| Issue |
A&A
Volume 504, Number 2, September III 2009
|
|
|---|---|---|
| Page(s) | 331 - 346 | |
| Section | Cosmology (including clusters of galaxies) | |
| DOI | https://doi.org/10.1051/0004-6361/200809964 | |
| Published online | 15 July 2009 | |
GMASS ultradeep spectroscopy of galaxies at z
2
,![[*]](/icons/foot_motif.png)
V. Witnessing the assembly at z = 1.6 of a galaxy cluster
J. Kurk1,2 - A. Cimatti3 - G. Zamorani4 - C. Halliday2 - M. Mignoli4 - L. Pozzetti4 - E. Daddi5 - P. Rosati6 - M. Dickinson7 - M. Bolzonella4 - P. Cassata8 - A. Renzini9 - A. Franceschini10 - G. Rodighiero10 - S. Berta11
1 - Max-Planck-Institut für Astronomie, Königstuhl 17,
69117 Heidelberg, Germany
2 -
INAF - Osservatorio Astrofisico di Arcetri,
Largo E. Fermi 5, 50125 Firenze, Italy
3 -
Università di Bologna, Dipartimento di Astronomia,
via Ranzani 1, 40127 Bologna, Italy
4 -
INAF - Osservatorio Astronomico di Bologna,
via Ranzani 1, 40127 Bologna, Italy
5 -
CEA, Laboratoire AIM - CNRS - Université Paris Diderot,
Irfu/SAp, Orme des Merisiers, 91191 Gif-sur-Yvette, France
6 -
European Southern Observatory,
Karl-Schwarzschild-Strasse 2, 85748 Garching bei München, Germany
7 -
NOAO-Tucson, 950 North Cherry Avenue, Tucson, AZ 85719, USA
8 -
Department of Astronomy, University of Massachusetts,
710 North Pleasant Street, Amherst, MA 01003, USA
9 -
INAF - Osservatorio Astronomico di Padova,
Vicolo dell'Osservatorio 5, 35122 Padova, Italy
10 -
Università di Padova, Dipartimento di Astronomia,
Vicolo dell'Osservatorio 2, 35122 Padova, Italy
11 -
Max-Planck-Institut für extraterrestrische Physik,
Giessenbachstraße, 85748 Garching bei München, Germany
Received 14 April 2008 / Accepted 10 June 2009
Abstract
Context. Clusters of galaxies represent important laboratories for studying galaxy evolution and formation. Well established and relaxed clusters are known below z < 1.4, as well as, clusters in formation found close to radio galaxies at z > 2, but the in-between redshift range, during which clusters are expected to undergo significant changes, is almost unexplored.
Aims. By studying a galaxy overdensity in redshift and angular distribution at z = 1.6, uncovered in the Galaxy Mass Assembly ultra-deep Spectroscopic Survey (GMASS), we provide insight into the evolution of cluster galaxies at high redshift.
Methods. We present a study of the significance of the galaxy overdensity at z = 1.6, Cl 0332-2742, its velocity dispersion, and X-ray emission. We identify the colour bimodality of the cluster members and compare the properties of members of Cl 0332-2742 with galaxies outside the overdensity.
Results. From the redshifts of the 42 overdensity members, we measure a velocity dispersion of 500 km s-1. We conservatively estimate the overdensity in redshift space for the spike at z=1.6 in the GMASS field to be
.
A map of the surface density of galaxies at z=1.6 in the GMASS field shows that its structure is irregular with several filaments and local overdensities. The differences in the physical properties of Cl 0332-2742 member and field galaxies agree with the latest hierarchical galaxy formation models: for overdensity members, the star formation rate (
), and specific
,
is approximately 50% lower than for the field galaxies; overdensity galaxies are twice the age, on average, of field galaxies; and there is a higher proportion of both massive (
), and early-type galaxies, inside Cl 0332-2742 than in the field. Among the 42 members, seven have spectra consistent with being passively evolving, massive galaxies. These are all located within an area where the surface density of z=1.6 galaxies is highest. In a z-J colour-magnitude diagram, the photometric data of these early-type galaxies are in close agreement with a theoretical red sequence of a galaxy cluster at redshift z = 1.6, which formed most of its stars in a short burst of star formation at
.
Conclusions. We conclude that the redshift spike at z=1.6 in the GMASS field represents a sheet-like structure in the cosmic web, and that the area with the highest surface density within this structure, containing already seven passively evolving galaxies, will evolve into a cluster of galaxies at a later time.
Key words: galaxies: distances and redshifts - galaxies: evolution - galaxies: formation - galaxies: clusters: general - galaxies: high-redshift
1 Introduction
Clusters of galaxies are the most massive structures in the universe. Because the evolution of structure in the early universe depends on mass, galaxy clusters play an important role in cosmology and can help to constrain cosmological parameters (e.g., Rapetti et al. 2008). Clusters are also powerful tools for studying galaxy evolution.
It is well known that environment plays an important role in galaxy
evolution. Correlations between the environment of galaxies,
e.g., in terms of galaxy density, and several galaxy properties,
such as the age and metallicity of their stellar populations, star
formation rates, and morphologies have been studied, in individual
galaxy clusters and also as a function of redshift. Early
observations of cluster galaxies out to z = 0.5 by, for example,
Butcher & Oemler (1978,1984) showed little evidence of evolution in the colours
of the red cluster population, but detected an increase in the
fraction of blue galaxies, which appeared to avoid the cluster
centre. Although this Butcher-Oemler effect has been disputed,
the general conclusion still stands (e.g., Tran et al. 2007; Fassbender et al. 2008; Andreon et al. 2006; Tanaka et al. 2005; Ellingson et al. 2001). Balogh et al. (2007) find that, for a given
stellar mass and redshift, fewer galaxies in groups show strong
[O II] emission than in field galaxies. The evolution of
star formation rate appears to depend on both galaxy mass and galaxy
environment (Baldry et al. 2006). The observations by Baldry et al.
of a large sample of galaxies at z<0.1 were compared directly with
the semi-analytic models of galaxy formation by Bower et al. (2006) and
Croton et al. (2006), showing closer agreement with the former. This
colour-density relation has also been confirmed at higher redshifts,
up to
(Cooper et al. 2007; Cucciati et al. 2006). At these high redshifts,
few massive systems are known, as Poggianti et al. (2008) note. In addition,
distant cluster surveys have studied primarily massive clusters.
Poggianti et al., therefore, employ data from the ESO Distant
Cluster Survey to investigate the relation between star formation
activity, morphology, and local galaxy density in galaxy groups and
clusters at z = 0.4-0.8. They detect proportionally fewer
galaxies with ongoing star formation in regions of higher projected
density in both distant and nearby clusters, but no evidence that
the star formation properties of a given Hubble type or galaxy mass
depend on local environment.
A striking feature in the spectrum of an old stellar population is
the 4000 Å break, above which the light of old (red) stars
dominate over that of the rare young stars. This feature causes the
occurrence of a sequence of red (passive) galaxies in a (suitable)
colour-magnitude diagram of galaxy clusters. The tight sequence
observed in both nearby and distant clusters (up to z=1.24)
suggests that the stars in these galaxies formed at very high
redshift in a relatively short time (e.g., Stanford et al. 1998; Blakeslee et al. 2003).
An analysis of stellar population properties and morphologies of
red-sequence galaxies in clusters and groups from
to
by Sanchez-Blazquez et al. (2009) shows that the rate at which
red-sequence galaxies evolve depends on their mass, as less massive
galaxies show evidence of a more extended star formation history
than more massive galaxies do. One therefore expects that, at
higher redshift, the scatter in colour increases as the epoch when
the stellar populations were formed is approached. Indeed, changes
in the red sequence in galaxy structures have been observed between
low redshift and redshifts z=2.2-3.1 (Zirm et al. 2008; De Lucia et al. 2007; Kodama et al. 2007),
in the sense that the faint end of the red sequence becomes less
populated, although a dependence on cluster richness may also play a
role (Andreon 2008).
Distant groups and clusters of galaxies, therefore, provide important environments for the study of galaxy evolution, especially if both passive and actively star-forming galaxy populations can be studied in detail. For the overdensities of galaxies known at high redshift, this is often problematic because their cluster members are selected on the basis of either their star formation activity (blue members, e.g., Steidel et al. 2005; Kurk et al. 2000; Pentericci et al. 2000; Venemans et al. 2002), or lack of it (red members, e.g., Best et al. 2003; McCarthy et al. 2007; Kodama et al. 2007). The most well studied high-redshift systems confirmed to be clusters on the basis of their X-ray emission, are found between z = 1.0 and z = 1.4, redshifts for which spectroscopic data of both the red and blue populations can be practically acquired (e.g., at z=1.26, Mei et al. 2006; Demarco et al. 2007). These clusters were discovered either by their extended X-ray emission due to hot cluster gas (RX J0848.9+4452 at z=1.26, XMMU J2235.3-2557 at z=1.39, XMMXCS J2215.9-1738 at z = 1.45, Rosati et al. 1999; Stanford et al. 2006; Mullis et al. 2005, respectively), or by studying near-infrared (NIR) photometry of red cluster members (ISCS J143809+341419 at z = 1.41 Stanford et al. 2005).
We present a galaxy overdensity at z = 1.61, possibly a cluster under assembly, containing both red and blue galaxy populations. In Sect. 2, we introduce the overdensity as described in other papers and describe the data set that we used to gather additional data. We also discuss the selection bias that may be present in our data. In Sect. 3, we describe the properties of the overdensity, including its velocity dispersion, an estimate of its mass, and the presence of a red sequence of galaxies. In Sect. 4, the properties of the individual galaxies in the overdensity are described, in relation also to the local density, and in comparison with galaxies in a field sample. The overdensity and its galaxies are discussed in the context of the literature in Sect. 5. In Sect. 6, the paper is summarized.
The following cosmological parameters are used throughout this paper:
H0 = 70 km s-1 Mpc-1,
.
Magnitudes are quoted in the AB
system.
2 The data
2.1 An overdensity at z = 1.6
The overdensity at z=1.6 was detected by means of its clustering in
the redshift space of the deep spectroscopic GMASS survey (Kurk et al., in preparation). We refer to this overdensity as Cl 0332-2742, which
corresponds to the coordinates of the galaxy at the centre of the
number density isosurfaces (see below). The GMASS survey was carried
out in the field of GOODS-S, where several overdensities at various
redshifts have been detected. Gilli et al. (2003) described five spikes in
the X-ray source redshift distribution of this field; the second
highest in terms of redshift occurs at z=1.62 and contains five
sources. The Poissonian probability of observing such a high number
of sources, given the background count rate, is only
,
which implies that this aggregation represents a significant
group. Vanzella et al. (2006) also described spikes in the redshift
distribution using data from the ESO/GOODS spectroscopy program of
faint galaxies in the GOODS-S field. They reported that 20 galaxies
have redshifts of
and eight other galaxies had redshift
data from other surveys; all of these galaxies are distributed
spatially in an apparently non-uniform way. The probability of
detecting such a significant peak in redshift space by chance is less
than
,
according to Monte Carlo simulations of the
smoothed redshift distribution of the 501 confirmed redshifts, after
the second stage of the ESO/GOODS spectroscopy program.
Three old, fully-assembled, massive (>
)
spheroidal
galaxies within the spike at z=1.61 were detected in the K20 survey
(Cimatti et al. 2002) and described in Cimatti et al. (2004). In another article based
on GMASS results, Cimatti et al. (2008) investigated the properties of
thirteen old, passive galaxies at z > 1.4, seven of which are at z
= 1.6. These galaxies have stellar-mass surface-densities that are
1 dex higher than local spheroids of similar mass.
An overdensity at z=1.6 was also discerned in photometric redshift
space by Castellano et al. (2007); these authors applied their own (2+1)D cluster
finding algorithm (see also Trevese et al. 2007) to the GOODS-South Field
and discovered a localized overdensity, embedded in a larger scale
overdensity of galaxies at z = 1.6. Their method was based on an
estimate of three-dimensional densities and considered simultaneously
angular positions and photometric redshifts (in this case from the
GOODS-MUSIC catalogue by Grazian et al. 2006). From their analysis,
several major peaks at different redshifts emerged, the peak at
being the most significant at z > 1 in the GOODS-South
field. Within this large-scale overdensity (for which
additional spectroscopic evidence was presented by Gilli et al. 2003; Vanzella et al. 2005; Cimatti et al. 2004,2002; Vanzella et al. 2006), they isolated a compact, higher density peak,
centred approximately on RA
32
29.98
,
Dec
42
35.99
,
which was identified to be a
cluster of an approximate total extension of
Mpc
(comoving), centred on a large star-forming, remarkably irregular
galaxy (see Fig. 2 in Castellano et al. 2007). In this paper, we define a
circular high-density region, centred on the same coordinates,
of radius 1 Mpc (physical). The reasons for this choice are
explained in Sect. 3.1. On the basis of the irregular
morphology of the galaxy overdensity, its low total X-ray emission,
and its estimated mass of (1.4-4.1)
,
Castellano et al. concluded that this group/poor cluster had not yet
reached its virial equilibrium.
2.2 The GMASS sample
GMASS (Galaxy Mass Assembly ultra-deep Spectroscopic Survey
)
is a project based on an ESO VLT Large Program (173.A-0687, P.I. A. Cimatti). The GMASS project and sample are described in detail by
Kurk et al. (2009, in preparation, hereafter Paper VI), and
we recall only its main features. The GMASS sample was selected from a
region of
arcmin2, located in the GOODS-South
field
(Giavalisco et al. 2004; Dickinson
et al., in preparation); all sources detected in the publicly
available
m image, acquired using IRAC on the Spitzer
Space Telescope, were extracted to a limiting magnitude of
m4.5<23.0 (2.3
Jy), which provided a selection related
closely to stellar mass. The GMASS sample includes 1277 unblended
objects to
m4.5<23.0, which have photometry from the NUV to MIR
and SED fits obtained using Maraston (2005, M05) templates providing
stellar masses, star formation rates (
s), and other galaxy
properties (see Sect. 4 and Pozzetti et al. 2007).
The GMASS ESO VLT+FORS2 optical spectroscopy was focused on galaxies
pre-selected using a cut in photometric redshift of
and two cuts in the optical magnitudes (B<26.5, I<
26.5). This selection produced 221 spectroscopic targets, 174 of
which were actually observed (called the spectroscopic sample,
hereafter). The integration times were extremely long (up to 32 hours
per mask and some targets were included in multiple masks), and the
utility of the spectroscopic data was optimized by acquiring spectra
at either blue (4000-6000 Å) or red (6000-10 000 Å) wavelengths,
depending on the colours and photometric SEDs of the targets, called
the blue and red masks, respectively, hereafter. Despite the faintness
of the targets, the GMASS spectroscopy program was very successful:
we were able to determine redshifts for 150 out of the 174
targeted sources (86%), 132 of which turned out to have
.
This implies that fractions of
76% and 88% of
all targeted sources and those with successfully determined
redshifts, respectively, are at
.
In addition to
the 18 objects from the spectroscopic sample with
,
filler objects used to complete the masks delivered
another 27 redshifts of
and three of
.
Figure 1 shows the distribution of all known spectroscopic redshifts (including those of other surveys in GOODS-S, see Paper VI) of galaxies within the GMASS catalogue (stars are omitted), up to z = 2.9. Several peaks in the distribution are prominent, the peak at z = 1.6 being the most significant at z > 1.4. Although this peak was previously known to exist (see Sect. 2.1 for references), the availability of 136 spectroscopic redshifts at z > 1.4 from GMASS allows a far more careful study than possible before. The redshift peak at z=1.6 may indicate the presence of a galaxy cluster or a more extended galaxy overdensity (such as a sheet). Because the dynamical state and richness of Cl 0332-2742 is a priori unknown, we refer to the galaxy aggregation as a galaxy group or cluster in formation and to the galaxies considered to be part of the spike in the redshift distribution as members or member galaxies.
![]() |
Figure 1:
Redshift distribution of spectroscopic redshifts of
objects in the GMASS field displayed with bin sizes of
|
| Open with DEXTER | |
2.3 Assessment of the spectroscopic selection bias
Our criteria for the selection of the spectroscopic sample may create
a selection bias, which should have a minor influence on the redshift
distribution in the range
1.4 < z < 1.8 considered here. A bias
introduced by the success of the redshift determination, could be more
important. At wavelengths for which [O II] is detected, in
galaxies at
,
several sky lines of a range of intensities,
in the observed frame, are present. These lines can, in principle, have
a serious effect on the measurement of emission-line wavelengths, and
spurious peaks in the redshift distribution can be produced. We find,
however, that this effect has a minor influence on our redshift
determination.
In Sect. 3.2, we show that the 42 galaxies
in the redshift range
are likely to be
members of the galaxy overdensity. Of these, 27 have redshifts
determined only by GMASS, while ten have redshifts determined only by
ESO/GOODS spectroscopy (Vanzella et al. 2006). The remaining five have
redshifts determined by GMASS spectroscopy, but four of these were
also observed by Vanzella et al. (two with an uncertain redshift,
one of them being inconsistent with the more accurate GMASS redshift),
and one was part of the K20 survey (but with an uncertain and
inconsistent redshift). We examined all 42 spectra in detail and
assessed whether redshift determination would have been possible
without the detection of the [O II] line, which was the case
for 20 (i.e., 48%) of the galaxy spectra with strong UV absorption
lines. For eight of these spectra, the region about
Å, which corresponds to the wavelength of the [O II]
line at z=1.61, was not observed at all, while for an additional
three the region was observed, but the [O II] line was not
detected. A wavelength-dependent selection function is not an issue
for these galaxy spectra, because the main UV absorption lines are
observed in an observed-frame wavelength range for which no strong sky
lines are detected.
As a second check, we assessed precisely the sky line situation about 9690 Å. The result is shown in the upper inset of Fig. 1, where we have translated the wavelengths of the sky spectrum to the redshift relevant to [O II] detection. We note that the region corresponding to 1.600 < z < 1.616 is populated by weak sky lines. In contrast, the wavelength range corresponding to 1.570 < z < 1.600, for which not a single redshift was determined, has far lower sky line contamination. In addition, we note that in the redshift range 1.616 < z < 1.622, corresponding to an observed wavelength range for which no sky lines are present, only one galaxy is detected.
We conclude that the observed-frame wavelength range affected by mild sky-line contamination is significantly wider than the range encompassing the overdensity redshift peak. Sky lines have, therefore, a minor influence, if any, on the measurement of redshift for the twelve members with GMASS spectroscopy, for which redshift was measured using [O II], and the ten members for which redshifts were measured by the ESO/GOODS survey.
We finally note that the redshift peak is also present in the photometric redshift distribution (see Fig. 1 in paper VI), which is subject to different selection biases and therefore unlikely to generate a peak at the same redshift by chance.
3 Overdensity properties
3.1 Angular distribution
![]() |
Figure 2:
Density maps of galaxies at z = 1.6 in the GOODS-South
field. Filled (solid and dashed) contours indicate the density of
|
| Open with DEXTER | |
| |
Figure 3:
The 20
|
| Open with DEXTER | |
Figure 2 shows the geometry of the GMASS field,
indicating objects with known spectroscopic redshifts by small dots,
galaxy members (i.e., objects with
)
by
crosses or diamonds, and photometric redshifts in the range
by large dots. There is a distinct concentration
of galaxy members towards the northern edge of the GMASS field. In
addition, among the galaxy members, the red, early, and
intermediate-type galaxies are most strongly concentrated towards the
north. These types were determined from the spectra of the galaxies on
the following basis: class 1 (early-type) have absorption lines only,
class 2 (late-type) have strong emission lines, and class 1.5
(intermediate-type) have absorption lines but some emission lines
(most commonly [O II]) are also present.
The brightest confirmed galaxy member (GMASS 2148 at z = 1.609,
close to the mean redshift of the spike) is the central galaxy within
a striking linear triplet of early-type galaxies, having a length of
20
(or 169 kpc) in the north-east of the GMASS field (see
Fig. 3). The other two members of the triplet
(GMASS 2196 and 2543) have redshifts z = 1.614 and 1.612
(respectively) and the largest difference in redshift corresponds to
575 km s-1. The crossing time of a galaxy in this triplet
is
yr, indicating that these systems are possibly
in the process of merging, in which case they would form one central
massive galaxy with a mass of
.
In a
colour-magnitude diagram of this field, GMASS 2196 and 2543 are also
located very close to GMASS 2148, the latter forming the tip of the
red sequence (see Sect. 3.5). It is remarkable that this
triplet of red galaxies lies about 1.5
(i.e., 760 kpc)
eastward of the centre of the high density region and X-ray emission
described by Castellano et al. (2007). This may be an indication that the
cluster is not yet relaxed.
We also show in Fig. 2 the density of
galaxies based on photometric redshifts in the GOODS-MUSIC catalogue
as filled contours (this density map is comparable to that
presented by Castellano et al. 2007). This density is computed by counting the
number of neighbouring galaxies at
within a radius
(projected on the sky) of about 300 (physical) kpc (roughly the scale
of galaxy groups). To normalize this number and thereby correct for
edge effects and the presence of bright stars, this value is divided
by the total number of galaxies in the catalogue within this
radius. Contours are subsequently drawn using triangulation to obtain
a regular grid. This process involves some extrapolation at the edges
of the grid that produces obvious artifacts in the density maps, which
should be disregarded by the reader. In Fig. 2, the
redshift interval of members is taken to be
,
which is based on a comparison of photometric redshifts within
the MUSIC catalogue with the redshifts of spectroscopically-confirmed
members. The solid and dashed contours are based on the photometric
redshifts in the GMASS catalogue, using the same redshift interval as
above but including spectroscopically-confirmed galaxies within the
interval and excluding galaxies with spectroscopic redshifts outside
the interval. The result is a similar but not identical density
map. Noteworthy is the more pronounced concentration of photometric
members, which are defined to be members according to photometric
redshifts, in the western part of the field, which is close to the
three massive, red z=1.6 galaxies confirmed by the K20 survey
(Cimatti et al. 2004, just to the west of the GMASS field). The circle on
this figure indicates the extent of the high-density region defined
in Sect. 2.1. The radius of this circle is chosen
to be 1 (physical) Mpc, similar to the size of low-redshift
clusters. The area of this circular region is similar to the area of a
square defined by Castellano et al. (2007) to contain the highest surface density
of z=1.61 galaxies. The high-density region contains 21 of
the member galaxies; the same number is present in the area outside
this region, which is five times larger and is therefore referred to
as the low-density region.
Selection biases in the angular distribution of galaxies with spectroscopic redshifts, can be caused by bright objects preventing the detection of faint objects, for example distant galaxies, within a certain radial distance. Biases are also introduced by the design of the spectroscopic masks, which have certain geometrical constraints such as the smallest possible distance between objects included in different slits. To estimate the significance of the angular inhomogeneity displayed by the members with redshifts determined by GMASS, we carried out a counts-in-cells analysis. In each cell, we compared the total number of objects targeted in the slits of all six GMASS masks with the number of z=1.6 galaxies observed in that cell. This analysis was completed for a range of cell sizes, and showed that the angular distribution of the slits used for spectroscopy was rather homogeneous. We therefore consider any observed clustering of members on the sky as true angular clustering.
3.2 Velocity dispersion
Table 1: Spike galaxy redshifts, photometry, properties derived from fitted SEDs, and morphological classifications.
A fundamental property of galaxy clusters, groups, and their
progenitors is the velocity dispersion of their members. In virialized
systems, this provides a measure of the mass contained within the
system. A widely adopted estimator of cluster velocity dispersion is the
biweight statistic discussed by Beers et al. (1990, hereinafter
BFG90). For a typical dataset of 20 to 50 galaxies, BFG90
showed that the biweight-scale estimator is a robust estimator of
distribution spread and demonstrated its insensitivity to outliers. We
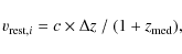
determined the median redshift and biweight statistic of the z=1.6spike in an iterative way. We started the iterative process using all
galaxies in the GMASS field with spectroscopic redshifts in the
interval
1.50 < z < 1.72. The median
for these
galaxies was determined, and velocities in the cluster reference frame
were computed as follows:
| (1) |
where c is the speed of light. An estimate of the velocity dispersion,
Our measurements of cluster redshift and velocity dispersion are
and
km s-1, respectively. The uncertainty in
was taken to be the
bootstrap confidence interval estimated
from 1000 Monte Carlo simulations
. Of the 42 members, 32 have secure redshifts determined by
GMASS and 7 have secure redshifts determined by ESO/GOODS. The
remaining three redshifts are less secure, but removing these objects
from the sample does not alter our final results. Expanding the
redshift interval to a width of
does not
add any members to the 42 found. In the second inset of
Fig. 1, we overlay a Gaussian function that
corresponds to the computed
.
The skewness and
kurtosis of the redshifts distribution are -0.23 and 3.6,
respectively. As is evident in the histogram, there is an enhancement
of values, relative to a Gaussian, below the distribution mean and the
distribution is much more heavy-tailed than a Gaussian
(Bird & Beers 1993). A Gaussian function may not therefore be the most
suitable description of the redshift distribution. This is also shown
by the more robust estimators of asymmetry and tail index
(Bird & Beers 1993), based on order statistics, which have values of -0.27and 2.6, respectively, indicating deviation from Gaussianity with
significances of >20% and >99%. Considering only the 21 galaxies
within the high density region (dashed histogram in
Fig. 1), we obtain a velocity dispersion of
km s-1. As this value
is, within the errors, consistent with the value obtained above for
the 42 members, we use the value of 500 km s-1 for the
overdensity's velocity dispersion in the remainder of this paper.
In redshift space, the members seem to form a bimodal
distribution (Fig. 1), with a main peak at
z=1.610 and a secondary peak at z=1.602. A k-means clustering
analysis indeed shows that, if the presence of two redshift groups
is assumed, the most likely partitioning is into a small group of
seven to ten members at a mean redshift z=1.603 and a large group
of the remaining members with mean redshift z=1.611. We also
fitted two models to the redshift distribution around z=1.61, the
first consisting of a single Gaussian function and the second
composed of the sum of two Gaussian functions. In both cases, the
area under the curve was fixed to be the area given by the histogram
of the 42 member redshifts at z=1.6, resulting in two and five
fitting parameters, respectively. The model comprising the
summed Gaussian functions, shown in Fig. 1,
fits the redshift distribution more accurately: an F-test comparing
these two models excludes the possibility that the 32% decrease in
the value of
is solely due to chance at the 98.5% level.
The two peaks might be populated by spatially-separated groups. We
applied a statistical test proposed by Dressler & Shectman (1988) to quantify
possible spatial substructure using the positions of the galaxy
members and their recessional velocities, but found no significant
evidence that the overdensity is substructured. Pinkney et al. (1996)
evaluate statistical tests for substructure in clusters of galaxies,
including the Lee2D (Fitchett 1988) and Lee3D (Pinkney et al.)
tests. They find that these tests are less sensitive to
subclustering than the test introduced by Dressler & Shectman but
have the advantage of being insensitive to non-substructure
configurations that appear as substructure in other tests (such as
elongation and a velocity dispersion gradient). We applied both
tests to our data and found marginal evidence of substructure using
the Lee2D test and no evidence using the Lee3D test. The tests
infer a consistent angle for the line, on which the projected member
positions show the largest contrast at ![]()
wrt the line
of constant declination. As this angle is almost identical to the
position angle of the GMASS field plotted on Fig. 2, we
do not indicate this angle separately. We note that the six masks
used to acquire the GMASS spectroscopy all had different position
angles and the similarity between the two angles described above is
considered to be a coincidence. Finally, the two-dimensional
two-sided K-S test (Fasano & Franceschini 1987) also showed that the angular
distribution of the eleven
galaxies does not
differ significantly from that of the 31 galaxies in the interval
1.608 < z < 1.622. Although no clear separation in projection is
evident between the two redshift groups, we cannot exclude the
existence of substructure along the line of sight.
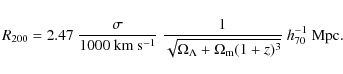
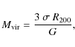
For a relaxed cluster, the virial radius is similar to R200, the
radius inside which the density is 200 times the critical density.
Using the redshift dependence of the critical density and the virial
mass to relate the line-of-sight velocity dispersion to the cluster
mass, R200 can be expressed as (see Finn et al. 2005)
![]() |
(2) |
In addition, the virial mass of a cluster can be expressed as a function of velocity dispersion using the above equation. Assuming that the virial radius is equal to R200, one obtains (see also Finn et al. 2005)
![]() |
(3) |
and
![]() |
(4) |
Although we do not know whether the structure under study here is virialized, we do apply these equations to derive an indication of the virial radius and mass, obtaining (for
3.3 Galaxy overdensity and mass contained
The galaxy overdensity in redshift space is defined to be the number
of galaxies found in a certain redshift interval, divided by the
number of galaxies expected in this interval minus one. To determine a
galaxy overdensity in redshift space, one has to assume an expected
number of galaxies in this interval. It is obviously impossible to
estimate the expected number of galaxies without introducing any
biases such as those discussed in
Sect. 2.3. In the absence of a superior
method, we assume a flat n(z) distribution and employ the
108 galaxies with spectroscopically-confirmed redshifts within the
GMASS sample in the range
z1 = 1.400 < z < 1.900 = z2. The lower
limit is set by the selection criteria for GMASS spectroscopic
observations and the upper limit is based on the appearance of the
redshift distribution shown in Fig. 1, which
declines at z > 2. Indeed the number of galaxies expected varies by
less than 5% for
1.75 < z2 < 2.00.
For the redshift interval
1.601 < z < 1.621 with
,
4.32 galaxies would be expected but 40 are observed
(subtracting the two galaxies that define the boundaries of this
interval). Therefore, we derive an estimated overdensity of
,
where the uncertainty is based on Poisson
statistics. We note that restricting the redshift interval of the
peak to
1.601 < z < 1.615, i.e., excluding a single galaxy, leads
to an estimated overdensity of
.
In
addition, excluding the redshift interval
1.572 < z < 1.670 from
the n(z) count, which includes all member galaxies and additional
empty redshift space, the estimated overdensity would be
.
In the following, we conservatively adopt
an overdensity of
.
To estimate the total mass contained within the volume occupied by the
spike, we need to measure this volume and the matter overdensity,
which is related to the galaxy overdensity by the bias factor
![]() |
(5) |
(e.g., Steidel et al. 1998). The bias factor is plausibly 1.6, as extrapolated from measurements up to z = 1.5 by Marinoni et al. (2005), which is lower than the range of 2-4 assumed by Steidel et al. (1998), who originally introduced the method followed below. Assuming this bias factor, the matter overdensity then equals
The total stellar mass contained within the 21 galaxies inside the
high-density region equals
(the 21 galaxies inside the low density region add only another
). Applying a total-to-stellar-mass ratio of 100,
appropriate for clusters with a velocity dispersion in the range
425-800 km s-1 (Balogh et al. 2007), in a similar way to the approach
of McCarthy et al. (2007) for a structure at z=1.5, we obtain a total mass of
,
which is consistent with the mass obtained
above for the sphere circumscribing the high-density region.
3.4 X-ray emission
Castellano et al. (2007) reported three X-ray sources within the high-density region, one coinciding with the peak of their galaxy density contours and including a late-type galaxy of a peculiar morphology. We identify this galaxy with GMASS 2540, which indeed has a redshift z = 1.613, measured using GMASS spectroscopy. In addition, several other galaxies with spectroscopic redshifts at z = 1.6 from GMASS are located within the soft X-ray contours displayed in Fig. 2 of Castellano et al., namely GMASS 2180, 2286, and 2251 at z = 1.608, 1.604, and 1.609, respectively.
The CDFS was observed by Chandra for 1 Msec (Rosati et al. 2002b),
which allows detection of extended emission down to
erg cm-2 s-1 in the 0.5-2 keV band for relatively compact
sources. More recently, these observations were extended to 2 Msec
(Luo et al. 2008). In the GMASS region, the Chandra PSF
is 2-3 arcsec and the median effective exposure time at the positions of the
overdensity members is 1.56 Msec. For sources with an extent of 5-10 arcsec, which are easily resolved by Chandra, the 2 Msec data have a
detection limit (
)
of
erg cm-2 s-1 in the soft band. Given the size of the
GMASS field and the cumulative X-ray cluster number counts presented
in Rosati et al. (2002a), at least
low X-ray luminosity clusters
(at any redshift) are expected to be detected. The presence of a
galaxy group or cluster in this field is therefore quite likely.
At z=1.6, this X-ray sensitivity implies a limit to the X-ray
luminosity of
erg s-1 in the observed frame and
0.5-2 keV band. For a T = 2 keV group, the K-correction amounts to 9
and the bolometric correction to 2.3. Therefore, the Chandra
observations imply a limit of
erg s-1. Mahdavi & Geller (2001) provide an empirical relation
erg s-1
,
which has significant
scatter, in particular for groups. For the measured velocity
dispersion of the redshift spike of
km s-1, one would
expect
an X-ray luminosity
erg s-1; this is
consistent with our limit because of both the large scatter in the
-
relation, and the error in the velocity dispersion,
which may have been overestimated if the overdensity is not yet
virialized. An extended X-ray source is detected neither in the
vicinity of any ETG in the north of the field, nor around the triplet
clump. In addition, by stacking X-ray photons in the 0.5-2 keV band
around the seven ETGs, for a total effective exposure time of
11.3 Ms, no signal is detected down to
erg cm-2 s-1.
3.5 Colour-magnitude diagram
Although more pronounced in galaxy clusters, the field population of
galaxies up to at least
shows a bimodal distribution in
colour, with red galaxies on the passive side and blue galaxies on the
active side, separated by a green valley of galaxies in transition
from blue to red (e.g., Bell et al. 2004). The emergence of colour
bimodality at
is the subject of another paper employing the
GMASS spectra (Cassata et al. 2008). Within cluster populations, the
bimodality is detected as a
concentration of red (early-type) galaxies on a line in a
colour-magnitude diagram using colours that straddle the 4000 Å break, which is referred to as the red sequence (RS). This sequence
is more pronounced in regions of high galaxy density (i.e., clusters
and groups) because galaxies appear to evolve more rapidly in such an
environment; Thomas et al. (2005), for example, found that most of the
star-formation activity in early-type galaxies probably occurred at
3 < z < 5 in high, and at 1 < z < 2 in low density environments.
The RS was found to be present in a cluster at z = 0.83(Tran et al. 2007), has been used to find clusters up to
(Gladders & Yee 2000), and there is evidence that the bright end (
)
of the RS is populated up to
in
massive cluster progenitors (Kodama et al. 2007).
For z = 1.6, the 4000 Å break is shifted to 10 400 Å, between
the z and J bands. We plot a z-J versus J diagram in
Fig. 4, indicating the member galaxies by large
symbols (defined according to spectral class: circles for early types,
diamonds for late types, and both for intermediate types). Also
indicated, by small circles, are objects without a spectroscopic
redshift but with a photometric redshift in the range
.
There appear to be two populations of spectroscopic
members: a blue population around z-J = 0.6, and a red population
with
.
Clearly the early and intermediate types
(derived from the spectra) have the reddest z-J colours: all are at
z-J > 1.3. The figure shows that, although there are many member
candidates present at z-J > 1.3, there is also some contamination
from objects (as indicated by the crosses) with spectroscopic
redshifts outside the range
.
![]() |
Figure 4:
Colour-magnitude diagram of all objects in the GMASS
catalogue (excluding those undetected in one of the two bands)
showing z-J colour vs. J magnitude. Large symbols indicate
galaxies at
|
| Open with DEXTER | |
4 Photometric, morphological, and spectral galaxy properties in spike and field
In this section, we compare the galaxy properties of member and field galaxies. The properties include the galaxy morphology, spectral type, fitted SED, and several properties derived from this SED. We refer to Cassata et al. (2008) and Cimatti et al. (2008) for more details of the morphological analysis and SED fitting.
4.1 Morphological analysis
The morphological analysis was performed independently by two of
us (PC and GR) in the ACS
-band image (Cassata et al. 2008). Three
classes were recognized by eye: (1) elliptical; (2) spiral; and (3)
irregular. For the faint galaxies (close to z=1.6), the two
classifiers agreed in more than 70% of the cases. The
discrepancies mainly occur for galaxies close to the boundary
between spirals and irregulars, whereas agreement was obtained for
90% of the early-types. The final catalogue has been produced by a
reconciliation process between the two classifiers for the remaining
30% of objects. We also determined morphological parameters by
fitting the galaxy light profiles (for details of the fitting
process, see Cassata et al.). We compared the classification by
eye with the machine-determined parameters, obtaining the following
results: 90% of the early-type galaxies (12/13) have a Sérsic
index > 2, while 88% of late-types (63/72) have a Sérsic index
< 2.
The morphological classification was carried out using the ACS
-band image, i.e., using the rest-frame UV light of galaxies
at z=1.6. Therefore, surface brightness dimming and morphological
k-correction may be affecting the morphological classification. On
the one hand, ellipticals are expected to remain symmetrical in the
UV, but fainter because of the k-correction effect. On the other
hand, spirals can appear morphologically later because knots of star
formation brighten in the UV and disks become fainter because of the
surface brightness dimming. The combination of these two effects
should not affect our visual classification, at least in separating
early- and late-types. As the galaxies in our samples are observed
in almost the same rest-frame UV light (the central rest-frame
wavelength differs from 394 to 338 nm for redshifts between z=1.4 and z=1.8, respectively, while the filter has a width of 47 nm in
the rest-frame), these phenomena do not introduce a differential
effect on the classification of galaxies at z=1.4 to z=1.8.
4.2 SED fits
The properties of the stellar populations in each galaxy are determined from the SED fitting analysis for the spectroscopic redshift determined. The results of the SED fitting are, therefore, far more secure than for one where the redshift is unknown and therefore a free parameter in the fitting process, as is the case for the determination of photometric redshifts. We adopt the libraries of synthetic spectra by Maraston (2005, M05), who employs the Kroupa (2001) initial mass function (IMF) and includes the thermally pulsing asymptotic giant branch (TP-AGB) phase of stellar evolution. This phase is the dominant source of bolometric and near-IR radiation for a simple stellar population in the age range from 0.2 to 2 Gyr.
We adopt exponentially declining star-formation histories, i.e.,
with
0.1, 0.3, 1, 2,
3, 5, 10, 15, and 30 Gyr, and, in addition, the case of a constant
star-formation rate. Extinction is treated as a free parameter in
the optimization, by adopting the extinction curve of Calzetti et al. (2000). We assumed solar metallicity for all the models. The
fitting procedure selects the template spectrum that minimizes the
,
and therefore provides a value for each of stellar
population properties: the age of the best-fit model, the
e-folding time of the
,
the extinction
,
and
the stellar mass. In addition, the instantaneous
is computed
from the age and
.
During the fitting, only the observed
bands corresponding up to the rest-frame
-band
(
m) were used to avoid any dust-emission
contamination. While the details of the procedure and its
uncertainties are extensively discussed in Pozzetti et al. (2007), we recall
a few points here. The median formal statistical uncertainties,
derived from the width of the probability distributions in the
fitting procedure, for each stellar population parameter (mass, age,
,
,
)
are approximately 10-20%. Using
extensive Monte Carlo simulations, Pozzetti et al. (2007) demonstrated that
the overall internal accuracy of the measured stellar masses is
0.2 dex. In addition to this typical internal error,
systematic errors should also be mentioned. One source of systematic
error is the addition of secondary bursts to a continuous star
formation history, which produces systematically higher (up to 40%
on average) stellar masses. In addition, we note that the synthetic
spectra including the TP-AGB phase (Maraston 2005; Charlot & Bruzual, in
prep.) produce, instead, a shift of
0.1 dex towards
lower stellar masses than models without this important phase
(Bruzual & Charlot 2003), at least for our sample. Finally, the uncertainty in
the absolute value of the stellar mass, owing to assumptions about the
IMF, is within a factor of two for the IMFs typically adopted in the
literature.
The galaxies with
(s
are affected by the limit set to
be the minimum age of
yr. Since an exponential star
formation history is assumed, the s
estimate is related to the age
in the following way: s
.
There are no strong correlations between the derived properties,
apart from the following classical ones: (1) the age-metallicity
correlation; and (2) the age-reddening correlation for red galaxies.
The first relation is not applicable here because we do not derive the
metallicity (it is fixed to be solar). The second one may be a concern
as it can cause a degeneracy between dust-free galaxies with old
stellar populations and dusty galaxies with young
populations. However, SED fitting is able to break this degeneracy
if sufficient bands are included around the (redshifted) 4000 Å break
(see for example Pozzetti & Mannucci 2000, for EROs, using the RJK bands). In
the case of z=1.6 galaxies, the 4000 Å break is shifted to
1
m. As our SED fitting of galaxies at z=1.6 includes bands
up to 6.5
m, this degeneracy should not be a major concern.
4.3 Comparison of field and overdensity samples
To compare the properties of the member galaxies with those of field galaxies, we selected a sample of 43 galaxies outside the peak, that is 24 in the redshift interval 1.416 < z < 1.598 and 19 in the interval 1.624 < z < 1.840, which we refer to as the field sample. The field galaxies were selected from the GMASS sample and have therefore similar information available, derived in an identical way, to that for the spike galaxies. Of the 43 field galaxies, 25 have redshifts determined by GMASS only, and 8 have uncertain redshifts. We further subdivide the 42 galaxies within the redshift peak into those within the (spatially) high-density region defined in Sect. 1 (21 galaxies), and those outside (also 21, low-density region).
For an unbiased comparison of derived galaxy properties, it is
necessary to know whether there are any selection effects related to
the galaxy redshifts. The mass limit is mainly defined by the
limit, which sets a completeness limit of about
at z < 1.8 (for the M05 templates
used). There are six galaxies with masses below this limit within
and six outside the redshift spike.
We set the fitted mass of these galaxies to
when we compare the sample masses.
All
s below
yr
-1) = -0.25 are set to this
lower limit because they are not detected in the U' band and
s
below this value can therefore not be measured accurately. A lower
limit to the age (of
yr) has been set by the fitting
program. This enforces an upper limit to the s
because the stellar
mass is computed by assuming an exponential star formation history
over the lifetime of the galaxy. In Sect. 2.3, we demonstrated that the [O II]
detectability is not responsible for the high density of
spectroscopically confirmed galaxies at z=1.6. The contribution
of [O II] detected galaxies to the sample at z>1.6 is
nevertheless much smaller, which might cause a bias in the sense
that fewer galaxies with high star-formation rate are
selected. However, the upper-left plot in Fig. 5 indicates that this is not the case. In
contrast, the average
(derived from SED fitting) of
spectroscopically confirmed z>1.6 galaxies is higher than in the
spike. We do not expect a redshift bias to be present for any of
the other properties measured.
We compare the following properties: stellar mass, star formation rate
(
), specific
(s
), i.e.,
/mass, age, rest frame B-Icolour, spectroscopic galaxy class, and morphological class (see
Table 1).
![]() |
Figure 5:
Comparison of galaxy properties for the galaxies in the
redshift range
1.4 < z < 1.8. From left to right and top to
bottom: |
| Open with DEXTER | |
The spectroscopic class is determined by the presence of absorption lines only (1.0), emission lines only (2.0), or absorption lines with some emission lines present (1.5), in the GMASS and ESO/GOODS spectra. This classification corresponds roughly to passive, early-type (1.0), actively star-forming, late-type (2.0), and intermediate-type (1.5) galaxies. We note that the spectral type correlates well with the observed morphology, that is early-types have compact bulge-like morphologies, while late-types often show evidence for disk-like or irregular morphologies (see Figs. A.1 to A.4). There is also very good agreement between the properties derived from the SED fitting and the spectra. Cimatti et al. (2008) show that the galaxies in a sample of high-redshift (supposedly) early-type galaxies from GMASS are red, have spheroidal morphologies and spectra consistent with a population of old, nearly passively evolving, stars. In addition, the photometric SED fitting of these galaxies gives consistent results.
Some properties of the spike and field samples are shown in Fig. 5, while the results of K-S tests, which determine the probability that the properties of the various samples are drawn from the same distribution, are listed in Table 3. The values in this table are probabilities, that is a lower number indicates a more significant difference in values for the various samples. The samples compared are high versus low density, high density versus field, low density versus field, and spike versus field, respectively. The mean and the error in the mean of these properties are listed for each sample in Table 2.
There are differences for all properties listed between the
high-density sample and the low-density or field sample,
although some are only marginally significant. We indicate the
probabilities of below 3% in boldface in
Table 3. In particular, the differences in s
and
morphology are significant. These are probably driven by the presence
of passively evolving galaxies with early-type morphology in the
high-density region, which are not present in the low-density
region.
The mean differences between the high-density region and the field
amount to 0.2, 0.5, and 0.7 dex in mass,
,
and s
,
respectively,
and 0.3 Gyr in age. Although there are several galaxies with masses
in the field sample, there are twice as many
galaxies with
in the high-density sample as
in the field sample, which is twice as large (six against three). The
massive member galaxies are also those determined from their spectra
to be early types and have the lowest s
s. Within the spike, there
are seven galaxies of early and intermediate spectral class, while
outside there is only one such galaxy. We note that the more massive
galaxies have higher ages.
There is a notable difference in the angular distribution of morphologically-classified elliptical galaxies in the spike: of the eight elliptical galaxies, six are inside the high-density region (see also Fig. 2). Figure 6 shows a comparison between the three samples of the morphologies and spectral classes of the galaxies.
We also studied the correlation between the z-J colour, spectroscopic class, and morphology and the smaller-scale galaxy density, as computed for and shown in Fig. 2, for each galaxy. However, we did not find convincing evidence of any significant correlations.
Table 2: Mean and error in the mean of galaxy properties.
Table 3: Results of the K-S tests comparing galaxy properties.
![]() |
Figure 6: A comparison of the galaxy morphologies and spectral classes between the three samples (high and low density region, and field). |
| Open with DEXTER | |
Another interesting comparison is listed in
Table 4, where values below 0.001 are printed in
boldface. We display the probabilities that the following samples
have properties derived from the same distribution: blue-member versus
red-member galaxies, blue-member versus blue-field galaxies,
red-member versus red-field galaxies, and blue-field versus red field
galaxies, respectively. As expected, there are significant
differences between most properties (mass, s
,
age, and morphology)
of the blue and red members. The properties of blue galaxies inside
and outside the spike do not differ significantly, but the red members
inside the spike do have lower
s and s
s than the red field
galaxies (the mean s
having an order of magnitude difference). In
the field, only the differences in mass and spectroscopic class are
significant between the blue and red galaxies. This suggests that the
red galaxies inside the overdensity have evolved more rapidly than
those outside, while the blue galaxies appear to have had a similar
evolution inside and outside the overdensity.
Table 4: Blue and red galaxy property comparison.
![]() |
Figure 7: Shown here are rest-frame composite spectra of several groups of Cl 0332-2742 galaxies with GMASS spectra. The top panel shows a comparison of the composite spectra of galaxies in the high-density region (black) and in the low-density (grey). The middle panel shows a comparison of red (black) and blue (grey) Cl 0332-2742 spectra, while the bottom panel shows the composite spectra of early (black) and late-type (grey) galaxies in Cl 0332-2742. Absorption and emission features (possibly) identified are indicated by vertical lines below and above the spectra. In the middle and lower panels, the spectra are offset in vertical direction by an arbitrary amount to improve their visibility. |
| Open with DEXTER | |
4.4 Composite spectra
Finally, in Fig. 7, we compare the rest-frame composite spectra of the 18 Cl 0332-2742 galaxies that have GMASS spectra in the high-density region, with the composite spectrum of the 14 galaxies in the low-density region. Also shown in this figure are composite spectra of the 11 red and 21 blue galaxies and of the 7 early- and 25 late-type galaxies in Cl 0332-2742. The composites have been normalized in the interval 2300-2700 Å, apart from the red and early-type galaxy composites, which were normalized in the interval 3000-3500 Å. It is clearly noticeable that the composite spectrum of the galaxies in the high-density region is far redder and its [O II] line equivalent width far lower (10 Å in contrast to 40 Å) than the composite spectrum of the galaxies in the low-density region. The same is true for the red and blue, and early- and late-type galaxy composites (13 Å compared to 28 Å, and 2 Å compared to 36 Å, respectively).
Apart from the 4000 Å and 3600 Å Balmer break (which are
at
m for z>1.4 galaxies), another strong
age-dependent feature in the UV is a break in the region 2640-2850 Å, which is produced by the combination of several strong
absorption lines, including Mg II
2800.
Daddi et al. (2005) named this feature Mg
and defined it to be
the ratio of (two times) the flux at
Å to the flux in two 100 Å broad regions above and below this
range. Daddi et al. show that only stellar populations older
than 0.1 (0.4) Gyr have Mg
significantly above 1.1 (1.4).
Younger stellar populations and populations with constant star
formation (but reddening
E(B-V)=1.2) have Mg
near 1.0.
This feature is, therefore, a key signature of passively evolving
stellar populations because it is not present in young
dust-reddened star-forming galaxies: this therefore allows us to
break the age/dust degeneracy affecting red sources. The
measurement of the Mg
index for our composite spectra
clearly differ: the high-density-region, red, galaxy composite has an
Mg
measurement of 1.2 in contrast to 1.1 for
low-density-region, blue galaxies, while the early- and late-type
composites have Mg
values of 1.4 and 1.1, respectively.
5 Discussion
We have presented evidence of a structure of galaxies at z = 1.6, which may be a cluster in formation. The constituent galaxies exhibit a galaxy overdensity of at least a factor of eight and a red-sequence of passive galaxies, and they appear to be both more massive and evolved than galaxies in the field at similar redshift.
We have compared this structure with clusters at z > 1.0, which have
similar properties, and often less reliably measured spectroscopic
redshifts available. The differences in galaxy properties found by
ourselves between the high density region, the low density region,
and the field are consistent with the density relations found at
by Smith et al. (2005) and Postman et al. (2005), at z = 1.24 by
Demarco et al. (2007), and at z = 1.5 by Fassbender et al. (2008): red early-types
dominate the cluster core, while blue late-types are found in the
outskirts of the cluster.
5.1 Velocity dispersion
The velocity dispersion determined for the galaxies in the high-density region and for all galaxies in Cl 0332-2742 are consistent with a value of 500 km s-1. This value is about the average value that Halliday et al. (2004) and Milvang-Jensen et al. (2008) found for a sample of 26 clusters at 0.40 < z < 0.96 selected from the ESO Distant Cluster Survey (EDisCS), but lower than the clusters at 0.8 < z < 1.3 observed by the ACS/HST in GTO time (Postman et al. 2005), most of which were first detected by means of X-ray emission. The spike at z = 1.6 is therefore, as for the EDisCS clusters, more likely to be a progenitor of typical (less rich) low-redshift clusters (Milvang-Jensen et al. 2008).
The distribution of members of Cl 0332-2742 in redshift space is bimodal (Fig. 1), with a main peak at z=1.610 and a secondary peak at z=1.602. Demarco et al. (2007) found a similar bimodal redshift distribution among the 38 confirmed members of the cluster RDCS J1252.9-2927 at z = 1.237. In contrast to the latter cluster, we do not find evidence that the substructure in redshift space consists of two spatially separated groups, but it is probable that the bimodality of Cl 0332-2742 indicates that the structure is not yet virialized.
5.2 Red sequence
In the colour-magnitude diagram of the observed field (Fig. 4), we overplot a line that represents a
theoretical red sequence at z = 1.60, which corresponds to the
predicted magnitudes in z-band and J-band of the stellar
populations of elliptical galaxies that formed in a short time (0.5 Gyr) at
(provided by T. Kodama, see Kodama et al. 1998, based on
the code by Kodama & Arimoto 1997). We indicate the (logarithm of)
stellar masses corresponding to the positions on the red sequence. The
early-type galaxy members are straddled about this red sequence,
with a scatter in z-J of
0.147+0.063-0.013 magnitude. This
scatter also includes the scatter produced by photometric errors in
the measured colour. Subtracting this error (averaged in quadrature
over the seven galaxies) in quadrature, we obtain an intrinsic scatter
of 0.135 magnitudes. The tightness in the observed red sequences at
low redshift is due to the large time difference between the epoch of
formation and the moment of observation. Observing red sequences at
higher redshift, we approach this epoch of formation and expect the
scatter to increase due to small differences in the formation time and
evolution of the early-type galaxies. Stanford et al. (1998) found an
intrinsic scatter of about 0.05 for clusters from z=0.1 to z=0.8,
and Ellis et al. (2006) measured
in a massive cluster at z =
0.89. The scatter that we measure at z = 1.61 is consistent with
that expected from observations at lower redshift, taking into account
the younger average age of the stellar populations at this redshift.
De Lucia et al. (2007) found a clear decrease in the ratio of luminous (
L >
0.4 L*) to faint red galaxies in clusters from
to
.
This increasing fraction of faint red galaxies towards
lower redshift could be explained if the RS of high redshift clusters
does not contain all of the progenitors of nearby RS cluster galaxies.
Instead, a significant fraction of these must have moved on to the RS
below
.
Although Fig. 4 appears to
support this claim because of the lack of galaxies with
on the red sequence at
,
we note that, at these
fainter magnitudes, we have larger errors in the photometry and
photometric redshifts. We are unable to confirm this decrement in the
number of faint galaxies on the RS, spectroscopically, because of the
limited completeness of our spectroscopy.
The red sequence appears to be ubiquitous in the field and in clusters
at low redshift, and is also detected at redshifts z > 1.
McCarthy et al. (2007) detected one of the most distant red sequences
discovered so far, at z = 1.5, including at least ten galaxies with
very red optical-to-NIR and optical-to-MIR colours within a circle
of 128 kpc radius, one of which has a spectroscopic redshift of z =
1.51. The total stellar mass of these galaxies is
,
which is similar to the total stellar mass
computed for Cl 0332-2742. Six of the galaxies lie on a red sequence in a
J-K CM-diagram, which is consistent with the colour-magnitude
relation for the Coma cluster evolved to z=1.5, assuming a
passively-evolving SSP with zf = 5 (according to McCarthy et al. 2007).
A bimodality in galaxy colours up to
was also found by
Cassata et al. (2008) in the GMASS field and Giallongo et al. (2005) in the HDF. The
latter also showed that the blue and red galaxy populations most
probably had different evolutionary histories. Using a much larger
sample, including
22 000 galaxies selected over an area of 0.6
deg2 from the Early Data Release of the UKIDSS Ultra Deep Survey,
Cirasuolo et al. (2007) found that the colour bimodality disappears at
.
With a large K-selected sample of more than 30 000 galaxies, Williams et al. (2009) showed, that the bimodal distribution of
star-forming and quiescent galaxies is still seen in a subsample of
galaxies in the redshift range
1.5 < z < 2, but not above z=2.
The clear bimodality demonstrated for Cl 0332-2742 may indicate that the
colour bimodality develops earlier in high-density regions than in a
field sample, such as that employed by Cirasuolo et al. and
Williams et al.
The relationship between galaxy colour and environment is studied in
more detail by Cooper et al. (2007, CNC07) employing a sample of 19 464
galaxies selected from the DEEP2 Galaxy Redshift Survey. They measured
the galaxy surface overdensity within redshifts bins up to
by calculating the distance to the third closest neighbour, and
the red fraction by considering (U-B)-restframe colour, which is
slightly dependent on luminosity. The overdensities sampled range up
to about ten, which, as CNC07 state, does not cover the regime of
massive clusters. CNC07 stated that the red fraction at z>1.4 is
not higher in high-density regions than in low-density regions, but
this conclusion is based mainly on the value of a single density bin,
for overdensities from 1.8 to 10. The large size of this bin may
mask the higher fraction of red galaxies in the upper part of the
bin. Although, because of our much smaller galaxy sample, it is
difficult for us to measure the overdensity in exactly the same way
as CNC07, we obtain a mean overdensity of >8 for the galaxies
in Cl 0332-2742. The evidence of a red sequence in Cl 0332-2742 seems therefore at
variance with the conclusion by CNC07, but the degree of
inconsistency is difficult to quantify. The disagreement may be
explained if we are sampling a regime higher in density
than studied by CNC 07.
5.3 Dependence of galaxy properties on galaxy density
We have investigated the dependence of galaxy properties on galaxy
density by comparing the ensemble properties of several samples
(spike, field, high, and low density) and by relating the properties
of individual z=1.61 galaxies to the measured local density. The
latter method did not provide significant evidence of correlations
between the measured galaxy properties and the local galaxy density.
There may be several reasons for this lack of significant
correlations. First, the local galaxy density is determined from the
secure spectroscopic members and the less secure photometric members
on a scale of
300 (physical) kpc, which should be optimal for
the detection of galaxy groups, but is rather small given the mean
distance to the closest neighbour among the 42 confirmed members in
the GMASS field, which is of the order of this scale. We note that,
when comparing galaxy properties, only the spectroscopic members
were considered, although the photometric members have a significant
influence on the computation of the local galaxy density. For
example, the strong density peak in the western part of the GMASS
field consists almost entirely of photometric members, which certainly
merit spectroscopic follow-up. It is also possible that the influence
of galaxy density is notable only on larger scales, such as those of
the high density region, for which we do find a significant
correlation between density and all measured properties, most notably
morphology.
The environmental dependence of galaxy properties was studied at
higher redshift for a significant overdensity of galaxies at z=2.300by Steidel et al. (2005). They found galaxies inside the overdensity to have
mean stellar masses that were higher and inferred ages that were
2 times older than identically UV-selected galaxies outside the
structure. This is similar to our results at z=1.61. Peter et al. (2007)
augmented this analysis with one of z=2.300 galaxy morphologies but
did not find evidence of a difference between the proto-cluster
sample and a control (field) sample. Very few of the z=2.300galaxies appear to be regular ellipticals or spirals. The
morphological difference between overdensity and field, which we found
at z=1.61, is due to the elliptical galaxies, which are also red
and, using the UV selection applied at z=2.300, could therefore not
have been found by Steidel et al. (2005).
The lower
that Steidel et al. (2005) and ourselves found for galaxies in
the overdensities compared to those in the field appears to
contrast with the conclusion of Elbaz et al. (2007, EDB07) that the
average
derived from FIR and UV photometry increases with galaxy
density in the redshift range
.
However, the
range of projected galaxy densities probed by EDB07 is between 0.4 and
3 Mpc-2 in recessional velocity bins of
km
s-1. At z=1.6, this corresponds almost exactly to the redshift
bin
1.600 < z < 1.623, encompassing all 42 spike galaxies. Using
this bin and the rather large boxes of
Mpc2 used
by EDB07, the projected galaxy density in the GMASS field is 5 Mpc-2 on average and 10 Mpc-2 for the highest density
regions. Obviously, using smaller boxes to count the galaxy
density, as also noted by EDB07, would infer even higher projected
galaxy densities (up to
40 Mpc-2). This shows that we are
probing higher densities than studied by EDB07 and their conclusions
do not apply to Cl 0332-2742. Although this is probably not a statistically
significant result, Figs. 8 and 9 of EDB07 appear to indicate that the
does indeed decrease at projected galaxy densities of >3 Mpc-2.
6 Summary and conclusions
In this section, we summarize the results presented in this paper and add a concluding remark about the galaxy structure found.
- We carried out a spectroscopic survey, called GMASS, in a region
of the CDFS, targeting galaxies detected with IRAC/Spitzer at
4.5
m and pre-selected on the basis of having a photometric
redshift z>1.4. We obtain spectroscopic redshifts z>1.4 for 135
out of the
200 observed sources (Kurk et al., in prep.).
- The redshift distribution of these sources shows a prominent
peak at z=1.6 consisting of 42 galaxies. We verified that the
redshift distribution is not significantly affected by observational
biases and find that this spike represents an overdensity in
redshift space by a factor of at least eight. We call this structure
Cl 0332-2742 and the galaxies at z=1.6 member galaxies (of this
structure).
- The angular distribution of the member galaxies is not
homogeneous: within the 7

7
GMASS field, there
is a region of about 3 Mpc2 where the number density of members
is five times higher than in the rest of the field. We call this
region the high density region. The brightest member is located
760 kpc away from the centre of this region, within 65 kpc of two
other bright members. These galaxies are not only the brightest but
also the reddest members.
- From the 42 redshifts of the members, we determine a velocity
dispersion of
440+95-60 km s-1 for Cl 0332-2742 and of
500+100-100 km s-1 for the 21 members in the high
density region. The redshift distribution of the 42 member galaxies
is best fit by the sum of two Gaussian functions with a difference
of
(or 920 km s-1 in the reference frame of
Cl 0332-2742) in their central redshifts. Although we do not find evidence of
a spatial separation between the two groups of galaxies centered at
z=1.602 and z=1.610, we cannot exclude the existence of
substructure along the line of sight.
- Using various methods to derive the mass which will be or is
contained within Cl 0332-2742, we find a mass within the range 6-
.
The irregularity in angular and redshift space,
including at least two localized higher density peaks, suggests that
the structure is not yet virialized but will evolve to become a galaxy
cluster at a later cosmic time.
- We used the 1 Ms Chandra observations to search for hot
gas associated with the high density region but did not find evidence
of an X-ray luminosity
erg s-1. This
X-ray luminosity, however, is consistent with the expected X-ray
emission for a cluster or group of galaxies with a velocity
dispersion of 500 km s-1.
- In a colour-magnitude diagram, a bimodal distribution of member
galaxies is seen with blue galaxies around
and red
galaxies, including all early-type members, at z-J>1.3. The
latter form a red sequence consistent with model galaxies composed
of stellar populations formed at a redshift z=3. The measured
scatter around the red sequence of 0.135 magnitudes is consistent
with the expected scatter at this redshift. The bright tip of the
red sequence is formed by the triplet of bright elliptical galaxies
mentioned above. We speculate that the clear bimodality seen in
colour for Cl 0332-2742 members, which is stronger than in field samples at
this redshift, is due to the bimodality developing earlier in
volumes of high galaxy density, consistent with galaxy formation
models where massive galaxies form first in the strongest density
peaks present in the early universe.
- We compare various galaxy properties of the sample of member
galaxies within the high density region with the sample of member
galaxies outside this region and with a similarly sized field
sample of galaxies at spectroscopic redshifts determined by GMASS in
the range
1.4 < z < 1.8, but excluding the member galaxies at
z=1.6. These galaxy properties include the galaxy type based on
spectral features (either early or late), the galaxy morphology
(either elliptical, spiral or irregular), broadband B-I colour,
and four properties derived from broadband SED fitting: mass,
star-formation rate, specific star-formation rate, and age. The
galaxies within the high density peak are on average older, more
massive, and redder than those outside the redshift peak. The
and s
of the members in the high density region are on average
three and five times lower than in the field. These results are
consistent with current views on galaxy formation and evolution,
where the most massive galaxies form preferentially in the highest
density peaks of the cosmic galaxy distribution, which collapse
first. The massive galaxies that we observe in the overdensity also
seem to evolve more rapidly than their lower mass counterparts: they
have lower specific star formation rates, already at z = 1.6,
which implies that they have formed most of their stars by this
epoch.
- We construct composite spectra of blue and red, early- and
late-type members and of members in the high and low density
regions. The composite spectra show features consistent with the
results obtained above: the high density composite is clearly redder
than the low density composite. In addition, the [O II] line
equivalent width, a measure of star formation, is clearly lower in
the high density composite than in the low density composite.
We note that this is the first and only structure of this kind known:
its redshift of z=1.6 is higher than that of any known galaxy
cluster and the structure contains spectroscopically-confirmed red,
early-type galaxies, whereas at higher redshifts, the known and
possibly only members of galaxy overdensities are blue, star-forming
galaxies are known (such as LBGs and LAEs). We therefore propose that
Cl 0332-2742 may represent a link between z<1.4 galaxy clusters and z>2galaxy overdensities. The extent of this structure is not limited by
the size (
7![]()
7
)
of the field covered by
spectroscopy carried out within the GMASS project and neither does it
seem to be limited by the size of the CDFS (Castellano et al. 2007). Its extent
of more than 10 Mpc therefore suggests it is a sheet in the web-like
distribution of galaxies. The region with the highest surface density
of galaxies within this sheet, called Cl 0332-2742 in this paper, already
contains seven massive, passively evolving galaxies and already has a
velocity distribution typical of a large group of galaxies in the
local Universe. Since the number of passive galaxies, its velocity
dispersion, and its mass can only increase during the
10 Gyr
between z=1.6 and z=0, reaching properties typical of a
present-day cluster of galaxies, we conclude that, by observing Cl 0332-2742,
we are witnessing the assembly of a cluster of galaxies.
Acknowledgements
We thank the anonymous referee whose comments helped to improve the paper. J.K. was supported by the Deutsche Forschungsgemeinschaft (DFG), grant SFB-439. This work is based on observations of the VLT Large Program 173.A-0687 carried out at the European Southern Observatory, Paranal, Chile. This work is also based [in part] on observations made with the Spitzer Space Telescope, which is operated by the Jet Propulsion Laboratory, California Institute of Technology under a contract with NASA.
References
- Andreon, S. 2008, MNRAS, 386, 1045 [NASA ADS] [CrossRef] (In the text)
- Andreon, S., Quintana, H., Tajer, M., Galaz, G., & Surdej, J. 2006, MNRAS, 365, 915 [NASA ADS] [CrossRef]
- Baldry, I. K., Balogh, M. L., Bower, R. G., et al. 2006, MNRAS, 373, 469 [NASA ADS] [CrossRef] (In the text)
- Balogh, M. L., Wilman, D., Henderson, R. D. E., et al. 2007, MNRAS, 374, 1169 [NASA ADS] [CrossRef] (In the text)
- Beers, T. C., Flynn, K., & Gebhardt, K. 1990, AJ, 100, 32 [NASA ADS] [CrossRef]
- Bell, E. F., Wolf, C., Meisenheimer, K., et al. 2004, ApJ, 608, 752 [NASA ADS] [CrossRef] (In the text)
- Best, P. N., Lehnert, M. D., Miley, G. K., & Röttgering, H. J. A. 2003, MNRAS, 343, 1 [NASA ADS] [CrossRef]
- Bird, C. M., & Beers, T. C. 1993, AJ, 105, 1596 [NASA ADS] [CrossRef] (In the text)
- Blakeslee, J. P., Franx, M., Postman, M., et al. 2003, ApJ, 596, L143 [NASA ADS] [CrossRef]
- Bower, R. G., Benson, A. J., Malbon, R., et al. 2006, MNRAS, 370, 645 [NASA ADS] (In the text)
- Bruzual, G., & Charlot, S. 2003, MNRAS, 344, 1000 [NASA ADS] [CrossRef] (In the text)
- Butcher, H., & Oemler, Jr., A. 1978, ApJ, 219, 18 [NASA ADS] [CrossRef]
- Butcher, H., & Oemler, Jr., A. 1984, ApJ, 285, 426 [NASA ADS] [CrossRef]
- Cassata, P., Cimatti, A., Kurk, J., et al. 2008, A&A, 483, L39 [NASA ADS] [CrossRef] [EDP Sciences] (In the text)
- Castellano, M., Salimbeni, S., Trevese, D., et al. 2007, ApJ, 671, 1497 [NASA ADS] [CrossRef] (In the text)
- Cimatti, A., Mignoli, M., Daddi, E., et al. 2002, A&A, 392, 395 [NASA ADS] [CrossRef] [EDP Sciences] (In the text)
- Cimatti, A., Daddi, E., Renzini, A., et al. 2004, Nature, 430, 184 [NASA ADS] [CrossRef] (In the text)
- Cimatti, A., Cassata, P., Pozzetti, L., et al. 2008, A&A, 482, 21 [NASA ADS] [CrossRef] [EDP Sciences] (In the text)
- Cirasuolo, M., McLure, R. J., Dunlop, J. S., et al. 2007, MNRAS, 380, 585 [NASA ADS] [CrossRef] (In the text)
- Cooper, M. C., Newman, J. A., Coil, A. L., et al. 2007, MNRAS, 376, 1445 [NASA ADS] [CrossRef]
- Croton, D. J., Springel, V., White, S. D. M., et al. 2006, MNRAS, 365, 11 [NASA ADS] [CrossRef] (In the text)
- Cucciati, O., Iovino, A., Marinoni, C., et al. 2006, A&A, 458, 39 [NASA ADS] [CrossRef] [EDP Sciences]
- Daddi, E., Renzini, A., Pirzkal, N., et al. 2005, ApJ, 626, 680 [NASA ADS] [CrossRef] (In the text)
- De Lucia, G., Poggianti, B. M., Aragón-Salamanca, A., et al. 2007, MNRAS, 374, 809 [NASA ADS] [CrossRef]
- Demarco, R., Rosati, P., Lidman, C., et al. 2007, ApJ, 663, 164 [NASA ADS] [CrossRef]
- Dressler, A., & Shectman, S. A. 1988, AJ, 95, 985 [NASA ADS] [CrossRef] (In the text)
- Elbaz, D., Daddi, E., Le Borgne, D., et al. 2007, A&A, 468, 33 [NASA ADS] [CrossRef] [EDP Sciences] (In the text)
- Ellingson, E., Lin, H., Yee, H. K. C., & Carlberg, R. G. 2001, ApJ, 547, 609 [NASA ADS] [CrossRef]
- Ellis, S. C., Jones, L. R., Donovan, D., Ebeling, H., & Khosroshahi, H. G. 2006, MNRAS, 368, 769 [NASA ADS] [CrossRef] (In the text)
- Fasano, G., & Franceschini, A. 1987, MNRAS, 225, 155 [NASA ADS] (In the text)
- Fassbender, R., Böhringer, H., Lamer, G., et al. 2008, A&A, 481, L73 [NASA ADS] [CrossRef] [EDP Sciences]
- Finn, R. A., Zaritsky, D., McCarthy, Jr., D. W., et al. 2005, ApJ, 630, 206 [NASA ADS] [CrossRef] (In the text)
- Fitchett, M. 1988, MNRAS, 230, 161 [NASA ADS] (In the text)
- Giallongo, E., Salimbeni, S., Menci, N., et al. 2005, ApJ, 622, 116 [NASA ADS] [CrossRef] (In the text)
- Giavalisco, M., Ferguson, H. C., Koekemoer, A. M., et al. 2004, ApJ, 600, L93 [NASA ADS] [CrossRef] (In the text)
- Gilli, R., Cimatti, A., Daddi, E., et al. 2003, ApJ, 592, 721 [NASA ADS] [CrossRef] (In the text)
- Gladders, M. D., & Yee, H. K. C. 2000, AJ, 120, 2148 [NASA ADS] [CrossRef] (In the text)
- Grazian, A., Fontana, A., de Santis, C., et al. 2006, A&A, 449, 951 [NASA ADS] [CrossRef] [EDP Sciences] (In the text)
- Halliday, C., Milvang-Jensen, B., Poirier, S., et al. 2004, A&A, 427, 397 [NASA ADS] [CrossRef] [EDP Sciences] (In the text)
- Kodama, T., & Arimoto, N. 1997, A&A, 320, 41 [NASA ADS] (In the text)
- Kodama, T., Arimoto, N., Barger, A. J., & Arag'on-Salamanca, A. 1998, A&A, 334, 99 [NASA ADS] (In the text)
- Kodama, T., Tanaka, I., Kajisawa, M., et al. 2007, MNRAS, 377, 1717 [NASA ADS] [CrossRef]
- Kroupa, P. 2001, MNRAS, 322, 231 [NASA ADS] [CrossRef] (In the text)
- Kurk, J. D., Röttgering, H. J. A., Pentericci, L., et al. 2000, A&A, 358, L1 [NASA ADS]
- Luo, B., Bauer, F. E., Brandt, W. N., et al. 2008, ApJS, 179, 19 [NASA ADS] [CrossRef] (In the text)
- Mahdavi, A., & Geller, M. J. 2001, ApJ, 554, L129 [NASA ADS] [CrossRef] (In the text)
- Maraston, C. 2005, MNRAS, 362, 799 [NASA ADS] [CrossRef] (In the text)
- Marinoni, C., Le Fèvre, O., Meneux, B., et al. 2005, A&A, 442, 801 [NASA ADS] [CrossRef] [EDP Sciences] (In the text)
- McCarthy, P. J., Yan, H., Abraham, R. G., et al. 2007, ApJ, 664, L17 [NASA ADS] [CrossRef]
- Mei, S., Holden, B. P., Blakeslee, J. P., et al. 2006, ApJ, 644, 759 [NASA ADS] [CrossRef]
- Milvang-Jensen, B., Noll, S., Halliday, C., et al. 2008, A&A, 482, 419 [NASA ADS] [CrossRef] [EDP Sciences] (In the text)
- Mullis, C. R., Rosati, P., Lamer, G., et al. 2005, ApJ, 623, L85 [NASA ADS] [CrossRef]
- Ota, K., Kashikawa, N., Malkan, M. A., et al. 2008, ArXiv e-prints, 804
- Pentericci, L., Kurk, J. D., Röttgering, H. J. A., et al. 2000, A&A, 361, L25 [NASA ADS]
- Peter, A. H. G., Shapley, A. E., Law, D. R., et al. 2007, ApJ, 668, 23 [NASA ADS] [CrossRef] (In the text)
- Pinkney, J., Roettiger, K., Burns, J. O., & Bird, C. M. 1996, ApJS, 104, 1 [NASA ADS] [CrossRef] (In the text)
- Poggianti, B. M., Desai, V., Finn, R., et al. 2008, ApJ, 684, 888 [NASA ADS] [CrossRef] (In the text)
- Postman, M., Franx, M., Cross, N. J. G., et al. 2005, ApJ, 623, 721 [NASA ADS] [CrossRef] (In the text)
- Pozzetti, L., & Mannucci, F. 2000, MNRAS, 317, L17 [NASA ADS] [CrossRef] (In the text)
- Pozzetti, L., Bolzonella, M., Lamareille, F., et al. 2007, A&A, 474, 443 [NASA ADS] [CrossRef] [EDP Sciences] (In the text)
- Rapetti, D., Allen, S. W., & Mantz, A. 2008, MNRAS, 388, 1265 [NASA ADS] [CrossRef] (In the text)
- Rosati, P., Stanford, S. A., Eisenhardt, P. R., et al. 1999, AJ, 118, 76 [NASA ADS] [CrossRef]
- Rosati, P., Borgani, S., & Norman, C. 2002a, ARA&A, 40, 539 [NASA ADS] [CrossRef] (In the text)
- Rosati, P., Tozzi, P., Giacconi, R., et al. 2002b, ApJ, 566, 667 [NASA ADS] [CrossRef] (In the text)
- Sanchez-Blazquez, P., Jablonka, P., Noll, S., et al. 2009, ArXiv e-prints (In the text)
- Smith, G. P., Treu, T., Ellis, R. S., Moran, S. M., & Dressler, A. 2005, ApJ, 620, 78 [NASA ADS] [CrossRef] (In the text)
- Stanford, S. A., Eisenhardt, P. R., & Dickinson, M. 1998, ApJ, 492, 461 [NASA ADS] [CrossRef]
- Stanford, S. A., Eisenhardt, P. R., Brodwin, M., et al. 2005, ApJ, 634, L129 [NASA ADS] [CrossRef] (In the text)
- Stanford, S. A., Romer, A. K., Sabirli, K., et al. 2006, ApJ, 646, L13 [NASA ADS] [CrossRef]
- Steidel, C. C., Adelberger, K. L., Dickinson, M., et al. 1998, ApJ, 492, 428 [NASA ADS] [CrossRef] (In the text)
- Steidel, C. C., Adelberger, K. L., Shapley, A. E., et al. 2005, ApJ, 626, 44 [NASA ADS] [CrossRef]
- Tanaka, M., Kodama, T., Arimoto, N., et al. 2005, MNRAS, 362, 268 [NASA ADS] [CrossRef]
- Thomas, D., Maraston, C., Bender, R., & Mendes de Oliveira, C. 2005, ApJ, 621, 673 [NASA ADS] [CrossRef] (In the text)
- Tran, K.-V. H., Franx, M., Illingworth, G. D., et al. 2007, ApJ, 661, 750 [NASA ADS] [CrossRef]
- Trevese, D., Castellano, M., Fontana, A., & Giallongo, E. 2007, A&A, 463, 853 [NASA ADS] [CrossRef] [EDP Sciences] (In the text)
- Vanzella, E., Cristiani, S., Dickinson, M., et al. 2005, A&A, 434, 53 [NASA ADS] [CrossRef] [EDP Sciences]
- Vanzella, E., Cristiani, S., Dickinson, M., et al. 2006, A&A, 454, 423 [NASA ADS] [CrossRef] [EDP Sciences] (In the text)
- Venemans, B. P., Kurk, J. D., Miley, G. K., et al. 2002, ApJ, 569, L11 [NASA ADS] [CrossRef]
- Venemans, B. P., Röttgering, H. J. A., Miley, G. K., et al. 2007, A&A, 461, 823 [NASA ADS] [CrossRef] [EDP Sciences]
- Williams, R. J., Quadri, R. F., Franx, M., van Dokkum, P., & Labbé, I. 2009, ApJ, 691, 1879 [NASA ADS] [CrossRef] (In the text)
- Zirm, A. W., Stanford, S. A., Postman, M., et al. 2008, ApJ, 680, 224 [NASA ADS] [CrossRef]
Online Material
Appendix A: Spectra and images of the member galaxies
Figures A.1-A.4 show the spectra and images of the member galaxies.
![]() |
Figure A.1:
Spectra and postage stamp images of the 42 member
galaxies. Wavelength in Ångstrom on the horizontal axis and
flux in 10-19 erg s-1 Å-1 cm-2.
Uncertainties caused by background noise are indicated by the
underlying filled grey spectra. As the flux calibration of the
GOODS spectra is not very accurate (Vanzella et al. 2006) but the absolute
flux level of these spectra seem systematically higher than the
GMASS spectra (for the same magnitudes), they have been divided by
a factor two. The origin of the spectra is plotted: GMASS (Kurk
et al., in prep.) or GOODS (Vanzella et al. 2006), the GMASS identification
numbers, and the spectroscopic classes (see text). Robust
(tentative) spectral features are shown by solid (dashed) lines
with numbers (see below). The postage stamps are constructed from
the HST/ACS observations in the B, V, and I bands, convolved
with a Gaussian kernel. Indicated are the morphological class (on
the left) and the z magnitude (on the right). The spectra are
sorted on z-J colour, starting with the reddest galaxies. The
numbers for the spectral features refer to: (1)
Si II |
| Open with DEXTER | |
![]() |
Figure A.2: See Fig. A.1 for description. |
| Open with DEXTER | |
![]() |
Figure A.3: See Fig. A.1 for description. |
| Open with DEXTER | |
![]() |
Figure A.4: See Fig. A.1 for description. |
| Open with DEXTER | |
Footnotes
- ... 2
- Based on observations of the VLT Large Program 173.A-0687 carried out at the European Southern Observatory, Paranal, Chile.
- ...
- Appendix A is only available at http://www.aanda.org
- ... Survey
- http://www.arcetri.astro.it/cimatti/gmass/gmass.html
- ...
field
- http://www.stsci.edu/science/goods
- ... simulations
- The computation of
and its asymmetric error bars was carried out by
employing the ROSTAT software package written and provided by
BFG90.
All Tables
Table 1: Spike galaxy redshifts, photometry, properties derived from fitted SEDs, and morphological classifications.
Table 2: Mean and error in the mean of galaxy properties.
Table 3: Results of the K-S tests comparing galaxy properties.
Table 4: Blue and red galaxy property comparison.
All Figures
![]() |
Figure 1:
Redshift distribution of spectroscopic redshifts of
objects in the GMASS field displayed with bin sizes of
|
| Open with DEXTER | |
| In the text | |
![]() |
Figure 2:
Density maps of galaxies at z = 1.6 in the GOODS-South
field. Filled (solid and dashed) contours indicate the density of
|
| Open with DEXTER | |
| In the text | |
| |
Figure 3:
The 20
|
| Open with DEXTER | |
| In the text | |
![]() |
Figure 4:
Colour-magnitude diagram of all objects in the GMASS
catalogue (excluding those undetected in one of the two bands)
showing z-J colour vs. J magnitude. Large symbols indicate
galaxies at
|
| Open with DEXTER | |
| In the text | |
![]() |
Figure 5:
Comparison of galaxy properties for the galaxies in the
redshift range
1.4 < z < 1.8. From left to right and top to
bottom: |
| Open with DEXTER | |
| In the text | |
![]() |
Figure 6: A comparison of the galaxy morphologies and spectral classes between the three samples (high and low density region, and field). |
| Open with DEXTER | |
| In the text | |
![]() |
Figure 7: Shown here are rest-frame composite spectra of several groups of Cl 0332-2742 galaxies with GMASS spectra. The top panel shows a comparison of the composite spectra of galaxies in the high-density region (black) and in the low-density (grey). The middle panel shows a comparison of red (black) and blue (grey) Cl 0332-2742 spectra, while the bottom panel shows the composite spectra of early (black) and late-type (grey) galaxies in Cl 0332-2742. Absorption and emission features (possibly) identified are indicated by vertical lines below and above the spectra. In the middle and lower panels, the spectra are offset in vertical direction by an arbitrary amount to improve their visibility. |
| Open with DEXTER | |
| In the text | |
![]() |
Figure A.1:
Spectra and postage stamp images of the 42 member
galaxies. Wavelength in Ångstrom on the horizontal axis and
flux in 10-19 erg s-1 Å-1 cm-2.
Uncertainties caused by background noise are indicated by the
underlying filled grey spectra. As the flux calibration of the
GOODS spectra is not very accurate (Vanzella et al. 2006) but the absolute
flux level of these spectra seem systematically higher than the
GMASS spectra (for the same magnitudes), they have been divided by
a factor two. The origin of the spectra is plotted: GMASS (Kurk
et al., in prep.) or GOODS (Vanzella et al. 2006), the GMASS identification
numbers, and the spectroscopic classes (see text). Robust
(tentative) spectral features are shown by solid (dashed) lines
with numbers (see below). The postage stamps are constructed from
the HST/ACS observations in the B, V, and I bands, convolved
with a Gaussian kernel. Indicated are the morphological class (on
the left) and the z magnitude (on the right). The spectra are
sorted on z-J colour, starting with the reddest galaxies. The
numbers for the spectral features refer to: (1)
Si II |
| Open with DEXTER | |
| In the text | |
![]() |
Figure A.2: See Fig. A.1 for description. |
| Open with DEXTER | |
| In the text | |
![]() |
Figure A.3: See Fig. A.1 for description. |
| Open with DEXTER | |
| In the text | |
![]() |
Figure A.4: See Fig. A.1 for description. |
| Open with DEXTER | |
| In the text | |
Copyright ESO 2009
Current usage metrics show cumulative count of Article Views (full-text article views including HTML views, PDF and ePub downloads, according to the available data) and Abstracts Views on Vision4Press platform.
Data correspond to usage on the plateform after 2015. The current usage metrics is available 48-96 hours after online publication and is updated daily on week days.
Initial download of the metrics may take a while.
![\begin{figure}
\par\includegraphics[width=9cm]{09964f01.ps} %
\end{figure}](/articles/aa/full_html/2009/35/aa09964-08/Timg42.png)
![\begin{figure}
\par\includegraphics[width=17cm,clip=]{09964f02.ps} %
\end{figure}](/articles/aa/full_html/2009/35/aa09964-08/Timg44.png)




![\begin{figure}
\par\includegraphics[width=9cm]{09964f04.ps}\par\end{figure}](/articles/aa/full_html/2009/35/aa09964-08/Timg218.png)
![\begin{figure}
\par\includegraphics[width=16.5cm,clip]{09964f05.eps} %\end{figure}](/articles/aa/full_html/2009/35/aa09964-08/Timg233.png)
![\begin{figure}
\par\includegraphics[width=9cm]{09964f06.ps}
\end{figure}](/articles/aa/full_html/2009/35/aa09964-08/Timg237.png)
![\begin{figure}
\par\includegraphics[width=9cm]{09964f07.ps} %
\end{figure}](/articles/aa/full_html/2009/35/aa09964-08/Timg238.png)
![\begin{figure}
\par\includegraphics[width=18cm]{09964f08.ps} %
\end{figure}](/articles/aa/full_html/2009/35/aa09964-08/Timg257.png)
![\begin{figure}
\par\includegraphics[width=18cm]{09964f09.ps} %
\end{figure}](/articles/aa/full_html/2009/35/aa09964-08/Timg258.png)
![\begin{figure}
\par\includegraphics[width=18cm]{09964f10.ps} %
\end{figure}](/articles/aa/full_html/2009/35/aa09964-08/Timg259.png)
![\begin{figure}
\par\includegraphics[width=18cm]{09964f11.ps} %
\end{figure}](/articles/aa/full_html/2009/35/aa09964-08/Timg260.png)