| Issue |
A&A
Volume 503, Number 3, September I 2009
|
|
|---|---|---|
| Page(s) | 673 - 681 | |
| Section | Astrophysical processes | |
| DOI | https://doi.org/10.1051/0004-6361/200811519 | |
| Published online | 02 July 2009 | |
High-energy emission from jet-clump interactions in microquasars
A. T. Araudo1,2,
- V. Bosch-Ramon3 - G. E. Romero1,2,![]()
1 - Instituto Argentino de Radioastronomía (CCT La Plata, CONICET), C.C.5, 1894 Villa Elisa, Buenos Aires, Argentina
2 - Facultad de Ciencias Astronómicas y Geofísicas, Universidad Nacional de La Plata, Paseo del Bosque, 1900 La Plata, Argentina
3 - Max Planck Institut für Kernphysik, Saupfercheckweg
1, 69117 Heidelberg, Germany
Received 12 December 2008 / Accepted 29 May 2009
Abstract
Context. High-mass microquasars are binary systems consisting of a massive star and an accreting compact object from which relativistic jets are launched. There is considerable observational evidence that winds of massive stars are clumpy. Individual clumps may interact with the jets in high-mass microquasars to produce outbursts of high-energy emission. Gamma-ray flares have been detected in some high-mass X-ray binaries, such as Cygnus X-1, and probably in LS 5039 and LS I+61 303.
Aims. We predict the high-energy emission produced by the interaction between a jet and a clump of the stellar wind in a high-mass microquasar.
Methods. Assuming a hydrodynamic scenario for the jet-clump interaction, we calculate the spectral energy distributions produced by the dominant non-thermal processes: relativistic bremsstrahlung, synchrotron and inverse Compton radiation, for leptons, and for hadrons, proton-proton collisions.
Results. Significant levels of emission in X-rays (synchrotron), high-energy gamma rays (inverse Compton), and very high-energy gamma rays (from the decay of neutral pions) are predicted, with luminosities in the different domains in the range
1032-1035 erg s-1. The spectral energy distributions vary strongly depending on the specific conditions.
Conclusions. Jet-clump interactions may be detectable at high and very high energies, and provide an explanation for the fast TeV variability found in some high-mass X-ray binary systems. Our model can help to infer information about the properties of jets and clumpy winds by means of high-sensitivity gamma-ray astronomy.
Key words: gamma rays: theory - X-rays: binaries - radiation mechanisms: non-thermal
1 Introduction
The mass loss in massive and hot stars is understood to occur by means of supersonic inhomogeneous winds structured as very dense and small clumps embedded in large regions of tenuous plasma. This idea is supported by considerable observational evidence of the clumpy structure of these winds (e.g. Puls et al. 2006; Owocki & Cohen 2006; Moffat 2008). However, as a consequence of the high spatial resolution necessary for a straightforward detection of the clumps, all the evidence is indirect. Hence, properties of clumps, such as size, density, and number, are not well-known.
Some massive stars are accompanied by a compact object, to which they transfer matter. This process leads to the formation of an accretion disk around the compact object and, in high-mass microquasars (HMMQs), to the generation of bipolar relativistic outflows (e.g. Mirabel & Rodríguez 1999).
Non-thermal emission has been observed in microquasar jets from radio (e.g. Ribó 2005) to X-rays (e.g. Corbel et al. 2002). At higher energies, gamma-ray radiation could also be produced in jets (e.g. Bosch-Ramon et al. 2006). A TeV flare was detected by MAGIC from the HMMQ Cygnus X-1 (Albert et al. 2007). Transient gamma-ray events may also have been detected from the high-mass X-ray binaries LS 5039 and LS I+61 303 by HESS (Aharonian et al. 2005) and MAGIC (Albert et al. 2006), respectively, as suggested by Paredes (2008). In addition, the HMMQ Cygnus X-3 might have been observed flaring in the GeV range by AGILE (ATels 1492, 1547 and 1585, see however Atel 1850). Both this instrument and Fermi also found several transient GeV sources in the Galactic plane without known counterpart (ATel 1394, Abdo et al. 2009). All this strongly variable gamma-ray emission may have a similar origin. For instance, the interaction between the jet and the stellar wind of the companion star could produce TeV flares (e.g., Romero et al. 2003; Romero & Orellana 2005; Romero et al 2008; Albert et al. 2007; Perucho & Bosch-Ramon 2008; Owocki et al. 2009).
In this paper, we propose a model to explain these
gamma-ray flares, based on the interaction between
the jets of a
HMMQ with wind inhomogeneities.
The clumps can eventually penetrate the jet,
leading to transient non-thermal activity that may
release a significant fraction of the jet kinetic luminosity in the
form of synchrotron, inverse Compton (IC), and proton-proton (pp)
-decay emission.
This work is organized as follows. In the next section, we describe the main characteristics of the scenario adopted and estimate the relevant timescales of the jet-clump interaction; in Sect. 3, we study the acceleration of particles and estimate the non-thermal radiative losses; in Sect. 4, we describe the calculation of the non-thermal emission and present the main results; and finally, in Sect. 5, we draw some conclusions. CGS units are used consistently throughout the paper.
2 The physical scenario
To study the interaction between a clump of the stellar wind
and a jet in a HMMQ, we adopt a scenario
with similar characteristics to the binary system Cygnus X-1.
We fix the separation between the
compact object and the massive star to be
cm (0.2 UA).
For the star luminosity and temperature, we assume that
erg s-1 and
K,
and the
stellar mass loss rate is adopted to be
yr-1, with a terminal wind velocity
cm s-1.
A sketch of the scenario is presented in Fig. 1.
![]() |
Figure 1: Sketch of a HMMQ with clumpy stellar wind, adapted from Romero et al. (2007). |
| Open with DEXTER | |
2.1 Clump model
The clump is assumed to be spherical and homogeneous.
Given the uncertainties in the clump parameters,
we consider two values of its size:
and 1011 cm
(i.e.,
).
For effective jet penetration, a large density contrast between the clump
and the jet is required. Therefore, we assume dense clumps with
cm-3, which correspond to a porous clumpy wind
with a filling factor (clump versus interclump volume ratio)
of
,
where
is the mass of the proton
.
We assume that the velocity of the clumps equals the velocity of the wind, i.e.,
cm s-1. The temperature of the clumps is taken as
K (Krti
ka & Kubát 2001), which is moderately lower than the temperature at the surface of the massive star.
2.2 Jet model
Radio observations demonstrated that the jets of MQs are strongly
collimated (Miller-Jones et al. 2006). We
assume that the jet radius is one tenth of the jet
height, i.e.
,
which corresponds to a semi-opening
angle of
.
The expansion velocity results in
,
where
is the velocity of the jet. This expansion velocity
for a free-expanding hydrodynamical jet implies
a jet base Mach number
,
i.e. a
strongly supersonic outflow.
We consider a jet dynamically dominated by cold protons
with a weakly relativistic bulk velocity
,
i.e. a
Lorentz factor
.
We neglect the curvature of the jet produced by its
interaction with the stellar wind.
In HMMQ jets of luminosity >1036 erg s-1, the
geometry should not be strongly modified (Perucho & Bosch-Ramon 2008),
although this effect could be important in systems such as Herbig-Haro jets
interacting with a stellar wind, as studied by Raga et al. (2009).
The kinetic luminosity of the jet is taken to be
,
similar to that of Cygnus X-1 (e.g., Gallo et al. 2005; Russell et al. 2007). Using the equation
![]() |
(1) |
where
Table 1: Adopted parameters in this work.
2.3 Dynamics of the interaction
Clumps are formed in the wind acceleration region
within one stellar radius of the surface of the star
(e.g. Puls et al. 2006) and
some of them reach the jet/wind interface.
The very large inertia of the clumps, linked to the exceptionally
high density contrast
,
allows them to cross the
boundary of the jet and fully penetrate into it.
A large value of
is also required to ensure that
the clump is not strongly affected when penetrating into the jet.
To study the physical processes of the interaction, we consider the collision of a single clump with the jet. For simplicity, we assume that, on the relevant spatial scales of the interaction, the jet is cylindrical.In the context of this work, thermal conduction, clump expansion, magnetic fields and gravitational forces are not dynamically relevant and will be neglected.
In the LRF, the clump will take a time
,
or jet penetration time, to fully enter the jet. This provides the first relevant timescale
| (2) |
which is
![]() |
(3) |
From the moment when the clump interacts with the jet, the ram pressure exerted by the latter produces a shock in the clump, which propagates in the direction of the jet motion. Assuming that a significant fraction of the momentum flux is transferred to the clump, the clump-crossing time, which is the characteristic timescale of the jet-clump interaction, can be defined to be
![]() |
(4) |
where
![]() |
(5) |
is the velocity of the shock moving through the clump, derived by equating the jet/clump ram pressures. The timescale
A shock (the bow shock) is also formed in the jet when its material
collides with the clump.
We assume that the bow-shock region width (or clump/bow-shock separation
distance) is
(van Dyke & Gordon 1959),
and thus the time
required to reach the steady state regime is
![]() |
(6) |
where
![]() |
Figure 2: Sketch of the jet-clump interaction. |
| Open with DEXTER | |
Once the clump is inside the jet, the latter transfers momentum to the clump, accelerating it to the background velocity,
.
The acceleration can be obtained from the force exerted by the jet ram pressure and the clump mass (e.g., Fragile et al. 2004):
![]() |
(7) |
The jet accelerates the clump to the velocity
![]() |
(8) |
which is much longer than
![]() |
(9) |
where l is the instability length in the perturbed region.
After the bow shock is formed, the jet material
surrounds the clump and
we have two fluids that have a large relative velocity. This situation leads to
Kelvin-Helmholtz (KH) instabilities. The timescale for a KH instability
to develop is
![]() |
(10) |
where
According to the timescales estimated in the previous paragraphs,
the clump can fully enter into the jet if
.
At this stage, we do not consider the penetration of the clump into the jet,
and assume that the former is completely inside the latter (i.e., the system
has cylindrical symmetry).
The bow shock is
formed in a time much shorter than
and
(
). We note that the clump might not escape the jet if
.
In such a case, the clump will be destroyed inside the jet. However, numerical simulations show that the instability timescales are longer than the clump crossing time by a factor of a few (e.g., Klein et al. 1994), i.e.,
.
Regarding the shock properties and given the particular characteristics of our scenario, the shock in the clump is strong, radiative, and slow, whereas the bow shock is strong as well, but adiabatic and fast. For these reasons, the shocked and heated material of the clump will radiate a non-negligible part of the energy tranferred by the jet.
2.3.1 Thermal emission from the clump
To estimate the density,
,
and temperature,
,
of the shocked clump at a distance
from the shock, we assume pressure equilibrium between the clump and
the jet shocked plasma and use the equation of energy flux conservation,
taking into account the main channels of thermal radiative losses:
erg cm-3 s-1.
The timescale of thermal cooling equals
The temperature and density in the adiabatic zone of the post-shock region are
Although we are mainly interested in the high-energy emission produced by the jet-clump interaction, we estimate for comparison the free-free emission generated by the shocked and heated clump.
Considering
and
,
we estimate the free-free luminosity by integrating the emissivity (Lang 1999) along the shocked clump, as demonstrated in Zhekov & Palla (2007).
The corresponding thermal luminosities are
and
erg s-1 for
and 1011 cm, respectively, peaking in the soft X-rays. In Fig. 7, the thermal radiation of the clump is shown together with the non-thermal emission.
In contrast to what occurs in the clump, the bow shock is adiabatic and fast. For this reason, it is a propitious place to accelerate particles to relativistic energies.
3 Particle acceleration and non-thermal cooling
3.1 Particle acceleration
In the presence of a shock and magnetic field,
non-relativistic diffusive (Fermi I) shock acceleration can
occur (e.g. Drury 1983).
In the linear limit of this theory and considering Bohm diffusion,
electrons and protons will be accelerated
to an energy
(where e stands for electrons and p
for protons) in a time
where
To study the jet-clump interaction, we consider two
values of the magnetic field in the jet shocked (bow-shock) region,
.
First, we consider a value of the magnetic field obtained by assuming
that the magnetic energy density is
of the plasma internal energy density downstream. We adopt a sub-equipartition
value to ensure that
is dynamically negligible with respect
to matter. Fixing
![]() |
(13) |
where
![]() |
(14) |
we obtain
In addition, we adopt
G to check the impact on
our results of a magnetic field significantly weaker than in the
sub-equipartition case.
3.2 Non-thermal cooling processes
Relativistic leptons lose their energy by different non-thermal radiative processes, such as synchrotron radiation, IC scattering and relativistic bremsstrahlung. On the other hand, relativistic protons can also lose energy by means of pp interactions. Finally, the shocked plasma can produce thermal radiation if the density is high enough, as shown in Sect. 2.3.1.
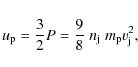
Relativistic electrons that lose their energy by synchrotron radiation have the following cooling time (e.g. Ginzburg & Syrovatskii 1964)
![]() |
(15) |
Synchrotron radiation is the most efficient radiative process in the bow-shock region in the case of
At the interaction height considered in this work,
cm, the energy density of the photons from the star is
erg cm-3, the typical photon energy being
eV. For
,
i.e.
eV, the IC interaction occurs in the Klein-Nishina (KN) regime.
A formula for the IC cooling time valid in both a Thompson (Th) and KN regime in a photon field with a narrow energy distribution is e.g. Bosch-Ramon & Khangulyan (2009)
![]() |
(16) |
For
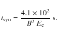
According to the low particle density of the shocked jet,
cm-3, relativistic bremsstrahlung losses are negligible in the bow-shock region, the cooling time for a completely ionized medium being (e.g. Blumenthal & Gould
1970):
![]() |
(17) |
where Z is the atomic number, and in our case Z=1.
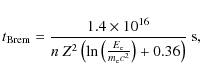
Regarding hadronic emission,
-rays are produced if relativistic protons interact with nuclei through inelastic collisions. As in the case of relativistic bremsstrahlung, the proton cooling time due to pp interactions depends on the density n (e.g. Aharonian & Atoyan 1996) related
![]() |
(18) |
In the bow-shock region, this process is negligible. Otherwise, if relativistic protons accelerated in the bow shock penetrate into the clump, pp interactions can become an efficient process to generate gamma-rays.
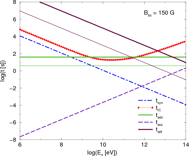
3.3 Maximum energies
Taking into account energy gains and losses, the maximum energy achieved by
particles accelerated in the bow shock can be easily estimated. Concerning
energy losses, we consider radiative
cooling (described above) and the escape of particles. The latter
takes into account the advection of relativistic particles by downstream
bow-shock material (
)
and the diffusion of particles
(
,
where
and
is the diffusion coefficient, which is assumed to be the B
hm
one). The corresponding timescale is
| (19) |
Given the small thickness of the bow-shock region, we assume that particles that escape via diffusion go to the clump.
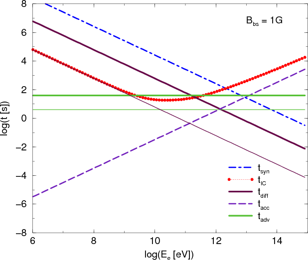
For electrons, the maximum energy is constrained by the escape of particles via diffusion
(
G) and by synchrotron radiation (
G), as it
is shown in Figs. 3 and 4. From these figures, we determine that the most relevant radiative process in the bow-shock region can be IC scattering if
G, and synchrotron radiation if
G.
On the other hand, the maximum energy for protons accelerated in
the bow shock is constrained by the Hillas criterion (Hillas 1984),
i.e. when the proton gyroradius becomes equal to the size
of the acceleration region:
![]() |
(20) |
In Table 2, maximum energies for electrons and protons of different values of
![]() |
Figure 3:
Acceleration and radiative loss (synchrotron and IC) time for electrons in the bow-shock region. The advection and diffusion times are shown for
|
| Open with DEXTER | |
![]() |
Figure 4:
Acceleration and radiative loss (synchrotron and IC) time for electrons in the bow-shock region. The advection and diffusion times are shown for
|
| Open with DEXTER | |
Table 2:
Maximum energies achieved by acelerated particles in the bow shock.
The values are in eV units and represent the different values of
and B studied in this work.
4 Production of gamma-rays and lower energy radiation
We calculated the spectral energy distribution (SED) of the emission produced by the most relevant non-thermal radiative processes. In the bow-shock region, we considered synchrotron and IC radiation, and in the clump, we also considered relativistic bremsstrahlung and pp.
4.1 Distribution of relativistic particles
We assume an injected population of relativistic particles
(electrons and protons) in the bow-shock region
that follows a power-law energy distribution of the form
![]() |
(21) |
The index
To estimate the particle energy distribution
,
we solve the kinetic equation in the one-zone model approximation for the bow-shock region (e.g. Ginzburg & Syrovatskii 1964)
![]() |
(22) |
where t is the time and
The relativistic leptons reach the steady state well before the shock has crossed the clump. As shown in Figs. 3 and 4, the most energetic electrons can diffuse to the clump (
G) or lose their energy inside the bow-shock region by synchrotron and IC radiation (
G). However, particles downstream with low energies escape
advected in the shocked material of the jet before cooling radiatively, producing a break in the energy spectrum of particles. By equating the advection and synchrotron loss times, we can
estimate the break energy in the case with
G, which results in
and
eV, for
and 1011 cm, respectively.
For the case of
G, the break energy is determined by the advection and diffusion times, given
.
The electrons with energies
can reach the clump and radiate inside it.
The energy distribution of these electrons is
| (23) |
where
As noted in Sect. 3.2, relativistic protons do not suffer significant pp losses in the bow-shock region (
). These protons can also reach the clump if they are not advected by the shocked material of the jet. By assuming that
,
the minimum energy necessary to reach the clump is
![]() |
(24) |
and the maximum energies of these protons are determined by the Hillas criterion and shown in Table 2. On the other hand, to confine relativistic protons in the clump, the magnetic field must be >103 G, much stronger than the expected clump magnetic field
![]() |
(25) |
With the steady distributions of relativistic electrons in the bow shock,
4.2 Non-thermal emission from the bow shock
Since the energy density of the synchrotron emission is lower than that of the magnetic and stellar fields, synchrotron self-Compton processes will be neglected in our calculations.
Synchrotron radiation is computed using the standard formulae given in
Blumenthal & Gould (1970). Assuming that the distribution of
relativistic electrons in
the bow-shock region is isotropic and moves with a
non-relativistic advection speed, we calculate the synchrotron SED as
![]() |
(26) |
where
![]() |
(27) |
is the power function. The magnitude
For a thermal distribution of target photons, we can estimate the IC emission from
![]() |
(28) |
where
![]() |
(29) |
for
We calculated
and
for different values of
and
,
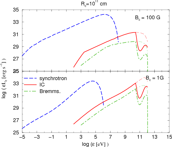
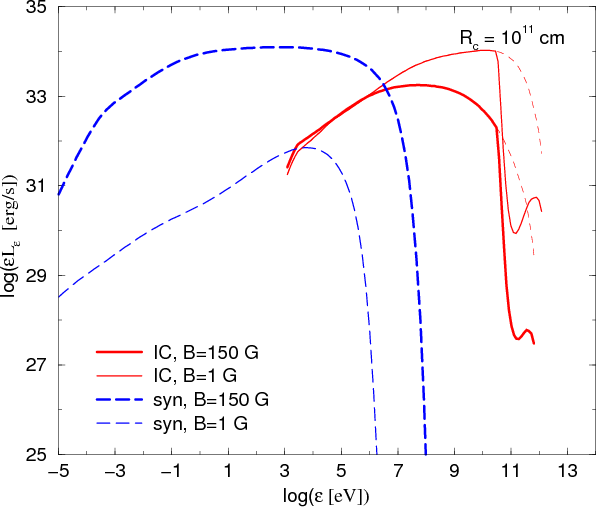
and the results are presented in Figs. 5 and 6. As seen in these figures, the synchrotron component is more luminous than the IC one in the cases of
G, reaching bolometric luminosities of
and
erg s-1 for
and 1011 cm, respectively.
In contrast, for
G, the dominant radiative process is IC scattering, which
leads to bolometric luminosities of
erg s-1 and
1035 erg s-1 for
and 1011 cm, respectively. The maximum energies achieved by photons can be as high as
TeV. We note the spectral break in the synchrotron and IC emission for the case
G. This feature is produced by the advection of particles out from the bow-shock region. In addition, the impact of KN losses hardening the electron spectrum can also be seen in the spectral shape of the synchrotron and IC
emission for
cm and
G.
![]() |
Figure 5:
Computed synchrotron (dotted line) and IC (dashed line) SEDs for the emission produced in the bow-shock region for the case of
|
| Open with DEXTER | |
![]() |
Figure 6:
The same as in Fig. 5, but for the case
|
| Open with DEXTER | |
We accounted for
absorption in the stellar field of the massive star. Since we did not focus on a particular binary/observer system geometry, we assumed an isotropic target
photon field (and hence also neglected angular effects in the IC calculations). As seen in Figs. 5 and 6, the attenuation in flux can be of several orders of magnitude at energies of hundreds of GeV. In only some cases of specific geometries in the
interaction, can the attenuation be very much reduced (see e.g. Khangulyan et al. 2008).
![]() |
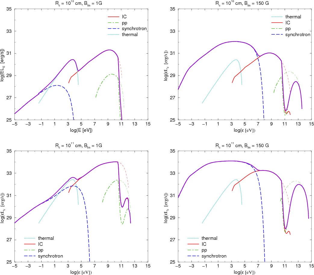
Figure 7:
SEDs for different values of
|
| Open with DEXTER | |
In this work, we have focused on the high-energy emission. Radio emission is also produced by electrons that leave the bow shock well before they lose most of their energy. These particles may radiate in the radio band further down the jet and their treatment is beyond the context of this study. Because of this, we have not considered the effect of synchrotron self-absorption in the radio spectrum, and we do not make predictions in this energy range.
4.3 Non-thermal emission from the clump
The most energetic particles accelerated in the bow-shock region can penetrate the clump. In the case of protons, uncooled particles with
can diffuse up to the clump and radiate only a part of their energy from there. On the other hand, for
(
), electrons with
will radiate their energy in the clump.
The relativistic protons that diffuse up to the clump collide with cold protons there, generating both neutral (
)
and charged (
)
pions that decay to
-rays and leptons, respectively.
The emissivity of
is given by
![]() |
(30) |
where
![]() |
(31) |
where
Secondary pairs with an effective low energy cut-off at
will be injected inside the clump by the decay of
.
These pairs radiate most of their energy inside the clump by synchrotron, IC scattering, and relativistic bremsstrahlung. In general, primary electron emission from both the bow-shock region and the clump (see the next paragraph) is more significant than that of this secondary component (see Bosch-Ramon et al. 2005; and Orellana et al. 2007, for discussion of secondary pairs in the context of clouds and jets, respectively). Finally, we note that very high-energy neutrinos with luminosities
would also be generated (e.g., Aharonian et al. 2006; Reynoso & Romero 2009).
To estimate the radiation produced by electrons accelerated in the bow-shock, we assume two values of the magnetic field of the clump:
and 100 G, the latter being similar to the equipartition clump magnetic field.
The synchrotron and the IC radiation were calculated using the same equations given in Sect. 4.2. Regarding the relativistic bremsstrahlung, we used the standard formulae given in Blumenthal & Gould (1970).
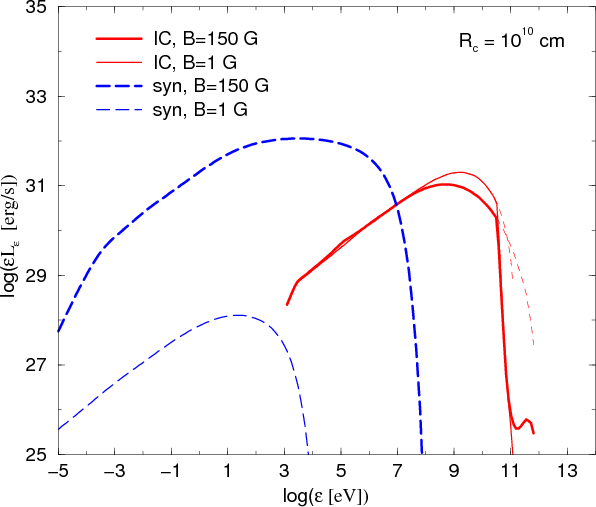
As shown in Fig. 8, synchrotron radiation is higher than IC in the case of
G, reaching a luminosity
1034 erg s-1 (
cm) at
MeV. For
G, on the other hand, the absorbed IC component reaches a similar luminosity to that of the synchrotron one,
1033 erg s-1. Relativistic bremsstrahlung is negligible in all cases. The SEDs for
cm are similar to those
shown in Fig. 8, but the luminosities are
and therefore two orders of magnitude less. We note that the non-thermal emission from the clump is similar to, but of slightly lower intensity than the bow shock one, being the spectra harder. We note that the radio emission produced by leptons in the clump is strongly suppressed by ionization losses and the high low-energy cut-off of the injected electrons. For clarity, we have not plotted the leptonic emission from the clump together with the other components, but they can be compared using Figs. 7 and 8.
![]() |
Figure 8:
Non-thermal leptonic emission from the clump, for the case
|
| Open with DEXTER | |
5 Discussion and summary
We explored the main physical processes and the nature of the radiation produced by the interaction between the jet of a HMMQ and a clump of the wind of the companion star. The penetration of a clump in the jet produces two shocks. One shock quickly reaches a steady state in the jet, forming a bow-like shock. The other shock propagates through the clump driven by pressure equilibrium in the jet/clump contact discontinuity. The bow shock is adiabatic and fast, and particles can be accelerated to very high energies, leptons efficiently emitting synchrotron and IC radiation. Otherwise, the shock in the clump is slow and radiative. It is a non-efficient accelerator but a thermal emitter as well as a good target for proton-proton collisions. If electrons from the bow-shock region enter the clump, they could also radiate energy efficiently there via synchrotron and IC processes. The SEDs of the mentioned radiation components have been computed in the context of a microquasar with parameters similar to those of Cygnus X-1, showing that in some cases the interaction between one clump and the jet can yield significant amounts of radiation. The entire SEDs for different cases of clump size and magnetic field are shown in Figs. 7 and 8.
As noted above, given the limitations of the one-zone approximation, the synchrotron emission has been computed in the optically thin case, neglecting the impact of synchrotron self-absorption. Nevertheless, we note that the radio fluxes can be quite high, despite probably being self-absorbed right at the bow-shock region. Radio emission produced further down the jet by electrons accelerated in the bow shock may contribute significantly to the radio band, i.e., jet-clump interactions should have associated radio flares.
At X-rays, the emission is produced by synchrotron (bow shock and clump) and thermal radiation (clump). In the cases with
G, the thermal emission, reaching luminosities of
erg s-1, is of higher intensity than that of synchrotron from the bow-shock region, but not from the clump if
cm. Synchrotron emission from the bow-shock region dominates in the X-rays band for
G and
erg s-1. In a source such as Cygnus X-1, these levels of X-ray emission would be overcome by the accretion disk radiation. Nevertheless, in the case of fainter jet sources at X-rays, such as LS 5039 and LS I +61 303 (Bosch-Ramon et al. 2007; Paredes et al. 2007), the synchrotron X-rays produced during the jet-clump interaction may be detectable, and even the thermal component may be detectable on the top of a non-thermal component in certain conditions (large clumps of relatively low densities).
Inverse Compton scattering in the bow-shock region and the clump produces
-rays up to
very high energies that dominate the radiation output in cases of relatively weak magnetic fields (e.g.,
G). In our calculations, the highest luminosity achieved is
erg s-1 for
cm, although
absorption can reduce the emission substantially above 100 GeV. Proton-proton collisions in the clump can also produce
-rays at energies that may be as high as
1014 eV (
G). The maximum luminosity obtained by pp is nevertheless quite modest,
erg s-1 for
cm, although denser and/or bigger clumps, and
more powerful jets may yield detectable amounts of photons outside the
absorption range (0.1-10 TeV). We recall that specific geometries of the binary/observer system plus a high-energy emitter far from the compact object may render the attenuation of
-rays much smaller (e.g., Khangulyan et al. 2008).
As a consequence of the characteristics of the interaction, the expected emission is transient. The flare duration is related to the permanence of the clump inside the jet dependent on RT and KH instabilities, which can destroy the clump. Since the clump is accelerated inside the jet, it may be disrupted after several dynamical timescales. If the clump were not destroyed, it would eventually leave the jet as a thin and moderately hot slab of plasma, since the shock in the clump is radiative. Given the typical dynamical and crossing timescales, the entire event may have a duration of between a few minutes and hours.
The flares of jet-clump interactions would have associated lower (synchrotron, thermal emission) and higher energy components (IC, pp emission), which should not be correlated with the accretion disk activity. The total level of emission, the importance of the different components, and the duration of the flares, can provide information about the jet power and size, clump size and density, and magnetic fields in the interaction regions (Romero et al. 2007). Therefore, besides the jet itself, the clump properties can be probed by observations at high and very high energies (and probably also at radio frequencies) of transient activity in HMMQs, which are a new tool for studying the winds of massive stars.
Depending on the wind filling factor (or clump density) and the clump size/number -
- (Owocki & Cohen 2006), the flares produced by interactions of clumps with jets in HMMQs could be a sporadic phenomenon, for a low number of clumps, or may appear as a modulated steady activity, for a high number of clumps (see Owocki et al. 2009). For the parameters adopted here, the former case corresponds to
cm and the latter to
cm. Nevertheless, we note that the jet may be disrupted in those cases when too many clumps are simultaneously present inside the jet. Assuming that jet disruption takes place for
,
for the wind and jet properties adopted in this work, the jet could be destroyed if
cm. However, more detailed calculations of the dynamics of the jet-clump interaction are required to clarify this issue.
Acknowledgements
The authors thank an anonymous referee for his/her constructive comments. The authors thank Stan Owocki and Dmitry Khangulyan for many insightful discussions on clumps, jets, and hydrodynamics. A.T.A. thanks the Max Planck Institut fr Kernphysik for its suport and kind hospitality. V.B-R. and G.E.R. acknowledge support by DGI of MEC under grant AYA2007-68034-C03-01, as well as partial support by the European Regional Development Fund (ERDF/FEDER). V.B-R. gratefully acknowledges support from the Alexander von Humboldt Foundation.
References
- Abdo, A. A., Ackermann, M., Ajello, M. et al. 2009, ApJS, 183, 46 [NASA ADS] [CrossRef] (In the text)
- Aharonian, F. A., & Atoyan, A. M. 1996, A&A, 309, 917 [NASA ADS] (In the text)
- Aharonian, F. A., Akhperjanian, A. G., Aye, K.-M., et al. 2005, Science, 309, 746 [NASA ADS] [CrossRef] (In the text)
- Aharonian, F. A., Anchordoqui, L. A., Khangulyan, D., & Montaruli, T. 2006, J. Phys. Conf. Ser., 39, 408 [NASA ADS] [CrossRef] (In the text)
- Albert, J., Aliu, E., Anderhub, H., et al. 2006, Science, 312, 1771 [NASA ADS] [CrossRef] (In the text)
- Albert, J., Aliu, E., Anderhub, H., et al. 2007, ApJ, 665, L51 [NASA ADS] [CrossRef] (In the text)
- Blumenthal, G. R., & Gould, R. J. 1970, Rev. Mod. Phys., 42, 237 [NASA ADS] [CrossRef] (In the text)
- Bosch-Ramon, V., & Khangulyan, D. 2009, IJMPD, 18, 347 [NASA ADS] [CrossRef] (In the text)
- Bosch-Ramon, V., Aharonian, F. A., & Paredes, J. P. 2005, A&A, 432, 609 [NASA ADS] [CrossRef] [EDP Sciences] (In the text)
- Bosch-Ramon, V., Romero, G. E., & Paredes, J. P. 2006, A&A, 447, 263 [NASA ADS] [CrossRef] [EDP Sciences] (In the text)
- Bosch-Ramon, V., Motch, C., Ribó, M., et al. 2007, A&A, 473, 545 [NASA ADS] [CrossRef] [EDP Sciences] (In the text)
- Corbel, S., Fender, R. P., Tzioumis, A. K., et al. 2002, Science, 298, 196 [NASA ADS] [CrossRef] (In the text)
- Drury, L. O.'C. 1983, RPPh, 46, 973 [NASA ADS] (In the text)
- Fragile, P. C., Murray, S. D., Anninos, P., & van Breugel, W. 2004, ApJ, 604, 74 [NASA ADS] [CrossRef] (In the text)
- Gallo, E., Fender, R., Kaiser, C., et al. 2005, Nature, 436, 819 [NASA ADS] [CrossRef] (In the text)
- Ginzburg, V. L., & Syrovatskii, S. I. 1964, The Origin of Cosmic Rays (New York: Pergamon Press) (In the text)
- Hillas, A. M. 1984, ARA&A, 22, 425 [NASA ADS] [CrossRef] (In the text)
- Kelner, S. R., Aharonian, F. A., & Vugayov, V. V. 2006, Phys. Rev. D, 74, 034018 [NASA ADS] [CrossRef] (In the text)
- Khangulyan, D., Aharonian, F., & Bosch-Ramon, V. 2008, MNRAS, 383, 467 [NASA ADS] (In the text)
- Klein, R. I., McKee, C. F., & Colella, P. 1994, ApJ, 420, 213 [NASA ADS] [CrossRef] (In the text)
- Krti
ka, J., & Kubát, J. 2001, A&A, 377, 175 [NASA ADS] [CrossRef] [EDP Sciences]
(In the text) - Lang, K. R. 1999, Astrophysical Formulae (Berlin: Springer) (In the text)
- Miller-Jones, J. C. A., Fender, R. P., & Nakar, E. 2006, MNRAS, 367, 1432 [NASA ADS] [CrossRef] (In the text)
- Mirabel, I. F., & Rodríguez, L. F. 1999, ARA&A, 37, 409 [NASA ADS] [CrossRef] (In the text)
- Moffat, A. F. J. 2008, Proceedings of the conference Clumping in hot-star winds held in Potsdam, Germany, June 2007, ed. W. R. Hamann, A. Feldmeier, & L. Oskinova, 17 (In the text)
- Orellana, M., Bordas, P., Bosch-Ramon, V., Romero, G. E., & Paredes, J. M. 2007, A&A, 476, 9 [NASA ADS] [CrossRef] [EDP Sciences] (In the text)
- Owocki, S. P., & Cohen D. H. 2006, ApJ, 648, 5650 [CrossRef] (In the text)
- Owocki, S. P., Romero G. E., Townsend, R., & Araudo, A. T. 2009, ApJ, 696, 690 [NASA ADS] [CrossRef] (In the text)
- Paredes, J. M. 2008, Int. J. Mod. Phys. D, 17, 1849 [NASA ADS] [CrossRef] (In the text)
- Paredes, J. M., Ribó, M., Bosch-Ramón, V., et al. 2007, ApJ, 664, L39 [NASA ADS] [CrossRef] (In the text)
- Perucho, M., & Bosch-Ramon, V, 2008, A&A, 482, 917 [NASA ADS] [CrossRef] [EDP Sciences] (In the text)
- Protheroe, R. J. 1999, in Acceleration and Interaction of Ultra High Energy Cosmic Rays in Topics in cosmic-ray astrophysics, ed. M. A. DuVernois (Nova Science Publishing), 240 [arXiv:astro-ph/9812055] (In the text)
- Puls, J., Markova, N., Scuderi, S., et al. 2006, A&A, 454, 625 [NASA ADS] [CrossRef] [EDP Sciences] (In the text)
- Raga, A. C., Cantó, J., Rodríguez-González, A., & Esquivel, A. 2009, A&A, 493, 115 [NASA ADS] [CrossRef] [EDP Sciences]
- Reynoso, M., & Romero, G. E. 2009, A&A, 493, 1 [NASA ADS] [CrossRef] [EDP Sciences] (In the text)
- Ribó, M. 2005, ASPC, 340, 269 [NASA ADS] (In the text)
- Romero, G. E., & Orellana, M. 2005, A&A, 439, 237 [NASA ADS] [CrossRef] [EDP Sciences] (In the text)
- Romero, G. E., Torres, D. F., Kaufman Bernadó, M. M., & Mirabel, I. F. 2003, A&A, 410, 1 [NASA ADS] [CrossRef] [EDP Sciences] (In the text)
- Romero, G. E., Owocki, S. P., Araudo, A. T., Townsend, R. H. D., & Benaglia, P. 2008, in Clumping in Hot Star Winds, ed. W. R. Hamann, A. Feldmeier, & L. M. Oskinova, Potsdam, Univ. Verl., 191 (In the text)
- Russell, D. M., Fender, R. P., Gallo, E., & Kaiser, C. R. 2007, MNRAS, 376, 1341 [NASA ADS] [CrossRef] (In the text)
- van Dike, & Gordon, H. 1959, NASA TR R-1 (In the text)
- Zhekov, S. A., & Palla, F. 2007, MNRAS, 382, 1124 [NASA ADS] [CrossRef] (In the text)
Footnotes
- ...
- Fellow of CONICET, Argentina.
- ...
- Member of CONICET, Argentina.
- ... proton
- See Owocki & Cohen (2006) for the concept of a porous wind.
- ... section
- We neglect here the region where the bow shock becomes strongly oblicuous, and focus on where this shock is the strongest, i.e. right in front of the clump.
- ... field
- Assuming equipartition, magnetic fields
100 G would be expected.
All Tables
Table 1: Adopted parameters in this work.
Table 2:
Maximum energies achieved by acelerated particles in the bow shock.
The values are in eV units and represent the different values of
and B studied in this work.
All Figures
![]() |
Figure 1: Sketch of a HMMQ with clumpy stellar wind, adapted from Romero et al. (2007). |
| Open with DEXTER | |
| In the text | |
![]() |
Figure 2: Sketch of the jet-clump interaction. |
| Open with DEXTER | |
| In the text | |
![]() |
Figure 3:
Acceleration and radiative loss (synchrotron and IC) time for electrons in the bow-shock region. The advection and diffusion times are shown for
|
| Open with DEXTER | |
| In the text | |
![]() |
Figure 4:
Acceleration and radiative loss (synchrotron and IC) time for electrons in the bow-shock region. The advection and diffusion times are shown for
|
| Open with DEXTER | |
| In the text | |
![]() |
Figure 5:
Computed synchrotron (dotted line) and IC (dashed line) SEDs for the emission produced in the bow-shock region for the case of
|
| Open with DEXTER | |
| In the text | |
![]() |
Figure 6:
The same as in Fig. 5, but for the case
|
| Open with DEXTER | |
| In the text | |
![]() |
Figure 7:
SEDs for different values of
|
| Open with DEXTER | |
| In the text | |
![]() |
Figure 8:
Non-thermal leptonic emission from the clump, for the case
|
| Open with DEXTER | |
| In the text | |
Copyright ESO 2009
Current usage metrics show cumulative count of Article Views (full-text article views including HTML views, PDF and ePub downloads, according to the available data) and Abstracts Views on Vision4Press platform.
Data correspond to usage on the plateform after 2015. The current usage metrics is available 48-96 hours after online publication and is updated daily on week days.
Initial download of the metrics may take a while.
![\begin{figure}
\par\includegraphics[angle=0, width=8.5cm]{11519f1.eps}
\end{figure}](/articles/aa/full_html/2009/33/aa11519-08/Timg16.png)



















![\begin{figure}
\par\includegraphics[angle=0, width=8.8cm]{11519f3.eps}
\end{figure}](/articles/aa/full_html/2009/33/aa11519-08/Timg119.png)
![\begin{figure}
\par\includegraphics[angle=0, width=8.8cm]{11519f4.eps}
\end{figure}](/articles/aa/full_html/2009/33/aa11519-08/Timg120.png)








![\begin{figure}
\par\includegraphics[angle=0, width=8.5cm]{11519f5.eps}
\end{figure}](/articles/aa/full_html/2009/33/aa11519-08/Timg170.png)
![\begin{figure}
\par\includegraphics[angle=0, width=8.5cm]{11519f6.eps}
\end{figure}](/articles/aa/full_html/2009/33/aa11519-08/Timg171.png)
![\begin{figure}
\par\mbox{\includegraphics[angle=0,width=8.5cm]{11519f7.eps}\qqua...
....eps}\qquad
\includegraphics[angle=0, width=8.5cm]{11519f10.eps} }\end{figure}](/articles/aa/full_html/2009/33/aa11519-08/Timg172.png)


![\begin{figure}
\par\includegraphics[angle=0, width=8.5cm]{11519f11.eps}
\end{figure}](/articles/aa/full_html/2009/33/aa11519-08/Timg191.png)