| Issue |
A&A
Volume 505, Number 3, October III 2009
|
|
|---|---|---|
| Page(s) | 981 - 990 | |
| Section | Cosmology (including clusters of galaxies) | |
| DOI | https://doi.org/10.1051/0004-6361/200911987 | |
| Published online | 11 August 2009 | |
Absence of anti-correlations and of baryon acoustic oscillations in the galaxy correlation function from the Sloan Digital Sky Survey data release 7
F. Sylos Labini1,2 - N. L. Vasilyev3 - Y. V. Baryshev3 - M. López-Corredoira4,5
1 - Centro Studi e Ricerche Enrico Fermi, via Panisperna 89 A,
Compendio del Viminale, 00184 Rome, Italy
2 - Istituto dei Sistemi Complessi CNR,
via dei Taurini 19, 00185 Rome, Italy
3 -
Institute of Astronomy, St. Petersburg
State University, Staryj Peterhoff, 198504
St. Petersburg, Russia
4 -
Instituto de Astrofísica de Canarias,
C/vía Láctea, s/n
38200 La Laguna, Tenerife, Spain
5 -
Departamento de Astrofísica, Universidad de La Laguna, 38205 La Laguna, Tenerife, Spain
Received 5 March 2009 / Accepted 23 July 2009
Abstract
Aims. One of the most striking features predicted by standard models of galaxy formation is the presence of anti-correlations in the matter distribution on large enough scales (
). Simple arguments show that the location of the length scale
,
marking the transition from positive to negative correlations, is the same for any class of objects as for the full matter distribution; i.e. it is invariant under biasing. This scale is predicted by models to be at about the same distance of the scale signaling the baryonic acoustic oscillation scale
.
Methods. We test these predictions in the newest SDSS galaxy samples where it is possible to measure correlations on
100 Mpc/h scales both in the main galaxy (MG) and in the luminous red galaxy (LRG) volume-limited samples. We determine, by using three different estimators, the redshift-space galaxy two-point correlation function.
Results. We find that, in several MG samples, the correlation function remains positive on scales >250 Mpc/h, while it should be negative beyond
Mpc/h in the concordance LCDM. In other samples, the correlation function becomes negative on scales <50 Mpc/h. To investigate the origin of these differences, we considered in detail the propagation of errors on the sample density into the estimation of the correlation function. We conclude that these are important at large enough separations and that they are responsible for the observed differences between different estimators and for the measured sample-to-sample variations in the correlation function. We show that in the LRG sample the scale corresponding to
cannot be detected because fluctuations in the density fields are too large in amplitude. Previous measurements in similar samples have underestimated volume-dependent systematic effects.
Conclusions. We conclude that, in the newest SDSS samples, the large-scale behavior of the galaxy correlation function is affected by intrinsic errors and volume-dependent systematic effects that make the detection of correlations only an estimate of a lower limit of their amplitude, spatial extension, and statistical errors. We point out that these results represent an important challenge to LCDM models as they largely differ from its predictions.
Key words: cosmology: observations - large-scale structure of Universe
1 Introduction
Standard models of galaxy formation (i.e., cold, warm and hot dark
matter models) predict the two-point correlation function
of
matter density fluctuations in the early universe, and they can make a
simple prediction for that at the present time, in the regime of weak
density perturbations, where fluctuations have been only linearly
amplified by gravitational clustering in the expanding universe
(Peebles 1980).
The difference in the various models lying in the values of the
characteristic length scales and in the particular scale-behavior of
.
In general, this is characterized by three length scales
and three different regimes,
(i) on scales smaller than r0, where
,
matter
distribution is characterized by strong clustering;
i.e.
,
about which little is known analytically and which is generally
constrained by N-body simulations where it is typically found that,
for r<r0,
with
(Springel et al. 2005);
(ii) the second length scale is such that
,
and it is located at
(Peebles 1993; Gabrielli et al. 2002).
In the range of scales
,
is characterized by
positive correlations, which rapidly decay to zero when
.
This former regime can be easily related to the early universe
correlation function by a simple rescaling of amplitudes given by the
linear gravitational growth of small amplitude perturbations in an
expanding universe (Peebles 1980). The scale
is an imprint of
the early universe physics. It corresponds to the size of the Hubble
horizon at the time of the equality between matter and radiation and
it is fixed by the values of standard cosmological parameters being
proportional to
where
is the density
parameter and h the normalized Hubble constant (Peacock 1999). The
third length scale
is located on scales on the order of, but
smaller than,
.
This is the real-space scale corresponding to the
baryon acoustic oscillations (BAO) at the recombination epoch. Its
precise location depends on the matter density parameters, baryon
abundance and Hubble constant (Eisenstein & Hu 1998);
(iii) finally in the third range of scales, namely for
,
is characterized by a negative power-law behavior,
i.e.
(Gabrielli et al. 2005,2002). Positive
and negative correlations are exactly balanced in such a way that
.
This is a global condition on the
system fluctuations, which corresponds that the matter
distribution being super-homogeneous (Gabrielli et al. 2005,2002)
i.e. characterized by a sort of stochastic order and by fluctuations
that are depressed with respect to a purely uncorrelated distribution
of matter (i.e. white noise). This corresponds to the linear behavior
of the matter power spectrum as a function of the wave-number k for
(named the Harrison-Zeldovich tail), and it
characterizes not only the LCDM model but all models of density
fluctuations in the framework of the Friedmann-Robertson-Walker metric
(Gabrielli et al. 2005,2002).
In the new samples provided by the Sloan Digital Sky Survey Data
Release 7 (SDSS-DR7) (Abazajian et al. 2009), it is possible to estimate the
galaxy correlation function on scales on the order of 100 Mpc/h to
possibly determine
and
.
Some years ago, Eisenstein et al. (2005)
determined the Landy & Szalay (1993, LS) estimator of the galaxy two-point
correlation function in a preliminary luminous red galaxy (LRG) sample
of the SDSS, claiming for an overall agreement with the LCDM
prediction and for a positive detection of the scale
at
about 110 Mpc/h. More recently Cabré & Gaztañaga (2008) measured the same
estimator of the correlation function in the LRG-DR6 sample and
Martínez et al. (2009) in the LRG-DR7 sample. They both found that the LRG
correlation is positive up to 200 Mpc/h and that the shape of the
correlation function around
is slightly different from the
one measured by Eisenstein et al. (2005). While they claimed that the measured
correlation function was compatible with the LCDM model, they did not
discuss the fact that their detection implied that positive
correlations extend to scales larger than the model predicted
.
In addition we note that Eisenstein et al. (2005); Martínez et al. (2009); Cabré & Gaztañaga (2008) did not
discussed other estimator than the LS one.
In the present paper, we show that our results coincide very finely with the ones of the above mentioned papers for what concern the amplitude, shape and statistical error bars in the case of the LS estimator in the LRG-DR7 sample. However we measure that in the SDSS-DR7 main galaxy (MG) sample the two-point correlation function (LS estimator) remains positive at large separations, i.e. for r> 250 Mpc/h, showing a clear systematic volume-dependent behavior and a remarkable disagreement with the LCDM prediction. In addition, we find that there is a difference between the LS and the Davis & Peebles (1983, DP) estimator of the two-point correlation function in redshift space. Finally we find that both estimators significantly vary in different sky regions. We interpret these results by studying the fluctuations in the sample density estimation.
The paper is organized as follows. We first define in Sect. 2 the estimators of the correlation function and a simple determination of its statistical errors that we use in the data analysis. Section 3 is devoted to the description of the samples selection while in Sect. 4 we present our main results. The discussion of the behaviors we have found and their interpretation is presented in Sect. 5. The behavior of the two-point correlation function predicted by standard models of galaxy formation and the comparison with the results obtained are discussed in Sect. 6. Finally we draw our main conclusions in Sect. 7.
2 Pairwise estimators
In what follows we determine the two-point correlation properties by using the LS, DP and the Hamilton (H) (Hamilton 1993) estimators. These estimators may have a number of systematic biases when correlations are long range as we discuss in Sect. 5. Firstly, it is interesting to discuss their properties and consider their determinations.
The LS estimator is defined as
where DD(r), RR(r) and DR(r) are the number of data-data, random-random and data-random pairs, and
The DP estimator is defined as
and the H estimator can be written as
![]() |
(3) |
In general, a statistical estimator XV of the statistical quantity X in a finite sample V, to be a valid one, must satisfy the following limit condition
where in brackets we denote the ensemble average (infinite volume limit). A stronger condition is that
i.e. that the ensemble average in a finite volume is equal to the ensemble average in the infinite volume limit. If this condition is not satisfied the estimator is said to be biased (Gabrielli et al. 2005; Kerscher 1999). One wants to understand the bias and the variance of the various estimators and this is possible only for some specific estimators and for distributions with simple correlation properties (e.g. Poisson). The effect of bias, i.e. finite volume or size effects, can be studied through the analysis of artificial simulations with known properties; however the three estimators defined above are all biased (Sylos Labini & Vasilyev 2008; Kerscher et al. 2000; Kerscher 1999). It is worth noticing that Kerscher (1999) showed that, in a real galaxy sample, the three different estimators defined above use different finite size corrections yielding to different results on large enough scales, for small value of the correlation amplitude, while all of them agree on smaller scales, where the amplitude of the correlation was large enough.
It was shown (Landy & Szalay 1993) that the LS estimator has the minimal
variance for a Poisson distribution, i.e. the variance decays as
1/N instead as
as for the DP estimator. This fact,
however, does not mean that its variance will be any more
controllable for a wider class of distributions with more complex
correlation properties than Poisson's (Gabrielli et al. 2005).
Indeed, there is no formal proof that the DP is less accurate than the
LS for a generally correlated point distribution even though this
conclusion has been reached by, e.g., Kerscher et al. (2000) examining some
specific properties of estimators in Nbody simulations. They concluded
also that the H estimator is equivalent to the LS one. In
Sylos Labini & Vasilyev (2008), by studying finite volume effects in the estimators,
it was shown that the two estimators LS and the H are indeed
indistinguishable, but that they are almost equivalent to the DP when
the underlying distribution is positively correlated.
Among the various ways to compute statistical errors
(Sylos Labini & Vasilyev 2008) we use the jack-knife (JK) estimate whose
variance is (Scranton et al. 2002)
where the index i is used to signify that the value of the correlation function is computed each time in all the N sub-samples of a given samples but one (the ith).
3 The samples
We have constructed several sub-samples of the main-galaxy (MG) and
the luminous-red-galaxy (LRG) samples of the spectroscopic catalog
SDSS-DR7. Concerning the latter we have constrained the flags
indicating the type of object to select only the galaxies from the MG
sample. We then consider galaxies in the redshift range
with redshift confidence
and with
flags indicating no significant redshift determination errors. In
addition we apply the apparent magnitude filtering condition r <
17.77 (Strauss et al. 2002).
The angular region we consider is limited, in the SDSS internal
angular coordinates, by
and
:
the resulting solid angle is
steradians. We do not use corrections for the redshift
completeness mask or for fiber collision effects. Fiber collisions in
general do not present a problem for measurements of large scale
galaxy correlations (Strauss et al. 2002). Completeness varies most
near the current survey edges which are excluded in our samples.
The completeness mask takes into account that the fraction of
observed galaxies is not the same in all the fields, because of both
fiber collision effects and small variation in limiting
magnitude. One can, under certain assumption, take into account the
completeness mask information in the statistical analysis. Otherwise
it is possible to make tests by varying the limits in apparent
magnitude and study the stability of the results obtained. We have
applied this second possibility and we did not find sensible
variations in the measured statistical properties when r<17.5 (Sylos Labini et al. 2009d). This conclusion is confirmed by the fact that our
results for the LRG sample agree with those of
Eisenstein et al. (2005); Martínez et al. (2009); Cabré & Gaztañaga (2008) and for the MG sample with those of
Zehavi et al. (2005b,a), who have explicitly taken into account the
completeness mask of the survey in their analysis. As noticed by Cabré & Gaztañaga (2008)
the completeness mask
could be the main source of systematic effects on small scale only,
while we are interested on the correlation function on relatively
large separations.
To construct volume-limited (VL) samples (see
Table 1) we computed the metric distances
using the standard cosmological parameters, i.e.,
and
with
H0=100 h km s-1 Mpc-1. We computed absolute
magnitudes using Petrosian apparent magnitudes in the r filter
corrected for Galactic absorption.
We checked that the main results in the MG sample we got do not depend
on K-corrections and/or evolutionary corrections as those used by
Blanton et al. (2003). In this paper we use standard K-correction from
the VAGC data
(see
discussion in Sylos Labini et al. 2009d, for more details).
![]() |
Figure 1:
Correlation function in the VL1 sample: both the LS and the
DP estimators are reported. The solid line gives prediction of the
LCDM with
|
| Open with DEXTER | |
Table 1: Properties of the SDSS-DR7 VL samples.
Concerning the LRG we have selected all the objects that have classification ``galaxy'' and which belong to the ``Cut I'' subset of the Galaxy Red objects with the same redshift quality criteria as for main galaxies. As this is only roughly VL sample we have applied cuts in absolute magnitude M and distance R to obtain a rectangular area in the M-R diagram. In addition because evolutionary effects are small for LRG galaxies (Eisenstein et al. 2005) we have not applied further corrections to these data. Given that we have selected a truly VL sample, we did not apply a further redshift dependent weighting to the data.
The sub-samples used to measure the JK errors are made by
dividing the survey angular region we considered into 30 sub-fields,
each of area
200 deg2. In this way there are some thousands
galaxies in each sub-sample.
4 Results
![]() |
Figure 2: The same of Fig. 1 but for the VL2 sample. |
| Open with DEXTER | |
![]() |
Figure 3: The same of Fig. 1 but for the VL3 sample. |
| Open with DEXTER | |
We find, in agreement with Eisenstein et al. (2005); Zehavi et al. (2002,2005a) in previous
data releases of the SDSS, that the redshift-space correlation
function in different samples shows a different amplitude but similar
shape on small scales (see Figs. 1-4). This is
usually ascribed to the (physical) effect of selection, that brighter
galaxies exhibit a larger clustering amplitude
(Zehavi et al. 2002; Norberg et al. 2002; Zehavi et al. 2005a). However this is not the only change:
the larger the correlation function amplitude the more extended is the
range of scales where there are detectable (i.e. signal larger than
JK errors) positive correlations. Indeed, in the MG samples
the transition scale from positive to negative correlations occurs at
a scale that grows roughly in proportion to the sample size and in the
deepest samples this is located on rather larger scales, i.e. r>250 Mpc/h.
However in the VL1 sample we find
Mpc/h, i.e. less than
the half of the LCDM prediction.
To show that finite-volume effects are important on large separations,
we consider a single sample (VL4)
and we cut it at different scales
;
in addition we consider
an angular cut of the LRG sample for which the depth is fixed but the
volume is lowered. In the latter case the whole angular region of
6000 deg2 is cut into two non-overlapping sky region, each
of area
3000 deg2, i.e only
20% smaller than the
sample considered by Eisenstein et al. (2005).
As one may notice from Figs. 5-7, there is a clear
volume dependence of the two-point correlation function on large
scales. In
particular, in the R1 sub-sample there is an evident difference between
the data and the LCDM prediction.
In addition, we note that almost in all cases the DP and LS
estimator on large enough scales show a difference which can be larger
than statistical error bars.
![]() |
Figure 4: The same of Fig. 1 but for the LRG sample. |
| Open with DEXTER | |
![]() |
Figure 5:
Correlation function in the whole sample VL4 and in a sub-sample of it (VL4c)
limited at
|
| Open with DEXTER | |
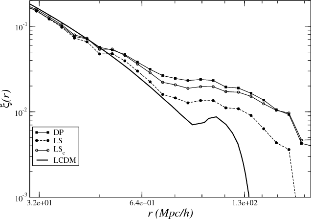
It is worth noticing that our result for the LS estimator of the correlation function in the LRG sample finely agrees with the determination of Martínez et al. (2009), although these authors have used a slightly different technique to take into account the survey completeness mask, as we commented above (see Fig. 8).
The LS estimator for the LRG sample is also very similar to the determination made by Eisenstein et al. (2005), although the signal is larger then the statistical error bars and positive up to 200 Mpc/h, as it was found also by Martínez et al. (2009) in the same sample we considered. A similar trend was also seen in the analysis by Cabré & Gaztañaga (2008). In addition our result for the MG sample nicely agree with the determination of Zehavi et al. (2005b), although they did limit their analysis to smaller scales than the ones considered in our analysis.
We note that Eisenstein et al. (2005) stated that the MG sample does not have an enough large volume to measure the correlation function on 100 Mpc/h scales, without giving a clear quantitative argument of why statistical or systematic errors should prevent one to measure the correlation function on those scales. Indeed, we find that the signal to noise ratio, when JK error estimations are used, is larger than unity even on scales larger than 150 Mpc/h. In this respect one may ask whether statistical errors computed in this way are meaningful.
In addition we note that Martínez et al. (2009) also found that the
correlation function becomes negative on scales of the order 50 Mpc/h in a 2dFGRS sample, without however commenting on this
fact. Actually they even claimed that
is detectable when the
correlation function is negative, without discussing that this is not
what one expects in the context of the LCDM model where the zero point
of the correlation function must be a single scale for any type of
objects (see below).
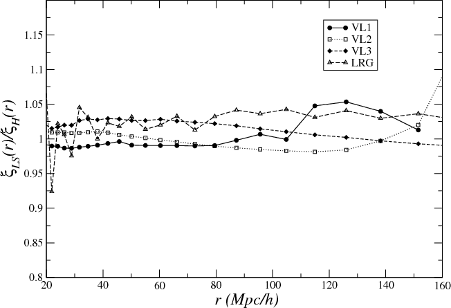
Finally we find that, as discussed in Sect. 2, the LS and the H
estimators of the correlation function are almost indistinguishable:
this is shown in Fig. 9 where we plot the behavior of the
ratio
as a function
of separation. This remains smaller than
5% on all the
relevant scales.
![]() |
Figure 6:
Correlation function measured through the LS estimator (with
jack-knife errors) in the LRG sub-sample (R1) which is limited by
|
| Open with DEXTER | |
![]() |
Figure 7:
The same of Fig. 6 but for the R2 angular region,
which is limited by
|
| Open with DEXTER | |
![]() |
Figure 8: Determination of the correlation function for the LRG sample with the LS estimator (LRG), compared with the Eisenstein et al. (2005) (E05) and the Martínez et al. (2009) (Martinez) determinations. The solid line is the LCDM prediction. |
| Open with DEXTER | |
![]() |
Figure 9:
Behavior of the ratio
|
| Open with DEXTER | |
5 Fluctuations and volume-dependent systematic effects
In theoretical models, the matter density field is uniform on large
scales and the average mass density
is provided by
an average over an ensemble of realizations of a given stochastic
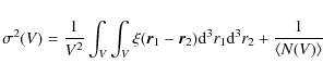
process. In a finite sample of volume V, the average density
can be estimated in some way. In the limit in which the
sample volume is infinite and in the process is ergodic (Gabrielli et al. 2005)
then
because in this limit the relative variance goes
to zero if the distribution is uniform on large scales, i.e.
where N(V) is the mass in a volume V. In a finite volume
where
Thus in a finite sample any determination of the average density
has an intrinsic error
.
Given
that the two-point correlation determines the amplitude of
correlations with respect to the sample density, it is natural to ask
which is the error introduced in the estimation of the correlation
function by the uncertainty on the value of the sample density. A
second question is which kind of statistical estimation of the
correlation function errors in a finite sample is representative of
the errors induced by the average density uncertainty.
5.1 Fluctuations in the determination of the sample density
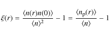
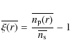
The two-point correlation function is defined as
where
is the conditional density. Because of the definition in Eq. (7), any estimator of
where
In addition it is worth noticing that the pair-wise estimators introduced in Sect. 2, necessarily use a similar strategy, as in order to the measure the average of the sample density one would need many samples of size V. Thus, the determination of the two-point correlation function requires the estimation of an average quantity and of a non-average quantity. The former can introduce volume-dependent systematic effects in a non-trivial way.
Suppose that a certain estimator
of the two-point
correlation function uses the sample estimation
while
another estimator
uses
:
the
difference between
and
is not due to
the fact that the samples are different, rather that the different
estimators use different boundary conditions to measure the two-point
correlation function, i.e. different ways of normalizing the
data-data pairs to the data-random and random-random pairs.
Thus they are subject to a different bias (Kerscher 1999).
Alternatively one can think to measure the same estimator but into
two different samples of same geometry and volume, in which the
sample density takes a slightly different value.
We show now that the different values the sample density may
result in a different measurement of the large scales behavior of the
correlation function. To this aim, let us assume that there is a small
difference between the value of the sample density used by the
estimator 1 and the estimator 2, so that we can write
with
![]() |
(10) |
and thus from Eqs. (7)-(9) we get
which makes explicit that a different determination of the sample density results in a variation of the estimated two-point correlation function.
![]() |
Figure 10:
By taking the LS estimator in the LRG sample for
|
| Open with DEXTER | |
As an illustrative example, we can take as
the
LS estimator for the LRG sample. We find that, for
,
in Eq. (11) almost perfectly agrees with the
DP estimator in the same sample (see Fig. 10). It is thus
clear than a small uncertainty in the value of the sample
average (in this case 0.6%) can affect the large scale behavior of
the correlation function in the range of scales and of amplitudes of
interest, i.e. around 100 Mpc/h in the LRG sample. Therefore, we have
to determine what is the error on the estimation of the sample density
and then we have to clarify how this changes the large scale behavior
of the correlation function. Is the above estimation of 0.6%
representative of the true uncertainty on the large scale
average density?
Simply stated, the problem is the following: in order to measure the BAO we need to have an error of about 10-3 on the estimator of the correlation function. Indeed, for the LRG case, the correlation function on 100 Mpc/h has an amplitude of about 10-2 while the feature corresponding to the BAO (a slight local increase followed by a decrease) corresponds to a local variation of about 10-3 in the correlation function amplitude.
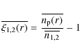
By errors propagation, we find from Eq. (8) that
We neglect again the statistical error on the determination of the conditional density on scales smaller than the sample, i.e. the first term in the r.h.s. of Eq. (12). As discussed above, this approximation is reasonable in view of the fact that the conditional density is determined by making an average over many points. Then by using again Eq. (8) we can rewrite the previous equation as
where we used that
The typical fluctuation on the density
estimation in a given sample, on scales of the order of the sample
size, is
.
The problem is to constrain
from the data. As mentioned above it is not
possible to make an average over many samples of volume V, as we
have a single one, and thus we can determine the fluctuation only
inside the sample itself by considering several sub-samples of it.
We have estimated
on the relevant scales as
follows. We divide the sample into N independent (non-overlapping)
angular fields and then we determine the number of galaxies in the
each field. We then compute the average
and the
variance
and thus the standard deviation as
As there is an arbitrariness in the choice of the number of fields Nwe let it to vary between a few, for which we have more than 104objects in each field, to some tens, to have a least several hundreds of galaxies in each field.
From Fig. 11 we may note that in the LRG sample, the typical
fluctuation is about
for about any value of N and that this
is much larger than Poisson noise, i.e. almost a factor 100 larger
than the error needed to measure the correlation function
with a precision of the order of 10-3!
![]() |
Figure 11:
The typical fluctuation
|
| Open with DEXTER | |
Note that this value of the typical fluctuation is in agreement with
that obtained in a smaller LRG sample by Hogg et al. (2004). For the MG
samples we find that
has about the same amplitude
as for the LRG case (see Fig. 12). Thus given that
we conclude that we can get in these
samples a statistically significant estimation of the correlation
function only for
and thus any claim about smaller
amplitude is biased by overall volume-dependent systematic
effects. This implies that, for the LRG sample, our estimation is
statistically significant for
Mpc/h. To measure
correlations of smaller amplitude, and thus on larger scales, we need
to have samples in which the typical fluctuation of the average
density is, at least, a factor ten smaller than the present one.
Note that for the case of MG samples, and specifically for VL2 and
VL3, the amplitude of the correlation functions is of the order of
up to 250 Mpc/h. We stress however that one
should also care about whether the property of self-averaging is
satisfied in these samples, and thus whether the determination of
average quantities gives a meaningful estimation of intrinsic
properties (Sylos Labini et al. 2009c,d).
![]() |
Figure 12: The same of Fig. 11 but for the VL1, VL2 and VL3 case. |
| Open with DEXTER | |
While the above argument about error propagation strictly applies when we determine the correlation function by considering Eq. (8), we show in what follows that the above estimation holds also in the case of the DP and LS estimators. To show this, let us now compute statistical error bars in different way than by the JK method.
5.2 Statistical errors
The errors on the correlation function can be determined in various manners and the problem is to understand, in the case of the actual distribution, which methods gives the most reliable error estimation. To this aim, let us consider in more detail the computation of JK errors: in practice one takes almost fixed the sample density and computes the typical variation with respect to it. Indeed, we remind that each of the N sub-fields used to in the JK estimation is equal the full sample without a small sub-field of angular area equal to 1/N of the full sample area. Therefore the different sub-fields are strongly overlapping: in the case in which large scale correlations are not negligible this method underestimates the errors in the correlation function estimation.
![]() |
Figure 13: Jack-knife errors, and field-to-field errors computed with different number of fields N=10, 20, 30 in the LRG sample. The solid line corresponds to the full-sample determination of the LS estimator. |
| Open with DEXTER | |
We find that in the LRG sample the variation of the sample density in
the N=30 sub-fields used to compute the JK errors is smaller,
i.e.
than what is estimated
by computing the variance in non-overlapping sub-fields. This
result does not show a particular dependence on the number of
sub-fields used as long as N>10.
Field-to-field errors can quantify, volume-dependent systematic
effects due to large-scale variation of the sample density. They can
be computed by dividing the sample into N non-overlapping
sub-fields. The correlation function can be estimated by
and then the variance is
In Fig. 13 we show the behavior of the errors, in the LRG sample, computed by Eqs. (4) and (16) and considering 10, 20 and 30 fields. One may note that (i) the field-to-field error in larger than the signal for
Note that the behavior of the correlation function in the MG VL2
and VL3 samples on large enough scales, i.e.
Mpc/h,
is the same when considering both JK and field-to-field errors,
showing thus that there are positive correlations on scales larger
than the cut-off on
Mpc/h predicted by the LCDM
model without a statistical robust evidence of the
scale
on
110 Mpc/h.
5.3 Large scale volume-dependent systematic effects
The simple estimation of field-to-field errors allows one to overcome the problem related to the JK method, in which the implicit assumption is that correlations on the scale of the sample are negligible. However the field-to-field method is not able to take into account the full errors on the correlation function estimation. This is because the sample density is systematically different from the ensemble average density when the correlation function is non zero at large scales. This introduces a well-known bias, i.e. a volume-dependent systematic effects. Let us discuss this further effect.
Most of the literature on the correlation function measurements has
focused on the determination of the statistical errors
(Norberg et al. 2009; Zehavi et al. 2002; Eisenstein et al. 2005; Norberg et al. 2002; Zehavi et al. 2005a) while little attention
has been devoted to the understanding of the distortions introduced by
volume-dependent systematic effects. These depend on the precise
type of estimator used, but they affect any estimator
,
in a finite sample of volume V, in some ways
at large enough scales (Sylos Labini & Vasilyev 2008).
For instance, an important volume-dependent systematic effect is
related to the so-called integral constraint (Peebles 1980) and can be
understood as follows. The estimator
measures
amplitude and shape of conditional correlations normalized to the
estimation of the sample mean instead to the ``true'' (ensemble or
infinite volume limit average) average density (Sylos Labini & Vasilyev 2008). As
long as the ``true'' correlation function is different from zero
(e.g. in case of LCDM on all scales) any estimation of the average
density in a finite sample differs from the ``true'' value. This
situation introduces a systematic distortion of
with respect to
which, depending on the correlation
properties of the underlying distribution, is manifested in (i) an
overall difference in amplitude and (ii) a distortion of the shape for
(Sylos Labini & Vasilyev 2008).
In order words, only if the zero point of the correlation function is due to the boundary condition corresponding to the integral constraint, then this will be different for different sample sizes. If the zero-point is real, as it should be in a LCDM model, then it should not change from the sample to sample.
The definition of the range of scale in which this former effect
occurs, depends on the precise estimator used. For instance, in the
case of the full-shell (FS) estimator (Sylos Labini & Vasilyev 2008; Gabrielli et al. 2005) and for a
spherical sample volume, our ignorance of the ``true'' average density
value is explicitly present in the condition that
,
where the integral is performed over
the whole sample volume V. Note that this condition holds for any
V and it forces the estimator to become negative even if the
``true''
is always positive inside the given sample. The
effect of this boundary condition is the following: as long as the
``true'' correlation function is positive, by enlarging the volume
size the change of sign occurs at larger and larger scales
(Sylos Labini & Vasilyev 2008). This effect may very well explain the behavior found
in the MG VL samples discussed above, in which we noticed that the
transition scale changes from
Mpc/h for the smallest
sample to more than 250 Mpc/h for the deepest sample we considered.
Note that if the ``true'' correlation function is negative, then the
distortion on large scales can be rather important (Sylos Labini & Vasilyev 2008).
While for the FS estimator one can analytically calculate the scale at
which the systematic departure from the ``true'' shape occurs, for
more complex estimators based on pair-counting, like the LS one, it is
possible to understand only through numerical simulations the ways in
which this boundary condition affects the measured correlations. This
is the complication to be considered having the advantage that these
estimators can measure correlations on scales larger than those
sampled by the FS estimator (Sylos Labini & Vasilyev 2008). For pair-counting
estimators it has been numerically shown (Sylos Labini & Vasilyev 2008) that, when
fluctuations in the sample density are small enough,
;
the pre-factor of this proportionality depends on the type
of estimator and on the sample geometry.
However, we note that
large scale fluctuations may alter this systematic behavior as
a function of the sample volume in a non trivial way (see e.g.,
Sylos Labini et al. 2009c,d,b,a).
Note that the simple computation of how the error in the average density propagates into the error on the correlation function does not take explicitly into account of the situation in which the sample density itself can be a varying function of the sample size (the interested reader to Sylos Labini et al. 2009c,d,a,b, for a more complete discussion of this important point). Indeed, as mentioned above, the estimated sample average converges to the asymptotic average density with a rate determined from the decaying of the two-point correlation function. When correlations are strong, there can be an important finite-volume dependence of the sample density, resulting in a similar finite-size effects of the two-point correlation function (Sylos Labini & Vasilyev 2008).
6 Theoretical implications
To theoretically interpret these results it is necessary to take into account an important complication which changes the predictions of standard models described in the introduction. Indeed, these refer to the whole matter density field (dark and luminous) while we observe only a part of it in the form of luminous matter (i.e. galaxies). The relation between galaxy and dark matter distributions is usually formulated in terms of bias: the latter represent a certain (physical) sampling of the former. There are two different relevant regimes. At non-linear scales, where the distribution has strong clustering characterized by non Gaussian fluctuations, this relation can be studied only through numerical models (Croton et al. 2006; Springel et al. 2005). Instead, on scales where perturbations are small and clustering is in the linear regime, there is a simple picture based on the threshold sampling of a Gaussian random field (Kaiser 1984). In the former case one may derive analytically that the ``biased'' two-point correlation function is linearly amplified by threshold sampling (Kaiser 1984). This is found to occur also in the non-linear regime but under different conditions, as shown by numerical N-body simulations (Croton et al. 2006; Springel et al. 2005): the effect of biasing is to linearly amplify the correlation function, while the simple threshold sampling of a Gaussian random field predicts a strongly scale dependent amplification of the correlation function in the non-linear regime (Gabrielli et al. 1999).
Therefore the prediction of the non-linearity scale r0 for the full
matter distribution (which, in current models, is
Mpc/h) gives only an approximate estimate for that of galaxies of
different luminosity. Indeed this scale has been found to slightly
vary in N-body simulations (Springel et al. 2005). On the other hand
the scale
is not affected by biasing for the simple reason
that it is located, in current models, on about
Mpc/h where fluctuations have low amplitude and thus where both
biasing and gravitational clustering give rise to a linear
amplification of the correlation function. Hence, given that for
there are not positive correlations in the whole matter
density field, these will not be present in the galaxy distribution as
they cannot be generated by a biasing mechanism. Thus the length scale
is invariant with respect to biasing, i.e. it must be the same
for any class of objects as for the whole matter density field. It is
then a fundamental scale to be measured in the observed galaxy
distribution to verify the class of models characterized by the
Harrison-Zeldovich tail of the matter power spectrum. Finally the
third length scale in current models is the BAO scale, located at
,
and it is weakly affected by gravitational
evolution and biasing (Eisenstein & Hu 1998).
That the scales
and
are invariant under biasing is
shown by the analysis of the N-body simulations provided by the Horizon project
(Kim et al. 2009) where it is found that these are
the same for the whole matter distribution and for the sub-sample of
particles corresponding to the LRG (see their Fig. 5).
7 Conclusions
In the newest SDSS samples it is possible to measure the correlation
function on
100 Mpc/h scales both in the main galaxy (MG) and
in the luminous red galaxy (LRG) samples. We measured, in the former
case, positive correlations extending up to a factor two beyond the
scale
Mpc/h, at which in the LCDM model
should cross zero being negative on larger scales. However in nearby
samples we measured that positive correlations are detectable only up
to
50 Mpc/h. Therefore we concluded that in these samples The
correlation function shows a rather different behavior from the LCDM
model prediction and that there is no statistical significant evidence
for the scale corresponding to the baryonic acoustic oscillations
(BAO).
Moreover we found that the estimated two-point correlation function in
different MG VL samples shows a clear dependence on the sample
volume. We concluded that the overall errors in the estimation of the
correlation function cannot be simply evaluated by the computation of
statistical error bars (e.g. JK) but they can only be studied
by making systematic tests in samples with different volumes.
In addition, we have shown that, in the LRG sample, the
uncertainty on the sample density estimation does not allow to
measure the correlation function on scales of the order of
100 Mpc/h. Rather it puts a upper limit to the estimation of correlations
at about
50 Mpc/h.
More specifically the fluctuation on the estimation of the sample
density for the LRG sample is of the order of
.
This is, as we
have discussed, of the same order of the errors in the correlation
function. We have pointed out that in order to measure the small bump
in the correlation function associated with the BAO scale, one would
need samples in which the fluctuation on the estimated density is more
ten times lower than the value found in the LRG-DR7 sample.
For this reason we concluded that in the LRG sample there is no statistical evidence for the BAO and that previous measurements (Eisenstein et al. 2005; Martínez et al. 2009; Cabré & Gaztañaga 2008) have underestimated the error bars in the estimation of the correlation function and neglected the possible effect of the bias in the estimator. This is due to the fact that they have measured statistical errors by means of the JK method. This computes the sample variance by considering different samples which are strongly overlapping. If large scale correlations are not negligible, this method underestimates the errors in the correlation function. We have shown that a more reliable way to compute statistical error bars is given by the simple estimation of field-to-field fluctuations. However, we have pointed that even this method is not able to properly take into account overall volume-dependent effects, i.e. the estimator's bias, related to our ignorance of the ensemble average density.
Determinations of correlations through the measurements of the galaxy power spectrum (Cole et al. 2005) are affected by similar volume-dependent systematic effects (Sylos Labini & Amendola 1996). In addition one must take into account that threshold sampling of a Gaussian field does change the shape of power spectrum on large enough scales, i.e. on small enough wave-numbers (Durrer et al. 2003). A similar situation should occur in the case of the halo models (Gabrielli et al. 2005).
This situation represents an important challenge for models,
especially in view of the fact that galaxy distribution does not
present the negative correlations predicted by models up to scales
larger than
250 Mpc/h. Our conclusion is that, in view of the
finite-volume effects, the estimation of correlations presented here
must be intended as a lower limit to the real correlations
characterizing the large scale distribution of galaxies.
Future surveys, like the extended SDSS III project (Schlegel et al. 2009),
may allow us to study the behavior of the galaxy correlation function
on scales larger than those considered here.
To understand how volume-dependent systematic effects perturb
correlation measurements and to make tests on the volume stability of
statistical quantities it is necessary to consider a more complete
statistical analysis that focuses on conditional fluctuations
(Sylos Labini et al. 2009c,d,b,a).
Acknowledgements
F.S.L. is grateful to Andrea Gabrielli and Michael Joyce for interesting discussions. Y.V.B. is grateful for partial support from Russian Federation grants: Leading Scientific School 1318.2008.2 and RFBR 09-02-00143. M.L.C. was supported by the Ramón y Cajal Program of the Spanish Science Ministry. We thank an anonymous referee for a list of suggestions and criticisms that has allowed us to improve the presentation. We acknowledge the use of the Sloan Digital Sky Survey data (http://www.sdss.org) and of the NYU Value-Added Galaxy Catalog (http://ssds.physics.nyu.edu/).
References
- Abazajian, K., Adelman-McCarthy, J. K., Agüeros, M. A., et al. 2009, ApJS, 182, 543 [NASA ADS] [CrossRef] (In the text)
- Blanton, M. R., Hogg, D. W., Bahcall, N. A., et al. 2003, ApJ, 592, 819 [NASA ADS] [CrossRef] (In the text)
- Cabré, A., & Gaztañaga, E. 2009, MNRAS, 393, 1183 [NASA ADS] [CrossRef] (In the text)
- Cole, S., Percival, W. J., Peacock, J. A., et al. 2005, MNRAS, 362, 505 [NASA ADS] [CrossRef] (In the text)
- Croton, D. J., Springel, V., White, S. D. M., et al. 2006, MNRAS, 365, 11 [NASA ADS] [CrossRef]
- Davis, M., & Peebles, P. J. E. 1983, ApJ, 267, 46 [NASA ADS] [CrossRef] (In the text)
- Durrer, R., Gabrielli, A., Joyce, M., & Sylos Labini, F. 2003, ApJ, 585, L1 [NASA ADS] [CrossRef] (In the text)
- Eisenstein, D. J., & Hu, W. 1998, ApJ, 496, 605 [NASA ADS] [CrossRef] (In the text)
- Eisenstein, D. J., Zehavi, I., Hogg, D. W., et al. 2005, ApJ, 633, 560 [NASA ADS] [CrossRef] (In the text)
- Gabrielli, A., Labini, F. S., & Durrer, R. 2000, ApJ, 531, L1 [NASA ADS] [CrossRef] (In the text)
- Gabrielli, A., Joyce, M., & Sylos Labini, F. 2002, Phys. Rev. D, 65, 083523 [NASA ADS] [CrossRef]
- Gabrielli, A., Sylos Labini, F., Joyce, M., & Pietronero, L. 2005, Statistical Physics for Cosmic Structures (Berlin: Springer Verlag)
- Hamilton, A. J. S. 1993, ApJ, 417, 19 [NASA ADS] [CrossRef] (In the text)
- Hogg, D. W., Eisenstein, D. J., Blanton, M. R., et al. 2005, ApJ, 624, 54 [NASA ADS] [CrossRef] (In the text)
- Kerscher, M. 1999, A&A, 343, 333 [NASA ADS]
- Kerscher, M., Szapudi, I., & Szalay, A. S. 2000, ApJ, 535, 13 [NASA ADS] [CrossRef]
- Kaiser, N. 1984, ApJ, 284, L9 [NASA ADS] [CrossRef] (In the text)
- Kim, J., Park, C., Gott, J. R., & Dubinski, J. 2009, ApJ, 701, 1547 [NASA ADS] [CrossRef] (In the text)
- Landy, S. D., & Szalay, A. 1993, ApJ, 412, 64 [NASA ADS] [CrossRef] (In the text)
- Martínez, V. J., Arnalte-Mur, P., Saar, E., et al. 2009, ApJ, 696, L93 [NASA ADS] [CrossRef] (In the text)
- Norberg, P., Baugh, C. M., Hawkins, E., et al. 2002, MNRAS, 332, 827 [NASA ADS] [CrossRef]
- Norberg, P., Baugh, C. M., Gaztañaga E., & Croton, D. J. 2009, MNRAS, 396, 19 [NASA ADS] [CrossRef]
- Peacock, J. A. 1999, Cosmological Physics (Cambridge University Press) (In the text)
- Peebles, P. J. E. 1980, The Large-Scale Structure of the Universe (Princeton University Press) (In the text)
- Peebles, P. J. E. 1993, Principles of physical cosmology (Princeton University Press)
- Schlegel, D., White, M., & Eisenstein, D. 2009 [arXiv: 0902.4680] (In the text)
- Scranton, E., Johnston, D., Dodelson, S., et al. 2002, ApJ, 579, 48 [NASA ADS] [CrossRef] (In the text)
- Springel, V., White, S. D. M., Jenkins, A., et al. 2005, Nature, 435, 629 [NASA ADS] [CrossRef] (In the text)
- Strauss, M. A., Weinberg, D. H., Lupton, R. H., et al. 2002, AJ, 124, 1810 [NASA ADS] [CrossRef] (In the text)
- Sylos Labini, F., & Amendola, L. 1996, ApJ, 468, L1 [NASA ADS] [CrossRef] (In the text)
- Sylos Labini, F., & Vasilyev, N. L. 2008, A&A, 477, 381 [NASA ADS] [CrossRef] [EDP Sciences]
- Sylos Labini, F., Vasilyev, N. L., & Baryshev, Yu. V. 2009a, Europhys. Lett., 85, 29002 [NASA ADS] [CrossRef]
- Sylos Labini, F., Vasilyev, N. L., & Baryshev, Yu. V. 2009b, A&A, 496, 7 [NASA ADS] [CrossRef] [EDP Sciences]
- Sylos Labini, F., Vasilyev, N. L., Baryshev, Yu. V., & Pietronero, L. 2009c, Europhys. Lett., 86, 49001 [NASA ADS] [CrossRef]
- Sylos Labini, F., Vasilyev, N. L., & Baryshev, Yu. V. 2009d, A&A, in press [arXiv:0909.0132] (In the text)
- Zehavi, I., Blanton, M. R., Frieman, J. A., et al. 2002, ApJ, 571, 172 [NASA ADS] [CrossRef]
- Zehavi, I., Zheng, Z., Weinberg, D. H., et al. 2005a, ApJ, 630, 1 [NASA ADS] [CrossRef]
- Zehavi, I., Eisenstein, D. J., Nichol, R. C., et al. 2005b, ApJ, 621, 22 [NASA ADS] [CrossRef]
Footnotes
All Tables
Table 1: Properties of the SDSS-DR7 VL samples.
All Figures
![]() |
Figure 1:
Correlation function in the VL1 sample: both the LS and the
DP estimators are reported. The solid line gives prediction of the
LCDM with
|
| Open with DEXTER | |
| In the text | |
![]() |
Figure 2: The same of Fig. 1 but for the VL2 sample. |
| Open with DEXTER | |
| In the text | |
![]() |
Figure 3: The same of Fig. 1 but for the VL3 sample. |
| Open with DEXTER | |
| In the text | |
![]() |
Figure 4: The same of Fig. 1 but for the LRG sample. |
| Open with DEXTER | |
| In the text | |
![]() |
Figure 5:
Correlation function in the whole sample VL4 and in a sub-sample of it (VL4c)
limited at
|
| Open with DEXTER | |
| In the text | |
![]() |
Figure 6:
Correlation function measured through the LS estimator (with
jack-knife errors) in the LRG sub-sample (R1) which is limited by
|
| Open with DEXTER | |
| In the text | |
![]() |
Figure 7:
The same of Fig. 6 but for the R2 angular region,
which is limited by
|
| Open with DEXTER | |
| In the text | |
![]() |
Figure 8: Determination of the correlation function for the LRG sample with the LS estimator (LRG), compared with the Eisenstein et al. (2005) (E05) and the Martínez et al. (2009) (Martinez) determinations. The solid line is the LCDM prediction. |
| Open with DEXTER | |
| In the text | |
![]() |
Figure 9:
Behavior of the ratio
|
| Open with DEXTER | |
| In the text | |
![]() |
Figure 10:
By taking the LS estimator in the LRG sample for
|
| Open with DEXTER | |
| In the text | |
![]() |
Figure 11:
The typical fluctuation
|
| Open with DEXTER | |
| In the text | |
![]() |
Figure 12: The same of Fig. 11 but for the VL1, VL2 and VL3 case. |
| Open with DEXTER | |
| In the text | |
![]() |
Figure 13: Jack-knife errors, and field-to-field errors computed with different number of fields N=10, 20, 30 in the LRG sample. The solid line corresponds to the full-sample determination of the LS estimator. |
| Open with DEXTER | |
| In the text | |
Copyright ESO 2009
Current usage metrics show cumulative count of Article Views (full-text article views including HTML views, PDF and ePub downloads, according to the available data) and Abstracts Views on Vision4Press platform.
Data correspond to usage on the plateform after 2015. The current usage metrics is available 48-96 hours after online publication and is updated daily on week days.
Initial download of the metrics may take a while.




![\begin{figure}
\par\includegraphics[width=9cm,clip]{11987fig1.eps}
\end{figure}](/articles/aa/full_html/2009/39/aa11987-09/Timg49.png)
![\begin{figure}
\par\includegraphics[width=9cm,clip]{11987fig2.eps}
\end{figure}](/articles/aa/full_html/2009/39/aa11987-09/Timg55.png)
![\begin{figure}
\par\includegraphics[width=9cm,clip]{11987fig3.eps}
\end{figure}](/articles/aa/full_html/2009/39/aa11987-09/Timg56.png)
![\begin{figure}
\par\includegraphics[width=9cm,clip]{11987fig4.eps}
\end{figure}](/articles/aa/full_html/2009/39/aa11987-09/Timg58.png)
![\begin{figure}
\par\includegraphics[width=9cm,clip]{11987fig5.eps}
\end{figure}](/articles/aa/full_html/2009/39/aa11987-09/Timg60.png)
![\begin{figure}
\par\includegraphics[width=9cm,clip]{11987fig6.eps}
\end{figure}](/articles/aa/full_html/2009/39/aa11987-09/Timg61.png)
![\begin{figure}
\par\includegraphics[width=9cm,clip]{11987fig7.eps}
\end{figure}](/articles/aa/full_html/2009/39/aa11987-09/Timg62.png)
![\begin{figure}
\par\includegraphics[width=9cm,clip]{11987fig8.eps}
\end{figure}](/articles/aa/full_html/2009/39/aa11987-09/Timg63.png)
![\begin{figure}
\par\includegraphics[width=9cm]{11987fig9.eps}
\end{figure}](/articles/aa/full_html/2009/39/aa11987-09/Timg66.png)






![\begin{figure}
\par\includegraphics[width=9cm,clip]{11987fig10.eps}
\end{figure}](/articles/aa/full_html/2009/39/aa11987-09/Timg87.png)



![\begin{figure}
\par\includegraphics[width=9cm,clip]{11987fig11.eps}
\end{figure}](/articles/aa/full_html/2009/39/aa11987-09/Timg94.png)
![\begin{figure}
\par\includegraphics[width=9cm,clip]{11987fig12.eps}
\end{figure}](/articles/aa/full_html/2009/39/aa11987-09/Timg98.png)
![\begin{figure}
\par\includegraphics[width=9cm,clip]{11987fig13.eps}
\end{figure}](/articles/aa/full_html/2009/39/aa11987-09/Timg99.png)

