| Issue |
A&A
Volume 505, Number 1, October I 2009
|
|
|---|---|---|
| Page(s) | 373 - 384 | |
| Section | Astronomical instrumentation | |
| DOI | https://doi.org/10.1051/0004-6361/200912668 | |
| Published online | 28 July 2009 | |
Analytical computation of the off-axis effective area of grazing incidence X-ray mirrors
D. Spiga - V. Cotroneo - S. Basso - P. Conconi
INAF - Osservatorio Astronomico di Brera, via E. Bianchi 46, 23807, Merate (LC), Italy
Received 9 June 2009 / Accepted 20 June 2009
Abstract
Aims. Focusing mirrors for X-ray telescopes in grazing incidence, introduced in the 70s, are characterized in terms of their performance by their imaging quality and effective area, which in turn determines their sensitivity. Even though the on-axis effective area is assumed in general to characterize the collecting power of an X-ray optic, the telescope capability of imaging extended X-ray sources is also determined by the variation in its effective area with the off-axis angle. The effective area, in general, decreases as the X-ray source moves off-axis, causing a loss of sensitivity in the peripheral regions of the telescope's field of view.
Methods. The complex task of designing optics for future X-ray telescopes entails detailed computations of both imaging quality and effective area on- and off-axis. Because of their apparent complexity, both aspects have been, so far, treated by using ray-tracing routines aimed at simulating the interaction of X-ray photons with the reflecting surfaces of a given focusing system. Although this approach has been widely exploited and proven to be effective, it would also be attractive to regard the same problem from an analytical viewpoint, to assess an optical design of an X-ray optical module with a simpler calculation than a ray-tracing routine. This would also improve the efficiency of optimization tasks when designing the X-ray optical modules. In this paper, we thereby focused on developing analytical solutions to compute the off-axis effective area of double-reflection X-ray mirrors.
Results. We have developed useful analytical formulae for the off-axis effective area of a double-reflection mirror in the double cone approximation, requiring only an integration and the standard routines to calculate the X-ray coating reflectivity for a given incidence angle. The computation is easily applicable also to Wolter-I mirrors (such as those of NeXT, NuSTAR, HEXIT-SAT, IXO) and the approximation improves as the f-number of the mirror increases. Algebraic expressions are provided for the mirror geometric area, as a function of the off-axis angle. Finally, the results of the analytical computations presented here are validated by comparison with the corresponding predictions of a ray-tracing code.
Key words: telescopes - methods: analytical - space vehicles: instruments - X-rays: general
1 Introduction
X-ray telescopes have been equipped with focusing optics since the 70s to endow them with imaging capabilities and concentration properties that enhance their sensitivity. The effective area of the optics is one of the most important parameter determining the minimum detectable flux: to date, the X-ray telescope with the largest effective area in the soft X-ray band (<10 keV) is Newton-XMM with 1450 cm2 per module at 1 keV, on-axis (Gondoin et al. 1998b). Beyond 10 keV, the effective area and the sensitivity of all focusing X-ray telescopes drop off suddenly, because of the very low reflectivity of single-layer coated mirrors at the grazing incidence angles in use. The situation is expected to change with the launch of imaging hard (>10 keV) X-ray telescopes such as NuSTAR (Koglin et al. 2005), NeXT (Takahashi et al. 2008; Ogasaka et al. 2008), HEXIT-SAT (Pareschi 2004), and IXO (formerly XEUS, Parmar et al. 2004; Kunieda et al. 2008) that will extend the performances of presently-operating X-ray telescopes beyond 10 keV, by means of shallow incidence angles (<0.25 deg) and wideband multilayer coatings (Joensen et al. 1995; Tawara et al. 1998).
On the other side, the study of extended X-ray sources, such as galaxy clusters, and even cosmological surveys would benefit greatly from an increase in the field of view of X-ray telescopes. For example, eROSITA (Predehl et al. 2006) will provide a wide field of view of 61 arcmin in diameter (Friedrich et al. 2008) by using double reflection mirrors. Previous mission concepts, such as WFXT (Citterio et al. 1993) and WFI onboard EDGE (Piro et al. 2008), have been proposed to increase the imaging quality of off-axis sources, by adopting polynomial profiles (Burrows et al. 1992; Conconi & Campana 2001). This type of mirror design provides a higher resolution for off-axis X-ray sources than the Wolter's, at the expense of a small degradation of the HEW on-axis.
Nevertheless, not only the angular resolution, but also the effective area of grazing-incidence X-ray mirrors is known to be degraded as a source moves off-axis, due to geometrical vignetting and the variation in the incidence angles on mirrors. This can have important consequences for the observation, since the sensitivity of the telescope over its field of view can be severely compromised. Moreover, for telescopes with modules flying in formation (as was to have been the case for SIMBOL-X, Pareschi et al. 2008), oscillations at random of the optical module might cause an unpredictable decrease in the effective area. Possible solutions to this problem have been studied (Cotroneo et al. 2009), although this example highlights the importance of the theoretical prediction of the effective area, on- and off-axis, already at the design stage of the optical module development for an X-ray telescope.
Another situation in which the theoretical computation of the effective area is necessary occurs whenever X-ray mirrors are calibrated using on-ground facilities such as PANTER (Brauninger et al. 2004; Freyberg et al. 2006), where the X-ray source is located at a large, but definitely non-astronomical, distance from the mirror. In such conditions, the measured effective area is affected by the imperfect collimation of the incident beam: the correct data interpretation must account for this effect (see e.g., Gondoin et al. 1998b), on- and off-axis, to reliably reconstruct the mirror's effective area for an astronomical X-ray source over all the field of view of the telescope.
While the prediction of the on-axis effective area for a double-reflection, grazing-incidence mirror is rather simple, it becomes difficult in general for a source off-axis. Such evaluations have been completed so far using ray-tracing codes (see e.g., Mangus & Underwood 1969; Zhao et al. 2004), starting from the optical design of mirrors and the structure of the reflective coating. These codes are in general very efficient, but time-consuming, computationally intensive, and affected by statistical errors related to the number of rays that can be traced. It would therefore be beneficial to develop a method for computing the effective area analytically, which would ease the assessment of the effective area and, among other things, the optical design of a wide field X-ray telescope.
Few suitable analytical tools have been developed to date. Van Speybroeck and Chase (1972) found - by means of ray-tracing - that the geometric, collecting area of a Wolter-I mirror decreases with the off-axis angle
of the source, with respect to the on-axis geometric area
,
according to
where
In this paper, we present a solution to that problem. We develop an analytical approach that can be applied to double cone grazing-incidence X-ray mirrors and, with reasonable accuracy, to Wolter-I mirrors (unless the f-number is small). The limits of this approximation are discussed in Sect. 2. In Sect. 3, we derive general integral formulae (such as Eq. (25)) to compute the off-axis effective area for a double-reflection X-ray mirror with shallow incident angles, for any reflective coating. As a particular case, in Sect. 4 we obtain some algebraic expressions for the geometric area and verify that the well-known Eq. (1) can be derived as a particular case. In Sect. 5, the predictions of the analytical approach are validated, for some particular cases, by means of a comparison with the outputs of a ray-tracing routine. The results are briefly discussed in Sect. 6.
We note that we assume that the off-axis mutual obstruction of mirrors in densely nested mirror assemblies has a negligible effect. Therefore, the results are valid for either isolated double cone or Wolter-I mirrors, or for mirror modules known to be negligibly obstructed, such that their effective area simply equals the sum of the contributions of the individual mirrors. The quantification of the off-axis obstruction in mirror assemblies will be considered in future.
2 The double cone approximation in the computation of the effective area of a Wolter-I mirror
We consider, in a preliminary way, a grazing-incidence Wolter-I mirror, and an on-axis photon source (Fig. 1). The optical axis is aligned with the z axis. We define
Because of the surface curvature, the incidence angles on the two surfaces vary in general with the z coordinate. We define
to be this angle on the primary (0<z<L1) mirror segment, and on the secondary (-L2<z<0) mirror for a source on the optical axis, at infinite distance. In general (Van Speybroeck & Chase 1972), the incidence angle of rays close to z = 0,
,
is the same for both surfaces. Therefore, we have the well-known relation
Since
![]() |
Figure 1:
Meridional section of a Wolter-I mirror, here in the case
|
| Open with DEXTER | |
To obtain an analytical expression for the effective area of a Wolter-I mirror when a source is off-axis by an angle
,
we have to find algebraic expressions for:
- 1.
- the variation in the incidence angles, on which the mirror reflectivities depend, over the primary and secondary mirror segment surfaces;
- 2.
- the collecting area of the primary segment;
- 3.
- the fraction of rays reflected by the primary segment that are incident on the secondary.
In the remainder of this section, we quantify the errors caused by the substitution of a Wolter-I profile with a double cone, by keeping R0,
,
L1, and L2 constant. The problems to be faced are related to the system geometry, rather than to the absolute size of the mirrors. Hence, it is convenient to report the results of this section in terms of both the f-number,
,
instead of f itself, and
L1' = L1/(2R0),
L2' = L2/(2R0), which are normalized mirror lengths. Using Eq. (2),
can be written as
We mention that the true focal length of a double cone is slightly longer than that of a Wolter profile with the same R0 and
2.1 The incidence angles
For a double cone profile, the incidence angles for an on-axis source at infinity are constant along a meridional plane, and equal to
.
For a Wolter-I profile, the slope of the mirror profile changes slowly with the z coordinate. Because of the concavity of profiles,
on the primary segment, and
on the secondary segment. We assume for simplicity that L1=L2=L, and define the (positive) angle variations
and
.
For a Wolter-I profile, the ratio
varies between 1 and 2, going from large to short
.
For this estimation, we assume that
and we simply denote their value with
.
Now consider a ray from an on-axis source at infinity (Fig. 1a). After being reflected firstly at z = +L, it undergoes the second reflection at
,
at a radial coordinate
,
and is focused at z = -f. The total photon deflection at z =-L is
;
therefore,
For small
| (5) |
By comparing the last two equations, using Eqs. (2) and (3), with the definition of L1' = L2' = L', we derive the maximum variation in the incidence angles over the mirror profiles,
This equation provides the error in the incidence angles introduced by the double cone approximation. Such an error is computed for some practical cases and reported in Table 1. For example, we note that for NeXT-HXT and SIMBOL-X the error is only 0.4%. This means that, assuming
![]() |
Figure 2: Percent accuracy of the primary segment cross-section area, as seen by a source on-axis from infinity, in approximating a Wolter-I profile with a double cone. |
| Open with DEXTER | |
Table 1: Some examples of approximation introduced by the double cone geometry.
We now consider the source on-axis at finite distance, with
.
For a double cone (Fig. 1b), the incidence angle on the primary segment becomes
,
for all
.
Similarly, the incidence angle on the secondary segment is also constant and equal to
,
provided that
.
Within the approximation of Eq. (6), this is also true for a Wolter-I mirror.
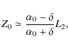
2.2 The maximum diameter
In terms of effective area, another concern of approximating a Wolter-I profile with a double cone of the same R0,is, in general, of a few percent as far as L' < 1 (see Fig. 2). In addition, its magnitude decreases rapidly for increasing
of the same order of magnitude as the expression in Eq. (6). This approximation is also computed for some telescopes and reported in Table 1.
For an on-axis source at a finite distance, the area of the circular corona between
and
should be considered: the area is thereby increased by the same term
2
,
for both Wolter and double cone. Hence, the approximation of the area is even better than the expression in Eq. (8).
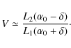
2.3 Geometric vignetting for double reflection
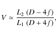
We now consider the third problem. The case of a source on-axis, at a finite distance, represents the simplest case in which there is geometrical vignetting for double reflection. If the source is on-axis, at infinite distance (withvalid if
If we consider that in this case
and
,
an alternative expression for Eq. (9) is
where we have used the definitions of
It is interesting to note that a formula similar to Eq. (10) for the effective area was empirically found by Van Speybroeck & Chase (1972), but with a 2.5f term instead of 4f.
Rigorously, Eqs. (9) to (11) hold only for a double cone mirror, but they are expected to be applicable also to Wolter-I mirrors of a sufficiently large
.
To determine the approximation that can be achieved, we computed by ray-tracing the exact V factor of a Wolter-I mirror as a function of
,
in the case of
L'1 = L'2 = 0.5, for fixed
values. In Fig. 3, the results are compared with the findings of Eq. (11). The vignetting for the double cone is independent of L', whereas for the Wolter's it depends markedly on L' only for small
.
Inspection of Fig. 3 shows that
- for a fixed
and not too large
,
V is larger for a Wolter-I mirror than for the corresponding double cone; therefore, the double cone approximation returns, in general, pessimistic predictions of the effective area;
- in double cone approximation, V<1 for all
,
i.e., there are always lost photons for double reflection. With a Wolter-I profile, V is 1 when
becomes sufficiently small;
- for a fixed
,
the predictions of Eq. (9) approach the exact calculations as
is increased. For large
and large
,
where
,
the V factor of Wolter becomes slightly smaller than that of the double cone.
![]() |
Figure 3:
Vignetting due to the finite distance of the source on-axis, as a function of the f-number, for
L'1 = L'2 and 4 different values of |
| Open with DEXTER | |
![]() |
Figure 4: Percent accuracy of the double cone approximation in the estimation of the vignetting factor for a source on-axis at finite distance, as derived from the curves of Fig. 3 (symbols). Lines are traced using the empirical Eq. (12) with L' = 0.5. |
| Open with DEXTER | |
From the curves of Fig. 3, we computed
,
the error in the vignetting factor when we apply Eq. (9) to a Wolter-I profile, as in the definition of Eq. (8). This quantity is plotted in Fig. 4 for the case L' = 0.5. It can be seen that, in the cases interesting for us, i.e., for sufficiently large
and not too large values of
,
is positive and of the order of a few percent. We repeated this exercise for several values of L' in the interval 0.25-1 to investigate the dependence of
on this parameter, and it turned out that this ratio, if positive and if
,
can be approximated very well by the empirical formula (see Fig. 4 and Table 1)
where
For small
values, Eq. (12) is not obeyed because of the saturation of V(Wolter) to 1, so the expression of
should be interpreted as an upper limit. Finally, for very large
the error deviates from Eq. (12) as it becomes negative, but this occurs only when
,
so its weight in determining the effective area is expected to be negligible.
We can therefore conclude that the error introduced by the double cone approximation, regarding the effective area, is definitively smaller than
.
In other words, the double cone approximation is valid when
,
a condition fulfilled in almost all practical cases. Within the limits of this approximation, we derive in the next section the effective area for a source on- and off-axis.
3 The on- and off-axis effective area of a Wolter-I mirror
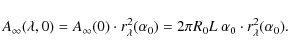
3.1 On-axis source
We assume that we can approximate the Wolter-I profile with a double cone profile, by adopting the tolerances estimated in Sect. 2. In the following, we adopt the convention to denote withwhere we use the approximation
Since photons are reflected twice at the same angle
,
we multiply the geometrical area by the squared reflectivity to obtain the effective area at the photon wavelength ![]()
This is a well known result. We now keep the source on-axis, but at a finite distance D and assume more generally that
where
where
As one might expect, the geometric area is that of the secondary segment, projected onto the wavefront after the primary reflection. We note that by setting
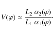
Comparison of Eqs. (17) and (18) indicates that the effective area can be written as
which represents the general expression for the effective area seen by a source on-axis.
3.2 Off-axis source: integral formula
We can now compute the effective area for a source off-axis. Because of the axial symmetry of the mirror, we choose the x axis so that the source lies in the xz plane, on the side of the positive x axis (refer to Fig. 5). We define
With respect to the on-axis case, there are some additional difficulties. The ray no longer lies within a meridional plane of the mirror, so the polar angles of the impact positions on the primary and secondary mirror segment,
and
,
differ in general, and the incidence angles
and
also vary with them.
Nevertheless, since the maximum distance of the two impact points is
,
the off-plane linear displacement is
at most: therefore,
,
which is in general negligible with respect to
and
themselves. This result can also be derived more rigorously (see Appendix B).
![]() |
Figure 5:
A grazing-incidence double cone mirror, illuminated by an off-axis source: the dashed line is a ray path. The optical axis lies along the z direction and the x axis is chosen for the source S, at a distance
|
| Open with DEXTER | |
In the limit of small
,
we can henceforth assume with good approximation
:
for this reason, in the remainder of this section we denote with
the nearly-common value of the two angles. In Appendix B, we also derived other important results:
- 1.
- analytical expressions for
and
can be found with some algebra. For a small angle
,
these functions reduce to the simple expressions
which generalize the expressions for the incidence angles of Sect. 3.1, to the case of an off-axis source; - 2.
- always in the limit of small
,
,
,
the vignetting for double reflection (Sect. 2.3) can be calculated using a generalization of Eq. (9),
Here the V factor varies with
because it depends on
(Eq. (20)) and
(Eq. (21)). As in Eq. (9), Eq. (22) is valid only if
.
If V exceeds 1 at some
,
then all the primary segment sector is effective and
.
If either
or
is negative at some
,
no reflection occurs on the optical side of the mirror and
.
We now draw our attention to a small mirror sector between
and
,
when
.
Equations (20) and (21) can then be used to compute the local incidence angles, and Eq. (22) to compute the local vignetting factor. We assume, initially, that
and
;
therefore V>0. If
,
we can repeat the passages in Sect. 3.1 for a mirror sector at
according to Eqs. (17). Otherwise
,
all the primary segment sector is effective, so we can write the sector area according to Eq. (18). Finally, we obtain for the effective area of the infinitesimal sector,
where
The expression for
is correct as long as the incidence angles are non-negative. If either
or
become negative at some
,
no contribution to the effective area can be given by that sector, so
is zero at that
.
We can then write without restrictions that
The effective area of the entire mirror is then given by integration over
where the factor of 2 comes from the symmetry of the mirror with respect to the off-axis plane. In the particular case L1 = L2, Eq. (25) becomes
where
which is valid also for
4 Applications to the geometric area
An upper limit to the effective areawhere
4.1 Source at infinity
For a source at infinity withwhich can be immediately solved
Recalling Eq. (14) for the on-axis area
which is exactly Eq. (1) found by Van Speybroeck and Chase (1972), after approximating
For off-axis angles larger than
,
Eq. (32) is no longer valid. An extension of the curve
for
can be obtained from Eq. (30), after setting the integrand to 0 when
,
according to Eq. (27). The result is a non-linear function of the
ratio,
which is identical to Eq. (32) for
A complete vignetting curve for
is shown in Fig. 6 (solid line). The predicted deviation from linearity is verified in Sect. 5 by means of an accurate ray-tracing routine.
4.2 Source at finite distance
We now consider the variation in the geometric area, for a source at a finite distance (
We consider firstly the case
.
We then assume initially
.
With these conditions,
for all
,
therefore Eq. (27) becomes
Substituting this expression into Eq. (29) and solving, we derive the area
that is,
We now increase
beyond
.
Since
by hypothesis, we can consider the case
.
We are therefore allowed to write Eq. (29) as
where the integrands are always positive. This yields
We note that for
We now suppose
.
In this case, the integration returns some more terms
This equation, as expected, returns the same result as Eq. (37) at
![]() |
Figure 6:
Normalized geometric area,
|
| Open with DEXTER | |
Now, consider the case
,
unlike we have hitherto assumed, but still that
.
This time
:
the condition
is insufficient for avoiding negative values of
in Eq. (34), therefore Eq. (35) is valid only if
.
Beyond this limit and up to
,
Eq. (37) should be replaced by
which, unexpectedly, is an increasing function of
such a maximum is not present if
In a similar fashion, one can easily compute the total geometric vignetting for
,
even if the resulting expression would be too long to report here, and it is also possible to derive similar expressions for the unusual case
.
To provide the reader with a qualitative visualization of the overall trend of the expressions we just derived, we traced in Fig. 6 some curves of total vignetting as a function of
,
for
deg and different values of
.
To do this, we used Eqs. (32) and (33) and Eqs. (35) to (39) in the respective intervals of validity, and also the expression for
,
which is not reported here.
To summarize the results presented in this section, from Fig. 6 we can draw some conclusions:
- if
,
the geometric area decreases linearly up to
,
then approaches zero as
is increased beyond
;
- if
,
the geometric area remains constant for
,
then decreases monotonically to zero;
- if
,
the geometric area remains constant for
,
then increases, reaches a maximum and eventually decreases to zero;
- if
,
the geometric area is zero for
,
then increases, reaches a maximum and eventually decreases to zero.
5 Validation with ray-tracing results
We verify the formulae derived in previous sections by means of a comparison with the results of a ray-tracing routine. To make the comparison easier, we consider the case of a single Wolter-I mirror. A first point to be checked is the geometric area, which was extensively analyzed from the analytical viewpoint in Sect. 4. In particular, the curves of Fig. 6 are easily verifiable along with a ray-tracing routine, without any assumptions about the reflective coating. The comparison is interesting especially when testing the analytical formulae in the non-linear regions, which are usually not exploited in X-ray optics.
We displayed in Fig. 7 the comparison between 3 representative analytical curves of normalized geometric area (from Fig. 6) and the findings of a ray-tracing run on a Wolter-I mirror with the same value of
(0.2 deg), corresponding to
.
For the ray-tracing simulation, we adopted the reasonable value L' = 0.5, whereas the analytical curves are largely independent of this parameter, as long as the double cone approximation is applicable. More exactly, from the discussion of Sect. 2 the approximation that we introduce is not larger than
.
As can be noted, the agreement between the two methods is complete, also for large off-axis angles where the vignetting ceases to be linear, and even for
.
On the other hand, the analytical computation, with a nearly-continuous
sampling, corresponded to a few lines of IDL code, whilst the ray-tracing routine is a complex program, which requires the acquisition of more than 104 photons to reach a statistical error of a few percent for each point.
![]() |
Figure 7:
Comparison between some analytical curves of Fig. 6 (lines), and the results of an accurate ray-tracing (symbols) for a Wolter-I mirror with the same |
| Open with DEXTER | |
![]() |
Figure 8:
Comparison of effective areas of the largest Wolter-I mirror of Newton-XMM, as computed from ray-tracing (symbols) and from Eq. (26) (lines). The source is supposed to be at infinity ( |
| Open with DEXTER | |
We now wish to compare the predictions of Eq. (26) for the effective area, as a function of the photon energy, with the results of the ray-tracing. As a first case, we check the results for the largest mirror shell of a Newton-XMM optical module (Gondoin et al. 1998b), with f = 7.5 m, R0 = 346.2 mm (
= 0.66 deg), and L = 300 mm. The errors in the primary mirror segment area and the incidence angle variation along the profile introduced by the double cone approximation are less than 1%, and the error in the vignetting for double reflection is 4% at most (see Table 1), so Eq. (26) can be reliably applied to compute the effective area of the mirror, both on- and off-axis.
The comparison between the results obtained from a ray-tracing (symbols) and from the application of Eq. (26) (lines) is shown in Fig. 8, for a source at infinity and 4 different values of the off-axis angle. For both computational methods, the reflectivity of the Gold coating was computed by assuming the same surface roughness rms of
= 4 Å, regardless of the photon energy and the incidence angle. This is not completely correct, because the spectral window of the roughness power spectrum effective for X-ray scattering changes with
,
,
,
and the size of the region over which the image is integrated. A variable
,
computed from the power spectrum of roughness in a variable frequency range, should be adopted (Spiga et al. 2009). Nevertheless, this has no relevance to the present comparison and we retain
as a constant.
As can be noted from Fig. 8, the comparison provides a good agreement between the two methods, at all considered energies and off-axis angles. The analytical method underestimates the ray-tracing findings by only 3.7% at most, as foreseen, an amount close to the statistical error for the ray-tracing. This confirms the correctness of the analytical formula (Eq. (26)) for Wolter-I mirrors within the approximation limits stated in Sect. 2.
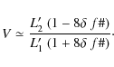
Finally, as an application to the hard X-ray band (>10 keV), we consider the case of a long focal length (f = 20 m) X-ray mirror with a wideband multilayer coating. Because of the complex dependence of multilayer reflectivity on the photon energy and the incidence angles, this example places the analytical method to the test, because any departure of the incidence angles from the true values would result in a displacement of the reflectance peaks. As simulation parameters, we assumed
R0 = 296.2 mm, and
L1 = L2 = 300 mm,
deg. The geometrical area for a source on-axis, at infinity, would be 5.17 cm2. The ratio expressing the departure of the double cone from the Wolter's,
,
is only 1.5%. The multilayer coating is supposed to consist of 200 pairs of Pt/C layers. The layer thickness decreases from the coating surface towards the substrate, according to the well-known power-law for the d-spacing - i.e., the sum of the thicknesses of two adjacent layers -
dj = a(b+j)-c (Joensen 1995), with j =1, 2, ..., 200 and a, b, c, parameters with values depending on the desired reflectivity. In the present example we adopted
,
b = 0.9, and c = 0.27, for a constant thickness ratio of Pt to the d-spacing,
.
The outermost layer is Pt. Finally, the surface roughness of the mirror is assumed to have the constant value
.
![]() |
Figure 9:
Comparison of effective areas of a multilayer-coated Wolter-I mirror, as computed from a ray-tracing (symbols) and from Eq. (26) (lines). The source is supposed to be at infinity ( |
| Open with DEXTER | |
![]() |
Figure 10:
Comparison of effective areas of a multilayer-coated Wolter-I mirror, as in Fig. 9, but with the source at a finite distance ( |
| Open with DEXTER | |
The results of this test are shown in Fig. 9 for a source at infinity, and in Fig. 10 for a source at a
102 m distance from the mirror. The results for a 104 ray tracing for each energy value (1 keV steps) are plotted as symbols, whereas the results for the application of Eq. (26) are plotted as lines. The statistical error of the ray-tracing results is of a few percent at low energies and close to 8% at high energies, where the reflectivity is lower. We note the excellent matching of peak positions and shapes in both cases. A mismatch of a few percent can be observed at low energies, even at
,
which is probably still related to the double cone approximation (Eq. (12)).
From these examples, we also note that, even on-axis, the effective area is heavily reduced by the source at a 102 m distance from the mirror. This occurs because
= 0.083 deg is close to
= 0.106 deg, although still smaller, thus the on-axis geometric area is only 12% of the one we would have with
(see Eq. (9)). For the case
= 0, the effective area also decreases with
almost everywhere, as predicted by Eq. (32). The opposite effect is observed for a source at a 102 m distance, in agreement with Eq. (39), which predicts an increase in the geometric area with
when
,
as in the case that we considered. Finally, we also note how the reflectance features are smoothed out when the source moves off-axis, because of the variation in incidence angles over the reflecting surfaces.
6 Final remarks and conclusions
We have shown how the problem of computing the effective area of a Wolter-I mirror with
The analytical approach undoubtedly has several advantages. In general, the multilayer reflectivity computation is the Achilles' heel of a ray-tracing program that is aimed at determining the off-axis effective area of a mirror: although conceptually simple, the reflectivity computation consists of summing up the contribution of several layers to the reflectivity, so it requires a significant amount of computation time. A ray-tracing routine often requires
photons to return sufficient statistics for each photon energy, and the reflectivity routine has to be called for each of them. Hence, the total computation time can reach several hours. If the optic is still to be designed, the entire simulation needs to be run several times, adjusting the parameter values every time, until the optimal solution is reached: the optimization process can thereby take several days.
In contrast, the analytical approach presented in this work is completely unaffected by statistical errors. Its accuracy is limited only by the applicability of the double cone approximation (discussed in Sect. 2) and by the accuracy of the computation of the integral in Eq. (25). In practice, the reflectivity can be computed with, say, a 5 arcsec step of the incidence angle, without noticeably affecting the reflectivity of the multilayer. This means that, even for a very large off-axis angle, e.g., 10 arcmin, we need to compute the multilayer reflectivity only
500 times, at most, instead of more than 104 times as required by a ray-tracing.
For these reasons, the approach presented in this work might be extensively used to compute the effective area of grazing-incidence Wolter-I astronomical mirrors, on- and off-axis, whenever applicable. On the other hand, as already stated in Sect. 1, it would not be applicable to very short focal lengths, or to systems of densely nested mirror shells, obstructing each other in the field of view: in this case a ray-tracing is, as of today, the only viable computational technique. Clearly, a ray-tracing is always necessary to investigate the angular resolution, especially whenever mirror deformations are present.
We note that, if analytical expressions for
were available, it would be possible to solve explicitly the integral in Eq. (25) in the most general case, and obtain algebraic formulae for the effective area of a Wolter-I mirror. In this respect, an analytical approach for obtaining
of a multilayer was developed by Kozhevnikov et al. (2001), but a concise expression for the reflectivity appears still to be unavailable. However, if this is achievable, the computation of the effective area, and consequently the optical design and optimization, for any astronomical X-ray mirrors of sufficiently large
might be simply reduced to the application of a handful of algebraic equations.
Acknowledgements
This research is funded by ASI (the Italian Space Agency). The authors acknowledge for useful discussions G. Pareschi, G. Tagliaferri, S. Campana, A. Moretti (INAF/OAB).
Appendix A: Vignetting for double reflection - on-axis source at finite distance
We derive Eq. (9), which returns the geometrical vignetting of a double-reflection mirror, caused by the finite distance of the source. We consider a radial section of a Wolter-I mirror (Fig. 1), in the xz plane, with the primary and secondary segment surfaces intersecting at a
In this configuration, inspection of Fig. 1b shows that the incidence angle on the primary segment becomes
,
and that on the secondary one,
.
We consider a ray striking the primary segment at
,
with z0 <L1. The angle formed by the ray direction with the optical axis, after the first reflection, is
:
the equation of the reflected ray is then
where, as usual, we approximate the
regardless of R0. Then the fraction of the primary segment that is effective for double reflection is V = Z0/L1, i.e.,
We now consider the entire mirror, obtained by a rotation of the profile in Fig. 1 about the optical axis. If the source is still on-axis, at a distance D, the vignetting given by Eq. (A.3) is easily applicable to all sectors of the mirror, and we obtain Eq. (9) exactly. In Appendix B, we see that this result can easily be generalized to a source off-axis.
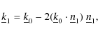
Appendix B: Incidence angles and vignetting for double reflection - detailed calculation for a source off-axis at finite distance
We consider a double cone mirror (Fig. B.1), with optical axis aligned with z and the intersection plane at z=0. We define R0 to be its radius at z =0,
![]() |
Figure B.1:
Double reflection of an off-axis ray (dashed line) on a double cone mirror. Also shown are the direction vectors of the ray, and the normal vectors to the surface,
|
| Open with DEXTER | |
The two conical surfaces are described in polar coordinates by the equations
The normal vectors to the two segments, directed inwards, are
if the double cone approximation is valid, the normal vectors are only a function of the
Since the source is off-axis by
If
which becomes, after some algebra,
In the limit of small
that is exactly Eq. (20).
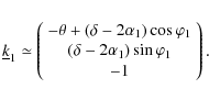
To derive the incidence angle on the secondary mirror segment, we need to trace the exit direction of each ray,
,
after the first reflection. This is obtained from the vector equation
because the parallel component to the surface is conserved, whilst the normal component reverses its sign in the reflection process. By substitution of the Eqs. (B.5) and (B.3), one obtains, as always in the small angles limit,
A ray reflected at the generic point
where
Using both Eqs. (B.1) and (B.2), Eq. (B.11) can be developed into 3 scalar equations, only 2 of which are mutually independent, i.e.,
When
We now search for a perturbative solution of these equations, of the kind
and
,
with
and
.
Substituting these expressions into Eqs. (B.12) and (B.13), neglecting terms in
,
and using Eq. (B.10) for the components of
,
we obtain a linear system in
and
,
whose solution is
For small off-axis angles,
We can now derive the incidence angle on the secondary mirror segment,
.
To this end, we write the scalar product
where
so we have found Eq. (21). This concludes the calculation of the incidence angles for an off-axis source.
Finally, we proceed to compute the vignetting factor for double reflection, in the general case of an off-axis source. In the following, since
,
we suppress the subscript and denote with
their nearly-common value. From the value of
(Eq. (B.14)), and using Eq. (B.17), we derive r2,
Reflection on the secondary mirror segment occurs if
where we indicate explicitly the dependence of the incidence angles on the azimuthal angle. So the fraction of the primary mirror segment effective for double reflection, at the polar angle
The last equation generalizes Eq. (A.3) to the case of a source off-axis: it is Eq. (22), which we used for the computation of the off-axis effective area in Sect. 3.2.
References
- Abelès, F. 1950, Annales de Physique, 127, 597 (In the text)
- Bräuninger, H., Burkert, W., Hartner, G. D., et al. 2004, in Proc. SPIE, 5168, 283 (In the text)
- Burrows, C. J., Burg, R., & Giacconi, R. 1992, ApJ, 392, 760 [NASA ADS] [CrossRef] (In the text)
- Conconi, P., & Campana, S. 2001, A&A, 372, 1088 [NASA ADS] [CrossRef] [EDP Sciences] (In the text)
- Citterio, O., Campana, S., Conconi, P., et al. 1999, in Proc. SPIE, 3766, 198 (In the text)
- Cotroneo, V., Conconi, P., Cusumano, G., et al. 2009, AIP Conf. Proc., 1126, 88 [NASA ADS] (In the text)
- Freyberg, M., Bräuninger, H., Burkert, W., et al. 2006, Exper. Astron., 20, 405 [NASA ADS] [CrossRef] (In the text)
- Friedrich, P., Bräuninger, H., Budau, B., et al. 2008, in Proc. SPIE, 7011, 70112T (In the text)
- Gondoin, P., Aschenbach, B., Beijersbergen, M. W., et al. 1998a, in Proc. SPIE, 3444, 278
- Gondoin, P., Aschenbach, B., Beijersbergen, M. W., et al. 1998b, in Proc. SPIE, 3444, 290 (In the text)
- Joensen, K. D., Voutov, P., Szentgyorgyi, A., et al. 1995, Appl. Opt., 34, 7935 [NASA ADS] [CrossRef] (In the text)
- Koglin, J. E., Christensen, F. E., Craig, W. W., et al. 2005, in Proc. SPIE, 5900, 266 (In the text)
- Kozhevnikov, I. V., Bukreeva, I. N., & Ziegler, E. 2001, Nucl. Instr. Methods Phys. Res. A, 460, 424 [NASA ADS] [CrossRef] (In the text)
- Kunieda, H., Takahashi, T., Kokubun, M., Nakazawa, K., & Ogasaka, Y. 2008, in Proc. SPIE, 7011, 70110D (In the text)
- Mangus, J. D., & Underwood, J. H. 1969, Appl. Opt., 8(1), 95 (In the text)
- Névot, L., & Croce, P. 1980, Revue Phys. Appl., 15, 198 (In the text)
- Ogasaka, Y., Kunieda, H., Mizyawa, T., et al. 2008, in Proc. SPIE, 7011, 70110P (In the text)
- Pareschi, G. 2004, Mem. Soc. Astron. Ital. Supp., 5, 362 (In the text)
- Pareschi, G., Attiná, P., Basso, S., et al. 2008, in Proc. SPIE, 7011, 70110N (In the text)
- Parmar, A., Arnaud, M., Barcons, X., et al. 2004, in Proc. SPIE, 5488, 388 (In the text)
- Parrat, L. G. 1954, Phys Rev., 95, 359 [NASA ADS] [CrossRef] (In the text)
- Piro, L., Den Herder, J. W., Ohashi, T., et al. 2009, Exper. Astron., 23, 67 [NASA ADS] [CrossRef] (In the text)
- Predehl, P., Hasinger, G., Böringer, H., et al. 2006, in Proc. SPIE, 6266, 62660P (In the text)
- Spiga, D., Basso, S., Cotroneo, V., et al. 2009, AIP Conf. Proc., 1126, 41 [NASA ADS] (In the text)
- Takahashi, T., Kelley, R., Mitsuda, K., et al. 2008, in Proc. SPIE, 7011, 70110O (In the text)
- Tawara, Y., Yamashita, K., Kunieda, H., et al. 1998, in Proc. SPIE, 3444, 569 (In the text)
- Van Speybroeck, L. P., & Chase, R. C. 1972, Appl. Opt., 11, 2 [CrossRef], 440 (In the text)
- Zhao, P., Jerius, D. H., Edgar, R. J., et al. 2004, in Proc. SPIE, 5165, 482 (In the text)
All Tables
Table 1: Some examples of approximation introduced by the double cone geometry.
All Figures
![]() |
Figure 1:
Meridional section of a Wolter-I mirror, here in the case
|
| Open with DEXTER | |
| In the text | |
![]() |
Figure 2: Percent accuracy of the primary segment cross-section area, as seen by a source on-axis from infinity, in approximating a Wolter-I profile with a double cone. |
| Open with DEXTER | |
| In the text | |
![]() |
Figure 3:
Vignetting due to the finite distance of the source on-axis, as a function of the f-number, for
L'1 = L'2 and 4 different values of |
| Open with DEXTER | |
| In the text | |
![]() |
Figure 4: Percent accuracy of the double cone approximation in the estimation of the vignetting factor for a source on-axis at finite distance, as derived from the curves of Fig. 3 (symbols). Lines are traced using the empirical Eq. (12) with L' = 0.5. |
| Open with DEXTER | |
| In the text | |
![]() |
Figure 5:
A grazing-incidence double cone mirror, illuminated by an off-axis source: the dashed line is a ray path. The optical axis lies along the z direction and the x axis is chosen for the source S, at a distance
|
| Open with DEXTER | |
| In the text | |
![]() |
Figure 6:
Normalized geometric area,
|
| Open with DEXTER | |
| In the text | |
![]() |
Figure 7:
Comparison between some analytical curves of Fig. 6 (lines), and the results of an accurate ray-tracing (symbols) for a Wolter-I mirror with the same |
| Open with DEXTER | |
| In the text | |
![]() |
Figure 8:
Comparison of effective areas of the largest Wolter-I mirror of Newton-XMM, as computed from ray-tracing (symbols) and from Eq. (26) (lines). The source is supposed to be at infinity ( |
| Open with DEXTER | |
| In the text | |
![]() |
Figure 9:
Comparison of effective areas of a multilayer-coated Wolter-I mirror, as computed from a ray-tracing (symbols) and from Eq. (26) (lines). The source is supposed to be at infinity ( |
| Open with DEXTER | |
| In the text | |
![]() |
Figure 10:
Comparison of effective areas of a multilayer-coated Wolter-I mirror, as in Fig. 9, but with the source at a finite distance ( |
| Open with DEXTER | |
| In the text | |
![]() |
Figure B.1:
Double reflection of an off-axis ray (dashed line) on a double cone mirror. Also shown are the direction vectors of the ray, and the normal vectors to the surface,
|
| Open with DEXTER | |
| In the text | |
Copyright ESO 2009
Current usage metrics show cumulative count of Article Views (full-text article views including HTML views, PDF and ePub downloads, according to the available data) and Abstracts Views on Vision4Press platform.
Data correspond to usage on the plateform after 2015. The current usage metrics is available 48-96 hours after online publication and is updated daily on week days.
Initial download of the metrics may take a while.

![\begin{figure}
\par\includegraphics[width=8.8cm,clip]{12668f01.eps}
\end{figure}](/articles/aa/full_html/2009/37/aa12668-09/Timg25.png)


![\begin{figure}
\par\includegraphics[width=9cm,clip]{12668f02.eps}
\end{figure}](/articles/aa/full_html/2009/37/aa12668-09/Timg45.png)





![\begin{figure}
\includegraphics[width=8.8cm,clip]{12668f03.eps}
\end{figure}](/articles/aa/full_html/2009/37/aa12668-09/Timg70.png)
![\begin{figure}
\par\includegraphics[width=8.8cm,clip]{12668f04.eps}
\end{figure}](/articles/aa/full_html/2009/37/aa12668-09/Timg71.png)



![\begin{figure}
\par\includegraphics[width=8.8cm,clip]{12668f05.eps}
\end{figure}](/articles/aa/full_html/2009/37/aa12668-09/Timg105.png)







![\begin{displaymath}A_{\infty}(\theta) \stackrel{\theta > \alpha_0}{=} A_{\infty}...
...\alpha_0^2}-1}+\arccos\frac{\alpha_0}{\theta}\right)\right]\!,
\end{displaymath}](/articles/aa/full_html/2009/37/aa12668-09/img145.png)

![\begin{displaymath}A_{D}(\theta)= A_{\infty}(0) \left[1 - \frac{2\delta}{\pi\alp...
...a}{\theta}+ \sqrt{\frac{\theta^2}{\delta^2}-1}~\right)\right].
\end{displaymath}](/articles/aa/full_html/2009/37/aa12668-09/img159.png)

![$\displaystyle \!\!\!\left. \frac{1}{\pi\alpha_0}\left[\sqrt{\theta^2-(\alpha_0-...
...} -(\alpha_0-\delta)\arccos\frac{\alpha_0-\delta}{\theta}\right]\right\}\!\cdot$](/articles/aa/full_html/2009/37/aa12668-09/img165.png)
![\begin{figure}
\includegraphics[width=8.8cm,clip]{12668f06.eps}
\end{figure}](/articles/aa/full_html/2009/37/aa12668-09/Timg168.png)


![\begin{figure}
\par\includegraphics[width=8.8cm,clip]{12668f07.eps}
\end{figure}](/articles/aa/full_html/2009/37/aa12668-09/Timg184.png)
![\begin{figure}
\par\includegraphics[width=8.8cm,clip]{12668f08.eps}
\end{figure}](/articles/aa/full_html/2009/37/aa12668-09/Timg185.png)
![\begin{figure}
\par\includegraphics[width=8.8cm,clip]{12668f09.eps}
\end{figure}](/articles/aa/full_html/2009/37/aa12668-09/Timg191.png)
![\begin{figure}
\includegraphics[width=9cm,clip]{12668f10.eps}
\end{figure}](/articles/aa/full_html/2009/37/aa12668-09/Timg192.png)



![\begin{figure}
\par\includegraphics[width=8.8cm,clip]{12668f11.eps}
\end{figure}](/articles/aa/full_html/2009/37/aa12668-09/Timg214.png)












