| Issue |
A&A
Volume 505, Number 2, October II 2009
|
|
|---|---|---|
| Page(s) | 873 - 889 | |
| Section | Planets and planetary systems | |
| DOI | https://doi.org/10.1051/0004-6361/200912292 | |
| Published online | 11 August 2009 | |
Giant planet formation in stellar clusters: the effects of stellar fly-bys
M. M. Fragner - R. P. Nelson
Astronomy Unit, Queen Mary University of London, Mile End Road, London E1 4NS, UK
Received 6 April 2009 / Accepted 23 July 2009
Abstract
Context. The majority of stars in the Galaxy are thought to have formed within stellar clusters, resulting in occasional close encounters between stars during the epoch of planet formation. Encounters between young stars which possess protoplanetary discs will cause significant modification of the disc structure, and perturb any planets forming within the disc.
Aims. The primary aim of this work is to examine the effect of parabolic stellar encounters on the evolution of a Jovian-mass giant planet forming within a protoplanetary disc. We consider the effect on both the mass accretion and the migration history as a function of encounter distance.
Methods. We use a grid-based hydrodynamics code to perform 2D simulations of a system consisting of a giant planet embedded within a gaseous disc orbiting around a star, which is perturbed by a passing star on a prograde, parabolic orbit. The disc model extends out to 50 AU, and parabolic encounters are considered with impact parameters ranging from 100-250 AU.
Results. In agreement with previous work, we find that the disc is significantly tidally truncated for encounters <150 AU, and the removal of angular momentum from the disc by the passing star causes a substantial inflow of gas through the disc. The gap formed by the embedded planet becomes flooded with gas, causing the gas accretion rate onto the planet to increase abruptly. Gas flow through the gap, and into the inner disc, causes the positive inner disc torques exerted on the planet to increase, resulting in a sustained period of outward migration. For weaker interactions, corresponding to an encounter distance of
250 AU, we find that the planet-disc system experiences minimal perturbation.
Conclusions. Our results indicate that stellar fly-bys in young clusters may significantly modify the masses and orbital parameters of giant planets forming within protostellar discs. Planets that undergo such encounters are expected to be more massive, and to orbit with larger semimajor axes, than planets in systems which have not experienced parabolic encounters.
Key words: accretion, accretion disks - planets and satellites: formation
1 Introduction
Extrasolar planets are now being discovered with a broad range of masses and orbital element distributions (Udry & Santos 2007; Fischer et al. 2008). Accompanying these discoveries, there has been a significant resurgence in theoretical studies aimed at understanding how planetary systems form and evolve. The widely accepted picture of planet formation that proceeds via the formation and growth of planetesimals, which collide to produce fully formed planets, is a model which is essentially local, and makes no significant reference to the environment within which the host protostar and its protoplanetary disc are embedded. Most stars in the Galaxy, however, are thought to form in stellar clusters consisting of hundreds to thousands of stars, and close encounters between these stars are expected to significantly modify the structure of the disc (Korycansky & Papaloizou 1995; Larwood 1997; Clarke & Pringle 1991). It is likely that the impact of this, and other environmental factors, will need to be included in planet formation models eventually if the observed distributions of planetary characteristics are to be reproduced.
The question of how often young planetary systems
and their host stars suffer a
close encounter with passing stars in a cluster has
been addressed by Adams et al. (2005). They performed N-body simulations
to determine the probability for a fly-by to occur with a
given distance of closest approach (impact parameter).
Their models included the effects of cluster gas (present for the first 5 Myr)
and its dispersal after this time, and the encounter distances
were computed over a total evolution time of 10 Myr.
As expected, the presence of gas increases the cluster
density, and results in an increased encounter rate.
Adams et al. (2005) considered both virial (hot) and subvirial (cold)
clusters. For typical clusters sizes of 0.5-3.65 pc,
and stellar members between
N=100-1000, it was found that
approximately one encounter with an impact parameter of 100 AU
occurred every 106 years for subvirial clusters.
The cold configuration represents the most interesting case,
as it corresponds to young clusters in which forming planetary
systems are likely to be in a stage of early evolution,
such that the gas discs have not yet been dispersed, and
gas accretion onto the planet is still in progress.
The stellar density in the Adams et al. (2005) model was taken from
catalogs by Lada & Lada (2003) and Carpenter (2000), and
their range of cluster sizes corresponds to about 60
of the observational sample.
If we adopt a value of N=500 for a typical cluster size,
and a typical disc life time of
years, then
we can crudely estimate that 1% of stars will experience an
encounter with impact parameter
100 AU.
Only half of these will be prograde, and very
few will be coplanar with the protoplanetary disc. Our 2D
simulations clearly cannot capture the warping and twisting of the disc
that would result from an inclined encounter, but
an inclination angle of 45
still results in a disc
experiencing 70% of the maximum possible gravitational perturbation
in its horizontal plane. The tidal truncation and spiral wave excitation
that we capture in 2D simulations will therefore remain as important phenomena
in the full 3D case even when the inclination angle is
much larger than the disc opening angle.
In a similar study of stellar encounters,
Malmberg et al. (2007) performed N-body simulations for clusters
without gas and with virial initial velocities.
Their model did not include the gas component, so the
life time of their clusters is substantially increased,
and their simulation evolution times are
about a factor 10 longer than those of Adams et al. (2005).
For an initial cluster membership number of N=700 and
size 0.38 pc, they find an encounter rate of about
10 encounters in 106 years after 5 Myr of evolution,
for impact parameters
100 AU.
This larger encounter rate is due to the
higher star density used in the simulations.
Once again, this encounter rate must be halved when considering
prograde encounters only. Taking this into account, and the
reduced influence of very high inclination encounters,
estimates of the fraction of stars experiencing
encounters which may induce significant disc truncation and
spiral wave excitation are in the range 0.25-1.5% for a disc
life time of 5 Myr.
An analytical estimate of the stellar
encounter rate was presented by Binney & Tremaine (1987):
where n is the star density in the cluster,
In this paper we address the question of
how such encounters will modify the evolution of
a giant planet forming in a protoplanetary disc.
It is well known that a giant planet forming in a
disc surrounding a single star will form a
tidally-truncated gap, and will migrate inward via
type II migration on a time scale of a few
105 years
(e.g. Lin & Papaloizou 1986; Nelson et al. 2000).
The planet will also accrete gas which slowly
diffuses through the gap at a rate which is approximately
one Jovian mass per 105 yr.
A close-encounter between the protoplanetary
disc and a passing star will significantly perturb the
disc, causing it to be tidally truncated and initiating
an inward flow of gas. We use a grid-based hydrodynamics
code (NIRVANA) to perform 2D simulations that examine how
the evolution of a giant planet forming in a disc is
modified by such encounters. We are particularly interested
in calculating how the mass accretion and migration
rates are modified.
Our simulations start with a Jovian mass planet on a circular orbit at 5 AU, which has formed a gap and is slowly undergoing inward type II migration in a disc of radius 50 AU. The effects of stellar perturbers with distances of closest approach to the planet-hosting star of between 100-250 AU are examined. For close encounters in particular we find that accretion of gas can be substantially enhanced, and the inward migration can be reversed such that the giant planet undergoes a sustained period of outward migration.
The paper is organised as follows. In Sect. 2 we present our model, and in Sect. 3 the numerical method is described. The results of our simulations are presented in Sect. 4, and in Sect. 5 we present our conclusions.
2 Basic equations
The system we consider consists of a central star,
a thin protoplanetary accretion disc,
whose height-to-radius ratio
,
a
giant planet whose orbit plane coincides with the disc midplane, and
a stellar-mass perturber on a prograde parabolic orbit whose plane
is coincident with that of the planet. It is therefore convenient to
consider a two dimensional system in which the equations
describing the disc dynamics are vertically integrated.
We adopt cylindrical polar coordinates (r,
,
z)
whose origin is located at the position of the central star,
where the rotation axis of the disc coincides with the z axis,
and the velocities are
denoted
,
,
0).
The vertically integrated continuity equation is given by:
![]() |
(1) |
The vertically integrated radial momentum equation is:
and the angular momentum equation reads:
Here
Tij is the (i, j) component of the height integrated viscous stress tensor. We adopt a locally isothermal equation of state:
with
![]() |
(4) |
where
![]() |
(5) |
where Mi is the mass of the secondary star or planet. We use a softening parameter, bi, whose value is bi=0.6 Hi, and Hi is the effective disc thickness at the location of the companion object, i.
The planet and the secondary star
experience forces from all the other bodies and the
disc. The equation of motion for each of these objects is:
| |
= | ![]() |
|
![]() |
|||
![]() |
(6) |
The last two terms are indirect terms, which arise because we work in a non inertial frame centered on the primary star. The second term describes the gravitational interaction between the planet and secondary. The third term represents the acceleration from the disc. Note that in order to conserve angular momentum, the torque experienced by the disc due to the planet or secondary star is used to calculate the force on that body, which is why the third term appears in a slightly unfamiliar form. We note further, however, that the forces due to the disc arising from material within the Hill sphere of the planet were neglected, resulting in a slight asymmetry between the disc and planet accelerations.
3 Numerical Methods
The system of equations described in Sect. 2
is integrated using NIRVANA, a grid-based hydrodynamic code
(Ziegler & Yorke 1997). The advection scheme uses a second order accurate
monotonic transport algorithm (van Leer 1977), and conserves mass and
angular momentum globally.
In all simulations the number of grid cells employed was
(
.
The equations of motion for the planet
and stars are integrated using a standard first-order Euler scheme.
3.1 Boundary conditions
A zero gradient outflow boundary condition was applied at
the outer radial boundary, and at the inner radial boundary
we applied a boundary condition which allows outflow, but at
a rate that is limited to be smaller
or equal to 10 times the viscous flow
rate, where we define the viscous mass flow rate
to be
Limiting the outflow rate in this way was found to be necessary as standard open or reflective boundary conditions were found to generate unsatisfactory results for this particular application.
3.2 Units
The equations are integrated in dimensionless form with the
gravitational constant G=1.
The inner radius is located at r=1 and the outer radius
of the computational domain is at r=150.
We assume that the inner disc edge is located at a distance
of 0.5 AU from the star when converting between code and physical units.
The mass of the central object is assumed to be 1
.
When discussing simulation results we use the planet initial orbital period
as our unit of time.
3.3 Initial conditions
We initialise the simulations using a power law distribution
for the surface density profile, modulated by a
taper function that reduces the surface
density near the outer edge of the disc:
.
Effectively, the power law profile extends between
the inner disc edge and
,
beyond which
the taper function becomes important and reduces the
surface density down to a small value. Once the density
falls to
,
the disc joins onto
a region where the density uniformly has this small value.
This set-up provides the disc with plenty of space to respond to
the impact by the parabolic perturber, thus reducing
the influence of the outer boundary condition.
The taper function takes the form
![]() |
(7) |
where
![]() |
(8) |
The term involving the aspect ratio represents the effect of the pressure gradient generated by a
| h | = | ![]() |
|
| = | ![]() |
(9) |
Here it becomes clear why the small but nonzero quantity
For the uniform density region beyond
,
the azimuthal velocity was taken to be Keplerian.
The proportionality factor for the surface density prescription,
,
is determined from the total disc mass,
which was taken to be
at the
beginning of the simulation.
The radial velocity was chosen to be zero initially, and the disc
aspect ratio is
.
The viscosity coefficient was chosen to be a constant
throughout the disc,
corresponding to
at the planet position.
Running of the simulations consisted of two phases. First, a Jupiter mass planet was evolved for 535 orbits, starting at r1=10, in order to create a clean gap. Accretion onto the planet was switched off during this phase. Second, a solar mass stellar perturber was launched (usually at a distance r2=1000) and was evolved on a prograde, parabolic orbit in the plane of the disc. We denote the distance of closest approach of the perturber (or impact parameter) as q, which we express in units of the initial disc outer radius. Thus a run with q=2, for example, has a distance of closest approach equal to 200 measured in code units, as the disc has an initial radius equal to 100.
In the case of model 1, which we discuss below and which did not include a parabolic perturber, we simply continue the run on from t=535 orbits, but switch on gas accretion.
3.4 Planet accretion routine
Due to low resolution in the planet Hill sphere, we adopt
a simple treatment of the gas accretion process (Kley 1999).
For disc cells which lie within a distance of
,
where
is the planet Hill sphere radius, the amount of mass
removed from the disc at each time step and added to the
planet is given by:
where
The accretion parameter,
3.5 Calculating specific torques on the planet
The specific torques on the planet (body 1) are
due to the direct acceleration from the disc, the direct
acceleration due to the secondary perturber and the
indirect gravitational force.
Mathematically this can be expressed as:
| (11) |
The specific disc torque can be expressed as:
| |
= | ||
| = | (12) |
such that the specific disc torques are separated into contributions from the outer and inner disc, and from the corotation region. In the following section we introduce the total corotation torque,
![]() |
(13) |
The last two terms are due to the indirect force. Note that the first two terms in this expression almost cancel out, as
3.6 Calculating torques in corotation region
An issue that we explore in this paper is the role of corotation torques in driving the migration of the planet. The parabolic fly-by is expected to truncate the disc and drive a significant mass inflow. It is possible that as mass flows through the coorbital region of the planet, it induces a positive corotation torque, inducing a period of outward type III migration as described in Masset & Papaloizou (2003).
In order to measure the torque exerted on material located in the
corotation region in the numerical simulations,
we define an annulus whose boundaries extend by one Hill radius
on either side of the planet semimajor axis.
We thus split the disc into three parts, an inner and outer disc,
and the annulus - which we refer to as the corotation region.
Integrating Eq. (3) over an annulus with outer radius
and inner radius
gives:
![]() |
(14) |
with:
![]() |
(15) |
where J denotes the total angular momentum content in the annulus and
![]() |
(16) |
In practice we find that the torque due to the parabolic perturber (i=2) also has negligible magnitude. Also there is an associated loss of angular momentum due to gas accretion onto the planet, which we will treat as an effective torque and denote as
![]() |
(17) |
where the integral is to be performed over the surface area enclosed within a distance of
![]() |
(18) |
In order to estimate the error associated with this estimate, we also calculate:
![]() |
(19) |
where Q is a measure of the error. In our simulations we find that Q remains small, but varies between 10-3-10-2. The main contributor to the error arises from the exclusion of the Hill sphere region when calculating the torques on the planet, since we did not include this when calculating
4 Results
We now present the simulation results. We begin by discussing the effect of the perturber on the global disc structure, and how the stellar fly-by modifies the global angular momentum content of the disc. We then present a calibration run of a giant planet embedded in an otherwise unperturbed disc in model 1 to demonstrate agreement with previous results on migration and accretion rates. Following this we present results which demonstrate the effects that a stellar fly-by can have on the evolution of a giant planet forming in a protostellar disc. The runs we have performed, and their associated model parameters, are summarised in Table 1.Table 1: Table of runs.
In model 2 the planet was maintained on a
fixed circular orbit. In the second column of Table 1 the close encounter distance
in units of the outer edge of the physical domain
(50 AU) is
listed. The third column of Table 1 contains the variation of the accretion parameter,
where a value of 0.5 corresponds to fast, 0.05 to slow and 0to no accretion.
4.1 Effect of parabolic perturbers on the global disc structure: models 2-8
We now consider simulations for which there is an
encounter between a stellar perturber
on a prograde, parabolic orbit and a circumstellar disc.
We focus here on the effects that the fly-by has on
the disc structure. It is expected that
close encounters for which the impact
parameter
will produce significant changes in the
global structure of the disc. Fly-by scenarios with
gaseous discs have been investigated
without an embedded planet by Ostriker (1994) using linear theory,
Korycansky & Papaloizou (1995) using linear theory and
two dimensional simulations performed using a finite
difference code, and by Larwood (1997) using
three dimensional SPH simulations.
These authors all agree that the disc looses
a significant fraction of its angular momentum due to
the encounter. The orbital motion of a stellar perturber
on a parabolic orbit scans a broad (formally infinite) range
of angular frequencies, and
Korycansky & Papaloizou (1995) demonstrate that the peak response of the disc occurs
for frequencies corresponding to inner Lindblad resonances
which are located near the edge of the disc. More
specifically, most of the torque experienced by the disc
is applied at the point of pericentre passage.
We begin by examining the effect of a parabolic encounter
on the global structure of the disc in model 2. To initiate this run
we took the results of model 1 after t=535 planet orbits,
and launched a solar-mass perturber from an initial position
of (x, y)=(-750, 0), chosen so that its pericentre distance from the
central star is r2=200 code units (or 100 AU in physical units),
such that q=2.
At the time when the perturber is launched,
the planet has opened a deep gap in the disc, as may be observed
in the first panel of Fig. 1.
The influence of the perturber is apparent in the second panel
of Fig. 1, which corresponds to a time of
t=576 orbits when the perturber has reached pericentre
(located at x=93.4, y=-178.4).
A lop-sided two-armed spiral wave
is launched from near the outer edge of the disc,
generating a perturbation with strong contributions from
azimuthal mode numbers m=2 and m=1.
The m=2 inner Lindblad resonance associated with the perturber's
angular frequency at pericentre is located near the disc edge, and
inward propagating m=2 spiral waves are launched in the disc.
The strong m=1 contribution comes from the fact that the
closest approach occurs on just one side of the disc, such that
the perturbing potential has a significant non resonant m=1 component.
For a parabolic (zero energy) orbit, the angular frequency of the
perturber at closest approach in a frame centered on the primary is:
![]() |
(20) |
where
where the first term in brackets describes the effect of working in the primary frame. For a circular orbit, r2 and
![]() |
(21) |
Thus there is an infinite spectrum of frequencies
| (22) |
with
![]() |
(23) |
With this it is possible to determine the potential experienced in a ring at any radial location, r, in the disc for any chosen time, allowing us to evaluate the discrete Fourier transform of
![]() |
Figure 1: This figure shows surface density contours for different stages of the encounter during model 2. The top left panel shows the initial state at the time when the perturber is introduced, just after the gap clearing phase after 535 planetary orbits. The top right panel corresponds to when the perturber has reached pericentre. In the bottom left panel the disc is being truncated, and waves travel all the way to the planet-induced gap. The lower right panel shows the disc a long time after the encounter has occurred. |
| Open with DEXTER | |
The fact that we have an infinite range of frequencies
means that in principle m=2 waves are triggered at inner Lindblad
resonances everywhere in the disc by the perturber.
It is expected, however, that the disc responds dominantly to
a frequency whose inner
Lindblad resonance is located near to the edge of the disc where the
gravitational perturbation is large. For each simulation we
performed with different values of q (q=2, 2.5, 3, 5),
it was found that the dominant frequency of the spiral waves
launched were associated with Lindblad resonances located at
different disc locations. An interesting question is
what determines the location from which the
dominant wave is launched? One factor in determining this is the
fact that the disc is of finite radial extent, and a surface-density
taper is applied at the outside edge, such that strong forcing
by the companion's gravity there does not necessary excite a wave
which propagates with large amplitude into the main body of the disc.
By plotting the product
,
where
is the initial unperturbed surface density,
we find for most of our models that the radial location
in the disc where this product reaches a maximum
agrees very well with the position of the Lindblad resonance
associated with the dominant m=2 wave.
The value of
used
when plotting
corresponds to the frequency
of a wave which would be launched at an m-fold Lindblad
resonance located at r. For the model 2, with q=2, we find that
the dominant wave excited near the edge of the disc had a
frequency
,
with corresponding
Lindblad resonance at
.
This coincides with the maximum of
.
The disc response is highly non linear in model 2.
Fourier analysis of the disc surface density shows
that in addition to the dominant wave excited near
the disc edge, a higher frequency m=2 wave is more
pronounced in the disc inner parts, whose
Lindblad resonance is located at
.
The implication is that the highly
non linear wave excited at the very disc edge is damped through
the process of truncating the disc to a radius of
50.
The wave which survives and continues to propagate inward is
launched near to the radial location where the disc is eventually
truncated. The truncation of the disc down to a radius of
(half its original size)
can be observed in the third and fourth panels of
Fig. 1, and arises because the non linear
wave excited at the disc edge has a lower angular frequency than
the local disc material.
The third panel of Fig. 1 also shows that
spiral waves excited in the disc travel all the way to
the gap generated by the planet, and the associated
angular momentum loss by the disc causes significant
mass flow through the gap and into the disc that lies
interior to the planet. This flooding of the gap is temporary, however,
as the planet eventually clears the gap on a time scale of a few
hundred orbits after the perturber has passed by the disc.
The fourth panel corresponds
to a time when the perturber is no longer influencing the disc,
and the spiral waves that it excited have propagated toward the disc
centre and have dissipated. It is apparent that the embedded planet has
been able to re-form the gap, but the outer
gap edge has developed an eccentric shape
(with eccentricity
0.2.) which undergoes slow retrograde
precession. The origin and evolution of this disc eccentricity are
discussed later in the paper.
During pericentre passage of the secondary, mass gets pulled out through the outer boundary, and is lost from the disc. Figure 2 displays the relative mass and angular momentum loss by the disc in units of the initial quantities. As one can see, the disc loses about 6% of its initial mass, and there is an associated advective angular momentum loss through the outer boundary which is included in the solid curve showing total angular momentum loss. We also plot the angular momentum change due to torques only, as this result can be compared with Korycansky & Papaloizou (1995). Their set-up differed from ours, as we use an isothermal equation of state and open boundaries, and their calculations adopted closed boundary conditions and a polytropic equation of state. In spite of these differences, we obtain similar results to those authors, and find that the angular momentum loss due to torques by a perturber passing the disc with a pericentre distance equal to twice the disc radius is approximately 11 percent. Korycansky & Papaloizou (1995) obtained the value 13.3 percent.
![]() |
Figure 2: Angular momentum and mass of the disc normalised by the initial values for model 2. |
| Open with DEXTER | |
The results for model 6, with impact parameter q=2.5, are
similar to those described for model 2. The disc response is
highly nonlinear, and the disc is significantly
truncated down to a radius of
from an initial value
of r=100. A dominant m=2 wave is excited at the disc
edge whose frequency corresponds to a Lindblad resonance located at
,
and this again coincides with the maximum of
.
Further into the disc,
interior to the final truncation radius,
more prominent m=2 waves with higher frequencies are
observed, corresponding to Lindblad resonances located near r=75.
A significant difference in behaviour is observed for the discs
with
,
as the disc response transitions from being
highly nonlinear to being quasilinear, with very modest tidal
truncation. These are models 7 and 8, for which the
impact parameters were q=3 and q=5, respectively.
In the case of model 7, we find that a dominant m=2 wave
is excited in the disc, but with a frequency which corresponds
to a Lindblad resonance located at
,
somewhat inside
the outer disc edge. This again corresponds to the maximum
of the product
.
Unlike in the nonlinear cases discussed above, this wave propagates
all the way in to the inner disc without being fully dissipated.
![]() |
Figure 3: Disc angular momentum versus time for the following runs: model 5 - black (solid) line; model 6 - red (dotted) line; model 7 - green (dashed) line: model 8 - blue (dash-dotted); model 1 - magenta (triple-dot-dashed) line. |
| Open with DEXTER | |
The results of model 8 with q=5 are intriguing. We observe that
a weak m=2 spiral wave is excited in the disc, and propagates
all the way to the centre of the disc where the planet is.
The dissipation of this wave causes a modest modification
of the disc surface density in the vicinity of the planet and gap.
This wave has a frequency whose inner Lindblad resonance
location is predicted to be at
.
The product
does not
accurately predict the location of this Lindblad
resonance, which is outside of
the main body of the disc where the density is very small, and as such
we would not expect to see a wave in the disc which has
been excited there. It is possible that this wave is excited
because of finite resonance width effects.
The change in angular momentum for each of the disc models 5, 6, 7 and 8 are shown in Fig. 3. As expected we see that the closest encounters lead to the largest loss of angular momentum from the disc, ranging from approximately 12% for q=2, down to approximately 1% for q=3. The case with q=5 is almost indistinguishable from model 1, for which there was no stellar perturber, only an accreting planet in the disc. The results are in good agreement with those of Korycansky & Papaloizou (1995) who found angular momentum changes of 13.3% for q=2, approximately 1% for q=3, and effectively 0% for q=5.
4.2 Planet calibration run: model 1
We ran a model in which the stellar perturber was absent
in order to calibrate the migration and gas accretion
rate of a giant planet that is initially of
.
The initial stages of this simulation consisted of running
the model with a non accreting planet for 535 orbits,
and after this time we switched on accretion so that
gas entering the planet Hill sphere and being accreted did so after
viscously diffusing through the tidally-truncated gap.
At the end of the simulation (t=1880 planet orbits) we
obtained an accretion rate of
in code units.
This corresponds to
/orbit,
and is similar to the accretion rates found by
Kley (1999), Nelson et al. (2000), and Lubow et al. (1999) (whose results
were in the range
to
/orbit).
As noted by Lubow et al. (1999), accretion onto the planet is highly efficient,
such that we find that
This compares well to results found by Kley (1999) who obtained
As expected for planets in the type II migration regime,
the migration time scale (defined by
)
is found to be
years (see Fig. 8), in
good agreement with Nelson et al. (2000), D'Angelo & Kley (2003) and
a simple estimate of the viscous time scale.
Note that due to the initial gap clearing phase the planet has
already migrated to r=9.43 after 535 orbits.
The eccentricity stays below 0.01 throughout the run, as shown in
Fig. 14.
![]() |
Figure 4:
Specific torques on planet for model 2, which are
denoted by the following line styles:
|
| Open with DEXTER | |
4.3 Planet on fixed circular orbit: model 2
Before we examine the results of simulations which consider the migration and gas accretion by a giant planet embedded in a disc which is perturbed by a stellar fly-by, we examine a simulation in which the planet is maintained on a fixed circular orbit. As we will see in later sections, the evolution of both disc and planet in these systems is complicated, especially in those runs for which the fly-by induces a strong perturbation in the disc, so a planet on a fixed circular orbit provides a simpler starting point for which we can analyse the torques acting on the planet, and the evolution of the disc.
The simulation we present here is model 2 (see Table 1), which involves a non accreting Jupiter mass planet ( M1=10-3), and is a continuation of model 1 in which a non accreting giant planet opens up a gap in an otherwise unperturbed disc. We restart model 1 at time t=535 orbits, by which time the giant planet has migrated from r=10 to r=9.43and has opened a clean gap. Migration of the planet is switched off, and a stellar companion is introduced with a closest approach distance to the central star equal to twice the disc radius (i.e. q=2). The global effect of the fly-by on the disc has been described in Sect. 4.1.
![]() |
Figure 5: Mass flow through boundaries of corotation region, where a negative value corresponds to inflow. The black (solid) line corresponds to the outer boundary, and the red (dotted) line to the inner boundary. |
| Open with DEXTER | |
The specific torques experienced by the planet due to the disc are shown as a function of time in Fig. 4. This figure shows the specific torques due to the inner and outer disc, those originating from the corotation region that we defined in Sect. 3.6, and the total torque. Note that the torques have been smoothed over a temporal window of about six planetary orbits.
![]() |
Figure 6: The top left panel shows how the gap outer edge penetrates the corotation region, represented by the white solid lines. The top right panel illustrates the mass weighting procedure used to estimate the orbital elements of the disc material located at the gap outer edge. The dashed lines are the boundaries of the region, from where the velocity and density information was taken, and the solid line shows the ellipse thus obtained which represents the gap outer edge. The lower left panel shows the azimuthally integrated surface density in the corotation region. The lower right panel displays the gap structure around the planet. Due to eccentricity near the gap outer edge, the integrated surface density in the outer disc is reduced, but is increased in the corotation region, which is denoted by the dashed vertical lines. |
| Open with DEXTER | |
The simulation results are shown from the point in time when the
stellar perturber was introduced (at t=535 orbits), after the
planet has opened a gap. Each of the torques acting on the planet,
shown in Fig. 4,
is seen to be approximately constant until
orbits,
which is just after the point of closest approach of the stellar fly-by,
whose effect is to truncate the disc severely and induce an inward
mass flow through the disc.
Shortly after t=580 orbits we see that the corotation torque,
,
spikes upward from an initial value
.
This can be understood in the context of type III migration theory
(Masset & Papaloizou 2003), which predicts that a strong inward gas flow through
the orbital location of a planet can induce a positive
torque due to the gas interacting gravitationally with the planet
in the corotation region as it passes from one side of its orbit
to the other. As we will see below, the gas flow in our simulations
does not remain on circular orbits, and becomes rather complicated,
such that a simple application of type III migration
theory is probably not valid for this problem. But we should
still expect that an externally induced mass flow through
the corotation region will lead to a positive corotation
torque acting on the planet.
Figure 5 displays the mass flow measured at the
outer and inner edges of the corotation region,
with the convention that a negative mass flow corresponds to
flow directed inwards. Between the times 600-670 orbits it is clear
that there is a significant mass flow from the outer into the
inner disc through the corotation region (though it can also
be seen that some of the material flowing in through the outer
boundary of the corotation region does not make it all the way
through this region and out through the inner boundary).
The correlation between the
negative mass flow in Fig. 5 and the positive corotation torque
in Fig. 4 suggests that the positive corotation torque
we measure is induced by gas flow through the planet orbit.
It is also clear, however, that the positive corotation torque
is very short-lived, and the long term evolution of the planet
torques are dominated by other effects.
Over the same time scales over which we see the development of a positive corotation torque, we also see that the inner disc torques exerted on the planet increase (upper line in Fig. 4) because of mass flow into the inner disc, thereby increasing its mass and gravitational influence. We can also see that there is a long term trend for the outer disc torques to become less negative, and this is due to the modification of the outer disc structure caused by the fly-by and interaction with the planet. The surface density in the outer disc has decreased due to the fly-by and associated mass flow into the inner disc, as shown in the lower-right panel of Fig. 6.
In addition to this long-term weakening of outer disc torques, and strengthening of inner disc torques, we see that the torque measured as a corotation torque remains highly variable. To a large degree, this is due to the fact that the outer edge of the gap has become eccentric after the fly-by, and during periods of time when the disc pericentre penetrates the corotation region, the outer disc exerts a strong negative torque on the planet. Of course, this torque is not a corotation torque induced by mass flow through the orbit of the planet, but is in fact a resonant torque between the outer eccentric disc and planet. We postpone detailed discussion about the origin and long term evolution of this eccentric disc until Sect. 4.4, where we discuss the evolution of a migrating planet embedded in a disc perturbed by a stellar fly-by.
The eccentric outer disc is shown in close-up by the upper-right
panel of Fig. 6, and on the time scale of the
runs presented here the magnitude of the disc eccentricity
varies between values of
0.1-0.2, causing the outer
gap edge to vary its distance from the planet.
To illustrate this effect, we calculated the mass-weighted orbital elements
of gas that is located in an annulus extending from the planet
semimajor axis (r=9.43) out to a radius r=12.3,
in order to get a representative ellipse which describes the shape of the
outer gap edge. This is depicted in the upper-right panel of
Fig. 6.
The pericentre distance of this representative ellipse is plotted
as a function of time in Fig. 7, and by comparing
with Fig. 4 we can see that when the pericentre distance
decreases below
the designated corotation torque,
and the total torque, becomes negative. In particular this occurs at times
approximately equal to 680, 780 and 1020 orbits.
To summarise the rather complicated interaction between the planet and the perturbed disc after the fly-by, we find the following:
- (i)
- tidal truncation of the disc causes significant mass flow through the planet orbit from outer to inner disc;
- (ii)
- this mass flow can induce a short-lived positive corotation torque on the planet;
- (iii)
- the flow of mass from outer to inner disc causes a build-up of mass in the inner disc, and thus increases significantly the positive Lindblad torques exerted by the disc on the planet;
- (iv)
- the negative outer disc Lindblad torques are weakened by the change in disc structure, and reduction in surface density of the outer disc, induced by the fly-by and interaction with the planet. This is such that over long times the positive inner disc torques are stronger than the negative outer disc torques;
- (v)
- on the time scale of the run presented here, a long-lived and time dependent eccentric outer disc is generated and maintained. Close encounters between the outer eccentric gap edge and the planet induce strong, negative temporally varying torques on the planet.
![]() |
Figure 7: The pericentre distance of the gap outer edge versus time for model 2. |
| Open with DEXTER | |
4.4 Migrating planet: model 3
In this section we investigate the effect of a stellar perturber on
a migrating, non-accreting planet embedded in a disc.
As with model 2, which was discussed in the
previous section, the initial conditions for this simulation were taken from
model 1 at time t=535 orbits after the Jovian mass
planet had opened up a clean gap in the disc. At this point in time the
orbital radius of the planet
.
The perturber was introduced
on a parabolic orbit with closest approach to the disc equal to
200 code units, such that the ratio of pericentre distance to disc radius
was equal to two (i.e. q=2).
Our discussion of the results for model 2 presented in Sect. 4.3 suggest that a fly-by with q=2 will result in net positive torques being exerted on the planet, first because the perturber-induced gas flow through the planet orbit will induce a short-lived positive corotation torque, and second (and more importantly for the long-term evolution) because structural changes in the disc will change the balance between inner and outer disc torques. This should drive outward migration of the planet. Figure 8 shows that this expectation is fulfilled in model 3 whose semimajor axis evolution is depicted by the solid black line. The outward migration lasts for more than 2000 planetary orbits, up until the end of the simulation.
![]() |
Figure 8: Semimajor axes of planets as a function of time for various models. The line styles are as follows: model 3 - black (solid) line; model 1 - green (dash-dotted) line; model 4 - upper black (dotted) line; model 5 - red (dashed) line. |
| Open with DEXTER | |
![]() |
Figure 9:
Specific torques experienced by the planet for model 3. The
line styles are as follows:
|
| Open with DEXTER | |
![]() |
Figure 10: This figure shows the disc surface density at different times during model 3. The top left panel shows the initial state of the disc after gap clearing. The top right panel shows that the gap outer edge has increased its semimajor axis and eccentricity. The lower left panel shows that the gap circularises after its initial eccentricity growth. The lower right panel shows the corresponding azimuthally averaged profiles. The vertical lines represent the position of the planet at the different times indicated. |
| Open with DEXTER | |
Accompanying the positive spike in the corotation torque we observe a
sharp increase in the positive torque exerted by the inner disc on
the planet, which is caused by mass flow into the inner disc. This
increase in torque is seen to decline over
time scales of
1000 orbits
as the inner disc accretes onto the central star and the planet
migrates outward. But long term changes to the structure of the outer disc
cause the associated negative torque to decrease in magnitude. These
changes are induced by tidal truncation, induced mass inflow,
and eccentricity evolution. The result is that
the total torque experienced by the planet remains positive
for the duration of the simulation, driven mainly by the
increase in inner disc density and mass.
As discussed in Sect. 4.3, the
outer disc in model 2 is found to become
eccentric shortly after the fly-by, and the same effect is observed in
model 3 for the migrating planet. Analysis of the disc structure shows that
the disc eccentricity is localised near the outer edge of the gap between disc
radii in the range
in both models 2 and 3.
The surface density at different times for this simulation is
shown in Fig. 10. The first three panels show images of the
surface density distribution, and illustrate the disc eccentricity
evolution. The bottom right panel shows the azimuthally averaged
surface density as a function of radius, and shows the effect of the
eccentric disc on the gap width around the planet.
The origin of the disc eccentricity appears to be as follows:
the fly-by induces a significant and rapid inward gas flow
through the disc. A fraction of this inflowing gas
approaches the planet on modestly non circular orbits and undergoes a
close gravitational interaction with the planet, which exerts a positive
torque on the gas near to its pericentre passage. The equations for
the change in semimajor axis and eccentricity of a particle
due to gravitational interaction with a planet can be written
(e.g. Murray & Dermott 1999):
where
![]() |
Figure 11: Semimajor axis of planet - black (solid) line; semimajor axis of gap outer edge - blue (dotted) line; pericentre distance of outer gap edge - red (dashed) line. |
| Open with DEXTER | |
![]() |
Figure 12: Planet eccentricity - black (solid) line; eccentricity of gap outer edge - blue (dotted) line. |
| Open with DEXTER | |
Once a significant disc eccentricity has been set up, then
it is expected that the planet and eccentric disc will undergo
secular interaction (in addition to continuing interaction
at Lindblad resonances), causing their eccentricities to vary
and their orbits to precess. The time evolution of the
planet semimajor axis and eccentricity are plotted along with those of
the disc near the gap outer edge in Figs. 11 and 12,
and the longitudes of pericentre for both disc and planet are
plotted in Fig. 13. We can make rough estimates for the
expected direction and rates of precession, in addition to
the eccentricity variations of disc and planet, using secular
perturbation theory, treating the disc (both interior and exterior to
the planet orbit) as smeared out rings with appropriate values for
the semimajor axes and eccentricities. We note that such
a theory, which neglects important effects such as the disc
pressure, cannot provide accurate predictions for the
observed evolution. But it is precisely this failure which
can be used to deduce which of the neglected physical processes
are important in driving the evolution of the the disc-plus-planet
system. Working to second-order in the eccentricities, secular theory
for the time variation of outer disc and planet longitudes of pericentre
and eccentricities gives (e.g. Murray & Dermott 1999):
In the above expressions, the ax, refer to the semimajor axes, where the subscript x is one of: od for the outer disc; id for the inner disc; p for the planet. Similarly the ex terms denote the eccentricities, the
![]() |
Figure 13: Longitude of pericentre for the planet - black (solid) line; longitude of pericentre for the gap outer edge - red (dotted) line. |
| Open with DEXTER | |
At time t=1000, we can see from Fig. 13 that the outer disc
and planet are close to apsidal alignment, with the planet longitude of
pericentre just leading that of the outer disc such that
.
From Eq. (25) we predict that
the outer disc should precess in a prograde sense, and the planet in a
retrograde sense (at the observed rate), using values for the
disc and planet parameters that have been obtained from the simulations.
In principle we could have read off values from Figs. 11-13, but these apply only to
material very near the outer edge of the gap (in fact the
values plotted in Figs. 11-13
were calculated in order to define the orbital elements
of the fluid located at the gap edge), and the planet
interacts gravitationally with material further out in the disc.
We therefore extend the outer disc region used to calculate
the orbital elements of the gas so that it covers the
interval
,
where the larger value corresponds to
the orbital distance at which the disc eccentricity becomes small.
This procedure leads to the following values, which we used in Eq. (25):
;
;
;
;
;
;
;
;
;
;
;
.
Equation (25) predicts prograde precession for
the outer disc and retrograde precession for the planet,
but Fig. 13 shows that both the outer
disc and planet precess in a retrograde sense at
approximately the same rate,
with their apsidal lines close to being aligned. This suggests that the
disc and planet are in a joint mode in which the retrograde
precession of the outer disc is being driven by pressure perturbations
associated with the eccentric mode,
and the planet precession rate is determined
by secular gravitational interaction with the outer and inner disc
(Papaloizou et al. 2001; Papaloizou 2002).
Examining the disc at t=1500 orbits we see that the semimajor axis
and eccentricity of the outer disc located near the
gap edge are decreasing. In addition the precession rate of
both outer disc and planet are close to zero as the direction
of precession is about to change. This change in
precession direction is apparently due to the strength of the eccentric disc
mode decreasing (indicated by the decrease in disc eccentricity)
such that the pressure driven retrograde precession is overcome by the
prograde precession induced by the planet gravity.
This reduction in outer disc eccentricity also allows the planet
to precess in the prograde sense as the term proportional to
in the expression for d
in Eq. (25)
becomes small.
Using the values
;
;
;
;
;
;
;
;
;
;
;
(obtained as described above)
in Eq. (25), secular theory predicts that the outer disc
eccentricity at t=1500 should be increasing very slowly and the
planet eccentricity should be decreasing, since
.
What we observe, however, is that
and
both decrease, indicating that disc eccentricity is damping
due to some other process not associated with the secular exchange
of angular momentum. This is most likely due to the disc viscosity,
whose effects may be enhanced by the large eccentricity gradient
which builds up in the disc at earlier times and which can increase the
shear rate locally in the disc.
If we now consider the disc and planet evolution at t=1800 orbits,
we see that the more rapid prograde disc precession has caused
to change from being positive to being
negative. As expected from Eq. (25), which predicts that
the planet eccentricity should now begin to grow due to interaction with
the outer disc, we see that
starts to increase.
Using the values
;
;
;
;
;
;
;
;
;
;
;
in Eq. (25),
however, secular theory predicts that the outer disc eccentricity
should decrease at a slow rate at this point,
which is the opposite of what we observe in Fig. 12.
Clearly the disc eccentricity at this point is growing because of
another effect, unrelated to the secular interaction between
disc and planet. Previous work which has considered the growth of
disc eccentricity has examined the role of non linear mode coupling,
where coupling between
the m=1 component of the planet potential and an m=1disturbance in the disc leads to the excitation of an m=2 wave at the
3:1 outer Lindblad resonance, whose pattern speed is equal to half the
orbital angular velocity of the planet.
The removal of angular momentum from the disc by this wave
causes its eccentricity to grow. This process was first examined by
Papaloizou et al. (2001), and was shown to operate for planets
whose masses were greater than around 10 Jupiter masses. More recent
calculations by Kley & Dirksen (2006) and D'Angelo et al. (2006)
suggest that eccentric disc growth may occur for lower mass planets in
the Jovian mass range. In order to investigate this issue further we
have performed a Fourier analysis of the disc surface density
distribution near to the 3:1 resonance and have observed an m=2 wave
with the appropriate pattern speed, suggesting that the above
explanation for the disc eccentricity growth may be valid.
We note, however, that this wave is likely to be a combination
of waves generated by the non linear mode coupling described
above, and a wave excited directly by the planet at its 3:1 eccentric
Lindblad resonance, since the planet has a small, non-zero
eccentricity. Growth
of the disc eccentricity may be assisted by the fact that the
corotation resonances, normally associated with eccentricity
damping, may be reduced in efficacy by the large gap size and modified
gap structure that arises because of strong interaction with the
planet by inflowing gas shortly after the fly-by, when the eccentric
disc was set up initially.
![]() |
Figure 14: Planet eccentricity for various models. The line styles are as follows: model 3 - black (solid) line; model 4 - black (dotted) line; model 5 - red (dashed) line; model 1 - green (dash-dotted) line. |
| Open with DEXTER | |
Over long time scales we see from Figs. 11-13 that the disc and planet undergo a significant period of evolution in which their eccentricities grow and decay periodically, but with a long term trend of decreasing amplitude of variation. During this time the planet continues to migrate outward toward the gap edge, and the inner disc accretes onto the central star. This process should eventually lead to a situation where the negative outer disc torques begin to dominate over the positive inner disc torques, such that inward migration should ensue. The computational resources required to run the simulation for this length of time, however, are very substantial and are above our current capability. What is clear, however, is that a planet that forms in a disc around a star within a stellar cluster which experiences a close encounter with another member of the cluster may undergo a significant period of outward migration.
4.5 Variation of the planet accretion rate: models 3-5
We now consider a set of runs (models 3-5) where we varied
the accretion rate of gas onto the planet embedded in a disc with a
stellar perturber whose pericentre distance was equal to twice
the disc radius (q=2). Model 3 was discussed in Sect. 4.4,
and models 4 and 5 are identical apart from the inclusion of gas accretion.
We distinguish between slow (
- model 4) and
fast (
- model 5) accretion in Eq. (10),
corresponding to half emptying times of
t1/2=0.07 and
t1/2=0.007 orbits, respectively. (In fact both of these accretion
times are small so we should really call them ``fast'' and ``very fast'' accretion
runs).
![]() |
Figure 15:
Specific torques on planet for model 4. The various line styles
are denoted as follows:
|
| Open with DEXTER | |
We begin by considering model 4, corresponding to slow accretion. The change in semimajor axis is shown by the upper black (dotted) line in Fig. 8, where we see that the migration is directed outward and occurs at a rate that is slightly faster than was obtained for the non accreting planet (model 3). The torques experienced by the planet in model 4 are shown in Fig. 15. During the early phases of evolution the torques are very similar to those already discussed for model 3 and presented in Fig. 9. We see that the corotation torque spikes upward shortly after the fly-by, and we also see that the positive inner disc torques increase rapidly at the same point in time due to gas flow into the inner disc. There is also a slow decrease in the negative outer disc torques which arises because of the gas flow from outer to inner disc and the change in disc structure near the planet after the fly-by. The main difference between model 3 and 4 arises after approximately 900 orbits, when we see that the negative outer disc torque quickly reduces in magnitude, and this occurs because the outer disc becomes more eccentric in model 4 than model 3 due to the planet mass growing and being more able to drive the disc eccentricity upward. The increased disc eccentricity reduces the pericentre distance of the gap outer edge, and allows the planet to accrete gas from the outer disc at a fairly rapid rate. The reduction in outer disc mass and torques causes a significant imbalance between inner and outer disc torques (even though the inner disc is also being accreted by the planet, but at a slower rate), and explains why the slow accreting planet is able to migrate more rapidly than the non accreting planet in Fig. 8.
![]() |
Figure 16:
Specific torques on planet for model 5. The various line
styles are denoted as follows:
|
| Open with DEXTER | |
We now consider the orbital evolution of the
fast-accreting planet in model 5, whose semimajor
axis as a function of time is shown by the
red (dashed) line in Fig. 8.
We see that over the duration of the run,
the planet in model 5 migrates more slowly than
those in models 3 (non accreting) and 4 (slowly accreting).
The specific torques experienced by the planet for model 5 are shown in
Fig. 16, and there are a number of differences which
explain why the more rapidly accreting planet migrates outward more
slowly. We see that the positive spike in the corotation
torque at
orbits is reduced in this model because the planet accretes more of the
gas that tries to flow from outer disc to inner disc after the fly-by.
Consequently there is no sudden increase in the positive inner disc torques
observed for models 3 and 4, since little mass makes it through into
the inner disc. As in model 4, we find that the evolution of the
negative outer disc torques includes a period of rapid reduction
in the torque amplitude, which is even more pronounced in the
case of model 5 than in model 4. This arises because the outer disc
becomes highly eccentric in the vicinity of the outer gap edge, such
that the outer disc pericentre reaches very close to the planet
orbit. The rapidly accreting planet is able to quickly accrete gas from
this eccentric outer disc, thus reducing the negative torque
is exerts. The long term result of these effects is for the inner disc
torque to be larger than the outer disc torque, thus driving outward
migration, but the imbalance between inner and outer disc torques is
reduced compared to models 3 and 4, leading to slower migration.
The planet masses are plotted as a function of time in Fig. 17.
Model 4 is shown by the black (solid) line, model 5 is shown by the red
(dotted) line, and the mass of the planet
embedded in a disc without a perturber (model 1) is shown by the green
(short-dashed) line. It is clear that the effect of the perturber
is to significantly increase the accretion rate of an embedded giant planet,
which is not surprising given that a close encounter drives a significant
mass flow through the disc,
causing the gap to be flooded. Over longer times,
as the planet masses grow and tidal truncation becomes more effective,
gas accretion slows down as the gap is reformed. At this point in time the
accretion rates of the planets in the perturbed (models 4 and 5) and
unperturbed (model 1) discs are very similar.
The planet masses at these times,
however, differ significantly because of the earlier evolution. Between
times of 500 to 1500 orbits the planet in model 1
has reached
1.35 Jupiter
masses, from an initial mass of 1 Jupiter mass,
whereas models 4 and 5 have reached
2 and 2.7 Jupiter masses, respectively.
Overall, our models suggest that there should be significant differences between planets whose nascent discs have been significantly perturbed by a fly-by compared with those whose discs have not been externally perturbed. In particular, planets born in highly perturbed discs should on average have higher masses and larger semimajor axes.
![]() |
Figure 17: Evolution of planet masses for various runs. The line styles are denoted as follows: model 1 - green (dashed) line; model 4 - black (solid) line; model 5 - red (dotted) line. |
| Open with DEXTER | |
4.6 Variation of the impact parameter: models 5-8
In this section we consider the effect of varying the impact parameter of the encounter, q, on the evolution of the planet. In each of the models we have allowed the embedded planet to both migrate and accrete gas (the accretion rate is set to be ``fast'' in these simulations).
![]() |
Figure 18: Semimajor axes of planets from various runs. The line styles are denoted as follows: model 5 - black (solid) line; model 6 - red (dotted) line; model 7 - green (dashed) line; model 8 - blue (dash-dotted) line; model 1 - magenta (triple-dot-dashed) line. |
| Open with DEXTER | |
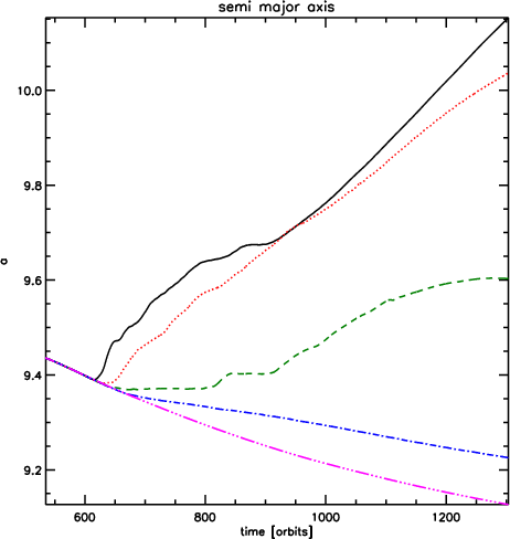
The semimajor axes versus time are shown in Fig. 18 for each of these models, and the corresponding torques experienced by the planets are shown in Fig. 20. The change in semimajor axis for the planet in model 5, with q=2, is shown by the solid line in Fig. 18, and the evolution of this planet has already been discussed in detail in Sect. 4.5. Here, we see that it is this planet which migrates outward at the fastest rate when compared with the other accreting planets for which the external perturbation was weaker (q > 2). We see that there is a general trend in models 5-8, such that outward migration is weakened when the external perturbation is weaker. Model 6 had impact parameter q=2.5, and the planet in this run is seen to undergo slower outward migration than the planet in model 5 (q=2). Model 7 had impact parameter q=3, and the outward migration in this case is not only slower than for models 5 and 6, but also appears to stall and reverse at time t=1400 orbits. Model 8 experienced the weakest perturbation (q=5), and the resulting migration is always inward. But we also notice that the rate of migration in this case is slightly slower than that for model 1 (no external perturbation), because even in this case the perturber excites a wave in the disc which modifies the surface density profile near the planet when it dissipates.
![]() |
Figure 19: Planet mass from various runs. The line styles are denoted as follows: model 5 - black (solid) line; model 6 - red (dotted) line; model 7 - green (dashed) line; model 8 - blue (dash-dotted) line; model 1 - magenta (triple-dot-dashed) line. |
| Open with DEXTER | |
The torques experienced by the planets for models 5-8 are shown in
Fig. 20.
We recall from Sect. 4.5 that a significant feature of the torques
for model 5 was the rapid decrease in outer disc torques due to the
planet accreting gas from the outer eccentric disc. This led to sustained
outward migration, due to the imbalance between inner positive disc torques
and outer negative disc torques being skewed by this accretion
of the outer disc. Examining
the upper right panel of Fig. 20,
we see that the negative outer disc torques for model 6
are also reduced, but no where near as sharply as for model 5.
This is because the lower amplitude external perturbation does not
lead to such a large disc eccentricity, and the outer disc is not
so readily accreted. A positive imbalance between inner and outer
disc torques still arises, however, such that outward migration
is maintained. We note that the weaker external perturbation also
causes the initial positive spike in the corotation torque to
be reduced by ![]()
.
![]() |
Figure 20:
Specific torques acting on planets for runs with
varying q. The line styles are denoted as follows:
|
| Open with DEXTER | |
For model 7 (q=3), we notice that the initial spike in the corotation
torque is so small that it does not induce an overall positive torque
in the disc shortly after the fly-by. In addition, there is no abrupt
change in the outer disc torques, since the disc eccentricity remains
relatively small in this case as the tidally-induced inward mass flow
is reduced. The small outer disc eccentricity, however,
continues to favour
accretion from the outer disc between times
600-1000 orbits,
leading to a period of outward migration. But this stalls as the planet moves
outward and away from the inner disc which continues to accrete
onto the central star.
As we have seen in Fig. 18, the planet in model 8 (q=5) behaves very similarly to the one in model 1, for which there was no external perturber. The long term decline in inner and outer disc torques shown in the lower right panel of Fig. 20 is due to accretion of the disc by the planet.
The mass accretion history for these models is shown in Fig. 19. As expected, the most strongly perturbed model results in the most rapid mass growth, as the gap is subject to greater flooding in that case. As with the migration, there is a global trend of smaller planetary mass growth for larger impact parameters, and model 8 (with q=5) shows very similar results to model 1 (without a perturber). Clearly, outward migration and enhanced accretion are strong functions of the impact parameter.
5 Conclusion
In this paper we have examined the influence of a parabolic
stellar encounter on the evolution of a giant planet
forming within a protostellar disc. Previous work by
Adams et al. (2005) and Malmberg et al. (2007) has examined the
frequency with which such encounters will occur within
a young stellar cluster, and their estimates suggest
that between 0.25-1.5% of stars should experience
a prograde encounter with impact parameter
100 AU and
inclination relative to the disc midplane ![]()
over
a 5 Myr protostellar disc life time, with the precise encounter
rate determined by the stellar density.
The results of our simulations suggest that encounters whose distance of closest approach are <3 times the disc radius (i.e. q < 3) have a severe influence on the disc structure, due to the non linear response of the disc. This is in agreement with the previous work of Korycansky & Papaloizou (1995) and Larwood (1997). The disc models we have considered in this work have outer radii of 50 AU, such that encounters with pericentre distances <150 AU cause significant changes to the disc structure. The main effect of the encounter is significant shrinkage of the outer disc radius, and excitation of an inward propagating m=2 spiral wave at an inner Lindblad resonance which corresponds closely to the orbital angular frequency that the perturbing star has at pericentre.
The distance of closest approach which results in significant
modification of the disc structure also corresponds, in our work,
to the point at which significant changes in the evolution
of the embedded giant planet occur. This is because
the strong tidal truncation of the disc results
in significant loss of angular momentum by the disc material.
This induces a substantial inflow of gas through the disc.
When this mass flows through the planet orbit it
induces a short-lived episode of outward type-III migration,
causes the tidally-truncated gap around the giant planet
to be temporarily flooded with gas, and increases
the mass of the disc which lies interior to the planet orbit.
Thus we find that for impact parameters
,
the mass accretion rate onto the giant planet is significantly
increased, and a period of prolonged outward migration
can be induced. This suggests that giant planets,
which have been subject
to a stellar encounter when forming in a protoplanetary disc,
should have higher masses and larger semimajor axes, on average,
than planets which have not been subject to such an encounter.
The rate of outward migration, and the increase in accretion rate,
is found to scale roughly with the inverse of
the closest encounter distance,
such that impact parameters of q=2 and 2.5 were found to
cause the largest changes in giant planet evolution, with long
periods of sustained outward migration which lasted for the
duration of our simulations (approximately 2000 giant planet orbits).
A q=3 encounter resulted a shorter period of outward migration,
and a q=5 encounter resulted in almost no change in the evolution
of the planet.
We have not considered discs with radii larger than 50 AU in this work, and so cannot comment directly on the effect that stellar encounters will have on giant planets forming in discs with larger radii. What is clear, however, is that discs provide a conduit through which the influence of a passing star can be communicated through to a forming planet via the inward propagation of a non linear spiral wave and associated inward mass flow. Observations indicate that disc radii can be significantly larger than 50 AU. For example, some of the discs which have been imaged in in Orion have radii of a few hundred AU (McCaughrean & O'Dell 1996). Given that the encounter frequency scales quadratically with the encounter distance when gravitational focusing is ignored (see Sect. 1), it is reasonable to speculate that the effect of passing stars may be even more important than we have stated in this paper during giant planet formation, especially if typical disc sizes are in excess of 50 AU.
There are a number of improvements that need to be made to the models we have presented before any serious attempt could be made to incorporate the environmental effects we have discussed into a meaningful planetary population synthesis calculation. The first is that we have only considered prograde, coplanar encounters, whereas we would expect the relative angular momentum vectors associated with encounters between passing stars and discs to be isotropically distributed within a young stellar cluster. The absence of Lindblad resonances in the disc during retrograde encounters means that these are likely to have a minimal effect on a forming planet, provided that the passing star does not actually pass through the disc. During an early phase of this project we ran simulations of retrograde encounters, and the results of these indicate that such perturbations will have minimal impact on planet formation. Inclined prograde encounters will have a weakened ability to tidally truncate the disc and induce inward mass flow, so we would expect their influence to be somewhat smaller than that described in this paper. We note, however, that inclined encounters will excite bending waves in the disc, causing the disc orbital plane to deviate away from that of the planet, at least for a short time after the impact until disc-planet interactions can bring the system back into alignment. This will obviously modify both the migration and accretion history of the planet, but in ways that we are unable to quantify at present.
An additional improvement to the model presented here would include a broader survey of the available parameter space. This would include simulations of discs with varying outer radii, and planets with different masses and semimajor axes. Also, multiple planets in the process of forming coevally may be induced to undergo close interaction through the changes in migration outlined in this paper, leading to a rich variety of possible outcomes through gravitational scattering. These and other issues will be the subject of future work and publications.
Acknowledgements
The simulations presented in this paper were performed using the QMUL HPC Facility purchased under the SRIF initiative. We acknowledge comments received from an anonymous referee which led to improvements to this paper.
References
- Adams, F. C., Proszkow, E. M., Fatuzzo, M., & Myers, P. C. 2005 (In the text)
- Bate, M. R., Lubow, S. H., Ogilvie, G. I., & Miller, K. A. 2003, MNRAS, 341, 213 [NASA ADS] [CrossRef]
- Binney, J., & Tremaine, S. 1987, Galactic Dynamics (Princeton: Princeton Univ. Press), 541 (In the text)
- Carpenter, J. M. 2000, AJ, 120, 3139 [NASA ADS] [CrossRef] (In the text)
- Clarke, C. J., & Pringle, J. E. 1991, MNRAS, 249, 584 [NASA ADS]
- D'Angelo, G., Kley, W., & Henning, T. 2003, ApJ, 586, 540 [NASA ADS] [CrossRef] (In the text)
- D'Angelo, G., Lubow, S. H., & Bate, M. R. 2006, ApJ, 652, 1698 [NASA ADS] [CrossRef] (In the text)
- Fischer, D. A., Marcy, G. W., Butler, R. P., et al. 2008, ApJ, 675, 790 [NASA ADS] [CrossRef]
- Frank, J., King, A., & Raine, D. 1992, Accretion Power in Astrophysics (Cambridge University Press), 2nd Edition
- Goldreich, P., & Tremaine, S. 1979, ApJ 233, 857
- Kley, W. 1998, A&A, 338, L37 [NASA ADS]
- Kley, W. 1999, MNRAS, 303, 696 [NASA ADS] [CrossRef] (In the text)
- Kley, W., & Dirksen, G. 2005, A&A, 447, 369 [NASA ADS] [CrossRef] (In the text)
- Korycansky, D. G., & Papaloizou, J. C. B. 1995, MNRAS, 274, 85 [NASA ADS]
- Lada, C. J., & Lada, E. A. 2003, ARA&A, 41, 57 [NASA ADS] [CrossRef] (In the text)
- Larwood, J. D. 1997, MNRAS, 290, 490 [NASA ADS]
- Lin, D. N. C., & Papaloizou, J. C. B. 1993 (Tucson: University of Arizona Press), 749
- Lubow, S. H., Seibert, M., & Artymowicz, P. 1999, ApJ, 526, 1001 [NASA ADS] [CrossRef] (In the text)
- Malmberg, D., De Angeli, F., Davies, M. B., et al. 2007, MNRAS, 000, 1 (In the text)
- Masset, F. S. 2001, ApJ, 558, 453 [NASA ADS] [CrossRef]
- Masset, F. S. 2002, A&A, 387, 605 [NASA ADS] [CrossRef] [EDP Sciences]
- Masset, F. S., & Papaloizou, J. C. B. 2003, ApJ, 588, 494 [NASA ADS] [CrossRef] (In the text)
- McCaughrean, M. J., & O'dell, C. R. 1996, AJ, 111, 1977 [NASA ADS] [CrossRef] (In the text)
- Ostriker, E. C. 1994, ApJ, 424, 292 [NASA ADS] [CrossRef] (In the text)
- Nelson, R. P., Papaloizou, J. C. B., Masset, F., & Kley, W. 2000, MNRAS, 318, 18 [NASA ADS] [CrossRef] (In the text)
- Papaloizou, J. C. B. 2002, A&A, 388, 615 [NASA ADS] [CrossRef] [EDP Sciences] (In the text)
- Papaloizou, J. C. B., Nelson, R. P., & Masset, F. 2001, A&A, 366, 263 [NASA ADS] [CrossRef] [EDP Sciences]
- Tanaka, H., Takeuchi, T., & Ward, W. R. 2002, ApJ, 565, 1257 [NASA ADS] [CrossRef]
- Throop, H. B., & Bally, J. 2007, AAS
- Udry, S., & Santos, N. C. 2007, A. R. A. A., 45, 397 [NASA ADS]
- van Leer, B. 1977, J. Comput. Phys., 23, 276 [NASA ADS] [CrossRef] (In the text)
- Ward, W. R. 1991, in 22d Lunar and Planetary Science Conference (Houston: LPI), abstract, 1463
- Ward, W. R. 1997, Icarus, 126, 261 [NASA ADS] [CrossRef]
- Ziegler, U., & Yorke, H. W. 1997, Comput. Phys. Commun., 101, 54 [NASA ADS] [CrossRef] (In the text)
All Tables
Table 1: Table of runs.
All Figures
![]() |
Figure 1: This figure shows surface density contours for different stages of the encounter during model 2. The top left panel shows the initial state at the time when the perturber is introduced, just after the gap clearing phase after 535 planetary orbits. The top right panel corresponds to when the perturber has reached pericentre. In the bottom left panel the disc is being truncated, and waves travel all the way to the planet-induced gap. The lower right panel shows the disc a long time after the encounter has occurred. |
| Open with DEXTER | |
| In the text | |
![]() |
Figure 2: Angular momentum and mass of the disc normalised by the initial values for model 2. |
| Open with DEXTER | |
| In the text | |
![]() |
Figure 3: Disc angular momentum versus time for the following runs: model 5 - black (solid) line; model 6 - red (dotted) line; model 7 - green (dashed) line: model 8 - blue (dash-dotted); model 1 - magenta (triple-dot-dashed) line. |
| Open with DEXTER | |
| In the text | |
![]() |
Figure 4:
Specific torques on planet for model 2, which are
denoted by the following line styles:
|
| Open with DEXTER | |
| In the text | |
![]() |
Figure 5: Mass flow through boundaries of corotation region, where a negative value corresponds to inflow. The black (solid) line corresponds to the outer boundary, and the red (dotted) line to the inner boundary. |
| Open with DEXTER | |
| In the text | |
![]() |
Figure 6: The top left panel shows how the gap outer edge penetrates the corotation region, represented by the white solid lines. The top right panel illustrates the mass weighting procedure used to estimate the orbital elements of the disc material located at the gap outer edge. The dashed lines are the boundaries of the region, from where the velocity and density information was taken, and the solid line shows the ellipse thus obtained which represents the gap outer edge. The lower left panel shows the azimuthally integrated surface density in the corotation region. The lower right panel displays the gap structure around the planet. Due to eccentricity near the gap outer edge, the integrated surface density in the outer disc is reduced, but is increased in the corotation region, which is denoted by the dashed vertical lines. |
| Open with DEXTER | |
| In the text | |
![]() |
Figure 7: The pericentre distance of the gap outer edge versus time for model 2. |
| Open with DEXTER | |
| In the text | |
![]() |
Figure 8: Semimajor axes of planets as a function of time for various models. The line styles are as follows: model 3 - black (solid) line; model 1 - green (dash-dotted) line; model 4 - upper black (dotted) line; model 5 - red (dashed) line. |
| Open with DEXTER | |
| In the text | |
![]() |
Figure 9:
Specific torques experienced by the planet for model 3. The
line styles are as follows:
|
| Open with DEXTER | |
| In the text | |
![]() |
Figure 10: This figure shows the disc surface density at different times during model 3. The top left panel shows the initial state of the disc after gap clearing. The top right panel shows that the gap outer edge has increased its semimajor axis and eccentricity. The lower left panel shows that the gap circularises after its initial eccentricity growth. The lower right panel shows the corresponding azimuthally averaged profiles. The vertical lines represent the position of the planet at the different times indicated. |
| Open with DEXTER | |
| In the text | |
![]() |
Figure 11: Semimajor axis of planet - black (solid) line; semimajor axis of gap outer edge - blue (dotted) line; pericentre distance of outer gap edge - red (dashed) line. |
| Open with DEXTER | |
| In the text | |
![]() |
Figure 12: Planet eccentricity - black (solid) line; eccentricity of gap outer edge - blue (dotted) line. |
| Open with DEXTER | |
| In the text | |
![]() |
Figure 13: Longitude of pericentre for the planet - black (solid) line; longitude of pericentre for the gap outer edge - red (dotted) line. |
| Open with DEXTER | |
| In the text | |
![]() |
Figure 14: Planet eccentricity for various models. The line styles are as follows: model 3 - black (solid) line; model 4 - black (dotted) line; model 5 - red (dashed) line; model 1 - green (dash-dotted) line. |
| Open with DEXTER | |
| In the text | |
![]() |
Figure 15:
Specific torques on planet for model 4. The various line styles
are denoted as follows:
|
| Open with DEXTER | |
| In the text | |
![]() |
Figure 16:
Specific torques on planet for model 5. The various line
styles are denoted as follows:
|
| Open with DEXTER | |
| In the text | |
![]() |
Figure 17: Evolution of planet masses for various runs. The line styles are denoted as follows: model 1 - green (dashed) line; model 4 - black (solid) line; model 5 - red (dotted) line. |
| Open with DEXTER | |
| In the text | |
![]() |
Figure 18: Semimajor axes of planets from various runs. The line styles are denoted as follows: model 5 - black (solid) line; model 6 - red (dotted) line; model 7 - green (dashed) line; model 8 - blue (dash-dotted) line; model 1 - magenta (triple-dot-dashed) line. |
| Open with DEXTER | |
| In the text | |
![]() |
Figure 19: Planet mass from various runs. The line styles are denoted as follows: model 5 - black (solid) line; model 6 - red (dotted) line; model 7 - green (dashed) line; model 8 - blue (dash-dotted) line; model 1 - magenta (triple-dot-dashed) line. |
| Open with DEXTER | |
| In the text | |
![]() |
Figure 20:
Specific torques acting on planets for runs with
varying q. The line styles are denoted as follows:
|
| Open with DEXTER | |
| In the text | |
Copyright ESO 2009
Current usage metrics show cumulative count of Article Views (full-text article views including HTML views, PDF and ePub downloads, according to the available data) and Abstracts Views on Vision4Press platform.
Data correspond to usage on the plateform after 2015. The current usage metrics is available 48-96 hours after online publication and is updated daily on week days.
Initial download of the metrics may take a while.





















![$\displaystyle p=\sinh{\left[\frac{1}{3}\sinh^{-1}\left(\frac{3}{4}\omega_2t\right)\right]}.$](/articles/aa/full_html/2009/38/aa12292-09/img97.png)
![\begin{figure}
\par\resizebox{15.12cm}{14cm}{\includegraphics[width=15cm,angle=0,clip]{12292fg1.ps}}
\end{figure}](/articles/aa/full_html/2009/38/aa12292-09/Timg99.png)
![\begin{figure}
\center
\includegraphics[width=6cm,angle=0,clip]{12292fg2.ps}
\end{figure}](/articles/aa/full_html/2009/38/aa12292-09/Timg108.png)
![\begin{figure}
\center
\includegraphics[width=6cm,angle=0,clip]{12292fg3.ps}
\end{figure}](/articles/aa/full_html/2009/38/aa12292-09/Timg113.png)
![\begin{figure}
\par\includegraphics[width=6.5cm,angle=0,clip]{12292fg4.ps}
\par\end{figure}](/articles/aa/full_html/2009/38/aa12292-09/Timg125.png)
![\begin{figure}
\par\includegraphics[width=6.5cm,angle=0,clip]{12292fg5.ps}
\end{figure}](/articles/aa/full_html/2009/38/aa12292-09/Timg126.png)
![\begin{figure}
\par\resizebox{15.12cm}{14cm}{\includegraphics[width=14cm,angle=0,clip]{12292fg6.ps}}
\end{figure}](/articles/aa/full_html/2009/38/aa12292-09/Timg127.png)
![\begin{figure}
\par\includegraphics[width=6.5cm,angle=0]{12292fg7.ps}
\end{figure}](/articles/aa/full_html/2009/38/aa12292-09/Timg132.png)
![\begin{figure}
\par\includegraphics[width=6.5cm,angle=0,clip]{12292fg8.ps}
\end{figure}](/articles/aa/full_html/2009/38/aa12292-09/Timg134.png)
![\begin{figure}
\par\includegraphics[width=6.5cm,angle=0,clip]{12292fg9.ps}
\end{figure}](/articles/aa/full_html/2009/38/aa12292-09/Timg135.png)
![\begin{figure}
\par\resizebox{15.12cm}{14cm}{\includegraphics[width=13cm,angle=0,clip]{12292f10.ps}}
\end{figure}](/articles/aa/full_html/2009/38/aa12292-09/Timg136.png)
![$\displaystyle \frac{{\rm d}a}{{\rm d}t} = \frac{2 a^{3/2}}{\sqrt{\mu (1-{\rm e}^2)}} \left[ {\overline R}
e ~ \sin{f} + {\overline T} (1+e ~ \cos{f}) \right]$](/articles/aa/full_html/2009/38/aa12292-09/img138.png)
![$\displaystyle \frac{{\rm d}e}{{\rm d}t} = \sqrt{ \frac{a(1-{\rm e}^2)}{\mu}} \left[{\overline R} ~
\sin{f} +
{\overline T} (\cos{f} + \cos{E}) \right]$](/articles/aa/full_html/2009/38/aa12292-09/img139.png)
![\begin{figure}
\par\includegraphics[width=6.5cm,angle=0,clip]{12292f11.ps}
\end{figure}](/articles/aa/full_html/2009/38/aa12292-09/Timg148.png)
![\begin{figure}
\par\includegraphics[width=6.5cm,angle=0,clip]{12292f12.ps}
\end{figure}](/articles/aa/full_html/2009/38/aa12292-09/Timg149.png)
![$\displaystyle \frac{n_{\rm od}}{4} \left(\frac{a_{\rm p}}{a_{\rm od}}\right) \f...
...m od}} b_{3/2}^{(2)}(\alpha_1)
\cos{(\omega_{\rm p} -
\omega_{\rm od})} \right]$](/articles/aa/full_html/2009/38/aa12292-09/img151.png)
![$\displaystyle \frac{n_{\rm p}}{4} \left(\frac{a_{\rm p}}{a_{\rm od}}\right)^2 \...
...rm p}} b_{3/2}^{(2)}(\alpha_1)
\cos{(\omega_{\rm p} - \omega_{\rm od})} \right]$](/articles/aa/full_html/2009/38/aa12292-09/img153.png)
![$\displaystyle + \frac{n_{\rm p}}{4} \left(\frac{a_{\rm id}}{a_{\rm p}}\right) \...
...rm p}} b_{3/2}^{(2)}(\alpha_2)
\cos{(\omega_{\rm id} - \omega_{\rm p})} \right]$](/articles/aa/full_html/2009/38/aa12292-09/img154.png)



![\begin{figure}
\par\includegraphics[width=6.5cm,angle=0,clip]{12292f13.ps}
\end{figure}](/articles/aa/full_html/2009/38/aa12292-09/Timg166.png)
![\begin{figure}
\par\includegraphics[width=6.5cm,angle=0,clip]{12292f14.ps}
\end{figure}](/articles/aa/full_html/2009/38/aa12292-09/Timg200.png)
![\begin{figure}
\par\includegraphics[width=6.5cm,angle=0,clip]{12292f15.ps}
\end{figure}](/articles/aa/full_html/2009/38/aa12292-09/Timg203.png)
![\begin{figure}
\par\includegraphics[width=6.5cm,angle=0,clip]{12292f16.ps}
\end{figure}](/articles/aa/full_html/2009/38/aa12292-09/Timg204.png)
![\begin{figure}
\par\includegraphics[width=6.5cm,angle=0,clip]{12292f17.ps}
\end{figure}](/articles/aa/full_html/2009/38/aa12292-09/Timg206.png)
![\begin{figure}
\par\includegraphics[width=6.5cm,angle=0,clip]{12292f18.ps}
\end{figure}](/articles/aa/full_html/2009/38/aa12292-09/Timg207.png)
![\begin{figure}
\par\includegraphics[width=6.5cm,angle=0,clip]{12292f19.ps}\end{figure}](/articles/aa/full_html/2009/38/aa12292-09/Timg208.png)
![\begin{figure}
\par\includegraphics[width=13.5cm,angle=0,clip]{12292f20.ps}
\end{figure}](/articles/aa/full_html/2009/38/aa12292-09/Timg211.png)