| Issue |
A&A
Volume 505, Number 2, October II 2009
|
|
|---|---|---|
| Page(s) | 541 - 551 | |
| Section | Extragalactic astronomy | |
| DOI | https://doi.org/10.1051/0004-6361/200911687 | |
| Published online | 03 August 2009 | |
Characterization of the emitting and absorbing media around the nucleus of the active galaxy UGC 11763 using XMM-Newton data
M. V. Cardaci1,2 - M. Santos-Lleó 2 - Y. Krongold3 - G. F. Hägele1,4 - A. I. Díaz1 - P. Rodríguez-Pascual2
1 - Universidad Autónoma de Madrid, Ctra. de Colmenar Km.15,
Cantoblanco, 28049 Madrid, Spain
2 -
XMM-Newton Science Operations Center, ESAC, ESA, POB 78, 28691
Villanueva de la Cañada, Madrid, Spain
3 -
Instituto de Astronomía, Universidad Nacional Autónoma de
México, Apartado Postal 70-264, 04510 México DF, México
4 -
Facultad de Cs. Astronómicas y Geofísicas, Universidad
Nacional de La Plata, Paseo del Bosque s/n, 1900 La Plata,
Argentina
Received 20 January 2009 / Accepted 11 July 2009
Abstract
Aims. The detailed analysis of all data taken by the XMM-Newton satellite of UGC 11763 to characterize the different components that are emitting and absorbing radiation in the vicinity of the active nucleus.
Methods. The continuum emission was studied through the EPIC spectra taking profit of the spectral range of these cameras. The high resolution RGS spectra were analyzed in order to characterize the absorbing features and the emission line features that arise in the spectra of this source.
Results. A power law with a photon index
accounts for the continuum emission of this source in the hard X-rays from 10 down to 1 keV. At lower energies, a black body model with
keV provides a good description of the observed soft excess. The absorption signatures in the spectra of UGC 11763 are consistent with the presence of a two phase ionized material (
and
;
cm-2, respectively) in the line of sight. The physical conditions found are consistent with the two phases being in pressure equilibrium. The low ionization component is more ionized than typically found for warm absorbers in other Seyfert 1 galaxies. There are also signatures of some emission lines: O VII He
(r), O VII He
(f), a blend of the Ne IX He
triplet and Fe XVIII at
Å.
Key words: galaxies: active - galaxies: Seyfert - galaxies: individual: UGC 11763 - X-rays: galaxies
1 Introduction
Narrow Line Seyfert 1 (NLS1) galaxies are active galactic nuclei that share
many properties with
Seyfert 1 galaxies, such as a strong continuum and strong
Fe II emission lines, but whose line widths are similar to those of
Seyfert 2 galaxies (Osterbrock & Pogge 1985).
The more striking characteristics of these objects concern their X-ray
spectra, that show strong soft excess emission
(Boller et al. 1996), a rapid and
large-amplitude variability (Boller 2000), and generally
a steeper hard X-ray continua than ``normal'' Seyfert 1 objects
(Brandt et al. 1997).
Different models have been suggested to describe the nature of these objects
(Ghosh et al. 2004) and the most accepted paradigm is that NLS1s
possess low mass black holes (about 107 M
)
that are accreting
material close to the Eddington rate
(Grupe & Mathur 2004; Boroson 2002).
Photoionized X-ray absorbing gas is observed associated with a good number of NLS1 galaxies (see e.g. Komossa 2000, and references therein). This highly ionized material, called ``warm absorber'', has also been detected in about 50% of type 1 Active Galactic Nuclei (AGNs), both Seyfert 1s (Halpern 1982; George et al. 1998; Reynolds 1997) and quasars (Piconcelli et al. 2005). Crenshaw et al. (1999) and Kriss (2002) found that all the objects in their sample that exhibit signatures of X-ray warm absorbers also show intrinsic ultra-violet (UV) absorption. In some cases there is evidence suggesting that the same medium is responsible for the absorptions in both X-rays and UV (e.g. Mathur et al. 1994,1995; Kriss et al. 2000). In others, however, this correspondence is not so clear. In NGC 7469 (Kriss et al. 2003) and NGC 3783 (Gabel et al. 2003) it was found that some of the UV absorbing components could be related with the X-ray absorbing ones. On the other hand, in NGC 4051, e.g., the physical conditions found for both absorbing components were different (Steenbrugge et al. 2009). Perhaps due to the complexity of the physics of the absorbing media the exact relation between the X-ray and UV absorbing systems is still unclear.
UGC 11763, also known as II Zw 136, Mrk 1513 or PG 2130+099, among other
names, has been classified as a NLS1 galaxy by
Constantin & Shields (2003). The width of the H
line in this
object is between 2250-2800 km s-1 (Grier et al. 2008; Boroson & Green 1992; Grupe et al. 2004; Mullaney & Ward 2008), only slightly above the upper limit for the NLS1 classification.
It was included in the NLS1 sample of Boroson & Green (1992) and
Gallo (2006) although Boller et al. (1996)
excluded it from their list.
On the other hand, Véron-Cetty & Véron (2006) have classified it
as an intermediate Seyfert (Seyfert 1.5).
Huchra et al. (1999) estimated an optical redshift
z = 0.062977 for this object whose position coordinates are
32
27
81,
08
19
46
(Clements 1981).
UGC 11763 has been studied over a wide range of wavelengths.
Using optical spectra
Mullaney & Ward (2008) fitted the two strongest Balmer Hydrogen
lines with three emission line components, the widest of them (FWHM of about
4500 and 5100 km s-1 for H
and H
,
respectively) being
typical of the broad lines found in `normal' Seyfert 1 galaxies, i.e.
3000 km s-1. Besides, they also estimated the widths of
a broad component in the [Fe VII]
6087 Å and
[Fe X]
6374 Å lines (
2000 and
2700 km s-1, respectively) which turned out to be very similar
to the intermediate width component of the Balmer lines (
2100
and 2350 km s-1 for H
and H
,
respectively).
For the central black hole mass, Peterson et al. (2004) derived a
value of
M
.
Ho et al. (2008)
reduced this value by a factor of 1.8
(
M
)
for consistency with the virial mass zero point
adopted by Greene & Ho (2005).
This value is in the upper limit of the NLS1 black hole mass distribution
found by Grupe & Mathur (2004). Nevertheless, it has been further
reduced to
by Grier et al. (2008)
more in the range of what is observed in this kind of objects.
In X-rays, it was observed by EXOSAT, Einstein,
Ginga and ROSAT satellites.
Singh et al. (1991) analyzed EXOSAT data to investigate
the variability and the soft excess in the X-ray spectrum. They found that in
one year the X-ray flux varies by
35% in the 1.5-6 keV band and by a factor of
2 in the low energy range (0.1-2 keV).
They also reported that the low-energy component is very steep
(
)
and dominates the spectrum below 0.5 keV,
irrespective of whether the object is in a high or low state. A soft excess
was also found by Masnou et al. (1992) using
Einstein Imaging Proportional Counter, covering the energy range
0.15-3.5 keV.
Williams et al. (1992) reported spectra in the 2-20 keV range from
Ginga, and Lawson & Turner (1997), using the same observations,
derived the parameters of the Fe K
emission line at
6.4 keV. Recently, Inoue et al. (2007) studied the EPIC-pn data from
XMM-Newton satellite as part of a wider Fe K
line studio. These
authors found that this line is narrow
(
keV) and has an equivalent width (EW) of
139
+495-139 eV.
Regarding the AGN surrounding medium, extreme UV observations with FUSE have
shown absorption features
due to H (Ly
to Ly
), C III
977 Å and O
VI
1032,1038 Å originated in an associated system
(Wakker et al. 2003) whose relative velocity with respect to the
AGN (-1600 km s-1) does not allow to rule out that this
absorption system be associated with UGC 11763, rather than an intergalactic
cloud.
Dunn et al. (2007), using the same and newer observations from
FUSE, also found this blue shifted component, with a velocity of
-1500 km s-1, together with a second one of 20 km s-1, both
relative to the AGN. According to these authors, the former component is
clearly visible and virtually
free of ISM interference, while the latter one is only appreciable in
the O VI red member, the blue member of this line being contaminated
with an Fe II and two H2 close lines. These two absorption
components were also found by Crenshaw et al. (1999) using
GHRS-HST (Goddard High-Resolution Spectrometer-Hubble Space Telescope)
UV spectra.
In this paper we present a detailed analysis of all the available data obtained with the XMM-Newton satellite in order to characterize the circumnuclear environment of this NLS1 galaxy. In Sect. 2 we describe the observations and data reduction. We present the optical-UV results in Sect. 3 and the X-ray spectral analysis in Sect. 5. In Sect. 4 we analyze the source variability during the XMM-Newton observation and compare our observed fluxes with those from the literature. Our results are discussed in Sect. 6. Finally, the summary and conclusions of this work are given in Sect. 7.
2 Observations
UGC 11763 was observed with XMM-Newton (Jansen et al. 2001)
on May 16th, 2003. The complete observation, with Id. number 0150470701,
lasted for 39 ks. In order to avoid potential pile-up problems,
EPIC-pn
and MOS1
cameras (Turner et al. 2001) were used in their small window mode
with the thin and thick filters, respectively.
EPIC-MOS2 was operated in full frame mode (thin filter)
in order to allow investigation of other serendipitous X-ray sources in the
field. The Reflection Grating Spectrometers
(RGSs, den Herder et al. 2001) were run in the default Spectroscopy
mode. For the Optical Monitor (OM) (Mason et al. 2001) we decided to
combine broad-band imaging filters to investigate the circumnuclear structure
in the UV domain with a series of UV-Grism exposures to obtain UV spectral and
variability information of the active nucleus. The OM was always operated with windows defined by us: we used the largest imaging un-binned window, 5![]()
![]()
0, centered on the target for the broad-band filters and the
default grism window for the UV exposures. Table 1 lists
instrument, mode, filter and scheduled exposure time for each instrument.
The data have been processed with the 7.0.0 version of the Science Analysis Subsystem (SAS) software package (Jansen et al. 2001), using the calibration files available on March, 2007. All the standard procedures and screening criteria have been followed in the extraction of the scientific products.
During most of the observing time the background count rate in the EPIC
cameras was well below 10% of the source count rate.
High background time intervals have been excluded
using the method that maximizes the signal to noise in the spectrum as
described in Piconcelli et al. (2004).
Hence, the maximum count rate allowed for the background in
``good'' periods was 0.5 c s-1, 0.5 c s-1 and 0.7 c s-1 for
EPIC-pn, EPIC-MOS1 and EPIC-MOS2, respectively.
For RGS1 and RGS2, periods with count rates higher
than 0.2 c s-1 have been excluded.
The last column of Table 1 lists the final exposure time
after taking into account live time
and high
background screening, per exposure.
Table 1: Details of XMM-Newton instrument exposures.
3 Optical-UV analysis
OM data have been processed with SAS task OMICHAIN and default parameters. In the broad-band OM images there is no clear evidence of extended emission. Unfortunately, the spectrum recorded in each individual UV-grism exposure is very weak; in addition, a number of zero-order images near the spectrum location and along the dispersion further complicate the extraction of the source spectrum. As a result, the total signal-to-noise of the extracted spectra was not as high as expected.
The broad-band OM images provide flux measures in the U, UVW1, UVM2 and UVW2filters. For the last three bands, two consecutive exposures are available; the flux differences in these three pairs of consecutive exposures are all compatible with no variability within the measurement errors (<3%). Table 2 shows the effective wavelengths of these filters together with measured fluxes.
Table 2: Fluxes in the OM filters obtained using aperture photometry.
UGC 11763 was observed by the International Ultraviolet Explorer (IUE)
in six different epochs between 1978 and 1985, with its Short Wavelength
(1150-1950 Å) and Long Wavelength (1950-3200 Å)
spectrographs. Variations of
25% around the mean are found
along the whole IUE range, with the ratio of maximum to minimum UV flux being
close to 2. OM flux measurements are
overplotted in Fig. 1 on a merged spectrum constructed by
combining the average IUE
spectrum and the optical one presented by
de Bruyn & Sargent (1978).
![]() |
Figure 1: Average IUE spectrum of UGC 11763 (1200-3200 Å, in black) merged with the optical spectrum (3200-9000 Å, in blue) from de Bruyn & Sargent (1978). Solid red circles show the OM measures for the different filters. |
| Open with DEXTER | |
The difference between the OM measures and the average IUE spectrum at the
effective wavelengths of the OM filters is consistent with the combined errors
of the IUE average spectrum and the OM filter sensibility.
Therefore, we
conclude that the average UV and the optical spectra are indeed an
acceptable representation of the UV-optical spectral energy distribution (SED)
of UGC 11763 at the time of the XMM-Newton observation.
From the IUE average spectrum we take the UV flux at 2500 Å,
erg s-1 cm-2 Å-1, that we have used to compute the
optical/X-ray spectral index
(Tananbaum et al. 1979).
This value has neither been corrected for the Balmer
continuum nor the Fe II contributions.
![]() |
Figure 2: Soft (filled circles) and hard (open squares) EPIC-pn light curves binned by 500 s. |
| Open with DEXTER | |
4 Variability
We have analyzed the EPIC-pn soft (0.5-1 keV) and hard (2-10 keV) X-ray
background subtracted light curves (Fig. 2) to investigate the
variability of this source during the observation by computing the statistical
validity of constant flux assumption. Values of
of 2.2 and
1.3 are found for the soft and hard energy bands respectively. Taking into
account that a
corresponds to a probability of less than 10%
and
to a probability of less than 1% for the
data to be well represented by a constant flux value, this implies that the
flux varied during the observation.
The overall behavior of the light curves seems to show a decrease
of the flux from the beginning to the end of the observation.
Applying a linear fit, we find a rate of change in the count rates of about
counts s-2 (
)
and
counts s-2 (
)
for the soft and hard bands, respectively.
The statistic of the linear fit, with probabilities of 73 and 86% for the
data to be well represented by the linear model, implies that this simple model
only reproduces the general trend of the flux variation.
The maximum flux decrease during the observation can be quantified by
computing the ratio between the maximum and the minimum rate which is found to
be
1.7+0.3-0.2 and
1.5+0.4-0.3 for the soft and hard X-ray
bands, respectively.
We have compiled several values of X-ray fluxes published for UGC 11763 along the years (Table 3). This object was also serendipitously observed by XMM-Newton (EPIC-pn) during a slew on the 14th of May 2006. We have also included in Table 3 the soft and hard X-ray fluxes as provided in the XMM-Newton slew survey Source Catalogue (XMMSL1.2, Saxton et al. 2008). UGC 11763 shows a large amplitude variation in its soft X-ray flux. If we compare the flux in the 0.1-2.4 keV range obtained from the ROSAT observation with our measurement we find about an order of magnitude variation between these two epochs. The 2006 data of the slew observation show that UGC 11763 had returned to flux values similar to those of 1990. In the 2-10 keV range the amplitude of the flux variation is higher than a factor of 2. Unfortunately, there is no data in the hard spectral range corresponding to the observed highest soft X-ray flux. Taking into account the fluxes in Table 3 for this object, it becomes clear that, in 2003, XMM-Newton observed it in the lowest activity state so far reported.
Table 3: Comparison between X-ray fluxes from the literature and from this work.
5 X-ray spectral analysis
All the EPIC data were checked for no pile-up using the SAS task
EPATPLOT. The coordinates of the center of the EPIC-pn X-ray source are
within 1'' of the optical coordinates of UGC 11763 quoted in
Sect. 1. The EPIC spectra were extracted using the standard parameters.
For the EPIC-pn spectrum the source extraction area was a circular region of
32
5 in radius. The background extraction area was a circular
region at 2
0 North-NW of the target and of 32
5 in radius.
The EPIC-MOS1 source spectrum was extracted using a circular region of 40''radius. The background region was an annulus centered in the source with
8' and 9
2 inner and outer radius, respectively.
The EPIC-MOS2 source spectrum was extracted using a circular region with 1'radius and the background was extracted from an annular region also centered
in the target position and 2
5 and 3
6 inner and outer
radius, respectively.
The three EPIC spectra have been rebinned to have at least 30 counts per bin and a
maximum of three channels per resolution (FWHM) element of the detector.
The RGS data has been processed with the SAS task RGSPROC and default parameters, except that we asked for the background subtracted spectra. In spite of UGC 11763 being a bright object when observed by ROSAT (Voges et al. 1999), it seems to be in a lower state when observed by XMM-Newton satellite (see discussion in Sect. 4). As a result, the scheduled time for the XMM-Newton observation does not allow to achieve as good signal-to-noise in the RGS spectra as expected. We therefore had to bin the spectra, loosing resolution, but increasing the signal-to-noise ratio. The RGS spectra were geometrically binned to avoid any smoothing of the absorption and emission features. We chose a 15 channels binning as a compromise between loosing resolution and having the necessary spectral signal-to-noise for a statistically significant fit. Hence, as the default spectral bin size is 10 mÅ, at 15 Å, our final spectra have bins of about 150 mÅ at that wavelength.
All spectra have been fitted using Sherpa package of CIAO 3.3
(Freeman et al. 2001). We use the
statistics with the
Gehrels variance function (Gehrels 1986) and the Powell
optimization method. The first because it is based on Poisson
statistics for small number of counts in a bin and on Binomial statistics
otherwise, and the second because is a robust direction-set method for finding the nearby fit-statistic minimum.
5.1 Low resolution spectra
An absorbed power law has been fitted to the EPIC-pn spectrum in the
2.0-10.0 keV energy range. The H column density has been fixed to the
Galactic value of
(Dickey & Lockman 1990).
The result (see Table 4) has a reduced
of
for 112 degrees of freedom (d.o.f.).
Adding a redshifted Gaussian emission line
at the energy of the neutral Fe-K
fluorescence line does
improve the fit (Table 4), with a new value of
for 109 d.o.f. (F=4.1, probability
99.19%).
The line is weak with an equivalent width of
0.23
+0.15-0.11 keV.
The model parameter values are
listed in Table 4 and the fit is shown in Fig. 3.
Leaving the absorbing column density as a free parameter
the neutral H column density takes a value lower than the Galactic one,
indicating that a neutral absorber, either local or at the UGC 11763 redshift,
does not improve the fit.
Hence, unless otherwise specified, all the models mentioned from here on
include neutral absorption by the Galaxy with the column density fixed to
above value. When the 1.0-2.0 keV range is included in the fit (i.e. a 1.0-10.0 keV EPIC-pn fit is performed), the results do not change significantly
indicating little or no effects of any other component in this energy range.
Table 4: EPIC-pn fit model parameters for the 2-10 keV energy range.
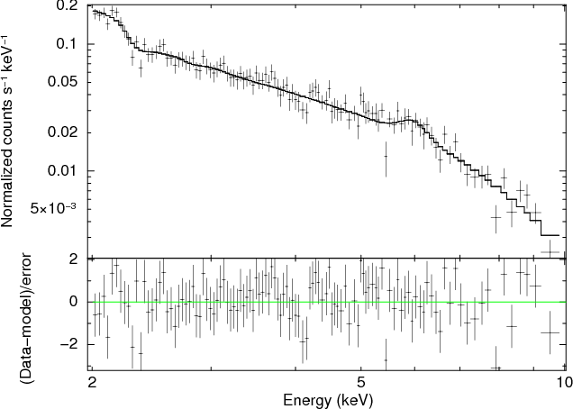
![]() |
Figure 3:
EPIC-pn spectrum of the UGC 11763 nucleus, showing the power law
fit to the 2-10 keV range. Galactic absorption and a neutral Fe-K |
| Open with DEXTER | |
![]() |
Figure 4:
EPIC-pn spectrum of the UGC 11763 nucleus, showing the whole,
0.35-10 keV energy range and the fit to the 2-10 keV range. The fit has
two components, a power law and a Gaussian emission line at 6.36 keV,
absorbed by the Galactic column density.
A huge soft excess below |
| Open with DEXTER | |
Plotting the 2-10 keV energy range model overlapped to the whole 0.35-10 keV
energy range (Fig. 4) it becomes clear that the flux below
1 keV exceeds the extrapolation of the harder power law flux. This is a
frequent feature of AGN X-ray spectra and usually referred to as the soft X-ray
excess.
Typical models used to fit the soft excess are one or several black bodies,
bremsstrahlung radiation or a higher photon index power law
(e.g. Piconcelli et al. 2005).
Using these models to describe the three UGC 11763 EPIC spectra in the
0.35 to 10 keV range, we find that a model with a black body component
(hereafter model
)
with kT = 0.09 keV provides the best description of the soft excess
observed in this object (Table 5).
Nevertheless, although the overall fit is good (
for 509 d.o.f.), there are large residuals at low energies
(see Fig. 5).
They are largest around 0.7-0.8 keV or 16-17 Å, where a blend of
several iron inner M-shell absorption lines, known as the Fe ``Unresolved
Transition Array'' (UTA), has been detected in other Seyfert 1 galaxies and
interpreted as the signature of ionized gas in the line of sight
to the X-ray source (e.g. Sako et al. 2001).
There are also large residuals around 0.5-0.6 keV where some oxygen emission
lines could be present (O VII
21.6, 21.8, 22.1 Å).
Table 5:
Model
parameters for the simultaneous EPIC-pn, EPIC-MOS1 and
EPIC-MOS2 spectrum fit in the 0.35-10 keV energy range.
![]() |
Figure 5:
EPIC-pn, EPIC-MOS1 and EPIC-MOS2 spectra - in the rest frame - of the
UGC 11763 nucleus, showing the best fit model
|
| Open with DEXTER | |
Table 6:
PHASE and continuum parameter values for models
and
for the simultaneous fits to the EPIC and RGS spectra.
5.2 High resolution X-ray spectra
The better resolution of the RGS spectra as compared to the EPIC spectra favors the identification and fitting of the absorption and narrow emission features. Hence, in order to take advantage of the whole information acquired by XMM-Newton we use simultaneously the EPIC-pn, the two EPIC-MOS and the two high resolution RGS spectra. EPIC-pn and EPIC-MOS data are restricted from 0.35 to 10 keV, and RGS data are taken between 0.41 and 1.8 keV.
The residuals of the EPIC fit from model
seem to
disclose the presence of partially ionized absorbing material in the line of
sight to the source. The signature of this warm material, a characteristic Fe
unresolved transition array (UTA), is clearly seen on the high resolution RGS spectra.
To get a good identification of the soft X-ray spectral features and
determine the physical properties of the absorbing gas, we have made use of
the PHASE (PHotoionised Absorption Spectral Engine) photoionization code (Krongold et al. 2003).
The parameters that are usually let free are the ionization parameter of the
gas, the equivalent hydrogen column density and the outflow
velocity. Another parameter is the internal micro-turbulent velocity of the gas, which is
very difficult to constrain because single absorption lines in the spectrum
are unresolved by the actual available instruments and most of the
observed features are blends of several transitions. Therefore
we have fixed this velocity to 300 km s-1, the same value used by
Krongold et al. (2003) and Kaspi et al. (2001) to fit
the spectra of NGC 3783.
We note, however, that the exact value of this parameter has little effect on
the results (see Krongold et al. 2009).
The ionization parameter is defined as the ratio between the
density of ionizing photons and the density of hydrogen particles,
,
where r is the distance to the source,
is the hydrogen number density, c the speed of light and
Q(H) is the rate of hydrogen ionizing photons (or the integral over all
hydrogen-ionizing photons of the ratio between the luminosity
and the
energy in the same frequency,
.
The intrinsic SED of the source (Fig. 6) is used
to calculate, with CLOUDY
(version 08, Ferland et al. 1998),
a grid of photoionization models to build the input table for
PHASE.
The optical-UV part of the SED is obtained from the OM data and for energies
higher than
0.1 keV we have used the EPIC-pn continuum model.
In this way, the adopted SED represents the emission of UGC 11763 at the
observation time.
Only the photons with energies higher than
0.1 keV will affect
the absorption in the X-ray spectral range
(Kaspi et al. 2001; Krongold et al. 2003).
Nevertheless, the optical-UV part of the SED is important when we calculate
the thermal equilibrium curve discussed in Sect. 6 below.
![]() |
Figure 6:
Spectral energy distribution adopted for UGC 11763. Values in the
optical-UV are estimated using the OM data and for energies higher than
|
| Open with DEXTER | |
The fits with PHASE confirm the presence of warm material absorbing the source
X-ray emission. Model
is the same as
but including
one PHASE component.
The result of the fitting using model
(Table 6)
indicates that the absorbing gas is ionized (
K),
with an ionization parameter
log
U=1.7-0.1+0.4 and has a moderate column density
log
cm-2 (
,
). The F-test shows that, on the EPIC spectra, the fit with
model
is better than with model
with a 99.9% of confidence level.
The estimated value of the redshift of the absorbing material is
,
to be compared to a measured optical redshift of 0.063 for
UGC 11763 (Sect. 1). This, therefore may indicate that the
material is flowing out from the nucleus with a velocity of about
km s-1, but it is also compatible with material at rest relative to the nucleus.
The RGS2 residuals (at about 11-12 Å) suggest the existence of a second
absorber. Therefore we have considered a new model with two absorbers
(Model
,
Table 6).
The F-test shows that the fit with two warm absorbers is better than the fit
with only one absorber at 99.9% confidence level.
The second absorption component is compatible with it being highly ionized
gas,
(log
and
K) with a column density
log
cm-2.
The inclusion of this component modified the parameters of the
other model components:
and kT are slightly higher than
in Model
,
and the U and
of the first absorption
component are lower and higher respectively (Table 6).
There is also a change in the velocity of the low ionization
absorbing component. For the Model
the velocity is compatible
with material flowing out or being at rest with the nucleus, but for the
Model
both absorbing components have
velocities that are compatible with material flowing
into the nucleus.
![]() |
Figure 7:
High resolution X-ray spectra -in the rest frame- of UGC 11763 as
obtained with RGS1, (blue up triangles), and RGS2 (cyan down triangles), and
binned to 15 channels per bin. Solid lines are the convolution of the best
fit model with instrument responses. (Model
|
| Open with DEXTER | |
Besides the absorption features, there are also emission signatures on the
high resolution spectra. Narrow emission lines of O VIII-Ly
,
O VII-He
and Ne IX-He
,
among others, are
frequently found in similar objects
(e.g. Blustin et al. 2003; Longinotti et al. 2008; Kaspi et al. 2000; Turner et al. 2003; Pounds et al. 2004),
hence, we have included in our model the emission features as Gaussian line
profiles. The procedure that has been followed is described below.
The lines are added on a one-by-one basis to check their statistical
significance, constraining their energies to vary in a small range around
their laboratory energies (
)
and taking into account the
redshift of the source. Since we cannot use only the F-test as a reliable
criteria to compute the statistical significance of a Gaussian line
(Protassov et al. 2002), we use a combined method to decide
whether to include or not a line in our final model. Along with the F-test we check
carefully the fit and the residuals, and finally we also take into account the
wavelength positioning of the line.
We first include in the model the O VII-He
lines triplet.
The intercombination line is not found in the fitting process
so we take it off and keep only the recombination (r) and forbidden (f)
lines. The width of these lines takes a very small value (less than
10-5 keV)
so we have fixed them to zero, i.e. to the instrumental resolution. In this
way we find that the r and f lines of the O VII-He
triplet
are statistically significant for the fit (probability of 97%). These oxygen
lines lie in the range of energies where no RGS2 data are available due to its
non operational CCD, and where there are also bad pixels in the RGS1 spectrum.
Therefore, their parameters
are not well constrained (see Fig. 7 and
Table 7). Nevertheless we consider that they are significant
to the fit.
The next line added is O VIII-Ly
.
This line turns out to be only
marginally significant to the fit (probability of 86%), and its parameters
are not well constrained either. Moreover, it lies just at the border of the
non-operational CCD of the RGS2 instrument. Therefore we do not keep this line
in our final model. To investigate its possible presence on the UGC 11763 spectra a longer observation is needed.
The emission signature seen at 17-18 Å has been modelled with a Gaussian
line with its central energy varying between 0.62 and 0.73 keV (17-20 Å).
The fitting process found that it is broad (
about 1700 km s-1)
and statistically significant (probability of 98%).
This line could correspond to Fe XVIII at
17.62 Å.
The Ne IX-He
triplet lines lay in the 13-14 Å range.
We have added them to the
model finding that only one line is clearly detected and statistically
significant (probability of 98%). This line could be a blend of the
three components.
The parameter values of the best fit model (Model
)
are summarized
in Tables 6 and 7. This model and its errors
are plotted in Figs. 7 and 8.
Table 7:
Model
parameters for the narrow emission lines.
![]() |
Figure 8:
Low resolution X-ray spectra - in the rest frame - of UGC 11763 as
obtained with the EPIC-pn (black dots),
EPIC-MOS1 (green diamonds) and EPIC-MOS2 (red squares) cameras. The best fit model (Model
|
| Open with DEXTER | |
6 Discussion
From the OM data of UGC 11763 we have found that the IUE spectra is
representative of its flux
state during the XMM-Newton observation.
Using the IUE flux at 2500 Å and the flux at 2 keV from
EPIC-pn data,
erg s-1 cm-2 keV-1, we obtain an
optical/X-ray spectral index
for this object. This value
is similar to those given by Wilkes & Elvis (1987) and
Gallo (2006) and is typical of Seyfert 1 AGNs as shown by these authors.
Regarding the shape of the continuum emission from the AGN, a power law accounts for the hard X-rays. It has a standard spectral index for Seyfert 1 galaxies or AGNs (Piconcelli et al. 2005) and is in good agreement with the values found by Inoue et al. (2007) from the same XMM-Newton observation and by Singh et al. (1991) from EXOSAT Observatory data taken with the low-energy and medium-energy detectors and the source in a low luminosity state.
The EPIC data show the possible presence of the Fe K
line around
6 keV.
The line parameters are unconstrained
(as seen by the large error bars); in addition, the line is weak (equivalent
width of
0.23+0.15-0.11 keV) and rather broad
(
+15 000-7 000 km s-1). Therefore we consider the significance of this line to be very low.
It is interesting to note that Inoue et al. (2007) also included
the Fe K
line in their final model, at a similar
energy within the errors. Its reported width is smaller than found here, but
their larger
error makes their value and ours compatible.
The extrapolation of the hard-X-ray model to lower energies, down to
0.35 keV,
reveals the existence of a large soft-X-ray flux in excess of the hard power
law, from
0.9 keV and below.
This excess has also been reported by Masnou et al. (1992) from
Einstein Observatory IPC (Imaging Proportional Counter) data and
Singh et al. (1991) from EXOSAT Observatory data.
After testing the most typical components used to model the soft excess we
find that it can be accounted for by a black body component with
keV (consistent with the value obtained by
Inoue et al. 2007) as found in many other Seyfert galaxies
(Piconcelli et al. 2005).
In fact, we find that the continuum spectral characteristics of UGC 11763 are typical of Seyfert 1 galaxies. UGC 11763 shows soft X-ray excess emission as detected in several Seyfert 1 and NLS1 objects (Piconcelli et al. 2004; Boller et al. 1996). Regarding variability: in the long term (several years) variations by a factor of about 10 have been detected; in the short term, variations by about 1.5 have been detected in our 37 ks observation. This behavior is typical of ``normal'' Seyfert 1s (e.g., Markowitz 2005; Winter et al. 2008; Dewangan et al. 2008). The rapid and large-amplitude variability as seen in other NLS1s (Boller 2000) is not detected during our observation. For example, for the NLS1 NGC 4051, McHardy et al. (1995) reported a flux variation by a factor of about 10 during a 28 ks ROSAT observation. However, as can be seen in the middle right panel of Fig. 1 of Smith & Vaughan (2007), NGC 4051 has also periods during which no large-amplitude variability is observed. The X-ray properties of UGC 11763 do not show the extreme properties of other NLS1 in X-rays. Moreover, Gallo (2006) suggests that NLS1s show complex spectra while at a low flux state. We caught UGC 11763 at a flux about 10 times lower than in other epochs. Still none of the complex spectral properties attributed by Gallo to NLS1s in low state have been detected. We therefore conclude that UGC 11763 is probably a NLS1 at the border between the NLS1 and Seyfert 1 classification. Its optical properties suggest a NLS1 but there is no conclusive prove of this nature from the present X-ray observations.
Our simultaneous analysis of the EPIC and RGS data reveals the presence of
absorption by ionized gas in the line of sight to UGC 11763.
Two absorbing components are clearly required to fit the data (see
Table 6) as has already been
found for many other objects that show the presence of warm
absorbers (e.g., IRAS 13349+2438, Sako et al. 2001;
NGC 7469, Blustin et al. 2003;
NGC 3783, Krongold et al. 2003;
Mrk 279, Costantini et al. 2007;
NGC 985, Krongold et al. 2009).
A low ionization component (LIC) - log
U=1.65+0.07-0.08,
cm-2(
K) -, gives rise to absorption by the
Fe M-shell UTA (charge states XII to XVI).
A high ionization component (HIC) - log
,
cm-2, twice higher than for the LIC,
(
K) -
produces absorption by Fe XX-Fe XXV.
The velocity of both components relative to the systemic
velocity of UGC 11763 is consistent with a single value of
km s-1.
After the inclusion of the second absorber, residuals at 11 Å on the RGS2 data (Fig. 7) were still found that are consistent with an absorption feature by Fe XXIII. This led us to test the presence of a third absorption component. The inclusion of this component in the model, however, does not improve the fit. This result does not rule out the existence of a third absorbing component in the line of sight to this source, but data with a higher signal-to-noise ratio are required in order to establish or discard its presence.
Different scenarios have been suggested to model the observed complexity of the absorbing material in AGNs. Krongold et al. (2005,2009,2003) and Netzer et al. (2003) modelled the absorption with a discrete number of absorbing components finding that these components appear to be in pressure balance with each other. With a different idea, Steenbrugge et al. (2005,2003) and Ogle et al. (2004) suggested that the absorption could be produced by a radial distribution of material with a continuous distribution of temperatures. However, recent models have shown that models consisting in discrete phases in pressure balance can also model the ionized absorbers in these objects (Krongold et al. 2007, for NGC 4051; and Chelouche 2009, for NGC 5548). Alternatively, it has also been suggested that, rather than a multi-phase medium in pressure balance, the absorber could be a single system with a constant total (gas plus radiation) pressure with a stratified distribution in temperature (Rózanska et al. 2006; Gonçalves et al. 2006).
As pointed out by Krongold et al. (2003) a wide well resolved UTA feature sets tight restrictions on the ionization degree of the absorbing material and different values of the ionization parameter lead to different shapes and wavelength ranges for the UTA. Figure 7 shows a well defined UTA feature in the RSGs spectra of UGC 11763. A medium with a smooth distribution of temperatures is unlikely to produce this well defined feature (for a detailed discussion see Krongold et al. 2003).
Our model presents a simple picture: two kinematically indistinguishable gas
components with rather different photoionization equilibrium temperatures and
two widely separated ionization parameter values. This simple picture suggests
that the absorption observed in the source spectrum may arise from two
phases of the same medium.
To test the possibility of having a multi-phase medium in pressure equilibrium
we have calculated the thermal equilibrium curve
vs.
(hereafter S-curve) for UGC 11763 (Fig. 9) using the SED described in Sect. 5.2.
The S-curve represents the points where heating and cooling
processes are in equilibrium. The
value is inversely proportional
to the gas pressure, so that vertical lines in the plot indicate isobaric
conditions. More than one phase may exist at pressures where the S-curve is
multivalued (Chakravorty et al. 2009; Krolik & Kriss 2001).
Regions of the curve with negative slope are unstable because
any isobaric perturbation will produce net heating or cooling in the gas,
see Krongold et al. (2005) for further details.
For this object we find that the LIC and HIC components lie in stable parts
of the curve (Fig. 9). Both components are consistent with having roughly the same gas pressure. This fact and the similar velocity (see Table 6)
we find for both absorbers suggest that the two components in UGC 11763 could
indeed constitute a multi-phase medium.
In this sense, it is noteworthy that the LIC has a relatively high
temperature (
K).
Given the shape
of the S-curve, only gas at such temperature could coexist in pressure
equilibrium with the high ionization HIC component.
In fact, the UTA in this object is formed by
Fe XII-Fe XVI;
this is striking since UTAs
found in warm absorbers in other Seyfert 1 galaxies are colder (
few
K) and are produced by Fe VII-Fe XII
(see Krongold et al. 2009, and references therein) and in those
objects such charge states are the ones
required for pressure equilibrium between their absorbing components (for
them, the gas producing Fe XIII-Fe XVI lies on unstable regions of
the S-curve).
![]() |
Figure 9:
Thermal stability curve of UGC 11763 obtained using the SED based on
the simultaneous multiwavelength data obtained in this observation and
assuming a column density of log
|
| Open with DEXTER | |
As we have mentioned in Sect. 1, the same AGNs that show
absorption lines in the UV also show signatures of X-ray absorbers
(Mathur et al. 1995; Kriss 2002; Crenshaw et al. 1999).
In many cases, the absorbers show similar outflow velocities and similar
ionization states in the UV and X-rays, and in this cases, it is
straightforward to assume that the same media is producing absorption in both bands
(e.g. Arav et al. 2007). Nevertheless, since this is not the case for all the objects studied, the precise relation between the absorbers in both bands is still uncertain.
Crenshaw et al. (1999) and Dunn et al. (2008,2007) have studied the UV spectrum of UGC 11763. Crenshaw et al. found signatures
of two absorbing components in the lines due to C IV, N V, and
O VI with radial velocities of
and
km s-1. Later,
Dunn et al. also found two components
in the lines due to O VI(
1032, 1038)
with radial velocities similar to those found by
Crenshaw et al..
However, these reported velocities do not agree with the ones we find for the
X-ray absorber. Moreover, the ionization states we find in the LIC and HIC components are too high for O VI to produce detectable absorption features in the UV (see
for example Arav et al. 2007). This implies
that the systems producing the absorption in X-rays are
not the same as those producing absorptions in the UV.
We find four statistically significant emission lines (see
Fig. 10). Three of them can be identified as O VII
He
(r), O VII He
(f) and a blend of the Ne IX
He
triplet.
The energies of the lines are slightly different from their laboratory
values. Nevertheless, taking into account the errors in the energy
determination
of the lines during the fitting process, their positions are
consistent with the rest frame of UGC 11763.
These lines are often found in
other Seyfert 1 and NLS1 AGNs as NGC 3783 (Kaspi et al. 2000),
NGC 3516 (Turner et al. 2003),
NGC 4051 (Pounds et al. 2004) and
Mrk 335 (Longinotti et al. 2008) among others.
The fourth line can be identified as the Fe XVIII line at 17.62 Å,
also detected in the spectra of NGC 7469 by Blustin et al. (2007).
None of these lines are resolved in the spectra, which does not allow the
reliable determination of their widths. Therefore, it is possible that all of
them arise in the same medium.
![]() |
Figure 10: Enlargement of Fig. 7 showing the fitted lines. |
| Open with DEXTER | |
As a final remark we would like to point out that both warm absorbing
components appear to be redshifted (
)
with respect to the emission lines
and the rest frame of the object. This could be indicating the presence of an
inflow. However, given the loss in spectral resolution we have to assume in
order to increase the signal-to-noise of our spectra,
the quality of the data is not sufficient to constrain the
velocity of these components. While the presence of infalling ionized gas could have important potential effects for our understanding of AGN winds, the present measurements are not
conclusive. A longer observation of this source is needed to further study
this possibility, as well as to constrain the physical parameters of the
emitting media.
7 Summary and conclusions
We have analyzed all the data of UGC 11763 taken by the XMM-Newton satellite. Joining the optical-UV information with the X-ray information we have built the SED of this object at the epoch of observation. We have concentrated our efforts mainly on the analysis of the X-ray spectra, finding that the continuum emission of the source can be characterized by a power law and a black body components. The continuum emission is absorbed by ionized material in the line of sight to the source. We have found two absorbing components that are consistent with their being in pressure equilibrium, indicating that they could constitute two phases of the same medium. This idea is supported by an UTA of higher ionization than those found in other AGNs. Furthermore, we have found some emission lines, among them an unusual Fe XVIII emission line. The X-ray properties of UGC 11763 described here are compatible with it being either a normal Seyfert 1 galaxy or a NLS1. There is no sign of the extreme X-ray properties, like large amplitude short-term variability or spectral complexity, detected in other NLS1 at least at some epochs. More data are needed in order to get a full characterization of this object.
Acknowledgements
We are grateful to the referee, Elisa Costantini, for a careful revision of this manuscript that greatly improved its clarity. This research is completely based on observations obtained with XMM-Newton, an ESA science mission with instruments and contributions directly funded by ESA Member States and NASA. For the spectral fitting use of software provided by the Chandra X-ray Centre (CXC) in the application package Sherpa has been made. This work has been supported by DGICYT grants AYA-2004-02860-C03 and AYA2007-67965-C03-03. G.H. and M.C. acknowledge support from the Spanish MEC through FPU grants AP2003-1821 and AP2004-0977. Furthermore, partial support from the Comunidad de Madrid under grants S-0505/ESP/000237 (ASTROCAM) and S-0505/ESP-0361 (ASTRID) is acknowledged. M.C. and G.H. also thank the hospitality of the UNAM. Y.K. acknowledges support from the Faculty of the European Space Astronomy Centre (ESAC), and the hospitality of ESAC.
References
- Arav, N., Gabel, J. R., Korista, K. T., et al. 2007, ApJ, 658, 829 [NASA ADS] [CrossRef] (In the text)
- Blustin, A. J., Branduardi-Raymont, G., Behar, E., et al. 2003, A&A, 403, 481 [NASA ADS] [CrossRef] [EDP Sciences]
- Blustin, A. J., Kriss, G. A., Holczer, T., et al. 2007, A&A, 466, 107 [NASA ADS] [CrossRef] [EDP Sciences] (In the text)
- Boller, T. 2000, New Astron. Rev., 44, 387 [NASA ADS] [CrossRef] (In the text)
- Boller, T., Brandt, W. N., & Fink, H. 1996, A&A, 305, 53 [NASA ADS] (In the text)
- Boroson, T. A. 2002, ApJ, 565, 78 [NASA ADS] [CrossRef]
- Boroson, T. A., & Green, R. F. 1992, ApJS, 80, 109 [NASA ADS] [CrossRef]
- Brandt, W. N., Mathur, S., & Elvis, M. 1997, MNRAS, 285, L25 [NASA ADS] (In the text)
- Chakravorty, S., Kembhavi, A. K., Elvis, M., & Ferland, G. 2009, MNRAS, 393, 83 [NASA ADS] [CrossRef]
- Chelouche, D. 2009, ApJ, 692, 375 [NASA ADS] [CrossRef] (In the text)
- Clements, E. D. 1981, MNRAS, 197, 829 [NASA ADS] (In the text)
- Constantin, A., & Shields, J. C. 2003, PASP, 115, 592 [NASA ADS] [CrossRef] (In the text)
- Costantini, E., Kaastra, J. S., Arav, N., et al. 2007, A&A, 461, 121 [NASA ADS] [CrossRef] [EDP Sciences] (In the text)
- Crenshaw, D. M., Kraemer, S. B., Boggess, A., et al. 1999, ApJ, 516, 750 [NASA ADS] [CrossRef] (In the text)
- de Bruyn, A. G., & Sargent, W. L. W. 1978, AJ, 83, 1257 [NASA ADS] [CrossRef] (In the text)
- den Herder, J. W., Brinkman, A. C., Kahn, S. M., et al. 2001, A&A, 365, L7 [NASA ADS] [CrossRef] [EDP Sciences] (In the text)
- Dewangan, G. C., Mathur, S., Griffiths, R. E., & Rao, A. R. 2008, ApJ, 689, 762 [NASA ADS] [CrossRef]
- Dickey, J. M., & Lockman, F. J. 1990, ARA&A, 28, 215 [NASA ADS] [CrossRef] (In the text)
- Dunn, J. P., Crenshaw, D. M., Kraemer, S. B., & Gabel, J. R. 2007, AJ, 134, 1061 [NASA ADS] [CrossRef] (In the text)
- Dunn, J. P., Crenshaw, D. M., Kraemer, S. B., & Trippe, M. L. 2008, AJ, 136, 1201 [NASA ADS] [CrossRef]
- Ferland, G. J., Korista, K. T., Verner, D. A., et al. 1998, PASP, 110, 761 [NASA ADS] [CrossRef] (In the text)
- Freeman, P., Doe, S., & Siemiginowska, A. 2001, in SPIE Conf. Ser., 4477, ed. J.-L. Starck, & F. D. Murtagh, 76 (In the text)
- Gabel, J. R., Crenshaw, D. M., Kraemer, S. B., et al. 2003, ApJ, 583, 178 [NASA ADS] [CrossRef] (In the text)
- Gallo, L. C. 2006, MNRAS, 368, 479 [NASA ADS] (In the text)
- Gehrels, N. 1986, ApJ, 303, 336 [NASA ADS] [CrossRef] (In the text)
- George, I. M., Turner, T. J., Netzer, H., et al. 1998, ApJS, 114, 73 [NASA ADS] [CrossRef]
- Ghosh, K. K., Swartz, D. A., Tennant, A. F., Wu, K., & Ramsey, B. D. 2004, ApJ, 607, L111 [NASA ADS] [CrossRef] (In the text)
- Gonçalves, A. C., Collin, S., Dumont, A.-M., et al. 2006, A&A, 451, L23 [NASA ADS] [CrossRef] [EDP Sciences]
- Greene, J. E., & Ho, L. C. 2005, ApJ, 630, 122 [NASA ADS] [CrossRef] (In the text)
- Grier, C. J., Peterson, B. M., Bentz, M. C., et al. 2008, ApJ, 688, 837 [NASA ADS] [CrossRef]
- Grupe, D., & Mathur, S. 2004, ApJ, 606, L41 [NASA ADS] [CrossRef]
- Grupe, D., Wills, B. J., Leighly, K. M., & Meusinger, H. 2004, AJ, 127, 156 [NASA ADS] [CrossRef]
- Halpern, J. P. 1982, Ph.D. Thesis, AA, Harvard Univ., Cambridge, MA
- Ho, L. C., Darling, J., & Greene, J. E. 2008, ApJS, 177, 103 [NASA ADS] [CrossRef] (In the text)
- Huchra, J. P., Vogeley, M. S., & Geller, M. J. 1999, ApJS, 121, 287 [NASA ADS] [CrossRef] (In the text)
- Inoue, H., Terashima, Y., & Ho, L. C. 2007, ApJ, 662, 860 [NASA ADS] [CrossRef] (In the text)
- Jansen, F., Lumb, D., Altieri, B., et al. 2001, A&A, 365, L1 [NASA ADS] [CrossRef] [EDP Sciences] (In the text)
- Kaspi, S., Brandt, W. N., Netzer, H., et al. 2000, ApJ, 535, L17 [NASA ADS] [CrossRef]
- Kaspi, S., Brandt, W. N., Netzer, H., et al. 2001, ApJ, 554, 216 [NASA ADS] [CrossRef] (In the text)
- Komossa, S. 2000, New Astron. Rev., 44, 483 [NASA ADS] [CrossRef] (In the text)
- Kriss, G. A. 2002, in Mass Outflow in Active Galactic Nuclei: New Perspectives, ed. D. M. Crenshaw, S. B. Kraemer, & I. M. George, ASP Conf. Ser., 255, 69 (In the text)
- Kriss, G. A., Blustin, A., Branduardi-Raymont, G., et al. 2003, A&A, 403, 473 [NASA ADS] [CrossRef] [EDP Sciences] (In the text)
- Kriss, G. A., Green, R. F., Brotherton, M., et al. 2000, ApJ, 538, L17 [NASA ADS] [CrossRef]
- Krolik, J. H., & Kriss, G. A. 2001, ApJ, 561, 684 [NASA ADS] [CrossRef]
- Krongold, Y., Nicastro, F., Brickhouse, N. S., et al. 2003, ApJ, 597, 832 [NASA ADS] [CrossRef] (In the text)
- Krongold, Y., Nicastro, F., Elvis, M., et al. 2005, ApJ, 620, 165 [NASA ADS] [CrossRef]
- Krongold, Y., Nicastro, F., Elvis, M., et al. 2007, ApJ, 659, 1022 [NASA ADS] [CrossRef] (In the text)
- Krongold, Y., Jiménez-Bailón, E., Santos-Lleo, M., et al. 2009, ApJ, 690, 773 [NASA ADS] [CrossRef] (In the text)
- Lawson, A. J., & Turner, M. J. L. 1997, MNRAS, 288, 920 [NASA ADS] (In the text)
- Longinotti, A. L., Nucita, A., Santos-Lleo, M., & Guainazzi, M. 2008, A&A, 484, 311 [NASA ADS] [CrossRef] [EDP Sciences]
- Markowitz, A. 2005, ApJ, 635, 180 [NASA ADS] [CrossRef]
- Masnou, J. L., Wilkes, B. J., Elvis, M., McDowell, J. C., & Arnaud, K. A. 1992, A&A, 253, 35 [NASA ADS] (In the text)
- Mason, K. O., Breeveld, A., Much, R., et al. 2001, A&A, 365, L36 [NASA ADS] [CrossRef] [EDP Sciences] (In the text)
- Mathur, S., Elvis, M., & Wilkes, B. 1995, ApJ, 452, 230 [NASA ADS] [CrossRef]
- Mathur, S., Wilkes, B., Elvis, M., & Fiore, F. 1994, ApJ, 434, 493 [NASA ADS] [CrossRef]
- McHardy, I. M., Green, A. R., Done, C., et al. 1995, MNRAS, 273, 549 [NASA ADS] (In the text)
- Mullaney, J. R., & Ward, M. J. 2008, MNRAS, 385, 53 [NASA ADS] [CrossRef]
- Netzer, H., Kaspi, S., Behar, E., et al. 2003, ApJ, 599, 933 [NASA ADS] [CrossRef] (In the text)
- Ogle, P. M., Mason, K. O., Page, M. J., et al. 2004, ApJ, 606, 151 [NASA ADS] [CrossRef] (In the text)
- Osterbrock, D. E., & Pogge, R. W. 1985, ApJ, 297, 166 [NASA ADS] [CrossRef] (In the text)
- Peterson, B. M., Ferrarese, L., Gilbert, K. M., et al. 2004, ApJ, 613, 682 [NASA ADS] [CrossRef] (In the text)
- Piconcelli, E., Jimenez-Bailón, E., Guainazzi, M., et al. 2004, MNRAS, 351, 161 [NASA ADS] [CrossRef] (In the text)
- Piconcelli, E., Jimenez-Bailón, E., Guainazzi, M., et al. 2005, A&A, 432, 15 [NASA ADS] [CrossRef] [EDP Sciences] (In the text)
- Pounds, K. A., Reeves, J. N., King, A. R., & Page, K. L. 2004, MNRAS, 350, 10 [NASA ADS] [CrossRef]
- Protassov, R., van Dyk, D. A., Connors, A., Kashyap, V. L., & Siemiginowska, A. 2002, ApJ, 571, 545 [NASA ADS] [CrossRef] (In the text)
- Reynolds, C. S. 1997, MNRAS, 286, 513 [NASA ADS]
- Rózanska, A., Goosmann, R., Dumont, A.-M., & Czerny, B. 2006, A&A, 452, 1 [NASA ADS] [CrossRef] [EDP Sciences]
- Sako, M., Kahn, S. M., Behar, E., et al. 2001, A&A, 365, L168 [NASA ADS] [CrossRef] [EDP Sciences] (In the text)
- Saxton, R. D., Read, A. M., Esquej, P., et al. 2008, A&A, 480, 611 [NASA ADS] [CrossRef] [EDP Sciences] (In the text)
- Singh, K. P., Rao, A. R., & Vahia, M. N. 1991, ApJ, 372, 49 [NASA ADS] [CrossRef] (In the text)
- Smith, R., & Vaughan, S. 2007, MNRAS, 375, 1479 [NASA ADS] [CrossRef] (In the text)
- Steenbrugge, K. C., Kaastra, J. S., de Vries, C. P., & Edelson, R. 2003, A&A, 402, 477 [NASA ADS] [CrossRef] [EDP Sciences]
- Steenbrugge, K. C., Kaastra, J. S., Crenshaw, D. M., et al. 2005, A&A, 434, 569 [NASA ADS] [CrossRef] [EDP Sciences]
- Steenbrugge, K. C., Fenovcík, M., Kaastra, J. S., Costantini, E., & Verbunt, F. 2009, A&A, 496, 107 [NASA ADS] [CrossRef] [EDP Sciences] (In the text)
- Tananbaum, H., Avni, Y., Branduardi, G., et al. 1979, ApJ, 234, L9 [NASA ADS] [CrossRef] (In the text)
- Turner, M. J. L., Abbey, A., Arnaud, M., et al. 2001, A&A, 365, L27 [NASA ADS] [CrossRef] [EDP Sciences] (In the text)
- Turner, T. J., Kraemer, S. B., Mushotzky, R. F., George, I. M., & Gabel, J. R. 2003, ApJ, 594, 128 [NASA ADS] [CrossRef]
- Véron-Cetty, M.-P., & Véron, P. 2006, A&A, 455, 773 [NASA ADS] [CrossRef] [EDP Sciences] (In the text)
- Voges, W., Aschenbach, B., Boller, T., et al. 1999, A&A, 349, 389 [NASA ADS] (In the text)
- Wakker, B. P., Savage, B. D., Sembach, K. R., et al. 2003, ApJS, 146, 1 [NASA ADS] [CrossRef] (In the text)
- Wilkes, B. J., & Elvis, M. 1987, ApJ, 323, 243 [NASA ADS] [CrossRef] (In the text)
- Williams, O. R., Turner, M. J. L., Stewart, G. C., et al. 1992, ApJ, 389, 157 [NASA ADS] [CrossRef] (In the text)
- Winter, L. M., Mushotzky, R. F., Tueller, J., & Markwardt, C. 2008, ApJ, 674, 686 [NASA ADS] [CrossRef]
Footnotes
- ... time
- The live time is the ratio between the time interval during which the CCD is collecting X-ray events (integration time, including any time needed to shift events towards the readout) and the frame time (which in addition includes time needed for the readout of the events). XMM-Newton Users Handbook (http://xmm.esac.esa.int/external/xmm_user_support/ documentation/uhb/node28.html).
All Tables
Table 1: Details of XMM-Newton instrument exposures.
Table 2: Fluxes in the OM filters obtained using aperture photometry.
Table 3: Comparison between X-ray fluxes from the literature and from this work.
Table 4: EPIC-pn fit model parameters for the 2-10 keV energy range.
Table 5:
Model
parameters for the simultaneous EPIC-pn, EPIC-MOS1 and
EPIC-MOS2 spectrum fit in the 0.35-10 keV energy range.
Table 6:
PHASE and continuum parameter values for models
and
for the simultaneous fits to the EPIC and RGS spectra.
Table 7:
Model
parameters for the narrow emission lines.
All Figures
![]() |
Figure 1: Average IUE spectrum of UGC 11763 (1200-3200 Å, in black) merged with the optical spectrum (3200-9000 Å, in blue) from de Bruyn & Sargent (1978). Solid red circles show the OM measures for the different filters. |
| Open with DEXTER | |
| In the text | |
![]() |
Figure 2: Soft (filled circles) and hard (open squares) EPIC-pn light curves binned by 500 s. |
| Open with DEXTER | |
| In the text | |
![]() |
Figure 3:
EPIC-pn spectrum of the UGC 11763 nucleus, showing the power law
fit to the 2-10 keV range. Galactic absorption and a neutral Fe-K |
| Open with DEXTER | |
| In the text | |
![]() |
Figure 4:
EPIC-pn spectrum of the UGC 11763 nucleus, showing the whole,
0.35-10 keV energy range and the fit to the 2-10 keV range. The fit has
two components, a power law and a Gaussian emission line at 6.36 keV,
absorbed by the Galactic column density.
A huge soft excess below |
| Open with DEXTER | |
| In the text | |
![]() |
Figure 5:
EPIC-pn, EPIC-MOS1 and EPIC-MOS2 spectra - in the rest frame - of the
UGC 11763 nucleus, showing the best fit model
|
| Open with DEXTER | |
| In the text | |
![]() |
Figure 6:
Spectral energy distribution adopted for UGC 11763. Values in the
optical-UV are estimated using the OM data and for energies higher than
|
| Open with DEXTER | |
| In the text | |
![]() |
Figure 7:
High resolution X-ray spectra -in the rest frame- of UGC 11763 as
obtained with RGS1, (blue up triangles), and RGS2 (cyan down triangles), and
binned to 15 channels per bin. Solid lines are the convolution of the best
fit model with instrument responses. (Model
|
| Open with DEXTER | |
| In the text | |
![]() |
Figure 8:
Low resolution X-ray spectra - in the rest frame - of UGC 11763 as
obtained with the EPIC-pn (black dots),
EPIC-MOS1 (green diamonds) and EPIC-MOS2 (red squares) cameras. The best fit model (Model
|
| Open with DEXTER | |
| In the text | |
![]() |
Figure 9:
Thermal stability curve of UGC 11763 obtained using the SED based on
the simultaneous multiwavelength data obtained in this observation and
assuming a column density of log
|
| Open with DEXTER | |
| In the text | |
![]() |
Figure 10: Enlargement of Fig. 7 showing the fitted lines. |
| Open with DEXTER | |
| In the text | |
Copyright ESO 2009
Current usage metrics show cumulative count of Article Views (full-text article views including HTML views, PDF and ePub downloads, according to the available data) and Abstracts Views on Vision4Press platform.
Data correspond to usage on the plateform after 2015. The current usage metrics is available 48-96 hours after online publication and is updated daily on week days.
Initial download of the metrics may take a while.
![\begin{figure}
\par\includegraphics[width=9cm,clip]{11687f01.eps}
\end{figure}](/articles/aa/full_html/2009/38/aa11687-09/Timg37.png)
![\begin{figure}
\par\includegraphics[width=9cm,clip]{11687f02.eps}
\end{figure}](/articles/aa/full_html/2009/38/aa11687-09/Timg40.png)
![\begin{figure}
\par\includegraphics[angle=-90,width=9cm,clip]{11687f03.eps}
\end{figure}](/articles/aa/full_html/2009/38/aa11687-09/Timg69.png)
![\begin{figure}
\par\includegraphics[angle=-90,width=9cm,clip]{11687f04.eps}
\end{figure}](/articles/aa/full_html/2009/38/aa11687-09/Timg70.png)
![\begin{figure}
\par\includegraphics[angle=0,width=9cm,clip]{11687f05.eps}
\end{figure}](/articles/aa/full_html/2009/38/aa11687-09/Timg81.png)
![\begin{figure}
\par\includegraphics[width=9cm,clip]{11687f06.eps}
\end{figure}](/articles/aa/full_html/2009/38/aa11687-09/Timg105.png)
![\begin{figure}
\par\includegraphics[width=13cm,clip]{11687f07.eps}
\end{figure}](/articles/aa/full_html/2009/38/aa11687-09/Timg115.png)
![\begin{figure}
\par\includegraphics[width=13cm,clip]{11687f08.eps}
\end{figure}](/articles/aa/full_html/2009/38/aa11687-09/Timg127.png)
![\begin{figure}
\par\includegraphics[width=9cm,clip]{11687f09.eps}
\end{figure}](/articles/aa/full_html/2009/38/aa11687-09/Timg140.png)
![\begin{figure}
\par\includegraphics[width=9cm,clip]{11687f10.eps}
\end{figure}](/articles/aa/full_html/2009/38/aa11687-09/Timg143.png)