| Issue |
A&A
Volume 504, Number 2, September III 2009
|
|
|---|---|---|
| Page(s) | 625 - 633 | |
| Section | Planets and planetary systems | |
| DOI | https://doi.org/10.1051/0004-6361/200912248 | |
| Published online | 16 July 2009 | |
The influence of the monomer shape in the first stage of dust growth in the protoplanetary disk
I. Bertini - P. J. Gutierrez - W. Sabolo
Instituto de Astrofísica de Andalucía, CSIC, Camino Bajo de Huétor 50, 18008 Granada, Spain
Received 1 April 2009 / Accepted 6 July 2009
Abstract
Context. Laboratory experiments have shown that the initial stage of the dust growth in the protoplanetary disk starts with low-velocity hit-and-stick collisions between sub-micron grains, before the relative impact energy becomes large enough to cause the morphological restructuring of the forming aggregates. The results of these collisions are loose aggregates characterized by fractal dimensions
2. Numerical studies generally model this early stage with colliding clusters made of monodisperse spherical monomers.
Aims. In this paper we aimed to investigate how a more complex representation of the monodisperse monomers structure influences the morphology of the final aggregate particles in terms of fractal dimension, porosity, cross-section, and friction time. This study had also the purpose of testing the validity of the current fractal models in representing irregular particles.
Methods. We used three kinds of hit-and-stick aggregation methods: two particle-cluster aggregations producing compact and extremely loose aggregates, respectively, and simplified cluster-cluster aggregation as intermediate class in terms of fluffyness and porosity. In our measures, we used two kinds of monomer shapes: spheres and elongated prolate ellipsoids with axis ratio 3:1 resembling the ones used to model interstellar dust grains.
Results. We found that the monomer shape has little influence (
2%) on the fractal dimension of the final aggregate, once large particles are taken into account, independently on the morphological class. Elongated monomers produce structures with larger fractal dimension in the limit of small particles. For loose objects the influence on the porosity is even smaller, whereas elongated monomers give particles with
5% higher porosity in the case of large compact fractals. Regardless the ellipsoidal monomer used has, by construction, a cross-section
26% larger than the one of the volume-equivalent sphere, the difference in cross-section per unit mass is decreasing when aggregates are considered. Clusters made by elliptical monomers result much coupled to the surrounding gas than objects made by spherical monomers belonging to the same morphological class. Differences in the friction time are estimated to be below 15%. We conclude that the monomer shape influence on the morphology of the final particles during the hit-and-stick aggregation step is much lower than the differences due to considering different morphological classes in modeling and the uncertainties produced in a realistic accretion scenario, where a wide distribution of morphologies is expected. Present models of irregular particles as fractals made by spherical monomers can therefore also represent well more complex shapes, before the restructuring phase is taken into account.
Key words: accretion, accretion disks - interplanetary medium - solar system: formation
1 Introduction
Laboratory experiments set up to investigate the accretion of dust
in the protoplanetary disk, leading to the formation of
planets and minor bodies, have shown that the initial stage of dust
growth starts with aggregation of sub-micron grains through collisions.
The strong coupling with the surrounding disk gas leads to
low-velocity hit-and-stick collisions between the grains, driven by
brownian motion and differential settling, before the relative
impact energy becomes large enough to trigger restructuring
mechanisms such as compaction and fragmentation. The sticking is due
to contact Van der Waals forces.
The results of such hit-and-stick collisions are grains with
a fractal structure and fractal dimensions
2
(we address the reader to Blum & Wurm (2008) for an extensive review of these experiments).
Numerical studies usually model this early stage as aggregation of fractals made by monodisperse spherical monomers (Suyama et al. 2008; Ormel et al. 2007; Meakin et al. 1989; Zsom & Dullemond 2008; Paszun & Dominik 2006; Dominik & Tielens 1997; Wada et al. 2008; Kempf et al. 1999; Wada et al. 2007). Such monomers are also used as starting seeds to investigate the further aggregation steps, where dust agglomerates can compact, or fragment, due to the increasing impact relative velocities (Suyama et al. 2008; Ormel et al. 2007; Meakin et al. 1989; Zsom & Dullemond 2008; Wada et al. 2007; Dominik & Tielens 1997; Wada et al. 2008).
As underlined in Dominik & Tielens (1997) and Ormel et al. (2007),
the properties of the dust in the early
stage are of key importance to the evolution of the planetary disk, because
the morphology of the collisional aggregates sets up their
subsequent growth, determining the interaction with the surrounding gas.
A fractal dimension
2 implies that the drag force increases
only slowly with the aggregate size and the dust agglomerates couple to the
gas much better than more compact structures characterized by a higher
fractal dimension.
Every theoretical investigation that increases the level of complexity in treating the shapes of particles in the aggregation context may therefore lead to new insights about the dust accretion process. In that sense interesting results can be retrieved using: a) polydisperse and/or b) non-spherical monomers instead of monodisperse spherical monomers.
The effects of using a polydisperse collection of spherical monomers in aggregation studies were investigated by several authors (e.g. Ossenkopf 1993; Zsom & Dullemond 2008; Dominik & Tielens 1997).
In this paper we address point b), investigating the effects of different monomer shapes on the three-dimensional structure of the final aggregate in terms of fractal dimension, porosity, cross-section, and friction time. This study allows us to derive hints about the validity of current fractal models in representing the complex morphology of irregular particles. We used three hit-and-stick aggregation methods to take into account different morphological classes of the final aggregates, from extremely compact to extremely loose ones, in order to cover the range of possible fractal dimensions present in nature. Restructuring mechanisms were not considered in the collisions. We called these methods particle-cluster-aggregation 1 (PCA1), cluster-cluster-aggregation (CCA), and particle-cluster-aggregation 2 (PCA2). We used convex prolate ellipsoids with axis ratio (3:1) as monomers and we compared the results with the ones obtained with classical spherical monomers. In Sect. 2 the model of aggregation used is described. In Sect. 3 we show how we measured the fractal mass dimension, the porosity, the cross-section, and the friction time of the final aggregates. In Sect. 4 we analyze and discuss the results.
2 The model of aggregation
The PCA1 mechanism is straightforward. The first monomer is placed in the three-dimensional (3D) space with its center of mass coincident with the center of the reference frame. The following monomers, which can be seen as projectiles, are generated randomly over a sphere centered in the center of mass of the growing aggregate (the target), which position is updated after every collision, and they are shot towards the target's center after a random rotation. The size of the generating sphere is determined to be always larger than the target's size in order to avoid additional compaction effects. Once the projectiles collide with the target, they stick to it with a sticking probability equal to unity and the aggregate grows.
The CCA case is slightly more complex. The aggregation mechanism is
the same as PCA1 but in this case the projectiles in each aggregation step
are formed by clusters of monomers having the same shape of
the target. The projectiles are randomly rotated before being set on the
collision course towards the center of the target.
PCA1 and CCA differ from
classical ballistic particle-cluster aggregation (BPCA) and
ballistic cluster-cluster aggregation (BCCA) methods
(Mukai et al. 1992), respectively, because in PCA1 and CCA the projectile is shot towards the center of mass of the target
instead of traveling on a random ballistic course intersecting the target cross
section as in BPCA and BCCA. Moreover, the CCA particles are created colliding clusters of the same shape,
while original BCCA aggregates were obtained through the collision of clusters with same mass
but not identical shape. In the 3D space with monodisperse spherical monomers and
a hit-and-stick regime, BPCA particles are
characterized by fractal dimension
and BCCA by
(Mukai et al. 1992).
The PCA2 mechanism is similar to the PCA1 one, except
for the fact that the
randomly generated monomers are not forced to move towards the center
of mass of the aggregate but they are set to move in the direction
of the closest monomer. In this way random chains with extremely
elongated loose structures and high porosity are obtained, as described in
Bertini et al. (2007). This kind of elongated aggregates morphologically resemble
the dust particles obtained in the micro-gravity
aggregation experiment CODAG (
for aggregates
made by monodisperse spherical monomers and having the number of
monomers,
[10-100]), where the structure of primitive
pre-planetary dust was investigated (Krause & Blum 2004).
For the three aggregation methods, the detection of the target-projectile collision is performed, when non-spherical monomers are taken into account, representing the monomers with a grid of points (i.e. as polyhedrons described by a certain number of vertices, properly covering their entire surface) and checking, during the time steps where the distances between the projectile and the target are such that a collision can happen, if one of the projectile's vertices is inside the volume of one of the target's monomers. In this case, the projectile becomes part of the target and the process is repeated. In the case of spherical monomers, the collision detection is made in a simpler way, checking if the distance between the projectile and the closest monomer in the target is lower than the monomer's diameter.
2.1 The different monomer shapes
We chose to limit our study to convex monomers, because the collision detection algorithm has been largely successfully tested for this kind of shapes. Moreover, concave shapes are not expected to produce appreciable different results in the hit-and-stick regime. They would instead probably lead to different behaviors in the restructuring phase, due to the larger number of surface contacts that concave monomers can exhibit with respect to convex monomers. We used two main monomer shapes. The first one is a simple sphere, in order to compare our results with the particles previously used in the literature. The second one is a polyhedron approximation of an elongated prolate rotation ellipsoid. These monomers have two axis equal and the third one is three times larger than the other two (i.e. they are characterized by an axis ratio (3:1)), resembling the shape of the interstellar grains building up comets, as suggested by Greenberg & Hage (1990). Both spherical and ellipsoidal monomers have the same volume and the same mass. Examples of the generated PCA1, CCA, and PCA2 particles, with the two different monomer shapes are shown in Fig. 1, where aggregates with N = 500 are displayed. This monomer number value corresponds to the largest particles analyzed in this work.
Although limited to the case of only two different monomer shapes, we believed this choice was sufficient to provide hints on the influence of the monomer shape on the overall morphology of the final particles since the ellipsoidal shape chosen is extremely elongated and different from a sphere, and can be indeed considered as an extreme case.
![]() |
Figure 1:
Examples of aggregate particles obtained with our
aggregation codes. We show aggregates with spherical ( top) and
ellipsoidal 3:1 ( bottom) monomers. From left to right PCA1, CCA, and
PCA2 particles are displayed, respectively. The number of
monomers, N, in the aggregates is 500, corresponding to the
largest aggregates analyzed in this paper. All the spherical
monomers in the figure have the same monomer radius
|
| Open with DEXTER | |
3 The measure of the model's parameters
The measures of the fractal mass dimension, porosity, cross-section, and friction time of the dust aggregates are described in this section.
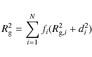
3.1 The fractal mass dimension
The fractal mass dimension,
,
is a measure of the morphology of an object
made of self-similar structures (a fractal), indicating how completely the object
fills the space. End-member fractals, with
and
are characterized
by extremely open and compact structures, respectively.
Fractal media obey a power-law relation between their mass and linear size
(e.g. Blum & Wurm 2000):
where m is the mass of the object,
and
where fi is the mass-fraction of the ith monomer and di is the distance from its center of mass to the center of mass of the aggregate. In case of monomers having the same density, the mass fraction is the volume fraction, and
When dealing with ellipsoidal monomers, we can use an average value for
Using these equations we were able to calculate
![]() |
Figure 2:
Percentage standard deviation in the measure of the cross-section,
|
| Open with DEXTER | |
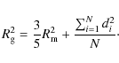
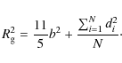
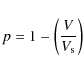
3.2 The porosity
A widely-used parameter to describe the effect of volume-filling factor
in fractal structures, and irregular particles in general, is the porosity, p,
defined as 1-V/
,
where V is the volume of the solid part of the
particle and
is the total volume, generally intended as the volume
of the solid part plus the pores
(e.g Voshchinnikov & Henning 2008; Petrova et al. 2004; Kozasa et al. 1992; Mukai et al. 1992; Bertini et al. 2007; Kimura et al. 2006; Greenberg & Hage 1990; Das et al. 2008; Davidsson & Skorov 2002).
It should be emphasized at this point that the porosity
and the fractal dimension need not
to be uniquely related. Aggregates with the same porosity may have very
different fractal dimensions and vice versa (Leung 1996; Fogel & Leung 1998). The fractal dimension and the
porosity are therefore independent parameters, both characterizing the morphology of fractal aggregates.
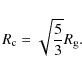
In order to calculate the porosity of the aggregates, we applied the method
by Mukai et al. (1992), already used by several other authors (e.g Kozasa et al. 1992; Petrova et al. 2004; Das et al. 2008; Kimura et al. 2006; Bertini et al. 2007).
Firstly, although fractals do not possess a constant internal density, the so-called characteristic
radius,
,
is calculated.
represents the radius
of a homogeneous sphere having the same radius of gyration of the aggregate and is
defined as:
The mean porosity, p, of an aggregate is then calculated with:
where V is the total volume of the monomers in the aggregate and
Since we have chosen in our study ellipsoidal and spherical monomers having the same volume, Eq. (8) holds even in the case of ellipsoidal monomers.
3.3 The cross-section and the friction time
The cross-section and the friction time are parameters describing the aerodynamical properties of dust particles and the strength of the dust-gas interaction (e.g Kempf et al. 1999). As a matter of fact, the drag force due to the interaction between the gas and the particle embedded in it is proportional to the particle's cross-section and the friction time represents the time that a particle needs to dissipate its kinetic energy of its relative motion to the gas.
In order to calculate the cross-section,
,
of our aggregates,
we used the method described in Meakin & Donn (1988).
This method implies the calculation of the projected area of the aggregate
onto the xy plane,
.
If the aggregate contains N monomers, nN random points (where n=5 in
Meakin & Donn 1988; and n=10 in Meakin et al. 1989)
are then selected on the xy plane in a circle of radius
enclosing the projected cluster (here
is the maximus
radius of the cluster measured from its center of mass).
If M of these points are in the region containing the projection, an
estimate of
is:
The procedure is then repeated for the two other perpendicular planes, xz and yz, obtaining
We found that, using this method, the cross section depends on the
number of random points used in the measure of the projected areas.
As a matter of fact, the larger the number of random points n, the better the
area is filled-up and the smaller the percentage standard deviation,
,
in the measure of
is.
We estimated the influence of n deriving the
versus n behavior
for single aggregates. We show in Fig. 2 sample relations
for PCA1 (Fig. 2a) and PCA2 (Fig. 2b) aggregates made
by 5, 50, and 500 spherical monomers,
averaging the results over several particles.
![]() |
Figure 3:
Fractal dimension |
| Open with DEXTER | |
It is clear from the plot
that the percentage error decreases increasing n. Since
increases going from compact PCA1 to loose PCA2, once N is fixed, we
see that
increases for the three morphological classes, once
n is fixed. Moreover, we found that these behaviors are also
N-dependant. Smaller aggregates give larger
than larger aggregates
belonging to the same morphological class, once n is fixed.
We took into account all these effects when measuring the cross-sections.
All the
values were obtained properly choosing the right n,
according to N and the morphological class, in order to have always
1%.
The friction time,
,
of a particle embedded in a gas depends
on the resistance provided by the gas. For spherical solid grains, the
Epstein formulation (Epstein 1923) holds in a regime characterized
by Knudsen numbers (i.e. the ratio between the mean free path length
of the gas molecules and the size scale of the solid particle)
:
where m and
As underlined by Blum et al. (1996) and Kempf et al. (1999), for almost
all the astrophysical environments, including the hit-and-stick regime we are analyzing,
the gas densities are very low and the grain sizes are so small that
.
Laboratory experiments by Blum et al. (1996) showed that deviation
from particle sphericity, using fractal aggregates, causes only minor
deviations from the Epstein's law, and that Eq. (10) can be
successfully used to calculate
for irregular particles.
4 Results analysis
The results obtained in the measure of the morphology of fractal aggregates are illustrated and discussed in the following section.
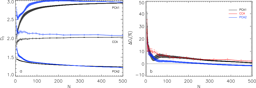
4.1 The fractal mass dimension
In Fig. 3a we analyze the
versus N behavior,
depending on the morphological class and the monomer shape
for particles with N in the range [5-500].
The same fractal dimension data points are plotted in
Fig. 4a with respect to the
over the monomer size parameter, relating in that way our results to
real physical sizes. The monomer size is
and b for spherical
and ellipsoidal monomers, respectively.
All data points are shown with correspondent one sigma error bars.
CCA aggregates, obtained through the collision of identical
clusters, give data points characterized by different series
of N, according to the number of monomers of the starting seed,
,
used in the first aggregation step. We used
starting seeds with
,
and 7. The data points at
N=500 were found linearly interpolating the results
at N=448 (
)
and N=512 (
).
![]() |
Figure 4:
Fractal dimension |
| Open with DEXTER | |
![]() |
Figure 5:
Porosity p a) and percentage porosity
difference |
| Open with DEXTER | |
It has been shown that the fractal dimension of
aggregates changes with their size.
Mandelbrot (1992) showed that in particle-cluster aggregation
(diffusion-limited in his case) the particles are characterized
by fractal dimension increasing with size, tending to an
asymptotic value for large clusters, when the growing aggregate is
much larger than the added monomer.
In CCA particles made by spherical monomers, where two identical clusters take part in each aggregation event, the
of the growing aggregate is practically constant at each
stage (Kolb et al. 1983).
Our results also show that the
dependency on N is
influenced by the aggregation class. It is
clear that compact
particles (PCA1) made by spherical monomers have
increasing with N,
appearing to tend to a constant value for large clusters. This
behavior is still present in CCA particles but they tend faster than
PCA1 to an asymptotic value.
We also analyzed for the first time
the dependency in extremely fluffy aggregates (PCA2). We
found that in this case the fractal dimension is decreasing
with increasing N, appearing to tend to a constant value for
large clusters.
Aggregates made by ellipsoidal monomers show a similar trend with
N in the PCA2 case. CCA particles are instead characterized by a
gentle decrease of
with increasing N. PCA1 objects
have
decreasing in the range
[5-10], then increasing reaching
a maximum around
200, and afterwards gently decreasing at larger N.
In order to estimate the monomer shape influence on the
morphology of the final aggregate, we calculated the percentage
difference,
,
inside a morphological class, between the fractal
dimension retrieved from ellipsoidal and spherical monomers.
This difference is calculated through the formula:
where
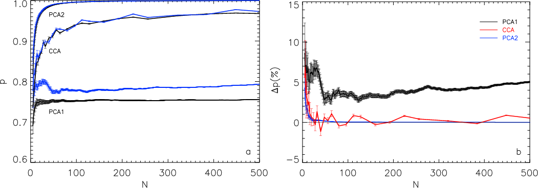
4.2 The porosity
In Figs. 5a and 6a we plot the porosity versus the number of monomers N and the parameter
/monomer size, respectively.
Error bars are given by the standard deviations we found averaging the results
in the statistical sample used.
![]() |
Figure 6:
Porosity p a) and percentage porosity
difference |
| Open with DEXTER | |
![]() |
Figure 7:
Cross-section per unit mass, |
| Open with DEXTER | |
In CCA and PCA2 particles, p increases with N, tending
to a constant value, although CCA objects show local variations.
For PCA2 particles this happens rapidly, while CCAs
show a slower growing of the porosity with N.
Similar fast trend with N is found in PCA1 aggregates made
by spherical monomers, whereas corresponding objects made
by elliptical monomers show a constant increasing trend of p with N,
although with local erratic behavior, for
.
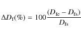
The influence of the monomer shape on the porosity is evaluated
in Figs. 5b and 6b, where we show the
porosity percentage difference,
,
calculated similarly to
Eq. (11).
CCA and PCA2 structures are characterized by
decreasing
with increasing N and reaching
for
-20, although CCA particles show erratic local
variations. We conclude that the monomer shape has extremely
little influence in the CCA and PCA 2 cases except for very small
particles, where ellipsoidal monomers create systematically more
porous structures. The case of compact PCA1 aggregates is
somehow different: ellipsoidal monomers produce always more porous structures
with a minimum
.
has a decreasing trend up
to
and then increase constantly with N, although with
local variations.
for the largest particles analyzed
with N=500 raises up to 5%.
4.3 The cross-section and the friction time
The
parameter is proportional to the ratio of the gas-drag
to the particle mass, or, equivalently, to the inverse of the
friction time. It is therefore the dominant factor in establishing the
gas-grain interaction and determines, together with the gas velocity field,
the motion of the aggregate, as underlined in Meakin & Donn (1988).
In Fig. 7 we plot the
versus N parameter,
normalized to the spherical monomer cross-section
,
for the three morphological classes and the two monomer shapes.
Looking at the results for spherical monomers,
a clear trend of the
versus N behavior connected
with the shape of the aggregates can be found. Loose particles give larger cross
sections per unit mass with respect to compact particles when the same Nis considered. This implies a larger gas-drag per unit mass and a stronger
coupling with the surrounding gas with the consequence that fluffier particles
settle more slowly towards the mid-plane of the protoplanetary disk and feel much
more the effects of eventual local turbolences.
The PCA2 behavior in that sense has to be underlined.
While in PCA1 and CCA aggregates
decreases increasing N, PCA2
objects are characterized by
decreasing up to
and then slightly increasing at larger N. Nevertheless, considering the
error in the measures,
is almost constant for
in the PCA2 case.
This implies that for extremely fluffy aggregates the aerodynamical behavior
is practically independent of the particles size.
Our results agree with the findings of Meakin & Donn (1988), Mukai et al. (1992),
Ossenkopf (1993), and Minato et al. (2006), for BPCA and BCCA particles,
and extend them to extremely fluffy aggregates having
.
We found that also aggregates made by ellipsoidal monomers show similar trends, although
they always exhibit larger cross-section with respect to fractals made
by spherical monomers (see Fig. 7b). This is an expected result, because the
ellipsoids we used in our study have larger cross-section
than the volume-equivalent spheres. As a matter of fact, calculating
the surface area of the ellipsoidal monomer and applying the
Cauchy's theorem (Cauchy 1908), stating that for any convex body the
mean value of the projected area is one quarter of its surface area,
it follows that the ellipsoidal monomer have a mean cross-section
![]()
larger than the one of the volume-equivalent sphere.
It is therefore logical that aggregates made by the ellipsoidal monomers
have, by construction, larger cross-section than fractals made by spherical monomers.
Nevertheless, looking at Fig. 8, where the percentage difference
,
calculated similarly to
Eq. (11), is plotted versus N, we can conclude that the difference
decreases when aggregates are considered, for the three morphological classes.
Once we consider dust particles in the same position of the protoplanetary disk,
the friction time percentage difference,
,
depends only on
the inverse of the cross-section per unit mass, because the gas parameters are identical for every
object. Using the
values previously obtained and
Eq. (11),
can then be easily derived.
We found that clusters of ellipsoidal monomers have lower friction time than correspondent
aggregates of spherical monomers. The influence of the monomer shape on the
friction time decreases to absolute values
15%, once aggregates are taken into account.
5 Summary and conclusions
![]() |
Figure 8:
Percentage cross-section per unit mass
|
| Open with DEXTER | |
We analyzed the influence of the monomer shape on the morphology of the final aggregates in terms of fractal mass dimension, porosity, cross-section, and friction time. We used two kinds of monomer shape (spheres and prolate ellipsoids with axis ratio 3:1) and three kinds of aggregation classes, named PCA1, CCA, and PCA2, producing from extremely compact to extremely loose aggregates, respectively.
We found that:
- The value of the fractal mass dimension,
,
calculated with the usual
formula is dependent
on the size of the aggregate. The dependency is different
for different morphological classes. Compact aggregates show
increasing with size, tending to an
asymptotic value for larger particles. CCA particles have
slightly increasing with size, showing almost constant values.
Extremely fluffy aggregates
are characterized by fractal dimension slightly decreasing with increasing size
and tending to a constant value for large particles.
Aggregates made by ellipsoidal monomers show a similar trend with Nin the loosest case. PCA1 and CCA particles show different behaviors
compared to the correspondent clusters of spherical monomers.
Ellipsoidal monomers result in clusters with fractal dimension always
larger than correspondent objects made by spherical monomers, except for PCA2
aggregates with
.
The percentage difference in the fractal dimension gets smaller for larger objects in
the three aggregation classes. For
-30 the influence of
the monomer shape is estimated to be below 10% and for the largest particles
analyzed gets lower than 2%.
- As a general trend the porosity, calculated as
1-(solid volume of the particle)/(total volume), increases with Nin all cases, although with different modalities depending
on the morphological class and the monomer shape. Compact particles
made by ellipsoidal monomers show this behavior for
.
The monomer shape has little influence on p in the open aggregates
CCA and PCA2. The porosity percentage difference is lower than
1% for
-20. Smaller particles made by elliptical monomers
always exhibit more porous structures with respect to spherical monomers
clusters. In compact objects the elongated monomers produce
aggregates with higher p and
is increasing with Nfor
,
reaching 5% with N = 500.
- Loose particles have larger cross-section per unit mass
with respect to compact aggregates of the same mass. This implies
a stronger coupling with the surrounding gas in the protoplanetary
disk. In the extremely fluffy objects the aerodynamical behavior
is practically independent of particles size for
.
These trends are not depending on the monomer shape.
Although the ellipsoidal monomer used in our measures has an
average cross-section
26% larger than the one of the
volume-equivalent sphere, the difference in the cross-section gets smaller
when aggregates are considered. Clusters of ellipsoidal monomers have
larger cross-sections and lower friction times compared to
particles made by spherical monomers. The influence of the monomer
shape on the friction time is estimated to be lower than 15%.
Finally, we conclude that the monomer shape has little influence on the morphology of the final aggregate if a hit-and-stick regime is considered. This influence is much lower than the differences induced by using different morphological classes in modeling, dealing with fractal dimension, porosity, and cross-section per unit mass. Moreover, using N-particle simulations, Kempf et al. (1999), have shown that in the early stage of dust aggregation the resulting particles exhibit a distribution of morphologies remarkably broad, much larger than the effects of the monomer shape we measured. As a consequence, the present models of irregular dust particles as aggregates of monodisperse spherical monomers, can be also considered representative of more complex shapes, before the restructuring phase of aggregation becomes dominant.
Acknowledgements
I. Bertini and W. Sabolo acknowledge grants by the Junta de Andalucia under contract JA2007-TIC2744. Authors are grateful to the anonymous Referee, who helped improving the quality of the paper with useful comments.
References
- Bertini, I., Thomas, N., & Barbieri, C. 2007, A&A, 461, 351 [NASA ADS] [CrossRef] [EDP Sciences] (In the text)
- Blum, J., & Wurm, G. 2000, Icarus, 143, 138 [NASA ADS] [CrossRef] (In the text)
- Blum, J., & Wurm, G. 2008, ARA&A, 46, 21 [NASA ADS] [CrossRef] (In the text)
- Blum, J., Wurm, G., Kempf, S., & Henning, T. 1996, Icarus, 124, 441 [NASA ADS] [CrossRef] (In the text)
- Cauchy, A. 1908, Memoire sur la rectificacion des courbes et la quadrature des surfaces courbes, presente le 22 Octobre, 1832 (Ire serie), 167 (In the text)
- Das, H. S., Das, S. R., Paul, T., Suklabaidya, A., & Sen, A. K. 2008, MNRAS, 389, 787 [NASA ADS] [CrossRef]
- Davidsson, B. J. R., & Skorov, Y. V. 2002, Icarus, 156, 223 [NASA ADS] [CrossRef]
- Dominik, C., & Tielens, A. G. G. M. 1997, ApJ, 480, 647 [NASA ADS] [CrossRef]
- Epstein, P. 1923, Phys. Rev., 22, 710 (In the text)
- Fogel, M. E., & Leung, C. M. 1998, ApJ, 501, 175 [NASA ADS] [CrossRef]
- Garcia de la Torre, J., & Carrasco, B. 2002, Biopolymers, 63, 163 [CrossRef]
- Greenberg, J. M., & Hage, J. I. 1990, ApJ, 361, 260 [NASA ADS] [CrossRef] (In the text)
- Kempf, S., Pfalzner, S., & Henning, T. K. 1999, Icarus, 141, 388 [NASA ADS] [CrossRef]
- Kerfelec, B., Chapus, C., & Vachette, P. 1988, Eur. Biophys. J.
- Kimura, H., Kolokolova, L., & Mann, I. 2006, A&A, 449, 1243 [NASA ADS] [CrossRef] [EDP Sciences]
- Kolb, M., Botet, R., & Jullien, R. 1983, Phys. Rev. Lett., 51, 1123 [NASA ADS] [CrossRef] (In the text)
- Kozasa, T., Blum, J., & Mukai, T. 1992, A&A, 263, 423 [NASA ADS]
- Krause, M., & Blum, J. 2004, Phys. Rev. Lett., 93, 021103 [NASA ADS] [CrossRef] (In the text)
- Leung, C. M. 1996, Modeling astrophysical phenomena involving dust (NATO Advanced Study Institute on the Cosmic Dust Connection, 3rd Course of the International School of Space Chemistry), 273
- Mandelbrot, B. B. 1992, Physica A, 191, 95 [NASA ADS] [CrossRef] (In the text)
- Meakin, P., & Donn, B. 1988, ApJ, 329, L39 [NASA ADS] [CrossRef] (In the text)
- Meakin, P., Donn, B., & Mulholland, G. 1989, Langmuir, 5, 510 [CrossRef]
- Minato, T., Köhler, M., Kimura, H., Mann, I., & Yamamoto, T. 2006, A&A, 452, 701 [NASA ADS] [CrossRef] [EDP Sciences] (In the text)
- Mukai, T., Ishimoto, H., Kozasa, T., Blum, J., & Greenberg, J. M. 1992, A&A, 262, 315 [NASA ADS] (In the text)
- Ormel, C. W., Spaans, M., & Tielens, A. G. G. M. 2007, A&A, 461, 215 [NASA ADS] [CrossRef] [EDP Sciences]
- Ossenkopf, V. 1993, A&A, 280, 617 [NASA ADS]
- Paszun, D., & Dominik, C. 2006, Icarus, 182, 274 [NASA ADS] [CrossRef]
- Petrova, E. V., Tishkovets, V. P., & Jockers, K. 2004, Sol. Syst. Res., 38, 309 [NASA ADS] [CrossRef]
- Solvez, J. A., Iniesta, A., & Garcia de la Torre, J. 1988, Int. J. Biol. Macromol., 10, 39 [CrossRef]
- Suyama, T., Wada, K., & Tanaka, H. 2008, ApJ, 684, 1310 [NASA ADS] [CrossRef]
- Voshchinnikov, N. V., & Henning, T. 2008, A&A, 483, L9 [NASA ADS] [CrossRef] [EDP Sciences]
- Wada, K., Tanaka, H., Suyama, T., Kimura, H., & Yamamoto, T. 2007, ApJ, 661, 320 [NASA ADS] [CrossRef]
- Wada, K., Tanaka, H., Suyama, T., Kimura, H., & Yamamoto, T. 2008, ApJ, 677, 1296 [NASA ADS] [CrossRef]
- Zsom, A., & Dullemond, C. P. 2008, A&A, 489, 931 [NASA ADS] [CrossRef] [EDP Sciences]
All Figures
![]() |
Figure 1:
Examples of aggregate particles obtained with our
aggregation codes. We show aggregates with spherical ( top) and
ellipsoidal 3:1 ( bottom) monomers. From left to right PCA1, CCA, and
PCA2 particles are displayed, respectively. The number of
monomers, N, in the aggregates is 500, corresponding to the
largest aggregates analyzed in this paper. All the spherical
monomers in the figure have the same monomer radius
|
| Open with DEXTER | |
| In the text | |
![]() |
Figure 2:
Percentage standard deviation in the measure of the cross-section,
|
| Open with DEXTER | |
| In the text | |
![]() |
Figure 3:
Fractal dimension |
| Open with DEXTER | |
| In the text | |
![]() |
Figure 4:
Fractal dimension |
| Open with DEXTER | |
| In the text | |
![]() |
Figure 5:
Porosity p a) and percentage porosity
difference |
| Open with DEXTER | |
| In the text | |
![]() |
Figure 6:
Porosity p a) and percentage porosity
difference |
| Open with DEXTER | |
| In the text | |
![]() |
Figure 7:
Cross-section per unit mass, |
| Open with DEXTER | |
| In the text | |
![]() |
Figure 8:
Percentage cross-section per unit mass
|
| Open with DEXTER | |
| In the text | |
Copyright ESO 2009
Current usage metrics show cumulative count of Article Views (full-text article views including HTML views, PDF and ePub downloads, according to the available data) and Abstracts Views on Vision4Press platform.
Data correspond to usage on the plateform after 2015. The current usage metrics is available 48-96 hours after online publication and is updated daily on week days.
Initial download of the metrics may take a while.
![\begin{figure}
\par\includegraphics[width=17cm,clip]{fig1.eps}
\end{figure}](/articles/aa/full_html/2009/35/aa12248-09/Timg19.png)





![\begin{figure}
\par\mbox{ \includegraphics[width=8.8cm]{12248f2a.ps} \includegraphics[width=8.8cm]{12248f2b.ps} }
\end{figure}](/articles/aa/full_html/2009/35/aa12248-09/Timg35.png)




![\begin{figure}
\par\mbox{\includegraphics[width=8.8cm]{12248f3a.ps} \includegraphics[width=8.9cm]{12248f3b.ps} }
\end{figure}](/articles/aa/full_html/2009/35/aa12248-09/Timg48.png)

![\begin{figure}
\par\mbox{\includegraphics[width=8.8cm]{12248f4a.ps} \includegraphics[width=8.8cm]{12248f4b.ps} }
\end{figure}](/articles/aa/full_html/2009/35/aa12248-09/Timg59.png)
![\begin{figure}
\par\mbox{\includegraphics[width=8.8cm]{12248f5a.ps} \includegraphics[width=8.8cm]{12248f5b.ps} }
\end{figure}](/articles/aa/full_html/2009/35/aa12248-09/Timg60.png)

![\begin{figure}
\par\mbox{\includegraphics[width=8.8cm]{12248f6a.ps} \includegraphics[width=8.8cm]{12248f6b.ps} }
\end{figure}](/articles/aa/full_html/2009/35/aa12248-09/Timg68.png)
![\begin{figure}
\par\mbox{\includegraphics[width=8.8cm]{12248f7a.ps} \includegraphics[width=8.8cm]{12248f7b.ps} }\end{figure}](/articles/aa/full_html/2009/35/aa12248-09/Timg69.png)
![\begin{figure}
\par\includegraphics[width=9cm]{12248fg8.ps}
\end{figure}](/articles/aa/full_html/2009/35/aa12248-09/Timg80.png)