| Issue |
A&A
Volume 504, Number 2, September III 2009
|
|
|---|---|---|
| Page(s) | 303 - 307 | |
| Section | Astrophysical processes | |
| DOI | https://doi.org/10.1051/0004-6361/200911842 | |
| Published online | 16 July 2009 | |
Stability of latitudinal differential rotation in stars
L. L. Kitchatinov1,2,3 - G. Rüdiger1
1 - Astrophysikalisches Institut Potsdam, An der Sternwarte 16,
14482 Potsdam, Germany
2 -
Institute for Solar-Terrestrial Physics, PO Box
291, Irkutsk 664033, Russia
3 -
Pulkovo Astronomical Observatory, St. Petersburg, 196140, Russia
Received 13 February 2009 / Accepted 18 June 2009
Abstract
Aims. We investigate whether differentially rotating regions of stellar radiative zones (such as the solar tachocline) excite nonaxisymmetric r-modes that can be observed. We study the hydrodynamical stability of latitudinal differential rotation. The amount of rotational shear required for the instability is estimated to depend on the character of radial stratification, and the flow patterns excited by the instability are found.
Methods. The eigenvalue equations for the nonaxisymmetric disturbances are formulated in 3D and then solved numerically. Radial displacements and entropy disturbances are included. The equations contain the 2D approximation of strictly horizontal displacements as a special limit.
Results. The critical magnitude of the latitudinal differential rotation for the onset of the instability is reduced considerably in the 3D theory compared to the 2D approximation. The instability requires a subadiabatic stratification. It does not exist in the bulk of the convection zone with almost adiabatic stratification but may switch on close to its base in the region of penetrative convection. Growth rates and symmetry types of the modes are computed in dependence on the rotation law parameters. The S1 mode with its transequatorial toroidal vortices is predicted to be the dominating instability mode. The vortices exhibit longitudinal drift rates retrograde to the basic rotation, which are close to that of the observed weak r-mode signatures at the solar surface.
Key words: instabilities - Sun: rotation - Sun: interior - stars: rotation
1 Introduction
The differential stellar rotation may excite other types of motion by means of instability. The possible transmission of rotational energy to other types of motion may be relevant to various astrophysical processes. Excitation of r-modes of global oscillations in differentially rotating neutron stars is considered as a source of detectable gravitational waves (Watts et al. 2003). Knaack et al. (2005) interpreted the large-scale structures in magnetic fields of the Sun as signatures of r-modes, which may in turn result from an instability.
The stability problem of differential rotation is also relevant to the dynamics of the solar tachocline (Gilman 2005). The tachocline is the thin shell beneath the convection zone where the rotation pattern changes strongly. Beneath the tachocline, the solar rotation is practically uniform. Above the tachocline, the rotation rate varies with latitude as observed at the solar surface. Inside the tachocline, a transition from differential to uniform rotation occurs with increasing depth. The question is whether this tachocline is hydrodynamically stable or not. If it is, it would be difficult to conceive that the site of the solar dynamo is beneath the convection zone.
The tachocline thickness is about 4% of the solar radius. The
tachocline is located mainly if not totally beneath the base of the
convection zone at
(Christensen-Dalsgaard et al. 1991; Basu & Antia 1997) in the
uppermost radiation zone.
The stability/instability of the solar tachocline is also related
closely to the lithium problem. The lithium at the surfaces of cool
MS stars slowly decays with a characteristic time
1 Gyr. The
primordial lithium is destroyed at temperatures greater than
K, which is exceeded already at depths greater than 42 000 km
beneath the bottom of the convection zone. Evidently, the tachocline
should not be too unstable otherwise the downward transport of the
lithium may well be too strong. Nevertheless, the diffusion
coefficient for the lithium must exceed the molecular diffusion by
one or two orders of magnitude.
The hydrodynamical stability problem has been studied extensively in
2D approximation of purely toroidal disturbances. Symmetry types and
growth rates of the 2D unstable modes are known (Watson 1981;
Dziembowski & Kosovichev 1987; Charbonneau et al.
1999a), and the weakly nonlinear evolution of the
instability has also been described (Garaud 2001; Cally
2001). The 2D approximation neglects the radial
displacements, which are expected to be small in stably stratified
radiative shells where the buoyancy frequency N is much higher
than the rotation rate,
(Watson 1981). This
condition is not fulfilled in stellar convection zones.
The present paper overcomes the 2D approximation by allowing for
radial displacements. Poloidal motions and entropy disturbances are
thus included. Our formulation contains the 2D approximation as a
special limit of large parameter
;
where
is the radial scale of the disturbances and ris the radius. We shall see that the most unstable modes have such
small radial scales that
and this condition is by far not
fulfilled. The minimum amount of differential rotation required for
the onset of the instability is considerably lower than in the 2D
case. More importantly, the instability does not exist in the limit
of
,
so that differential rotation is stable in
convection zones of almost adiabatic stratification. The instability
may, however, switch on in the region of penetrative convection
close to the base of the convection zone. Such a near-base
instability may explain the difference in latitudinal profiles of
angular velocity between the top and the bottom of the solar
convection zone (Charbonneau et al. 1999a). If this is the
case, transequatorial vortices (unstable S1 modes) should be present
near the base. The rates of (retrograde) drift of the vortices are
similar to that of the r-modes signatures inferred by Knaack et al.
(2005) from solar magnetograms.
2 The model
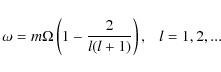
The latitudinal dependence of the angular velocity
on the
Sun can be approximated by an expression including
and
terms so that
where
At the solar surface,
and
(Howard et al. 1983). The latitudinal shear varies only slightly with
depth in the bulk of the convection zone but shows a characteristic
change near its base (Charbonneau et al. 1999a). The
amplitude a(1-f) of the
term remains almost
constant up to the base and starts decreasing in the deeper
tachocline only while the fraction f of
contribution drops to practically zero near the base (cf. Fig. 10 of
Charbonneau et al. 1999a).
The stratification is characterized by the buoyancy frequency N,
where g is the gravity,
We address the linear stability problem with the small disturbances
depending on time as
.
A positive
imaginary part of the eigenvalue
means an instability. The
radial scales of the disturbances are assumed to be small compared
to the stellar radius, while the equations are global in both the
horizontal dimensions. The dependencies on radius and longitude
are described by Fourier modes
.
2.1 Equations
The linear equations for small perturbations in differentially
rotating fluids with toroidal magnetic fields were given by
Kitchatinov & Rüdiger (2008). Here, the nonmagnetic
version of the equations is considered. The equations are formulated
for normalized parameters (the rules of conversion to physical
variables are given below). The equation for the potential W of
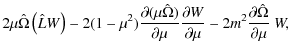
the toroidal flow reads
where
is the angular part of the Laplacian operator, and
is the key parameter for the influence of the stratification. The diffusion terms are characterized by the parameters
where
Apart from Eq. (3) for the toroidal flow, the complete system
of three equations includes the equation for poloidal flow,
and the equation for the normalized entropy S,
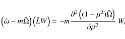
Equations (3), (7) and (8) form an eigenvalue problem which we solved numerically.
The reason why only latitudinal rotation inhomogeneity is present in
the equation system is that radial scale of disturbances is assumed
to be short. As a consequence of this assumption, all radial
derivatives are absorbed by the disturbances. Contributions of
radial derivatives of
such as
always have a counterpart such as
in the same equation, and the
former is always negligible compared to the latter. We note that the
radial wave number k is included in the normalization of V (cf.
Eq. (8) of Kitchatinov & Rüdiger 2008). Relative magnitude
of the omitted terms with radial derivatives of
is the
ratio of the radial wave length
of the disturbances to the
tachocline thickness w. We shall see that the ratio for most
rapidly growing disturbances is lower than one,
,
though not very low.
The values of
and
of the diffusion parameters defined in Eq. (6) are
characteristic of the upper radiative core of the Sun and were used.
However, close reproduction of some of the results by computations
for an ideal fluid with
indicated
that the small diffusivities were not significant.
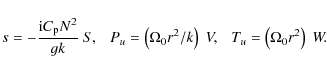
The disturbances in physical units follow from their normalized
values by
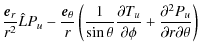
The velocity field can be restored from the potentials of poloidal (Pu) and toroidal (Tu) flows,
(Chandrasekhar 1961), where
Without rotation (
)
and for small diffusion the
Eqs. (3), (7), and (8) reproduce the spectrum
of g-modes. The limit of very large
2.2 2D approximation
The ratio of
in stars can be so high (
105 in
the upper radiative core of the Sun) that
(5) can also be high in spite of short-wave approximation in
radius,
.
In the limit of large
,
the
above equation system reduces to its 2D approximation. For the
leading order of this parameter, Eq. (7) gives S = 0. It
then follows from Eq. (8) that V = 0 and that Eq. (3)
reduces to the standard equation of 2D theory of Watson
(1981),
describing toroidal flows on spherical surfaces.
The 2D approximation is justified for stable oscillations with not
too short radial scales so that
remains high. Its
validity for stability problem is less certain because the radial
scales of most rapidly growing modes are not known in advance and
the value of kr for those modes is normally so high that
(Kitchatinov & Rüdiger 2008).
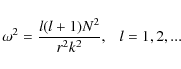
For rigid rotation, Eq. (12) provides the eigenvalue spectrum
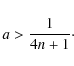
of the r-modes (Papaloizou & Pringle 1978). Instabilities can emerge with nonuniform rotation. The necessary condition for instability is that the second derivative,
the condition demands that
It should be a > 0.2 for n=1. For n=2, i.e., the
The profile given in Eq. (1) for the Sun is, of course, an
approximation. Higher order terms in
may also be
present. The reduction of the instability threshold because of the
higher order terms is, however, less significant and they are
relevant only to the near-polar regions. Here, the results are
presented for the rotation law of Eq. (1).
2.3 Symmetry types
The eigenmodes provided by both the 2D approximation of
Eq. (12) and the full 3D equation system of Sect. 2.1
possess definite equatorial symmetries. We use the notation Sm for
the modes with symmetric relative to the equator potential W of
toroidal flow and the notation Am for antisymmetric W (m is the
azimuthal wave number). The symmetry convention is the same as used
before (Charbonneau et al. 1999a; Kitchatinov & Rüdiger
2008). We note that the eigenmodes combine W of definite
symmetry with S and V of opposite symmetry, i.e., S and Vare symmetric for Am modes and antisymmetric for Sm. The velocity
field for Am modes has antisymmetric
and symmetric urand
about the equatorial plane, and the converse for Sm
modes.
Watson (1981) proved that only nonaxisymmetric modes with m=1 and m=2 can be unstable in the 2D approximation. Our 3D computations reach the same conclusion.
3 Results
Figure 1 shows the critical shear amplitudes a as functions
of
for f=0. This is the case considered by Watson,
and his results are reproduced for the limit of high
.
We note, however, that the most easily excited
modes have
.
![]() |
Figure 1:
Neutral stability lines for f=0 in rotation
law (1). The instability region is above the lines. Only A1 and S2 modes are unstable.
The lines approach the marginal a-values of Watson theory for large
|
| Open with DEXTER | |
Even for high
,
the small radial displacements are
significant for the instability. The reason is that the most
unstable modes have short radial scales. It can be seen from
Eq. (10) that the assumption of zero radial velocity would
exclude the entire class of poloidal disturbances. The ratio of
horizontal (
)
to radial velocities in a cell of
poloidal flow of different radial (
)
and horizontal (H)
scales can be estimated as
.
Horizontal velocity of poloidal flow can thus remain important in
spite of small ur, if the radial scale is much shorter than the
horizontal one. The poloidal (interchange-type) disturbances are so
significant for the instability that the critical latitudinal shear
for onset of the instability reduces from a=0.28 (value of Watson)
to a=0.21. However, this lower value still ensures that the
tachocline is stable.
![]() |
Figure 2: The same as in Fig. 1 but for f=0.5. The critical shear for onset of the instability is reduced, the newly appeared unstable modes S1 and A2 are excited most easily. |
| Open with DEXTER | |
We find that the instability disappears when the stratification
approaches adiabaticity (
). The instability of
differential rotation thus does not exist in convection zones.
![]() |
Figure 3:
Isolines for the normalized growth rates
|
| Open with DEXTER | |
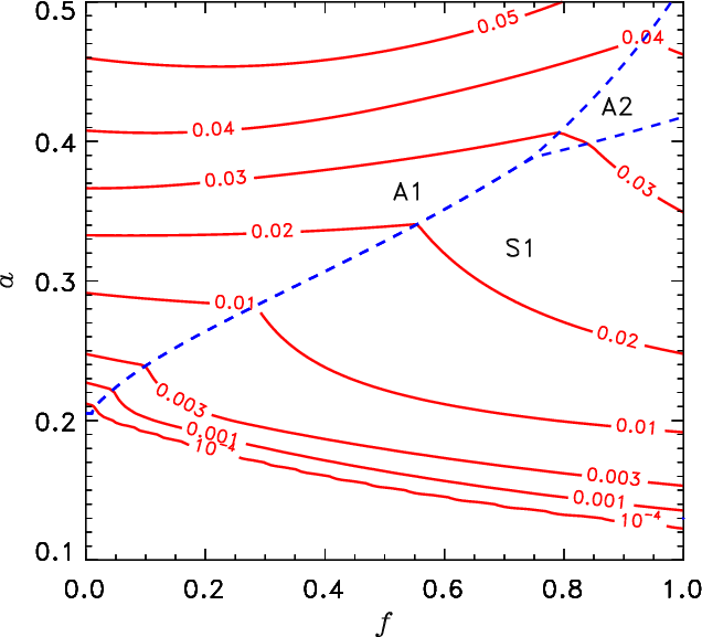
Estimations of Sect. 2.2 suggest that finite f in the rotation law of Eq. (1) makes a destabilizing effect. The expectation is confirmed by the results of Fig. 2. The threshold value of a for the onset of the instability is lower than for f=0. New unstable modes appear and the S1 mode is now preferred.
We find that the instability is rather sensitive to the details of
the rotation law. The growth rates of the unstable modes depend on
a and f as shown in Fig. 3. The length scale
was varied to determine the maximum growth rates
shown in the plot. The dashed line separates the regions of
different symmetry types. Surprisingly, even the symmetries of the
most rapidly growing modes depend on the shape of the rotation law.
The shape of the rotation law is the result of the interaction of
the turbulence and the basic rotation in the solar/stellar
convection zone.
3.1 Angular momentum transport
![]() |
Figure 4:
Meridional flux of angular momentum for slightly supercritical
(
|
| Open with DEXTER | |
The depth dependence of the solar rotation law known from
helioseismology can be interpreted in light of the presented
results. The rotation law in the bulk of the almost adiabatically
stratified convection zone is stable. In the region of penetrative
convection near the base of convection zone, the stratification
changes to subadiabaticity and the instability can exist. If it
exists, then it reacts back on the differential rotation to cause it
to become more of a stable profile with f=0. Our linear
computations cannot describe this nonlinear process but they can
identify the sense of angular momentum transport. Figure 4
shows that the instability indeed tends to reduce the differential
rotation. The plot shows the angular momentum flux
after longitude-averaging as a function
of the latitude. The correlation is negative (positive) for the
northern (southern) hemisphere. The angular momentum is thus
transported from the equator to the poles. The plot was constructed
for slightly supercritical S1 mode, which should be active if the
differential rotation is reduced to the marginally stable value
(Fig. 3).
3.2 The flow pattern
![]() |
Figure 5: Streamlines of toroidal flow for the same mode as in Fig. 4. Full and dotted lines show opposite senses of circulation. |
| Open with DEXTER | |
The streamlines of the toroidal flow for the same S1 mode are shown in
Fig. 5. Close to the equator the flow represents
transequatorial vortices. The flow pattern drifts in longitude
against the direction of rotation in the corotating frame with rates
shown in Fig. 6. If the deep-seated vortices were
observable (e.g., due to disturbance of the large-scale magnetic
field), the observer would see
the frequencies
where
![]() |
Figure 6:
Normalized drift rates
|
| Open with DEXTER | |
4 Discussion
Rotation laws in stably stratified stellar interiors with sufficiently steep latitudinal gradients are hydrodynamically unstable against nonaxisymmetric disturbances or - identically - the r-modes are excited by large enough differential rotation. Since their drift rate is retrograde with an amplitude of about 10% of the rotation rate, they should be observable.
They are only excited, however, in subadiabatically stratified
radiative zones and convective overshoot regions. Hence, their
existence directly indicates the extended regions of latitudinal
shear in the deep stellar interior beneath the proper convection
zone. If this region - like the solar tachocline - is thin, then
the amplitude of the r-mode oscillation should be much lower than in
stars wit extended tachoclines. New calculations that account for
radial profiles of the angular velocity are necessary to develop
this new r-mode seismology. In the present paper, theradial shear
of rotation was not included, which can be justified only if the
angular velocity varies with radius on a scale larger than the
radial wavelength of unstable excitations. The wavelength can be
estimated for the solar tachocline as
Mm (Kitchatinov & Rüdiger 2008). The most
easily excited disturbances in Figs. 1 and 2 have the
wavelengths
Mm that are shorter than the
tachocline width
Mm (Charbonneau et al. 1999b)
but not much shorter.
The critical latitudinal shear for the excitation of the modes is
not very small. The simplest theory without radial perturbations and
with a simplified parabolic rotation law yields a critical
latitudinal shear of 28%. We have shown with an improved
mathematical analysis that the true value is lower. It is reduced to
21% for the same rotation law but with a 3D theory. The critical
shear value is lower still if the rotation law contains a higher
order term of
.
Nevertheless, the critical shear rate
remains higher than (say) 10%. A rotation law with a slightly
smaller latitudinal shear (driven by the turbulence in the
convection zone) could stably exist in the stellar interior without
any decay. We know, however, that the solar core rotates almost
rigidly. This can only be true if the slender solar tachocline is
caused by another effect, e.g., by the Maxwell stress of large-scale
magnetic fields. They may be of fossil origin since their
amplitudes need not exceed (say) 1 Gauss (cf. Rüdiger &
Kitchatinov 2007).
If this magnetic concept for the solar tachocline is true and if the tachocline is indeed stable then the very slow decay of the observed lithium abundance is also understandable. The slight increase in the lithium diffusion by one or two orders of magnitude compared to the microscopic diffusivity can be easily explained by slow horizontal motions of order cm/s (see Rüdiger & Pipin 2001) or by radial plumes penetrating from the convection zone (Blöcker et al. 1998).
Acknowledgements
This work was supported by the Deutsche Forschungsgemeinschaft and by the Russian Foundation for Basic Research (project 09-02-91338).
References
- Basu, S., & Antia, H. M. 1997, MNRAS, 287, 189 [NASA ADS]
- Blöcker, T., Holweger, H., Freytag, B., et al. 1998, Space Sci. Rev., 85, 105 [NASA ADS] [CrossRef] (In the text)
- Cally, P. S. 2001, Sol. Phys., 199, 231 [NASA ADS] [CrossRef] (In the text)
- Chandrasekhar, S. 1961, Hydrodynamic and Hydromagnetic Stability (Oxford: Clarendon Press), 622 (In the text)
- Charbonneau, P., Dikpati, M., & Gilman, P. A. 1999a, ApJ, 526, 523 [NASA ADS] [CrossRef] (In the text)
- Charbonneau, P., Christensen-Dalsgaard, J., Henning, R., et al. 1999b, ApJ, 527, 445 [NASA ADS] [CrossRef] (In the text)
- Christensen-Dalsgaard, J., Gough, D. O., & Thompson, M. J. 1991, ApJ, 378, 413 [NASA ADS] [CrossRef]
- Dziembowski, W., & Kosovichev, A. G. 1987, Acta Astron., 37, 341 [NASA ADS] (In the text)
- Garaud, P. 2001, MNRAS, 324, 68 [NASA ADS] [CrossRef] (In the text)
- Gilman, P. A. 2005, Astron. Nachr., 326, 208 [NASA ADS] [CrossRef] (In the text)
- Howard, R., Adkins, J. M., Boyden, J. E., et al. 1983, Sol. Phys., 83, 321 [NASA ADS] [CrossRef] (In the text)
- Kitchatinov, L. L., & Rüdiger, G. 2008, A&A, 478, 1 [NASA ADS] [CrossRef] [EDP Sciences] (In the text)
- Knaack, R., Stenflo, J. O., & Berdyugina, S. V. 2005, A&A, 438, 1067 [NASA ADS] [CrossRef] [EDP Sciences] (In the text)
- Papaloizou, J., & Pringle, J. E. 1978, MNRAS, 182, 423 [NASA ADS] (In the text)
- Rüdiger, G., & Kitchatinov, L. L. 2007, New J. Phys., 9, 302 [CrossRef] (In the text)
- Rüdiger, G., & Pipin, V. V. 2001, A&A, 375, 149 [NASA ADS] [CrossRef] [EDP Sciences] (In the text)
- Watson, M. 1981, Geophys. Astrophys. Fluid Dyn., 16, 285 [NASA ADS] [CrossRef] (In the text)
- Watts, A. L., Andersson, N., Beyer, H., & Schutz, B. F. 2003, MNRAS, 342, 1156 [NASA ADS] [CrossRef] (In the text)
All Figures
![]() |
Figure 1:
Neutral stability lines for f=0 in rotation
law (1). The instability region is above the lines. Only A1 and S2 modes are unstable.
The lines approach the marginal a-values of Watson theory for large
|
| Open with DEXTER | |
| In the text | |
![]() |
Figure 2: The same as in Fig. 1 but for f=0.5. The critical shear for onset of the instability is reduced, the newly appeared unstable modes S1 and A2 are excited most easily. |
| Open with DEXTER | |
| In the text | |
![]() |
Figure 3:
Isolines for the normalized growth rates
|
| Open with DEXTER | |
| In the text | |
![]() |
Figure 4:
Meridional flux of angular momentum for slightly supercritical
(
|
| Open with DEXTER | |
| In the text | |
![]() |
Figure 5: Streamlines of toroidal flow for the same mode as in Fig. 4. Full and dotted lines show opposite senses of circulation. |
| Open with DEXTER | |
| In the text | |
![]() |
Figure 6:
Normalized drift rates
|
| Open with DEXTER | |
| In the text | |
Copyright ESO 2009
Current usage metrics show cumulative count of Article Views (full-text article views including HTML views, PDF and ePub downloads, according to the available data) and Abstracts Views on Vision4Press platform.
Data correspond to usage on the plateform after 2015. The current usage metrics is available 48-96 hours after online publication and is updated daily on week days.
Initial download of the metrics may take a while.


















![\begin{figure}
\par\includegraphics[width=7.8cm]{11842_f1.eps}
\end{figure}](/articles/aa/full_html/2009/35/aa11842-09/Timg70.png)
![\begin{figure}
\par\includegraphics[width=8.5cm]{11842_f2.eps}
\end{figure}](/articles/aa/full_html/2009/35/aa11842-09/Timg74.png)
![\begin{figure}
\par\includegraphics[width=9cm]{11842_f3.eps}
\end{figure}](/articles/aa/full_html/2009/35/aa11842-09/Timg75.png)
![\begin{figure}
\par\includegraphics[width=9cm]{11842_f4.eps}
\end{figure}](/articles/aa/full_html/2009/35/aa11842-09/Timg76.png)
![\begin{figure}
\par\includegraphics[width=9cm]{11842_f5.eps}
\end{figure}](/articles/aa/full_html/2009/35/aa11842-09/Timg78.png)
![\begin{figure}
\par\includegraphics[width=9cm]{11842_f6.eps}
\end{figure}](/articles/aa/full_html/2009/35/aa11842-09/Timg83.png)