]() |
Figure 8:
Column densities of 13CO (left) and column density ratios of 12CO to 13CO (right) plotted against the column density of H2. Grey crosses: observations of Sonnentrucker et al. (2007), Burgh et al. (2007) and Sheffer et al. (2007). Black squares and straight lines: 100-point means from our grid of translucent cloud models, offset by a factor of three in the right panel. Dotted line: median depth at which 12CO becomes self-shielding. Black plus signs: model data for all points with
|
| Open with DEXTER | |
The full set of points already gives some indication that the data are not well represented by a global single-slope correlation. The right panel of Fig. 7 shows the 100-point means of the full set, revealing the same two distinct regimes as found by Sheffer et al. (2008). Taking the uncertainties in both the observations and the models into account, the two sets of power-law fits (indicated by the black and grey lines) are identical. The break between the two slopes occurs at
cm-2 and is due to the switch from suprathermal to normal chemistry. It is clearly unrelated to the switch from UV photons to He+ or H3+ as the main destroyer of 12CO, which does not occur until
-
cm-2. When we extend the grid to higher
(not plotted), we quickly reach the point where the 12CO abundance equals the elemental 12C abundance and the plot of
versus
continues with a slope of unity. The model results from vDB88 (dashed lines, corresponding to
,
1 and 10) do not extend to low enough
to show the suprathermal regime, but they do show at the upper end the transition to the regime where all gas-phase carbon is in CO.
6.1.3 13CO
With our model able to reproduce the observational relationship between H2 and 12CO, the next step is to look at the heavier isotopologues. Sonnentrucker et al. (2007), Burgh et al. (2007) and Sheffer et al. (2007) together presented a sample of 29 diffuse and translucent sources with derived column densities for both 12CO and 13CO. These data are plotted in the left panel of Fig. 8 (grey crosses) as
versus
.
The 100-point means from our model grid (black squares) agree to the observations to within a factor of three. The model results are again best fitted with two power laws, but the 13CO observations do not extend to low enough
to confirm this.
The observations show considerable scatter in the ratio between
and
,
with some sources deviating by a factor of two either way from the local elemental 12C- 13C ratio of 69
6 (Wilson 1999). It has long been assumed that the enhanced ratios are due to isotope-selective photodissociation and that the reduced ratios are due to isotope-exchange reactions. However, no answer has been found so far to the question of why one process dominates in some sources, and the other process in other sources (McCutcheon et al. 1980; Sheffer et al. 2007,1992; Langer et al. 1980; Lambert et al. 1994; Federman et al. 2003; Sonnentrucker et al. 2007). Chemical models consistently show that isotope exchange is more efficient than selective photodissociation for observed cloud temperatures of up to
60 K. The models can easily reproduce
ratios of less than 69, but they leave the ratios of more than 69 unexplained.
Our grid of models suggests that the answer lies in suprathermal chemistry. The right panel of Fig. 8 shows a plot of
versus
for the observations (grey) and for all depth steps at
from our models (black plus signs). Also shown are the 100-point means from the model, offset by a factor of three for clarity. The
ratio initially increases from 69 to a mean of 151 at
cm-2, then decreases to a mean of 51 at
cm-2, and gradually increases again for larger depths. The turnover from the initial rise to the rapid drop is due to the transition from suprathermal to normal chemistry.
At an Alfvén speed of
km s-1, the effective temperature for Reaction (7) is about 4000 K, so the forward and backward reactions are equally fast. Photodissociation is therefore the only active fractionation process and it enhances the amount of 12CO relative to 13CO. As we move beyond the depth to which the Alfvén waves reach (
cm-2 in our model), suprathermal chemistry is brought to a halt. The forward channel of Reaction (7) becomes faster than the backward channel and isotope exchange now reverses the fractionation. When we reach a depth of
-
cm-2, the 13C+ abundance drops too low to sustain further fractionation and the
ratio gradually returns to the elemental ratio of 69.
The observations show a downward trend in the ratio between
and
in the
range from
to
cm-2. This supports a rapid switch from selective photodissociation to isotope-exchange reactions being the dominant fractionation mechanism. A firm test of our model predictions requires observational data at both smaller and larger
than are currently available.
6.1.4 Other isotopologues
Moving to the next two isotopologues, C17O and C18O, the number of observed column densities goes down to three. Lambert et al. (1994) determined an
ratio of 1550
440 for the
Oph diffuse cloud, some three times larger than the elemental 16O- 18O ratio of 557
30 (Wilson 1999). An even higher ratio of 3000
600 was recorded by Sheffer et al. (2002) for the X Per translucent cloud, along with an
ratio of 8700
3600. The elemental 16O- 18O ratio is about four times smaller: 2000
200.
The H2 column density towards X Per (HD 24534) is
cm-2 (Sheffer et al. 2007; Sonnentrucker et al. 2007). For this value, our grid of models gives
/
-3880 (median 1080) and
-10 600 (median 3660), consistent with the observations. Out of the three parameters that we varied,
affects the ratios most strongly. Both ratios decrease by a factor of two when
is increased from 1 to 10. The onset of self-shielding of 12CO, and with it the onset of isotopic fractionation, occurs deeper into the cloud for a stronger UV field. Therefore,
and
are smaller at any given depth.
In order to further explore the behaviour of C17O and C18O, we take a more detailed look at our results for
cm-3,
K and
(model C2
from Table 12). This also allows for a comparison with 13C17O and 13C18O. Both of these have been detected in interstellar clouds (Bensch et al. 2001; Langer et al. 1980), but column densities have not yet been derived.
The photodissociation rates of CO and H2 for this combination of parameters are plotted in Fig. 9 as a function of depth (z) into the cloud. The isotope-selective nature of the photodissociation is clearly visible. At a depth of 4.0 pc (
mag,
cm-2), 12CO photodissociates about 7 times slower than 13CO, 15-18 times slower than C17O and C18O, and 23-26 times slower than 13C17O and 13C18O. At depths between 0.4 and 3.4 pc (
-2.0 mag), the photodissociation of C18O proceeds faster than that of C17O. The lines of the latter lie closer to those of 12CO and are therefore more strongly shielded, as was the case for the diffuse
Oph cloud (Table 4). As the CO column grows larger in our model cloud, C18O becomes self-shielding and its rate drops below that of C17O around 3.4 pc.
![]() |
Figure 9:
Photodissociation rates of H2 and the six CO isotopologues as a function of depth into translucent cloud model C2 |
| Open with DEXTER | |
The extent to which each isotopologue is fractionated can easily be seen from the cumulative column density ratios when they are normalised to 12CO and the isotope ratios:
with [X] the elemental abundance of isotope X and
the cumulative column density. A plot of
![]() |
Figure 10:
Cumulative column densities of the CO isotopologues normalised to 12CO and the elemental isotopic abundances (Eq. (9)) as a function of depth into translucent cloud model C2 |
| Open with DEXTER | |
The remaining two isotopologues, 13C17O and 13C18O, experience the 13C and 17O/ 18O fractionation simultaneously. Isotope exchange enhances their abundances relative to C17O and C18O in the same manner and at the same depths as it enhances the abundance of 13CO relative to 12CO. However, isotope-selective photodissociation is a stronger effect for the two heaviest isotopologues, so
remains less than unity. This result holds across our entire grid of translucent cloud models.
![]() |
Figure 11:
Column density of 12CO versus that of 12C on two different scales. Black: results from our grid of PDR models with
|
| Open with DEXTER | |
6.2 Photon-dominated regions
Photon-dominated regions (PDRs) form another type of objects where photodissociation is a key process in controlling the CO abundance. Their densities are higher (
up to
106 cm-3) than those of diffuse and translucent clouds and they are exposed to stronger UV fields (
up to
106; Hollenbach & Tielens 1997). Observational efforts have mostly gone into mapping the structure of PDRs, so CO column densities are tabulated only for a small number of sources. For most of these the column density of neutral carbon has also been determined. There are no direct measurements of H2 column densities; instead,
is usually obtained from
using a typical abundance ratio between the two species (e.g., Frerking et al. 1982).
We present here the results from our combined photodissociation and chemistry model for a grid of physical parameters appropriate for PDRs:
,
80 and 100 K,
,
104, 105 and 106 cm-3, and
,
104 and 105. The excitation temperatures of CO and H2 are set equal to
.
Where necessary, we expand the number of rotational levels of CO beyond the default limit of J''=7, and likewise for H2 (see Sect. 4.4). UV pumping increases the population in the v''=0, J''>3 and v''>0 levels of H2. However, this does not affect the CO photodissociation rates at these temperatures, so the level population of H2 is simply taken as fully thermal. The models are run to an
of 30 mag and are otherwise unchanged from the previous section.
Figure 11 shows the relationship between the column densities of 12CO and 12C for a large series of depths steps from our grid. The data for
and 106 cm-3 are omitted for reasons of clarity. Overplotted are column densities determined towards a number of positions in different PDRs (Kamegai et al. 2003; Kramer et al. 2008; Sun et al. 2008; Beuther et al. 2000). Figure 5a of Mookerjea et al. (2006) contains additional data for several dozen positions in the PDRs in Cepheus B. In none of these cases was the 12CO column density measured directly; instead, it was derived from the 13CO or C18O column density using standard abundance ratios. The spread in both the model predictions and the observational data is large. The column of 12C for each individual model is nearly constant for
cm-2, as shown by the solid line connecting the various depth steps for
cm-3,
K and
.
The observations seem to correspond more to the lower-density end of the model grid (the plus signs), but the sample is too small and is too scattered to be conclusive.
![]() |
Figure 12: Column densities of C18O (left) and 13CO (right) versus that of 12C. Symbols are as in Fig. 11. See text for references to the observations. |
| Open with DEXTER | |
The onset of shielding is seen to occur around
cm-2 in the models. From that point onwards, the low-density models gain more atomic carbon than do the high-density models. For a given column of 12CO, the photodissociation rates (or, in other words, the 12C formation rates) are roughly independent of density, but the destruction of 12C occurs faster in higher densities. The same argument explained the density dependence of the
ratio in the translucent clouds.
The two isotopologues for which column densities have been determined directly are C18O and 13CO (Schneider et al. 2003; Sun et al. 2008; Plume et al. 1999; Loren 1989; Gerin et al. 1998; Mookerjea et al. 2006; Kramer et al. 2008; Beuther et al. 2000). Again, both the observations and the models show a large spread in column densities (Fig. 12). It seems the observations do not trace the high-extinction (
mag), high-density (
cm-3) material shown in the upper left corner of each panel, but a more detailed study is required to draw any firm conclusions on this point.
,
and
are mutually well correlated in both the observations and the models, but significant deviations can easily occur at specific depths due to the different photodissociation rates. When using standard abundance ratios to derive the column density of 12CO from that of another isotopologue, as was done for all cases in Fig. 11, the result will generally be accurate to at best a factor of two.
6.3 Circumstellar disks
6.3.1 Model setup
Low-mass stars like our own Sun are formed through the gravitational collapse of a cold molecular cloud. As the young star grows at the centre, it gathers part of the remaining cloud material into a circumstellar disk. It is inside this disk that planets are formed, so its chemical composition is of great interest. The physical structure of the disk may be simplified as consisting of a cold, dense region near the midplane, covered by a warmer region of lower density. This surface layer intercepts the star's radiation and shows many similarities to common PDRs.
We adopt the standard disk model of D'Alessio et al. (1999), whose chemistry has been studied extensively (Aikawa et al. 2002; van Zadelhoff et al. 2003; Jonkheid et al. 2004). The star, a T Tauri type, has a mass of 0.5
,
a radius of 2
and an effective temperature of 4000 K. It is surrounded by a disk of mass 0.07
and outer radius 400 AU. The disk is accreting onto the star at a constant rate of 10-8
yr-1 and its viscosity is characterised by
.
We focus on a vertical slice through the disk at a radius of 105 AU, where the surface is located at a height of z=120 AU. This slice is irradiated from the top by a radiation field with an effective UV intensity of 516 times that of the interstellar radiation field. Following van Zadelhoff et al., we adopt two spectral shapes: the Draine field and a 4000 K blackbody spectrum. The latter is very weak in the wavelength range where CO is photodissociated. We adopt again the chemical network from Sect. 6.1.1, and we set the gas temperature equal to the dust temperature from the D'Alessio et al. model. Given the high densities (
cm-3 at the surface and more than 109 cm-3 at the midplane), we also use
for
and
.
As in the PDR models, UV pumping of H2 does not affect the CO photodissociation rates, so the H2 level populations are taken as fully thermal.
In reality, disks are not irradiated by the Draine field or a pure blackbody. For example, T Tauri stars typically show UV emission in excess of these simple model spectra. Many of them also emit X-rays from accretion hotspots. As shown by van Zadelhoff et al. (2003), the photochemistry of the disk can be sensitive to the details of the radiation field. Moreover, the excess emission can be concentrated in a few specific lines such as H I Lyman-
.
CO cannot be dissociated by Ly-
,
but it can be by the H I Ly-
line at 972.54 Å through overlap with the W0 band at 972.70 Å (No. 25 from Table 1). A detailed treatment of these effects is beyond the scope of the current work.
6.3.2 Isotopologue ratios
The depth dependence of the photodissociation rates in the disk, illuminated by the Draine field, is qualitatively the same as in the cloud and PDR models from Sects. 6.1 and 6.2. Several quantitative differences arise because of the different UV intensity and the higher densities. The profiles of the normalised column density ratios,
(Eq. (9)), do not show any enhancement in 13CO. Moving down from the surface, suprathermal chemistry initially prevents the formation of 13CO from 12CO and 13C+. The Alfvén waves penetrate to
cm-2, which translates here to a height of about 50 AU. The absence of suprathermal chemistry below that point allows
to increase again. However, the 13C+ abundance decreases at the same time, and
never gets above unity. This is consistent with the
ratios of more than 69 determined for the disks around HL Tau, AB Aur and VV CrA (Smith et al. 2009; Brittain et al. 2005; Schreyer et al. 2008).
In terms of local abundances, our results show a trend opposite to the model by Woods & Willacy (2009). Moving up vertically from the midplane at a given radius, their
abundance ratio initially remains nearly constant, then drops to a lower value, and finally shows a shallow rise for the remainder of the column. We also find a constant ratio at first, but then we get a rise (equivalent to
)
and a gradual decrease back to the elemental ratio of 69. The difference is due to the absence of suprathermal chemistry in the Woods & Willacy model. Suprathermal chemistry effectively shuts down the isotope-exchange reactions, leaving photodissociation (which increases
)
as the only fractionation mechanism. Additional observations of 12CO and 13CO in circumstellar disks are required to ascertain whether isotope exchange or selective photodissociation is the key process in controlling the ratio of the abundances of these two species.
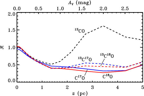
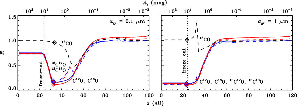
For C17O and C18O,
is
1 from the disk surface down to 70 AU. It then gradually drops to
0.1 due to their photodissociation rates being higher than that of 12CO. Shielding of C17O and C18O sets in around 32 AU, so that photodissociation no longer causes isotope fractionation and
increases again. However, it does not reach a value of unity. Below 24 AU, the temperature is low enough that most of the CO freezes out onto the dust grains. The tiny amount remaining in the gas phase does not add to the column density, so
is effectively frozen at 0.75 and 0.73 (Fig. 13). The corresponding column density ratios are
and
.
Both values are consistent with the degree of fractionation determined for the disk around the T Tauri star VV CrA (Smith et al. 2009).
![]() |
Figure 13:
Cumulative column densities of the CO isotopologues normalised to 12CO and the elemental isotopic abundances (Eq. (9)) as a function of height at a radius of 105 AU in our disk model with the Draine field and dust grains of 0.1 |
| Open with DEXTER | |
6.3.3 Model variations
If we illuminate the disk by a 4000 K blackbody (spectrum C from van Zadelhoff et al. 2003), it does not receive enough photons in the 912-1118 Å range to cause substantial photodissociation of CO. Instead, the non-isotope-selective reactions with He+ and H3+ are the main destruction mechanisms even at the top of our vertical slice at R=105 AU. The normalised column density ratios therefore remain unity at all heights. Adding the interstellar UV field at
to the 4000 K blackbody spectrum allows CO to be photodissociated again in the surface layers. The isotope fractionation returns, but only partially, because the UV field is still weaker than in the original case. Freeze-out now locks
and
at 0.86 and 0.85 instead of
0.75. Clearly, some UV component is required in the irradiating spectrum to get isotope fractionation through the photodissociation of CO, but it does not have to be a very strong component: the interstellar UV field already has a significant effect in this model.
Another parameter to be varied is the grain size. The disk model so far contained small dust grains, with an average size of 0.1
m. Grain growth is an inevitable step towards planet formation and is indeed known to occur in disks (Lommen et al. 2007; van Boekel et al. 2003; Przygodda et al. 2003). Larger grains cause less extinction in the UV (Shen et al. 2004), so CO can be photodissociated deeper into the disk. Grain growth also affects the H2 formation rate: the rate is inversely proportional to approximately the square of the grain radius (Jonkheid et al. 2006). The right panel of Fig. 13 shows the normalised vertical column density ratios at a radius of 105 AU for an average grain size of 1
m. The onset of fractionation occurs at a lower altitude than in the 0.1
m case: 55 AU instead of 75 AU. The slower formation rate of H2 has a direct influence on the formation of CO through the pathway starting with Reaction (4). There is less H2 and CO in the disk's surface layers when we increase the grain size, so we have to go down deeper before 12CO becomes self-shielding and isotope fractionation sets in. At the same time, the weaker continuum extinction allows the UV radiation to penetrate deeper, so the isotope-selective photodissociation goes on to lower altitudes. The spike in
to 1.4 at 30 AU is due to a narrow zone where the temperature is relatively low (35 K), the Alfvén waves do not reach, and the 13C+ abundance is high enough to convert 12CO into 13CO. The model with 0.1
m grains also has a narrow zone with a high 13C+ abundance and no suprathermal chemistry, but the kinetic temperature in this zone is 50 K. There is still some conversion of 12CO into 13CO at that temperature, but not enough to show as a spike in the normalised column density ratio.
The bigger dust grains also affect the fractionation of C17O and C18O. The point at which photodissociation ceases to be the main destruction mechanism now nearly coincides with the point where CO freezes out (Fig. 13). Both species have
when this happens, so the ratios are locked at that value. In the small-dust model, the ratios were locked at
0.75. Observations of face-on disks in principle probe CO all the way to the midplane, so our model predicts that grain growth from 0.1 to 1
m can increase the observed fractionation of C17O and C18O by a factor of five. The fractionation in the local abundances, which is relevant for incorporating material into comets, increases by the same amount from 0.1 to 1
m grains.
All the results so far in this section are for a T Tauri disk. Herbig Ae/Be stars are more massive and more luminous and tend to have warmer disks, where CO may not be frozen out at all. That would prevent
from being locked as it is in Fig. 13; instead, it would rapidly return to unity for all isotopologues. Observations probing the midplane of such a disk would not find any fractionation in 17O and 18O relative to 16O.
6.3.4 Implications for meteorites
Regardless of the grain size and the absence or presence of freeze-out, the model shows 17O and 18O to be nearly equally fractionated:
has very similar values for C17O and C18O. The equal photodissociation rates implied by this result are partly due to our choice of molecular parameters. Spectroscopic data on C17O are still very scarce, so we assume many of its oscillator strengths and predissociation probabilities to have the same value as for C18O (Sects. 2.3 and 2.4). Still, two important differences remain. First, the elemental abundance of 18O is higher than that of 17O, resulting in some self-shielding for C18O (Fig. 1). Second, the shifts of the C17O lines with respect to 12CO are generally somewhat smaller than those of the C18O lines, so C17O is more strongly shielded by 12CO. Both effects are minor, however, and the photodissociation rates end up being nearly the same.
According to the experiments of Chakraborty et al. (2008), the photodissociation rate due to the E0 and E1 bands may be up to
40% higher for C17O than for C18O. If we mimic this by artificially increasing the E0 and E1 oscillator strengths of C17O by 40%, the overall change in
is less than 10% at any depth. When the two oscillator strengths are doubled from their standard value,
changes by at most 20%. In both cases, the change in
is largest at the top of the disk and gradually decreases for lower altitudes; it is less than 1% below 50 AU.
Observational evidence for equal fractionation of 17O and 18O in disks was recently obtained by Smith et al. (2009) for the T Tauri star VV CrA. Their analysis points to isotope-selective photodissociation of CO as the most likely explanation, although they cautioned that more observations are needed to confirm that conclusion. Meanwhile, their observations are consistent with our model results.
A long-standing puzzle in our solar system involves the equal fractionation of 17O and 18O in the most refractory phases of meteorites (Clayton et al. 1973). Current evidence points at isotope-selective photodissocation of CO in the solar nebula playing a key role (Lyons & Young 2005; Lee et al. 2008; Clayton 2002). It is generally accepted that the resulting atomic oxygen eventually makes it into the refractory material to produce the observed isotope ratios, but it remains unknown how this actually happens. Any additional mass-independent fractionation during that process must be limited, because photodissociation of CO already reproduces the observed isotope abundance ratios (Young 2007). One important requirement here is to have C17O and C18O photodissociate at the same rate, an assumption that had gone untested up to now. Our model confirms they do so in many different environments - including diffuse and translucent clouds, PDRs, and circumstellar disks - even when allowing for the isotope effects suggested by Chakraborty et al. (2008).
Equal (or nearly equal) 17O and 18O fractionation also occurs for other oxygen-containing molecules in the model, such as water. The equal fractionation is a clear sign of CO photodissociation playing a key role in the fractionation process. Other fractionation processes, such as isotope-exchange reactions, diffusion, freeze-out and evaporation, depend on the vibrational energies of the isotopologues and are therefore mass-dependent. Specifically, such processes would lead to 17O being 0.52 times as fractionated as 18O (Matsuhisa et al. 1978). If mass-independent fractionation processes other than isotope-selective photodissociation play a role in circumstellar disks, they have not been discovered so far (Lyons & Young 2005; Yurimoto & Kuramoto 2004; Clayton 2002). Recently, Kimura et al. (2007) did report on a set of chemical experiments yielding mass-independently fractionated silicates, but they were unable to identify the underlying reaction mechanism. Hence, it remains unknown if this would be relevant for disks. Self-shielding in O2 (Thiemens & Heidenreich 1983) is unimportant because O2 never becomes abundant enough to become a significant source of atomic O.
7 Conclusions
This paper presents an updated model, based on the method of van Dishoeck & Black (1988), for the photodissociation of carbon monoxide (CO) and its heavier isotopologues. It contains recent spectroscopic data from the literature and produces a photodissociation rate of
s-1 in the interstellar medium, 30% higher than currently adopted values. Our model is the first to include C17O and 13C17O and we apply it to a broader range of model parameters than has been done before. The main results are as follows:
- Self-shielding is very important for 12CO and somewhat so for C18O and 13CO. The rare isotopologues 13C17O and 13C18O have the highest photodissociation rate at most depths into a cloud or other object. The rates of C17O and C18O are very similar at all depths, but details in the line overlap and self-shielding can cause mutual differences of up to 30% (Sects. 3.3 and 6.1.4).
- When coupled to a chemical network, the model reproduces column densities observed towards diffuse clouds and PDRs. It shows that the large spread in observed
ratios may be due to a combination of isotope-selective photodissociation and suprathermal chemistry (Sect. 6.1.3).
- Photodissociation of CO is more strongly isotope-selective in cold gas than in warm gas (Sect. 4).
- The results from the full computation are well approximated by a grid of pre-computed shielding functions, intended for easy use in various other models. Shielding functions are provided for a range of astrophysical parameters (Sect. 5).
- Grain growth in circumstellar disks increases the vertical range in which CO can be photodissociated. If photodissociation is still important at the point where CO freezes out onto the grains, the observable gas-phase column density ratios
and
may become an order of magnitude larger than the initial isotopic abundance ratios (Sect. 6.3.3).
- Without a far-UV component in the irradiating spectrum, isotope fractionation through the photodissociation of CO is not possible. The interstellar radiation field can already cause substantial fractionation in disks (Sect. 6.3.3).
- The isotope-selective nature of the CO photodissociation results in mass-independent fractionation of 17O and 18O. Column density ratios computed for a circumstellar disk agree well with recent observations. Our model supports the hypothesis that the photodissociation of CO is responsible for the anomalous 17O and 18O abundances in meteorites (Sect. 6.3.4).
Acknowledgements
We thank all the laboratory scientists for providing the much needed molecular data and discussions over the last twenty years, in particular Glenn Stark, Wim Ubachs and François Rostas. Astrochemistry in Leiden is supported by a Spinoza Grant from the Netherlands Organization for Scientific Research (NWO) and a NOVA grant.
References
- Abgrall, H., Roueff, E., Launay, F., Roncin, J.-Y., & Subtil, J.-L. 1993a, A&AS, 101, 273 [NASA ADS]
- Abgrall, H., Roueff, E., Launay, F., Roncin, J.-Y., & Subtil, J.-L. 1993b, A&AS, 101, 323 [NASA ADS]
- Aikawa, Y., & Herbst, E. 1999, A&A, 351, 233 [NASA ADS]
- Aikawa, Y., van Zadelhoff, G. J., van Dishoeck, E. F., & Herbst, E. 2002, A&A, 386, 622 [NASA ADS] [CrossRef] [EDP Sciences]
- Bally, J., & Langer, W. D. 1982, ApJ, 255, 143 [NASA ADS] [CrossRef] (In the text)
- Bayet, E., Gerin, M., Phillips, T. G., & Contursi, A. 2006, A&A, 460, 467 [NASA ADS] [CrossRef] [EDP Sciences]
- Bensch, F., Pak, I., Wouterloot, J. G. A., Klapper, G., & Winnewisser, G. 2001, ApJ, 562, L185 [NASA ADS] [CrossRef]
- Beuther, H., Kramer, C., Deiss, B., & Stutzki, J. 2000, A&A, 362, 1109 [NASA ADS] (In the text)
- Bhattacharya, S. K., Savarino, J., & Thiemens, M. H. 2000, Geophys. Res. Lett., 27, 1459 [NASA ADS] [CrossRef]
- Black, J. H., & van Dishoeck, E. F. 1987, ApJ, 322, 412 [NASA ADS] [CrossRef] (In the text)
- Brittain, S. D., Rettig, T. W., Simon, T., & Kulesa, C. 2005, ApJ, 626, 283 [NASA ADS] [CrossRef]
- Brown, J. M., & Millar, T. J. 2003, MNRAS, 339, 1041 [NASA ADS] [CrossRef]
- Burgh, E. B., France, K., & McCandliss, S. R. 2007, ApJ, 658, 446 [NASA ADS] [CrossRef]
- Cacciani, P., & Ubachs, W. 2004, J. Mol. Spectr., 225, 62 [NASA ADS] [CrossRef]
- Cacciani, P., Hogervorst, W., & Ubachs, W. 1995, J. Chem. Phys., 102, 8308 [NASA ADS] [CrossRef]
- Cacciani, P., Ubachs, W., Hinnen, P. C., et al. 1998, ApJ, 499, L223 [NASA ADS] [CrossRef]
- Cacciani, P., Brandi, F., Velchev, I., et al. 2001, Eur. Phys. J. D, 15, 47 [NASA ADS] [CrossRef] [EDP Sciences]
- Cacciani, P., Brandi, F., Sprengers, J. P., et al. 2002, Chem. Phys., 282, 63 [CrossRef]
- Cardelli, J. A., Meyer, D. M., Jura, M., & Savage, B. D. 1996, ApJ, 467, 334 [NASA ADS] [CrossRef] (In the text)
- Caselli, P., Hasegawa, T. I., & Herbst, E. 1993, ApJ, 408, 548 [NASA ADS] [CrossRef]
- Cernicharo, J. 2004, ApJ, 608, L41 [NASA ADS] [CrossRef]
- Chakraborty, S., Ahmed, M., Jackson, T. L., & Thiemens, M. H. 2008, Science, 321, 1328 [NASA ADS] [CrossRef] (In the text)
- Charnley, S. B., Kress, M. E., Tielens, A. G. G. M., & Millar, T. J. 1995, ApJ, 448, 232 [NASA ADS] [CrossRef]
- Clayton, R. N. 2002, Nature, 415, 860 [NASA ADS] [CrossRef]
- Clayton, R. N., Grossman, L., & Mayeda, T. K. 1973, Science, 182, 485 [NASA ADS] [CrossRef]
- Cooper, D. L., & Kirby, K. 1987, J. Chem. Phys., 87, 424 [NASA ADS] [CrossRef]
- Dabrowski, I. 1984, Can. J. Phys., 62, 1639 [NASA ADS]
- D'Alessio, P., Calvet, N., Hartmann, L., Lizano, S., & Cantó, J. 1999, ApJ, 527, 893 [NASA ADS] [CrossRef] (In the text)
- Dame, T. M., Hartmann, D., & Thaddeus, P. 2001, ApJ, 547, 792 [NASA ADS] [CrossRef]
- Doty, S. D., Schöier, F. L., & van Dishoeck, E. F. 2004, A&A, 418, 1021 [NASA ADS] [CrossRef] [EDP Sciences]
- Drabbels, M., Heinze, J., ter Meulen, J. J., & Meerts, W. L. 1993, J. Chem. Phys., 99, 5701 [NASA ADS] [CrossRef]
- Draine, B. T. 1978, ApJS, 36, 595 [NASA ADS] [CrossRef] (In the text)
- Eidelsberg, M., & Rostas, F. 1990, A&A, 235, 472 [NASA ADS] (ER90) (In the text)
- Eidelsberg, M., Benayoun, J. J., Viala, Y., et al. 1992, A&A, 265, 839 [NASA ADS] (In the text)
- Eidelsberg, M., Lemaire, J. L., Fillion, J. H., et al. 2004, A&A, 424, 355 [NASA ADS] [CrossRef] [EDP Sciences]
- Eidelsberg, M., Sheffer, Y., Federman, S. R., et al. 2006, ApJ, 647, 1543 [NASA ADS] [CrossRef]
- Eikema, K. S. E., Hogervorst, W., & Ubachs, W. 1994, Chem. Phys., 181, 217 [CrossRef]
- Federman, S. R., Rawlings, J. M. C., Taylor, S. D., & Williams, D. A. 1996, MNRAS, 279, L41 [NASA ADS] (In the text)
- Federman, S. R., Fritts, M., Cheng, S., et al. 2001, ApJS, 134, 133 [NASA ADS] [CrossRef]
- Federman, S. R., Lambert, D. L., Sheffer, Y., et al. 2003, ApJ, 591, 986 [NASA ADS] [CrossRef]
- Fock, J.-H., Gürtler, P., & Koch, E. E. 1980, Chem. Phys., 47, 87 [CrossRef]
- Fox, J. L., & Black, J. H. 1989, Geophys. Res. Lett., 16, 291 [NASA ADS] [CrossRef] (In the text)
- Frerking, M. A., Langer, W. D., & Wilson, R. W. 1982, ApJ, 262, 590 [NASA ADS] [CrossRef] (In the text)
- Garrod, R. T., & Herbst, E. 2006, A&A, 457, 927 [NASA ADS] [CrossRef] [EDP Sciences]
- Gerin, M., Phillips, T. G., Keene, J., Betz, A. L., & Boreiko, R. T. 1998, ApJ, 500, 329 [NASA ADS] [CrossRef]
- Glassgold, A. E., Huggins, P. J., & Langer, W. D. 1985, ApJ, 290, 615 [NASA ADS] [CrossRef] (In the text)
- Gondhalekar, P. M., Phillips, A. P., & Wilson, R. 1980, A&A, 85, 272 [NASA ADS] (In the text)
- Gredel, R., Lepp, S., & Dalgarno, A. 1987, ApJ, 323, L137 [NASA ADS] [CrossRef] (In the text)
- Greve, T. R., Bertoldi, F., Smail, I., et al. 2005, MNRAS, 359, 1165 [NASA ADS] [CrossRef]
- Guelachvili, G., de Villeneuve, D., Farrenq, R., Urban, W., & Verges, J. 1983, J. Mol. Spectr., 98, 64 [NASA ADS] [CrossRef] (In the text)
- Habing, H. J. 1968, Bull. Astron. Inst. Netherlands, 19, 421 [NASA ADS] (In the text)
- Haridass, C., Prasad, C. V. V., & Paddi Reddy, S. 2000, J. Mol. Spectr., 199, 180 [NASA ADS] [CrossRef] (In the text)
- Hollenbach, D. J., & Tielens, A. G. G. M. 1997, ARA&A, 35, 179 [NASA ADS] [CrossRef] (In the text)
- Hudson, R. D. 1971, Rev. Geophys. Space Phys., 9, 305 [NASA ADS] [CrossRef]
- Huggins, P. J., Bachiller, R., Planesas, P., Forveille, T., & Cox, P. 2005, ApJS, 160, 272 [NASA ADS] [CrossRef]
- Jansen, D. J., van Dishoeck, E. F., Black, J. H., Spaans, M., & Sosin, C. 1995, A&A, 302, 223 [NASA ADS]
- Jennings, D. E., Bragg, S. L., & Brault, J. W. 1984, ApJ, 282, L85 [NASA ADS] [CrossRef] (In the text)
- Jonkheid, B., Faas, F. G. A., van Zadelhoff, G.-J., & van Dishoeck, E. F. 2004, A&A, 428, 511 [NASA ADS] [CrossRef] [EDP Sciences]
- Jonkheid, B., Kamp, I., Augereau, J.-C., & van Dishoeck, E. F. 2006, A&A, 453, 163 [NASA ADS] [CrossRef] [EDP Sciences] (In the text)
- Joulain, K., Falgarone, É., Pineau des Forêts, G., & Flower, D. 1998, A&A, 340, 241 [NASA ADS] (In the text)
- Kamegai, K., Ikeda, M., Maezawa, H., et al. 2003, ApJ, 589, 378 [NASA ADS] [CrossRef] (In the text)
- Kimura, Y., Nuth, III, J. A., Chakraborty, S., & Thiemens, M. H. 2007, Meteorit. Planet. Sci., 42, 1429 [NASA ADS] (In the text)
- Kirby, K., & Cooper, D. L. 1989, J. Chem. Phys., 90, 4895 [NASA ADS] [CrossRef] (In the text)
- Kepa, R. 1988, J. Mol. Spectr., 132, 545 [NASA ADS] [CrossRef] (In the text)
- Kramer, C., Cubick, M., Röllig, M., et al. 2008, A&A, 477, 547 [NASA ADS] [CrossRef] [EDP Sciences] (In the text)
- Lacy, J. H., Knacke, R., Geballe, T. R., & Tokunaga, A. T. 1994, ApJ, 428, L69 [NASA ADS] [CrossRef]
- Lambert, D. L., Sheffer, Y., Gilliland, R. L., & Federman, S. R. 1994, ApJ, 420, 756 [NASA ADS] [CrossRef]
- Langer, W. D., Goldsmith, P. F., Carlson, E. R., & Wilson, R. W. 1980, ApJ, 235, L39 [NASA ADS] [CrossRef]
- Langer, W. D., Graedel, T. E., Frerking, M. A., & Armentrout, P. B. 1984, ApJ, 277, 581 [NASA ADS] [CrossRef]
- Le Bourlot, J., Pineau des Forêts, G., Roueff, E., & Flower, D. R. 1993, A&A, 267, 233 [NASA ADS]
- Le Petit, F., Roueff, E., & Le Bourlot, J. 2002, A&A, 390, 369 [NASA ADS] [CrossRef] [EDP Sciences]
- Le Petit, F., Nehmé, C., Le Bourlot, J., & Roueff, E. 2006, ApJS, 164, 506 [NASA ADS] [CrossRef]
- Lee, H.-H., Herbst, E., Pineau des Forêts, G., Roueff, E., & Le Bourlot, J. 1996, A&A, 311, 690 [NASA ADS] (In the text)
- Lee, J.-E., Bergin, E. A., & Lyons, J. R. 2008, Meteorit. Planet. Sci., 43, 1351 [NASA ADS]
- Leroy, A., Bolatto, A. D., Simon, J. D., & Blitz, L. 2005, ApJ, 625, 763 [NASA ADS] [CrossRef]
- Letzelter, C., Eidelsberg, M., Rostas, F., Breton, J., & Thieblemont, B. 1987, Chem. Phys., 114, 273 [NASA ADS] [CrossRef]
- Lim, G.-I., Lim, S.-M., Kim, S. K., & Choi, Y. S. 1999, J. Chem. Phys., 111, 456 [NASA ADS] [CrossRef]
- Liszt, H. S. 2007, A&A, 476, 291 [NASA ADS] [CrossRef] [EDP Sciences] (In the text)
- Liszt, H. S., & Lucas, R. 1994, ApJ, 431, L131 [NASA ADS] [CrossRef] (In the text)
- Lommen, D., Wright, C. M., Maddison, S. T., et al. 2007, A&A, 462, 211 [NASA ADS] [CrossRef] [EDP Sciences]
- Loren, R. B. 1989, ApJ, 338, 902 [NASA ADS] [CrossRef]
- Lyons, J. R., & Young, E. D. 2005, Nature, 435, 317 [NASA ADS] [CrossRef]
- Mamon, G. A., Glassgold, A. E., & Huggins, P. J. 1988, ApJ, 328, 797 [NASA ADS] [CrossRef] (In the text)
- Mathis, J. S., Mezger, P. G., & Panagia, N. 1983, A&A, 128, 212 [NASA ADS] (In the text)
- Matsuhisa, Y., Goldsmith, J. R., & Clayton, R. N. 1978, Geochim. Cosmochim. Acta, 42, 173 [NASA ADS] [CrossRef] (In the text)
- McCutcheon, W. H., Shuter, W. L. H., Dickman, R. L., & Roger, R. S. 1980, ApJ, 237, 9 [NASA ADS] [CrossRef]
- Millar, T. J., Leung, C. M., & Herbst, E. 1987, A&A, 183, 109 [NASA ADS]
- Mookerjea, B., Kramer, C., Röllig, M., & Masur, M. 2006, A&A, 456, 235 [NASA ADS] [CrossRef] [EDP Sciences] (In the text)
- Morata, O., & Herbst, E. 2008, MNRAS, 390, 1549 [NASA ADS]
- Morton, D. C., & Noreau, L. 1994, ApJS, 95, 301 [NASA ADS] [CrossRef] (In the text)
- Najita, J., Carr, J. S., & Mathieu, R. D. 2003, ApJ, 589, 931 [NASA ADS] [CrossRef]
- Narayanan, G., Heyer, M. H., Brunt, C., et al. 2008, ApJS, 177, 341 [NASA ADS] [CrossRef]
- Oka, T., Nagai, M., Kamegai, K., Tanaka, K., & Kuboi, N. 2007, PASJ, 59, 15 [NASA ADS]
- Panic, O., Hogerheijde, M. R., Wilner, D., & Qi, C. 2008, A&A, 491, 219 [NASA ADS] [CrossRef] [EDP Sciences]
- Pety, J., & Falgarone, É. 2000, A&A, 356, 279 [NASA ADS] (In the text)
- Plume, R., Jaffe, D. T., Tatematsu, K., Evans, II, N. J., & Keene, J. 1999, ApJ, 512, 768 [NASA ADS] [CrossRef]
- Prasad, S. S., & Tarafdar, S. P. 1983, ApJ, 267, 603 [NASA ADS] [CrossRef] (In the text)
- Przygodda, F., van Boekel, R., Àbrahàm, P., et al. 2003, A&A, 412, L43 [NASA ADS] [CrossRef] [EDP Sciences]
- Roberge, W. G., Jones, D., Lepp, S., & Dalgarno, A. 1991, ApJS, 77, 287 [NASA ADS] [CrossRef] (In the text)
- Rodgers, S. D., & Charnley, S. B. 2003, ApJ, 585, 355 [NASA ADS] [CrossRef]
- Röllig, M., Abel, N. P., Bell, T., et al. 2007, A&A, 467, 187 [NASA ADS] [CrossRef] [EDP Sciences] (In the text)
- Schneider, N., Simon, R., Kramer, C., et al. 2003, A&A, 406, 915 [NASA ADS] [CrossRef] [EDP Sciences]
- Schreyer, K., Guilloteau, S., Semenov, D., et al. 2008, A&A, 491, 821 [NASA ADS] [CrossRef] [EDP Sciences]
- Sheffer, Y., Federman, S. R., Lambert, D. L., & Cardelli, J. A. 1992, ApJ, 397, 482 [NASA ADS] [CrossRef] (In the text)
- Sheffer, Y., Lambert, D. L., & Federman, S. R. 2002, ApJ, 574, L171 [NASA ADS] [CrossRef] (In the text)
- Sheffer, Y., Federman, S. R., & Andersson, B.-G. 2003, ApJ, 597, L29 [NASA ADS] [CrossRef] (In the text)
- Sheffer, Y., Rogers, M., Federman, S. R., Lambert, D. L., & Gredel, R. 2007, ApJ, 667, 1002 [NASA ADS] [CrossRef]
- Sheffer, Y., Rogers, M., Federman, S. R., et al. 2008, ApJ, 687, 1075 [NASA ADS] [CrossRef]
- Shen, C. J., Greenberg, J. M., Schutte, W. A., & van Dishoeck, E. F. 2004, A&A, 415, 203 [NASA ADS] [CrossRef] [EDP Sciences] (In the text)
- Smith, D., & Adams, N. G. 1980, ApJ, 242, 424 [NASA ADS] [CrossRef]
- Smith, R. L., Pontoppidan, K. M., Young, E. D., Morris, M. R., & van Dishoeck, E. F. 2009, ApJ, 701, 163 [NASA ADS] [CrossRef] (In the text)
- Solomon, P. M., & Klemperer, W. 1972, ApJ, 178, 389 [NASA ADS] [CrossRef] (In the text)
- Sonnentrucker, P., Welty, D. E., Thorburn, J. A., & York, D. G. 2007, ApJS, 168, 58 [NASA ADS] [CrossRef]
- Stark, G., Huber, K. P., Yoshino, K., Smith, P. L., & Ito, K. 2005, J. Chem. Phys., 123, 214303 [NASA ADS] [CrossRef]
- Stark, G., Lewis, B. R., Heays, A. N., et al. 2008, J. Chem. Phys., 128, 114302 [NASA ADS] [CrossRef]
- Sun, K., Ossenkopf, V., Kramer, C., et al. 2008, A&A, 489, 207 [NASA ADS] [CrossRef] [EDP Sciences] (In the text)
- Teyssier, D., Fossé, D., Gerin, M., et al. 2004, A&A, 417, 135 [NASA ADS] [CrossRef] [EDP Sciences]
- Thiemens, M. H., & Heidenreich, III, J. E. 1983, Science, 219, 1073 [NASA ADS] [CrossRef] (In the text)
- Tilford, S., & Vanderslice, J. 1968, J. Mol. Spectr., 26, 419 [NASA ADS] [CrossRef]
- Ubachs, W., Eikema, K. S. E., Levelt, P. F., et al. 1994, ApJ, 427, L55 [NASA ADS] [CrossRef] (In the text)
- Ubachs, W., Velchev, I., & Cacciani, P. 2000, J. Chem. Phys., 113, 547 [NASA ADS] [CrossRef]
- van Boekel, R., Waters, L. B. F. M., Dominik, C., et al. 2003, A&A, 400, L21 [NASA ADS] [CrossRef] [EDP Sciences]
- van Dishoeck, E. F., & Black, J. H. 1986, ApJS, 62, 109 [NASA ADS] [CrossRef] (In the text)
- van Dishoeck, E. F., & Black, J. H. 1988, ApJ, 334, 771 [NASA ADS] [CrossRef] (vDB88) (In the text)
- van Dishoeck, E. F., Jonkheid, B., & van Hemert, M. C. 2006, Faraday Discuss., 133, 231 [CrossRef] (In the text)
- van Zadelhoff, G.-J., Aikawa, Y., Hogerheijde, M. R., & van Dishoeck, E. F. 2003, A&A, 397, 789 [NASA ADS] [CrossRef] [EDP Sciences]
- Viala, Y. P., Letzelter, C., Eidelsberg, M., & Rostas, F. 1988, A&A, 193, 265 [NASA ADS] (In the text)
- Warin, S., Benayoun, J. J., & Viala, Y. P. 1996, A&A, 308, 535 [NASA ADS] (In the text)
- Watanabe, N., & Kouchi, A. 2002, ApJ, 571, L173 [NASA ADS] [CrossRef]
- Wilson, T. L. 1999, Rep. Prog. Phys., 62, 143 [NASA ADS] [CrossRef] (In the text)
- Watson, W. D., Anicich, V. G., & Huntress, Jr., W. T. 1976, ApJ, 205, L165 [NASA ADS] [CrossRef]
- Wilson, B. A., Dame, T. M., Masheder, M. R. W., & Thaddeus, P. 2005, A&A, 430, 523 [NASA ADS] [CrossRef] [EDP Sciences]
- Woods, P. M., & Willacy, K. 2009, ApJ, 693, 1360 [NASA ADS] [CrossRef] (In the text)
- Young, E. D. 2007, Earth Planet. Sc. Lett., 262, 468 [NASA ADS] [CrossRef] (In the text)
- Yurimoto, H., & Kuramoto, K. 2004, Science, 305, 1763 [NASA ADS] [CrossRef]
- Zsargó, J., & Federman, S. R. 2003, ApJ, 589, 319 [NASA ADS] [CrossRef] (In the text)
Online Material
Table 6:
As Table 5, for
km s-1,
K and
a.
Table 7:
As Table 5, for
km s-1,
K and
a.
Table 8:
As Table 5, for
km s-1,
K and
a.
Table 9: Elemental abundances.
Table 10:
Column densities (in cm-2) for our grid of translucent cloud models at
K. Results for
and 700 cm-3 are not shown.
Footnotes
- ... disks
- Tables 6-13 are only available in electronic form at http://www.aanda.org
- ...)
- http://aristote.obspm.fr/MIS/pdr/pdr1.html
- ...)
- Although not mentioned explicitly by vDB88, their tabulated shielding functions also include this extra column of J''=4-7 H2.
- ... webpage
- http://www.strw.leidenuniv.nl/~ewine/photo
All Tables
Table 1: New molecular data for 12COa.
Table 2: Parity-dependent rotational constants for 12CO.
Table 3: Parity- and rotation-dependent inverse lifetimes for 12CO.
Table 4:
Relative and absolute shielding effects for the ten most important bands in the
Oph clouda.
Table 5:
Two-dimensional shielding functions
for
km s-1,
K and
a.
Table 6:
As Table 5, for
km s-1,
K and
a.
Table 7:
As Table 5, for
km s-1,
K and
a.
Table 8:
As Table 5, for
km s-1,
K and
a.
Table 9: Elemental abundances.
Table 10:
Column densities (in cm-2) for our grid of translucent cloud models at
K. Results for
and 700 cm-3 are not shown.
All Figures
![]() |
Figure 1:
Relative intensity of the radiation field (I/I0) and intrinsic line profiles for the six CO isotopologues ( |
| Open with DEXTER | |
| In the text | |
![]() |
Figure 2:
Illustration of the effect of increasing
|
| Open with DEXTER | |
| In the text | |
![]() |
Figure 3:
Left: photodissociation rate of the CO isotopologues as a function of excitation temperature, normalised to the rate at 4 K, at four different Doppler widths, for parameters corresponding to the centre of the |
| Open with DEXTER | |
| In the text | |
![]() |
Figure 4: As Fig. 3, but with all rates normalised to the 12CO rate. |
| Open with DEXTER | |
| In the text | |
![]() |
Figure 5:
Illustration of the effect of not integrating strongly saturated lines over the entire wavelength regime. Full black curve: relative intensity of the radiation field at
|
| Open with DEXTER | |
| In the text | |
![]() |
Figure 6: Histogram of the absolute relative difference between the approximate method (Tables 5 and 8; see text for details) and the full computation for the absolute photodissociation rates (k, black line) and the isotopologue rate ratios (Q, red line) in a grid of translucent cloud models. The data for all six isotopologues are taken together, but the Q values for 12CO (which are unity regardless of the method) are omitted. |
| Open with DEXTER | |
| In the text | |
![]() |
Figure 7:
Column densities of 12CO versus those of H2. Left: data for all points with
|
| Open with DEXTER | |
| In the text | |
![]() |
Figure 8:
Column densities of 13CO (left) and column density ratios of 12CO to 13CO (right) plotted against the column density of H2. Grey crosses: observations of Sonnentrucker et al. (2007), Burgh et al. (2007) and Sheffer et al. (2007). Black squares and straight lines: 100-point means from our grid of translucent cloud models, offset by a factor of three in the right panel. Dotted line: median depth at which 12CO becomes self-shielding. Black plus signs: model data for all points with
|
| Open with DEXTER | |
| In the text | |
![]() |
Figure 9:
Photodissociation rates of H2 and the six CO isotopologues as a function of depth into translucent cloud model C2 |
| Open with DEXTER | |
| In the text | |
![]() |
Figure 10:
Cumulative column densities of the CO isotopologues normalised to 12CO and the elemental isotopic abundances (Eq. (9)) as a function of depth into translucent cloud model C2 |
| Open with DEXTER | |
| In the text | |
![]() |
Figure 11:
Column density of 12CO versus that of 12C on two different scales. Black: results from our grid of PDR models with
|
| Open with DEXTER | |
| In the text | |
![]() |
Figure 12: Column densities of C18O (left) and 13CO (right) versus that of 12C. Symbols are as in Fig. 11. See text for references to the observations. |
| Open with DEXTER | |
| In the text | |
![]() |
Figure 13:
Cumulative column densities of the CO isotopologues normalised to 12CO and the elemental isotopic abundances (Eq. (9)) as a function of height at a radius of 105 AU in our disk model with the Draine field and dust grains of 0.1 |
| Open with DEXTER | |
| In the text | |
Copyright ESO 2009
Current usage metrics show cumulative count of Article Views (full-text article views including HTML views, PDF and ePub downloads, according to the available data) and Abstracts Views on Vision4Press platform.
Data correspond to usage on the plateform after 2015. The current usage metrics is available 48-96 hours after online publication and is updated daily on week days.
Initial download of the metrics may take a while.
![\begin{figure}
\par\includegraphics[width=8.8cm,clip]{12129fg1.eps}
\end{figure}](/articles/aa/full_html/2009/32/aa12129-09/Timg104.png)
![\begin{figure}
\par\includegraphics[width=17.5cm,clip]{12129fg2.eps}
\end{figure}](/articles/aa/full_html/2009/32/aa12129-09/Timg107.png)
![\begin{figure}
\par\includegraphics[width=17.5cm,clip]{12129fg3.eps}
\end{figure}](/articles/aa/full_html/2009/32/aa12129-09/Timg115.png)
![\begin{figure}
\par\includegraphics[width=17.5cm,clip]{12129fg4.eps}
\end{figure}](/articles/aa/full_html/2009/32/aa12129-09/Timg119.png)

![\begin{figure}
\par\includegraphics[width=8.5cm,clip]{12129fg5.eps}
\end{figure}](/articles/aa/full_html/2009/32/aa12129-09/Timg147.png)
![\begin{figure}
\par\includegraphics[width=8.5cm,clip]{12129fg6.eps}
\end{figure}](/articles/aa/full_html/2009/32/aa12129-09/Timg148.png)

![\begin{figure}
\par\includegraphics[width=17cm,clip]{12129fg7.eps}
\par\end{figure}](/articles/aa/full_html/2009/32/aa12129-09/Timg156.png)
![\begin{displaymath}%
^{12}{{\rm CO}}\ +\ \element[+][13]{C}\ \rightleftarrows\ \element[+][12]{C}\ +\ ^{13}{{\rm CO}}\ +\ 35\ {{\rm K}},
\end{displaymath}](/articles/aa/full_html/2009/32/aa12129-09/img162.png)
![\begin{figure}
\par\includegraphics[width=17cm,clip]{12129fg8.eps}
\par\end{figure}](/articles/aa/full_html/2009/32/aa12129-09/Timg168.png)
![\begin{figure}
\par\includegraphics[width=8.5cm,clip]{12129fg9.eps}
\end{figure}](/articles/aa/full_html/2009/32/aa12129-09/Timg183.png)
![\begin{displaymath}%
\mathcal{R}_i(z) = \frac{N_z(^{x}{{\rm C}}^{y}{{\rm O}})}{N...
...ment[][x]{C}]} \frac{[\element[][16]{O}]}{[\element[][y]{O}]},
\end{displaymath}](/articles/aa/full_html/2009/32/aa12129-09/img184.png)

![\begin{figure}
\par\includegraphics[width=8.5cm,clip]{12129f10.eps}
\par\end{figure}](/articles/aa/full_html/2009/32/aa12129-09/Timg190.png)
![\begin{figure}
\par\includegraphics[width=17cm,clip]{12129f11.eps}
\par\end{figure}](/articles/aa/full_html/2009/32/aa12129-09/Timg191.png)
![\begin{figure}
\par\includegraphics[width=17cm,clip]{12129f12.eps}
\end{figure}](/articles/aa/full_html/2009/32/aa12129-09/Timg196.png)
![\begin{figure}
\par\includegraphics[width=17.5cm,clip]{12129f13.eps}
\end{figure}](/articles/aa/full_html/2009/32/aa12129-09/Timg209.png)