| Issue |
A&A
Volume 504, Number 1, September II 2009
|
|
|---|---|---|
| Page(s) | 109 - 113 | |
| Section | Interstellar and circumstellar matter | |
| DOI | https://doi.org/10.1051/0004-6361/200912120 | |
| Published online | 09 July 2009 | |
Protostellar collapse: rotation and disk formation
W. M. Tscharnuter1 - J. Schönke1 - H.-P. Gail1 - M. Trieloff2 - E. Lüttjohann1
1 - Zentrum für Astronomie (ZAH), Institut für
Theoretische Astrophysik (ITA), Universität Heidelberg,
Albert-Ueberle-Str. 2, 69120 Heidelberg, Germany
2 - Institut für Geowissenschaften, Universität Heidelberg, Im
Neuenheimer Feld 236, 69120 Heidelberg, Germany
Received 20 March 2009 / Accepted 8 June 2009
Abstract
We present some important conclusions from models of the collapse of rotating molecular cloud cores with axial symmetry, corresponding to the evolution of young stellar objects from class 0 to the beginning
of class I. There are three main findings of the calculations: (1)
the typical timescale for building up a preplanetary disk, which was
found to be of the order of one free-fall time decisively shorter
than the widely assumed timescale related to the so-called
``inside-out collapse''; (2) redistribution of angular momentum and
the accompanying dissipation of kinetic (rotational) energy causing
the growing disk to become more stable and strengthening the
intrinsic meridional circulation pattern of the accretion flow; and
(3) the origin of calcium-aluminium-rich inclusions (CAIs). Because
of the persistent equatorial outflow, material that has undergone
substantial chemical and mineralogical modifications in the hot
(
900 K) interior of the protostellar core may have a good
chance of being advectively transported outward into the cooler
remote parts (
4 AU, say) of the growing disk and surviving
there until it is incorporated into a meteoritic parent body.
Key words: stars: formation - accretion, accretion disks - planetary systems: formation
1 Introduction
Stars are understood to form from regions within molecular clouds that for some reason became gravitationally unstable and started to collapse under the influence of their own gravitational attraction (see, e.g., McKee & Ostriker 2007; Larson 2003). It is clear that angular momentum (e. g., Tohline 2002; Bodenheimer 1995) and magnetic fields (e.g., Pudritz et al. 2008) play an important role during many stages of protostellar collapse. Angular momentum is particular important because it is responsible for the formation of accretion disks that are the birthplaces of planetary systems. Therefore, the study of rotating collapse is inevitable if one intends to understand the formation of the Solar System and other planetary systems.
The earliest of such studies were a number of analytic approaches to rotating collapse without (Terebey et al. 1984) and with (Allen et al. 2003) magnetic fields and analytic studies of disk formation (see Cassen 1994, and references therein) and simple models for the build-up and evolution of accretion disks (e.g., Lin & Pringle 1990; Nakamoto & Nakagawa 1994). These introduce a number of approximations about the nature of the collapse process that appear plausible but lack justification.
In the past two decades, various attempts have been made to follow the 2-D and 3-D collapse of rotating protostellar fragments by means of extended numerical calculations (e. g., Saigo et al. 2008; Bodenheimer et al. 1990; Yorke et al. 1993; Boss 1989) based on grid-methods, by a solution method based on a series development into orthogonal polynomials (Tscharnuter 1987), and by studies based on the SPH-method (e.g., Stamatellos et al. 2007).
However, almost all of these studies covered only the collapse up to the formation of the first core. Only the early 2-D model of Tscharnuter (1987), the 3-D study of Bate (1998) and the models of Stamatellos et al. (2007) and Saigo et al. (2008) achieved sufficient resolution to follow the second collapse. As a rule, 3-D models neglect most of the basic physics and consider only an oversimplified equation of state. Promising ideas to overcome this unfortunate situation have been put forward by Stamatellos et al. (2007).
In this paper, we discuss some important cosmochemical consequences
of a new 2-D model calculation by following simultaneously the
evolution of a rotating Bonnor-Ebert-sphere-like initial state with
1
initial mass through an
axially-symmetric first and second collapse to nearly stellar
central densities and the early build-up and evolution of the
associated accretion disk. The model takes all of the essential
physics of the problem into account and the simulation covers the
evolutionary phases of young stellar objects corresponding to class
0 and early class I. It clearly demonstrates the rapid co-formation
of a compact stellar object and a very extended accretion disk
within a period of no more than
1.1 free-fall times.
2 Methods
Appropriate implicit methods have been developed only for 1-D and 2-D collapse problems with spherical and axial symmetry, respectively (see, e. g., Wuchterl & Tscharnuter 2003; Tscharnuter 1987). Of course, implicit methods (being notoriously expensive) are useful only if the physical processes to be considered exhibit a hierarchy of timescales and the system as a whole evolves into a quasi-stationary state. If the longest timescale exceeds the smallest one by a large amount, the use of implicit methods is mandatory, as in our case, where the accretion time is several orders of magnitude longer than the oscillation period of the stellar core.
For a detailed description of the method upon which the implicit 2-D
hydrodynamical code is based, we refer to Tscharnuter (1987). For the
equation of state, both the dissociation of H2 and ionization of
H and He is taken into account, and the opacities at low
temperatures are dominated by dust with and without ice mantles. In
a spherical polar coordinate system, we discretize the variables
within a staggered radial grid (256 gridpoints) and represent the
dependence on the polar angle by choosing a Legendre expansion (up
to 27 coefficients) for each primary variable. The discretized
equations are written in a conservation form on a self-adaptive
radial grid according to Dorfi & Drury (1987), and the shock fronts are
smoothed by artificial (tensor-) viscosity. The maximum resolution
achieved amounts to about
in the central
parts. The adaptive grid is chosen in a way that the innermost
rigidly rotating homogeneous sphere always contains a fraction of
10-6 of the total mass.
![]() |
Figure 1: Meridional cross sections. Displayed are equi-density contours (annotated numbers are logarithms of the density in g cm-3), the spacing being 0.5 dex, and arrows representing the velocity field. Red ``spots'' indicate expansion (cf. Fig. 3a). The closed heavy line marks the accretion shock, and the arrow at the lower right corner of the four panels represents the respective maximum infall velocities. Upper row: snapshots slightly after B and before C, respectively. Lower row: snapshots for D and E (cf. Fig. 2). At E ( right panel), two shocks, an outer and an inner one, bounding the growing ``pre-planetary'' disk and the ``stellar'' core, respectively, coexist (the two shocks are not displayed here, but cf. Fig. 4 for the formation of the stellar core). |
| Open with DEXTER | |
Concerning the coefficient of turbulent viscosity,
,
we have adopted the so-called
-viscosity prescription of Duschl et al. (2000), an extension of the
well-known, but likewise heuristic,
-viscosity for
application to self-gravitating disks. To be specific,
,
where r is the radial
coordinate,
the (local) angular velocity, and
the inverse of the critical Reynolds
number indicating the onset of turbulence. In our calculation, we
have chosen
.
3 Results and conclusions
3.1 Initial configuration and the first collapse phase
Table 1 lists a set of appropriate starting
parameters leading to the collapse of a rotating protostellar cloud
fragment. The Bonnor-Ebert-sphere-like initial configuration
exhibits already a moderate density concentration toward the center
and is assumed to rotate like a rigid body. The revolution period,
yr, adopted in our calculation is long
compared to the mean free-fall time. Hence, the centrifugal barrier
is situated at a distance from the center of only about 1% of the
cloud radius, and the collapse flow develops almost perfectly with
spherical symmetry for most parts of the cloud.
Table 1: Starting parameters.
It is convenient to reset the clock to zero when the optical depth of the collapsing fragment, counted from the outer edge to the center, exceeds 2/3 for the first time (e.g., WuTs03). This event may be interpreted to be the beginning of the protostellar evolution. All ages given subsequently are relative to this moment.
Shortly after age zero, an accretion shock forms marking the natural boundary of a flattened quasi-hydrostatic rotating structure, which is pressure-supported, parallel, and centrifugally-supported perpendicular to the axis of rotation.
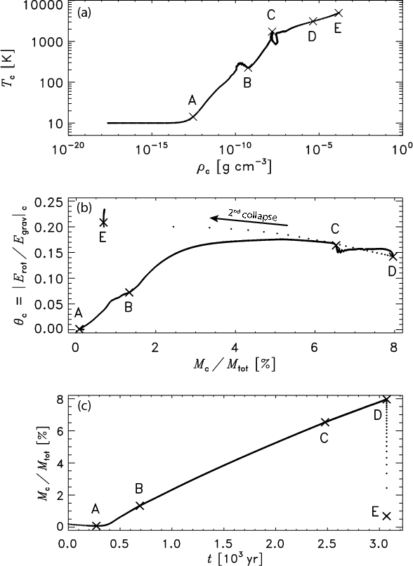
3.2 Formation and growth of the disk-like core
Figure 2 shows (a) the density-temperature-diagram for
the very center of the collapsing cloud, (b) the stability parameter
as a function of the relative core mass
,
and (c) the time dependence of
the relative core mass. The labels A through E indicate
characteristic stages of the evolution:
- A:
- the core starts to grow in mass;
- B:
- continuation of the accretion after thermal relaxation caused by opacity effects (sublimation of ice mantels);
- C:
- sublimation of the dust grains commences off-center near the axis of rotation as a ``hot polar cap'', leaving a growing opacity gap and violent thermal relaxation effects;
- D:
- start of the second collapse due to dissociation of H2;
- E:
- formation of the ``stellar'' core.
Figure 1 demonstrates the increasing geometrical dimensions and the changing shape of the first core, which occurs within a few thousand years; the bulge in the polar direction, indicated by the route of the accretion shock in the vicinity of the rotational axis, is the result of a rather intricate interplay between the redistribution of angular momentum, the accompanying generation of entropy (viz. heat), and the transport of energy. The net effects are rising temperatures and lower rotation rates in the inner parts of the core, which are necessary to trigger the second collapse. Test calculations demonstrated that, without a certain amount of angular momentum transport, the core would stay too cool and, hence, become prone to the onset of destructive gravitational instabilities that trigger binary formation.
![]() |
Figure 2: Evolution of the core. a) central density vs. central temperature; b) ratio of rotational over gravitational energy vs. core mass; c) core mass vs. time. Plotted are the respective quantities for each of the 104 timesteps individually. Because of the rapid evolution during the second collapse the path from D to E is covered only by a few points. For the meaning of labels A through E see Sect. 3.2. |
| Open with DEXTER | |
![]() |
Figure 3: Evolution of the core from its quasi-stationary stage to the end of the second collapse. Spatial distribution of a) the radial velocity component, ur, b) the temperature, T, in the equatorial plane for three instants of time indicated by dash-dotted (2301 yr), dashed (2948 yr), and solid lines (3070 yr), respectively; crosses mark the gridpoints. |
| Open with DEXTER | |
A glimpse at Fig. 2b indicates that the first core
cannot escape from existing in the regime of secular instability.
The ratio,
![]()
,
quickly rises above the critical number of 0.14, so that a small
amount of dissipation leads to symmetry breaking: the originally
axisymmetric core will assume a triaxial shape and presumably evolve
into a distinctive bar/spiral configuration exerting gravitational
torques, which, in turn, cause an
enhanced redistribution of angular momentum
(see, e. g., Pickett et al. 1997; Ostriker & Bodenheimer 1973; Toman et al. 1998; Imamura et al. 2000; Bodenheimer & Ostriker 1973).
This finding may motivate our choice of rather efficient turbulent
(
-) viscosity with
.
![]() |
Figure 4:
Meridional cross sections (cf. Fig. 1).
Formation of the ``stellar'' core on a very short timescale.
Plotted are three snapshots of the final shock evolution at (from
above) t0-10 d, t0, and t0+7 d, respectively, with
t0=3070 yr. The contour lines and arrows have the same meaning
as in Fig. 1, numbers are again logarithms of the
density in g cm-3, the spacing is 0.5 dex, and the arrows
indicate the velocity field. Note that now the geometrical
dimensions are only several solar radii
(
|
| Open with DEXTER | |
3.3 Formation of the ``stellar'' core
The second collapse is a result of the interplay between
thermodynamics, redistribution of angular momentum as a dissipative
process, and energy transport. Their combined effect is illustrated
by Fig. 1: particularly in the central parts, angular
momentum transport tends to prevent extreme flattening, while the
heat input by the accompanying dissipation of rotational energy
creates increasing pressure forces. As a consequence, the pressure
distribution becomes more spherical, and after some ``incubation''
period of slow contraction (between ``C'' and ``D'' in
Fig. 2), dissociation of H2 eventually leads to
dynamical collapse (``D''-``E''). Figure 2b shows that
the stability parameter,
,
approaches the
critical value of 0.27, which is indicative of dynamical
instability. Interestingly enough, our axisymmetric model suggests
the formation of a self-gravitating doughnut-like structure of the
density distribution (cf. Fig. 4).
3.4 An intermediate hot solar nebula?
The model provides for the first time a realistic initial temperature and density structure of the accretion disk and the flow pattern in the disk and its surroundings, including well resolved accretion shocks, on scales as small as well below 1 AU. Figure 3b shows a rather hot inner disk region extending out to about 4 AU. This structure was not seen in earlier calculations because of a lack of resolution, use of inadequate equations of state, and the omission of radiative transfer; it lasts for a couple of 1000 yr. This inner portion is hot enough for formation of materials such as those found as calcium-aluminium rich inclusions (CAIs) in meteorites; it might be the ``hot solar nebula'' that cosmochemists have always advocated.
CAIs are a fundamental - though rare (few permille to percent) - ingredient of chondrites. Although modified by a secondary processing, they consist of mineral assemblages which are expected for high temperature (>1600 K) solar nebula condensates, and are considered to be oldest solar system material (Bouvier et al. 2007; Amelin et al. 2002) and apparently formed over a relatively short time interval, but their detailed formation setting is basically unknown.
The CAI formation time interval has been vividly debated, based on
short-lived nuclide chronometry, mainly the
Al -26Mg
system (
Ma). While most studies yielded a
so-called ``canonical'' initial
Al /
Al in the
range
,
Thrane et al. (2006), Young et al. (2005), and
Bizzarro et al. (2004) argued for a ``supracanonical''
Al /
Al ratio of
,
implying formation and processing of CAI material over a few
100 000 years. Jacobsen et al. (2008) expended a comprehensive effort to
demonstrate that CAIs have an identical (canonical)
26Al/27Al ratio of
,
implying a
formation time interval of only 40 ka.
After residence in the solar nebula the CAIs became incorporated into chondritic parent bodies, which are strongly related to carbonaceous chondrites. This must have happened up to a few Ma later, as indicated by chondrule ages. Chondrules formed before chondrite parent-body accretion and are 1-4 Ma younger than CAIs (e.g., Scott 2007). It has always been unclear how they could be dynamically transported from their apparent formation regions in the inner solar system outwards to chondrite forming regions, and survive a few Ma before becoming incorporated into carbonaceous chondrite parent bodies. Our model shows that from the onset of disk formation on, there is a complex accretion flow structure, where the average inflow is superimposed on circulation currents that result in a net outward directed flow close to the midplane and inward directed flow in higher layers of the disk (cf. Fig. 1). This flow results in both accretion and a large-scale transport of matter (with velocities 10-50 m s-1, cf. Fig. 3a) close to the disk's midplane from the hot part outward to distances of several AU from the center.
This type of global accretion flow structure is generally found in
hydrodynamic calculations (e. g., Kley & Lin 1992; Keller & Gail 2004; Rózyczka et al. 1994).
Material from the hot region may be mixed by this across the inner
5 AU and part of this material may survive until the onset
of planetesimal formation since outflow close to the midplane also
continues to exist in later phases of disk evolution, though with
reduced velocity (e.g., Keller & Gail 2004; Ciesla 2009). In the full 3-D
picture, the flow will presumably exhibit non-axisymmetric
structures (e.g., cyclones). However, since they are only local
phenomena, we do not expect them to impede the global meridional
circulation considerably.
According to these perceptions, our model provides a most feasible setting for CAI formation comprising a very short time interval at the starting point of stellar accretion, which implies both high temperature processing out to relatively large inner disk radii, and a possible outward transport mechanism to ensure survival and later incorporation into chondritic planetesimals. Although other disk activities may also provide high temperature energetic events (e.g., FU Orionis outbursts), they were mostly active on significantly longer timescales, and appear unsuitable to explain why CAIs formed over such a restricted time interval of 40 ka only.
The model therefore seems to offer an explanation of how the short CAI-forming period in the Solar Nebula is related to the earliest evolutionary phase of the accretion disk. If true, CAI formation follows the second collapse immediately and is an accurate indicator of the formation time of the protoplanetary disk.
Acknowledgements
This work has been supported by the Forschergruppe 759, ``The Formation of Planets: The Critical First Growth Phase'' of the Deutsche Forschungsgemeinschaft (DFG).
References
- Allen, A., Li, Z.-Y., & Shu, F. H. 2003, ApJ, 599, 363 [NASA ADS] [CrossRef] (In the text)
- Amelin, Y., Krot, A. N., Hutcheon, I. D., et al. 2002, Science, 297, 1678 [NASA ADS] [CrossRef]
- Bate, M. R. 1998, ApJ, 508, L95 [NASA ADS] [CrossRef] (In the text)
- Bizzarro, M., Baker, J. A., & Haack, H. 2004, Nature, 431, 275, Erratum: 2005, Nature, 435, 1280 [NASA ADS] [CrossRef] (In the text)
- Bodenheimer, P. 1995, ARA&A, 33, 199 [NASA ADS] [CrossRef]
- Bodenheimer, P., & Ostriker, J. P. 1973, ApJ, 180, 159 [NASA ADS] [CrossRef]
- Bodenheimer, P., Yorke, H. W., Rózyczka, M., et al. 1990, ApJ, 355, 651 [NASA ADS] [CrossRef]
- Boss, A. P. 1989, ApJ, 345, 554 [NASA ADS] [CrossRef]
- Bouvier, A., Blichert-Toft, J., Moynier, F., et al. 2007, Geochim. Cosmochim. Acta, 71, 1583 [NASA ADS] [CrossRef]
- Cassen, P. 1994, Icarus, 112, 405 [NASA ADS] [CrossRef] (In the text)
- Ciesla, F. J. 2009, Icarus, 200, 655 [NASA ADS] [CrossRef]
- Dorfi, E. A., & Drury, L. O. 1987, J. Comp. Phys., 69, 175 [NASA ADS] [CrossRef] (In the text)
- Duschl, W. J., Strittmatter, P. A., & Biermann, P. L. 2000, A&A, 357, 1123 [NASA ADS] (In the text)
- Imamura, J. N., Durisen, R. H., & Pickett, B. K. 2000, ApJ, 528, 946 [NASA ADS] [CrossRef]
- Jacobsen, B., Yin, Q., Moynier, F., et al. 2008, Earth Plan. Sci. Lett., 272, 353 [NASA ADS] [CrossRef] (In the text)
- Keller, C., & Gail, H.-P. 2004, A&A, 415, 1177 [NASA ADS] [CrossRef] [EDP Sciences]
- Kley, W., & Lin, D. N. C. 1992, ApJ, 397, 600 [NASA ADS] [CrossRef]
- Larson, R. B. 2003, Reports on Progress in Physics, 66, 1651 [NASA ADS] [CrossRef]
- Lin, D. N. C., & Pringle, J. E. 1990, ApJ, 358, 515 [NASA ADS] [CrossRef]
- McKee, C. F., & Ostriker, E. C. 2007, ARA&A, 45, 565 [NASA ADS] [CrossRef]
- Nakamoto, T., & Nakagawa, Y. 1994, ApJ, 421, 640 [NASA ADS] [CrossRef]
- Ostriker, J. P., & Bodenheimer, P. 1973, ApJ, 180, 171 [NASA ADS] [CrossRef]
- Pickett, B. K., Durisen, R. H., & Link, R. 1997, Icarus, 126, 243 [NASA ADS] [CrossRef]
- Pudritz, R. E., Banerjee, R., & Ouyed, R. 2008, ArXiv e-prints (In the text)
- Rózyczka, M., Bodenheimer, P., & Bell, K. R. 1994, ApJ, 423, 736 [NASA ADS] [CrossRef]
- Saigo, K., Tomisaka, K., & Matsumoto, T. 2008, ApJ, 674, 997 [NASA ADS] [CrossRef]
- Scott, E. R. D. 2007, Ann. Rev. Earth Planet. Sci., 35, 577 [NASA ADS] [CrossRef] (In the text)
- Stamatellos, D., Whitworth, A. P., Bisbas, T., & Goodwin, S. 2007, A&A, 475, 37 [NASA ADS] [CrossRef] [EDP Sciences] (In the text)
- Terebey, S., Shu, F. H., & Cassen, P. 1984, ApJ, 286, 529 [NASA ADS] [CrossRef] (In the text)
- Thrane, K., Bizzarro, M., & Baker, J. A. 2006, ApJ, 646, L159 [NASA ADS] [CrossRef] (In the text)
- Tohline, J. E. 2002, ARA&A, 40, 349 [NASA ADS] [CrossRef]
- Toman, J., Imamura, J. N., & Pickett, B. K. 1998, ApJ, 497, 370 [NASA ADS] [CrossRef]
- Tscharnuter, W. M. 1987, A&A, 188, 55 [NASA ADS] (In the text)
- Wuchterl, G., & Tscharnuter, W. M. 2003, A&A, 398, 1081 [NASA ADS] [CrossRef] [EDP Sciences]
- Yorke, H. W., Bodenheimer, P., & Laughlin, G. 1993, ApJ, 411, 274 [NASA ADS] [CrossRef]
- Young, E. D., Simon, J. I., Galy, A., et al. 2005, Science, 308, 223 [NASA ADS] [CrossRef] (In the text)
Footnotes
- ...

- Usually written
,
but we wish
to avoid confusion with T, the temperature, and
,
the
scaling parameter of the turbulent viscosity.
All Tables
Table 1: Starting parameters.
All Figures
![]() |
Figure 1: Meridional cross sections. Displayed are equi-density contours (annotated numbers are logarithms of the density in g cm-3), the spacing being 0.5 dex, and arrows representing the velocity field. Red ``spots'' indicate expansion (cf. Fig. 3a). The closed heavy line marks the accretion shock, and the arrow at the lower right corner of the four panels represents the respective maximum infall velocities. Upper row: snapshots slightly after B and before C, respectively. Lower row: snapshots for D and E (cf. Fig. 2). At E ( right panel), two shocks, an outer and an inner one, bounding the growing ``pre-planetary'' disk and the ``stellar'' core, respectively, coexist (the two shocks are not displayed here, but cf. Fig. 4 for the formation of the stellar core). |
| Open with DEXTER | |
| In the text | |
![]() |
Figure 2: Evolution of the core. a) central density vs. central temperature; b) ratio of rotational over gravitational energy vs. core mass; c) core mass vs. time. Plotted are the respective quantities for each of the 104 timesteps individually. Because of the rapid evolution during the second collapse the path from D to E is covered only by a few points. For the meaning of labels A through E see Sect. 3.2. |
| Open with DEXTER | |
| In the text | |
![]() |
Figure 3: Evolution of the core from its quasi-stationary stage to the end of the second collapse. Spatial distribution of a) the radial velocity component, ur, b) the temperature, T, in the equatorial plane for three instants of time indicated by dash-dotted (2301 yr), dashed (2948 yr), and solid lines (3070 yr), respectively; crosses mark the gridpoints. |
| Open with DEXTER | |
| In the text | |
![]() |
Figure 4:
Meridional cross sections (cf. Fig. 1).
Formation of the ``stellar'' core on a very short timescale.
Plotted are three snapshots of the final shock evolution at (from
above) t0-10 d, t0, and t0+7 d, respectively, with
t0=3070 yr. The contour lines and arrows have the same meaning
as in Fig. 1, numbers are again logarithms of the
density in g cm-3, the spacing is 0.5 dex, and the arrows
indicate the velocity field. Note that now the geometrical
dimensions are only several solar radii
(
|
| Open with DEXTER | |
| In the text | |
Copyright ESO 2009
Current usage metrics show cumulative count of Article Views (full-text article views including HTML views, PDF and ePub downloads, according to the available data) and Abstracts Views on Vision4Press platform.
Data correspond to usage on the plateform after 2015. The current usage metrics is available 48-96 hours after online publication and is updated daily on week days.
Initial download of the metrics may take a while.
![\begin{figure}
\par\includegraphics[width=15.5cm,clip]{12120fig1.eps}
\end{figure}](/articles/aa/full_html/2009/34/aa12120-09/Timg6.png)
![\begin{figure}
\par\includegraphics[width=8.3cm,clip]{12120fig2.eps}
\end{figure}](/articles/aa/full_html/2009/34/aa12120-09/Timg21.png)
![\begin{figure}
\par\includegraphics[width=8.8cm,clip]{12120fig3.eps}
\end{figure}](/articles/aa/full_html/2009/34/aa12120-09/Timg22.png)
![\begin{figure}
\par\includegraphics[width=8.8cm,clip]{12120fig4.eps}
\end{figure}](/articles/aa/full_html/2009/34/aa12120-09/Timg26.png)