| Issue |
A&A
Volume 505, Number 2, October II 2009
|
|
|---|---|---|
| Page(s) | 845 - 852 | |
| Section | Planets and planetary systems | |
| DOI | https://doi.org/10.1051/0004-6361/200911886 | |
| Published online | 11 August 2009 | |
Orbital evolution of the
and
dust ring particles of Uranus
R. Sfair - S. M. Giuliatti Winter
UNESP-São Paulo State University, C.P. 205, Guaratinguetá, CEP 12516-410, SP, Brazil
Received 19 February 2009 / Accepted 24 June 2009
Abstract
The
and
rings of Uranus form a secondary
ring-moon system with the satellites Puck, Mab, Portia, and
Rosalind. These rings are tenuous and dominated by micrometric
particles, which can be strongly disturbed by dissipative forces,
such as the solar radiation pressure. In the region of these
rings, the solar radiation force and the planetary oblateness
change the orbital evolution of these dust particles
significantly. In this work, we performed a numerical analysis of
the orbital evolution of a sample of particles with radii of 1,
3, 5, and
m under the influence of these
perturbations, combined with the gravitational interaction with
the close satellites. As expected, the Poynting-Robertson
component of the solar radiation force causes the collapse of the
orbits on a timescale between
and
years, while the radiation pressure causes an
increase in the eccentricity of the particles. The inclusion of
Uranus's oblateness prevents a large variation in the
eccentricity, confining the particles in the region of the rings.
The encounters with the close satellites produce variations in the
semimajor axis of the particles, leading them to move inward and
outward within the ring region. These particles can either remain
within the region of the rings or collide with a neighbouring
satellite. The number of collisions depends on the size of both
the particles and the satellites, and the radial width of the
ring. For the time span analysed, the percentage of particles that
collide with a satellite varies from 43% to 94% for the
ring, and from 12% to 62% for the
ring. Our study shows
that all collisions with Portia and Rosalind have the value of
impact velocity comparable to the escape velocity, which could
result in the deposition of material onto the surface of the
satellite. Collisions between Puck and particles larger than
m also occur at an impact velocity comparable to the value
of the escape velocity. The exception is Mab, which is hit by
particles with velocities several times larger than the escape
velocity. These collisions are energetic enough to eject material
and supply material to the
ring. However, only a few
particles (3%) collide with the surface of the satellite Mab at
such a velocity.
Key words: planets: rings - planets and satellites: individual: Uranus - methods: N-body simulations
1 Introduction
Until 1977, the only known planet surrounded by rings was Saturn.
In this year, during the occultation of the star SAO 158687, four
narrow rings around Uranus were discovered (Elliot et al. 1977), and
further observations from Voyager II found six more rings and
faint dust bands between the rings (Smith et al. 1986). The
ring orbits at 51 149 km (
),
the outer edge of the main ring system.
Showalter & Lissauer (2006) obtained several images with long exposure
times of the Uranian system using the Hubble Space Telescope
(HST), which discovered two rings,
and
,
which
represented a secondary ring-moon system orbiting outside the main
rings. Both rings are very faint and their radial profiles,
defined in terms of the brightness of the ring as a function of
the distance from the planet's centre, show a distinguished
triangular profile. Their orbits are closely related with
satellites: the peak, which corresponds to the distance from the
planet's centre of maximum normal value of I/F (measurement of
the brightness of the ring that would be observed from a
perpendicular point of view), of
ring is almost aligned with
the orbit of the satellite Mab, while the inner edge of the ring
coincides with the orbit of Puck. The
ring peak does not
match the orbit of any satellite, but the ring orbits between the
satellites Rosalind and Portia. Figure 1 shows a
schematic view of the
and
rings and the closest
satellites. The radial extension of each ring is represented by
shadow areas, and the solid lines correspond to the orbits of
Puck, Mab, Rosalind, and Portia. All distances are represented in
units of Uranus' radius (
), and the solid line at
indicates the position of the
ring, the outermost ring
of the main system.
![]() |
Figure 1:
Schematic view of the secondary ring-moon system of
Uranus. The solid lines correspond
to the satellites orbits and the rings are represented by shadow areas. The planet (shadow area until 1 |
| Open with DEXTER | |
The
and
rings are radially wide and predominantly
forward scattering, indicating that they are dominated by
micrometric dust (de Pater et al. 2006). Dust particles can be
disturbed by several non-gravitational forces, such as the solar
radiation force, the solar tidal, and the planetary oblateness.
These forces are much weaker than the gravity force of the planet.
However, they change the orbital energy of the particle, which can
be important to its long-term evolution.
In this paper, we analyse the orbital evolution of a sample of dust particles, located at the secondary ring system of Uranus, affected by the solar radiation pressure, the oblateness of the planet, and the gravitational perturbations of the satellites. In Sect. 2, we analyse the strength of the solar radiation pressure and the oblateness of the planet, and in Sect. 3, we describe the numerical method. The effects of these perturbations on the ring particles and the orbital evolution of them are analysed in Sects. 4 and 5, respectively. Section 6 deals with the collisions between the particles and the satellites. Our final conclusions are presented in the last section.
2 Force parameter
Hamilton & Krivov (1996) presented a way to compare the strength of the perturbation forces using dimensionless parameters that depend on the dust particles' semimajor axis, and the physical properties of the dust and the planet. Following their notation, we calculated the values of the solar tidal (A), oblateness (W), and radiation pressure (C) parameters. The solar tidal parameter A is defined as![]() |
(1) |
where
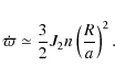
The parameter W, which describes the strength of the planetary
oblateness, is written as
![]() |
(2) |
where J2 denotes the second zonal harmonic coefficient, R is the radius of the planet, and a is the semimajor axis of the particle.
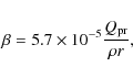
The ratio
of the radiative force to the planets' gravity
of
a particle with radius r and density
is
![]() |
(3) |
In this equation,
Using the previous definition of
,
the perturbation caused
by radiation pressure is written as
![]() |
(4) |
All of these parameters were calculated for a dust particle around Uranus, and the results are presented in Fig. 2.
![]() |
Figure 2:
Parameters values as a function of the distance of the
planet: A (solar tide), W (planetary oblateness), and C(radiation pressure). The vertical bars denote the radial extent
of the |
| Open with DEXTER | |
As can be seen in Fig. 2, the solar tide is
relevant to particles located faraway from the planet
(>50
), thus it can be safely ignored in the region of
the
and
rings. On the other hand, for these rings the
effects of radiation pressure and oblateness are appreciable and
must be taken into account. In the following sections, we present
our results for a numerical study of the evolution of a sample of
particles disturbed by the gravitational effects of the closest
satellites to each ring, the solar radiation pressure, and the
oblateness of Uranus.
2.1 Solar radiation force
Most of the planetary ring systems are coplanar to the orbital
plane of the planet, that is, the inclination i of the ring
particle is
,
where
is the obliquity of
the planet (Hamilton 1993). In these cases, the problem can be
treated as bidimensional, when the Sun and the ring particle are
located in the same plane.
Although Uranus's dusty rings describe equatorial orbits, the
obliquity of Uranus
is
(Murray & Dermott 1999). Therefore, this problem requires a
three-dimensional approach, since the Sun and the ring particle do
not share the same orbital plane.
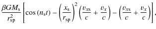
For a particle that describes an orbit around a planet with
obliquity
,
the components of the solar radiation force,
in a Cartesian inertial frame centred on the planet, can be
written as (Mignard 1984)
where
If we assume that a spherical particle obeys geometrical optics,
the parameter
defined earlier as the ratio of the
radiation force
to the solar gravitational force can be written as (Burns et al. 1979)
![]() |
(8) |
where
3 Numerical simulations
We performed a numerical study of the evolution of a sample of particles located at theThe numerical integrations were carried out using the variable timestep Bulirsch-Stoer algorithm from the Mercury package (Chambers 1999). The Mercury package allows the inclusion of a user-defined force such as Eqs. (5)-(7). It can also handle the case of a non-spherical central body including terms for the multipole expansion of the gravity field. We restricted our analysis to the first term of the expansion (J2) for Uranus, a reasonable approximation when higher terms of the expansion are at least two orders of magnitude smaller.
In our model, the planet is in a circular orbit around the Sun,
thus
is constant, as well as the solar flux. We did
not take into account the reflection from the planet, when the
contribution of this effect was at least an order of magnitude
weaker than those produced by the direct radiation
(Hamilton & Krivov 1996). For the same reason, we ignored the effects of
the grain rotation (Yarkovsky effect).
The semimajor axis (a), eccentricity (e), inclination (i),
pericentre (
), ascending node (
), and the radius
of the satellites used in the numerical simulations are listed in
Table 1. All orbital elements were derived from
Showalter & Lissauer (2006), and the density of all satellites was
assumed to be 1.3 g cm-3, equivalent to those for the
satellite Miranda. Table 2 (adapted from
Showalter & Lissauer 2006) summarizes the information for the
and
rings orbital radii. The rings were assumed to be
in circular and equatorial orbits. Uranus's parameters used in the
numerical simulations (radius, mass, semimajor axis, and J2coefficient) were derived from Murray & Dermott (1999).
The gravitational effects of the other satellites of the Portia
family were not taken into account since these satellites are
small and far from the
and
rings.
No information has so far regarding the particle size distribution
of the
and
rings. Since de Pater et al. (2006) showed that
these rings are dominated by micrometric dust, we assumed
spherical particles of size 1, 3, 5, and 10
m with density of
1 g cm-3 (pure solid ice). For each ring, an ensemble of
10 000 particles of each size were radially and azimuthally
distributed within the ring region. The initial conditions of the
particles were chosen following a random normal distribution.
Each particle was numerically integrated for a time span of 1000 years. When the distance between the particle and a satellite was less than the satellite's radius, a collision was detected. In this case, the particle is removed from the system and the impact parameters (position and velocity) were recorded.
Table 1: Satellite orbital elements and physical parameters used in the numerical simulations.
Table 2:
The
and
rings radii.
4 Solar radiation force and planetary oblateness effects
Firstly, we analysed the effects of each component of the solar radiation force on the orbital elements of the particle, and how accounting for the planetary oblateness modified these effects.
As expected, if the oblateness of the planet is not taken into
account, the radiation pressure component causes a variation of a
few kilometres in the semimajor axis and induces large variations
in the eccentricity of a dust particle. Figure 3
shows how RP changes the eccentricity of four particles with
identical initial conditions but different sizes.
Figure 3a shows the evolution in the eccentricity
of particles located at the
ring, and
Fig. 3b for those particles at the
ring.
![]() |
Figure 3:
Evolution of the eccentricity due to the radiation
pressure component
for ring particles with identical initial conditions: a) for the |
| Open with DEXTER | |
The overall behaviour of the eccentricity variation caused by the
radiation pressure component for both
and
rings is the
same. For larger particles, the period of oscillation is
approximately equal to the orbital
period of the planet (
84 years). The concavities seen in Fig. 3
are related to a highly inclined Uranus' equatorial plane. A local
minimum appears
approximately at the half of the orbital period of the planet, as the Sun crosses the ring plane.
It can be seen that the eccentricity of the 1
m particle
reaches a value higher than 0.5, which is enough to cause
a collision with the
ring. Before colliding with the main ring
system, the particles of the
and
rings should cross the orbits of several
satellites of the Portia family and may collide with one of these satellites.
In contrast to the radiation pressure, the Poynting-Robertson
component causes
no secular change in the eccentricity. The main effect of the PR drag is a
decrease in the semimajor axis caused by the energy loss experienced by the particle.
A
m particle initially located at a=97 500 km (approximately at the peak of
the
ring) decays 23 km in about 100 years, while the variation in the semimajor
axis of a
m particle is roughly 2 km (Fig. 4).
If we assume a constant decay rate, the time until the orbits
collapse varies
from
to
years, depending on the size of the
particle. Burns et al. (1979) provide an analytical expression to
calculate the lifetime of a circumplanetary particle in an
equatorial orbit and the values derived from our numerical
simulations are accurate to about 5% for particles of all sizes.
![]() |
Figure 4:
Evolution of the semimajor axis due to
the PR drag for |
| Open with DEXTER | |
The next step was to analyse the effects of the solar radiation force and a non-spherical central body. The oblateness of Uranus adds a short-period variation in the semimajor axis disturbed by the Poynting-Robertson component, although the decay rate remains the same (Fig. 5).
![]() |
Figure 5: Evolution of the semimajor axis under the effects of the PR drag and the planetary oblateness. The initial conditions of the particles are the same as in Fig. 4. |
| Open with DEXTER | |
The effect of the oblateness is more evident in the eccentricity of the particle under the effects of the radiation pressure component. Figure 6 shows the variation in the eccentricity for particles of different sizes and identical initial conditions as presented in Fig. 3a. A comparison between Figs. 3a and 6 shows that the oblateness causes a ``damping'' in the eccentricity variation.
![]() |
Figure 6:
Evolution of the eccentricity
due to the radiation pressure and the planetary oblateness (J2 term) for
those particles
located at the |
| Open with DEXTER | |
The decrease in the amplitude is enhanced as the distance to the
planet decreases, when the rate of precession can be described by
an inverse square law (cf. Eq. (9)). The reduction is
more evident for the
ring particles.
Figure 7a and b illustrates the variation in the
eccentricity for
m and
m sized particles of the
ring with the same initial conditions as the particles shown
in Fig. 3b.
![]() |
Figure 7:
Evolution of the eccentricity due to the radiation
pressure component and the
planetary oblateness for |
| Open with DEXTER | |
This decrease in the eccentricity keeps the particle within the region of the rings. A similar process occurs in the Saturn's F-ring, where the damping in the eccentricity avoids the particles leaving the ring region (Sfair et al. 2009).
The effects of the planetary oblateness on a particle, already disturbed by the solar radiation pressure, can lead to different outcomes. For dust particles located close to Phobos and Deimos (Mars' satellites), the oblateness of the planet enhances the variation in the eccentricity produced by RP component (Hamilton & Krivov 1996), while for those particles at the ring system of Neptune (Foryta & Sicardy 1996) and Saturn (Sfair et al. 2009) the effect is the opposite. The values of the eccentricity are ``damped'' when the planetary oblateness is considered.
The damping in the eccentricity occurs when the precession due to the oblateness is faster than the planet's mean motion. In this case, the forced eccentricity induced by the radiation pressure has insufficient time to develop fully and tends to disappear (Mignard 1984).
The period of oscillation also changes and becomes shorter. The
period of the eccentricity is modulated by the coupling of three
frequencies:
,
,
and a short-period
frequency related to the inclusion of the J2 term, where
is the pericentre precession
rate, which can be written as (Murray & Dermott 1999)
The time rate of
varies from 1.87 to 8.86 degrees per
year for the innermost
and outermost particles, respectively. These values agree fairly well with those obtained
by means of numerical simulations.
5 Orbital evolution
In addition to the effects of the solar radiation pressure and the oblateness of Uranus, the dust ring particles are also perturbed by the closest satellites. The
Figures 8 and 9 show the evolution of the
semimajor axis of two
ring particles. In each plot, the
y-axis represents the semimajor axis displacement from its
initial value as a function of time (x-axis). All particles were
integrated for a time span of 1000 years, unless a collision
occurs.
![]() |
Figure 8:
Temporal evolution of the semimajor axis of two |
| Open with DEXTER | |
![]() |
Figure 9:
Temporal evolution of the semimajor axis of two |
| Open with DEXTER | |
![]() |
Figure 10:
Evolution of the semimajor axis of |
| Open with DEXTER | |
![]() |
Figure 11:
The same as Fig. 10 for |
| Open with DEXTER | |
The amplitude of the variation in the eccentricity,
caused by the gravitational perturbation of the satellites, is
.
It is, at least, two orders of magnitude smaller than the
variation produced by the RP component. Therefore, the evolution
of the eccentricity is dominated by this component of the solar
radiation force. The eccentricity can reach values higher than
0.01. Such values are high enough to cause close encounters with
the satellites, which cause sudden variations (jumps) of
the semimajor axis. The
m particles exhibit amounts of
these axis large variations, sometimes of hundreds of kilometres
(Fig. 8), while the majority of the
m particles
exhibit ``jumps'' of a few kilometres (Fig. 9). Even
those particles initially faraway from the neighbourhood of the
satellites can experience close encounters with them, especially
small particles, which are more sensitive to the effects of the
radiation pressure.
In the cases shown in Figs. 8 and 9, the
particles have different orbital evolution. The variation in the
semimajor axis of the particles, due to close encounters with the
satellites, in combination with the eccentricity oscillation,
allow the orbit of the particle to cross the orbit of the
satellite, leading to an eventual collision. For example, the
semimajor axis of the particle represented in Fig. 8 has
a variation larger than 300 km, implying that a collision with
Puck will occur in
360 years.
A similar behaviour was found for the
ring particles.
Figures 10 and 11 show the evolution of the
semimajor axis of four
ring particles, orbiting an oblate
Uranus, affected by the solar radiation force and the
gravitational perturbations of Portia and Rosalind.
As expected, the strength of the planetary oblateness is stronger
in the
ring region (Fig. 2), which makes
the eccentricity damping more effective. However, even a small a
variation in the eccentricity leads to close encounters with one
of the satellites (Fig. 10). Some
m sized
particles of the
ring undergo deviations of some hundreds of
kilometres in semimajor axis (Fig. 11a), as a consequence
of the proximity with Portia and Rosalind.
The global behaviour of the representative sample of the particles
with 3
m and
m sizes do not differ from the cases
presented here. The eccentricity varies according to the
combination of the J2 term and the RP component. The close
encounters between the particle and the satellite produce
variations (jumps) in the semimajor axis within the ring region.
6 Collisions between satellites and particles
Since the oblateness prevents the overstated increase in the
eccentricity, the complete ensemble of particles remains within
the region of the rings for the time span of 1000 years.
However, some particles cross the orbit and can collide with the
close satellite. Tables 3 and 4 summarize the
number of collisions between the particles and the satellites in
the numerical simulations.
is the percentage of the
particles that collide with the satellite,
is the
mean time of the collision, and
is the mean impact
velocity.
For both rings, the percentage of the number of collisions
(
)
and the mean time (
)
exhibit a correlation
with the size of the particle. This is because of the different
values of the eccentricity, produced by the effect of the
RP component. Small particles, which are more sensitive to this
effect, exhibit large variations in their eccentricity. The orbits
of
m sized particles cross a broad region of the ring,
increasing the probability of collision with a close satellite.
By comparing both ring systems, we can verify that the particles
located at the
ring have a shorter lifetime. After
1000 years,
of the
m sized particles collided with
Portia or Rosalind. Meanwhile, the number of collisions with Puck
and Mab is roughly
of the total number of particles. This
difference is caused mainly by the radial extension of the
ring, which is
4.5 times narrower than the
ring.
All particles that did not suffer any collision with the
satellites remained within the region of the rings.
The number of collisions with the satellites Portia and Puck
depends, primarily, on the size and location of the satellites.
The decrease in the semimajor axis, due to the PR drag, increases
the collision between the satellites, located close to the inner
edge of the ring, and the particles. Portia and Puck are both
larger than the satellites Mab and Rosalind. It can be seen from
Table 1 that Puck is
7 larger than Mab, which
increases the superficial area of Puck and consequently the
probability of collision with the particles. More than 50% of
the
ring particles collide with Puck.
When a particle hits the surface of the satellite, it may be absorbed or it can produce dust ejecta. At the time of the collision, we computed the relative velocities of the satellite and the particle, which allows us to calculate the impact velocity. The impact velocity is a reliable measurement of the energy carried by the particle. Depending on the impact velocity, the particle can be absorbed or dust ejecta can be produced.
The escape velocities (
)
of Puck, Mab, Portia, and
Rosalind are approximately 70 m s-1, 10 m s-1,
60 m s-1, and 30 m s-1, respectively. Most of the
collisions where
can generate
ejecta debris that can escape from the parent satellite. The fate
of these debris depends strongly on the size of the satellite and
the geometry during impact. Tables 3 and 4 show
that most of the values of the impact velocity of the ring
particles are comparable to the escape velocity of the satellite.
Collisions that could produce dust ejecta are those between
m sized particles and the satellites. All dust particles
that collide with Mab have
.
However, this means of suppling dust particles to the ring is
insufficient, since the number of collisions is less than 3% of
the total amount of analysed particles.
7 Final discussion
We have performed a numerical analysis to determine the orbital evolution of a sample of dust particles, located at the
Each component of the solar radiation force is responsible for a
distinctive effect in the orbit of the particle. The semimajor
axis of the particles decays due to PR drag, and the RP component
causes large variations in the eccentricity. The effects on the
semimajor axis of the particles does not change considerably when
the oblateness of Uranus is taken into account. However, the
damping of the eccentricity, due to the J2 term, keeps the
particles within the region of the rings and prevent the collision
with the
ring.
The close encounters with the satellites induce sudden variations
in the semimajor axis of the particles, although the particles
still do not leave the ring region. Consecutive encounters
increase the probability of collisions between the particles and
the satellites, especially for
m particles, which are more
sensitive to the effects of RP component. The number of collisions
and the mean time of the collision depend on both the size of the
particle and the width of the rings.
The total number of collisions is higher for the inner satellites
Puck and Portia. All collisions with Portia and Rosalind have an
impact velocity comparable to the value of the escape velocity,
which could deposit material onto the surface of the satellite.
Collisions between Puck and particles larger than
m also
have an impact velocity comparable to the value of the escape
velocity. However, the impact velocity of those
m particles
that collide with Puck is almost seven times higher than the
escape velocity. Further analysis is required in order to verify
whether these collisions can produce dust ejecta. Only a few
particles (3%) hit the surface of the satellite Mab at a velocity
that can cause the ejection of material in the
ring.
Other mechanisms of dust production, such as bombardment by
micrometeoroids, will have to be introduced to explain the origin
of the micrometric particles in the
and
rings. This
study is under investigation.
Table 3:
Results of the collision between
ring particles and
the close satellites (Mab and Puck) after 1000 years.
Table 4:
Results of the collision between
ring particles
and the close satellites (Rosalind and Portia) after
1000 years.
Acknowledgements
The authors thank FAPESP, CAPES, and CNPq for the financial support. We also thank the anonymous referee for its helpful comments.
References
- Burns, J. A., Lamy, P. L., & Soter, S. 1979, Icarus, 40, 1 [NASA ADS] [CrossRef] (In the text)
- Chambers, J. E. 1999, MNRAS, 304, 793 [NASA ADS] [CrossRef] (In the text)
- de Pater, I., Hammel, H. B., Gibbard, S. G., & Showalter, M. R. 2006, Sci., 312, 92 [NASA ADS] [CrossRef] (In the text)
- Elliot, J. L., Dunham, E., & Mink, D. 1977, Nature, 267, 328 [NASA ADS] [CrossRef] (In the text)
- Foryta, D. W., & Sicardy, B. 1996, Icarus, 123, 129 [NASA ADS] [CrossRef] (In the text)
- Hamilton, D. P. 1993, Icarus, 101, 244 [NASA ADS] [CrossRef] (In the text)
- Hamilton, D. P., & Krivov, A. V. 1996, Icarus, 123, 503 [NASA ADS] [CrossRef] (In the text)
- Mignard, F. 1984, in Planetary Rings, ed. R. Greenberg, & A. Brahic, IAU Colloq., 75, 333 (In the text)
- Murray, C. D., & Dermott, S. F. 1999, Solar System Dynamics (In the text)
- Sfair, R., Winter, S. M. G., Mourão, D. C., & Winter, O. C. 2009, MNRAS, 395, 2157 [NASA ADS] [CrossRef] (In the text)
- Showalter, M. R., & Lissauer, J. J. 2006, Sci., 311, 973 [NASA ADS] [CrossRef] (In the text)
- Smith, B. A., Soderblom, L. A., Beebe, R., et al. 1986, Sci., 233, 43 [NASA ADS] [CrossRef] (In the text)
All Tables
Table 1: Satellite orbital elements and physical parameters used in the numerical simulations.
Table 2:
The
and
rings radii.
Table 3:
Results of the collision between
ring particles and
the close satellites (Mab and Puck) after 1000 years.
Table 4:
Results of the collision between
ring particles
and the close satellites (Rosalind and Portia) after
1000 years.
All Figures
![]() |
Figure 1:
Schematic view of the secondary ring-moon system of
Uranus. The solid lines correspond
to the satellites orbits and the rings are represented by shadow areas. The planet (shadow area until 1 |
| Open with DEXTER | |
| In the text | |
![]() |
Figure 2:
Parameters values as a function of the distance of the
planet: A (solar tide), W (planetary oblateness), and C(radiation pressure). The vertical bars denote the radial extent
of the |
| Open with DEXTER | |
| In the text | |
![]() |
Figure 3:
Evolution of the eccentricity due to the radiation
pressure component
for ring particles with identical initial conditions: a) for the |
| Open with DEXTER | |
| In the text | |
![]() |
Figure 4:
Evolution of the semimajor axis due to
the PR drag for |
| Open with DEXTER | |
| In the text | |
![]() |
Figure 5: Evolution of the semimajor axis under the effects of the PR drag and the planetary oblateness. The initial conditions of the particles are the same as in Fig. 4. |
| Open with DEXTER | |
| In the text | |
![]() |
Figure 6:
Evolution of the eccentricity
due to the radiation pressure and the planetary oblateness (J2 term) for
those particles
located at the |
| Open with DEXTER | |
| In the text | |
![]() |
Figure 7:
Evolution of the eccentricity due to the radiation
pressure component and the
planetary oblateness for |
| Open with DEXTER | |
| In the text | |
![]() |
Figure 8:
Temporal evolution of the semimajor axis of two |
| Open with DEXTER | |
| In the text | |
![]() |
Figure 9:
Temporal evolution of the semimajor axis of two |
| Open with DEXTER | |
| In the text | |
![]() |
Figure 10:
Evolution of the semimajor axis of |
| Open with DEXTER | |
| In the text | |
![]() |
Figure 11:
The same as Fig. 10 for |
| Open with DEXTER | |
| In the text | |
Copyright ESO 2009
Current usage metrics show cumulative count of Article Views (full-text article views including HTML views, PDF and ePub downloads, according to the available data) and Abstracts Views on Vision4Press platform.
Data correspond to usage on the plateform after 2015. The current usage metrics is available 48-96 hours after online publication and is updated daily on week days.
Initial download of the metrics may take a while.
![\begin{figure}\par\includegraphics[width=8cm]{11886f1.eps}\end{figure}](/articles/aa/full_html/2009/38/aa11886-09/Timg13.png)




![\begin{figure}\par\includegraphics[width=8cm]{11886f2.eps}\end{figure}](/articles/aa/full_html/2009/38/aa11886-09/Timg24.png)
![$\displaystyle \frac{\beta G M_{\rm s}}{r_{\rm sp}^2} \left[
\cos\left(n_{\rm s}...
...{v_x}{c} \right) - \left( \frac{v_{x{\rm s}}}{c}+\frac{v_x}{c} \right) \right],$](/articles/aa/full_html/2009/38/aa11886-09/img28.png)



![\begin{figure}\mbox{ \subfigure[]{
\includegraphics[angle=-90,width=8.5cm]{11886...
...bfigure[]{
\includegraphics[angle=-90,width=8.5cm]{11886f3b.eps} }} \end{figure}](/articles/aa/full_html/2009/38/aa11886-09/Timg46.png)
![\begin{figure}\par\includegraphics[angle=-90,width=8.6cm]{11886f4.eps}
\end{figure}](/articles/aa/full_html/2009/38/aa11886-09/Timg48.png)
![\begin{figure}\par\includegraphics[angle=-90,width=8.6cm]{11886f5.eps}\end{figure}](/articles/aa/full_html/2009/38/aa11886-09/Timg49.png)
![\begin{figure}\par\includegraphics[angle=-90,width=8.6cm]{11886f6.eps}\end{figure}](/articles/aa/full_html/2009/38/aa11886-09/Timg50.png)
![\begin{figure}\mbox{ \subfigure[]{
\includegraphics[angle=-90,width=8.6cm]{11886...
...bfigure[]{
\includegraphics[angle=-90,width=8.6cm]{11886f7b.eps} }} \end{figure}](/articles/aa/full_html/2009/38/aa11886-09/Timg51.png)

![\begin{figure}\par\subfigure[]{\includegraphics[angle=-90,width=8cm]{11886f8a.ep...
...
\subfigure[]{\includegraphics[angle=-90,width=8cm]{11886f8b.eps} }
\end{figure}](/articles/aa/full_html/2009/38/aa11886-09/Timg55.png)
![\begin{figure}\par\subfigure[]{\includegraphics[angle=-90,width=8cm]{11886f9a.ep...
...
\subfigure[]{\includegraphics[angle=-90,width=8cm]{11886f9b.eps} }
\end{figure}](/articles/aa/full_html/2009/38/aa11886-09/Timg56.png)
![\begin{figure}\par\subfigure[]{\includegraphics[angle=-90,width=8cm]{11886f10.ep...
...
\subfigure[]{\includegraphics[angle=-90,width=8cm]{11886f11.eps} }
\end{figure}](/articles/aa/full_html/2009/38/aa11886-09/Timg57.png)
![\begin{figure}\par\subfigure[]{\includegraphics[angle=-90,width=8cm]{11886f12.ep...
...
\subfigure[]{\includegraphics[angle=-90,width=8cm]{11886f13.eps} }
\end{figure}](/articles/aa/full_html/2009/38/aa11886-09/Timg58.png)