Issue |
A&A
Volume 503, Number 3, September I 2009
|
|
---|---|---|
Page(s) | 771 - 781 | |
Section | Extragalactic astronomy | |
DOI | https://doi.org/10.1051/0004-6361/200911747 | |
Published online | 02 July 2009 |
Statistics and characteristics of MgII absorbers along GRB lines of sight observed with VLT-UVES
S. D. Vergani1,2,3 - P. Petitjean2 - C. Ledoux4 - P. Vreeswijk5 - A. Smette4 - E. J. A. Meurs3,6
1 - University Paris 7, APC, UMR7164 CNRS, 10 rue Alice Domon et Léonie Duquet, 75205 Paris Cedex 13, France
2 -
University Paris 6, Institut d'Astrophysique de Paris,
UMR7095 CNRS, 98bis Boulevard Arago, 75014 Paris, France
3 -
School of Physical Sciences and NCPST, Dublin City University, Dublin 9, Ireland
4 -
European Southern Observatory, Alonso de Córdova
3107, Casilla 19001, Vitacura, Santiago 19, Chile
5 -
Dark Cosmology Centre, Niels Bohr Institute, University of Copenhagen, Juliane Marie Vej 30, 2100 Copenhagen, Denmark
6 -
School of Cosmic Physiscs, DIAS, 31 Fitzwilliam Street, Dublin 2, Ireland
Received 29 January 2009 / Accepted 12 June 2009
Abstract
We analyze the properties of Mg II absorption
systems detected along the sightlines toward GRBs using a sample of 10 GRB afterglow
spectra obtained with VLT-UVES over the past six years. The signal-to-noise ratio is
high enough that we can extend previous studies to smaller equivalent widths
(typically > 0.3 Å). Over a pathlength of
,
we detect 9 intervening
Mg II systems with
> 1 Å and 9 weaker MgII systems (0.3 <
< 1.0 Å) when about 4 and 7, respectively, are expected from observations
of QSO sightlines. The number of weak absorbers is similar along
GRB and QSO lines of sight, while the number of strong systems is higher along GRB lines of sight
with a 2
significance.
Using intermediate and low-resolution observations reported in the literature, we increase the absorption length for strong systems to
= 31.5 (about twice the path length of previous studies)
and find that the number density of strong Mg II systems is a factor of
2.1
0.6 higher (about 3
significance)
toward GRBs than towards QSOs, about twice less, however, than previously reported.
We divide the sample into three redshift bins and find that the number density of strong Mg II is greater in the low-redshift bins.
We investigate in detail the properties of strong Mg II systems observed with UVES,
deriving an estimate of both the H I column density and the associated
extinction. Both the estimated dust extinction in strong GRB Mg II systems and
the equivalent width distribution are
consistent with what is observed for standard QSO systems.
We also find that the number density of (sub)-DLAs per unit redshift in the UVES
sample is probably twice more than what
is expected from QSO sightlines, which confirms the peculiarity of GRB lines of sight.
These results indicate that neither a dust extinction bias nor different beam sizes of the sources are viable explanations for the excess.
It is still possible that the current sample of GRB lines of sight is biased by a subtle gravitational lensing effect.
More data and larger samples are needed to test this hypothesis.
Key words: quasars: absorption lines - gamma rays: bursts
1 Introduction
Thanks to their exceptional brightness, and although fading very rapidly, gamma-ray burst (GRB) afterglows can be used as powerful extragalactic background sources. Since GRBs can be detected up to very high redshifts (Greiner et al. 2009; Kawai et al. 2006; Haislip et al. 2006), their afterglow spectra can be used to study the properties and evolution of galaxies and the IGM, similar to what is traditionally done using QSO spectra.
Even if there re fewer available GRB lines of sight (los) than those of QSOs,
it is interesting to compare the two types of lines of sight.
In particular,
Prochter et al. (2006b) find that the number density of strong (rest equivalent width
Å)
intervening Mg II absorbers is more than 4 times greater along GRB los than what is expected for
QSOs over the same path length. This result has been derived from a sample of
14 GRB los and a redshift path of
,
and is confirmed by
Sudilovsky et al. (2007). Dust extinction bias for QSO los, gravitational lensing, contamination
from high-velocity systems local to the GRB, and difference in beam sizes are among the possible
causes of this discrepancy. All these effects can contribute to the observed excess, but
no convincing explanation has been found to date for the amplitude of the excess
(Frank et al. 2007; Porciani et al. 2007; Prochter et al. 2006b).
Similar studies (Sudilovsky et al. 2007; Tejos et al. 2007) have been performed on the C IV
intervening systems. Their results agree with QSO statistics.
Clearly, further investigation of this excess is required. Since the reports by Prochter et al. (2006b) (based on an inhomogeneous mix of spectra from the literature) and the confirmation by Sudilovsky et al. (2007) (based on a homogeneous but limited sample of UVES los), several new los have been observed. As of June 2008, the number of los with good signal-to-noise ratio observed by UVES has increased to 10. We use this sample to investigate the excess of strong Mg II absorbers and, thanks to the high quality of the data, we also extend the search of systems to lower equivalent widths and derive physical properties of the absorbing systems. In addition, to increase the redshift path over which strong Mg II systems are observed, we consider a second sample that includes other observations gathered from the literature.
We describe the data in Sect. 2, and identify Mg II systems and determine their number density in Sect. 3. We derive some characteristics of strong Mg II systems in Sect. 4, estimate their HI content in Sect. 5, and study peculiar (sub-)DLAs systems detected along the lines of sight in Sect. 6. We summarize and conclude in Sect. 7.
2 Data
Our first sample (herafter the UVES sample) includes ten GRB afterglows
with available follow-up VLT/UVES high-resolution
optical spectroscopy
as of June 2008: GRB 021004, GRB 050730, GRB 050820A, GRB 050922C, GRB 060418, GRB 060607A,
GRB 071031, GRB 080310, GRB 080319B and GRB 080413A.
All GRBs were detected by the Swift satellite (Gehrels et al. 2004), with the
exception of GRB 021004, which was detected by the High-Energy Transient Explorer (HETE-2) satellite
(Ricker et al. 2003).
UVES observations began on each GRB afterglow with the minimum possible time delay. Depending on whether the GRB location was immediately observable from Paranal, and whether UVES was observing at the time of the GRB explosion, the afterglows were observed in either Rapid-Response Mode (RRM) or as Target-of-Opportunity (ToO). A log of the observations is given in Table 1.
Table 1: GRB sample and log of UVES observations.
The observations were performed with a 1.0
wide slit and 2
2 binning, providing a resolving power of
(
7 km s-1)
for a
2 km s-1 pixel size
.
The UVES data were reduced with a customized version of the MIDAS
reduction pipeline (Ballester et al. 2006).
The individual scientific exposures were co-added by
weighting them according to the inverse of the variance as a function of wavelength and rebinned in the heliocentric rest frame.
Although there are less los in the UVES sample than in the sample
used by Prochter et al. (2006b) (10 instead of 14 los), the redshift path
of the two samples is similar ( = 13.9 and 15.5 for the UVES
and Prochter's samples respectively) because of the larger wavelength coverage of the UVES spectra.
The UVES sample has 6 new los (050922C, 060607A, 071031, 080310,
080319B and 080413A) corresponding to
= 9.4 that are not in the Prochter's sample.
Therefore more than two third of the redshift path is new. In addition, the UVES
sample is homogeneous (similar resolution, same instrument, similar signal-to-noise ratio) and more than doubles
the sample used by Sudilovsky et al. (2007), which is included in our sample, for the Mg II statistics.
The second sample we consider (the overall sample) is formed
by adding observations from the literature (see Table 4) to the UVES sample
(see Sect. 3.2).
The sample gathers observations of 26 GRBs for = 31.55. It
therefore doubles the statistics of Prochter et al. (2006b).
In the following we use solar abundances from Grevesse et al. (2007).
3 Number density of Mg II absorbers
3.1 The UVES sample
For each line of sight we searched by eye the spectrum for
Mg II absorbers outside the Lyman-
forest considering all
Mg II components within 500 km s-1 as a single system.
Table 2 summarizes the results.
Columns 1 to 8 give, respectively, the name of the GRB, its redshift, the
redshift paths along the line of sight for
> 0.3 and 1 Å (see Eq. (1)),
the redshift of the Mg II absorber, the rest equivalent width of
the Mg II
transition
and the velocity relative to the GRB redshift.
The last column gives comments on peculiar systems if need be.
When a Mg II
line is blended either with a sky feature or an absorption
from another system, we fit simultaneously Voigt profile components to the
Mg II doublet and the contaminating absorption and derive characteristics of
the Mg II
absorption from the fit.
The sky spectrum at the position of a feature is obtained from other UVES
spectra in which the metal absorption is not present. The upper limits include also the contaminating absorption.
Table 2: Characteristics of the Mg II absorbers in the UVES sample.
The rest equivalent width detection limit (at any given statistical level)
is calculated at each redshift along the spectrum
using the following equation (Tytler & Fan 1994):
where










We then can compute the redshift path over which a line of a given equivalent width
would be detected in our data.
Prochter et al. (2006b) limited their analysis to the redshift range 0.359 - 2
and compared their results to those of the SDSS QSO survey reported by Prochter et al. (2006a). However,
the SDSS QSO MgII survey extends to
2.3 (Nestor et al. 2005) so that there is no reason
to limit our analysis to z=2 and we will use the same redshift limits as
Nestor et al. (2005),
and
= 2.27 instead.
As in all QSO surveys and following Prochter et al. (2006a), we will exclude along each line-of-sight
the redshift range within an ejection velocity of 3000 km s-1 from the GRB redshift.
Table 3 lists the mean redshift,
,
the total redshift paths obtained considering these redshift limits, and
the number of systems detected in our sample over these redshift paths for different
limits or ranges:
Å (``all systems''),
Å (``strong systems'') and
Å (``weak systems'').
The total redshift paths for the all and strong samples are
and 13.94, respectively, for an observed number,
,
of 18 and 9 systems detected, corresponding
to redshift number densities of
,
0.65
0.22
for all and strong Mg II systems, respectively.
Table 3: Number of Mg II systems and redshift paths.
![]() |
Figure 1:
Redshift path density g(z) of the UVES sample
for
|
Open with DEXTER |
![]() |
Figure 2: Comparison between the cumulative distribution of Mg II systems detected along the UVES GRB los (red thick) and the one expected along QSO los following Eq. (2) (black solid) or Eq. (3) (black dashed), for: all ( top panel), strong ( middle panel) and weak ( bottom panel) systems. |
Open with DEXTER |
In Table 3 we also report the number of Mg II absorbers that would be expected along
lines of sight toward QSOs over the same redshift path,
.
To calculate these numbers, we determine the redshift path density, g(z), of the UVES GRB sample
(see Fig. 1)
and combine it with the density of QSO absorbers per unit redshift as observed by Nestor et al. (2005) and
Prochter et al. (2006a) (for the strong systems only) in the SDSS survey:
![]() |
(2) |
Both Nestor et al. (2005) and Prochter et al. (2006a) showed that the traditional parametrization of


![]() |
(3) |
where both n* and W* vary with redshift as power laws:


![]() |
(4) |
The results of the calculations for the different





As a verification, we note
from Fig. 13 of Nestor et al. (2005) that the number density,
,
of
Å systems is almost independent of the redshift. Multiplying
the
value reported there by the UVES
``all systems''
we obtain an expected total
number of 9.78, in agreement with the value reported in
Table 3 for systems along QSO los (i.e. 10.54). The same test performed using the number density values found by Steidel & Sargent (1992) give consistent results.
Figure 2 and Table 3 show that
the excess of strong Mg II systems along GRB los compared to QSO los is
significant at more than
(slightly less than
for the strong Mg II systems if the Nestor et al. 2005 function is used), but it is more than a factor of
2
lower than what is found by Prochter et al. (2006b). The number of weak systems is consistent
within
to that expected for QSO los.
3.2 The overall sample
In order to increase the statistics of strong Mg II systems,
we added to the UVES sample both high and low resolution GRB afterglow spectra published in the literature.
The resulting sample is composed of 26 los (see Table 4 for details on los that are not
part of the UVES sample). Since this sample includes many
low resolution spectra, we study the statistics of strong ( > 1 Å) Mg II absorbers only,
using the same redshift limits as in the previous Section. Three lines of sight of this sample
(GRB 991216, GRB 000926 and GRB 030429) were not used by
Prochter et al. (2006b) because the low spectral resolution of these spectra
does not allow to resolve the Mg II doublet. However, such a low resolution does not prevent the
detection of strong systems, although the doublet is blended.
In addition, the total equivalent width of the doublets detected along these
los is larger than 3 Å so that we are confident that
is larger than 1 Å.
In any case, as detection of Mg II systems is more difficult
at lower resolution, including these lines of sight could only underestimate their number density.
Table 4: GRB los available from the literature.
There are 22 strong Mg II systems and the redshift path is
.
This leads to a number density
.
We use the g(z) function
of this enlarged sample to compute the total number of strong systems expected for a similar QSO sample
following the same method as used in Sect. 3.1. We find
and
,
using Eqs. (3) and (4), respectively, that is
and
times
less than the number found along GRB los (see Fig. 3).
The excess of strong Mg II systems along GRB lines of sight for this enlarged sample is
confirmed at a
statistical significance. The excess found is higher than for the
UVES sample but still a factor of
2 lower than what was previously reported by Prochter et al. (2006b)
from a sample with a smaller redshift path. The number densities resulting from the two studies are different by no more than 2
.
For consistency we also performed our analysis considering only the smaller sample used by Prochter et al. (2006b). In this case, the results obtained are similar to those found by these authors. The redshift path of our overall sample is twice as large
as that used by Prochter et al. (2006b), therefore the factor of 2 excess we find in this study has a higher statistical significance.
![]() |
Figure 3: Comparison between the cumulative distribution of strong Mg II systems in the overall sample of GRB los (red thick) and the one expected along QSO los following Eq. (2) (black solid) or Eq. (3) (black dashed). |
Open with DEXTER |
3.3 Number density evolution
![]() |
Figure 4: Number density evolution of Mg II systems detected along GRB los for: first panel: all, second panel: strong, third panel: weak systems of the UVES sample; bottom panel: strong systems of the overall sample. The solid line represents the evolution of the MgII number density derived from the Mg II survey in the SDSS QSO by Nestor et al. (2005) (see Eq. (3)). |
Open with DEXTER |
We divided both the UVES and the overall sample in three redshift bins and calculated
for each bin. Figure 4 shows the number of systems per redshift bin.
While the total number of systems and the number of weak systems
have a comparable redshift evolution in GRB and QSO lines of sight, the
strong systems happen to have a different evolution in GRB los.
The excess of strong systems in GRBs is particularly pronounced at low redshift, up to
.
We performed a KS test for each of the three cases to assess
the similarity of the redshift distribution of Mg II systems along GRB and QSO los.
There is a
and
chance that the weak and all Mg II
absorber samples in QSOs and GRBs are drawn from the same population. The probability for
the strong systems is
for the UVES sample, but it decreases to
when
considering the overall sample.
This apparent excess of strong systems in the low-redshift bin could indicate that some amplification bias
due to lensing is at work. Indeed the effect of lensing should be larger in case the deflecting mass is at
smaller redshift. The lensing optical depth for GRBs at redshift
and
is maximal for a lens at respectively
and
.
However, we find that only 47% of GRBs with strong foreground absorbers in our sample have at least one strong Mg II
system located in
the range within which the optical depth decreases to about half its maximum value (Sudilovsky et al. 2007; Smette et al. 1997; Turner 1980).
This indicates that if amplification by lensing is the correct explanation, the effect
must be weak and subtle. Porciani et al. (2007) used the optical afterglow luminosities reported by
Nardini et al. (2006) to show that GRB afterglows with more than one absorbers are brigther than
others by a factor 1.7. However this correlation has not been detected by Sudilovsky et al. (2007) when using
the afterglow B-band absolute magnitudes obtained by Kann et al. (2006,2007).
More data and larger samples are obviously needed to conclude on this issue.
4 The population of strong Mg II systems
Both the results on the UVES homogeneous sample and those obtained using the overall sample confirm, although to a smaller extent, the excess of strong Mg II absorbers along GRB los first reported by Prochter et al. (2006b). To understand the reason of the discrepancy in the number density of ``strong'' systems it is therefore important to study in more details these systems and to derive their physical characteristics. This is possible using the UVES data. The main question we would like to address here is whether there is any reason to believe that GRB and QSO strong absorbers are not drawn from the same population.
4.1 Equivalent width distribution
We show in Fig. 5 the comparison between the normalized
distribution of
all Mg II systems with
> 0.3 Å detected in the UVES sample and the one
reported by Nestor et al. (2005) for the Mg II systems along the QSO los in the SDSS survey.
![]() |
Figure 5:
|
Open with DEXTER |
The KS tests give a
chance that the GRB and QSO distributions
are drawn from the same population for the UVES sample.
This result extends to lower
values the
conclusion by Porciani et al. (2007) that the two
distributions are similar, arguing against the idea that the
excess of Mg II systems could be related to the internal structure of
the intervening clouds.
4.2 The velocity spread of strong Mg II systems
The profiles of the two transitions
of the > 1 Å Mg II systems found in the UVES
spectra are plotted on a velocity scale in Fig. 6. The profiles
are complex, spread over at least 200 km s-1 and up to
600 km s-1and show a highly clumpy structure.
We measure the velocity spread of the Mg II systems with > 1.0 Å in the UVES sample
following Ledoux et al. (2006). We therefore use a moderately saturated low ionization absorption line
(e.g. FeII
,
SiII
)
and
measure the velocity difference between the points of the absorption profiles
at which 5% and 95% of the absorption occurs.
This method is defined in order to measure the velocity width of the bulk of gas, avoiding contamination by satellite components which have negligible contribution to the total metal column density.
Note that using this definition implies that the measured velocity spread is usually smaller
than the spread of the Mg II profile which is strongly saturated.
In case no moderately saturated absorption line is available, we use the mean value of
the velocity widths calculated both from a saturated line and an optically thin line.
Results are given in Col. 9 of Table 6.
The velocity-spread distribution is shown for UVES systems with > 1 Å
in Fig. 7 together with the SDSS QSO distribution from 27 SDSS systems
with
> 1 Å observed at high spectral resolution (Prochter et al. 2006a).
Although the statistics are small, the UVES and SDSS distributions
are statistically similar. A KS test gives 65% chance that the two samples are drawn from
the same population (see also Cucchiara et al. 2009).
![]() |
Figure 6:
The
|
Open with DEXTER |
![]() |
Figure 7: The solid line histogram represents the distribution of the velocities of the strong Mg II systems in the UVES sample calculated following Ledoux et al. (2006). The thick dashed histogram refers to the 27 SDSS Mg II systems observed at high spectral resolution (Prochter et al. 2006a). |
Open with DEXTER |
4.3 Dust extinction
It has been proposed that a dust bias could possibly affect the statistics of strong Mg II systems. Indeed, if part of the population of strong Mg II systems contains a substantial amount of dust, then the corresponding lines of sight could be missed in QSO surveys because of the attenuation of the quasar whereas GRBs being intrinsically brighter, the same lines of sight are not missed when observing GRBs. The existence of a dust extinction bias in DLA surveys is still a debated topic among the QSO community although observations of radio selected QSO los (Ellison et al. 2004) seem to show that, if any, this effect is probably small (see also Pontzen & Pettini 2008).
Table 5: Iron to zinc or silicon ratio and extinction estimate for 4 strong Mg II systems.
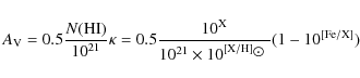
We can use our UVES lines of sight to estimate the dust content of strong Mg II systems from
the depletion of iron compared to other non-depleted species as is usually done in DLAs.
We have therefore searched for both Fe II and Zn II absorption lines
(or Si II, in case the Zn II lines are not available) associated to the strongest
Mg II systems present in the UVES spectra. Because the spectra do not always cover the
relevant wavelength range, the associated column densities could be measured only
for 4 out of the 10 systems (see Table 5). We estimate the depletion factor, and therefore
the presence of dust, from the metallicity ratio
of iron (a species heavily depleted into dust grains in the ISM of our Galaxy) to zinc (that is little depleted),
[Fe/Zn] = (Fe/Zn)-(Fe/Zn)
(or [Fe/Si]). We also determine the iron dust phase column
density (
)
using the formula given by Vladilo et al. (2006) and from this
we infer an upper limit on the corresponding flux attenuation
from their Fig. 4.
We used also the estimate given by
(Bohlin et al. 1978; Prochaska & Wolfe 2002):
![]() |
(5) |
with
![$\kappa=10^{\rm [X/H]}(1$](/articles/aa/full_html/2009/33/aa11747-09/img147.png)
![$10^{\rm [Fe/X]})$](/articles/aa/full_html/2009/33/aa11747-09/img148.png)
Table 6:
Characteristics of Mg II systems with
Å in the UVES sample.
Results are reported in Table 5. It can be seen that although depletion of iron
can be significant, the corresponding attenuation is modest because the column densities
of metallic species are relatively small owing to low metallicities (see also Table 5).
Indeed we find high dust depletion in two systems at
= 1.107 toward
GRB 060418 (see also Ellison et al. 2006) and at
= 1.6026 toward
GRB 021004.
Their column densities are low however so that the inferred
does not exceed values
typically found for QSO los (see Vladilo et al. 2006 and Prantzos & Boissier 2000). Cucchiara et al. (2009) do not detect the Zn II absorption lines for the systems at
= 1.6026 toward
GRB 021004. They report an upper limit of
Å whereas we find
Å. The detection of Zn II(
2026,2062) for the central
component seems robust, as it is shown in Fig. 8. In addition, the Cr II(
2056,2062) lines are also possibly detected.
![]() |
Figure 8:
Fe II(
|
Open with DEXTER |
We note that for GRB 021004 and GRB 060607A we could estimate the attenuation for ALL strong Mg II systems identified along the los. Therefore our results do not show evidences to support the idea that a bias due to the presence of dust in strong Mg II systems could be an explanation for the overabundance of the strong Mg II absorbers along GRB los. On the other hand, the fact that 2 out of 4 of the selected systems have a dust depletion higher than the values usually found for QSO DLAs (Meiring et al. 2006) supports the fact that these systems probably arise in the central part of massive halos where the probability to find cold gas is expected to be higher.
5 Estimating the H I column density
A key parameter to characterize an absorber
is the corresponding H I column density. Unfortunately, the H I
Lyman-
absorption line of most of the systems is located below the atmospheric
cut-off and is unobservable from the ground.
If we want to characterize the systems with their H I column density or at least
an estimate of it, we have to infer it indirectly.
For this we will assume that the strong systems seen in front of GRBs and QSOs are
cosmological and drawn from the same population. We believe that the results discussed in the previous
section justify this assumption.
We use the velocity-metallicity correlation found by Ledoux et al. (2006) to estimate the
expected metallicity of the systems in the UVES sample with > 1.0 Å, assuming that the correlation is valid also for sub-DLA
systems (Péroux et al. 2008).
The relation was linearly extrapolated to the average redshift of the sample of systems with
> 1.0 Å ,
,
giving
[X/H]
.
We infer the hydrogen column densities dividing the zinc, silicon or iron column densities
measured in the UVES spectrum by the metallicity.
Note that in most of the cases only Fe II available (see Table 5).
The N(H I) column density derived in these cases should be considered a lower limit because iron can
be depleted onto dust-grains. The results are shown in Table 7 (Cols. 3 and 4).
The error on the procedure should be of the order of 0.5 dex (see Ledoux et al. 2006).
We insist on the fact that
our aim is not to derive an exact H I column density for each system but rather to estimate
the overall nature of the systems.
We find that at least 3 of the 9 systems with
> 1 Å could be DLAs. In any case, and even if we consider that we systematically overestimate
the column density by 0.5 dex, a large fraction of the systems should have log N(H I) > 19.
Another method to infer the presence of DLAs among Mg II absorbers
is to use the ``D-index'' (Ellison et al. 2009).
We calculate the D-index for the systems in our sample following the recommended
D-index definition by Ellison et al. (2009)
and using the formula:
The width of the central part of the Mg II



We find that all the 9 systems have D>7. Ellison et al. (2009) find that
of the systems
having D>7 are DLAs. This results applied to our sample imply that at least 5 systems
are DLAs.
We can compare the number of DLAs per unit redshift (
)
found for the QSO los by Rao et al. (2006) to that of our GRB sample.
is defined as the product of the Mg II
systems number density and the fraction of DLAs in a Mg II sample.
Rao et al. (2006) found
(with errors of the order of 0.02).
If we assume that
three to five systems in our sample are DLAs
we find
-0.36 . This means that there are at least
twice DLAs along GRB los than along QSO los.
The above estimate of log N(H I) can be considered as highly uncertain and the identification of a few of the systems as DLAs can be questioned.
All this seems to indicate that GRBs favor lines of sight with an excess of DLAs. Since these systems are more likely to be located in the central parts of massive halos, this may again favor the idea that there exists a bias in GRB observations towards GRBs with afterglows brighter because they are subject to some lensing amplification.
Table 7:
Inferred metallicity,
and D-index of Mg II systems with
Å in the UVES sample.
6 Observed sub-DLA absorbers
![]() |
Figure 9:
Foreground (sub)-DLAs. Top panel: Sub-damped Lyman- |
Open with DEXTER |
![]() |
Figure 10:
The sub-DLA system at z=2.9374 along the los toward GRB 060607A. The top panel
shows the fit of the O I |
Open with DEXTER |
The UVES spectra often cover a substantial part of the Lyman-
forest
in front of the GRB. It is therefore possible to search directly for
strong H I Lyman-
absorption lines corresponding to
DLAs or, more generally, sub-DLAs.
This can only be performed for 8 of the 10 GRBs in the sample:
the redshifts of GRB 060418 and GRB 080319B are unfortunately
too low to allow the detection of the Lyman-
absorptions in the
UVES spectral range. We exclude from our search the DLA at the GRB redshift,
which is believed to be associated with the close surrounding of the GRB.
We find additional (sub-)DLAs (Fig. 9) along the los of GRB 050730 (see also Chen et al. 2005), GRB 050820,
GRB 050922C (see also Piranomonte et al. 2008) and GRB 060607A (Fig. 10).
The former three systems are simple, with a single Lyman-
component. The system detected at 2.9374 toward GRB 060607A
is more complex and cannot be fit with a single component (sub-) DLA.
The profile is made of two main clumps at z=2.9322 and 2.9374.
The latter is a blend of the four O I components
(see top panel in Fig. 9). The constraints on the H I column densities
come mostly from the red wing of the Lyman-
line and
the structures seen in the Lyman-
line.
We find that the two main H I components at z=2.9374 and 2.9322
have log N(H I) = 19.4 and
,
respectively.
It is worth noting that the limit on the O I component
at z=2.9322 is log N(O I) < 12.6 implying that the metallicity
in the cloud could be as low as [O/H] < -2.9 which would be
the lowest metallicity ever observed yet in such a system. Some ionization correction
could be necessary however in case the oxygen equilibrium is displaced
toward high excitation species by a hard ionizing spectrum.
Table 8 shows the column densities and abundances of the systems assuming that all elements are in their neutral or singly ionized state. The values are similar to those usually found for (sub)-DLAs along QSO los (see for example Péroux et al. 2003).
The presence of these systems allows us to extend the search for strong
systems along GRB lines of sight to higher redshift.
The redshift paths (see Table 8) have been
calculated considering
as the redshift of an absorber, for
which the corresponding Lyman-
line would be redshifted to the same wavelength
as the Lyman-
line of the GRB afterglow. We therefore avoid confusion with
the Lyman-
forest.
is fixed at 3000 km s-1 from the GRB redshift.
The only exception to this rule is GRB 050730 for which there is a
gap in the spectrum located at about 3000 km s-1 from the GRB redshift and
starting at
Å. We use this wavelength to fix
.
The corresponding total
redshift path is
.
The sub-DLAs systems at z=2.9322 and 2.9374 along GRB 060607A are separated by
400 km s-1, therefore
for the statistical study we consider them
as a single
system. The resulting number density for systems with log N(H I) > 19.0
is
for an average redshift of
.
At this redshift a value of
about
is expected from QSO los (Péroux et al. 2005). There could be therefore
an excess of such systems but the statistics is obviously poor.
It is intriguing however that the four systems we detect are all in the half
of the Lyman-
forest closest to the GRB, with ejection velocities of about
25 000, 22 000, 12 000 and 11 000 km s-1 for GRB 050730, 050820A,
050922C and 060607A respectively.
The corresponding ejection velocities found for the strong Mg II systems
(see Col. 7 of Table 2) are greater than 35 000 km s-1, making an
origin local to the GRB unlikely for the strong Mg II systems. This fact therefore does not favor the
possibility that the excess of strong Mg II absorbers along GRB los is due to
some ejected material present in the GRB environment. The much lower ejection velocities
found for the sub-DLA absorbers may indicate that for these systems
the excess is not of the same origin as the excess of Mg II systems
and that part of the gas in these systems could have been ejected by the GRB.
7 Conclusion
We have taken advantage of UVES observations of GRB afterglows obtained over the past six years to build an homogeneous sample of lines of sight observed at high spectral resolution and good signal-to-noise ratio (SNR > 10). We used these observations to re-investigate the claimed excess of Mg II systems along GRB lines of sight extending the study to smaller equivalent widths. We also used these data to derive intrinsic physical properties of these systems.
Considering the redshift ranges
0.37<z<2.27 of the SDSS survey used for the QSO statistics, we find an excess of strong intervening MgII systems along the 10 GRB lines of sight observed by UVES of a factor of 2 compared to QSO lines of sigth. This excess is significant at
.
Thanks to the quality of the UVES data it has been possible also to consider the statistics of the weak absorbers (0.3 <
< 1.0 Å). We find that the number of weak absorbers is similar along
GRBs and QSOs lines of sight.
Table 8:
Properties of the foreground damped Ly-
systems detected along the UVES GRB spectra.
We increase the absorption length for strong systems to = 31.5
using intermediate and low resolution observations reported in the literature. The excess of strong MgII intervening systems of a factor of
2 is confirmed at
significance. We therefore strenghten the evidence that the number of strong sytems is higher along GRB lines of sight, even if this excess is less than what has been claimed in previous studies based on a smaller path length (see Prochter et al. 2006b). Our result and that of Prochter et al. (2006b) are different at less than
.
The present result is statistically more significant.
Possible explanations of this excess include: dust obscuration that could yield such lines of sight to be missed in quasar studies; difference of the beam sizes of the two types of background sources; gravitational lensing. In order to retrieve more information to test these hypotheses we investigate in detail the properties of the strong Mg II systems observed with UVES. We find that the equivalent width distribution of Mg II systems is similar in GRBs and QSOs. This suggests that the absorbers are more extended than the beam size of the sources which should not be the case for the different beam sizes to play a role in explaining the excess (Porciani et al. 2007). In addition, we divide our sample in three redshift bins and we find that the number density of strong Mg II systems is greater in the low redshift bins, favoring the idea that current sample of GRB lines of sight can be biased by gravitational lensing effect. We also estimate the dust extinction associated to the strong GRB Mg II systems and we find that it is consistent with what is observed in standard (sub)-DLAs. It therefore seems that the dust-bias explanation has little grounds.
We tentatively infer the H I column densities of the strong systems and we note that the number density of DLAs per unit redshift in the UVES sample is probably twice more than what is expected from QSO sightlines. As these sytems are expected to arise from the central part of massive halos, this further supports the idea of a gravitational lensing amplification bias. This hypothesis could be also supported by the results recently obtained by (Chen et al. 2009). These authors analyzed 7 GRB fields and found the presence of at least one addition object at angular separation from the GRB afterglow position in all the four fields of GRBs with known intervening strong MgII galaxies. In contrast, none is seen at this small angular separation in fields without known Mg II absorbers.
We searched the Lyman-
forest probed by the UVES spectra for the presence
of damped Lyman-
absorption lines. We found four sub-DLAs with log N(H I) > 19.3
over a redshift range of z=4.3. This is again twice more than what is expected
in QSOs. However the statistics is poor. It is intriguing that these
systems are all located in the half redshift range of the Lyman-
forest closest to
the GRB. It is therefore not excluded that part of this gas is somehow
associated with the GRBs. In that case, ejection velocities of the order of
10 to 25 000 km s-1 are required.
Acknowledgements
S.D.V. thanks Robert Mochkovitch for suggesting that she applies to the Marie Curie EARA-EST program and the IAP for the warm hospitality. S.D.V. was supported during the early stage of this project by SFI grant 05/RFP/PHY0041 and the Marie Curie EARA-EST program. S.D.V. is now supported by a CNRS fellowship managed by the GIS P2i. We are grateful to P. Noterdaeme and T. Vinci for precious help.
References
- Ballester, P., Banse, K., Castro, S., et al. 2006, in Society of Photo-Optical Instrumentation Engineers (SPIE) Conf. Ser., 6270, 26 (In the text)
- Barth, A. J., Sari, R., Cohen, M. H., et al. 2003, ApJ, 584, L47 [NASA ADS] [CrossRef]
- Berger, E., Penprase, B. E., Cenko, S. B., et al. 2006, ApJ, 642, 979 [NASA ADS] [CrossRef]
- Bohlin, R. C., Savage, B. D., & Drake, J. F. 1978, ApJ, 224, 132 [NASA ADS] [CrossRef]
- Castro, S., Galama, T. J., Harrison, F. A., et al. 2003, ApJ, 586, 128 [NASA ADS] [CrossRef]
- Chen, H.-W., Prochaska, J. X., Bloom, J. S., & Thompson, I. B. 2005, ApJ, 634, L25 [NASA ADS] [CrossRef] (In the text)
- Chen, H.-W., Perley, D. A., Pollack, L. K., et al. 2009, ApJ, 691, 152 [NASA ADS] [CrossRef] (In the text)
- Cucchiara, A., Jones, T., Charlton, J. C., et al. 2009, ApJ, 697, 345 [NASA ADS] [CrossRef] (In the text)
- Dekker, H., D'Odorico, S., Kaufer, A., Delabre, B., & Kotzlowski, H. 2000, in Society of Photo-Optical Instrumentation Engineers (SPIE) Conf. Ser., ed. M. Iye, & A. F. Moorwood, 4008, 534
- Ellison, S. L., Churchill, C. W., Rix, S. A., & Pettini, M. 2004, ApJ, 615, 118 [NASA ADS] [CrossRef] (In the text)
- Ellison, S. L., Vreeswijk, P., Ledoux, C., et al. 2006, MNRAS, 372, L38 [NASA ADS] (In the text)
- Ellison, S. L., Murphy, M. T., & Dessauges-Zavadsky, M. 2009, MNRAS, 392, 998 [NASA ADS] [CrossRef] (In the text)
- Frank, S., Bentz, M. C., Stanek, K. Z., et al. 2007, Ap&SS, 312, 325 [NASA ADS] [CrossRef]
- Gehrels, N., Chincarini, G., Giommi, P., et al. 2004, ApJ, 611, 1005 [NASA ADS] [CrossRef] (In the text)
- Greiner, J., Krühler, T., Fynbo, J. P. U., et al. 2009, ApJ, 693, 1610 [NASA ADS] [CrossRef]
- Grevesse, N., Asplund, M., & Sauval, A. J. 2007, Space Sci. Rev., 130, 105 [NASA ADS] [CrossRef] (In the text)
- Haislip, J. B., Nysewander, M. C., Reichart, D. E., et al. 2006, Nature, 440, 181 [NASA ADS] [CrossRef]
- Hao, H., Stanek, K. Z., Dobrzycki, A., et al. 2007, ApJ, 659, L99 [NASA ADS] [CrossRef]
- Jakobsson, P., Hjorth, J., Fynbo, J. P. U., et al. 2004, ApJ, 617, L21 [NASA ADS] [CrossRef]
- Kann, D. A., Klose, S., & Zeh, A. 2006, ApJ, 641, 993 [NASA ADS] [CrossRef]
- Kann, D. A., Klose, S., Zhang, B., et al. 2007 [arXiv:0712.2186]
- Kawai, N., Kosugi, G., Aoki, K., et al. 2006, Nature, 440, 184 [NASA ADS] [CrossRef]
- Klose, S., Greiner, J., Rau, A., et al. 2004, AJ, 128, 1942 [NASA ADS] [CrossRef]
- Ledoux, C., Petitjean, P., Fynbo, J. P. U., Møller, P., & Srianand, R. 2006, A&A, 457, 71 [NASA ADS] [CrossRef] [EDP Sciences] (In the text)
- Maiorano, E., Masetti, N., Palazzi, E., et al. 2006, A&A, 455, 423 [NASA ADS] [CrossRef] [EDP Sciences]
- Masetti, N., Palazzi, E., Pian, E., et al. 2003, A&A, 404, 465 [NASA ADS] [CrossRef] [EDP Sciences]
- Meiring, J. D., Kulkarni, V. P., Khare, P., et al. 2006, MNRAS, 370, 43 [NASA ADS] (In the text)
- Mirabal, N., Halpern, J. P., Kulkarni, S. R., et al. 2002, ApJ, 578, 818 [NASA ADS] [CrossRef]
- Nardini, M., Ghisellini, G., Ghirlanda, G., et al. 2006, A&A, 451, 821 [NASA ADS] [CrossRef] [EDP Sciences] (In the text)
- Nestor, D. B., Turnshek, D. A., & Rao, S. M. 2005, ApJ, 628, 637 [NASA ADS] [CrossRef] (In the text)
- Perley, D. A., Li, W., Chornock, R., et al. 2008, ApJ, 688, 470 [NASA ADS] [CrossRef]
- Péroux, C., Dessauges-Zavadsky, M., D'Odorico, S., Kim, T.-S., & McMahon, R. G. 2003, MNRAS, 345, 480 [CrossRef] (In the text)
- Péroux, C., Dessauges-Zavadsky, M., D'Odorico, S., Sun Kim, T., & McMahon, R. G. 2005, MNRAS, 363, 479 [NASA ADS] (In the text)
- Piranomonte, S., Ward, P. A., Fiore, F., et al. 2008, A&A, 492, 775 [NASA ADS] [CrossRef] [EDP Sciences] (In the text)
- Pontzen, A., & Pettini, M. 2008, MNRAS, 390, 557 (In the text)
- Porciani, C., Viel, M., & Lilly, S. J. 2007, ApJ, 659, 218 [NASA ADS] [CrossRef]
- Prantzos, N., & Boissier, S. 2000, MNRAS, 315, 82 [NASA ADS] [CrossRef] (In the text)
- Prochaska, J. X., & Wolfe, A. M. 2002, ApJ, 566, 68 [NASA ADS] [CrossRef]
- Prochter, G. E., Prochaska, J. X., & Burles, S. M. 2006a, ApJ, 639, 766 [NASA ADS] [CrossRef] (In the text)
- Prochter, G. E., Prochaska, J. X., Chen, H.-W., et al. 2006b, ApJ, 648, L93 [NASA ADS] [CrossRef] (In the text)
- Rao, S. M., Turnshek, D. A., & Nestor, D. B. 2006, ApJ, 636, 610 [NASA ADS] [CrossRef] (In the text)
- Ricker, G. R., Atteia, J.-L., Crew, G. B., et al. 2003, in Gamma-Ray Burst and Afterglow Astronomy 2001: A Workshop Celebrating the First Year of the HETE Mission, ed. G. R. Ricker, & R. K. Vanderspek, AIP Conf. Ser., 662, 3 (In the text)
- Smette, A., Claeskens, J.-F., & Surdej, J. 1997, New Astron., 2, 53 [NASA ADS] [CrossRef]
- Steidel, C. C., & Sargent, W. L. W. 1992, ApJS, 80, 1 [NASA ADS] [CrossRef] (In the text)
- Sudilovsky, V., Savaglio, S., Vreeswijk, P., et al. 2007, ApJ, 669, 741 [NASA ADS] [CrossRef] (In the text)
- Tejos, N., Lopez, S., Prochaska, J. X., Chen, H.-W., & Dessauges-Zavadsky, M. 2007, ApJ, 671, 622 [NASA ADS] [CrossRef]
- Thöne, C. C., Kann, D. A., Johannesson, G., et al. 2008 [arXiv:0806.1182]
- Turner, E. L. 1980, ApJ, 242, L135 [NASA ADS] [CrossRef]
- Tytler, D., & Fan, X.-M. 1994, ApJ, 424, L87 [NASA ADS] [CrossRef] (In the text)
- Vladilo, G., Centurión, M., Levshakov, S. A., et al. 2006, A&A, 454, 151 [NASA ADS] [CrossRef] [EDP Sciences] (In the text)
- Vreeswijk, P. M., Ellison, S. L., Ledoux, C., et al. 2004, A&A, 419, 927 [NASA ADS] [CrossRef] [EDP Sciences]
- Vreeswijk, P. M., Smette, A., Fruchter, A. S., et al. 2006, A&A, 447, 145 [NASA ADS] [CrossRef] [EDP Sciences]
Footnotes
- ... VLT/UVES
- UVES is described in Dekker et al. (2000).
- ... size
- Though the minimum guaranteed resolving power of
UVES in this mode is 43 000, we find that in some cases a higher resolution, up to
50 000, is achieved in practice, due to variations in seeing conditions.
All Tables
Table 1: GRB sample and log of UVES observations.
Table 2: Characteristics of the Mg II absorbers in the UVES sample.
Table 3: Number of Mg II systems and redshift paths.
Table 4: GRB los available from the literature.
Table 5: Iron to zinc or silicon ratio and extinction estimate for 4 strong Mg II systems.
Table 6:
Characteristics of Mg II systems with
Å in the UVES sample.
Table 7:
Inferred metallicity,
and D-index of Mg II systems with
Å in the UVES sample.
Table 8:
Properties of the foreground damped Ly-
systems detected along the UVES GRB spectra.
All Figures
![]() |
Figure 1:
Redshift path density g(z) of the UVES sample
for
|
Open with DEXTER | |
In the text |
![]() |
Figure 2: Comparison between the cumulative distribution of Mg II systems detected along the UVES GRB los (red thick) and the one expected along QSO los following Eq. (2) (black solid) or Eq. (3) (black dashed), for: all ( top panel), strong ( middle panel) and weak ( bottom panel) systems. |
Open with DEXTER | |
In the text |
![]() |
Figure 3: Comparison between the cumulative distribution of strong Mg II systems in the overall sample of GRB los (red thick) and the one expected along QSO los following Eq. (2) (black solid) or Eq. (3) (black dashed). |
Open with DEXTER | |
In the text |
![]() |
Figure 4: Number density evolution of Mg II systems detected along GRB los for: first panel: all, second panel: strong, third panel: weak systems of the UVES sample; bottom panel: strong systems of the overall sample. The solid line represents the evolution of the MgII number density derived from the Mg II survey in the SDSS QSO by Nestor et al. (2005) (see Eq. (3)). |
Open with DEXTER | |
In the text |
![]() |
Figure 5:
|
Open with DEXTER | |
In the text |
![]() |
Figure 6:
The
|
Open with DEXTER | |
In the text |
![]() |
Figure 7: The solid line histogram represents the distribution of the velocities of the strong Mg II systems in the UVES sample calculated following Ledoux et al. (2006). The thick dashed histogram refers to the 27 SDSS Mg II systems observed at high spectral resolution (Prochter et al. 2006a). |
Open with DEXTER | |
In the text |
![]() |
Figure 8:
Fe II(
|
Open with DEXTER | |
In the text |
![]() |
Figure 9:
Foreground (sub)-DLAs. Top panel: Sub-damped Lyman- |
Open with DEXTER | |
In the text |
![]() |
Figure 10:
The sub-DLA system at z=2.9374 along the los toward GRB 060607A. The top panel
shows the fit of the O I |
Open with DEXTER | |
In the text |
Copyright ESO 2009
Current usage metrics show cumulative count of Article Views (full-text article views including HTML views, PDF and ePub downloads, according to the available data) and Abstracts Views on Vision4Press platform.
Data correspond to usage on the plateform after 2015. The current usage metrics is available 48-96 hours after online publication and is updated daily on week days.
Initial download of the metrics may take a while.