Issue |
A&A
Volume 503, Number 3, September I 2009
|
|
---|---|---|
Page(s) | 945 - 962 | |
Section | Stellar atmospheres | |
DOI | https://doi.org/10.1051/0004-6361/200811561 | |
Published online | 02 July 2009 |
The chemical abundance analysis of normal early A- and late B-type
stars
,![[*]](/icons/foot_motif.png)
L. Fossati1 - T. Ryabchikova1,2 - S. Bagnulo3 - E. Alecian4,5 - J. Grunhut5 - O. Kochukhov6 - G. Wade5
1 -
Institut für Astronomie, Universität Wien,
Türkenschanstrasse 17, 1180 Wien, Austria
2 -
Institute of Astronomy, Russian Academy of Sciences, Pyatnitskaya
48, 119017 Moscow, Russia
3 -
Armagh Observatory, College Hill, Armagh BT61 9DG, Northern Ireland,
UK
4 -
Observatoire de Paris-Meudon, LESIA, UMR 8111 du CNRS, 92195 Meudon
Cedex, France
5 -
Physics Dept., Royal Military College of Canada, PO Box 17000,
Station Forces, K7K 4B4, Kingston, Canada
6 -
Department of Physics and Astronomy, Uppsala University, 751 20
Uppsala, Sweden
Received 21 December 2008 / Accepted 19 May 2009
Abstract
Context. Modern spectroscopy of early-type stars often aims at studying complex physical phenomena such as stellar pulsation, the peculiarity of the composition of the photosphere, chemical stratification, the presence of a magnetic field, and its interplay with the stellar atmosphere and the circumstellar environment. Comparatively less attention is paid to identifying and studying the ``normal'' A- and B-type stars and testing how the basic atomic parameters and standard spectral analysis allow one to fit the observations. By contrast, this kind of study is paramount for eventually allowing one to correctly quantify the impact of the various physical processes that occur inside the atmospheres of A- and B-type stars.
Aims. We wish to establish whether the chemical composition of the solar photosphere can be regarded as a reference for early A- and late B-type stars.
Methods. We have obtained optical high-resolution, high signal-to-noise ratio spectra of three slowly rotating early-type stars (HD 145788, 21 Peg and Cet) that show no obvious sign of chemical peculiarity, and performed a very accurate LTE abundance analysis of up to 38 ions of 26 elements (for 21 Peg), using a vast amount of spectral lines visible in the spectral region covered by our spectra.
Results. We provide an exhaustive description of the abundance characteristics of the three analysed stars with a critical review of the line parameters used to derive the abundances. We compiled a table of atomic data for more than 1100 measured lines that may be used in the future as a reference. The abundances we obtained for He, C, Al, S, V, Cr, Mn, Fe, Ni, Sr, Y, and Zr are compatible with the solar ones derived with recent 3D radiative-hydrodynamical simulations of the solar photosphere. The abundances of the remaining studied elements show some degree of discrepancy compared to the solar photosphere. Those of N, Na, Mg, Si, Ca, Ti, and Nd may well be ascribed to non-LTE effects; for P, Cl, Sc and Co, non-LTE effects are totally unknown; O, Ne, Ar, and Ba show discrepancies that cannot be ascribed to non-LTE effects. The discrepancies obtained for O (in two stars) and Ne agree with very recent non-LTE abundance analysis of early B-type stars in the solar neighbourhood.
Key words: stars: abundances - stars: individual: HD 145788, 21 Peg,
Cet
1 Introduction
In the last decade there has been dramatic improvement in the tools for the analysis of optical stellar spectra, both from the observational and theoretical perspective. New high-resolution echelle instruments have come online, which cover much broader spectral ranges than older single-order spectrographs. Data quality has also substantially improved in terms of signal-to-noise ratio (SNR), because of substantially greater instrument efficiency, and the use of large-size telescopes. Thanks to the vibrant observational activities of the past few years, and thanks to efficient and user-friendly data archive facilities, a huge high-quality spectroscopic database is now available to the public.
With the development of powerful and cheap computers, it has become practical to exploit these new data by performing spectral analysis using large spectral windows rather than selected spectral lines, at a level of realism heretofore impossible. The high accuracy of observations and modelling techniques now allows, for example, stretching the realm of abundance analysis to faster rotators than was possible in the past, but also provides the possibility of learning more about the structure of the stellar atmospheres and the ongoing physical processes, especially when spectral synthesis fails to reproduce the observations. For instance, observed discrepancies between observed and synthetic spectra have allowed us to discover that the signature of chemical stratification is ubiquitous in the spectra of some chemically peculiar stars (Ryabchikova et al. 2003; Bagnulo et al. 2001; Wade et al. 2001) and to perform accurate modelling of this stratification in the atmospheres of Ap stars (for instance, Ryabchikova et al. 2005; Kochukhov et al. 2006).
However, our inability to reproduce observations frequently stems for a very simple cause: that atomic data for individual spectral lines are incorrect. For solar type stars it is possible to construct a ``reference'' list of reliable spectral lines with reliable atomic data through the comparison of synthetic spectra with the solar observed spectrum, since the solar abundances are accurately known. In many cases, however, the solar spectrum cannot provide the required information, because the temperature of the target stars is significantly different from that of the sun. This problem can be overcome by adopting an analogous reference at a temperature reasonably close to the target temperature. The method involves a selection of a set of suitable reference stars for which very high quality spectra are available. Then an accurate determination of the stellar photospheric parameters and an accurate abundance analysis are performed with the largest possible number of spectral lines and the best possible atomic data. Finally, those spectral lines exhibiting the largest discrepancies from the model fit are identified, and their atomic data revised by assuming that the average abundance (inferred from the complete sample of spectral lines of that element) is the correct one. In this process it is important to take effects into account that can potentially play a significant role in all stellar atmospheres, such as variations in the model structure from non-solar abundances and non-LTE effects.
In this paper we address the problem of establishing references for effective temperatures around 10 000-13 000 K. This is in some respect the easiest temperature range to study, as well as one of the most interesting. This temperature is close to ideal because the spectra of stars in this interval are generally unaffected by severe blending. It is also relevant because stars in this temperature range display spectroscopic peculiarities (chemical abundance peculiarities, stratification, Zeeman effect, etc.) that reflect physical conditions and processes of interest for detailed investigation. A crucial prerequisite for studying and characterising these phenomena is the capacity to model the underlying stellar spectrum in detail, and this requires high quality atomic data.
The highest degree of accuracy in abundance analysis is reached for
sharp-lined stars. Unfortunately, these objects are quite rare among
A- and B-type stars, which are generally characterised by high
rotational velocities. Furthermore, most of the slowly rotating stars in
the chosen temperature region belong to various groups of magnetic and
non-magnetic, chemically peculiar objects. As a matter of fact, many
previous studies aimed at determining the chemical composition of
``normal'' early A- and late B-type stars were based on samples
``polluted'' by moderately chemically peculiar stars. For instance,
the work by Hempel & Holweger (2003) includes the sharp-lined HgMn star 53 Aur.
Hill & Landstreet (1993) searched for compositional differences among A-type
stars, but four out of six programme stars are in fact
classified as hot Am stars on the basis of the abundances of the heavy
elements Sr-Y-Zr-Ba, which are considered as diffusion indicators
(i.e., Sirius, o Peg, and Leo, see Hempel & Holweger 2003). The
complexity of the problem of distinguishing
between normal A and marginal Am stars is further stressed by
Adelman & Unsuree (2007). The aim of the present paper is to search for
sharp-lined early A- or late B-type stars with a chemical composition
as close as possible to the solar one. As a final outcome, one could
assess whether the chemical composition of the solar photosphere may be
considered at least in principle as a reference for the
composition of the early A- and late B-type stars. If such a star is
found, this will not imply that the solar composition is the most
characteristic for the slowly rotating A- and B-type stars, but will be
used as further evidence that any departure from the composition of
the solar photosphere has to be explained in terms of diffusion or
other physical mechanisms that are not active at the same efficiency
level in the solar photosphere.
Our work is based on a very detailed and accurate study of a vast sample of spectral lines. As a by-product, we provide a list of more than 1100 spectral lines from which we have assessed the accuracy of the corresponding atomic data. Such a list may serve as a future reference for further abundance analysis studies of stars with a similar spectral type.
This paper is organised as follows. Section 2 describes the target selection, observations and data reduction, Sect. 3 presents methods and results for the choice of the best fundamental parameters that describe the atmospheres of the programme stars, Sect. 4 presents the methods and results of the abundance analysis of the programme stars. Our results are finally discussed in Sect. 5.
2 Target selection, observations, and data reduction
For our analysis we need a late A-type or early B-type star with a sharp-line spectrum (hence the star must have a small



We felt it was necessary to consider additional targets of our spectral
analysis, for two main reasons. Since we intend to provide an accurate
reference for the typical abundances of the chemical elements in A-
and B-type stars (and compare these values with the solar ones), we
need to cross-check with further examples whether the results obtained
for 21 Peg are similar to those of other ``normal'', slow rotating
A-type stars. Second, to check the accuracy of the astrophysical measurements
of the log gf values, which is a natural complement of the present
work. Both these goals are best achieved
with the use of abundance values that have been obtained with a
homogeneous method, rather than from a mixed collection of data from
the literature. Therefore, we have also analysed another two stars of
similar temperature as 21 Peg, i.e., HD 145788 (HR 6041) and
Cet (HR 811). Both stars fulfill our requirements, although are
slightly less ideal than 21 Peg. HD 145788, suggested to us by Prof. Fekel,
is a slowly rotating single star with
(Fekel 2003).
Cet, a SB1 with
,
shows an infrared excess, and is
a suspected Herbig Ae/Be star (Malfait et al. 1998). Since its spectrum is not
visibly contaminated by the companion, it still serves our purpose.
Cet was also already used as a normal comparison star in the abundance
study of chemically peculiar stars by Smith & Dworetsky (1993).
The star 21 Peg was observed five times during two observing nights in August 2007, with the FIES instrument of the North Optical Telescope (NOT). FIES is a cross-dispersed high-resolution échelle spectrograph that offers a maximum spectral resolution of R = 65 000, covering the entire spectral range 3700-7400 Å.
Data were reduced using a pipeline developed by Lyashko, which is
based on the one described by Tsymbal et al. (2003). All bias and flat-field
images were median-averaged before calibration, and the scattered
light was subtracted by using a 2D background approximation. For
cleaning cosmic ray hits, an algorithm that compares the direct and
reversed observed spectral profiles was adopted. To determine the
boundaries of echelle orders, the code uses a special template for each
order position in each row across the dispersion axis. The shift of the
row spectra relative to the template was derived by a cross-correlation
technique. Wavelength calibration of each image was based on a single
ThAr exposure, recorded immediately after the respective stellar time
series, and calibrated by a 2D approximation of the dispersion
surface. An internal accuracy of 100 m s-1 was
achieved by using several hundred ThAr lines in every echelle order.
Each reduced spectrum has a SNR per pixel of about 300 at 5000 Å. All five spectra are fully consistent among themselves, which confirms that the star is not variable. This allowed us to combine all data in a unique spectrum with a final SNR of about 700.
Because of the very low
of 21 Peg, we made use of a very
high-resolution spectrum (R=120 000) obtained with the Gecko instrument
(now decommissioned) of the Canada-France-Hawaii Telescope
(CFHT, Landstreet 1998) to measure this parameter. The spectrum covers the
ranges 4612-4640 Å and 5160-5192 Å, which are too short to perform
a full spectral analysis, but sufficient to measure
with high accuracy.
According to Hubrig et al. (2006) the mean longitudinal magnetic field of
21 Peg is -144
60 G, which excludes the possibility that the star
has a structured magnetic field.
The spectrum of HD 145788 was obtained with the cross-dispersed
échelle spectrograph HARPS instrument attached at the 3.6-m ESO La
Silla telescope, with an exposure time of 120 s, and reduced with the
online pipeline.
The reduced spectrum has a resolution of 115 000, and a SNR per pixel of
about 200 at 5000 Å. The spectral range is 3780-6910 Å with a
gap between 5300 Å and 5330 Å, because one echelle order is lost in
the gap between the two chips of the CCD mosaic detector.
The star Cet was observed with the ESPaDOnS instrument of the CHFT
February, 20 and 21 2005. ESPaDOnS consists of a table-top,
cross-dispersed echelle spectrograph fed via a double optical fiber
directly from a Cassegrain-mounted polarisation analysis module. Both
Stokes I and V spectra were obtained throughout the spectral range
3700 to 10 400 Å at a resolution of about 65 000. The spectra
were reduced using the Libre-ESpRIT reduction package
Donati et al. (1997, and in prep.). The two spectra (each obtained
from the combination of four 120 s sub-exposures) were combined into a final
spectrum that has an SNR per pixel of about 1200 at 5000 Å.
The observation of Cet enters in the context of a large
spectropolarimetric survey of Herbig Ae/Be stars. Least-squares
deconvolution (LSD, Donati et al. 1997) was applied to the spectra of
Cet assuming a solar abundance line mask corresponding to an
effective temperature of 13 000 K. The resulting LSD profiles show a
clean, relatively sharp mean Stokes I profile, corresponding to
,
and no detection of any Stokes V signature
indicative of a photospheric magnetic
field. Integration of Stokes V across the line using Eq. (1) of
Wade et al. (2000) yields longitudinal magnetic fields consistent with zero
field and with formal 1
uncertainties of about 10 G. The
high-resolution spectropolarimetric measurements therefore provide no
evidence of magnetic fields in the photospheric layers of the star.
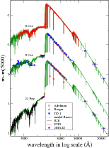
All the spectra of the three stars were normalised by fitting a spline
to carefully selected continuum points. For each object, radial
velocities
were determined by computing the median of the results
obtained by fitting synthetic line profiles of several individual
carefully selected lines into the observed spectrum. The
values are
listed in Table 1, and their uncertainty is of the order of
0.5
.
The spectra were then shifted to the wavelength rest
frame. Selected spectral windows containing the observed blue He I
lines, together with the synthetic profiles, are displayed in
Fig. 1.
![]() |
Figure 1:
Samples of the spectra of HD 145788, 21 Peg and |
Open with DEXTER |
Table 1: Adopted atmospheric parameters for the analysed stars.
3 Fundamental parameters
Fundamental parameters for the atmospheric models were obtained using photometric indicators as a first guess. For their refined estimate, we performed a spectroscopic analysis of hydrogen lines and metal lines, and as a final step, compared the observed and computed energy distributions. The spectroscopic tuning of the fundamental parameters is needed since different photometries and calibrations would give different parameters and uncertainties. The spectroscopic analysis will provide a set of parameters that fit all the parameter indicators consistently, with less uncertainties. Model atmospheres were calculated with LLMODELS, an LTE code that uses direct sampling of the line opacities (Shulyak et al. 2004) and allows computing models with an individualised abundance pattern. Atomic parameters of spectral lines used for model atmosphere calculations were extracted from the VALD database (Piskunov et al. 1995; Ryabchikova et al. 1999; Kupka et al. 1999).
Before applying the spectroscopic method, we estimated the star's
.
For 21 Peg, a
value of
was derived from the
fit with a synthetic spectrum to 21 carefully selected lines observed with
the Gecko instrument. This value agrees very well with the 3.9
value
derived by Landstreet (1998). Achieving such high precision was possible thanks
to the high quality of the spectrum and the low
.
The
values for HD 145788 and
Cet,
and
,
respectively, were derived from fitting about 20
well-selected lines along the whole available spectral region.
In the next sections, we describe the determination of the atmospheric
parameters:
,
effective gravity (
), and
microturbulent velocity (
), and their uncertainties.
The fundamental parameters finally adopted for 21 Peg,
HD 145788, and
Cet are given in Table 1.
3.1 Photometric indicators
Since none of the three programme stars, HD 145788, 21 Peg or
Cet are known to be photometrically variable or peculiar, we can
use temperature and gravity calibrations of different photometric
indices for normal stars to get a preliminary estimate of the
atmospheric parameters. The effective temperature (
)
and gravity
(
)
were derived from Strömgren photometry (Hauck & Mermilliod 1998) with
calibrations by Moon & Dworetsky (1985) and by Napiwotzki et al. (1993),
and from Geneva photometry (Rufener 1988) with the calibration by
North & Nicolet (1990).
The mean parameters from the three calibrations that were used as starting
models are the following ones:
= 9675
75 K,
= 3.72
0.03 for HD 145788;
=
K,
= 3.51 for 21 Peg;
= 13200
65 K
= 3.77
0.15 for
Cet. No error bar is given for the
of 21 Peg since all three calibrations give the same value.
3.2 Spectroscopic indicators
3.2.1 Hydrogen lines
For a fully consistent abundance analysis, the photometric parameters have to
be checked and eventually tuned according to spectroscopic indicators, such as
hydrogen line profiles. In the temperature range where HD 145788, 21 Peg, and
Cet lie, the hydrogen line wings are less sensitive to
than to
variations, but temperature effects can still be visible in the
part of the wings close to the line core. For this reason hydrogen lines are
very important not only for our analysis, but in general for every consistent
parameter determination. To spectroscopically derive the fundamental parameters
from hydrogen lines, we fitted synthetic line profiles, calculated with
SYNTH3 (Kochukhov 2007), to the observed profiles. SYNTH3 incorporates
the code by
Barklem et al. (2000)
that takes into account not only self-broadening but also Stark
broadening (see their Sect. 3). For the latter, the default mode of SYNTH3,
adopted in this work, uses an improved and extended HLINOP routine
(Kurucz 1993).
Figure 2 shows the comparison between the observed
H
line profile for 21 Peg and the synthetic profiles calculated with
the adopted stellar parameters. In Fig. 2 we also
added the synthetic line profiles calculated with 1
error bars on
(
200 K; upper profile) and
(
0.1 dex; lower
profile). The same profiles with the same uncertainties, but for H
,
H
,
and H
(from left to right) for the three programme stars, are
shown in Figs. 9, 8, and
10 (online material).
![]() |
Figure 2:
Observed H |
Open with DEXTER |
The three hydrogen lines (H,
H
,
and H
)
used to
spectroscopically improve the fundamental parameters for HD 145788 gave
slightly different results both for
and for
.
As final values, we
took their mean (
= 9750 K;
= 3.7). This discrepancy is
visible in Fig. 9 (online material), but it lies within
the errors given for
and
.
The spectrum of HD 145788 also allowed
a good normalisation of the region bluer than H
.
We synthesised this
region to check the quality of our final fundamental parameters finding
a very good fit for the three hydrogen lines H
,
H
,
and H8.
For 21 Peg we obtained the same temperature estimates from H
and
H
(
= 10 400 K) and by 200 K less from the fitting of H
.
We adopted a final
of 10 400 K. To fit all three hydrogen lines, we need
slightly different values of
:
3.47 for H
,
3.54 for
H
and 3.57 for H
.
We finally adopted
= 3.55
taking possible continuum normalisation problems into account, in particular,
for H
.
The temperature determination for Cet was more difficult thanks to the
weak effect that this parameter has on the hydrogen lines at about 13 000 K and
to the slightly peculiar shape of the H
line. As explained in
Sect. 5,
Cet probably shows a small emission signature
in the region around the core of H
possibly because of a
circumstellar disk. This region is the one where
effects are visible, making it almost impossible to obtain a good
temperature determination from this line. H
and H
gave best
temperatures of 12 700 K and 12 900 K, respectively, leading to a final adopted
value of 12 800 K. Confirmation of this value was then given by the
spectrophotometry (see Sect. 3.3). The results of LTE abundance
analysis (Sect. 4) show that
Cet has little He
overabundance that
leads to an overestimation of
if the He abundance is not taken into
account in the model atmosphere calculation (Auer et al. 1966). For this
reason we derived the first set of fundamental parameters (
= 12 800 K;
= 3.80) and then the He abundance
(
= -0.97 dex). As a next step we recalculated
a set of model atmospheres with the derived He abundance and re-fit the
hydrogen line profiles. The best-fit gave us the same temperature, but weak
effective gravity (
= 3.75). As expected, the He overabundance
is acting as pressure, requiring an adjustment of
to be balanced.
We obtained the He abundance from the fitting of the blue He line wings.
The blue He lines are, in general, considered as showing very little non-LTE
effect (Leone & Lanzafame 1998), and as we only used the line wings, this leads us to
conclude that our results should not be affected by non-LTE effects and that
the He is overabundant in
Cet. The best fit to the blue He I
lines of
Cet is shown in Fig. 1.
The example of Cet is important because it clearly shows the effect of
the single element abundance on the parameter determination, not only for
chemically peculiar stars (for which this effect is well known and often,
but not always, taken into account), but also for chemically ``normal'' stars.
The set of parameters that best fit the hydrogen line profiles could not
be unique. For 21 Peg, we checked that using a combination of a lower
temperature and lower gravity or else higher temperature and higher gravity
increases the standard deviation of the fit of the H
line wings by
25%. The result is that a different combination of
and
could in principle provide a similar fit. For this reason the
derived fundamental parameters should be checked with other indicators, such
as the analysis of metallic lines (ionisation and excitation equilibrium) and
the fitting of the spectral energy distribution. The latter is more
important because ionisation and excitation equilibrium should be strictly
used only with a full non-LTE treatment of the line formation.
3.2.2 Metallic lines
The metallic-line spectrum may also provide constraints on the atmospheric parameters. If no deviation from the local thermodynamic equilibrium (LTE) is expected, the minimisation of the correlation between individual line abundances and excitation potential, for a certain element/ion, allows one to check the determined





![]() |
Figure 3: Iron abundance vs. equivalent widths ( upper panel) and excitation potential ( lower panel) for 21 Peg. The open circles indicate Fe I, while the open triangles indicate Fe II. |
Open with DEXTER |
Figure 3 shows the correlations of Fe I and
Fe II abundances with the equivalent widths (upper panel) and with the
excitation potential (lower panel) for 21 Peg. The correlation with the
equivalent widths is shown for a
of 0.5
,
which we infer to be the
best value for 21 Peg, since the slope of the linear fit for Fe I is
mÅ-1 and for Fe II
is
mÅ-1. Here we gave a
preference to the result obtained from Fe II because of the higher
number of measured Fe II lines in a wider range of equivalent
widths. The same analysis was made for HD 145788 and for
Cet.
The error bar on
was calculated using the error bar of the slope
(abundance vs. equivalent width) derived from a set of different
.
The
uncertainties listed in Table 1 are given considering
2
on the error bar of the derived slopes. Considering a 1
error
bar, the uncertainties on
are of 0.1
for HD 145788 and 21 Peg and
of 0.2
for
Cet.
According to previous works, deviation from LTE of the Fe II
lines is expected to be very small
(0.02 dex Gigas 1986; Rentzsch-Holm 1996) for the analysed stars,
such that the absence of any clear correlation between the line Fe II
abundance and the excitation potential confirms the
derived from the
hydrogen lines.
For the Fe I lines, deviations from LTE of about +0.3 dex are given
by Gigas (1986) and Rentzsch-Holm (1996). However, both Gigas (1986)
and Rentzsch-Holm (1996), as well as Hempel & Holweger (2003), used the same model atom,
which includes 79 Fe I and 20 Fe II energy levels. We note that
the highest energy level in their model atom for Fe II has an excitation
energy of about 6 eV, while the ionisation potential is 16.17 eV. Such a
model atom does not provide collisional coupling of Fe II to
Fe III, which operates for the majority of iron atoms in line formation
layers below
.
Unfortunately, the existing NLTE
calculations for Fe are not accurate enough to be applied now to our
stars. Clearly, an extended energy-level model atom is needed for a reliable
non-LTE analysis of Fe. The ionisation equilibrium for different elements/ions
(or its violation) can be seen in Table 4 and is discussed in
Sect. 4.
3.3 Spectrophotometry
For a complete self-consistent analysis of any star, one should reproduce the observed spectral energy distribution with the adopted parameters for a model atmosphere. In the optical spectral region, spectrophotometry was only available for 21 Peg and



![[*]](/icons/foot_motif.png)
The optical spectrophotometry was taken from
Adelman et al. (1989) and Breger (1976). All flux measurements were
normalised to the flux value at 5000 Å obtained from observed data
for Cet and 21 Peg and from the model fluxes for HD 145788.
Also for 21 Peg and
Cet, we extended the comparison to the near infrared
region including 2MASS photometry (Cutri et al. 2003).
Following Netopil et al. (2008), we obtained a reddening
mag for both
Cet and 21 Peg. A good agreement
between the unreddened model fluxes and the observed spectrophotometry from
UV to near infrared confirms negligible reddening for these two stars.
![]() |
Figure 4:
Comparison between LLMODELS theoretical fluxes
calculated with the fundamental parameters and abundances derived for
21 Peg and |
Open with DEXTER |
The agreement between the IUE observation and the model fluxes is very good
for HD 145788, but the IUE data alone cannot be used as a check of
,
since a variation of about 1000-1500 K is needed to make any visible
discrepancy. At the
of HD 145788 hydrogen lines were still quite
sensitive to temperature variations, so we did not need accurate
spectrophotometry for a reliable effective temperature estimate.
The model fluxes of 21 Peg are in good agreement with the observations
from the ultraviolet up to the near infrared. For 21 Peg and Cet, few
data points in the red appear above the model fluxes. This often
happens with the optical spectrophotometry as shown in Fig. 1 of
Adelman et al. (2002). We do not have a definite explanation for this effect,
although taking a very accurate measurement of the reddening into account
could remove this inconsistency. As for the hydrogen lines, we
checked the fit of the spectral energy distribution to model fluxes
calculated with a combination of a lower temperature and lower gravity or
a higher temperature and higher gravity. In both cases the fit clearly becomes
worse mainly in the spectral region around the Balmer jump. This definitively
excludes the possibility that a combination of fundamental parameters, which
gives a worse but still reasonable fit to the hydrogen line profiles, should be
considered.
For Cet we obtained several spectrophotometric observations from
different sources. In particular, the data in the optical region around the
Balmer jump were conclusive for
determination, as mentioned already in
Sect. 3.2.1. The STIS spectrum shown in Fig. 4 is formed
by three separated spectra (UV, visible, IR) with about the same spectral
resolution. We noticed a small (but not negligible) vertical jump at the
overlapping wavelengths between the three spectra. For this reason we decided
to fit themseparately. This decision was based on an adjustment
performed at the level of the flux calibration (Maíz-Apellániz 2006,2005).
The use of an energy distribution plays a crucial role in adjusting the atmospheric parameters because it is independent of the photometric calibrations (different for each author), of the hydrogen line fitting (reduction and normalisation dependent), and of the ionisation equilibria approach (dependent on several effects such as the adopted atomic line data and non-LTE effects).
The uncertainties on
and
were derived from the hydrogen
line fitting. This way of deriving the error bars on the parameters also
includes the SNR of the observations. For all three stars, we
derived an error bar on the
of 200 K and 0.1 dex in
,
as also
shown in Figs. 8-10 (online material).
3.4 Comparison with previous determinations
Only one previous temperature determination for HD 145788 is
known. Glagolevskij (1994) determined a
of 9600 K from the reddening free
Q parameter (Johnson & Morgan 1953) and of 9100 K from the X parameter derived
from multicolour photometry. The
derived from the Q parameter agrees
with our estimation.
The star 21 Peg was analysed for abundances and atmospheric parameters several times in the past. The atmospheric parameters extracted from literature are collected in Table 2, together with the methods of their determination. The last column of Table 2 lists the methods adopted to derive the fundamental parameters for each author. SPh and JPh correspond to Strömgren and Johnson photometry respectively. ``Fe eq'' indicates the use of the Fe ionisation equilibrium, while H-fit the use of hydrogen line fitting. SED corresponds to the use of spectral energy distribution in the visible and/or UV region. All the values obtained from the literature are in excellent agreement with our adopted parameters. We would like to mention that only the oldest determination (Sadakane 1981) was obtained using all the possible parameter indicators, as done in this work.
Table 2: Atmospheric parameters of 21 Peg derived from other authors.
The spectroscopic literature for Cet is extremely vast and started in
the early 60s. We decided to compare the determinations of
and
from the late 70s on. These data and our determination are
presented in Table 3. Our value for
is the only
one below 13 000 K, while
agrees with all the other measurements.
Adelman et al. (2002) also derived the parameters of
Cet with the
simultaneous fitting of H
and spectrophotometry, essentially the same
way as we did. The main difference is that they only used one available
spectrophotometric set, while we used all the data found in the literature. The
spectrophotometry by Breger (1976) appears a little below the one by
Adelman et al. (1989) around the Balmer jump. To be able to simultaneously fit
both sets of measurements, we needed a
lower than 13 000 K and the best
fit was obtained for
= 12 800 K. Also our H
profile is
best-fitted only with a
below 13 000 K, as already mentioned in
Sect. 3.2.1.
Table 3:
Atmospheric parameters of Cet derived from other authors.
4 Abundance analysis
The VALD database is the main source for the atomic parameters of spectral lines. For light elements C, N, O, Ne I, Mg I, Si II, Si III, S, Ar, and also for Fe III, the oscillator strengths are taken from NIST online database (Ralchenko et al. 2008). LTE abundance analysis in the atmospheres of all three stars is based mainly on the equivalent widths analysed with the improved version of WIDTH9 code updated to use the VALD output linelists and kindly provided to us by Tsymbal.
In the case of blended lines or when the line is situated in the
wings of the hydrogen lines, we performed synthetic spectrum calculations
with the SYNTH3 code. For our analysis we used the maximum number of
spectral lines available in the observed wavelength ranges except
lines in spectral regions where the continuum normalisation was too
uncertain (high orders of the Paschen series in the
ESPaDOnS spectrum of Cet, for example). The final abundances are given in
Table 4. A line-by-line abundance list with the equivalent
width measurements, adopted oscillator strengths, and their sources is given
in Table 9 (online material). Below we discuss the results
obtained for individual elements.
Table 4: LTE atmospheric abundances in programme stars with the error estimates based on the internal scattering from the number of analysed lines, n.
4.1 Results for individual elements
4.1.1 Helium
Stark broadening of helium lines was treated using the Barnard et al. (1974) broadening theory and tables. For allowed isolated lines we used width and shift functions from Table 1 of this paper, while an interpolation of the calculated line profiles given in Tables 2-8 was employed for
The quality of the fit to the observed He I lines in the programme
stars is demonstrated in Fig. 1, while the fit to
He I 4472 Å line is shown in Fig. 12 for
different temperatures in 21 Peg (online material).
The helium abundance in HD 145788 and in 21 Peg is solar, while it is slightly
overabundant in Cet. Our analysis was applied to the He I lines
at wavelengths shorter than 5000 Å, which should be influenced very little
by non-LTE effects, except, maybe, in the case of
Cet where LTE
synthetic profiles fit the line wings but not the line cores. Non-LTE
calculations for He I lines in the spectrum of
Ori
(
= 13 000 K,
= 2.0) show that negative non-LTE corrections of about
0.1-0.2 dex should even be applied to blue lines (Takeda 1994). It is unclear
what corrections are expected for main sequence stars of the same
,
therefore non-LTE calculations for at least
Cet are necessary for deriving
He abundance with proper accuracy. Our high-quality observations of
Cet will serve perfectly for a thorough non-LTE study of He I
lines in middle B-type stars.
4.1.2 CNO
The carbon abundance as derived from C II lines is solar for all three stars. It is also very close to the cosmic abundance standard recently determined by Przybilla et al. (2008) from the analysis of nearby early B-type stars and discussed in their paper. The ionisation equilibrium between C I and C II deserves some short comment.
Przybilla et al. (2001a) calculated non-LTE corrections for C I and
C II for Vega model atmosphere (
= 9550 K,
= 3.95). They
found these corrections to be negligible. Rentzsch-Holm (1996)
made a non-LTE analysis of C II in A-type stars also obtaining very small
(less than 0.05 dex) negative corrections at effective temperatures around
10 000 K. Because the ionisation equilibrium between C I/C II is
fulfilled for HD 145788, we assume that non-LTE corrections are also negligible
for this star.
Instead, at higher
values, the abundances obtained from C I
lines having the lower level 3s1P
(
4932, 5052, 5380, 8335, 9406 Å) are significantly lower
than those obtained from the other C I lines. In the case of 21 Peg,
abundances of C I and C II only agree if
we neglect the abundances obtained from
4932, 5052, 5380
lines. In the spectrum of the hottest star of our sample,
Cet, the
situation is even more extreme.
4932, 5052, 5380
C I lines are not visible at all, while
8335,
9406 Å lines appear in emission. The C I lines at
7111-7120 Å are rather shallow, we can only
determine an upper limit for the abundance:
=
-4.0. Like Roby & Lambert (1990) we also obtain a C I/C II imbalance
in
Cet. Non-LTE calculations by Rentzsch-Holm (1996) seem to
explain the unusual behaviour of C I
4932, 5052, 5380
lines in stars hotter than
Cet because the abundance corrections become
positive and grow with the effective temperature.
Nitrogen abundance is obtained for the two hottest stars of our programme
from the lines of the neutral and singly-ionised nitrogen. While in 21 Peg we
get the evidence for ionisation equilibrium, in Cet N II lines
give higher abundance by 0.3 dex. In both stars, LTE nitrogen abundance
exceeds the solar one. For
Cet, Roby & Lambert (1990) derived an approximately
solar nitrogen abundance from N I lines located between two Paschen
lines. We use these lines, too, and the higher nitrogen abundance derived
by us is caused by the larger equivalent widths, and not by the difference
in the adopted effective temperature. From the non-LTE calculations performed by
(Przybilla & Butler 2001), we may expect -0.3 abundance corrections for the lines of
N I that bring nitrogen abundance in both stars to the solar value.
It is difficult to estimate corrections for N II lines. Evidently,
non-LTE analysis of both C I/C II and N I/N II
line formation is necessary.
Oxygen abundance was derived from the lines of neutral oxygen in HD 145788
and in 21 Peg, while the lines of neutral and singly-ionised oxygen were
used in Cet. Although there are plenty of O I lines in the red
region, our analysis was limited by the lines with
6500 Å,
which are not influenced by non-LTE effects or very little so (Przybilla et al. 2000).
Even for
6155-8 Å, lines the abundance corrections are
less than 0.1 dex in main sequence stars. Within the errors of our abundance
analysis, 21 Peg has nearly solar oxygen abundance. Moreover, it agrees
perfectly with the cosmic abundance standard derived by Przybilla et al. (2008). In
HD 145788 and
Cet, oxygen seems to be slightly overabundant with values
falling in the solar photospheric range defined by Grevesse et al. (1996) and
Asplund et al. (2005). For
Cet our oxygen abundance agrees perfectly
with that obtained by Roby & Lambert (1990).
4.1.3 Neon and argon
The abundance of these noble gases in stellar atmospheres attracts special attention because they cannot be obtained directly in the solar atmosphere. These gases are volatile, and meteoritic studies also cannot provide the actual abundance in the solar system. The revision of the solar abundances by Asplund et al. (2005) that results in a 0.2-0.3 dex decrease in CNO abundances, so those of other elements produced significant inconsistency between the predictions of the solar model and the helioseismology measurements. One of the ways to bring both data into agreement is to increase Ne abundance. Solar model calculations by Bahcall et al. (2005) show that A(Ne) = 8.29
Cuhna et al. (2006) performed non-LTE analysis of neon line formation in the
young B-type stars of the Orion association and derived an average
A(Ne) = 8.11
0.05 (
)
from 11
stars. Hempel & Holweger (2003) derived the Ne abundance in a sample of optically
bright, early B-type main sequence stars, obtaining an average non-LTE Ne
abundance of
.
Przybilla et al. (2008)
obtained non-LTE Ne abundances in a sample of six nearby main sequence early
B-type stars. They derived a Ne abundance of A(Ne) = 8.08
0.03
(
). All these values agree very
well with A(Ne) = 8.08
0.10 obtained from analysing the emission
registered during low-altitude impulsive flare (Feldman & Widing 1990), but are
0.3 dex higher than adopted by Asplund et al. (2005). Finally, Ne I and
Ne II non-LTE analysis in 18 nearby early B-type stars (Morel & Butler 2008)
results in A(Ne) = 7.97
0.07. All determinations in B-type stars agree
within the quoted errors and provide the reliable estimate of neon abundance
in the local interstellar medium, which is higher than the newly proposed solar
neon abundance.
Recently, Lanz et al. (2008) have studied the Ar abundance in the same set of
young B-type stars of the Orion association and derived an average
A(Ar) = 6.66
0.06 (
), which again
agrees with the value A(Ar) = 6.57
0.12 obtained by Feldman & Widing (1990),
but is
0.4 dex higher than recommended by Asplund et al. (2005). While non-LTE
effects on Ne I lines are known to be strong
(see Sigut 1999),
those on Ar II lines are weak,
0.03 dex (Lanz et al. 2008).
We measured Ne I lines in the spectra of 21 Peg and Cet and
Ar I/Ar II in
Cet only. As expected, averaged LTE neon
abundances in both stars are higher than the solar one and than that derived
by Hempel & Holweger (2003), Cuhna et al. (2006), Morel & Butler (2008), or Przybilla et al. (2008) for
B-type stars. However, applying non-LTE corrections, calculated by
Dworetsky & Budaj (2000) for the strongest Ne I 6402 Å line to
our LTE abundances derived from this line in both stars we get
and -3.86 for 21 Peg and
Cet,
respectively, which brings Ne abundance in both stars into rather good
agreement with the results obtained for early B-type stars. Rough estimates of
possible non-LTE corrections in
Cet for Ne I 6402 and 6506 Å
lines, for which LTE and non-LTE equivalent widths versus effective temperature
are plotted by Sigut (1999), give us
dex
for each line, and it agrees with the correction -0.36 calculated by
Dworetsky & Budaj (2000) for Ne I 6402 line. The star
Cet is a young
star and thus adds reliable current data on the Ne abundance, taking
a large number of high-quality line profiles and secure model atmosphere
parameters into account.
We derived argon abundance
in
Cet from 5 weak but accurately measured Ar II lines. Within
error bars this value agrees with the results by Lanz et al. (2008) for B-type
stars in the Orion association. We also managed to measure the two strongest
Ar I lines at 8103 and 8115 Å. They each give an Ar abundance that
is too high. The 8115 Å line is blended with a Mg II line, and
taking this blend into account we get
,
while the 8103 Å line is too strong for its transition probability.
Moreover, both lines are located in the region contaminated by weak
telluric lines, therefore the extracted abundances may be uncertain.
4.1.4 Na, Mg, Al, Si, P, S, Cl
In both 21 Peg and Cet, Na abundances are derived from lines
affected by non-LTE(Takeda 2008), therefore it is not surprising that
their measured values are different from the solar ones.
In all three stars we obtained a slight Mg I/Mg II
imbalance. For 21 Peg and Cet, the abundance derived from
Mg II lines is close to solar. The abundance derived
from the weaker Mg I lines is consistent to the one obtained from
Mg II, hence solar. We conclude that, for these two stars,
Mg abundance is consistent with the solar one and that discrepancies
observed in the strong Mg I lines come from non-LTE effects.
Magnesium is slightly overabundant in HD 145788, but all the Mg I lines
are affected by non-LTE effects. The sign and the magnitude of its effect
depends on both
and
(Przybilla et al. 2001b), which prevents us
from obtaining any firm conclusion, until detailed non-LTE calculations
for Mg I for early A- and middle B-type main sequence stars
are carried out.
Aluminum is above solar in HD 145788 and have nearly solar abundances
in the two other stars as derived from Al II lines. Al I
lines in all stars and Al III lines in Cet provide some
discordant results. It is not possible to discuss the ionisation
equilibrium without a non-LTE analysis of the line formation of all three ions.
Accurate silicon abundance determination in stars and the interstellar medium
is an important part of abundance studies and intercomparisons because Si
is a reference element for meteoritic abundances. Silicon is slightly above
solar in HD 145788, and close to solar in 21 Peg and in
Cet, if we consider the results obtained from the numerous Si II
lines. The spectral synthesis in the region of the only
Si I 3905 Å line observed in all three stars provides much
lower Si abundance, and the abundance difference between Si I and
Si II is practically independent of
.
A non-LTE analysis of Si
line formation in the Sun and in Vega (Wedemeyer 2001) shows that positive non-LTE
corrections are expected for Si I 3905 Å line, while small negative
corrections may be expected for Si II lines, thus leading both ions
into the equilibrium. Our Si analysis is based on the very accurate
transition probability for Si I 3905 Å line (O'Brian & Lawler 1991) and on
a combination of transition probabilities extracted from a recent NIST
compilation (Kelleher & Podobedova 2008) and theoretical calculations by Artru et al. (1981)
for Si II lines. The NIST compilation does not contain data
for about a quarter of the lines observed in our stars for which rather
concordant data exist. Table 8 (online material) gives a
collection of the experimental, as well as theoretical, atomic parameters
for Si II lines that may be useful in a future non-LTE analysis. The
dispersion in the measurements is of the order of the cited accuracies, and
theoretical calculations agree rather well with the experimentally measured
transition probabilities and Stark widths.
Phosphorus is overabundant relative to the solar abundance by 0.3 dex in
both hotter stars, 21 Peg and in Cet. Oscillator strengths for
P II lines (taken from VALD) originally come from
calculations by Hibbert (1988). Therefore, at least part of the
observed overabundance may be caused by uncertainties in calculated
transition probabilities. No non-LTE analysis is available for the
phosphorus line formation. At the limit of detection, we managed to measure
the two strongest Cl II lines (at 4794, 4810 Å) in
Cet. The
obtained upper limit on the chlorine abundance is 0.4 dex lower than the
recommended solar value (Asplund et al. 2005). Sulphur is overabundant by 0.5 dex
in HD 145788 and almost solar in the two other stars.
4.1.5 Ca and Sc
These two elements are of special interest in A-type star studies, as
their non-solar abundances indicate of a star's classification as
a metallic-line (Am) star. In hot Am stars with
close to
HD 145788, both elements, in particular scandium, are
underabundant by 0.4-0.5 dex, while other Fe-peak elements are
overabundant by
0.2-0.3 dex
(see for instance o Peg, which is a typical representative of the hot Am stars, Adelman 1988).
Calcium and scandium are overabundant in HD 145788, but underabundant
in 21 Peg by 0.2 dex and 0.4 dex, respectively. Formal Ca-Sc
classification criteria of Am stars would make 21 Peg the hottest known
Am star. However, classical Am stars are also characterised by
overabundances of 0.2-0.3 dex for other Fe-peak elements, and even
more remarkable overabundances of Sr, Y, and Zr (Fossati et al. 2007). All
these peculiarities are not observed in 21 Peg, which therefore cannot
be classified as Am. The star
Cet has solar Ca abundance and the same Sc
deficiency as 21 Peg.
At the
of 21 Peg non-LTE corrections for both Ca I and
Ca II, lines are expected to be positive (Mashonkina, private
communication). In other words, the Ca abundance obtained from LTE
calculations is, perhaps, underestimated, which may explain the observed
discrepancies with respect to the solar case. Detailed non-LTE analysis
of the formation of Ca lines is required for accurate abundances.
Including hyperfine splitting (hfs) does not change abundance results
because hfs-effects are negligible for the investigated Sc II
lines (see Kurucz' hfs calculations). Scandium deficiency requires more careful non-LTE analysis, because it is observed not only in
classical Am stars, but also in other stars, for example, in the A-type
supergiant Deneb (Schiller & Przybilla 2008), which have solar abundances of the other
Fe-peak elements.
4.1.6 Ti, V, Mn, Co, Ni
Within the error limits, all these elements are almost solar in
21 Peg. The same is true for Cet, except for Ti, which is
slightly underabundant. The Ti abundance determinations are
based on the accurate laboratory transition probabilities (Pickering et al. 2001)
currently included in VALD. The non-LTE corrections are expected to be
positive (Schiller & Przybilla 2008), leading to abundance values closer to the solar one.
The situation is a bit different in the atmosphere of HD 145788, where all these elements exhibit 0.2-0.4 dex overabundance relative to the solar photospheric abundances. (This would indicate that the star is Am, but since Ca and Sc are not underabundant, the star cannot be classified as Am). Still in HD 145788, for Mn, Ni, Cr, and Fe, the lines of the first ions provide slightly higher abundance than the lines of the neutrals, while no significant difference in ionisation equilibrium is observed in the two other stars. The Mn lines are known to have rather large hfs. We checked the influence of hfs on the derived Mn abundances for HD 145788 where we measured the largest equivalent widths. Data on hfs for Mn were taken from Blackwell-Whitehead et al. (2005) (Mn I) and from Holt et al. (1999) (Mn II). We found that this effect is weak, and does not exceed 0.05 dex even for the lines with the largest hfs.
4.1.7 Cr
Although based only on a few lines, abundances derived from Cr I lines are accurate because the recommended atomic parameters of these transitions (Martin et al. 1988) currently included in VALD are supported by recent precise laboratory measurements (Sobeck et al. 2007).
For Cr II, laboratory measurements are only available for the
low-lying lines with
eV. Few measured lines in
HD 148788 and in
Cet, and about one third of Cr II lines
in 21 Peg, originated in levels with higher excitation
potential. For these lines, only theoretical calculations are
available. In several publications, favour was given to the transition
probability calculations performed with the orthogonal operator
technique (RU: Raassen & Uylings 1998), which are collected in the RU
database
for the Cr II,
Fe II, and Co II ions. All these data are included in the
current version of VALD. A comparison between RU calculations and the
most recent laboratory analysis of 119 lines of Cr II
in 2055-4850 Å spectral region (Nilsson et al. 2006) shows that both sets
agree within 10% on the absolute scale with a dispersion of 0.13 dex.
In the optical spectral region, Nilsson et al. (2006) measures only 7
lines (in 4550-4850 Å region). To provide a consistent analysis,
we decided to use RU data for all lines of Cr II in our work.
Ionisation equilibrium was found for 21 Peg, while a slight imbalance
was found between Cr I and Cr II in HD 145788. In
the spectrum of
Cet no Cr I lines are present.
We found that Cr is overabundant in HD 145778 by 0.4 dex (as average
between the Cr I and Cr II abundances), slightly overabundant
in 21 Peg (by 0.15 dex), while it has solar abundance in Cet.
4.1.8 Fe
In 21 Peg and in Cet, iron abundance is practically solar. In
particular, the same Fe abundance is derived from Fe lines in three
ionisation stage for
Cet. No obvious ion imbalance was detected.
Iron is a crucial element for adjusting microturbulence, metallicity, and
model atmosphere parameters. It has the most spectral
lines in the first three ionisation stages with relatively accurate
atomic data that can be observed in the optical spectra of early A- and
middle B-type stars. Numerous Fe II lines in the range of
excitation energy 2.5-11.3 eV are seen in the spectrum of 21 Peg. In
the 4000-8000 Å spectral region, laboratory measurements are
available for 66 Fe II lines with
eV
(Ryabchikova et al. 1999). We measured 406 Fe II lines in the 21 Peg spectrum,
and more than 200 lines have excitation potential
>10 eV. In
Cet, 98 out of 186 measured Fe II lines
have excitation potential >10 eV. For all these high-excitation
lines, atomic parameters are available only through
theoretical calculations. As for Cr II lines, we checked the
RU database. For 66 lines for which laboratory transition
probabilities are measured, a comparison with the RU data results in
log gf(lab data) - log gf(RU data) =
dex. This means that
using the Fe II lines of the homogeneous set of transition
probabilities obtained from theoretical calculations and available in
the RU database, we may over or underestimate the corresponding
abundances by no more than 0.1 dex. Only calculated transition
probabilities are available for Fe III lines.
For a comparison of the accuracy of Fe II lines atomic
parameters, we obtained three sets of abundance determinations
for 21 Peg: one based on laboratory data included in VALD, one based on
the recent NIST compilation (Ralchenko et al. 2008), and
one based on RU data. The results are (i) from laboratory VALD data:
(51 lines); (ii) from NIST
data:
(68 lines); (iii) from
the same set of RU data:
(51 lines). Few strong high-excitation Fe II lines are included in the
NIST compilation. These results justify the use of RU calculations for
accurate iron abundance analysis, when laboratory measurements are not
available.
High accuracy of spectral data, together with very low
,
and fairly
well-established atmospheric parameters, makes 21 Peg a
perfect object for an Fe II study. We could measure practically
all unclassified lines with intensity 1 and higher given in the
list of laboratory measurements (Johansson 1978). These lines
belong to the transitions with very high excitation
potentials. Accurate position and intensity measurements in stellar
spectra may help in further studies of the Fe II spectrum and term
system.
Discussion of the possible non-LTE effects on Fe I and
Fe II lines was given at the end of Sect. 3.2.2.
LTE iron abundances in 21 Peg and in Cet agree well with the cosmic
abundance standard (see Przybilla et al. 2008).
4.1.9 Sr, Y, Zr
These elements are overabundant in HD 145788 and have solar abundances in
21 Peg and Cet. For the Zr analysis we used the most recent
experimental transition probabilities from Ljung et al. (2006).
4.1.10 Ba and Nd
Barium is overabundant in HD 145788 and in 21 Peg. No lines of elements heavier
than zirconium are identified in our hottest programme star Cet.
While barium overabundance, together with strontium-yttrium-zirconium
overabundances in HD 145788, favours its classification as a hot Am star,
barium overabundance in 21 Peg, which otherwise has near solar abundances of
practically all other elements, is unexpected. Non-LTE corrections to barium
abundance, if any, should be positive (L. Mashonkina, private communication).
Gigas (1988) derived for Vega non-LTE corrections for the two barium lines
(
4554, 4934 Å) measured in this work as well. They
obtained a positive correction of about 0.3 dex for both lines. The non-LTE
corrections that should be applied to the barium abundance obtained in
HD 145788 and in 21 Peg make the problem of the barium overabundance even
more puzzling. Practically in all the abundance studies of normal A-type stars
Ba was found to be overabundant (Lemke 1990; Hill & Landstreet 1993).
We measured three weak features at the position of the strongest Nd III lines (Ryabchikova et al. 2006) that result in slight Nd overabundance in 21 Peg. While Nd overabundance may still be attributed to the uncertainties on the absolute scale for calculated transition probabilities or non-LTE effects, which are expected to be negative (Mashonkina et al. 2005), it is not the case for Ba where the atomic parameters of the lines using in our analysis are accurately known from laboratory studies.
4.2 Abundance uncertainties
The abundance uncertainties for each ion shown in Table 4 are
the standard deviation of the mean abundance obtained from the individual
line abundances.
Since our derivation of the abundances is mainly based on equivalent widths,
we first have to estimate equivalent width errors given a certain SNR and
.
With a two
error bar, we derived 1.2 mÅ for HD 145788,
0.2 mÅ for 21 Peg and 0.5 mÅ for
Cet. These values were derived
by assuming a triangular line with a depth (height of the triangulum) equal to
2
(SNR) and a width (base of the triangulum) equal to
.
The rather high uncertainty on the equivalent widths of HD 145788 is mainly
due to the low SNR of its spectrum. This shows the importance of a very high
SNR not only for fast rotating stars, but also for slowly rotating stars. This
uncertainty includes the uncertainty due to the continuum normalisation.
In Fig. 5 we plotted the error bars in abundance for a
given line as a function of equivalent widths, for all the three stars
analysed in this work. To derive the uncertainty in abundance due to the
error bar on equivalent widths measurement, we took a representative
Fe II line and derived the abundance of this line on the basis of
different values of equivalent widths ranging from 0.3 mÅ to 110 mÅ.
We then calculated the difference between the abundance obtained with the
equivalent width X and X+X, where
X is the error bar on the
equivalent widths measurement. As expected, HD 145788 is the star that shows
the largest error bar. For equivalent widths greater than 30 mÅ, the
abundance error tends asymptotically to zero. Table 9 also
shows that all the lines measured for this work are above the detection limit
given by the
and the SNR.
![]() |
Figure 5:
Error bar in abundance as a function of equivalent widths for HD 145788
(open circle), 21 Peg (open square), and |
Open with DEXTER |
The mean equivalent width measured in these three stars is about 20 mÅ for
HD 145788, 5 mÅ for 21 Peg, and 8 mÅ for Cet. These values
correspond to an error bar in abundance, because of the uncertainty on the
equivalent widths measurement and continuum normalisation of 0.04 dex for
HD 145788, and 0.03 dex for both 21 Peg and
Cet.
When we have enough measured lines, we assume that the internal scatter for each ion also takes the errors due to equivalent widths measurement and continuum normalisation into account.
Figure 6 shows the abundance scatter as a function of the number of measured lines for 21 Peg. For elements where non-LTE effects are supposed to be important and line-dependent, such as Al and S, the internal standard deviation is particularly high. The same is found for elements with lower accuracy in log gf values due to the complexity of the atomic levels, such as Si. For other elements with a large enough number of spectral lines, say n>10, it is reasonable to expect an internal error of 0.11 dex (see Fig. 6).
Considering the errors in oscillator strengths determination (see Table 9) given for the laboratory data, we may say that these errors are smaller for most elements than the internal scatter, so do not significantly influence the final results. The same is relevant for theoretical calculations. As already shown for Cr II and Fe II (Sect. 4.1.8), calculated and laboratory sets of oscillator strengths agree within 0.1 dex.
It should be noted that error due to the internal scatter is just a part of the total error bar on the abundance determination. To derive a more realistic abundance uncertainty we also have to take the error bar due to systematic uncertainties in the fundamental parameters into account.
![]() |
Figure 6: Standard deviation of the derived abundances as a function of the the number of lines (shown in logarithmic scale and for a number of lines greater than 2). For visualisation reasons we omitted the standard deviation given by Zr II. |
Open with DEXTER |




Table 5: Error sources for the abundances of the chemical elements of 21 Peg.
The main source of uncertainty is the error in the effective temperature
determination, while the variation due to
and, in particular, to
is almost negligible, although here we are considering an uncertainty on
of 2
.
The abundance variation due to an increase in
leads to a worse ionisation equilibrium for many elements for which the
equilibrium is reached at the adopted
,
such as Cr, Mn, Fe, and Ni.
We repeated the same analysis for Fe II for HD 145788 and
Cet.
The results are comparable with those obtained for 21 Peg. We also expect the
same effect for the other ions.
Assuming the different errors in the abundance determination are independent, we derived the final error bar using standard error propagation theory, given in column six of Table 5. When the abundance is given by a single line, we assumed an internal error of 0.11 dex. Using the propagation theory we considered the situation where the determination of each fundamental parameter is an independent process. The mean value of the LTE uncertainties given in column six of Table 5 is 0.16 dex.
Because of the high SNR of the observations, the low
and the non
peculiarity of the programme stars,
we can reasonably believe
that the errors in abundance determinations estimated in the present study
are the smallest ones that could be obtained with the current state of the
art of spectral LTE analysis for early-type stars. In the cases of stars with
higher than those considered in this work, the uncertainty on the
abundances increases. A higher rotational velocity would force the abundance
analysis to be based on strong and saturated lines that are more sensitive
to
variations than weak lines. For a more detailed discussion, see
Fossati et al. (2008).
![]() |
Figure 7:
LTE abundances relative to the Sun (Asplund et al. 2005) for HD 145788,
21 Peg, and |
Open with DEXTER |
4.3 Comparison with previous abundance determinations
Table 6 (online) collects all previous massive abundance determinations in the atmosphere of 21 Peg (Smith 1993,1994; Dworetsky & Budaj 2000; Smith & Dworetsky 1993; Sadakane 1981) in comparison with the results of the current analysis. We do not include works that only give abundances for a Cr and/or Fe.
The main advantage of our analysis over the previous ones is the wide wavelength coverage and the high quality of our spectra. It allows us to use many more spectral lines including very weak ones of the species not analysed before. Our analysis provides homogeneous abundance data for 38 ions of 26 chemical elements from He to Nd.
Reasonably good agreement exists between our abundances derived with the spectra in optical and IR spectral regions and those derived with the UV observations (Smith 1993,1994; Smith & Dworetsky 1993), supporting the correctness of the adopted model atmosphere.
Dworetsky & Budaj (2000) derived the LTE neon abundance and gave non-LTE abundance
corrections for the strongest Ne I 6402 line. If we apply
the non-LTE correction described in Sect. 4.1.3 to this line, we almost
get the same non-LTE abundance.
For Cet the number of abundance determinations in the literature is
particularly vast. As for 21 Peg we consider only those where abundances are
derived for large number of ions: Adelman (1991),
Smith & Dworetsky (1993), Smith (1993), Smith (1994), and Acke & Waelkens (2004),
except for neon abundance where we again included LTE and non-LTE results by
Dworetsky & Budaj (2000). For the comparison (see the online
Table 7) of the abundances obtained for
Cet, we also
show the adopted
because we believe that differences in this parameter
are responsible for the difference between our abundances and those of
Acke & Waelkens (2004). Again, we emphasise that the total number of ions (36) and
elements (22), as well as the number of lines per ion analysed in the present
work, is much higher than in any previous study. For Al, Si, Fe, we managed
to derive abundances from the lines of the element in three ionisation stages,
which provides a unique possibility to study non-LTE effects.
For the ions having several
lines (S II,
Ti II, Cr II and Fe II) we generally get a good agreement
among the different authors, in particular, for Fe II.
The lower abundances given by Acke & Waelkens (2004) are due
to the high
adopted.
The difference in He abundance between our work and that by Adelman (1991)
may be explained by the difference in
,
already discussed in
Sect. 3.4. Both LTE and non-LTE neon abundances agree rather well
with the results by Dworetsky & Budaj (2000) after applying the non-LTE corrections
given by these authors.
5 Discussion
In Fig. 7 we show the derived abundances normalised to solar values (Asplund et al. 2005). In the following, we discuss the stars of our sample individually.
5.1 HD 145788
HD 145788 shows a slight overabundance for almost all ions and typical Am abundance pattern for elements heavier than Ti. The overall overabundance and the Am abundance pattern could be explained if HD 145788 was formed in a region of the sky with a metallicity higher than the solar region. To be able to check the possible Am classification of HD 145788, we can compare the obtained abundance pattern with the typical one for Am stars in clusters having enhanced metallicity, e.g. the Praesepe open cluster with an overall metallicity of [Fe/H] = 0.14 dex (Chen et al. 2003). Fossati et al. (2007) give the abundance pattern of eight Am stars belonging to the Praesepe cluster. All these stars show clear Am signatures: underabundances of CNO and Sc, and overabundances of the elements heavier than Ti. In HD 145788 the underabundances of CNO and Sc are not visible. For this reason we believe that the star cannot be classified as a hot Am star and that the observed abundance pattern stems from the composition of the cloud where HD 145788 was formed.
Table 4 and Fig. 7 show that with the adopted
fundamental parameters of HD 145788 we get ionisation imbalance for the
Fe-peak elements. With a small adjustment of the parameters within the
error bars (
:
+100 K,
:
-0.05) it is possible to compensate for
this imbalance for the Fe-peak elements, but the ionisation balance becomes
worse for other elements such as C, Mg, and Ca. This is a clear sign that a
non-LTE analysis is needed for this object to understand whether the ionisation
violation stems from non-LTE effects or to some other physical effect.
Unfortunately we cannot be completely certain of the adopted parameters
because of the lack of spectrophotometric measurements.
5.2 21 Peg
The star 21 Peg shows solar abundances for almost all elements. At the temperature of 21 Peg, slowly rotating stars are usually hot Am, cool HgMn, or magnetic stars.
The possibility of classifying 21 Peg as an Am star (which is potentially suggested by the observed Sc underabundance) is excluded by the solar abundances of all the other mentioned indicators. As explained in Sect. 4.1.5, the non-LTE correction for Ca is expected to be positive, increasing the Ca abundance to the solar value, but detailed non-LTE analysis should be performed for a more accurate determination. Almost nothing is known about non-LTE effects for Sc at these temperatures, so that to understand whether the observed underabundance is real, a non-LTE analysis should be performed.
Caliskan & Adelman (1997), Adelman (1998), Adelman (1999), and Kocer et al. (2003)
have published abundances of several chemically normal, early-type stars. The
derived Sc abundance for stars with an effective temperature similar to that
of 21 Peg is almost always below the solar value, with nearly solar abundances
for other Fe-peak elements. We thus conclude that the observed abundances of
most elements but Ba in 21 Peg allow us to classify it as a normal early-type
rather than Am star. Solar Mn abundance and the absence of
Hg II 3984 Å line exclude any classification of 21 Peg as
an HgMn star.
5.3
Cet
The star Cet shows solar abundances for almost all elements. Only O, Ne,
Na and Ar are clearly overabundant. For Ne or Na this most probably comes from
non-LTE effects. For argon, the non-LTE effects are expected to be weak (see
Sect. 4.1.3). In other chemically normal, early-type stars the Ar
abundance appears to be above the solar one
(see Lanz et al. 2008; Adelman 1998; Fossati et al. 2007), leading to the conclusion that
indirect solar Ar abundance given by Asplund et al. (2005) is underestimated.
As for 21 Peg, the Sc underabundance of Cet is not an indication of a
possible Am peculiarity. The absence of magnetic field or of normal Mn
abundance, including no trace of any Hg signature in the spectrum exclude a
classification of the star as magnetic peculiar or non-magnetic HgMn object.
The star Cet is a known binary with a period of about 7.5 years
(Lacy et al. 1997) and is a Herbig AeBe star (Malfait et al. 1998). The Herbig
classification comes from a detected infrared excess at wavelengths longer
than 10
m. The two spectra obtained with ESPaDOnS show variability in the
line profiles, small emission-like features close to the core of H
,
and emission features at the position of C I
8335 and 9405 Å in the near infrared. The width of C I emission
lines are exactly the same as expected for absorption line in
Cet. The
pre-main-sequence status of this star, which is very likely responsible for
these emissions, might also explain the variability observed in the
spectral lines, as circumstellar absorption or emission coming from a
proto-planetary disk. The variation in the line profile within one day excludes
the possibility that the observed changes are caused by the companion.
Another explanation for the line variations comes from pulsation.
We performed a frequency analysis of the radial velocity measurements given
by Lacy et al. (1997) and the ones obtained from the two ESPaDOnS spectra.
Preliminary results show that two frequencies appear in the amplitude spectrum:
one corresponding to the orbital period and another one at
2.79 day-1. This frequency is consistent with the expected
pulsation periods for SPB stars with effective temperature of
Cet
(see Fig. 5 of Pamyatnykh 1999). In this way pulsation could explain the
line-profile variation, while the presence of a disk
around the star could explain the small emission visible in H
.
The
C I emission lines in the near infrared could be explained either
by the disk or by non-LTE effects (Nieva & Przybilla 2008).
Only future photometric observations and time-resolved spectroscopy and non-LTE analysis could lead to a better understanding of the star's status.
6 Conclusions: are solar abundances also a reference for early A- and late B-type stars?
One of the main goal of this work was to check whether the solar abundances can be taken as a reference for early-type stars. The same question has recently been discussed by Przybilla et al. (2008) who analysed a sample of early B-type stars in the solar neighbourhood to compare the obtained non-LTE abundances with the ones published by other authors for stars in the Orion nebula, various B-type stars, young F- and G-type stars, the interstellar medium, and the sun (Grevesse et al. 1996; Asplund et al. 2005), and to check the chemical homogeneity of the solar neighbourhood. They obtained an excellent agreement between the non-LTE abundances for He, C, N, Mg, Si, and Fe with the solar ones published by Asplund et al. (2005), while the oxygen abundance lies between the solar values obtained by Grevesse et al. (1996) and Asplund et al. (2005), and the Ne abundance is compatible with the one provided by Grevesse et al. (1996).
The optical spectra of early B-type stars cannot provide reliable data for
many other elements (Ca, Ti, Cr, Mn, Sr, Y, Zr), which are important for
comparative abundance studies of chemically peculiar stars. While early A-
and late B-type stars, investigated in the present paper, provide us
with the abundances of up to 26 elements, most of which are based on enough
spectral lines with accurately known atomic parameters.
Figure 7 shows almost solar abundances for many elements in both
21 Peg and Cet, while the observed abundance pattern in HD 145788
gives a hint that the star may have been formed in a region of the sky at
high metallicity.
In early-type stars it is possible to directly derive the He abundance, while
for the Sun it is only possible through astroseismological observations and
modelling. For this reason it is important to check that the He abundance is
comparable to the solar value in several chemically normal early-type stars.
In the analysed stars, several elements (He, C, Al, S, V, Cr, Mn, Fe, Ni, Sr,
Y, Zr) show abundances compatible with the revised solar data (Asplund et al. 2005),
and when discrepancies are present they could be explained by non-LTE effects
(N, Na, Mg, Si, Ca, Ti, Nd). For Ne and Ar the expected non-LTE corrections
would lead to abundances close to those derived for early B-type stars
(Lanz et al. 2008; Przybilla et al. 2008) or to the solar ones given by Grevesse et al. (1996)
instead of Asplund et al. (2005). Non-LTE corrections were never calculated and
should be determined for other elements that show differences with the
solar abundance (P, Cl, Sc, Co). We found actual discrepancies with the solar
abundance for oxygen in Cet and for Ba in 21 Peg. While the oxygen
problem may be solved by careful non-LTE analysis of all the available lines
including the red and IR ones, the Ba overabundance cannot be explained by
the current non-LTE results.
The abundances obtained in this work for this set of three early B-type stars
agree very well with the ones obtained by Przybilla et al. (2008) for all the elements.
The published abundances of Ba in chemically normal early-type stars (Caliskan & Adelman 1997; Adelman 1999; Kocer et al. 2003; Lemke 1990) show a definite trend towards a Ba overabundance. The non-LTE corrections for Ba should be positive, leading to an even greater discrepancy with the solar value, that probably does not represent early-type stars.
Non-LTE effects are studied mainly in solar-type stars, low-metallicity stars, and giants, and in stars hotter than early B-type, where the effects are expected to be strong. Very few analyses have been performed for normal early A- and late B-type stars (e.g. Vega), and our study claims the real need of such analyses for many elements before making a definite conclusion about the solar abundances as standards for early-type stars.
Acknowledgements
This work is based on observations collected at the Nordic Optical Telescope (NOT) as part of programme number 35-001 and at the ESO 3.6 m telescope at Cerro La Silla (Chile). Part of this work is based on observations made with the Nordic Optical Telescope, operated on the island of La Palma jointly by Denmark, Finland, Iceland, Norway and Sweden, in the Spanish Observatorio del Roque de los Muchachos of the Instituto de Astrofisica de Canarias. This work is also based on observations obtained at the Canada-France-Hawaii Telescope (CFHT), which is operated by the National Research Council of Canada, the Institut National des Sciences de l'Univers of the Centre National de la Rechereche Scientifique of France, and the University of Hawaii. This work is supported by the Austrian Science Foundation (FWF project P17890-N2 - LF, TR and OK), by the Russian Foundation for Basic research (grant 08-02-00469a - TR) and by the Presidium RAS Programme ``Origin and evolution of stars and galaxies'' (TR). G.A.W. acknowledges support from the Academic Research Programme (ARP) of the Department of National Defence (Canada). We thank D. Lyashko for having developed and provided the reduction pipeline for the FIES data, V. Tsymbal for providing us with an improved version of WIDTH9, and L. Mashonkina for providing some non-LTE estimates. We thank the anonymous referee for the constructive comments. We thank A. Ederoclite and L. Monaco for the spectrum of HD 145788, and M. Gruberbauer for the frequency analysis. T.R. and L.F. thank D. Shulyak for the fruitful help, support and discussion of model atmospheres and spectral energy distribution. This work made use of the MAST-IUE archive (http://archive.stsci.edu/iue/), of SAO/NASA ADS, SIMBAD, VIZIER and of the VOSpec tool (http://www.euro-vo.org/pub/fc/software.html) developed for the European Virtual Observatory. This publication makes use of data products from the Two Micron All Sky Survey, which is a joint project of the University of Massachusetts and the Infrared Processing and Analysis Center/California Institute of Technology, funded by the National Aeronautics and Space Administration and the National Science Foundation.
References
- Acke, B., & Waelkens, C. A&A, 2004, 427, 1009 (In the text)
- Adelman, S. J. 1984, A&AS, 55, 479 [NASA ADS]
- Adelman, S. J. 1988, MNRAS, 230, 671 [NASA ADS] (In the text)
- Adelman, S. J. 1991, MNRAS, 252, 116 [NASA ADS] (In the text)
- Adelman, S. J. 1998, MNRAS, 296, 856 [NASA ADS] [CrossRef] (In the text)
- Adelman, S. J. 1999, MNRAS, 310, 146 [NASA ADS] [CrossRef] (In the text)
- Adelman, S. J., & Pyper, D. M. 1983, ApJ, 266, 732 [NASA ADS] [CrossRef]
- Adelman, S. J., & Gulliver, A. F. 1990, ApJ, 348, 712 [NASA ADS] [CrossRef]
- Adelman, S. J., & Unsuree, N. 2007, Balt. Astron., 16, 183 [NASA ADS] (In the text)
- Adelman, S. J., Pyper, D. M., Shore, S. N., White, R. E., & Warren, Jr., W. H. 1989, A&AS, 81, 221 [NASA ADS] (In the text)
- Adelman, S. J., Pintado, O. I., Nieva, M. F., Rayle, K. E., & Sanders, Jr., S. E. 2002, A&A, 392, 1031 [NASA ADS] [CrossRef] [EDP Sciences] (In the text)
- Artru, M.-C., Jamar, C., Petrini, D., & Praderie, F. 1981, A&A, 96, 380 [NASA ADS] (In the text)
- Asplund, M., Grevesse, N., & Sauval, A. J. 2005, ASP Conf. Ser., 336, 25 [NASA ADS] (In the text)
- Auer, L. H., Mihalas, D., Aller, L. H., & Ross, J. E. 1966, ApJ, 145, 153 [NASA ADS] [CrossRef] (In the text)
- Bagnulo, S., Wade, G. A., Donati, J.-F., et al. 2001, A&A, 369, 889 [NASA ADS] [CrossRef] [EDP Sciences]
- Bahcall, J. N., Basu, S., & Serenelli, A. M. 2005, ApJ, 631, 1281 [NASA ADS] [CrossRef] (In the text)
- Barach, J. P. 1970, JQSRT, 10, 519 [NASA ADS]
- Bard, A., & Kock, M. 1994, A&A, 282, 1014 [NASA ADS]
- Bard, A., Kock, A., & Kock, M. 1991, A&A, 248, 315 [NASA ADS]
- Barklem, P. S., Piskunov, N., & O'Mara, B. J. 2000, A&A, 363, 1091 [NASA ADS] (In the text)
- Barnard A. J., Cooper J., & Smith E. W. 1974, JQSRT, 14, 1025 [NASA ADS] [CrossRef] (In the text)
- Bengston, R. D., & Miller, M. H. 1970, JOSA, 60, 1093 [NASA ADS] [CrossRef]
- Berry, H. G., Bromander, J., Curtis, L. J., & Buchta, R. 1971, Phys. Scr., 3, 125 [NASA ADS] [CrossRef]
- Biémont E., Grevesse N., Faires L. M., et al. 1989, A&A, 209, 391 [NASA ADS]
- Bizzarri, A., Huber, M. C. E., Noels, A., et al. 1993, A&A, 273, 707 [NASA ADS]
- Blackwell, D. E., Booth, A. J., Petford, A. D., & Laming, J. M. 1989, MNRAS, 236, 235 [NASA ADS]
- Blackwell-Whitehead, R. J., Pickering, J. C., & Pearse, O. 2005, ApJS, 157, 402 [NASA ADS] [CrossRef] (In the text)
- Blanco, F., Botho, B., & Campos, J. 1995, Phys. Scr., 52, 628 [NASA ADS] [CrossRef]
- Boesgaard, A. M., Heacox, W. D., Wolff, S. C., Borsenberger, J., & Praderie, F. 1982, ApJ, 259, 723 [NASA ADS] [CrossRef]
- Breger, M. 1976, ApJS, 32, 7 [NASA ADS] [CrossRef] (In the text)
- Caliskan, H., & Adelman, S. J. 1997, MNRAS, 288, 501 [NASA ADS] (In the text)
- Chen, L., Hou, J. L., & Wang, J. J. 2003, AJ, 125, 1397 [NASA ADS] [CrossRef] (In the text)
- Cunha, K., Hubeny, I., & Lanz, T. 2006, ApJ, 647, L143 [NASA ADS] [CrossRef] (In the text)
- Cutri, R. M., Skrutskie, M. F., van Dyk, S., et al., 2003, 2MASS All Sky Catalog of point sources, The IRSA 2MASS All-Sky Point Source Catalog, NASA/IPAC Infrared Science Archive (In the text)
- Donati, J.-F., Semel, M., Carter, B. D., Rees, D. E., & Collier Cameron, A. 1997, MNRAS, 291, 658 [NASA ADS] (In the text)
- Dworetsky, M. M., & Budaj, J. 2000, MNRAS, 318, 1264 [NASA ADS] [CrossRef] (In the text)
- Fekel, F. C. 2003, PASP, 115, 807 [NASA ADS] [CrossRef] (In the text)
- Feldman, U., & Widing, K. G. 1990, ApJ, 363, 292 [NASA ADS] [CrossRef] (In the text)
- Fossati, L., Bagnulo, S., Monier, R., et al. 2007, A&A, 476, 911 [NASA ADS] [CrossRef] [EDP Sciences] (In the text)
- Fossati, L., Bagnulo, S., Landstreet, J., et al. 2008, A&A, 483, 891 [NASA ADS] [CrossRef] [EDP Sciences] (In the text)
- Fuhr, J. R., Martin, G. A., & Wiese, W. L. 1988. J. Phys. Chem. Ref. Data, 17, Suppl. 4
- Gigas, D. 1986, A&A, 165, 170 [NASA ADS]
- Gigas, D. 1988, A&A, 192, 264 [NASA ADS] (In the text)
- Glagolevskij, Y. V. 1994, Bull. Special Astrophys. Obs., 38, 152 [NASA ADS] (In the text)
- Gregg, M. D., Silva, D., Rayner, J., et al. 2004, BAAS, The HST/STIS Next Generation Spectral Library, 36, 1496 (In the text)
- Grevesse, N., Noels, A., & Sauval, A. J. 1996, ASP Conf. Ser., 99, 117 [NASA ADS] (In the text)
- Hannaford, P., Lowe, R. M., Grevesse, N., Biemont, E., & Whaling, W. 1982, ApJ, 261, 736 [NASA ADS] [CrossRef]
- Hauck, B., & Mermilliod, M. 1998, A&AS, 129, 431 [NASA ADS] [CrossRef] [EDP Sciences] (In the text)
- Heacox, W. D. 1979, ApJS, 41, 675 [NASA ADS] [CrossRef]
- Hibbert, A. 1988, Phys. Scr., 38, 37 [NASA ADS] [CrossRef] (In the text)
- Hill, G. M., & Landstreet, J. D. 1993, A&A, 276, 142 [NASA ADS] (In the text)
- Hempel, M., & Holweger, H. 2003, A&A, 408, 1065 [NASA ADS] [CrossRef] [EDP Sciences] (In the text)
- Holt, R. A., Scholl, T. J., & Rosner, S. D. 1999, MNRAS, 306, 107 [NASA ADS] [CrossRef] (In the text)
- Hubrig, S., & Castelli, F. 2001, A&A, 375, 963 [NASA ADS] [CrossRef] [EDP Sciences]
- Hubrig, S., Yudin, R. V., Schöller, M., & Pogodin, M. A. 2006, A&A, 446, 1089 [NASA ADS] [CrossRef] [EDP Sciences] (In the text)
- Jamar, C., Macau-Hercot, D., Monfils, A., et al. 1976, Ultraviolet bright-star spectrophotometric catalogue, A compilation of absolute spectrophotometric data obtained with the Sky Survey Telescope (S2/68) on the European Astronomical Satellite TD-1 (In the text)
- Johansson, S. 1978, Phys. Scr., 18, 217 [NASA ADS] [CrossRef] (In the text)
- Johnson, H. L., & Morgan, W. W. 1953, ApJ, 117, 313 [NASA ADS] [CrossRef] (In the text)
- Kelleher, D. E., & Podobedova, L. I. 2008, J. Phys. Chem. Ref. Data, 37, No. 3, 1285 (In the text)
- Kling, R., & Griesmann, U. 2000, ApJ, 531, 1173 [NASA ADS] [CrossRef]
- Kling, R., Schnabel, R., & Griesmann, U. 2001, ApJS, 134, 173 [NASA ADS] [CrossRef]
- Kocer, D., Adelman, S. J., Caliskan, H., Gulliver, A. F., & Gokmen Tektunali, H. 2003, A&A, 406, 975 [NASA ADS] [CrossRef] [EDP Sciences] (In the text)
- Kochukhov, O. 2007, Spectrum synthesis for magnetic, chemically stratified stellar atmospheres, Physics of Magnetic Stars, 109, 118 (In the text)
- Kochukhov, O., Tsymbal, V., Ryabchikova, T., Makaganyk, V., & Bagnulo S. 2006, A&A, 460, 831 [NASA ADS] [CrossRef] [EDP Sciences]
- Kontizas, E., & Theodossiou, E. 1980, MNRAS, 192, 745 [NASA ADS]
- Kupka, F., Piskunov, N. E., Ryabchikova, T. A., Stempels, H. C., & Weiss, W. W. 1999, A&AS, 138, 119 [NASA ADS] [CrossRef] [EDP Sciences]
- Kurucz, R. L. 1993, SYNTHE spectrum synthesis programs and line data (In the text)
- Kurucz, R. L., & Peytremann, E. 1975, SAO Special Report, 362
- Kurucz, R. L. 1988, Trans. IAU, XXB, ed., M. McNally (Dordrecht: Kluwer), 168
- Lacy, C. H. S., Fekel, F. C., Mathieu, R. D., et al. 1997, AJ, 113, 1088 [NASA ADS] [CrossRef] (In the text)
- Landstreet, J. D. 1998, A&A, 338, 1041 [NASA ADS] (In the text)
- Lanz, T., Dimitrijevic, M. C., & Artru, M.-C. 1988, A&A, 192,249
- Lanz, T., Cunha, K., Holtzman J., & Hubeny, I. 2008, ApJ, 678, 1342 [NASA ADS] [CrossRef] (In the text)
- Lawler, J. E., & Dakin, J. T. 1989, JOSA B6, 1457
- Lemke, M. 1990, A&A, 225, 125 [NASA ADS]
- Leone, F., & Lanzafame, A. C. 1998, A&A, 330, 306 [NASA ADS] (In the text)
- Lilly, R. A. 1976, JOSA, 66, 971 [NASA ADS] [CrossRef]
- Ljung G., Nilsson H., Asplund M., & Johansson S. 2006, A&A, 456, 1181 [NASA ADS] [CrossRef] [EDP Sciences] (In the text)
- Maíz-Apellániz, J. 2005, PASP, 117, 615 [NASA ADS] [CrossRef]
- Maíz-Apellániz, J. 2006, AJ, 131, 1184 [NASA ADS] [CrossRef]
- Malagnini, M. L., Faraggiana, R., & Morossi, C. 1983, A&A, 128, 375 [NASA ADS]
- Malfait, K., Bogaert, E., & Waelkens, C. 1998, A&A, 331, 211 [NASA ADS] (In the text)
- Martin, G. A., Fuhr, J. R., & Wiese, W. L. 1988, J. Phys. Chem. Ref. Data, 17, Suppl. 3 (In the text)
- Mashonkina, L., Ryabchikova, T., & Ryabtsev, A. 2005, A&A, 441, 309 [NASA ADS] [CrossRef] [EDP Sciences] (In the text)
- Matheron, P., Escarguel, A., Redon, R., Lesage, A., & Richou, J. 2001, JQSRT, 69, 535 [NASA ADS]
- Megessier, C. 1988, A&AS, 72, 551 [NASA ADS]
- Miles, B. M., & Wiese, W. L. 1969, WSG Technical Note, 474
- Miller, M. H., Roig, R. A., & Bengston, R. D. 1971, Phys. Rev. A, 4, 1709 [NASA ADS] [CrossRef]
- Miller, M. H., Wilkerson, T. D., Roig, R. A., & Bengston, R. D. 1974, Phys. Rev. A, 9, 2312 [NASA ADS] [CrossRef]
- Moon, T. T., & Dworetsky, M. M. 1985, MNRAS, 217, 305 [NASA ADS] (In the text)
- Morel, T., & Butler, K. 2008, A&A, 487, 307 [NASA ADS] [CrossRef] [EDP Sciences] (In the text)
- Morossi, C., & Malagnini, M. L. 1985, A&AS, 60, 365 [NASA ADS]
- Napiwotzki, R., Schoenberner, D., & Wenske, V. 1993, A&A, 268, 653 [NASA ADS] (In the text)
- Netopil, M., Paunzen, E., Maitzen, H. M., North, P., & Hubrig, S. 2008, A&A, 491, 545 [NASA ADS] [CrossRef] [EDP Sciences] (In the text)
- Nicolet, B. 1978, A&AS, 34, 1 [NASA ADS] (In the text)
- Nieva, M. F., & Przybilla, N. 2008, A&A, 481, 199 [NASA ADS] [CrossRef] [EDP Sciences] (In the text)
- Nilsson, H., Ljung, G., Lundberg, H., & Nielsen, K. E. 2006, A&A, 445, 1165 [NASA ADS] [CrossRef] [EDP Sciences] (In the text)
- North, P., & Nicolet, B. 1990, A&A, 228, 78 [NASA ADS] (In the text)
- O'Brian, T. R., & Lawler, J. E. 1991, Phys. Rev. A, 44, 7134 [NASA ADS] [CrossRef] (In the text)
- O'Brian, T. R., Wickliffe, M. E., Lawler, J. E., Whaling, W., & Brault, J. W. 1991, JOSA B8, 1185
- Pamyatnykh, A. A. 1999, Acta Astronomica, 49, 119 [NASA ADS] (In the text)
- Pickering, J. C., Thorne, A. P., & Perez, R. 2001, ApJS, 132, 403 [NASA ADS] [CrossRef] (In the text)
- Piskunov, N. E., Kupka, F., Ryabchikova, T. A., Weiss, W. W., & Jeffery, C. S. 1995, A&AS, 112, 525 [NASA ADS]
- Przybilla, N., & Butler, K. 2001, A&A, 379, 955 [NASA ADS] [CrossRef] [EDP Sciences] (In the text)
- Przybilla, N., Butler, K., Becker, S. R., Kudritzki, R. P., & Venn, K. A. 2000, A&A, 359, 1085 [NASA ADS] (In the text)
- Przybilla, N., Butler, K., & Kudritzki, R. P. 2001a, A&A, 379, 936 [NASA ADS] [CrossRef] [EDP Sciences] (In the text)
- Przybilla, N., Butler, K., Becker, S. R., & Kudritzki, R. P. 2001b, A&A, 369, 1009 [NASA ADS] [CrossRef] [EDP Sciences] (In the text)
- Przybilla, N., Nieva, M.-F., & Butler, K. 2008, ApJ, 688, L103 [NASA ADS] [CrossRef] (In the text)
- Raassen, A. J. J., & Uylings, P. H. M. 1998, A&A, 340, 300 [NASA ADS] (In the text)
- Raassen, A. J. J., Pickering, J. C., & Uylings, P. H. M. 1998, A&AS, 130, 541 [NASA ADS] [CrossRef] [EDP Sciences]
- Ralchenko, Yu., Kramida, A. E., Reader, J., & NIST ASD Team, 2008, NIST Atomic Spectra Database, version 3.1.5, available: http://physics.nist.gov/asd3, NIST, Gaithersburg, MD (In the text)
- Rentzsch-Holm, I. 1996, A&A, 312, 966 [NASA ADS]
- Rentzsch-Holm, I. 1997, A&A, 317, 178 [NASA ADS]
- Roby, S. W., & Lambert, D. L. 1990, ApJS, 73, 67 [NASA ADS] [CrossRef] (In the text)
- Rufener, F. 1988, Catalogue of stars measured in the Geneva Observatory photometric system, 4, Sauverny: Observatoire de Geneve (In the text)
- Ryabchikova T. A., Hill, G. M., Landstreet J. D., Piskunov, N., & Sigut, T. A. A. 1994, MNRAS, 267, 697 [NASA ADS]
- Ryabchikova, T. A., Piskunov, N. E., Stempels, H. C., Kupka, F., & Weiss, W. W. 1999, Phis. Scr., T83, 162 [NASA ADS] [CrossRef]
- Ryabchikova, T. A., Wade, G. A., & LeBlanc. F. 2003, in Modelling of Stellar Atmospheres, Proc. 210th IAU Symp., ed. N. Piskunov, W. W. Weiss, D. F. Gray, 301
- Ryabchikova, T., Leone, F., & Kochukhov, O. 2005, A&A, 438, 973 [NASA ADS] [CrossRef] [EDP Sciences]
- Ryabchikova, T., Ryabtsev, A., Kochukhov, O., & Bagnulo, S. 2006, A&A, 456, 329 [NASA ADS] [CrossRef] [EDP Sciences] (In the text)
- Sadakane, K. 1981, PASP, 93, 587 [NASA ADS] [CrossRef] (In the text)
- Sadakane, K., Jugaku, J., & Takada-Hidai, M. 1988, ApJ, 325, 776 [NASA ADS] [CrossRef]
- Schiller, F., & Przybilla, N. 2008, A&A, 479, 849 [NASA ADS] [CrossRef] [EDP Sciences] (In the text)
- Schulz-Gulde, E. 1969, JQSRT, 9, 13 [NASA ADS]
- Schlegel, D. J., Finkbeiner, D. P., & Davis, M. 1998, ApJ, 500, 525 [NASA ADS] [CrossRef] (In the text)
- Seaton, M. J., Mihalas, D., & Pradhan, A. K. 1994, MNRAS, 266, 805 [NASA ADS]
- Shulyak, D., Tsymbal, V., Ryabchikova, T., Stütz, Ch., & Weiss, W. W. 2004, A&A, 428, 993 [NASA ADS] [CrossRef] [EDP Sciences] (In the text)
- Sigut, T. A. A. 1999, ApJ, 519, 303 [NASA ADS] [CrossRef]. (In the text)
- Singh, J., & Castelli, F. 1992, A&A, 253, 431 [NASA ADS]
- Smith, G. 1988, J. Phys. B., 21, 2827 [NASA ADS] [CrossRef]
- Smith, G., & Gallagher, A. 1966, Phys. Rev., 145, 26 [NASA ADS] [CrossRef]
- Smith, G., & O'Neil, J. A. 1975, A&A, 38, 1 [NASA ADS]
- Smith, G., & Raggett, D. St. J. 1981, J. Phys. B, 14, 4015 [NASA ADS] [CrossRef]
- Smith, K. C. 1993, A&A, 276, 393 [NASA ADS]
- Smith, K. C. 1994, A&A, 291, 521 [NASA ADS]
- Smith, K. C., & Dworetsky, M. M. 1993, A&A, 274, 335 [NASA ADS] (In the text)
- Smith, M. W., & Wiese, W. L. 1971, ApJS, 23, 103 [NASA ADS] [CrossRef]
- Sobeck, J. S., Lawler, J. E., & Sneden, C. 2007, ApJ, 667, 1267 [NASA ADS] [CrossRef] (In the text)
- Takeda, Y. 1994, PASJ, 46, 181 [NASA ADS] (In the text)
- Takeda, Y. 2008, MNRAS, 388, 913 [NASA ADS] [CrossRef] (In the text)
- Theodosiou, E. 1989, Phys. Rev. A, 39, 4880 [NASA ADS] [CrossRef]
- Theodossiou, E., & Danezis, E. 1991, A&AS, 183, 91
- Tsymbal, V., Lyashko, D., & Weiss, W. W. 2003, IAU Symp., 210, ed. N., Piskunov, W. W., Weiss, & D. F., Gray, 49 (In the text)
- Wade, G. A., Donati, J.-F., Landstreet, J. D., & Shorlin, S. L. S. 2000, MNRAS, 313, 823 [NASA ADS] [CrossRef] (In the text)
- Wade, G. A., Ryabchikova, T. A., Bagnulo, S., & Piskunov, N. 2001, in Magnetic Fields Across the Hertzsprung-Russell Diagram, ed. G. Mathys, S. K. Solanki, & D. T. Wickramasinghe, ASP Conf. Proc., 248, 373
- Wahlgren, G. M., & Hubrig, S. 2000, A&A, 362, L13 [NASA ADS]
- Warner, B. 1968a, MNRAS, 139, 115 [NASA ADS]
- Warner, B. 1968b, MNRAS, 140, 53 [NASA ADS]
- Wedemeyer, S. 2001, A&A, 373, 998 [NASA ADS] [CrossRef] [EDP Sciences] (In the text)
- Wickliffe M. E., & Lawler J. E. 1997a, ApJS, 110, 163 [NASA ADS] [CrossRef]
- Wiese, W. L., & Fuhr, J. R. 2007, J. Phys. Chem. Ref. Data, 36, 1287 [NASA ADS] [CrossRef]
- Wiese, W. L., Smith, M. W., & Glennon, B. M. 1966, NSRDS-WSG, 4
- Wiese, W. L., Smith, M. W., & Miles, B. M. 1969, NSRDS-WSG, 22
- Wilke, R. 2003, Ph.D. Thesis, Heinrich-Heine-Universität, Düsseldorf
- Yoon, J., Peterson, D. M., Zagarello, R. J., Armstrong, J. T., & Pauls, T. 2008, ApJ, 681, 570 [NASA ADS] [CrossRef]
Online Material
![]() |
Figure 8:
Same as Fig. 2, but also for H |
Open with DEXTER |
![]() |
Figure 9: Same as Fig. 8, but for HD 145788. |
Open with DEXTER |
![]() |
Figure 10:
Same as Fig. 8, but for |
Open with DEXTER |
![]() |
Figure 11:
Comparison between LLMODELS theoretical fluxes calculated with the
fundamental parameters and abundances derived for HD 145788, taking into
account a reddening of
E(B-V)=0.20 (full black line) and without taking
into account reddening (dashed black line), with IUE calibrated fluxes
(full blue line), Johnson UBV photometry (green squares), Geneva photometry (red
circles) and 2MASS photmetry (violet triangles). The model fluxes were
convolved to have approximately the same spectral resolution of the IUE fluxes
( R |
Open with DEXTER |
![]() |
Figure 12:
Comparison between the observed spectrum of the He I
line at
|
Open with DEXTER |
Table 6: Comparison of the derived abundances with previous determinations for 21 Peg.
Table 7:
Comparison of the derived abundances with previous dterminations for Cet.
Table 8: A collection of the experimental and theoretical transition probabilities and Stark widths for the observed Si II lines. Errors are given in parenthesis.
Footnotes
- ...
stars
- Figures 8-12 and Tables 6-8 are only available in electronic form at http://www.aanda.org
- ...
- Tables 9 is only available in electronic form at the CDS via anonymous ftp to cdsarc.u-strasbg.fr (130.79.128.5) or via http://cdsweb.u-strasbg.fr/cgi-bin/qcat?J/A+A/503/945
- ... pipeline
- http://www.ls.eso.org/lasilla/sciops/3p6/harps/software.html#pipe
- ...Barklem et al. (2000)
- http://www.astro.uu.se/~barklem/hlinop.html
- ...
photometry
- http://obswww.unige.ch/gcpd/ph13.html
- ... calculations
- http://cfaku5.cfa.harvard.edu/ATOMS
- ...
database
- ftp://ftp.wins.uva.nl/pub/orth
All Tables
Table 1: Adopted atmospheric parameters for the analysed stars.
Table 2: Atmospheric parameters of 21 Peg derived from other authors.
Table 3:
Atmospheric parameters of Cet derived from other authors.
Table 4: LTE atmospheric abundances in programme stars with the error estimates based on the internal scattering from the number of analysed lines, n.
Table 5: Error sources for the abundances of the chemical elements of 21 Peg.
Table 6: Comparison of the derived abundances with previous determinations for 21 Peg.
Table 7:
Comparison of the derived abundances with previous dterminations for Cet.
Table 8: A collection of the experimental and theoretical transition probabilities and Stark widths for the observed Si II lines. Errors are given in parenthesis.
All Figures
![]() |
Figure 1:
Samples of the spectra of HD 145788, 21 Peg and |
Open with DEXTER | |
In the text |
![]() |
Figure 2:
Observed H |
Open with DEXTER | |
In the text |
![]() |
Figure 3: Iron abundance vs. equivalent widths ( upper panel) and excitation potential ( lower panel) for 21 Peg. The open circles indicate Fe I, while the open triangles indicate Fe II. |
Open with DEXTER | |
In the text |
![]() |
Figure 4:
Comparison between LLMODELS theoretical fluxes
calculated with the fundamental parameters and abundances derived for
21 Peg and |
Open with DEXTER | |
In the text |
![]() |
Figure 5:
Error bar in abundance as a function of equivalent widths for HD 145788
(open circle), 21 Peg (open square), and |
Open with DEXTER | |
In the text |
![]() |
Figure 6: Standard deviation of the derived abundances as a function of the the number of lines (shown in logarithmic scale and for a number of lines greater than 2). For visualisation reasons we omitted the standard deviation given by Zr II. |
Open with DEXTER | |
In the text |
![]() |
Figure 7:
LTE abundances relative to the Sun (Asplund et al. 2005) for HD 145788,
21 Peg, and |
Open with DEXTER | |
In the text |
![]() |
Figure 8:
Same as Fig. 2, but also for H |
Open with DEXTER | |
In the text |
![]() |
Figure 9: Same as Fig. 8, but for HD 145788. |
Open with DEXTER | |
In the text |
![]() |
Figure 10:
Same as Fig. 8, but for |
Open with DEXTER | |
In the text |
![]() |
Figure 11:
Comparison between LLMODELS theoretical fluxes calculated with the
fundamental parameters and abundances derived for HD 145788, taking into
account a reddening of
E(B-V)=0.20 (full black line) and without taking
into account reddening (dashed black line), with IUE calibrated fluxes
(full blue line), Johnson UBV photometry (green squares), Geneva photometry (red
circles) and 2MASS photmetry (violet triangles). The model fluxes were
convolved to have approximately the same spectral resolution of the IUE fluxes
( R |
Open with DEXTER | |
In the text |
![]() |
Figure 12:
Comparison between the observed spectrum of the He I
line at
|
Open with DEXTER | |
In the text |
Copyright ESO 2009
Current usage metrics show cumulative count of Article Views (full-text article views including HTML views, PDF and ePub downloads, according to the available data) and Abstracts Views on Vision4Press platform.
Data correspond to usage on the plateform after 2015. The current usage metrics is available 48-96 hours after online publication and is updated daily on week days.
Initial download of the metrics may take a while.