Issue |
A&A
Volume 505, Number 2, October II 2009
|
|
---|---|---|
Page(s) | 577 - 587 | |
Section | Extragalactic astronomy | |
DOI | https://doi.org/10.1051/0004-6361/200811136 | |
Published online | 03 August 2009 |
The baryonic Tully-Fisher relation and its implication for dark matter halos![[*]](/icons/foot_motif.png)
C. Trachternach1 - W. J. G. de Blok2 - S. S. McGaugh3 - J. M. van der Hulst4 - R.-J. Dettmar1
1 - Astronomisches Institut, Ruhr-Universität
Bochum, Universitätsstraße 150, 44780 Bochum, Germany
2 -
Department of Astronomy, University of Cape Town, Private Bag
X3, Rondebosch 7701, South Africa
3 -
Department of Astronomy, University of Maryland, College Park, MD 20742-2421, USA
4 -
Kapteyn Astronomical Institute, University of Groningen, Postbus 800, 9700 AV Groningen, The Netherlands
Received 12 October 2008 / Accepted 28 July 2009
Abstract
Context. The baryonic Tully-Fisher relation (BTF) is a fundamental relation between baryonic mass and maximum rotation velocity. It can be used to estimate distances, as well as to constrain the properties of dark matter and its relation with the visible matter.
Aims. In this paper, we explore if extremely low-mass dwarf galaxies follow the same BTF relation as high-mass galaxies. We quantify the scatter in the BTF relation and use this to constrain the allowed elongations of dark matter halo potentials.
Methods. We obtained H I synthesis data of 11 dwarf galaxies and derive several independent estimates for the maximum rotation velocity.
Results. Constructing a BTF relation using data from the literature for the high-mass end, and galaxies with detected rotation from our sample for the low-mass end results in a BTF with a scatter of 0.33 mag.
Conclusions. This scatter constrains the ellipticities of the potentials in the plane of the disks of the galaxies to an upper limit of 0-0.06, indicating that dwarf galaxies are at most only mildly tri-axial. Our results indicate that the BTF relation is a fundamental relation which all rotationally dominated galaxies seem to follow.
Key words: dark matter - galaxies: kinematics and dynamics - galaxies: dwarf - galaxies: fundamental parameters
1 Introduction
The Tully-Fisher (TF) relation (Tully & Fisher 1977), the relation between the luminosity and rotation velocity of a galaxy, has been extensively used to estimate extragalactic distances (e.g., Pierce & Tully 1988; Springob et al. 2007; Sakai et al. 2000; Tully & Pierce 2000; Willick et al. 1997). In the usual ``classical'' interpretation, luminosity is a proxy for the stellar mass, which in turn depends on the total (visible and dark) mass and through it on the rotation velocity. The slope and zero point of this classical TF relation do not depend on the central surface brightness of galaxies (Zwaan et al. 1995), though for very low mass dwarf galaxies, the slope tends to steepen (e.g., Matthews et al. 1998; McGaugh et al. 2000). Low-mass dwarf galaxies are apparently underluminous given their rotation velocity and therefore fall below the TF relation as defined by the high mass galaxies. A single linear relation can be restored if one replaces the luminosity (or stellar mass) with the baryonic disk mass, thus including the gas mass as well (McGaugh et al. 1999,2000). This relation is called the baryonic Tully-Fisher (BTF) relation and has been studied by many authors in the last few years (e.g., McGaugh 2005; Geha et al. 2006; McGaugh 2004; De Rijcke et al. 2007; Bell & de Jong 2001; Verheijen 2001; Noordermeer & Verheijen 2007; Gurovich et al. 2004; Stark et al. 2009).
The existence of a (baryonic) Tully-Fisher relation places severe
constraints on galaxy formation and evolution theories
(cf. McGaugh & de Blok 1998b; Eisenstein & Loeb 1996; McGaugh & de Blok 1998a; Blanton et al. 2008; Mo et al. 1998; Steinmetz & Navarro 1999). For example, Franx & de Zeeuw (1992) note
that the observed scatter in the TF relation places upper limits on
the elongation of dark matter halos. They find that that the
ellipticity of the potential in the plane of the disk is most likely
between 0 and 0.06. This is in good agreement with what
Trachternach et al. (2008) found observationally for a sample of 18 dwarf
and spiral galaxies from the THINGS survey (Walter et al. 2008; de Blok et al. 2008), but in disagreement with results from CDM simulations
which predict more elongated potentials (e.g., Hayashi & Navarro 2006; Frenk et al. 1988). The smaller scatter in the observed BTF relation
(e.g., McGaugh 2005), means that it can be used to put
similar constraints on lower mass galaxies as well. This was recently
shown by Stark et al. (2009) who studied the BTF for a large sample of
dwarf galaxies with resolved H I rotation curves, and found a linear
BTF relation with small scatter.
Table 1: Properties of the data.
The low mass end of the BTF relation has also been studied by Geha et al. (2006) and Kovac (2007). They measure line widths and after correcting these for broadening due to turbulent motion of the H I, they find that the extreme dwarf galaxies of their sample follow the same BTF relation as the high mass galaxies, albeit with a larger scatter. This increased scatter is most likely a result of their use of the W20 profile. Broeils (1992) and Verheijen (1997) already pointed out that using the maximum rotation velocity from a resolved rotation curve significantly decreases the scatter as compared to using line width measurements.
In this paper, we attempt to determine several independent estimates
for the maximum rotation velocity (
)
for a sample of
extremely low-mass dwarf galaxies. Doing this, we can check whether
these galaxies follow the same tight correlation between baryonic disk
mass and rotation velocity as their high mass counterparts. As a
reference, we use the sample of McGaugh (2005), for which
well-determined estimates for
exist based on
analysis of well-resolved rotation curves. For an in-depth description
of the comparison sample, the reader is referred to
McGaugh (2005) and references therein.
The paper is organized as follows: in Sect. 2 we describe the
observations and the data reduction, which is followed by a
description of the different methods in estimating
in Sect. 3. We comment the individual galaxies in Sect. 4, and
present further analysis and our results in Sect. 5. We summarize
our results and give our conclusions in Sect. 6. The Appendix
contains moment maps, position-velocity diagrams and channel maps of
our sample galaxies.
2 The data
Our sample was selected from the larger sample of
Schombert et al. (1997), which is one of the largest samples of extreme
field dwarf galaxies for which both line width measurements and H I masses (Eder & Schombert 2000), as well as optical photometry
(Pildis et al. 1997) exist. The galaxies were chosen to be relatively
nearby (
), have suitable optical
inclinations for potential derivation of their rotation curves (
), and to have V- and I-band photometry available.
2.1 Observations
Observations were carried out at the Westerbork Synthesis Radio Telescope (WSRT) in maxi-short configuration, in the 21-cm line of neutral hydrogen. We use both polarizations and sample 1024 channels with a bandwidth of 10 MHz or 20 MHz (corresponding to velocity resolutions of 2.10 or 4.12 km s-1). The sample integration time was set to 60 s. Further observational details are summarized in Table 1.
2.2 Data reduction
The calibration and data reduction of the data is performed using standard routines in MIRIAD![[*]](/icons/foot_motif.png)
The line-free channels (i.e., the channels containing only continuum
emission) were used to create a continuum image. This image was used
to self-calibrate the data. After the self-calibration and continuum
subtraction, image cubes were created using the robust weighting
scheme (Briggs 1995) with a robust parameter of zero for all
galaxies. These image cubes were then cleaned down to a level of
1
.
For a list of the beam sizes and noise levels, see
Table 1. We additionally created Hanning
smoothed data cubes, which were used for the creation of the H I profiles and the derivation of the velocity widths.
Using GIPSY, we created zeroth, first and second
moment maps of all galaxies. In order to isolate significant signal,
we smoothed the data cubes to half the original resolution and only
retained pixels with values >2.5 times the (smoothed) noise
value. Spurious pixels were blotted by hand. This smoothed and blotted
data cube was used as a mask for the original data cube. We determined
the number of channels with significant emission contributing to each
unblanked pixel in the unsmoothed moment maps and created a map
containing the signal-to-noise (S/N) of each pixel in the total
intensity (zeroth moment) map. Using this map, we determined the
average pixel value in the zeroth moment map corresponding
to a S/N=3, and clip all moment maps using this flux limit.
Channel maps and moment maps are presented in the Appendix.
3 Estimating the maximum rotation velocity
In order to construct a (baryonic) Tully-Fisher relation, one needs to estimate the maximum (outer) rotation velocity (
3.1 H 8pt10ptI velocity profile
The simplest way is to use the width W of the global H I velocity profile, usually measured at the 20 (50) percent level of the maximum intensity, and denoted as W20 (W50). The advantage in using the profile width is that it is easy to measure and can be derived using low resolution data. The drawback is that one cannot distinguish between rotation and turbulence. This uncertainty matters little for large, fast rotating spiral galaxies. However, as one goes to smaller and more slowly rotating galaxies, turbulent motions will start to contribute significantly to the total width of H I profiles (cf. Verheijen 1997). In our analysis, we use the velocity profiles from the Hanning smoothed data cubes and correct them for instrumental broadening and turbulent motion. The corrections applied are addressed and discussed more fully in Sect. 5.2.
3.2 Major axis position-velocity diagram
An alternative way to derive
The pV-diagram is potentially able to better constrain the the maximum rotation curve velocity than W20 and W50 values (Verheijen 2001).
3.3 Tilted-ring models
A third method for the derivation of
is a tilted-ring
model, in which the kinematics of a galaxy are described using a set
of concentric rings. Each of these rings can have its own center
position
(x0, y0), systemic velocity
,
rotation
velocity
,
inclination i, and position angle PA. The
pre-requisite for this method is a resolved velocity field showing
signs of rotation.
For the galaxies in our sample that meet this criterion, we derive
rotation curves using the GIPSY task ROTCUR. Assuming that the gas
moves on circular orbits, the line-of-sight velocity can be expressed
as:
Here,

![]() |
(3) |
and
![]() |
(4) |
The PA is measured counter-clockwise from the north to the major axis of the receding side of the galaxy. As positions along the major axis of a galaxy carry more rotational information than positions near the minor axis, we weight the individual data points by

The derivation of a rotation curve is generally an iterative process
involving the consecutive determination of the various tilted-ring
parameters. Following is a general description of the procedure
applied. In order to get good initial estimates for i, PA, and the
center position, we fit isophotes at varying intensity levels to the
H I total intensity maps, taking care that the results are not
affected by small-scale structures. As initial estimates for
and
,
we use the central velocities of the W50 profile and
W50
,
respectively.
In the first tilted-ring fit, we determine the systemic velocity by
keeping all parameters except
and
fixed.
In a second run, we derive the position of the dynamical center
leaving by leaving (only) the central position of the rings and
unconstrained. In a third fit, we determine the
position angle by leaving only PA, i and
as free
parameters. As in most cases we sample the rotation curves with
relatively few (
10) tilted-rings, we approximate the fitted
values either by a constant or linearly changing PA. Once the PA is
modeled in such a way, we make another fit with only i (and
)
as free parameters and derive the inclination of the
galaxy. We do not model any radial trends for the inclination. In a
last run, we determine the rotation curve by keeping all parameters
except
fixed at their best determined values. The
maximum velocity of the rotation curve derived in this way will be
referred to as Vvf hereafter.
Table 2: Derived parameters for the profile width sub-sample.
Table 3: Derived parameters for the rotation curve sub-sample.
4 Comments on individual galaxies
In this section, we present our results for the individual galaxies.
Unless mentioned otherwise, the distances given in the following
sections are calculated by correcting the systemic velocities of the
galaxies for Virgocentric infall (following the formalism presented in
Mould et al. 2000), and assuming a Hubble flow with a Hubble
constant of
.
Given the different
distance outcomes of different flow models, we use half the difference
between the minimum and maximum flow-corrected distances reported in
NED as an indication of the uncertainty in the distance. Where
independent distance measurements through measurements of the
luminosity of the tip of the red giant branch are available, we adopt
the distances and uncertainties listed in the source paper.
4.1 Sub-samples
As will be discussed extensively in Sect. 5.4, we will split our sample into two sub-samples, namely the ``profile width'' sub-sample and the ``rotation curve'' sub-sample. The profile width sub-sample contains the galaxies for which it proved impossible to derive a maximum rotation velocity from either the tilted-ring analysis (Vvf) or from the position-velocity diagram (Vpv). For this sample, therefore, only W20 and W50 measurements are available. Their properties are summarized in Table 2. The rotation curve sub-sample is summarized in Table 3. It contains the galaxies for which we were able to derive Vvf and/or Vpv (in addition to W20 and W50).
In the Appendix, we show for all galaxies presented in this paper a summary panel consisting of moment maps, major and minor axis position-velocity diagrams and the global H I profile. We additionally show channel maps for the galaxies of the rotation curve sub-sample.
4.2 D500-2 (Data presented in Figs. 1, A.1, and A.12)
D500-2 is also known as UGC 5716 and is classified as an Sm galaxy.
We assume a distance of
Mpc. The global H I profile of D500-2
(cf. Fig. A.1) shows the double-horned profile
typical for spiral galaxies, and its velocity field indicates that
D500-2 is clearly dominated by rotation. We fit ellipses using the
zeroth moment map at a few representative intensity levels. The
resulting inclination of the H I disk, corrected for the beam size,
is
.
The parameters from these isophote fits are
used as initial estimates for the tilted-ring analysis. The width of
the rings is set to 11
.
The systemic velocity as derived in
the first tilted-ring fit shows only small radial variation. Its mean
value is
,
identical to the the central
velocity of the W50 profile. Fixing the systemic velocity,
we derive the dynamical center in a new fit by averaging the
(x0, y0) values over the entire radial range. The resulting
central position (cf. Table 3) is in good
agreement with the optical center from NED and with that derived from our
ellipse fits to the zeroth moment map. Keeping the center position fixed for the
subsequent tilted-ring fits, we derive the PA and inclination angle. The
position angle shows a linear decrease from 350
in the center to 340
in the outer parts.
The inclination is then determined in an additional fit by averaging
the inclination values for
.
The resulting kinematic
inclination is
,
which agrees with the
(beam corrected) inclination of the H I disk. In a last tilted-ring
fit, we derive the rotation velocity by keeping all parameters except
fixed to their previously derived values. After a gentle
inner rise, the rotation curve of D500-2 reaches a flat part at a
velocity of
.
The rotation curve, as well as the
radial distributions for PA and
are shown in
Fig. 1. The maximum rotation velocity from the
pV-diagram is
.
![]() |
Figure 1: Tilted-ring analysis of D500-2. From top to bottom, the radial distributions of the rotation velocity, the inclination angle, and the position angle are shown. The data points in the center and bottom panel indicate the values derived for i and PA as free parameters. The solid lines indicate the values adopted to derive the rotation curve shown in the top panel. |
Open with DEXTER |
4.3 D500-3 (Data presented in Figs. A.2 and A.13)
D500-3 is a dwarf irregular (dI) at a distance of
Mpc. Its
velocity field (cf. Fig. A.2) indicates solid-body
rotation throughout the entire disk, as confirmed by the pV-diagram.
We fit isophotes to different intensity levels in the zeroth moment
map and find an inclination of the H I disk
.
This
value is somewhat smaller than the optical I-band inclination
of
as given in Pildis et al. (1997). Because of
the large H I beam size, we consider the optical inclination superior
to the H I inclination and use it in our further analysis. The
solid-body rotation and the limited spatial resolution make it
impossible to derive a well-determined rotation curve using
tilted-ring models. We are, however, able to get an estimate for the
maximum rotation velocity by using the position-velocity diagram and
find
.
4.4 D512-2 (Data presented in Figs. 2, A.3, and A.14)
D512-2 is a galaxy of Hubble type Sm. We assume a distance of
Mpc. The velocity field of D512-2 shows signs of solid-body rotation
in its inner parts. We fit ellipses at a number of representative
intensity levels in the zeroth moment map and derive an inclination of
the H I disk of
(corrected for the beam
size). Because the apparent size of D512-2 is small, we do not fit the
center position or the systemic velocity using tilted-ring fits. For
the center position, we adopt the estimate derived from the ellipse
fitting, which is in good agreement with the position of the optical
center. For the systemic velocity, we use the central velocity of the
W50 profile. Keeping the center and the systemic velocity fixed, we
derive an average position angle
from the tilted
ring fit, choosing the width of the tilted-rings to be 13
.
The
position angle is then kept fixed for a subsequent tilted-ring fit to
estimate i. Averaging the resulting inclination values yields
,
which is consistent with the values
discussed above. Using the kinematic inclination, we determine the
rotation curve in a last tilted-ring run leaving only
unconstrained. The rotation curve (cf. Fig. 2)
confirms what was already suggested by the velocity field: a
solid-body rotation in the inner parts and a flat part in the outer
regions. The rotation velocity of the flat part of the rotation curve
is
.
From the pV-diagram, we estimate the
(inclination corrected) maximum rotation velocity to be
.
![]() |
Figure 2: Tilted-ring analysis of D512-2. The layout is identical to that of Fig. 1. |
Open with DEXTER |
4.5 D564-8 (Data presented in Figs. 3, A.4, and A.15)
For the dwarf irregular D564-8 (also known as F564-V3, see
de Blok et al. 1996), we assume a distance of
Mpc.
The global H I profile of D564-8 is asymmetric with its peak flux
density towards the receding side of the galaxy. The asymmetry of the
global H I profile can be traced also in the pV-diagram. The
maximum rotation velocity, obtained from the pV-diagram is
.
We use ellipse fitting to the zeroth moment map to
derive initial estimates for our tilted-ring fits. We set the width
of the tilted-rings to 12
.
In the first tilted-ring fit, we
derive a systemic velocity of
,
which
agrees well with the central velocity of the W50 profile. In a
subsequent fit, we derive the dynamical center by averaging the values
for x0 and y0 over the entire radial range. The resulting
center (cf. Table 3) agrees to within a
few arcseconds with the optical center from NED. In two subsequent
tilted-ring fits, we derive the PA and inclination by averaging the
individual measurements over the radial range, excluding the innermost
(deviant) data point. The resulting inclination (
)
is larger than both the one derived from the H I disk
(
), and the optical inclination (
,
Pildis et al. 1997). However, an inclination of 50
,
or even
35
can be ruled out by our kinematic data. Keeping all
parameters except the rotation velocity fixed to their best estimates,
we derive the rotation curve of D564-8. The maximum rotation velocity
is
(see Fig. 3).
![]() |
Figure 3: Tilted-ring analysis of D564-8. The layout is identical to that of Fig. 1. |
Open with DEXTER |
4.6 D565-5
The WSRT observations of D565-5 do not detect any emission at the reported position and redshift. We do, however, see strong emission from the nearby galaxy NGC 2903 at the edge of the primary beam. The agreement of the apparent velocity of this emission with that of the Schombert et al. (1997) detection suggests that the latter detection was simply NGC 2903 emission that was picked up with the larger single-dish beam.
4.7 D572-5 (Data presented in Fig. A.5)
D572-5 is an irregular galaxy at a distance of

4.8 D575-1 (Data presented in Fig. A.6)
D575-1, also known as IC 3810, is classified as an Sm/Irr galaxy. We assume a distance of


4.9 D575-2 (Data presented in Figs. 4, A.7, and A.16)
D575-2, or UGC 8011, is a galaxy of the Hubble type Im, with an
assumed distance of
Mpc. It was not possible to estimate Vpvfrom the position-velocity diagram. The galaxy is kinematically
lopsided, which can be seen in the differences in the velocity
contours between the approaching and receding side. Using ellipse
fitting, we determine the inclination of the H I disk to be
,
which is somewhat less inclined than what
Pildis et al. (1997) found optically (
). With the
H I ellipse fitting results as initial estimates for a tilted-ring
analysis and adopting a width of the tilted-rings of 14
,
we
determine a systemic velocity of
.
This agrees to within 2 km s-1 with the center of the W50profile. Fixing the systemic velocity, we determine a position of the
dynamical center (see Table 3) in
excellent agreement with the optical center as given in NED. Leaving
PA and i unconstrained, we find a gradual decrease of the position
angle from
230
in the inner parts to
210
in the outskirts of D575-2. Fixing the PA to these values, we derive
the inclination by averaging over all data points. The resulting inclination (
)
is halfway between the optical inclination and the one from
the H I disk. Keeping the inclination fixed to the kinematic
estimate, we derive the rotation curve of D575-2 (see
Fig. 4). After a linear increase in the inner
parts of the galaxy, the rotation velocity reaches a flat part at
74 km s-1.
![]() |
Figure 4: Tilted-ring analysis of D575-2. The layout is identical to that of Fig. 1. |
Open with DEXTER |
4.10 D575-5 (Data presented in Fig. A.8)
D575-5 is classified as a dwarf irregular at an assumed distance of




4.11 D631-7 (Data presented in Figs. 5, A.9, and A.17)
D631-7 is also known as UGC 4115 and is classified as a dwarf
irregular. Karachentsev et al. (2003) estimate its distance to be
Mpc using the luminosity of the tip of the red giant branch. The
global H I profile of D631-7 is single-peaked. Its velocity field is
well-resolved and shows clear signs of rotation. The major axis
pV-diagram shows indications of a flat rotation curve in the
outer parts of the galaxy. Ellipse fitting yields an inclination of
the H I disk
.
The ellipse fit results are used as initial
estimates for the tilted ring analysis. The width of the rings is set
to 12
.
In the first tilted-ring fit, we derive a systemic
velocity of
,
which agrees well with the
center of the W50 profile. The dynamical center is fitted in the
second run with ROTCUR. The resulting center position is given in
Table 3, and agrees to within 1
with the optical center as given by NED. The PA of D631-7 is obtained
in a subsequent fit with ROTCUR and shows a gradual increase from
318
in the inner parts to
330
in the
outer parts. Fixing the PA to these values, we derive the kinematic
inclination of D631-7 to be
by
averaging the individual tilted-ring values for
.
This is in good agreement with the inclination of the
H I disk (
), but more face-on than the optical
inclination (
,
derived
by Pildis et al. 1997). Keeping all parameters except VROT fixed, we
determine the rotation curve of D631-7 (see
Fig. 5). It shows the typical solid-body
rotation in the inner parts, but reaches a flat part at
.
Assuming the kinematical inclination we derive
from the pV diagram.
![]() |
Figure 5: Tilted-ring analysis of D631-7. The layout is identical to that of Fig. 1. |
Open with DEXTER |
4.12 D640-13 (Data presented in Fig. A.10)
D640-13 is an Im/Sm type galaxy with an adopted distance of


4.13 D646-7 (Data presented in Fig. A.11)
D646-7 (or UGC 8091) is classified as an irregular dwarf galaxy for which Karachentsev et al. (2003) estimate a distance of


5 Analysis
In the previous section, we have derived several estimates for the maximum rotation velocities of the galaxies in our sample. Before using them to construct a BTF, we discuss our choices for the stellar mass-to-light ratios (
5.1 The choice of the stellar mass-to-light ratio
One of the largest contributors to the scatter in baryonic mass is the
assumed value for the stellar mass-to-light ratio




![]() |
Figure 6:
Stellar I-band mass-to-light ratio (
|
Open with DEXTER |
![]() |
Figure 7:
The ratio of the stellar mass from Bell & de Jong (2001) and
Portinari et al. (2004) vs. the implied baryonic mass.
Baryonic masses derived using the Bell & de Jong (2001) stellar masses
are shown as filled circled; baryonic masses derived using the
Portinari et al. (2004) models as open circles. It is clear the
choice of
|
Open with DEXTER |
It is immediately apparent that the
from Bell & de Jong (2001) are
consistently larger than the ones from Portinari et al. (2004). Although
this difference can amount to a factor close to three, the impact on
the baryonic mass (i.e., the sum of the stellar mass and the gas mass)
is rather small, as can be seen in
Fig. 7, where, for each galaxy, we
compare the ratio of the two different stellar mass assumptions
against the baryonic mass implied by the respective
values. In
the following analysis we will adopt the average
values implied
by the two models. The individual mass-to-light ratios are listed in
Table 4.
Table 4: Stellar, gas, and baryonic masses.
5.2 Line width corrections
The rotation velocities derived using the profile widths W20 and W50,
still need to be corrected for instrumental velocity resolution and turbulence.
To correct for the instrumental resolution, we use the approach of
Verheijen (1997):
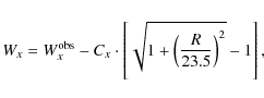
where the subscript x refers to the chosen profile width measure (i.e., x=20 for W20 and x=50 for W50), R is the instrumental resolution in km s-1 (cf. Col. (9) in Table 1), and Cx is a constant, equal to C20=35.8 for the W20 profile and C50=23.5 for the W50 profile. The ``obs'' superscript in

In addition to broadening due to finite velocity resolution, we correct
the velocity widths for broadening due to turbulent motion of the
neutral gas. Following Tully & Fouque (1985), we use
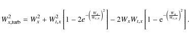
The subscript x again refers to the profile width measured at 20 or 50 percent of the peak flux; Wx indicates velocity widths already corrected for instrumental resolution following Eq. (5). The Wc,x values represent the typical velocity widths where the shapes of the velocity profiles change from boxy (double-horned) to Gaussian; the constants Wt,xindicate the amount by which turbulent motion of the neutral gas broadens the H I profile. For the choice of Wc,x and Wt,x, we follow Verheijen (1997), who assumes a turbulent motion of the gas with a velocity dispersion of 10 km s-1 and values of




5.3 Sources of uncertainties
5.3.1 Uncertainty in
The uncertainty in




For the uncertainty in the derived inclination angle, we distinguish
between galaxies with a kinematically derived inclination, and those
where we had to use the optical inclination or that of the H I disk.
For the former category, we adopt the scatter of the inclination
values of the individual tilted-ring models (see middle panels in
Figs. 1-5) as the
inclination uncertainty (see Col. (13) of Table 3). The average value of the
uncertainties in these kinematically derived inclinations is
and is used as the uncertainty in the inclination angles of the
remaining galaxies. The total uncertainty of the
(inclination-corrected) maximum rotation velocity is then calculated
using Gaussian error propagation.
![]() |
Figure 8:
The baryonic Tully-Fisher
relation using four different estimates for
|
Open with DEXTER |
5.3.2 Uncertainty of the baryonic mass
The baryonic mass is the sum of the stellar mass and the gas mass:
The stellar mass is calculated through
where


The second term contributing to the baryonic disk mass is
,
the mass of the gas, which is given by:
where


5.4 The baryonic Tully-Fisher relation
In this section we present the baryonic Tully-Fisher relation for the galaxies of our sample, using the different estimates for
with the baryonic mass in

For the construction of a BTF relation using our galaxies, we use the
four different estimates for
derived earlier. To
recapitulate, these are:
- (a)
- Vvf, obtained from a tilted-ring analysis of the velocity fields;
- (b)
- Vpv, obtained from fitting the outer parts in major-axis position-velocity diagrams;
- (c)
- VW20, obtained from
, the rotation velocity as derived from half the (corrected) width of the H I profile at the 20 percent level of the maximum flux;
- (d)
- VW50, obtained from
, the rotation velocity as derived from half the (corrected) width of the H I profile at the 50 percent level of the maximum flux.
In Fig. 8, we show the baryonic Tully-Fisher relation
for the galaxies of our sample using the different velocity
estimates. The uncertainties are discussed in
Sect. 5.3. In Fig. 8, we
distinguish between galaxies in which clear signatures of rotation
were detected in the position-velocity diagram and/or the velocity
field (Vpv and/or Vvf available in addition to VW20 and
VW50; the rotation curve sub-sample), and galaxies for which no
clear rotation was detectable (only VW20 and VW50 available;
the profile-width sub-sample). For all four measures of
,
the galaxies in the rotation curve sub-sample are consistent with the
BTF as derived in McGaugh (2005) and Stark et al. (2009).
A few galaxies in the profile-width sub-sample are also consistent with a line-width-based BTF, but the majority of these galaxies are found to the left of the extrapolated BTF. This may indicate an increased scatter at the low line-width end of a line-width based BTF. Alternatively, the galaxies may be more face-on than indicated by the optical or H I inclinations (e.g., D575-5), or they may not be supported by rotation. Without independent and/or resolved measures of the rotation velocity and the kinematic inclinations, it is difficult to say anything further on these galaxies.
In the following we therefore restrict our analysis to those galaxies which have a well resolved velocity field which allowed us to derive a rotation curve or - at the very least - a maximum rotation velocity using the position-velocity diagram (consistent with the procedure used in McGaugh 2005 and Stark et al. 2009). We emphasize that this is our only selection criterion. We do not preferentially select against galaxies that are not on the BTF, (in fact, one of the profile-width-only galaxies (D572-5) is right on the BTF), and we include all galaxies for which Vpv or Vvf could be determined regardless of their position in the BTF diagram.
5.5 The scatter of the BTF
The panels in Fig. 8 clearly show that the data points
from our rotation curve sample agree well with the BTF relation from
McGaugh (2005) as given in Eq. (10). This
relation was derived using resolved observations of the flat parts of
the rotation curves of the sample galaxies. Including our five
galaxies with measured values of Vvf yields a revised BTF of the
form
This is remarkably close to the revised BTF presented in Stark et al. (2009), which extends the McGaugh (2005) BTF with an independent sample of low-mass gas-rich galaxies. They find
The three fits given in Eqs. (10), (11) and (12) are statistically identical.
For comparison, Bell & de Jong (2001) find a slope of 3.5 for a
subsample of the McGaugh (2005) sample, but choose different
values than McGaugh (2005) does. Using identical
values
yields identical slopes. Work by Geha et al. (2006) gives a slope of 3.7, De Rijcke et al. (2007) find a slope of 3.15, but this includes
early-type galaxies. An analysis by Meyer et al. (2008) of H I-selected
galaxies gives a steeper slope of 4.35. The majority of these studies
deal with massive galaxies, dominated by stars, and are therefore
sensitive to assumptions on
.
The new data presented here provide a
test of the slope extrapolated from the fit to higher mass galaxies
that do not overlap with this sample, and prefer a slope of
4. This is also the conclusion of Stark et al. (2009) who calibrate
the BTF using only gas-dominated galaxies, independent of assumptions
on
.
They find a slope of 3.94 (Eq. (12)). If a
single, unbroken BTF exists, this can only imply that the slope at the
high mass end must also be close to 4.
We now return to the conclusions of Franx & de Zeeuw (1992), who use the scatter of the TF relation to put constraints on the ellipticity of dark matter halos. They argue that if the potential in the plane of the disk is elongated, then the different viewing angles will cause scatter in the TF relation. In return, the scatter of the (B)TF relation can be used to put an upper limit on the ellipticity of the potential in the plane of the disk. According to Franx & de Zeeuw (1992), a TF relation with a scatter of 0.31 mag (0.46 mag when photometric inclinations are used) constrains the ellipticities of the potentials to be below 0.10. As it is unlikely that all the scatter in the TF relation is due to different viewing angles, they argue that an elongation between 0 and 0.06 is reasonable.
Since the work of Franx & de Zeeuw (1992), the quantity and quality of the
data have improved significantly and we can now trace the BTF relation
over a large range of galaxy masses and rotation velocities. The
scatter in the optimum BTF from McGaugh (2005) is
dex, or 0.25 mag. Including our galaxies results in a slightly larger
scatter (
or
)
- mainly
because the distances to our galaxies are more uncertain. This
scatter is only marginally larger than the scatter on which
Franx & de Zeeuw (1992) based their upper limits for the ellipticity of the
potentials in the disk plane.
Their arguments equally apply to our sample. As the small scatter in
the BTF holds down to rotation velocities of
,
it
follows that the elongation of the potentials of these galaxies cannot
be very large, and similar limits as those derived by
Franx & de Zeeuw (1992), also apply to our galaxies. The upper limit on
elongation of the potential of 0.06 is consistent with the results
derived by Trachternach et al. (2008) who use harmonic decompositions of
the velocity fields of 18 nearby well-resolved galaxies from the
THINGS survey (Walter et al. 2008; de Blok et al. 2008) to put constraints on the
elongation of the potential in the plane of the disk. They find that
the the average elongation of the potential is small (
), particularly when compared to what is found in CDM
simulations (cf. Hayashi & Navarro 2006; Frenk et al. 1988).
Trachternach et al. (2008) also find that the elongation does not increase
towards the center of the galaxies. The tightly correlated BTF
relation presented in this paper constrains the ellipticity of galaxy
potentials using a different method, but reaches similar results.
6 Conclusions
We present new H I observations of a sample of low-mass dwarf
galaxies and use these to explore and extend the baryonic Tully-Fisher
(BTF) relation at low rotation velocities and galaxy masses. We
present and discuss several estimates for
,
the
maximum rotation velocity. For galaxies where a clear rotation signal
could be detected, the different estimates are in good agreement and
the BTF relations based on them are equally well-constrained. We
discuss the choice of stellar mass-to-light ratio (
)
and show that
its choice is not crucial for the extreme dwarf galaxies in our
sample, since for them, the stellar mass generally contributes less to
the total baryonic mass than is the case for luminous high-mass
galaxies.
The small scatter in the BTF presented here (
)
puts strong constraints on the ellipticity of the
potential in the plane of the disk of the galaxies. Our results are
in agreement with those from Franx & de Zeeuw (1992), Franx et al. (1994), and
Trachternach et al. (2008), indicating that, at least in the plane of the
disk, galaxy halos are not very elongated. The small scatter in the
BTF over almost 5 orders of magnitude of baryonic mass indicates it is
a fundamental relation which tightly couples the visible baryonic
matter and the dark matter content of galaxies.
Acknowledgements
C.T. would like to thank Janine van Eymeren and Volker Knierim for many stimulating discussions. We also thank the anonymous referee for valuable comments. The work of C.T. is supported by the German Ministry for Education and Science (BMBF) through grant 05 AV5PDA/3. The work of W.J.G.d.B. is based upon research supported by the South African Research Chairs Initiative of the Department of Science and Technology and National Research Foundation. The Westerbork Synthesis Radio Telescope is operated by the ASTRON (Netherlands Foundation for Research in Astronomy) with support from the Netherlands Foundation for Scientific Research (NWO). This research has made use of the NASA/IPAC Extragalactic Database (NED) which is operated by the Jet Propulsion Laboratory, California Institute of Technology, under contract with the National Aeronautics and Space Administration.
References
- Bell, E. F., & de Jong, R. S. 2001, ApJ, 550, 212 [NASA ADS] [CrossRef]
- Blanton, M. R., Geha, M., & West, A. A. 2008, ApJ, 682, 861 [NASA ADS] [CrossRef]
- Bothun, G. D. 1985, AJ, 90, 1982 [NASA ADS] [CrossRef] (In the text)
- Briggs, D. S. 1995, in BAAS, 27, 1444 (In the text)
- Broeils, A. H. 1992, Ph.D. Thesis, Univ. Groningen (In the text)
- de Blok, W. J. G., McGaugh, S. S., & van der Hulst, J. M. 1996, MNRAS, 283, 18 [NASA ADS] (In the text)
- de Blok, W. J. G., Walter, F., Brinks, E., et al. 2008, AJ, 136, 2648 [NASA ADS] [CrossRef]
- De Rijcke, S., Zeilinger, W. W., Hau, G. K. T., Prugniel, P., & Dejonghe, H. 2007, ApJ, 659, 1172 [NASA ADS] [CrossRef]
- Eder, J. A., & Schombert, J. M. 2000, ApJS, 131, 47 [NASA ADS] [CrossRef] (In the text)
- Eisenstein, D. J., & Loeb, A. 1996, ApJ, 459, 432 [NASA ADS] [CrossRef]
- Franx, M., & de Zeeuw, T. 1992, ApJ, 392, L47 [NASA ADS] [CrossRef] (In the text)
- Franx, M., van Gorkom, J. H., & de Zeeuw, T. 1994, ApJ, 436, 642 [NASA ADS] [CrossRef] (In the text)
- Frenk, C. S., White, S. D. M., Davis, M., & Efstathiou, G. 1988, ApJ, 327, 507 [NASA ADS] [CrossRef]
- Geha, M., Blanton, M. R., Masjedi, M., & West, A. A. 2006, ApJ, 653, 240 [NASA ADS] [CrossRef]
- Gurovich, S., McGaugh, S. S., Freeman, K. C., et al. 2004, Publ. Astron. Soc. Aust., 21, 412 [NASA ADS] [CrossRef]
- Hayashi, E., & Navarro, J. F. 2006, MNRAS, 373, 1117 [NASA ADS] [CrossRef]
- Karachentsev, I. D., Makarov, D. I., Sharina, M. E., et al. 2003, A&A, 398, 479 [NASA ADS] [CrossRef] [EDP Sciences] (In the text)
- Kovac, K. 2007, Ph.D. Thesis, Univ. Groningen (In the text)
- Kroupa, P. 1998, in Brown Dwarfs and Extrasolar Planets, ed. R. Rebolo, E. L. Martin, & M. R. Zapatero Osorio, ASP Conf. Ser., 134, 483 (In the text)
- Leroy, A., Bolatto, A. D., Simon, J. D., & Blitz, L. 2005, ApJ, 625, 763 [NASA ADS] [CrossRef]
- Matthews, L. D., van Driel, W., & Gallagher, III, J. S. 1998, AJ, 116, 2196 [NASA ADS] [CrossRef]
- McGaugh, S. S. 2004, ApJ, 609, 652 [NASA ADS] [CrossRef]
- McGaugh, S. S. 2005, ApJ, 632, 859 [NASA ADS] [CrossRef]
- McGaugh, S., & de Blok, E. 1998a, in Galactic Halos, ed. D. Zaritsky, ASP Conf. Ser., 136, 210
- McGaugh, S. S., & de Blok, W. J. G. 1998b, ApJ, 499, 41 [NASA ADS] [CrossRef]
- McGaugh, S. S., Schombert, J. M., Bothun, G. D., & de Blok, W. J. G. 1999, in BAAS, 31, 1559
- McGaugh, S. S., Schombert, J. M., Bothun, G. D., & de Blok, W. J. G. 2000, ApJ, 533, L99 [NASA ADS] [CrossRef]
- Meyer, M. J., Zwaan, M. A., Webster, R. L., Schneider, S., & Staveley-Smith, L. 2008, MNRAS, 391, 1712 [NASA ADS] [CrossRef] (In the text)
- Mo, H. J., Mao, S., & White, S. D. M. 1998, MNRAS, 295, 319 [NASA ADS] [CrossRef]
- Mould, J. R., Huchra, J. P., Freedman, W. L., et al. 2000, ApJ, 529, 786 [NASA ADS] [CrossRef] (In the text)
- Noordermeer, E., & Verheijen, M. A. W. 2007, MNRAS, 381, 1463 [NASA ADS] [CrossRef]
- Pierce, M. J., & Tully, R. B. 1988, ApJ, 330, 579 [NASA ADS] [CrossRef]
- Pildis, R. A., Schombert, J. M., & Eder, J. A. 1997, ApJ, 481, 157 [NASA ADS] [CrossRef] (In the text)
- Portinari, L., Sommer-Larsen, J., & Tantalo, R. 2004, MNRAS, 347, 691 [NASA ADS] [CrossRef] (In the text)
- Sakai, S., Mould, J. R., Hughes, S. M. G., et al. 2000, ApJ, 529, 698 [NASA ADS] [CrossRef]
- Salpeter, E. E. 1955, ApJ, 121, 161 [NASA ADS] [CrossRef] (In the text)
- Sault, R. J., Teuben, P. J., & Wright, M. C. H. 1995, in Astronomical Data Analysis Software and Systems IV, ed. R. A. Shaw, H. E. Payne, & J. J. E. Hayes, ASP Conf. Ser., 77, 433
- Schombert, J. M., Pildis, R. A., & Eder, J. A. 1997, ApJS, 111, 233 [NASA ADS] [CrossRef] (In the text)
- Springob, C. M., Masters, K. L., Haynes, M. P., Giovanelli, R., & Marinoni, C. 2007, ApJS, 172, 599 [NASA ADS] [CrossRef]
- Stark, D. V., McGaugh, S. S., & Swaters, R. A. 2009, AJ, 138, 392 [NASA ADS] [CrossRef]
- Steinmetz, M., & Navarro, J. F. 1999, ApJ, 513, 555 [NASA ADS] [CrossRef]
- Taylor, C. L., Kobulnicky, H. A., & Skillman, E. D. 1998, AJ, 116, 2746 [NASA ADS] [CrossRef]
- Trachternach, C., de Blok, W. J. G., Walter, F., Brinks, E., & Kennicutt, R. C. 2008, AJ, 136, 2720 [NASA ADS] [CrossRef] (In the text)
- Tully, R. B., & Fisher, J. R. 1977, A&A, 54, 661 [NASA ADS] (In the text)
- Tully, R. B., & Fouque, P. 1985, ApJS, 58, 67 [NASA ADS] [CrossRef] (In the text)
- Tully, R. B., & Pierce, M. J. 2000, ApJ, 533, 744 [NASA ADS] [CrossRef]
- van der Hulst, J. M., Terlouw, J. P., Begeman, K. G., Zwitser, W., & Roelfsema, P. R. 1992, in Astronomical Data Analysis Software and Systems I, ed. D. M. Worrall, C. Biemesderfer, & J. Barnes, ASP Conf. Ser., 25, 131
- Verheijen, M. A. W. 1997, Ph.D. Thesis, Univ. Groningen (In the text)
- Verheijen, M. A. W. 2001, ApJ, 563, 694 [NASA ADS] [CrossRef]
- Walter, F., Brinks, E., de Blok, W. J. G., et al. 2008, AJ, 136, 2563 [NASA ADS] [CrossRef]
- Willick, J. A., Courteau, S., Faber, S. M., et al. 1997, ApJS, 109, 333 [NASA ADS] [CrossRef]
- Zwaan, M. A., van der Hulst, J. M., de Blok, W. J. G., & McGaugh, S. S. 1995, MNRAS, 273, L35 [NASA ADS] (In the text)
Online Material
Appendix A: Atlas
The Appendix contains summary panels for all galaxies of our sample (Figs. A.1-A.11) and channel maps for the galaxies from the rotation curve sub-sample (Figs. A.12-A.17).
The summary panels consist of two rows with three panels each, and contain the following maps:
Top row: Left panel: zeroth moment map with
grayscales. Unless mentioned otherwise, grayscales run from a column
density of
(white) to
(black). The 3
level
is indicated by the black contour. Middle panel: first moment
map. The systemic velocity is indicated by the thick contour, the
contours are spaced by 10 km s-1. The approaching side can be identified
by the light grayscales and black contours, and the receding side by
dark grayscales and white contours. Right panel: second moment
map. Grayscales run from 2 to 40 km s-1. Unless mentioned otherwise, the
contours levels are given at 5, 10, and 15 km s-1. For all moment maps,
the beam size is indicated in the bottom right corner. Additionally,
if a kinematic center has been independently derived, it is indicated
in all moment maps by a cross.
Bottom row: Left panel: major axis position-velocity
diagram. The position angle of the slice indicated in the top-left
corner of the panel. Grayscales run from 2
to 30
,
and
contour levels are given at
(i.e.,
2, 6, 10, 14, 18 ...
). The dashed line indicates the systemic
velocity. If a Vpv has been derived, the resulting velocities at
either side of the rotation curve are indicated by arrows.
Middle panel: minor axis position-velocity diagram. Grayscales
and contours are identical to the major axis position-velocity
diagram. Right panel: global H I profile of the Hanning
smoothed data cube.
![]() |
Figure A.1:
Summary panel for D500-2. A
general description of the panels and levels is given at the
beginning of the Appendix. The |
Open with DEXTER |
![]() |
Figure A.2:
Summary panel for D500-3. A
general description of the panels and levels is given at the
beginning of the Appendix. The |
Open with DEXTER |
![]() |
Figure A.3:
Summary panel for D512-2. A
general description of the panels and levels is given at the
beginning of the Appendix. The |
Open with DEXTER |
![]() |
Figure A.4:
Summary panel for D564-8. A
general description of the panels and levels is given at the
beginning of the Appendix. The |
Open with DEXTER |
![]() |
Figure A.5:
Summary panel for D572-5. A
general description of the panels and levels is given at the
beginning of the Appendix. Grayscales in the zeroth moment map
run from a column density of
|
Open with DEXTER |
![]() |
Figure A.6:
Summary panel for D575-1. A
general description of the panels and levels is given at the
beginning of the Appendix. The |
Open with DEXTER |
![]() |
Figure A.7:
Summary panel for D575-2. A
general description of the panels and levels is given at the
beginning of the Appendix. The |
Open with DEXTER |
![]() |
Figure A.8:
Summary panel for D575-5. A
general description of the panels and levels is given at the
beginning of the Appendix. The |
Open with DEXTER |
![]() |
Figure A.9:
Summary panel for D631-7. A
general description of the panels and levels is given at the
beginning of the Appendix. The |
Open with DEXTER |
![]() |
Figure A.10:
Summary panel for D640-13. A
general description of the panels and levels is given at the
beginning of the Appendix. The |
Open with DEXTER |
![]() |
Figure A.11:
Summary panel for D646-7. A
general description of the panels and levels is given at the
beginning of the Appendix. The |
Open with DEXTER |
![]() |
Figure A.12: Channel maps of D500-2. Grayscales run from -0.02 to 7 mJy. Every second channel is shown. |
Open with DEXTER |
![]() |
Figure A.13: Channel maps of D500-3. Grayscales run from -0.02 to 5 mJy. Every channel is shown. |
Open with DEXTER |
![]() |
Figure A.14: Channel maps of D512-2. Grayscales run from -0.02 to 8 mJy. Every second channel is shown. |
Open with DEXTER |
![]() |
Figure A.15: Channel maps of D564-8. Grayscales run from -0.02 to 7 mJy. Every channel is shown. |
Open with DEXTER |
![]() |
Figure A.16: Channel maps of D575-2. Grayscales run from -0.02 to 10 mJy. Every fourth channel is shown. |
Open with DEXTER |
![]() |
Figure A.17: Channel maps of D631-7. Grayscales run from -0.02 to 25 mJy. Every second channel is shown. |
Open with DEXTER |
Footnotes
- ... halos
- Appendix is only available in electronic form at http://www.aanda.org
- ... MIRIAD
- Multichannel Image Reconstruction, Image Analysis and Display (Sault et al. 1995).
- ... GIPSY
- GIPSY, the Groningen Image Processing SYstem (van der Hulst et al. 1992).
All Tables
Table 1: Properties of the data.
Table 2: Derived parameters for the profile width sub-sample.
Table 3: Derived parameters for the rotation curve sub-sample.
Table 4: Stellar, gas, and baryonic masses.
All Figures
![]() |
Figure 1: Tilted-ring analysis of D500-2. From top to bottom, the radial distributions of the rotation velocity, the inclination angle, and the position angle are shown. The data points in the center and bottom panel indicate the values derived for i and PA as free parameters. The solid lines indicate the values adopted to derive the rotation curve shown in the top panel. |
Open with DEXTER | |
In the text |
![]() |
Figure 2: Tilted-ring analysis of D512-2. The layout is identical to that of Fig. 1. |
Open with DEXTER | |
In the text |
![]() |
Figure 3: Tilted-ring analysis of D564-8. The layout is identical to that of Fig. 1. |
Open with DEXTER | |
In the text |
![]() |
Figure 4: Tilted-ring analysis of D575-2. The layout is identical to that of Fig. 1. |
Open with DEXTER | |
In the text |
![]() |
Figure 5: Tilted-ring analysis of D631-7. The layout is identical to that of Fig. 1. |
Open with DEXTER | |
In the text |
![]() |
Figure 6:
Stellar I-band mass-to-light ratio (
|
Open with DEXTER | |
In the text |
![]() |
Figure 7:
The ratio of the stellar mass from Bell & de Jong (2001) and
Portinari et al. (2004) vs. the implied baryonic mass.
Baryonic masses derived using the Bell & de Jong (2001) stellar masses
are shown as filled circled; baryonic masses derived using the
Portinari et al. (2004) models as open circles. It is clear the
choice of
|
Open with DEXTER | |
In the text |
![]() |
Figure 8:
The baryonic Tully-Fisher
relation using four different estimates for
|
Open with DEXTER | |
In the text |
![]() |
Figure A.1:
Summary panel for D500-2. A
general description of the panels and levels is given at the
beginning of the Appendix. The |
Open with DEXTER | |
In the text |
![]() |
Figure A.2:
Summary panel for D500-3. A
general description of the panels and levels is given at the
beginning of the Appendix. The |
Open with DEXTER | |
In the text |
![]() |
Figure A.3:
Summary panel for D512-2. A
general description of the panels and levels is given at the
beginning of the Appendix. The |
Open with DEXTER | |
In the text |
![]() |
Figure A.4:
Summary panel for D564-8. A
general description of the panels and levels is given at the
beginning of the Appendix. The |
Open with DEXTER | |
In the text |
![]() |
Figure A.5:
Summary panel for D572-5. A
general description of the panels and levels is given at the
beginning of the Appendix. Grayscales in the zeroth moment map
run from a column density of
|
Open with DEXTER | |
In the text |
![]() |
Figure A.6:
Summary panel for D575-1. A
general description of the panels and levels is given at the
beginning of the Appendix. The |
Open with DEXTER | |
In the text |
![]() |
Figure A.7:
Summary panel for D575-2. A
general description of the panels and levels is given at the
beginning of the Appendix. The |
Open with DEXTER | |
In the text |
![]() |
Figure A.8:
Summary panel for D575-5. A
general description of the panels and levels is given at the
beginning of the Appendix. The |
Open with DEXTER | |
In the text |
![]() |
Figure A.9:
Summary panel for D631-7. A
general description of the panels and levels is given at the
beginning of the Appendix. The |
Open with DEXTER | |
In the text |
![]() |
Figure A.10:
Summary panel for D640-13. A
general description of the panels and levels is given at the
beginning of the Appendix. The |
Open with DEXTER | |
In the text |
![]() |
Figure A.11:
Summary panel for D646-7. A
general description of the panels and levels is given at the
beginning of the Appendix. The |
Open with DEXTER | |
In the text |
![]() |
Figure A.12: Channel maps of D500-2. Grayscales run from -0.02 to 7 mJy. Every second channel is shown. |
Open with DEXTER | |
In the text |
![]() |
Figure A.13: Channel maps of D500-3. Grayscales run from -0.02 to 5 mJy. Every channel is shown. |
Open with DEXTER | |
In the text |
![]() |
Figure A.14: Channel maps of D512-2. Grayscales run from -0.02 to 8 mJy. Every second channel is shown. |
Open with DEXTER | |
In the text |
![]() |
Figure A.15: Channel maps of D564-8. Grayscales run from -0.02 to 7 mJy. Every channel is shown. |
Open with DEXTER | |
In the text |
![]() |
Figure A.16: Channel maps of D575-2. Grayscales run from -0.02 to 10 mJy. Every fourth channel is shown. |
Open with DEXTER | |
In the text |
![]() |
Figure A.17: Channel maps of D631-7. Grayscales run from -0.02 to 25 mJy. Every second channel is shown. |
Open with DEXTER | |
In the text |
Copyright ESO 2009
Current usage metrics show cumulative count of Article Views (full-text article views including HTML views, PDF and ePub downloads, according to the available data) and Abstracts Views on Vision4Press platform.
Data correspond to usage on the plateform after 2015. The current usage metrics is available 48-96 hours after online publication and is updated daily on week days.
Initial download of the metrics may take a while.