| Issue |
A&A
Volume 505, Number 1, October I 2009
|
|
|---|---|---|
| Page(s) | 329 - 337 | |
| Section | The Sun | |
| DOI | https://doi.org/10.1051/0004-6361/200810755 | |
| Published online | 03 August 2009 | |
Injection to the pick-up ion regime from high energies and induced ion power-laws
H.-J. Fahr1 - I. V. Chashei2 - D. Verscharen1,3
1 - Argelander Institute for Astronomy, University of Bonn, Auf dem Hügel 71, 53121 Bonn, Germany
2 - Lebedev Physical Institute, Leninskii pr. 53, 117924 Moscow,
Russia
3 - Max Planck Institute for Solar System Research, Max-Planck-Str. 2, 37191 Katlenburg-Lindau, Germany
Received 6 August 2008 / Accepted 29 July 2009
Abstract
Though pick-up ions (PUIs) are a well-known phenomenon in the inner heliosphere,
their phase-space distribution nevertheless is a theoretically unsettled
problem. Especially the question of how PUIs form their suprathermal
tails, extending to far above their injection energies, still now is
unsatisfactorily answered. Though Fermi-2 velocity diffusion theories have
revealed that such tails are populated, they nevertheless show that
resulting population densities are much less than seen in observations
showing power-laws with a velocity index of ``-5''.
We first investigate here, whether or not observationally suggested power-laws can be the result
of a quasi-equilibrium state between suprathermal ions and
magnetohydrodynamic turbulences in energy exchange with each other. We
demonstrate that such an equilibrium cannot be established, since it would
require too high PUI pressures enforcing a shock-free deceleration
of the solar wind. We furthermore show that Fermi-2 type energy diffusion in
the outer heliosphere is too inefficient to determine the shape of the
distribution function there. As we can show, however, power-laws beyond the
injection threshold can be established, if the injection takes place at
higher energies of the order of 100 keV. As we demonstrate here, such an
injection is connected with modulated anomalous cosmic ray (ACR) particles at the
lower end of their spectrum when they again start being convected outwards
with the solar wind. Therefore, we refer to these particles as ACR-PUIs. In our quantitative calculation of the
PUI spectrum resulting under such conditions we in fact find again power-laws,
however with a velocity-power index of ``-4'' and fairly
distance-independent spectral intensities. As it seems these facts are
observationally well supported by VOYAGER measurements in the lowest
energy channels.
Key words: plasmas - solar wind - cosmic rays
1 Introduction
Suprathermal ions, picked up by the supersonic solar wind flow as ionized neutral atoms, have become known as pick-up ions (PUIs) and are produced all over the inner heliosphere with a typical upwind-downwind asymmetry with respect to the inflow direction of the neutral ISM inflow vector (Fahr & Rucinski 1999; Rucinski et al. 1993). In the case of PUI protons, their production is due to photoionization and charge exchange of interstellar H-atoms (see Fahr & Rucinski 1999; Rucinski & Fahr 1991; Bzowski et al. 2008; Rucinski et al. 2003). Their spatial distribution seems well understood, while the PUI-phase-space transport is a much less settled subject. Especially it exists an ongoing debate of how efficiently PUIs just after the pick-up process are accelerated to higher energies due to nonlinear wave-particle interactions (see e.g. Bogdan et al. 1991; Chalov et al. 2004; Isenberg 1987; Fichtner 2001; Fichtner et al. 1996; Chalov & Fahr 1996,1998) and whether at all energy diffusion plays a relevant role in this transport.Some hint is given by the solar wind proton temperature behavior with distance. The observed non-adiabatic temperature behavior namely proves that a specific solar wind proton heating must operate in the outer heliosphere which can only be due to energy absorption from PUI generated turbulence, since convected turbulence amplitudes quickly die out with distance (see Smith et al. 2001; Fahr & Chashei 2002a).
Freshly injected PUIs represent keV-energetic protons in the
supersonic solar wind frame and may be called here: ``primary
pick-up ions'' (or: PUIs
). The velocity distribution of
these newly produced PUIs
is toroidal and unstable
(see Winske & Leroy 1984; Lee & Ip 1987; Fahr & Ziemkiewicz 1988; Winske et al. 1985). With the free
energy of this unstable distribution PUIs
drive
Alfvénic wave power. The latter enforces pitch-angle
isotropization of the initial velocity distribution
(see Chalov & Fahr 1998,1999a). Due to wave-wave coupling, the
wave energy generated by PUIs
at the injection
wavelength
is diffusively transported in wavevector space both to smaller
wavelengths where it can be absorbed by solar wind protons and to
larger wavelengths where it is reabsorbed by all PUIs. This effect
is seen as the main reason of solar wind proton heating occurring
in the outer heliosphere
(Chashei et al. 2003; Smith et al. 2001; Stawicki 2004; Fahr & Chashei 2002b). Only a small fraction
of about 5% of the PUI-generated wave energy reappears in the
observed proton temperatures. Freshly injected PUIs excite
turbulences that can organize a power-law distribution. From this
distribution, both the solar wind ions and the PUIs themselves can
absorb energy as shown by Chashei et al. (2003). Also the approach by
Isenberg et al. (2003) where energy diffusion of PUIs is not taken
into account shows that only a low degree (2-5%) of the PUI
driven wave energy is absorbed by solar wind protons in form of
thermal energy. This raises the question where the major portion
of the wave energy produced during the primary pick-up process
goes to. To clarify the energy redistributions, kinetic and
spectral details of the relevant processes have to be
investigated. A detailed numerical study of the PUI velocity
distribution and the spectral Alfvénic/Magnetosonic wave power
evolution has meanwhile been carried out
(Chalov et al. 2004,2006b) and presents a simultaneous solution of
a coupled system of equations consistently describing the
isotropic velocity distribution function of PUIs and the spectral
wave power intensity.
As one can see from this study, the largest portion of the self-generated wave energy is reabsorbed by PUIs themselves as a result of the cyclotron resonant interaction and leads to PUI-acceleration. It could perhaps be hoped that this energization of pick-up protons due to Fermi-2 stochastic acceleration processes eventually leads to the ubiquitous power-law PUI-tails pointed out by Fisk & Gloeckler (2006,2007). To the opposite, however, as reflected in the results presented by Chalov et al. (2004,2006b) it is evident that this is not the case: even at larger distances close to the termination shock (100 AU) the PUI distributions show a rapid cut-off at energies higher than the injection energy. The question thus is raised here why power-laws have been seen at all. An explanation that we are favoring here is a new injection source to the PUI regime from high energies connected with modulated anomalous cosmic ray (ACR) particles. These protons are primary ACR particles that occur with a spectrum down to the typical energy of the usually assumed PUIs. At this part of the spectrum, both particle species cannot be distinguished. Therefore, we refer to them as ACR-PUIs.
In Sect. 2, we investigate the physical possibility of power-law ions in the outer heliosphere as they are recently proposed by several authors and we find that they cannot occur with a power-index of -5. As we show in Sect. 3, the proposed processes are not effective enough to produce the desired ion tails which means that another mechanism has to lead to the observed spectrum. In Sect. 4, we show how a high-energy source can be derived by taking a modulated ACR spectrum upstream of the solar wind termination shock. This injection mechanism is discussed in Sect. 5 where we show that these high-energy ions can lead to power-law ion tails, however with a power-index of -4. The results are discussed and compared with observations in Sect. 6.
2 Can power-law ion distributions be in equilibrium with hydromagnetic turbulence?
Challenged by recent results concerning ion spectra at large
distances (Fisk & Gloeckler 2006; Decker et al. 2005; Király 2005; McDonald et al. 2003), we look
into the problem of PUI-phase-space transport under these new
given auspices. First we discuss the argument given by
Fisk & Gloeckler (2006,2007) that PUIs under resonant interaction with
ambient compressive turbulences enter a quasi-equilibrium state
with saturated power-law distributions of a somehow sacrosanct
spectral velocity index of
.
The related, well-known Kolmogorov formalism is based on a
``dimensional'' reasoning: The problem concerning the energy
distribution in eddies of a typical wave number k is considered
using two different dimensional quantities: namely the spectral
energy density Ek and the wave number k. The spectral
energy flux is then defined by
and has to be constant for stationary cases.
with the typical vortex velocity vk given by
| vk=(E)1/2. | (3) |
Requiring a constant energy flux S given by
Eq. (1), with
given by
Eq. (2) then automatically leads to the Kolmogorov
spectrum in the form Ek
.
In their thermodynamical approach to particle spectra in
equilibrium with waves, Fisk & Gloeckler (2006,2007), however, only
consider one single-dimensional quantity, i.e. the kinetic energy
T, because in their case the energy distribution
has the dimension
.
The flux combination
![]() |
(4) |
is then expected by them to be constant and, thus, the energy gain is given by
![]() |
(5) |
and hence the above requirements result in the requirement that
This shows that the analogy of the Fisk-Gloeckler approach with
the Kolmogorov formalism is not complete, since in their theory
the quantity
is not specified. Only if we play the same
game with the Kolmogorov turbulence using instead of
Eq. (2) the assumption
,
where u is
some independent external speed (especially independent of k),
we will find from Eq. (1) also the result
![]() |
(6) |
analogous to the result obtained by Fisk-Gloeckler.
The problem may be briefly inspected here whether or not some
spatial/temporal disturbances in the solar wind plasma can be
considered as waves. They should be considered as waves, if the
convection time
is much greater than
the passage period of these waves in the wind reference frame
where r denotes the
radial distance to the sun and U the solar wind bulk velocity.
The Alfvén speed is designated as
with the
corresponding wavevector k0 for the turbulence. For an
inequality of the kind
,
this
then leads to the definition of the principal wave turbulence
correlation scale given by
.
A more exact definition of the turbulence
correlation scale is given in the paper of
Chashei et al. (2003). This value is also in accordance with the value
used by Fahr (2007) for his estimation of the upper possible
velocity border. Some measurements indicate smaller values for the
turbulence correlation length than calculated by us in this paper
(see e.g. Matthaeus et al. 2005). However, the following
conclusions in our paper drawn on the effects of turbulent heating
of suprathermal protons become even less promising for an
MHD-equilibrium to be established, if smaller correlation lengths
prevail. One can expect that at larger distances,
,
the value for
increases
proportionally to r, since a similar dependence is also valid
for the outer scale of turbulence
k0-1(see Chashei et al. 2003). Here we estimate the maximum energy for
protons resonating with these largest scales
at
distances of about 100 AU and find with
,
where
,
and
are the maximal ion speed, the
associated Lorentz factor and the ion gyrofrequency, respectively.
Protons with these speeds have energies of about
independent of distance. Thus, ions with
can be expected to be scattered by waves, whereas ions
with
can only be scattered by large scale
velocity structures in the solar wind.
Since in any case, however, power-laws seem to be a fact well supported by observations within a certain range of solar distances and ion energies, we shall nevertheless take this finding as serious here as deserved and determine in the following the absolute spectral intensity of this PUI-power-law distribution and its consequences.
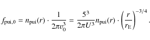
If the PUI distribution is given in the form
![]() |
(7) |
with the velocity-power index
![]() |
(8) |
where
Using
,
one obtains for the power-law PUI pressure
as the second moment of the distribution function the following
result:
Evidently, the definition of
requires the
determination of all three local values
,
v0(r), and
which we aim at below.
2.1 Determination of the inner and outer velocity border
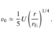
Using the definition of the lower velocity border as done by
Fahr (2007) one finds
With the above result one obtains the PUI distribution in the form
The local PUI density can be derived from the interplanetary H-atom density
,
which depends on the radial distance
r and the inclination angle
with respect to the upwind
axis, and the effective (charge
exchange + photoionization)-induced injection rate
.
Here
,
,
U,
denote the solar wind proton density, the charge exchange
cross section, the solar wind bulk velocity and the
photoionization frequency. The H-atom density at distances
in the upwind hemisphere is satisfactorily well
given by the following expression (see Fahr 1971):
![]() |
(12) |
and thus leads to the following PUI density (also see Fahr & Rucinski 1999)
From the above one derives the following radial space derivative
which later on in this paper will be needed:
To calculate the PUI pressure, one more quantity in addition is
needed, namely the upper velocity border
.
To determine
we follow the idea presented by Fisk & Gloeckler (2006,2007)
assuming that PUI-power-law distributions result from a specific
quasi-equilibrium state self-establishing such that the wave field
transfers per unit of time as much energy to PUIs by energy
diffusion, as energy is expended in the solar wind frame for the
work done by the pressure gradient of co-moving PUIs against the
magnetosonic fluctuations. The important restriction to energy
diffusion by nonlinear interaction with the compressive
fluctuations is that the typical diffusion period
should be much larger than the convection period given by
(see Chalov et al. 2003). This leads to the requirement
![]() |
(15) |
with
![]() |
(16) |
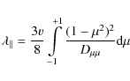
We assume the interaction of the particles with a slab Alfvénic turbulence field. The mean free path is given by
![]() |
(17) |
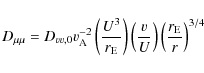
with the pitch-angle diffusion coefficient
![]() |
(18) |
from Chalov et al. (2003) for cyclotron resonant wave-particle interaction with unpolarized, one-dimensional, and isotropic turbulence, which leads to the velocity-independent expression
![]() |
(19) |
for the mean free path, with the reference value
![]() |
(20) |
for the diffusion coefficient. Therefore, the upper velocity border is given by
![]() |
(21) |
which evaluates to
![]() |
(22) |
by taking
is needed in the later calculation and should be compared with the result obtained by Fahr (2007) deriving the upper velocity border from the study of the uppermost resonance possibilities of ions with the largest prevailing correlation lengths
![]() |
(24) |
which gives smaller values than those derived for conditions when balanced pressure equilibrium in the sense of Fisk & Gloeckler (2007) is adopted. Here below we shall demonstrate that this value for
2.2 The upstream PUI pressure
We calculate the PUI pressure resulting from power-law distributed
PUIs upstream of the shock and find with
Eqs. (9)-(11) and (23)
![]() |
(25) |
where we have introduced
| |
= | ![]() |
|
![]() |
(26) |
which leads with Eq. (14) to
| |
= | ![]() |
|
| (27) |
If now we derive the effective upstream Mach number, neglecting
thereby solar wind electron and proton pressures compared to the
PUI pressure, i.e. assuming
,
and following the definitions by
Fahr & Rucinski (1999), we obtain
| |
= | ![]() |
|
| (28) |
With
![]() |
(29) |
For a shock position at
![]() |
(30) |
which means that the effective upstream Mach number
Hence, power-law PUI pressures in balance with the wave fields
would not allow for the occurrence of a termination shock of the
solar wind (i.e. needing upstream Mach numbers
).
The non-existence of the above ``turbulence-particle''-equilibrium
(TPE) can also be concluded along a different line of
argumentations together with the calculation of the downstream PUI
pressure connected with power-law distributed PUIs. Using the
results presented in Fahr & Lay (2000), one obtains on the basis of
Liouville's theorem and conservation of magnetic moment at the
passage from upstream to downstream over the shock the
PUI-distribution function downstream of the shock (indicated by
index 2) by the following relation:
![]() |
(31) |
depending on the upstream distribution function
| |
= | ![]() |
|
| = | ![]() |
(32) |
which states that the downstream PUI pressure is enhanced with respect to the upstream PUI pressure by the factor s2. Reminding that the latter pressure for TPE-conditions is given by
![]() |
(33) |
one finds that the downstream PUI pressure should amount to
![]() |
(34) |
which normalized with the upstream solar wind kinetic energy density
![]() |
(35) |
with
Requiring that the downstream thermal energy of the PUIs stays
below the
upstream kinetic energy of the PUIs would require instead an upper border
of the PUI power spectrum defined by
| |
= | ![]() |
|
| = | (36) |
yielding
![]() |
(37) |
Evaluating this formula with s=2.5,
,
and
leads to the result
![]() |
(38) |
and means that
3 The relative effectiveness of energy diffusion and convective changes at ion phase-space transport
In the following we want to clarify the role of energy diffusion
in determining the shape of the PUI-distribution function. We
start from the transport equation adequate to describe the
phase-space behavior of the PUIs by a distribution function
f(t,r,v) (see e.g. Isenberg 1987; Chalov & Fahr 1996)
where
where r is of the order of the heliocentric distance.
Considering quasi-linear velocity diffusion of particles due to
Fermi-2 type interactions with the Alfvénic- or magnetosonic
turbulence, both of which are leading to analogous expressions
(see Toptygin 1985; Le Roux & Ptuskin 1998; Chalov & Fahr 2000). For our estimates
here, one can use the diffusion coefficient derived by
Schlickeiser (1989) which for estimate purposes can be
represented in the following form:
where
where
Combining the relations given by Eqs. (40), (42), (41), and (43) yields as a typical ratio of the characteristic times
![]() |
(44) |
At heliocentric distances
At larger heliocentric distances,
,
the frozen-in
Parker magnetic field near the ecliptic is nearly azimuthal and
decreases with (1/r). Correspondingly, the resonant wavevector
behaves like
,
which leads to
.
Besides that, as argued by
Chashei et al. (2003), the following r-dependences can be expected:
and
.
Consequently, the radial dependence of
is exclusively
determined by the r-dependence of
meaning
that
in case of Kolmogorov turbulence. The above Eq. (45) shows that at larger solar distances energy diffusion of particles cannot determine the shape of the suprathermal tail of the resulting PUI-distribution function.
In fact, assuming for reasons of a better clarification, just to
the contrast here, a dominance of the energy diffusion,
i.e. neglecting all the terms in Eq. (39) except for
the diffusion term, would deliver as a result of the transport
equation the distribution
.
This distribution
thus should evidently be much flatter than the obviously observed
distribution
(Fisk & Gloeckler 2006) indicating that energy
diffusion in fact plays an inferior role.
This result also turned out from more quantitative calculations of wave-particle interactions in the outer heliosphere by Chalov et al. (2006a) or Fahr & Chashei (2007) in which a consistent treatment of PUI transport in phase-space and wave turbulence transport in k-space was presented. From these calculations it becomes evident that in fact in the outer heliosphere PUIs drive turbulence powers, but are not efficiently enough profiting from energy diffusion to produce power-law tails.
The only way to fill up ion tails at energies larger than 1 keV
resulting in some power-law distribution, as it seems to us, is to
inject ions into the PUI regime at higher energies of about
50 keV and then let them cool to smaller energies at their
co-convection with the solar wind. This would be a process similar
to the one of PUIs originating from freshly ionized neutral atoms
which are injected at about 1 keV
(see Fahr 2007; Siewert & Fahr 2008). In the following, we study such
a high-energy injection mechanism to the PUI energy regime
resulting from ACR ions that are adiabatically cooled to lower
energies and, therefore, can be called ACR-PUIs.
4 Injection to the PUI regime from the high-energy side
Here we first want to study the modulated part of the ACRs with
origin near the solar wind termination shock and investigate
whether they can perhaps serve as a possible injection seed from
high energies into the PUI regime. We start from the analytic
expression for the modulated ACR spectral intensity given for the
case of a spherically symmetric solar modulation. The differential
ACR intensity for this case is given by the following expression
(Stawicki et al. 2000):
| j(r,p) | = | p2f(r,p) | |
| = | ![]() |
||
![]() |
(46) |
where S(r0,p0) denotes the ACR source function with source coordinates r0 and p0,
![]() |
(47) |
![]() |
(48) |
with the following additional quantities
![]() |
(49) |
![]() |
(50) |
![]() |
(51) |
and the following assumptions of the r- and p-dependences:
![]() |
(52) |
with an arbitrary reference momentum
As shown by Stawicki et al. (2000), the above expression can be
simplified for low values of ACR particle momenta p and then
yields the following expression for the ACR distribution:
![]() |
(53) |
The modulation of the ACR spectrum due to spatial diffusion is contained in y0. This shows that, hence, the ansatz by Stawicki et al. (2000) is an analytical way to express the modulated distribution function of the ACRs in the heliosphere. In the frame of its accuracy, this approach yields a valuable way to take the modulated ACR spectrum as the source of our cooling mechanism. The spectrum of the ACR particles at the solar wind termination shock serves as the ACR source function and, thus with good reasons, one adopts the function developed by Drury (1983) for an ideally planar shock which is given by
![]() |
(54) |
where the spectral index q is connected with the shock compression ratio s by q=3s/(s-1).
| f(r,p) | ![]() |
||
![]() |
(55) |
This expression represents a constant distribution function.
Numerical simulations by Fichtner & Sreenivasan (1999) show a linear
dependence of the ACR flux on the energy (
). This means
that the distribution function in phase-space is constant which
can be shown by considerations about normalization of the
differential flux and the distribution function:
Therefore, the f(r,p) of the ACR particles is given by a
constant value which follows from modulation theory:
| (57) |
From the above expression we develop the total streaming
(see Gleeson & Axford 1967; Fahr 1990; Fahr & Verscharen 2009) for the ACR-PUIs
in the range between the injection momentum
and an
upper border
.
ACR particles with
higher momenta propagate only according to the transport equation
for cosmic rays and do not participate in the diffusive injection.
With these considerations we find
as the total particle streaming at each place r. Since we expect that
Now we consider the local spatial divergence of this ACR-PUI
streaming at some lower momentum border and take this to be the
high-energy injection source Q to the PUI regime. With this
choice, we obtain
as the divergence of the ACR particle flux, constituting a PUI source.
5 PUI Boltzmann-Vlasov equation with ACR-induced injection
In the ``solar'' rest frame (SF), the representative
Boltzmann-Vlasov equation (BVE) is given by
![]() |
(60) |
under the prevailing conditions in the outer heliosphere, i.e. negligible energy diffusion, for the stationary case (Fahr 2007). The corresponding BVE equation in the ``solar wind'' rest frame (WF) has the form (Fahr 2007)
![]() |
(61) |
where the second term on the left-hand side describes the velocity-space divergence of the phase-space flow connected with the magnetically induced deceleration (i.e. magnetic cooling), which is indicated by the subscript m. The coordinate t=t(r) denotes the proper time in the co-moving reference frame (WF). Furthermore,
For low energies (
1 keV), this rate is due to locally
freshly ionized
neutral H-atoms and is given by
with
being the local PUI production
rate (Fahr & Siewert 2008).
For high energies (
50 keV for the ACR-PUIs), the relevant
injection, in contrast to the normal sub-keV PUIs, in our view is
given by the upper expression derived from the modulated ACR
spectrum and given by Eq. (59).
Furthermore,
is determined by the
magnetically induced velocity decrease of particles with a
velocity v, when they are convected outwards with the solar wind
bulk flow at a mean velocity U to larger distances where the
co-convected interplanetary magnetic field B appears reduced in
magnitude (Fahr 2007). At larger distances
AU near
the ecliptic, the magnetic field decreases like (1/r) (i.e. in
case of the nearly azimuthal, distant Parker field). Under these
conditions, one finds the following v-dependent magnetic
velocity-space drift
![]() |
(62) |
and its associated radial gradient
![]() |
(63) |
in the form given by Fahr & Siewert (2008).
Ions which are picked up at rv with a velocity U will, without other processes being involved, have ``magnetically'' cooled down to a velocity v at r if the relation rv(v)=rv/U is fulfilled. The injection of freshly created PUIs at rv(v) with an initial velocity v=U will be responsible for ions with velocity v at r.
Taking all these constraints together, one finally finds, when
reminding that the time and distance coordinates are related to
each other by
,
that for velocities
the solution for
in the WF is given by
(see Fahr 2007; Siewert & Fahr 2008)
This distribution function
can be evaluated
for larger solar distances
in the
upwind hemisphere for near-ecliptic positions assuming that at
such solar distances the upwind H-atom density can be considered
as essentially constant, meaning that
.
This in fact is an acceptable approximation for solar
distances
AU and velocities
,
and
then leads to
![]() |
(65) |
i.e. to the astonishing fact that under pure magnetic cooling, the resulting PUI-distribution function for velocities
The above result is valid only for ions with
.
One
possibility that we now start to see here is that for ions with
velocities
,
i.e. much higher than the original
PUI-injection threshold, one has to consider in addition some
high-energy injection rate due to modulated ACRs as we have
derived above.
For those ACR-induced ions (i.e. for the ACR-PUIs) with the
relevant source function
![]() |
(66) |
we find analogously to Eq. (64) for ACR-PUIs
![]() |
(67) |
which finally leads to an r-independent distribution function for the range
![]() |
(68) |
Altogether, thus, we obtain the total PUI distribution in the
following form:
| |
= | ||
| = | ![]() |
(69) |
where H(x) is the well-known step function with
In any case, the above result shows that a velocity-power index of
``-5'' is obtained for the velocity range
and a power-index of
``-4'' is obtained for the velocity range
where
.
Rescaling velocity in units of U (i.e. X=v/U) leads to the
total distribution function
| |
= | ![]() |
|
| = | ![]() |
(70) |
We introduce now two dimensionless characterizing quantities.
First, we define
![]() |
(71) |
where the charge exchange cross section
With
![]() |
(72) |
one can finally find
Measurements by the SWICS instrument on the ULYSSES space probe
show a PUI-phase-space density of about
at two times the solar wind velocity at a
distance of 5.26 AU (Gloeckler 2003).
Equation (73) leads to a value for the PUI-phase-space
density of about
,
which is in good accordance to the
observations. The difference could be a consequence of the
assumption of a constant
,
especially at small
distances from the sun.
Observations by the LECP instruments on VOYAGER 1 and 2
(Lanzerotti et al. 2001) show an r-independent proton intensity in
the energy range 0.57-1.78 MeV of about
particles per (cm2 s sr MeV), which corresponds to
particles per (cm2 s sr erg) in Gaussian units.
This value can be converted to a phase-space density
(cf. Eq. (56)):
![]() |
(74) |
If we assume that these ions observed by Lanzerotti et al. (2001) are ACR-PUI particles with the proposed behavior, this leads to a value for
![]() |
(75) |
We take this observational value to avoid uncertainties at the determination of the ACR intensity
6 Comparison of our results with data
Now we want to compare the above results with VOYAGER and ULYSSES
spectral ion data. For that purpose, we first transform the above
velocity distribution function into a distribution of spectral
energy flux j(E) given in units of (ions/(cm2 s sr MeV)).
This then leads to
| j(E) | ![]() |
||
![]() |
(76) |
where
Also during the most recent VOYAGER 2 crossing of the shock
(see Decker et al. 2008) it became evident that the energy-power
indices registered both before and after the shock crossing show
values of
which also nicely confirms a velocity index of
.
![]() |
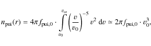
Figure 1: Phase-space density spectra for PUIs and ACR-PUIs. The PUI distribution is dependent on the distance from sun, whereas the ACR-PUIs are not. PUIs cannot gain velocities above U, i.e. X=1. The solid line is led down to the ACR-PUI spectrum at the cut-off at X=1 artificially. |
| Open with DEXTER | |
In addition, it is important to recognize that the particle
detectors of the VOYAGER spacecraft did not see radial changes of
the spectral flux intensity j(E) at the lower energy channels
(0.35-1.5 MeV) during the period from years 1995 through 2005
(Krimigis et al. 2003; Lanzerotti et al. 2001; Decker & Krimigis 2003). This is also a support
for the newly derived theoretical expression given in
Eq. (73) and showing that a distance-independent
intensity can be expected at energies
keV. Only the part of the spectrum that is a result of cooled
PUIs shows a dependence on the distance due to the different PUI
abundances. The ACR-PUIs that are injected from ACRs and cooled
from high energies, however, are proven to have no radial
variation.
Our model explains occurring power-law tails with an index -4. There are, however, observations around 5 AU undoubtedly showing a power-index -5 for suprathermal ion tails (e.g. Gloeckler 2003). As we can show, the favored explanation by Fisk & Gloeckler (2006,2007) cannot hold in the described way. Maybe other processes (such as anomalous Fermi-2 type wave-particle energy diffusion), which are not treated in our approach, can lead to a power-index of -5 at energies just above 5 keV. But this interaction does not explain the occurrence of extended power-law tails at larger distances (Chalov et al. 2004).
It is perhaps still a little bit an open question, where, i.e. at
what lower energy, one should cut off the modulated ACR spectrum
to calculate the injection to the PUI regime. Even though this
does not count very much in quantitative terms, since the lower
energy part of the modulated ACR spectrum has in fact a constant
distribution function (see Eq. (56)), it may
nevertheless represent an intellectually interesting question, to
decide up to what energies convection and Fermi-2 energy diffusion
are dominant, and from what energies upwards Fermi-1 acceleration
and spatial diffusion dominate. There is one clear hint given to
answer this question, namely by the momentum dependence of the
spatial diffusion coefficient
generally given
in the form
![]() |
(77) |
where, dependent on the momentum range, the exponent
The determination of the absolute height of the ACR-PUI spectrum
is a slightly problematic endeavor. In our calculation, we
normalize the absolute spectrum with the aid of observational
data. The ACR intensity
and the limit for the
momentum, up to which the injection is effective due to the total
streaming (see Eq. (58)), are quite uncertain.
Another open question results from a lack of data. Especially, the
transition from the PUI to the ACR-PUI part has not been covered
sufficiently by particle detectors in the outer parts of the
heliosphere. Maybe future missions can provide a closer look to
this part of the spectrum.
Acknowledgements
H.-J. F. and D. V. are grateful to the Deutsche Forschungsgemeinschaft for financial support within the frame of the DFG project Fa 97/31-2. One of us, I. V. C., is grateful for financial support in the frame of DFG project 436 RUS113/110/0-4.
References
- Bale, S. D., Kellogg, P. J., Mozer, F. S., Horbury, T. S., & Reme, H. 2005, Phys. Rev. Lett., 94, 215002 [NASA ADS] [CrossRef]
- Bogdan, T. J., Lee, M. A., & Schneider, P. 1991, J. Geophys. Res., 96, 161 [NASA ADS] [CrossRef]
- Bzowski, M., Möbius, E., Tarnopolski, S., Izmodenov, V., & Gloeckler, G. 2008, A&A, 491, 7 [NASA ADS] [CrossRef] [EDP Sciences]
- Chalov, S. V., & Fahr, H. J. 1996, Sol. Phys., 168, 389 [NASA ADS] [CrossRef]
- Chalov, S. V., & Fahr, H. J. 1998, A&A, 335, 746 [NASA ADS]
- Chalov, S. V., & Fahr, H. J. 1999a, Ap&SS, 264, 509 [NASA ADS] [CrossRef]
- Chalov, S. V., & Fahr, H. J. 1999b, Sol. Phys., 187, 123 [NASA ADS] [CrossRef] (In the text)
- Chalov, S. V., & Fahr, H. J. 2000, A&A, 360, 381 [NASA ADS]
- Chalov, S. V., Fahr, H. J., & Izmodenov, V. V. 2003, J. Geophys. Res., 108, 1266 [CrossRef] (In the text)
- Chalov, S. V., Alexashov, D. B., & Fahr, H. J. 2004, A&A, 416, L31 [NASA ADS] [CrossRef] [EDP Sciences]
- Chalov, S. V., Alexashov, D. B., & Fahr, H.-J. 2006a, Astrophys. Space Sci. Trans., 2, 19 [NASA ADS] (In the text)
- Chalov, S. V., Alexashov, D. B., & Fahr, H. J. 2006b, Astron. Lett., 32, 206 [NASA ADS] [CrossRef]
- Chashei, I. V., Fahr, H. J., & Lay, G. 2003, Adv. Space Res., 32, 507 [NASA ADS] [CrossRef]
- Decker, R. B., & Krimigis, S. M. 2003, Adv. Space Res., 32, 597 [NASA ADS] [CrossRef]
- Decker, R. B., Krimigis, S. M., Roelof, E. C., et al. 2005, Sci., 309, 2020 [NASA ADS] [CrossRef]
- Decker, R. B., Roelof, E. C., Krimigis, S. M., & Hill, M. E. 2006, in Physics of the Inner Heliosheath, ed. J. Heerikhuisen, V. Florinski, G. P. Zank, & N. V. Pogorelov, AIP Conf. Ser., 858, 73
- Decker, R. B., Krimigis, S. M., Roelof, E. C., et al. 2008, Nature, 454, 67 [NASA ADS] [CrossRef] (In the text)
- Drury, L. O. 1983, Rep. Prog. Phys., 46, 973 [NASA ADS] [CrossRef] (In the text)
- Fahr, H. J. 1971, A&A, 14, 263 [NASA ADS] (In the text)
- Fahr, H. J. 1990, in Physics of the Outer Heliosphere, ed. S. Grzedzielski, & D. E. Page, 327
- Fahr, H.-J. 2007, Ann. Geophys., 25, 2649 [NASA ADS] (In the text)
- Fahr, H., & Chashei, I. 2002a, in COSPAR, Plenary Meeting, Vol. 34, 34th COSPAR Scientific Assembly
- Fahr, H. J. & Chashei, I. V. 2002b, A&A, 395, 991 [NASA ADS] [CrossRef] [EDP Sciences]
- Fahr, H. J., & Chashei, I. V. 2007, Astron. Astrophys. Trans., 26, 621 [NASA ADS] [CrossRef] (In the text)
- Fahr, H. J., & Lay, G. 2000, A&A, 356, 327 [NASA ADS] (In the text)
- Fahr, H. J., & Rucinski, D. 1999, A&A, 350, 1071 [NASA ADS]
- Fahr, H.-J., & Siewert, M. 2008, A&A, 484, L1 [NASA ADS] [CrossRef] [EDP Sciences] (In the text)
- Fahr, H.-J., & Verscharen, D. 2009, Astrophys. Space Sci. Trans., 5, 21 [NASA ADS]
- Fahr, H. J., & Ziemkiewicz, J. 1988, A&A, 202, 295 [NASA ADS]
- Fichtner, H. 2001, Space Sci. Rev., 95, 639 [NASA ADS] [CrossRef]
- Fichtner, H., & Sreenivasan, S. R. 1999, Adv. Space Res., 23, 535 [NASA ADS] [CrossRef] (In the text)
- Fichtner, H., Le Roux, J. A., Mall, U., & Rucinski, D. 1996, A&A, 314, 650 [NASA ADS]
- Fisk, L. A., & Gloeckler, G. 2006, ApJ, 640, L79 [NASA ADS] [CrossRef]
- Fisk, L. A., & Gloeckler, G. 2007, PNAS, 104, 5749 [NASA ADS] [CrossRef]
- Gleeson, L. J., & Axford, W. I. 1967, ApJ, 149, L115 [NASA ADS] [CrossRef]
- Gloeckler, G., 2003, in Solar Wind Ten, ed. M. Velli, R. Bruno, F. Malara, & B. Bucci, AIP Conf. Ser., 679, 583 (In the text)
- Horbury, T. S., & Balogh, A. 2001, J. Geophys. Res., 106, 15929 [NASA ADS] [CrossRef]
- Horbury, T. S., Forman, M. A., & Oughton, S. 2005, Plasma Phys. Contr. F., 47, B703 [CrossRef]
- Isenberg, P. A. 1987, J. Geophys. Res., 92, 1067 [NASA ADS] [CrossRef]
- Isenberg, P. A. 2005, ApJ, 623, 502 [NASA ADS] [CrossRef] (In the text)
- Isenberg, P. A., Smith, C. W., & Matthaeus, W. H. 2003, ApJ, 592, 564 [NASA ADS] [CrossRef] (In the text)
- Izmodenov, V., Gangopadhyay, P., Gruntman, M., & Judge, D. 2003, in Solar Wind Ten, ed. M. Velli, R. Bruno, F. Malara, & B. Bucci, AIP Conf. Ser., 679, 198 (In the text)
- Jokipii, J. R. 1996, ApJ, 466, L47 [NASA ADS] [CrossRef]
- Jokipii, J. R., & Kota, J. 1989, Geophys. Res. Lett., 16, 1 [NASA ADS] [CrossRef]
- Király, P. 2005, in International Cosmic Ray Conference, Vol. 1, International Cosmic Ray Conference, 339
- Krimigis, S. M., Decker, R. B., Hill, M. E., et al. 2003, Nature, 426, 45 [NASA ADS] [CrossRef]
- Lanzerotti, L. J., Krimigis, S. M., Decker, R. B., et al. 2001, Space Sci. Rev., 97, 243 [NASA ADS] [CrossRef] (In the text)
- Lee, M. A. & Ip, W.-H. 1987, J. Geophys. Res., 92, 11041 [NASA ADS] [CrossRef]
- Le Roux, J. A., & Potgieter, M. S. 1992, ApJ, 390, 661 [NASA ADS] [CrossRef]
- Le Roux, J. A., & Ptuskin, V. S. 1998, J. Geophys. Res., 103, 4799 [NASA ADS] [CrossRef]
- Matthaeus, W. H., & Goldstein, M. L. 1986, Phys. Rev. Lett., 57, 495 [NASA ADS] [CrossRef]
- Matthaeus, W. H., Dasso, S., Weygand, J. M., et al. 2005, Phys. Rev. Lett., 95, 231101 [NASA ADS] [CrossRef] (In the text)
- McDonald, F. B., Stone, E. C., Cummings, A. C., et al. 2003, Nature, 426, 48 [NASA ADS] [CrossRef]
- Rucinski, D., & Fahr, H. J. 1991, Ann. Geophys., 9, 102 [NASA ADS]
- Rucinski, D., Fahr, H. J., & Grzedzielski, S. 1993, Planet. Space Sci., 41, 773 [NASA ADS] [CrossRef]
- Rucinski, D., Bzowski, M., & Fahr, H. J. 2003, Ann. Geo., 21, 1315 [NASA ADS]
- Schlickeiser, R. 1989, ApJ, 336, 243 [NASA ADS] [CrossRef] (In the text)
- Siewert, M., & Fahr, H.-J. 2008, A&A, 485, 327 [NASA ADS] [CrossRef] [EDP Sciences]
- Smith, C. W., Matthaeus, W. H., Zank, G. P., et al. 2001, J. Geophys. Res., 106, 8253 [NASA ADS] [CrossRef]
- Stawicki, O. 2004, J. Geophys. Res., 109, 4105 [CrossRef]
- Stawicki, O., Fichtner, H., & Schlickeiser, R. 2000, A&A, 358, 347 [NASA ADS] (In the text)
- Toptygin, I. N. 1985, NASA STI/Recon Technical Report A, 87, 10094
- Winske, D., & Leroy, M. M. 1984, J. Geophys. Res., 89, 2673 [NASA ADS] [CrossRef]
- Winske, D., Quest, K. B., Tanaka, M., & Wu, C. S. 1985, J. Geophys. Res., 90, 123 [NASA ADS] [CrossRef]
- Zank, G. P., & Matthaeus, W. H. 1992, J. Geophys. Res., 97, 17189 [NASA ADS] [CrossRef]
- Zank, G. P., Matthaeus, W. H., & Smith, C. W. 1996, J. Geophys. Res., 101, 17093 [NASA ADS] [CrossRef]
All Figures
![]() |
Figure 1: Phase-space density spectra for PUIs and ACR-PUIs. The PUI distribution is dependent on the distance from sun, whereas the ACR-PUIs are not. PUIs cannot gain velocities above U, i.e. X=1. The solid line is led down to the ACR-PUI spectrum at the cut-off at X=1 artificially. |
| Open with DEXTER | |
| In the text | |
Copyright ESO 2009
Current usage metrics show cumulative count of Article Views (full-text article views including HTML views, PDF and ePub downloads, according to the available data) and Abstracts Views on Vision4Press platform.
Data correspond to usage on the plateform after 2015. The current usage metrics is available 48-96 hours after online publication and is updated daily on week days.
Initial download of the metrics may take a while.









![\begin{displaymath}n_{\rm H}(r,\theta )=n_{\rm H,\infty }\exp \left[-\frac{\beta _{{\rm pui},0}r_{0}^{2}\theta }{%
Ur\sin \theta }\right]
\end{displaymath}](/articles/aa/full_html/2009/37/aa10755-08/img50.png)














![$\displaystyle + \left. \frac{1}{2}n_{{\rm pui}}x^{-1/2}
\ln\left(150x^{-1}\right) - n_{{\rm pui}}x^{-1/2} \right],$](/articles/aa/full_html/2009/37/aa10755-08/img74.png)





























![\begin{displaymath}=\frac{1}{r_{0}^{2}}\frac{\partial }{\partial r_{0}}
r_{0}^{2...
...frac{p_0}{p_{\max }}\right)\delta
(r_{0}-r_{{\rm sh}})\right],
\end{displaymath}](/articles/aa/full_html/2009/37/aa10755-08/img161.png)












![\begin{displaymath}\tilde{f}_{\geq }=\frac{1}{2\pi }\frac{rQ\left(r\frac{v}{v_{{...
... pui},\rm i}} {v}}
{ 9 r } Uf_{{\rm const}} \right]}{U}v^{-3},
\end{displaymath}](/articles/aa/full_html/2009/37/aa10755-08/img197.png)



![$\displaystyle \frac{n_{{\rm sE}}}{2\pi U^{3}}\left[\Lambda
\left(\frac{r_{\rm E...
...p}^3
X_{{\rm pui},\rm i}^4 U^3
f_{{\rm const}}}{n_{{\rm s,E}}}X^{-4}\! \right].$](/articles/aa/full_html/2009/37/aa10755-08/img209.png)


![\begin{displaymath}
\tilde{f}(r,v)=\frac{n_{{\rm sE}}}{2\pi U^{3}}\left[\Lambda
...
...rm E}}{r}\right)\cdot X^{-5}H(1-X)+\Delta
\cdot X^{-4}\right].
\end{displaymath}](/articles/aa/full_html/2009/37/aa10755-08/img214.png)




![\begin{figure}
\par\includegraphics[angle=-90,width=9cm]{10755fg1}\par\end{figure}](/articles/aa/full_html/2009/37/aa10755-08/Timg241.png)
