Issue |
A&A
Volume 505, Number 1, October I 2009
|
|
---|---|---|
Page(s) | 239 - 248 | |
Section | Stellar structure and evolution | |
DOI | https://doi.org/10.1051/0004-6361/200912457 | |
Published online | 09 July 2009 |
Interpreting the line-profile variations of subdwarf B pulsators:
the case of PG 1336-018 (NY Virginis)
M. Vuckovic1 - R. H. Østensen1 - C. Aerts1,2 - J. H. Telting3 - U. Heber4 - R. Oreiro1
1 - Institute for Astronomy, K. U. Leuven, Leuven, Belgium
2 - Department of Astrophysics, Radboud University, Nijmegen, The Netherlands
3 - Nordic Optical Telescope, Santa Cruz de La Palma, Spain
4 - Dr. Remeis-Sternwarte, Universität Erlangen-Nürnberg, Bamberg, Germany
Received 09 May 2009 / Accepted 25 June 2009
Abstract
Aims. We analyze the high-resolution time-resolved VLT/ UVES spectra of PG 1336-018, a rapidly pulsating subdwarf B (sdB) primary in a close orbit with an M5 companion, with the aim to detect the pulsational signal of the primary in line-profile variations.
Methods. After removing the dominant radial-velocity component inherent to the orbital motion and taking only out-of-eclipse data we computed cross-correlation functions (CCFs) for each individual spectrum and assumed these to approximate the average line profile. We computed predictions of line-profile variations for pulsating sdB stars and present their diagnostic value for mode identification.
Results. We detect the pulsation mode at 5435 Hz in the line-profile variations of the CCFs which allows us to characterize the detected pulsation mode of PG 1336-018.
Conclusions. We model the pulsational perturbations of synthetic spectra for a star with physical parameters like PG 1336-018 and confront them with the observed spectra. We find that low order Balmer lines can be used as diagnostic tool to identify pulsation modes. A detailed line-profile analysis of the perturbed time-series spectra excludes the
and (2,0) modes, but does not allow a unique mode identification among the radial or sectoral dipole or quadrupole modes.
Key words: subdwarfs - binaries: eclipsing - stars: variables: general - line: profiles - stars: oscillations - stars: individual: PG 1336-018
1 Introduction
Subdwarf B (sdB) stars are core-helium burning stars (Heber et al. 1984) at the blue end of the horizontal branch. While the future evolution of sdB stars is quite certain, the exact prior evolutionary paths remain to be fully resolved. For a detailed review on hot subdwarfs we refer to the recent review by Heber (2009). The discovery that some sdB stars pulsate (Kilkenny et al. 1997) allows us to probe their inner structure via asteroseismology which can help us find definite answers about their prior evolution. The first step in seismic modeling, after identifying the frequencies of pulsation, is to identify the pulsation modes. One of the ways to identity the modes of pulsation is through the analysis of the line-profile variations.
There have been several radial velocity (RV) studies using low-resolution spectroscopy of rapidly pulsating sdB stars (now termed V361 Hya stars, but also known as sdBV or EC14026 stars, Kilkenny 2007). The first time-resolved spectroscopy study was done by Jeffery & Pollacco (2000) on PB 8783 and KPD 1929+4401, followed by extensive studies on PG 1605+072 by Woolf et al. (2002), O'Toole et al. (2002,2005,2000,2003a) and Tillich et al. (2007), on PG 1325+101 by Telting & Østensen (2004), on Balloon 090100001 by Telting & Østensen (2006) and Østensen et al. (2008) and most recently on PG 1219+534 by Reed et al. (2009). These low-resolution spectroscopy studies were mainly focused on measuring the RV and equivalent width variations, as well as characterization of the pulsational effective temperature and gravity variations.
The field of sdB star asteroseismology is booming, thanks to the gathering of a huge amount of data sets (both photometry and low-resolution spectroscopy) on a large number of pulsating sdB stars (for an overview see Østensen 2009). The lack of time-series of high-resolution sdB spectra, however, is apparent. Considering the requirements for the successful interpretation of line-profile variations: good temporal resolution, high signal-to-noise ratio (S/N), and high resolving power (Aerts & Eyer 2000; Mantegazza 2000), this lack of high-resolution time-resolved V361 Hya spectra is not surprising at all. The pulsational characteristics of V361 Hya stars are indeed poorly suited for classical line-profile variation studies. The short pulsation periods of V361 Hya stars, of the order of a few minutes, require short exposure times (below 1 min) to avoid smearing the pulsational signal during the cycle (Aerts et al. 2008). Moreover, the faintness of the V361 Hya stars precludes the required S/N for any line-profile variation study. Adding to this the fact that V361 Hya stars are low amplitude multiperiodic pulsators (photometric amplitudes are of the order of a few millimagnitudes) with rich and closely spaced frequency spectra, we can easily conclude that, even for the biggest telescopes with sophisticated detectors, they pose a considerable challenge.
The first high-resolution (R = 20 000) spectroscopic
time-series on a V361 Hya star was assembled for PG 1605+072
(
)
with the FUSE satellite (Kuassivi et al. 2005)
with the aim of measuring the projected broadening of the
photospheric lines. They derive the line-profile variation diagram
by phase folding the spectra into the eight phase intervals of the
main pulsation period (P = 480 s) and co-adding the four
strongest photospheric lines detected (a N III doublet and
three S IV lines). From this they derive
of
km s-1 and report that the observed phase opposition
between the maximum radius and the maximum velocity is consistent
with adiabatic pulsations.
In Vuckovic et al. (2007, hereafter Paper I), we presented the first
ground based high-resolution (R = 46 890) spectroscopic
time-series on a V361 Hya star, using the Ultraviolet and Visual
Échelle Spectrograph ( UVES) at Very Large Telescope
(VLT). The aim of that work was to determine the orbital solution
and mass of the components of the eclipsing binary PG 1336-018 (
)
by combining high-speed multicolor VLT/
ULTRACAM
lightcurves (about two full orbits) and the RV curve
obtained from high-resolution time-series of about 400 VLT/
UVES spectra. We found three solutions of equal statistical
significance due to the large parameter space and correlations
between parameters, two of which are consistent with standard
binary evolution models (Hu et al. 2007). One of the favored
solutions of Paper I with the mass of the sdB primary of
0.466
was recently found by Charpinet et al. (2008) who
arrive at the same mass by independent asteroseismic modeling
through frequency matching of the observed oscillation frequencies
found by Kilkenny et al. (2003).
The very first study of pulsation-mode identification based on
high-resolution (R = 25 000) spectroscopy data, aiming at
identifying the dominant pulsation mode in the star, has been
reported only recently by Telting et al. (2008) for the high amplitude
sdB pulsator (
)
Balloon 090100001. By phase
folding the spectra onto the dominant mode (P = 356 s) and
combining the information of 56 narrow absorption metal lines in
each spectrum they create cross-correlation functions (CCFs) which
are of sufficient S/N for a mode-identification analysis. From
the model fits to the pulsational line-profile variations in the
CCF they rule out quadrupole modes (
)
and show that the
radial pulsation (
)
and a dipole pulsation (
)
are both consistent with the data, putting further constraints on
the pulsation characteristic of the main mode of
Balloon 090100001. In particular, the amplitude of the dominant
mode was found to be 15 km s-1.
In this paper we further exploit the VLT/ UVES observations
of PG 1336-018 described in Paper I with the aim to study the
pulsational signal of the primary in line-profile variations. This
is the first application of a line-profile variation study on a
V361 Hya star with low photometric amplitudes (<8 mmag), no
dominant frequency and a dense and narrow frequency spectrum (28
frequencies were found in a 5000Hz range, see Table 4 of
Kilkenny et al. 2003). All previous time-series
spectroscopy studies, including the recent line-profile analysis
by Telting et al. (2008), were done on V361 Hya outliers with
exceptionally high amplitudes
(O'Toole et al. 2002; Woolf et al. 2002; Tillich et al. 2007; O'Toole et al. 2000; Telting & Østensen 2006,2004; O'Toole et al. 2005,2003a).
2 Observational diagnostics
We presented in detail the data on PG 1336-018 in our previous work (Paper I). The data reduction using MIDAS routines was sufficient for the orbital analysis but did not give good enough results for the line-profile analysis (see Fig. 2 of Paper I and text explaining the data quality). Here the raw data have been completely re-reduced using IRAF![[*]](/icons/foot_motif.png)

![]() |
Figure 1: The mean spectrum of PG 1336-018 produced by combining all the VLT/ UVES spectra after shifting according to the orbital RV solution from Paper I, together with the model spectrum used as a template for cross-correlation. The features marked with ``CCD'' result from the defects of the CCD chip. |
Open with DEXTER |
For the orbit correction, we use the orbital solution found in
Paper I. To check for any pulsation signature in the data, we
calculated the radial velocities of the new orbit corrected
spectra in the same way as described in Paper I, i.e. using the
molly
software package. The measured RVs were subjected to periodogram
analysis with Period04 (Lenz & Breger 2004). A peak in the periodogram
was found at the frequency (
)
Hz with an
amplitude of (
) km s-1 and a signal-to-noise
ratio (S/N) of 3.3. Even though the S/N is quite low, the
frequency found is considered to be present in the data because it
is the same one as found in all other independent data sets ever
taken on PG 1336-018 (Kilkenny et al. 2003,1998; Reed et al. 2000)
including our ULTRACAM data set (Paper I). Encouraged by
detecting the pulsation signature in the spectra, we exploit the
data further to investigate the pulsational information content in
them.
2.1 Cross-correlation profiles
The noise level in the individual spectra (S/N of about 10, see
Paper I) does not permit us to analyse the line-profile variations
in each spectrum. The successful mode identification based on
line-profile variations requires typically a S/N ratio above 150
(Aerts et al. 2008). To increase the S/N in the profiles, we have
to combine the information contained in various line profiles, via
e.g. a cross-correlation technique. The S/N in the CCFs depends
on the number of spectral lines used for the cross-correlation,
n, and their corresponding S/N in the form (Hekker et al. 2006):
CCFs have been used before to study the character of oscillation
modes, see e.g. Mathias & Aerts (1996) for the p modes in the
Scuti star 20 CVn, Hekker et al. (2006) for solar-like
oscillations in red giants and De Cat et al. (2006) for the g modes
in
Doradus stars.
CCFs have been considered already in the study of sdB stars,
mostly to measure the RV variations due to the pulsations, e.g. in
the stars PB 8783 and KPD 1929+4401 (Jeffery & Pollacco 2000)
and PG 1605+072 (Woolf et al. 2002) to state a few. Recently,
Telting et al. (2008) used a cross-correlation technique on
Balloon 090100001 to combine the information from many narrow
metal lines into a single high S/N profile in order to
investigate the signature of its oscillation modes. Unfortunately,
the spectrum of PG 1336-018 is devoid of any metal lines, due to the
high rotational broadening (
of 74.2 km s-1 see
Paper I) smearing out the lines. Even in the orbit corrected mean
spectrum (Fig. 1) there are only Balmer lines and
few weak He I lines which are hidden in the noise in the
individual spectra. Unable to use any
narrow metal lines for cross-correlation, we have to rely on the broad hydrogen and weak
helium lines present in our spectra to get the most information possible.
For this purpose we first used the mean orbit corrected spectrum
shown in the top panel of Fig. 1 as the template
for cross-correlation on the orbit corrected out-of-eclipse
spectra. The resulting CCFs, however, were very noisy. As we
identified three He I (4921 Å, 4471 Å and 4026 Å)
lines in the mean spectrum, we attempted at using just those
He I lines to compute the CCFs. We used the central
wavelengths of these three He I lines to create a template
spectrum consisting of delta functions, rotationally broadened
with the observed .
This method did not give satisfactory
results (CCFs were too noisy) as we retrieve only the 4471 Å line in each individual spectrum and hence the S/N in the CCFs
does not improve.
To increase the S/N in the CCFs we made a model spectrum using
the H + He LTE models of Heber et al. (2000) shown in
Fig. 1 that reproduced the observed spectrum the
best. Using this model spectrum as a template (from red end up to
)
for the cross-correlation turned out
to be the optimal method for our particular data set.
Fig. 2 shows an individual PG 1336-018 spectrum
around H
with the model spectrum used as a
cross-correlation template. The CCFs for each individual spectrum
are presented in Fig. 3. Since each CCF
represents an average line profile within the region of the
spectrum analysed, for the case of PG 1336-018, the average line
profile is dominated by Balmer lines. The intrinsic profiles of
Balmer lines and consequently the CCFs have significantly
broadened wings due to a linear Stark effect and therefore
strongly deviate from a Gaussian profile.
![]() |
Figure 2:
Observed individual spectrum around H |
Open with DEXTER |
![]() |
Figure 3: Cross-correlation profiles of our out-of-eclipse PG 1336-018 spectra. The tick marks on the left axis indicate a difference of 10% in relative intensity units. Each profile has been shifted downward by the time since midnight UT on the night of observations, as indicated on the right axis. |
Open with DEXTER |
3 Search for the oscillations in the various line diagnostics
In general, there are two ways to describe line-profile
variability: as variations in velocity space (e.g. represented as
velocity moments) or as variations in intensity as a function of
position in the line profiles. Accordingly, there are two methods
available for analysing the pulsational characteristics of line
profiles: the moment method (Briquet & Aerts 2003, and references
therein) and Fourier parameter fit method
(FPF, Zima 2006). Both methods assume a Gaussian intrinsic line
profile. The moment method is based on the time variations of the
first few moments of a line profile and it is optimally suited for
slow rotators. The FPF method relies on the rotational broadening
of a line profile and delivers good and reliable results for
km s-1 for the resolution we are dealing with
here.
3.1 Frequency analysis for various line diagnostics
We search for periodicities in the CCF by analysing the line moments and intensity variations on the individual velocity bins across the CCF using the freely available software package FAMIAS![[*]](/icons/foot_motif.png)

![]() |
Figure 4: The Fourier amplitude spectrum of the all out-of-eclipse PG 1336-018 spectra. The gray scale is given in continuum units with the range 0-0.002 (black to white). |
Open with DEXTER |
We then compute a Fourier spectrum which is the mean of all
Fourier spectra across the narrow dispersion range around the core
where the main variation is seen (pixel-by-pixel method). The
resulting Fourier spectrum over the [-100, 100] km s-1dispersion range for the whole frequency domain up to the Nyquist
frequency is shown in Fig. 5. A frequency at
5435 Hz with amplitude of 0.0019 (in continuum units) and
with a S/N of 4.2 is detected.
![]() |
Figure 5: Fourier spectrum of the intensity variations across the cross-correlation profiles over the [-100, 100] km s-1dispersion range (pixel-by-pixel method). |
Open with DEXTER |
A second approach to search for periodicities was carried out by
computing the first three velocity moments of the CCFs (for a
definition, see Aerts et al. 1992) and performing a frequency search on
the time-series of moments over the same dispersion range. The
Fourier transformations of the equivalent width (zero moment) and
first three moments are shown in the lower panels in
Fig. 6 together with the 3
threshold. The frequency at 5435
Hz is detected in both types
of diagnostics (FPF and moments), but with different significance.
The highest amplitude of the detected frequency is found by the
pixel-by-pixel method and in the equivalent width variations with
equal S/N of 4.2, while the first and the third moment
(representing the centroid velocity and the line skewness,
respectively) detect the same frequency with equal significance of
S/N = 3.3. The frequency is not detected in the second moment
(which measures the line width changes) of the CCF, which hints
toward non-axisymmetric modes (Aerts et al. 1992).
![]() |
Figure 6:
Fourier analysis of the cross-correlation profiles over
the [-100, 100] km s-1 dispersion range. The frequency
domain of the main pulsations detected in the photometry is
plotted together with the 3
|
Open with DEXTER |
There are two main noticeable features while comparing the
variabilities: the similarity in the distribution of the
frequencies of the pixel-by-pixel variations and equivalent width
variations, and the similarity in shape of the variations of the
first and third moments. While the latter one is not surprising
considering the fact that first and third moment are not
independent, the former one is indeed striking. They are both due
to the narrow dispersion range over which the summation of the FTs
was done. While the FWHM of the average CCF is
1700 km s-1 the variability is detected only in the
narrow core of the CCFs. Since we are analysing only the core of
the CCFs and not the whole cross-correlation profiles it is not
surprising that the equivalent width variations of the core are
dominated by the pixel-to-pixel variations.
3.2 The mode character
Although this is the first time the pulsational signal has been detected in the line-profile variations of PG 1336-018, the aim of any asteroseismological study is to identify the pulsation mode, besides detecting its frequency. Therefore we proceed further with analysing the characteristics of the detected frequency. As PG 1336-018 is a fast rotator FPF should be the most suitable method for mode identification. The FPF method makes use of the fact that the zero point (Z0), amplitude (A0) and phase (P0) across the line profile depend on the (

For the detected pulsation frequency and each dispersion bin across the CCF profile, we compute a non-linear least-squares fit of sinusoids. This delivers the observational values of ZAP as a function of the position in the line profile. The Fourier parameters across the CCF profile with their associated errors, as calculated by FAMIAS are presented in Fig. 7.
![]() |
Figure 7: The Fourier parameters across the cross-correlation profiles of the detected pulsation frequency. The average profile (termed zero point in FAMIAS) is shown at the top, the observed amplitude distribution across the profile (solid line) in the middle together with the error band (dotted) and the observed phase distribution (solid line) in the bottom with the error band (dotted). |
Open with DEXTER |
An immediately apparent feature is the absence of a double peaked
behavior of the amplitude across the profile and the flat phase,
i.e. the absence of a phase jump at the line center. This implies
that the mode we detect is not an axisymmetric (m = 0) p-mode
pulsation (Schrijvers et al. 1997). This argument is also supported
by considering the effect of the inclination: for the stars seen
almost equator-on the detection of sectoral modes (
)
is favored. The orbital inclination of PG 1336-018 is well
constrained to
(see Paper I). Here we
assume that the symmetry axis of pulsation has the same
inclination, which is a valid approach for such a close orbit. For
a discussion on the alignment of the axis, see
Reed & Whole Earth Telescope Xcov 21 and 23 Collaborations (2006).
The short time baseline of our data set hampers the increase in
S/N by phase folding. Phase folding onto the pulsation frequency
increases the S/N in the case there is a dominant (or at least
well resolved) mode, as recently shown by Telting et al. (2008) on
Balloon 090100001. We have tried to phase fold the data onto the
detected frequency, but that did not increase the S/N, most
likely due to the fact that the phase-folded data are contaminated
by neighboring unresolved frequencies. Within the frequency
resolution of our data set (about 30 Hz), there are at least
three closely spaced frequencies detected
(Kilkenny et al. 2003) all with similar photometric
amplitudes
2 mmag (see discussion in Sect. 4.2 of Paper I).
Therefore the phase-folding technique is not applicable to our
data set.
4 Computation of synthetic line-profile variations
To interpret the line-profile variations in our PG 1336-018 spectra we have to model the various pulsational modes and compare them with the observed features. We generate a grid of time-series theoretical profiles using the BRUCE and KYLIE routines (Townsend 1997) with the timings of our data set and the detected frequency. BRUCE takes as input a set of physical stellar parameters and a pulsation mode with a given
A note of caution regarding the metallicity is required at this point. The chemical composition of sdB stars is known to be highly peculiar, showing large deficiencies for the lighter elements (e.g. C and Si) on the one hand, and strong overabundances of heavy elements as deduced from UV and FUV spectra on the other (see O'Toole & Heber 2006; Blanchette et al. 2008), while iron is found to be approximately solar in most sdBs. The line blocking of UV iron lines is responsible for most of the line blanketing affecting the temperature-density stratification of the model atmosphere. Because the heavy elements, such as the iron group, can be analysed from UV spectra only, we have no means to determine their abundances in PG 1336-018. Hence we adopted solar values for them in the model atmosphere calculations. However, synthetic spectra calculated with solar abundances display metal lines (mostly of light elements) that are far too strong when compared to the observed spectrum, even when taking the strong rotational broadening into account. In order to produce synthetic spectra that resemble the mean observed optical spectrum as well as possible, we included metal lines at abundances depleted by a factor 100 relative to solar in the LINFOR spectral synthesis.
The stellar parameters used for modelling the line-profile
variations are taken from the orbit solution of Paper I and are
summarized in Table 1. The inclination
angle of PG 1336-018 is constrained from the orbit solution and
therefore this parameter was fixed at
.
Keeping
in mind that this mode is detected in photometry we computed a
grid of synthetic time-series for modes
3 and for
velocity amplitudes VA = 2, 4, 6, 8 and 10 km s-1.
Table 1: Stellar parameters used to model the line-profile variations using the spectral-synthesis codes BRUCE and KYLIE (Townsend 1997).
![]() |
Figure 8:
The amplitude and phase (bottom panel) distribution
across the profiles for the core of the synthetic Balmer lines
H |
Open with DEXTER |
![]() |
Figure 9:
The same as Fig. 8 for
H |
Open with DEXTER |
The analysis of O'Toole et al. (2003a) and Telting & Østensen (2004) on the line-profile variations on PG 1605+072 and PG 1325+101, respectively, finds that the surface gravity and temperature variations vary with the same period as the RV variation. Furthermore, Telting & Østensen (2004) explain the variations seen in the profiles of Balmer lines as pulsational surface gravity, surface temperature and RV variations (see their Fig. 9). As we are studying the line-profile variations of Balmer lines we have included the gravity and temperature perturbations together with the velocity perturbations. We use a non-adiabatic factor of 0.5 in the Buta & Smith (1979) equation in BRUCE (see the BRUCE manual for an explanation) as found to be required for Balloon 090100001 by Østensen et al. (2008).
We analyse the behavior of each Balmer line from H
to
H
across the synthetic profile for
3. The
variations in both amplitude and phase are clearly visible but
only in the narrow core (<
200 km s-1). From the grid of
model calculations, we select a VA of 10 km s-1 to illustrate
the Balmer line behavior.
Figures 8-11 show
the amplitude and phase diagnostics for the synthetic Balmer lines
per each
mode. As expected for such a high
inclination angle, modes with
suffer from significant
cancellation effects, and sectoral modes (
)
are
favoured. This, however, is the case if we assume that all modes
have the same intrinsic amplitude. The intrinsic amplitudes of
(
)
modes would have to be much higher in order to
reach the same amplitudes across the profiles as sectoral modes
for this inclination angle, see Sect. 5.
The most important point to note is that the retrograde and
prograde modes of the same ()
are not the mirror images
of each other, see Figs. 8 and
10 for example. This is due to the way
the velocity fields and temperature perturbations generate the
line-profile variability. The temperature perturbations cause
changes in the continuum intensity and changes to the line-profile
equivalent width. The surface element with the increased
temperature will form an absorption feature in the line profile of
the disk integrated spectrum. If the equivalent width of the given
line profile is increasing with increasing temperature this
absorption feature will be enhanced, whilst if the equivalent
width is decreasing with increasing temperature the absorption
feature will be reduced and could become an emission feature.
Equivalent width variations of Balmer lines are described by a
nonlinear combination of temperature and surface gravity
(O'Toole et al. 2003a). For hot stars such as sdBs, the change
of equivalent width with temperature is negative, so that the
equivalent width becomes smaller with increasing temperature and
the Balmer lines are becoming shallower as the temperature is
increasing and deeper as the temperature is decreasing.
Maximum temperature in retrograde mode line profile occurs when the velocity perturbed line profile is at its deepest, and minimum temperature when the velocity perturbed line profile is at its shallowest point. The up-down motion is damped so that the sideways motion dominates, producing a central dip in the amplitude profile. For the prograde modes, however, the minimum temperature in the line profile occurs when the velocity perturbed line profile is at its deepest point and the maximum temperature when the velocity perturbed line profile is at its shallowest point, hence reinforcing the up-down motion of the core of the line profile over the sideways motion, creating a single peaked amplitude profile.
![]() |
Figure 10:
The same as Fig. 8 for prograde
modes for H |
Open with DEXTER |
The overall amplitude of the line profile is increasing with
increasing order along the Balmer series. The rise in the
amplitude across the H
and H
profiles is due to
their higher sensitivity to the temperature and gravity effects,
and the fact that there is no actual continuum in the higher order
Balmer region (see Fig. 1) as the lines are
overlapping. O'Toole et al. (2003b) have also found a strong
dependence of line index amplitude on Balmer line order, with high
order Balmer line amplitudes up to 10 times larger than H
due to the fact that the line index may not only be dependent on
temperature but also on surface gravity.
The Balmer lines clearly show a different amplitude and phase
variation across the profile for different modes of oscillation
and can therefore in principle be used in an attempt to identify
the mode. Each Balmer line shows a phase shift at the center. The
phase distribution across all Balmer lines for
and
is similar while the phase difference between the
blue and red line wings for these modes,
and
,
is decreasing with increasing Balmer
order from 0.3
for H
to 0.1
for H
.
The
phase distribution for
is different from
mode. The phase difference for H
,
H
and
H
for
is higher than for
:
of 0.7
compared to
of 0.4
,
and decreasing from H
to H
where it blends with
and
.
The
mode is the most distinguishable among
the modes considered with respect to both amplitude and phase
distribution. The amplitude, even though decreasing with the
Balmer order, has a peak at the line center as opposed to the
central dip for the
,
1 and 2 modes for both
retrograde and prograde case. The phase difference of the
mode is the only one that increases with the Balmer order
from
of 0.5
for H
to
0.8
for H
,
while for
,
the phase
difference is decreasing with Balmer order from 0.7
for
H
to 0.4
for H
.
![]() |
Figure 11:
The same as Fig. 10 for
H |
Open with DEXTER |
To visualise the amplitude and phase behavior of each Balmer line
we subtracted the time averaged synthetic spectrum from each
individual one. The time-series of subsequent residual spectra in
gray scale are plotted in Fig. 12 for all
and m modes considered above, for the region of
variability around each Balmer line.
For such a high intrinsic width of Balmer lines (much greater than
the rotational broadening of PG 1336-018) the variability of the
surface elements is smeared out over a large part of the profile.
Interestingly, there is still a distinct variability in cores of
Balmer lines which makes them usable for spectral mode
identification provided the spectra have enough S/N. Due to the
fact that there is no actual continuum in the higher order Balmer
region and their higher sensitivity to surface gravity variations
H
and H
,
although carrying valuable information on
gravity variations, are difficult for the interpretation with the
current mode-identification techniques.
![]() |
Figure 12:
Three pulsation cycles of residual (mean subtracted)
spectra shown as gray scale images for the core of the synthetic
Balmer lines H |
Open with DEXTER |
5 Confrontation between simulated predictions and observed diagnostics
To explore how the line-profile variations are preserved in CCF we calculate the CCF of the synthetic spectra in the same way as for the data. Using the same model spectrum (from H






While the cross-correlation technique is used to smear out the noise it also smears the signal in such a broad cross-correlation template. After examining the amplitude and phase variations of different Balmer lines, we conclude that cross-correlation of several Balmer lines may not preserve the line-profile variations in a way traceable for the mode identification as different Balmer lines do not have the same line-profile behavior for the same mode of oscillation (see Figs. 8-11).
To test if different Balmer lines can be combined to achieve
better S/N and still preserve their amplitude and phase
distribution across the combined profile, we selected lines that
show similar line-profile behavior namely H,
H
,
H
and H
and calculated their average line
profile. The average line profile preserved the amplitude and
phase distribution of the original lines excellently. We have
tried the same with the observed spectra both for all the
out-of-eclipse and for the spectra taken during the secondary
eclipse but as the averaging of four lines gives only a factor of
2 in S/N we still fail to detect the pulsation signal during
secondary eclipse.
Even though the pulsation signal is obviously highly smeared out
in the broad CCFs we confront the CCFs of the observed spectra
with those of the synthetic spectra which have been manipulated in
the same way as the data, to check if any feature emerges.
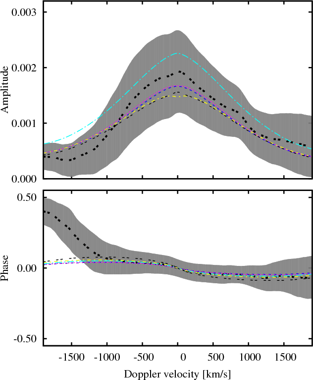
Figure 13 shows the amplitude (top) and phase
(bottom) distribution of the CCFs of the data and CCFs the
synthetic time-series for the modes with reasonable amplitudes to
fit the observed range (see the caption). Clearly the errors on
the amplitude and phase distribution across the CCFs are too high
to let us attempt any unique mode identification. Note that the
velocity amplitude of the
,
(1, 0), (2, 1)
and (2, 0) modes would have to be unrealistically high,
VA > 100 km s-1 for
and
km s-1 for the
,
(2, 1) and (2, 0)
in order to reach the amplitude of the data and therefore are not
plotted. Interestingly, the phase of the CCFs of the data set fits
rather well the phase distribution of the
,
(1, 1) and (2, 2) modes in the narrow region where the
variability is seen. Due to the large errors (gray area in
Fig. 13) we cannot make any further conclusions. The
phase distribution of CCFs of
and
modes is indistinguishable. While the amplitude and phase
distribution can in principle distinguish between
and
modes, the amplitude and phase distribution of
our data set is too noisy to exclude any of the
,
1
or 2 modes.
![]() |
Figure 13:
The amplitude (upper) and phase (bottom) distribution of
the CCFs of the data (thick double dashed line) with errors (gray
area) overplotted with the amplitude and phase distribution of the
CCFs of the synthetic spectra for modes with realistic amplitudes.
The amplitude is given in continuum units and phase in units of
|
Open with DEXTER |
6 Conclusions
Due to the low signal in the individual spectra we were not able to analyse the line-profile variations of the individual lines in the time-series of PG 1336-018 spectra but instead we analyse the variations of the CCFs that approximate the average line for each spectrum. The lack of metal lines in PG 1336-018 spectrum forced us to work with CCFs of broad Balmer lines which smear out the pulsation signal. Nevertheless, we detected one pulsational frequency in the CCFs of PG 1336-018 in all line diagnostics. This is the first time a pulsational signal has been detected in high-resolution spectra of PG 1336-018. The detected frequency has equal significance in the pixel-by-pixel method and in the variation of the equivalent width, while the same frequency with somewhat lower amplitude is detected in the analysis of the first and third velocity moments. Phase folding onto the detected pulsation frequency to increase the S/N is not suitable for the case of our short time base spectra of PG 1336-018 as it does not have an isolated high amplitude frequency.Although suitable for the case of PG 1336-018 with respect to the high rotational velocity, we were not able to use the FPF spectroscopic mode-identification technique as implemented in the software tool FAMIAS on the CCF of PG 1336-018 as this method assumes Gaussian intrinsic line profiles and therefore is not suitable for the lines whose intrinsic profile deviates from a Gaussian.
However, from the overall qualitative amplitude and phase
distribution analysis of the observed versus synthetic CCFs we
conclude that the mode detected in the PG 1336-018 spectra is not an
,
(1, 0), (2, 1) or (2, 0) mode. While the
amplitude and phase distribution can in principle distinguish
between
and
modes, in our data they
are too noisy to exclude any of the radial, sectoral dipole or
quadrupole modes. It would be interesting to compare the seismic
solutions for these options in a
sense, but we cannot
deduce this information from the study of Charpinet et al. (2008).
Our most important conclusion is that the low order Balmer lines
can be used as diagnostic tool to identify pulsation modes,
provided that each individual spectrum has a sufficiently high
S/N ratio (at least 200), as we have shown with our simulated
time-series.
Acknowledgements
M. V. acknowledges a Ph.D. scholarship from the Research Council of Leuven University. M. V., C. A. and R. Ø. are supported by the Research Council of Leuven University, through grant GOA/2008/04. M. V. is thankful to Wolfgang Zima and Fabien Carrier for always being there to discuss the cross-correlation technique and for letting us use their codes.
References
- Aerts, C., & Eyer, L. 2000, in Delta Scuti and Related Stars, ed. M. Breger, & M. Montgomery, PASPC, 210, 113
- Aerts, C., de Pauw, M., & Waelkens, C. 1992, A&A, 266, 294 [NASA ADS] (In the text)
- Aerts, C., Hekker, S., Desmet, M., et al. 2008, in Precision Spectroscopy in Astrophysics, ed. N. C. Santos, L. Pasquini, A. C. M. Correia, & M. Romaniello, 161 (In the text)
- Blanchette, J.-P., Chayer, P., Wesemael, F., et al. 2008, ApJ, 678, 1329 [NASA ADS] [CrossRef]
- Briquet, M., & Aerts, C. 2003, A&A, 398, 687 [NASA ADS] [CrossRef] [EDP Sciences] (In the text)
- Buta, R. J., & Smith, M. A. 1979, ApJ, 232, 213 [NASA ADS] [CrossRef] (In the text)
- Charpinet, S., van Grootel, V., Reese, D., et al. 2008, A&A, 489, 377 [NASA ADS] [CrossRef] [EDP Sciences] (In the text)
- De Cat, P., Eyer, L., Cuypers, J., et al. 2006, A&A, 449, 281 [NASA ADS] [CrossRef] [EDP Sciences] (In the text)
- Heber, U. 2009, ARA&A, 47, in press (In the text)
- Heber, U., Hunger, K., Jonas, G., & Kudritzki, R. P. 1984, A&A, 130, 119 [NASA ADS]
- Heber, U., Reid, I. N., & Werner, K. 2000, A&A, 363, 198 [NASA ADS] (In the text)
- Hekker, S., Aerts, C., de Ridder, J., & Carrier, F. 2006, A&A, 458, 931 [NASA ADS] [CrossRef] [EDP Sciences] (In the text)
- Hu, H., Nelemans, G., Østensen, R., et al. 2007, A&A, 473, 569 [NASA ADS] [CrossRef] [EDP Sciences] (In the text)
- Jeffery, C. S., & Pollacco, D. 2000, MNRAS, 318, 974 [NASA ADS] [CrossRef] (In the text)
- Kilkenny, D. 2007, Commun. Asteroseismol., 150, 234 [NASA ADS] [CrossRef] (In the text)
- Kilkenny, D., Koen, C., O'Donoghue, D., & Stobie, R. S. 1997, MNRAS, 285, 640 [NASA ADS] (In the text)
- Kilkenny, D., O'Donoghue, D., Koen, C., Lynas-Gray, A. E., & van Wyk, F. 1998, MNRAS, 296, 329 [NASA ADS] [CrossRef]
- Kilkenny, D., Reed, M. D., O'Donoghue, D., et al. 2003, MNRAS, 345, 834 [NASA ADS] [CrossRef] (In the text)
- Kuassivi, Bonanno, A., & Ferlet, R. 2005, A&A, 442, 1015 [NASA ADS] [CrossRef] [EDP Sciences] (In the text)
- Lemke, M. 1997, A&AS, 122, 285 [NASA ADS] [CrossRef] [EDP Sciences] (In the text)
- Lenz, P., & Breger, M. 2004, in The A-Star Puzzle, ed. J. Zverko, J. Ziznovsky, S. J. Adelman, & W. W. Weiss, IAU Symp., 224, 786 (In the text)
- Mantegazza, L. 2000, in Delta Scuti and Related Stars, ed. M. Breger, & M. Montgomery, PASPC, 210, 138
- Mathias, P., & Aerts, C. 1996, A&A, 312, 905 [NASA ADS] (In the text)
- Østensen, R. H. 2009, Commun. Asteroseismol., 159, in press
- Østensen, R. H., Telting, J. H., Heber, U., & Jeffery, C. S. 2008, in Hot Subdwarf Stars and Related Objects, ed. U. Heber, C. S. Jeffery, & R. Napiwotzki, PASPC, 392, 301 (In the text)
- O'Toole, S. J., & Heber, U. 2006, A&A, 452, 579 [NASA ADS] [CrossRef] [EDP Sciences]
- O'Toole, S. J., Bedding, T. R., Kjeldsen, H., et al. 2000, ApJ, 537, L53 [NASA ADS] [CrossRef]
- O'Toole, S. J., Bedding, T. R., Kjeldsen, H., Dall, T. H., & Stello, D. 2002, MNRAS, 334, 471 [NASA ADS] [CrossRef]
- O'Toole, S. J., Jørgensen, M. S., Kjeldsen, H., et al. 2003a, MNRAS, 340, 856 [NASA ADS] [CrossRef]
- O'Toole, S. J., Jørgensen, M. S., Kjeldsen, H., et al. 2003b, MNRAS, 340, 856 [NASA ADS] [CrossRef] (In the text)
- O'Toole, S. J., Heber, U., Jeffery, C. S., et al. 2005, A&A, 440, 667 [NASA ADS] [CrossRef] [EDP Sciences]
- Reed, M. D., Kilkenny, D., Kawaler, S. D., et al. 2000, Baltic Astron., 9, 183 [NASA ADS]
- Reed, M. D., & Whole Earth Telescope Xcov 21 and 23 Collaborations 2006, Mem. Soc. Astron. Ital., 77, 417 [NASA ADS] (In the text)
- Reed, M. D., Eggen, J. R., Harms, S. L., et al. 2009, A&A, 493, 175 [NASA ADS] [CrossRef] [EDP Sciences] (In the text)
- Schrijvers, C., Telting, J. H., Aerts, C., Ruymaekers, E., & Henrichs, H. F. 1997, A&AS, 121, 343 [NASA ADS] [CrossRef] [EDP Sciences] (In the text)
- Telting, J. H. & Østensen, R. H. 2004, A&A, 419, 685 [NASA ADS] [CrossRef] [EDP Sciences] (In the text)
- Telting, J. H. & Østensen, R. H. 2006, A&A, 450, 1149 [NASA ADS] [CrossRef] [EDP Sciences] (In the text)
- Telting, J., Geier, S., Østensen, R., et al. 2008, A&A, 492, 815 [NASA ADS] [CrossRef] [EDP Sciences] (In the text)
- Tillich, A., Heber, U., O'Toole, S. J., Østensen, R., & Schuh, S. 2007, A&A, 473, 219 [NASA ADS] [CrossRef] [EDP Sciences] (In the text)
- Townsend, R. H. D. 1997, MNRAS, 284, 839 [NASA ADS] (In the text)
- Vuckovic, M., Aerts, C., Østensen, R., et al. 2007, A&A, 471, 605 [NASA ADS] [CrossRef] [EDP Sciences] (In the text)
- Woolf, V. M., Jeffery, C. S., & Pollacco, D. L. 2002, MNRAS, 329, 497 [NASA ADS] [CrossRef] (In the text)
- Zima, W. 2006, A&A, 455, 227 [NASA ADS] [CrossRef] [EDP Sciences]
- Zima, W. 2008, Commun. Asteroseismol., 155, 17 [NASA ADS] [CrossRef] (In the text)
Footnotes
- ... Virginis)
- Based on observations from the European Southern Observatory, Chile. Program ID: 075.D-0174.
- ...ULTRACAM
- ULTRACAM IS AN ULTRA-FAST, TRIPLE-BEAM CCD CAMERA.
- ...
IRAF
- IRAF is distributed by the National Optical Astronomy Observatories, operated by the Association of Universities for Research in Astronomy, Inc., under cooperative agreement with the National Science Foundation.
- ...
molly
- http://deneb.astro.warwick.ac.uk/phsaap/software/molly/html/INDEX.html
- ...
FAMIAS
- The mode identification software package FAMIAS developed in the framework of the FP6 European Coordination Action HELAS (http://www.helas-eu.org/).
All Tables
Table 1: Stellar parameters used to model the line-profile variations using the spectral-synthesis codes BRUCE and KYLIE (Townsend 1997).
All Figures
![]() |
Figure 1: The mean spectrum of PG 1336-018 produced by combining all the VLT/ UVES spectra after shifting according to the orbital RV solution from Paper I, together with the model spectrum used as a template for cross-correlation. The features marked with ``CCD'' result from the defects of the CCD chip. |
Open with DEXTER | |
In the text |
![]() |
Figure 2:
Observed individual spectrum around H |
Open with DEXTER | |
In the text |
![]() |
Figure 3: Cross-correlation profiles of our out-of-eclipse PG 1336-018 spectra. The tick marks on the left axis indicate a difference of 10% in relative intensity units. Each profile has been shifted downward by the time since midnight UT on the night of observations, as indicated on the right axis. |
Open with DEXTER | |
In the text |
![]() |
Figure 4: The Fourier amplitude spectrum of the all out-of-eclipse PG 1336-018 spectra. The gray scale is given in continuum units with the range 0-0.002 (black to white). |
Open with DEXTER | |
In the text |
![]() |
Figure 5: Fourier spectrum of the intensity variations across the cross-correlation profiles over the [-100, 100] km s-1dispersion range (pixel-by-pixel method). |
Open with DEXTER | |
In the text |
![]() |
Figure 6:
Fourier analysis of the cross-correlation profiles over
the [-100, 100] km s-1 dispersion range. The frequency
domain of the main pulsations detected in the photometry is
plotted together with the 3
|
Open with DEXTER | |
In the text |
![]() |
Figure 7: The Fourier parameters across the cross-correlation profiles of the detected pulsation frequency. The average profile (termed zero point in FAMIAS) is shown at the top, the observed amplitude distribution across the profile (solid line) in the middle together with the error band (dotted) and the observed phase distribution (solid line) in the bottom with the error band (dotted). |
Open with DEXTER | |
In the text |
![]() |
Figure 8:
The amplitude and phase (bottom panel) distribution
across the profiles for the core of the synthetic Balmer lines
H |
Open with DEXTER | |
In the text |
![]() |
Figure 9:
The same as Fig. 8 for
H |
Open with DEXTER | |
In the text |
![]() |
Figure 10:
The same as Fig. 8 for prograde
modes for H |
Open with DEXTER | |
In the text |
![]() |
Figure 11:
The same as Fig. 10 for
H |
Open with DEXTER | |
In the text |
![]() |
Figure 12:
Three pulsation cycles of residual (mean subtracted)
spectra shown as gray scale images for the core of the synthetic
Balmer lines H |
Open with DEXTER | |
In the text |
![]() |
Figure 13:
The amplitude (upper) and phase (bottom) distribution of
the CCFs of the data (thick double dashed line) with errors (gray
area) overplotted with the amplitude and phase distribution of the
CCFs of the synthetic spectra for modes with realistic amplitudes.
The amplitude is given in continuum units and phase in units of
|
Open with DEXTER | |
In the text |
Copyright ESO 2009
Current usage metrics show cumulative count of Article Views (full-text article views including HTML views, PDF and ePub downloads, according to the available data) and Abstracts Views on Vision4Press platform.
Data correspond to usage on the plateform after 2015. The current usage metrics is available 48-96 hours after online publication and is updated daily on week days.
Initial download of the metrics may take a while.