Issue |
A&A
Volume 505, Number 3, October III 2009
|
|
---|---|---|
Page(s) | 1143 - 1151 | |
Section | Interstellar and circumstellar matter | |
DOI | https://doi.org/10.1051/0004-6361/200911936 | |
Published online | 11 August 2009 |
A ionized reflecting skin above the accretion disk of GX 349+2
R. Iaria1 - A. D'Aí1 - T. Di Salvo1 - N. R. Robba1 - A. Riggio2 - A. Papitto2 - L. Burderi2
1 - Dipartimento di Scienze Fisiche ed Astronomiche,
Università di Palermo, via Archirafi 36, 90123 Palermo, Italy
2 -
Dipartimento di Fisica, Università degli Studi di Cagliari, SP Monserrato-Sestu, KM 0.7, 09042 Monserrato, Italy
Received 24 February 2009 / Accepted 13 June 2009
Abstract
Context. The broad emission features in the Fe-K
region of X-ray binary spectra represent an invaluable probe to constrain the geometry and the physics of these systems. Several Low Mass X-ray binary systems (LMXBs) containing a neutron star (NS) show broad emission features between 6 and 7 keV and most of them are now interpreted as reflection features from the inner part of an accretion disk, in analogy to those observed in the spectra of X-ray binary systems containing a black bole candidate.
Aims. The NS LMXB GX 349+2 was observed by the XMM-Newton satellite which allows, thanks to its high effective area and good spectral resolution between 6 and 7 keV, a detailed spectroscopic study of the Fe-K
region.
Methods. We study the XMM data in the 0.7-10 keV energy band. The continuum emission is modelled by a blackbody component plus a multicolored disk blackbody. A very intense emission line at 1 keV, three broad emission features at 2.63, 3.32, 3.9 keV and a broader emission feature in the Fe-K
region are present in the residuals. The broad emission features above 2 keV can be equivalently well fitted with Gaussian profiles or relativistic smeared lines (diskline in XSPEC). The Fe-K
feature is better fitted using a diskline component at 6.76 keV or two diskline components at 6.7 and 6.97 keV, respectively
Results. The emission features are interpreted as resonant transitions of S XVI, Ar XVIII, Ca XIX, and highly ionized iron. Modelling the line profiles with relativistic smeared lines, we find that the reflecting plasma is located at less than 40 km from the NS, a value compatible with the inner radius of the accretion disk inferred from the multicolored disk blackbody component (
km). The inclination angle of GX 349+2 is between 40
and 47
,
the emissivity index of the primary emission is between -2.4 and -2, and the reflecting plasma extends up to (2-8)
cm.
Conclusions. We compare our results with the twin source Sco X-1 and with the other NS LMXBs showing broad relativistic lines in their spectra. We conclude that the blackbody component in the spectrum is the primary emission that hits the inner accretion disk producing the emission lines broadened by relativistic and Doppler effects dominant around the neutron star.
Key words: line: identification - line: formation - stars: individual GX 349+2 - X-rays: binaries - X-rays: general
1 Introduction
Low-mass X-ray binaries (LMXBs) consist of a low-mass star (
)
and a neutron star (NS), which generally has a relatively weak
magnetic field (B<1010 G). In these systems, the X-ray source is
powered by accretion of mass overflowing the Roche lobe of the
companion star and forming an accretion disk around the neutron star.
LMXBs containing a neutron star (NS LMXBs) are generally divided into
Z and Atoll sources, according to the path they describe in an X-ray
color-color diagram (CD) or hardness-intensity diagram
(Hasinger & van der Klis 1989) assembled by using the source count rate and
colors calculated over a typical (usually 2-20 keV) X-ray energy
range. Atoll sources are usually characterized by relatively low
luminosities (0.01-0.2
)
and often show transient behavior,
while the Z sources in the Galaxy are among the most
luminous LMXBs, persistently accreting close to the Eddington limit
(
)
for a 1.4
NS. The position of an
individual source in the CD, which determines most of the observed
spectral and temporal properties of the source, is thought to be an
indicator of the instantaneous mass accretion rate (e.g. Hasinger et al. 1990; van der Klis 1995, for a
review). It has been suggested that the mass
accretion rate (but not necessarily the X-ray luminosity) of
individual sources increases along the track from the top left to the
bottom right, i.e. from the islands to the banana branch in atoll
sources and from the horizontal branch (hereafter HB) to the normal
branch (NB) and to the flaring branch (FB) in Z sources.
GX 349+2, also known as Sco X-2, was called a peculiar case among the Z sources (Kuulkers & van der Klis 1998). Similar to the case of Sco X-1, GX 349+2 shows a short and underdeveloped HB (if at all). The source variability in the frequency range below 100 Hz is closely correlated with the source position on the X-ray CD, as in other Z sources. Quasi periodic oscillations at kHz frequencies (kHz QPO) were detected in the NB of its Z-track (Zhang et al. 1998). However, GX 349+2, which sometimes shows broad noise components changing not only with the position in the Z, but also as a function of the position in the hardness-intensity diagram, differs somewhat from the other Z sources and shows similarities to the behavior seen in bright atoll sources, such as GX 13+1 and GX 3+1 (O'Neill et al. 2001,2002; Kuulkers & van der Klis 1998).
Di Salvo et al. (2001), using BeppoSAX data, showed that the source
energy spectrum below 30 keV could be well fit by a blackbody (with
a temperature of 0.5-0.6 keV) and a Comptonized component (with
seed-photon temperature of 1 keV and electron temperature of 2.7 keV). Three discrete features were observed in the spectrum: an
emission line at 1.2 keV, probably associated with L-shell
Fe XXIV or Ly-
Ne X, an emission line at 6.7 keV (Fe XXV) and an absorption edge at 8.5 keV, both
corresponding to emission from the K-shell of highly-ionized iron
(Fe XXV). Iaria et al. (2004), analysing a long BeppoSAX
observation, found similar parameters of the the continuum
components below 30 keV, detected the presence of emission lines
associated with Fe XXIV and Fe XXV, and detected an
emission line at 2.65 keV associated with S XVI. The long
BeppoSAX observation allowed us to study changes of the parameters of
the Fe XXV emission line along the position of the source in
the CD from the NB/FB apex to the FB, inferring that the equivalent
width of the line decreases from 77 eV to 18 eV going from the NB/FB
apex to the FB. The width of the Fe XXV emission line,
modelled by a Gaussian line, was between 250 and 300 eV.
Cackett et al. (2008), analysing two Suzaku observations of GX
349+2, modelled the Fe XXV emission line with a relativistic
smeared line (diskline in XSPEC). The authors constrained the energy
of the line to be between 6.4 and 6.97 keV, finding that
the line energy was
6.97-0.02 keV, associated with Fe XXVI
and not compatible with a
Fe XXV iron line as previously obtained by Iaria et al. (2004) and
Di Salvo et al. (2001). The emissivity index, ,
was
,
the inner radius in gravitational radii,
,
was
,
the
inclination angle of the source was
degrees, the equivalent
width of the line was
eV.
In this paper, we analyse an XMM-Newton observation of GX 349+2, finding that the prominent relativistic line is well constrained around 6.7 keV and identified as the resonant transition of Fe XXV. In the following, we discuss our results and compare them with the recent literature.
2 Observation
The XMM-Newton Observatory (Jansen et al. 2001) includes three 1500 cm2X-ray telescopes each with an European Photon Imaging Camera (EPIC,
0.1-15 keV) at the focus. Two of the EPIC imaging spectrometers use
MOS CCDs (Turner et al. 2001) and one uses pn CCDs (Strüder et al. 2001).
Reflection grating spectrometers (RGS, 0.35-2.5
keV, den Herder et al. 2001) are located behind two of the telescopes. The
region of sky containing GX 349+2 was observed by XMM-Newton between
2008 March 19 16:42:41 UT to March 19 22:58:55 UT (OBSid 0506110101)
for a duration of 22.5 ks. Since GX 349+2 is one of the brightest
X-ray sources, in order to minimize the effects of telemetry
saturation and pile-up, the MOS1 and MOS2 instruments were switched off
and the EPIC-pn camera was operated in Timing mode with medium filter
during the observation. In this mode, only one central CCD is read out
with a time resolution of 0.03 ms. This provides a one dimensional
(4
4 wide) image of the source with the second spatial
dimension being replaced by timing information. The faster CCD
readout results in a much higher count rate capability of 1500 cts/s
before charge pile-up becomes a serious problem for point-like
sources. The EPIC-pn telemetry limit is approximatively 450 c/s for
the timing mode
. If the rate is higher, then the counting
mode is triggered and part of the science data are lost. This is the
case for the observation presented in this work; saturation occurs for
55% of the observing time,
giving an exposure time of 22.5 ks for RGS1 and RGS2, respectively, and
10 ks for EPIC-pn.
![]() |
Figure 1: Epic-pn lightcurve of GX 349+2 in the energy band 1-10 keV. The bin time is 30 s. |
Open with DEXTER |
![]() |
Figure 2: Color-intensity diagram of GX 349+2. The [4-10 keV]/[1-4 keV] hardness ratio increases for a count rate lower than 1580 c/s. The bin time is 100 s. |
Open with DEXTER |
We plot the Epic-pn lightcurve in the 1-10 keV energy range in Fig. 1 which clearly shows that the count rate is largely variable.
To understand whether the variability of the source
intensity is energy dependent, we extract the lightcurves in
the 1-4 keV and 4-10 keV energy range, respectively, and plot the
hardness ratio [4-10 keV]/[1-4 keV] versus the count rate in the 1-10 keV energy range in Fig. 2.
We find that the spectrum becomes harder for a count rate below 1580 c/s corresponding to the time interval between 104 and
s from the start of the observation.
![]() |
Figure 3: Upper panel: 1-4 keV Epic-pn lightcurve. Middle panel: 4-10 keV Epic-pn lightcurve. Bottom panel: [4-10 keV]/[1-4 keV] hardness ratio. The bin time is 30 s for each lightcurve. The red dot-dashed vertical lines indicate the three selected time intervals. |
Open with DEXTER |










Since the count rate of the source is variable, we divide the lightcurve into
three time intervals as
indicated in Fig. 3 by the red dot-dashed lines. We base
our choice on the 4-10 keV count rate that is 550 c/s in the first and
third time interval and around 600 c/s in the second time
interval. Our choice allows us to highlight possible changes in the
Fe-K
region of the spectrum. In Table 1 we
report the exposure times of the selected time intervals for RGS1, RGS2
and EPIC-pn instruments.
Table 1: Time intervals selected in the EPIC-pn lightcurve.
2.1 Spectral analysis of the averaged spectrum
We extract the X-ray data products of the RGS and EPIC-pn cameras using the
Science Analysis Software (SAS) version 8.0.0, extracting only single
and double events (patterns 0 to 4) from EPIC-pn data. Initially we
extracted source EPIC-pn events from a
wide column (RAWX
between 29 and 45) centered on the source position (RAWX =37).
Background events were obtained from a box of the same width
with RAWX between 2 and 18.
Table 2: Percentage of photon pile-up at different energies.
The 0.5-12 keV Epic-pn count rate extracted from the source region is
almost 1800 c/s; since the maximum Epic-pn count rate should be 800
c/s to avoid a deteriorated response due to photon
pile-up, we expect the presence of pile-up. We checked the
pile-up fraction at different energies using the epatplot tool
in SAS, finding a photon pile-up percentage of 1.3%, 2%, 3.2%, 5.1%,
7.4%, and 9.8% at 5, 6, 7, 8, 9, and 10 keV, respectively. The
values with the associated errors are reported in Table 2.
Since our aim is the study of the Fe-K
region of the spectrum,
we investigated how to minimize the photon pile-up effects in the
energy range 5-8 keV. Initially we extracted the source EPIC-pn
spectrum, excluding the brightest column (RAWX =37) in the CCD.
The photon pile-up fraction did not change significantly; we
obtained a photon pile-up percentage of 1.1%, 1.7%, 3.1%, 4.7%,
6.7%, and 9.2% at 5, 6, 7, 8, 9, and 10 keV. Finally,
excluding the two brightest columns at RAWX =37 and RAWX =38, we
found a photon pile-up fraction of 0.2%, 0.6%, 1.6%, 1.9%, 4.8%,
and 6.5% at 5, 6, 7, 8, 9, and 10 keV. In this case, the
0.5-12 keV Epic-pn count rate is 920 c/s. The photon pile-up
percentage values with the associated errors are reported in
Table 2 and the plot of the fraction patterns of single and
double events are shown in Fig. 4. After this
investigation, we chose to extract the Epic-pn spectrum excluding the
two brightest columns at RAWX =37 and RAWX =38 from the source
region to avoid any doubt on the validity of our analysis.
Since the high available statistics, the EPIC-pn spectrum shows evident calibration issues between 2 and 2.5 keV due to the Au edge near 2.3 keV, we excluded the EPIC-pn data between 2.1 and 2.5 keV from our analysis. The EPIC-pn spectrum has been rebinned so as not to oversample the energy resolution by more than a factor of 4 and to have 20 counts per energy channel. The adopted Epic-pn energy range is 0.7-2.1 keV and 2.5-10 keV. The spectrum is fitted using XSPEC version 12.3.1
The extracted RGS1 spectrum does not show instrumental issues and we
select data in the 0.6-2 keV energy band for our analysis. The
extracted RGS2 spectrum shows calibration problems for CCD 9 and we
will not use data from this instrument for our analysis. Since we are
interested in the study of the Fe-K
region, in the following
we concentrate our spectral analysis on the Epic-pn data, after having
checked that the RGS1 spectrum is consistent with the Epic-pn data and
does not show more features.
![]() |
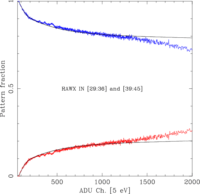
Figure 4: Patterns of single (blue color) and double (red color) events extracted from the source region excluding RAWX 37 and 38. The patterns are plotted versus the 60-2000 ADU channel range, corresponding to 0.3-10 keV. |
Open with DEXTER |
![]() |
Figure 5:
Residuals (in units of |
Open with DEXTER |
Table 3: Averaged continuum and identified broad Gaussian lines below 6 keV.
The continuum emission was fitted adopting the model by Cackett et al. (2008) for the Suzaku spectrum of GX 349+2: i.e. a blackbody component plus a multicolored disk blackbody (DISKBB in XSPEC) both absorbed by neutral neutral matter (WABS in XSPEC); because of the narrower energy range of our Epic-pn data (0.7-10 keV) with respect to the Suzaku data we did not add to the model a power-law component necessary to fit the Suzaku data above 10 keV. We obtained a reduced








We have also investigated the possibility that the Fe-Kfeature is a blending of lines. We fitted the broad Fe-K
emission feature as a blending of Fe XXV (6.7 keV) and
Fe XXVI (6.97 keV) emission lines adopting two Gaussian
profiles and fixing their energies at the expected rest-frame values;
the values of the fit are reported in Tables 3
(Col. 3) and 4 (Col. 3). Even in
this case the Fe XXV and Fe XXVI emission lines appear
to be broad, having widths of 200 eV (FWHM=0.5 keV).
![]() |
Figure 6: Residuals in the 5.5-7.7 keV energy range. These can be fitted adopting a Gaussian profile or, equivalently, a relativistic smeared line (diskline in XSPEC) |
Open with DEXTER |
Table 4: Broad Gaussian lines between 6 and 7 keV.
Under the hypothesis that the broadening of the lines is produced by the relativistic motion of the emitting plasma in the accretion disk close to the neutron star, we fit the line profiles at 2.62, 3.32, 3.90, and 6.80 keV with relativistic disk line components (DISKLINE in XSPEC). Assuming that the emission features are produced in the same region, we impose that the inner radius, the outer radius, the emissivity index, and the inclination angle of the system are the same for all these components. Adding these components to the continuum emission we find a slightly better fit,
Table 5:
Best-fit values of the parameters obtained fitting the emission features with relativistic smeared lines (diskline in XSPEC). The Fe-K
feature is modelled with one diskline component.
![]() |
Figure 7:
Data, model, and residuals (in units of |
Open with DEXTER |
![]() |
Figure 8: Unfolded spectrum in the energy range 5.5-7.7 keV; the Fe XXV relativistic line profile is shown. |
Open with DEXTER |
Table 6:
Best-fit values of the parameters obtained fitting the emission features with relativistic smeared lines (diskline in XSPEC). The Fe-K
feature is modelled with two diskline components.
We find that the emissivity index of the accretion
disk is -2.1, the inner radius is less than 25 gravitational radii
(GM/c2, hereafter ), corresponding to 52 km for a NS mass of 1.4
,
and the inclination angle of the system is 41
.
The best-fit values of the parameters are reported in Table 5 (Col. 2); we plot data and residuals in the 0.7-10 keV energy band and the corresponding unfolded spectrum in the
Fe-K
region in Figs. 7 and 8, respectively.
The Fe-K
line has an energy of
keV and it is
not compatible (at a 90% confidence level) with the rest-frame value of
the Fe XXV transition (6.7 keV). We therefore tried to fit the
Fe-K
broad feature adopting two diskline components associated
with Fe XXV and Fe XXVI transitions. We fixed the energy
values at 6.7 and 6.97 keV, respectively. The best-fit parameters are
reported in Table 6 (Col. 2); in this case
we obtain
and similar parameters of
the emissivity index and inclination angle of the source. We find an
emissivity index of
,
an inner radius less than 26
,
corresponding to 52 km for a NS mass of 1.4
,
and an
inclination angle of the system of
deg.
The extrapolated absorbed and unabsorbed flux in the 0.1-100 keV
energy range was
and
erg cm-2 s-1, respectively. We obtain an equivalent hydrogen
column density of
cm-2; the same value was
obtained by Christian & Swank (1997) using the Einstein solid-state
spectrometer (SSS; 0.5-4.5 keV), estimating a distance to the
source of
kpc (hereafter we will use this distance).
Adopting this value as the distance to the source, the extrapolated
unabsorbed luminosity in the 0.1-100 keV energy range was
erg s-1.
2.2 Spectral analysis of the selected time intervals
To study possible changes of the broad emission line in the
Fe-K
region of the XMM spectrum of GX 349+2, we extracted the
EPIC-pn spectrum from interval 2 (Spectrum 2) and from
intervals 1 and 3 together (Spectrum 1+3). Since the 4-10 keV
lightcurve (Fig. 3, middle panel) indicates a higher
count rate in time interval 2 than in intervals 1 and 3,
we expect a harder spectrum corresponding to interval 2. The
lower statistics in the time-selected spectra, due to the lower
exposure times, requires that we fix some parameters of the diskline
components. We fixed the outer radius and the inclination angle of the
system to the values obtained fitting the spectrum corresponding to
the whole observation. Initially we adopted only a diskline component
to fit the Fe-K
broad feature, obtaining an energy value of
and
keV corresponding to Spectrum 1+3
and 2, respectively. We note that while the line energy is
compatible with Fe XXV transition for Spectrum 1+3, it is not
compatible for Spectrum 2, which is when the count rate in the 4-10 keV energy
band increases. The best-fit values are reported in Table 5 (Cols. 3 and 4).
As a consequence of this result, we fitted the Fe-K
broad feature
in Spectra 2 and 1+3 adopting two diskline components with energies
fixed at 6.7 and 6.97 keV. Also in this case we fixed the outer radius
and the inclination angle of the system to the values obtained fitting
the average spectrum. The best-fit
values are reported in Table 6 (Cols. 3
and 4). We find that the main differences between Spectrum 1+3 and
Spectrum 2 is the value of the blackbody normalization that is larger
in Spectrum 2. Also we note that the flux of the line at 1 keV, the
S XVI line, the Ar XVIII line, the Ca XIX line,
and Fe XXV line is lower in Spectrum 2 than Spectrum 1+3 while
the flux of the Fe XXVI line is larger in Spectrum 2 than
Spectrum 1+3. In the following section we discuss these results.
3 Discussion
We performed a spectral analysis of a 22.5 ks XMM observation of GX 349+2 in the 0.7-10 keV energy range. The large flux from the source caused a telemetry overflow in the EPIC-pn data collection, resulting in an effective exposure time of 10 ks. We fit the continuum emission, adopting a blackbody plus a multicolored disk blackbody and both these components are absorbed by neutral matter. Five emission features were clearly visible in the spectrum.
Initially we fitted these features using Gaussian profiles and finding
their energies at 1.05, 2.62 (fixed), 3.32, 3.9, and 6.8 keV. The
corresponding widths and equivalent width were 90, 140 (fixed), 190,
100, and 280 eV, respectively, and 22, 6, 12, 9 and 49 eV, respectively. We
associated the first four lines with L-shell Fe XXII-XXIII transition,
Ly-
S XVI, Ly-
Ar XVIII, and
Ca XIX resonance transition, respectively. The broader emission
feature in the Fe-K
region was not identifiable, hence we
supposed that it is a blending of Fe XXV and Fe XXVI
emission lines. Fitting the broad feature adopting two Gaussian
profiles centered at 6.7 and 6.97 keV we obtained that their
corresponding widths were 220 and 280 eV. We conclude that if the
Fe-k
feature is a blend of Fe XXV and Fe XXVI
emission lines, these lines are intrinsically broad.
BeppoSAX observed three emission lines in the spectrum of GX 349+2
(Di Salvo et al. 2001; Iaria et al. 2004): the first one centered at
keV,
interpreted as the L-shell Fe XXIV transition, the second at
keV, interpreted as the Ly-
S XVI transition and,
finally, the third at
keV, interpreted as the
Fe XXV transition. In this observation, we find that the
centroid of the broad emission line at 1 keV is at a lower energy,
suggesting an L-shell transition of less ionized iron
(Fe XXII-XXIII) although we cannot exclude a more complex blending
of Fe XXI-XXIV.
The widths and equivalent widths of these three
lines are very similar comparing our observation and the two BeppoSAX
observations of GX 349+2 (Di Salvo et al. 2001; Iaria et al. 2004) in the non-flaring
state. Iaria et al. (2004) found, during interval 2 in the non-flaring
state, widths of <80, <120 and
eV, and equivalent
widths of
,
,
and
eV corresponding
to the Fe XXIV, S XVI, and Fe XXV emission lines.
Furthermore, Di Salvo et al. (2001) obtained equivalent widths for the
Fe-K
line of 71 eV and 34 eV, in the non-flaring and flaring
state of the source, respectively. From these rough comparisons it
seems that the source is in a non-flaring state during the observation
discussed in this work, although we cannot assert this conclusion
without an accurate analysis of the time variabilities.
These emission features can be fitted slightly better adopting smeared relativistic lines. The large widths of the lines suggest that these are produced by reflection of the primary spectral component by the accretion disk. Similar broad emission features, discussed as smeared lines, were observed in several systems containing a neutron star, such as Ser X-1 (Bhattacharyya & Strohmayer 2007), SAX J1808.4-3658 (Cackett et al. 2009a; Papitto et al. 2009), 4U 1705-44 (Di Salvo et al. 2009,2005), GX 340+0 (D'Aì et al. 2009), 4U 1636-536 (Pandel et al. 2008), X 1624-490 (Iaria et al. 2007), and 4U 1820-30 and GX 349+2 (Cackett et al. 2008), and the authors of these papers agree in interpreting the broadening as due to relativistic and Doppler effects. In the following, we show the self-consistency of the disk reflection scenario, discussing the parameters reported in Table 6.
We infer the inner radius of the accretion disk,
,
using the
normalization value of the multicolored disk blackbody and the
inclination angle of the source,
deg, obtained by the
relativistic smeared line, finding that
is
and
km for Spectrum 1+3 and 2, respectively. The blackbody
radius,
,
inferred by the best-fit values of the blackbody
normalization, is
and
km for Spectrum 1+3
and 2, respectively, too small to be associated with the X-ray emission
from the NS surface.
Taking into account possible modifications of
the multicolored disk blackbody component due to electron scattering
(White et al. 1988; Shakura & Syunyaev 1973), the measured color
temperature,
,
is related to the effective temperature of the
inner disk,
,
where f is the spectral hardening
factor, and
.
Adopting f=1.7 as
estimated by Shimura & Takahara (1995) for a luminosity around 10% of the
Eddington limit, close to the 25% of the Eddington limit estimated for
GX 349+2 in our analysis, the corrected value of
is
km.
The radius of the accretion disk is compatible with the value of the
inner radius obtained by the relativistic smeared lines, that is,
assuming a neutron star mass of 1.4
,
<41 km and
km, for Spectrum 1+3 and 2, respectively. In
the same way, correcting the radius of the blackbody component for the
electron scattering, we infer that
km. This
radius is compatible with the NS radius and suggests that
the blackbody component is produced very close the NS
surface. In this scenario, we directly observe the emission from
inside the inner radius of the accretion disk, that is close the NS
surface, and the blackbody component is interpreted as the direct
emission from a compact corona and/or a boundary layer (BL) located
between the neutron star and the inner radius of the disk. We should
expect a Comptonized emission from the compact corona and/or BL, but
if it is optically thick the Comptonized component results saturated
and mimics a blackbody emission in the adopted energy range.
We observe, for the first time, reflection from the inner accretion
disk that involves not only the K-transitions of iron but also ions of
lighter elements such as sulfur, argon and calcium which all correspond to
a similar ionization parameter. We observe emission lines associated
with S XVI, Ar XVIII, Ca XIX, and Fe XXV,
which correspond to an ionization parameter Log
.
A
similar detection was reported by Di Salvo et al. (2009) analysing
XMM data of 4U 1705-44.
Using the relation
,
where
is the
unabsorbed luminosity in the 0.1-100 keV,
the electron density
of the plasma, and r the distance from the source of the emitting
plasma we can roughly estimate the electron density
adopting as
distance from the source the inner and outer accretion disk radius,
and
,
obtained from the diskline components. We
obtain that the electron density
decreases from 1022 to 1017 cm-3 going from the inner to the outer radius. These
values of electron densities are in agreement with the values reported
by Vrtilek et al. (1993), who estimated the electron density of an extended
cloud to be 1022 cm-3 near the equatorial plane at a
distance from the neutron star surface of less than 108 cm (see
Fig. 2 in Vrtilek et al. 1993).
From the analysis of the two selected spectra, we find that the
extrapolated (not absorbed) flux in the 0.1-100 keV band of the
multicolored disk blackbody is approximately constant:
and
erg cm-2 s-1 for Spectrum 1+3 and 2, respectively. The blackbody component
has a larger flux in Spectrum 2 (
erg cm-2 s-1) than in Spectrum 1+3 (
erg cm-2 s-1). This suggests that the intensity change
during the observation is driven by the blackbody component. In our scenario
the blackbody component is associated with the emission from a BL around
the compact object and this emission illuminates the surface of the inner
accretion disk producing the reflection lines observed in the
spectra. We note that the line fluxes are higher in Spectrum
1+3 than in Spectrum 2 except for the flux associated with the
Fe XXVI line which shows an anticorrelated behaviour.
Our scenario may easily explain these results: in fact, if the emission from the BL increases, the flux illuminating the accretion disk increases, then the ionization parameter of the reflecting matter also increases under the hypothesis that the density of the matter does not change. This implies that transitions of heavier ions are more probable, since lighter ions such as S XVI, Ar XVIII, Ca XIX, and Fe XXV decrease in number while heavier ions such as Fe XXVI increase in number, giving a larger flux of the Fe XXVI line and a lower flux of the other lines.
GX 349+2 is a NS LMXBs belonging to the Z-class sources and its
behaviour is very similar to the prototype of its class, Sco X-1.
Steeghs & Casares (2002) analysed the optical spectrum of Sco X-1 and obtained
a firm mass ratio limit of
from the phase-resolved
spectroscopy, where q is the ratio of the companion star mass to the
neutron star mass. If we assume that the optical periodicity of
h, observed in GX 349+2 by Wachter & Margon (1996), is the orbital
period of the system, the mass function of GX 349+2 is
(see Wachter & Margon 1996). We find that the inclination
angle of the system is
deg. Assuming a neutron star
mass of 1.4
we find
,
a value very
similar to the upper limit estimated for Sco X-1,
giving a mass of the companion star of
,
typical for a NS LMXB of the Z class (
for
Sco X-1, Steeghs & Casares 2002;
for Cyg X-2,
Casares et al. 1997).
Furthermore Sco X-1 shows twin compact radio lobes forming an angle,
with respect the line of sight, of deg
(error at 1
,
see Fomalont et al. 2001). If the jet from the source
producing the radio lobes is almost perpendicular to the equatorial
plane of the system then the angle of
deg corresponds to
the inclination angle of the system, similar to the inclination angle
of
deg obtained for GX 349+2 in this work. Our results
indicate that Sco X-1 and GX 349+2 are very similar sources, as already
suggested by other authors (see e.g. Kuulkers & van der Klis 1998).
Although our scenario looks reasonable, our values of the diskline
parameters are not compatible with the recent ones reported by
Cackett et al. (2008). Cackett et al., analysing Suzaku
data of GX 349+2, fitted the broad emission feature in the Fe-Kregion adopting a smeared relativistic line with the outer radius
fixed at 1000
.
They found a line energy associated with
Fe XXVI, an inner radius of
km, an emissivity
index of
and an inclination angle of the
system of
.
The differences in line energy,
emissivity index, and inner radius of the reflecting skin could be
explained supposing that GX 349+2 was observed in a different spectral
state. We find that the Fe-K
broad emission feature is
associated with the Fe XXV line or a blending of Fe XXV and
Fe XXVI in which the Fe XXV line is more intense. Our
measurement is similar to the previous BeppoSAX observations of GX
349+2 (Di Salvo et al. 2001; Iaria et al. 2004) and to the two recent Chandra
observations of this source (Cackett et al. 2009b). In all these
observations GX 349+2 was in NB/FB and/or in the bottom part of the
FB. The only exception is the Suzaku observation of GX 349+2
(Cackett et al. 2008) where the broad emission line seems associated
with Fe XXVI, suggesting that the source was in a different state;
in fact, as discussed by Cackett et al., it is possible
that GX 349+2 was in NB during that observation.
However, the different inclination angles of the system
obtained in this work and by Cackett et al. (2008) cannot be
easily explained since the inclination angle of the system should
not depend on the state of the source and should not change. Using
the inclination angle obtained by Cackett et al. we obtain
a mass ratio
and a companion star mass of
for a neutron star mass of 1.4
,
that is quite unusual for NS LMXBs.
Higher statistics spectroscopic studies are needed to put tighter constraints on the system parameters of this source, since these can give important information on the whole binary system and on the physics of the accretion flow close to the compact object.
4 Conclusions
We analysed a XMM observation of GX 349+2, finding the presence of
prominent emission features associated with S XVI,
Ar XVIII, Ca XIX, Fe XXV and, possibly, Fe XXVI.
The emission
features can be fitted with relativistic smeared lines ( diskline). The continuum emission was fitted adopting a
multicolored disk blackbody plus a blackbody component. We
investigated the scenario in which the broad emission lines are formed
by reflection from an ionized skin in the inner region of the accretion disk
illuminated by the emission of a compact corona (or a boundary layer)
surrounding the
neutron star that we fitted with a blackbody component with a
temperature of 1.8 keV. We find a self-consistent explanation of our
results. The inner radius of the disk blackbody is
km
while the broad lines give an inner disk radius of less than 40 km
from the neutron star center. We discuss
that the electron density of the reflecting plasma is
between 1017 and 1022 cm-3 and that the
inclination angle of the source is around 43
.
Finally, we
infer that, for an inclination angle of 43
,
the mass of
the companion star is 0.78
.
Acknowledgements
We are very grateful to the referee for his/her suggestions and comments.
References
- Bhattacharyya, S., & Strohmayer, T. E. 2007, ApJ, 664, L103 [NASA ADS] [CrossRef] (In the text)
- Cackett, E. M., Miller, J. M., Bhattacharyya, S., et al. 2008, ApJ, 674, 415 [NASA ADS] [CrossRef] (In the text)
- Cackett, E. M., Altamirano, D., Patruno, A., et al. 2009a, ApJ, 694, L21 [NASA ADS] [CrossRef]
- Cackett, E. M., Miller, J. M., Homan, J., et al. 2009b, ApJ, 690, 1847 [NASA ADS] [CrossRef] (In the text)
- Casares, J., Charles, P., & Kuuklers, E. 1997, NASA STI/Recon Technical Report N, 98, 99651 [NASA ADS] (In the text)
- Christian, D. J., & Swank, J. H. 1997, ApJS, 109, 177 [NASA ADS] [CrossRef] (In the text)
- D'Aì, A., Iaria, R., Di Salvo, T., Matt, G., & Robba, N. R. 2009, ApJ, 693, L1 [NASA ADS] [CrossRef] (In the text)
- den Herder, J. W., Brinkman, A. C., Kahn, S. M., et al. 2001, A&A, 365, L7 [NASA ADS] [CrossRef] [EDP Sciences] (In the text)
- Di Salvo, T., D'Ai', A., Iaria, R., et al. 2009, ArXiv e-prints
- Di Salvo, T., Iaria, R., Méndez, M., et al. 2005, ApJ, 623, L121 [NASA ADS] [CrossRef]
- Di Salvo, T., Robba, N. R., Iaria, R., et al. 2001, ApJ, 554, 49 [NASA ADS] [CrossRef] (In the text)
- Fomalont, E. B., Geldzahler, B. J., & Bradshaw, C. F. 2001, ApJ, 558, 283 [NASA ADS] [CrossRef] (In the text)
- Hasinger, G., & van der Klis, M. 1989, A&A, 225, 79 [NASA ADS] (In the text)
- Hasinger, G., van der Klis, M., Ebisawa, K., Dotani, T., & Mitsuda, K. 1990, A&A, 235, 131 [NASA ADS]
- Iaria, R., Di Salvo, T., Robba, N. R., et al. 2004, ApJ, 600, 358 [NASA ADS] [CrossRef] (In the text)
- Iaria, R., Lavagetto, G., D'Aí, A., di Salvo, T., & Robba, N. R. 2007, A&A, 463, 289 [NASA ADS] [CrossRef] [EDP Sciences] (In the text)
- Jansen, F., Lumb, D., Altieri, B., et al. 2001, A&A, 365, L1 [NASA ADS] [CrossRef] [EDP Sciences] (In the text)
- Kuulkers, E., & van der Klis, M. 1998, A&A, 332, 845 [NASA ADS] (In the text)
- O'Neill, P. M., Kuulkers, E., Sood, R. K., & Dotani, T. 2001, A&A, 370, 479 [NASA ADS] [CrossRef] [EDP Sciences]
- O'Neill, P. M., Kuulkers, E., Sood, R. K., & van der Klis, M. 2002, MNRAS, 336, 217 [NASA ADS] [CrossRef]
- Pandel, D., Kaaret, P., & Corbel, S. 2008, ApJ, 688, 1288 [NASA ADS] [CrossRef] (In the text)
- Papitto, A., di Salvo, T., D'Ai, A., et al. 2009, A&A, 493, L39 [NASA ADS] [CrossRef] [EDP Sciences]
- Shakura, N. I., & Syunyaev, R. A. 1973, A&A, 24, 337 [NASA ADS]
- Shimura, T., & Takahara, F. 1995, ApJ, 445, 780 [NASA ADS] [CrossRef] (In the text)
- Steeghs, D., & Casares, J. 2002, ApJ, 568, 273 [NASA ADS] [CrossRef] (In the text)
- Strüder, L., Briel, U., Dennerl, K., et al. 2001, A&A, 365, L18 [NASA ADS] [CrossRef] [EDP Sciences] (In the text)
- Turner, M. J. L., Abbey, A., Arnaud, M., et al. 2001, A&A, 365, L27 [NASA ADS] [CrossRef] [EDP Sciences] (In the text)
- van der Klis, M. 1995, in Flares and Flashes, Lecture Notes in Physics (Berlin: Springer Verlag), ed. J. Greiner, H. W. Duerbeck, & R. E. Gershberg Lecture Notes in Physics, 454, IAU Colloq., 151, 321
- Vrtilek, S. D., Soker, N., & Raymond, J. C. 1993, ApJ, 404, 696 [NASA ADS] [CrossRef] (In the text)
- Wachter, S., & Margon, B. 1996, AJ, 112, 2684 [NASA ADS] [CrossRef] (In the text)
- White, N. E., Stella, L., & Parmar, A. N. 1988, ApJ, 324, 363 [NASA ADS] [CrossRef]
- Zhang, W., Strohmayer, T. E., & Swank, J. H. 1998, ApJ, 500, L167 [NASA ADS] [CrossRef] (In the text)
Footnotes
- ... mode
- See Table 3 in the XMM-Newton Users Handbook published on 15 July 2008.
- ...
pile-up
- See Table 3 in the XMM-Newton Users Handbook published on 15 July 2008
All Tables
Table 1: Time intervals selected in the EPIC-pn lightcurve.
Table 2: Percentage of photon pile-up at different energies.
Table 3: Averaged continuum and identified broad Gaussian lines below 6 keV.
Table 4: Broad Gaussian lines between 6 and 7 keV.
Table 5:
Best-fit values of the parameters obtained fitting the emission features with relativistic smeared lines (diskline in XSPEC). The Fe-K
feature is modelled with one diskline component.
Table 6:
Best-fit values of the parameters obtained fitting the emission features with relativistic smeared lines (diskline in XSPEC). The Fe-K
feature is modelled with two diskline components.
All Figures
![]() |
Figure 1: Epic-pn lightcurve of GX 349+2 in the energy band 1-10 keV. The bin time is 30 s. |
Open with DEXTER | |
In the text |
![]() |
Figure 2: Color-intensity diagram of GX 349+2. The [4-10 keV]/[1-4 keV] hardness ratio increases for a count rate lower than 1580 c/s. The bin time is 100 s. |
Open with DEXTER | |
In the text |
![]() |
Figure 3: Upper panel: 1-4 keV Epic-pn lightcurve. Middle panel: 4-10 keV Epic-pn lightcurve. Bottom panel: [4-10 keV]/[1-4 keV] hardness ratio. The bin time is 30 s for each lightcurve. The red dot-dashed vertical lines indicate the three selected time intervals. |
Open with DEXTER | |
In the text |
![]() |
Figure 4: Patterns of single (blue color) and double (red color) events extracted from the source region excluding RAWX 37 and 38. The patterns are plotted versus the 60-2000 ADU channel range, corresponding to 0.3-10 keV. |
Open with DEXTER | |
In the text |
![]() |
Figure 5:
Residuals (in units of |
Open with DEXTER | |
In the text |
![]() |
Figure 6: Residuals in the 5.5-7.7 keV energy range. These can be fitted adopting a Gaussian profile or, equivalently, a relativistic smeared line (diskline in XSPEC) |
Open with DEXTER | |
In the text |
![]() |
Figure 7:
Data, model, and residuals (in units of |
Open with DEXTER | |
In the text |
![]() |
Figure 8: Unfolded spectrum in the energy range 5.5-7.7 keV; the Fe XXV relativistic line profile is shown. |
Open with DEXTER | |
In the text |
Copyright ESO 2009
Current usage metrics show cumulative count of Article Views (full-text article views including HTML views, PDF and ePub downloads, according to the available data) and Abstracts Views on Vision4Press platform.
Data correspond to usage on the plateform after 2015. The current usage metrics is available 48-96 hours after online publication and is updated daily on week days.
Initial download of the metrics may take a while.