| Issue |
A&A
Volume 505, Number 3, October III 2009
|
|
|---|---|---|
| Page(s) | 1153 - 1165 | |
| Section | Interstellar and circumstellar matter | |
| DOI | https://doi.org/10.1051/0004-6361/200912269 | |
| Published online | 18 August 2009 | |
Incorporation of stochastic chemistry on dust grains in the Meudon PDR code using moment equations
I. Application to the formation of H
and HD
F. Le Petit1 - B. Barzel2 - O. Biham2 - E. Roueff1 - J. Le Bourlot1
1 - Observatoire de Paris, LUTH and Université Denis Diderot,
Place J. Janssen, 92190 Meudon, France
2 - Racah Institute of Physics, The Hebrew University, Jerusalem 91904, Israel
Received 3 April 2009 / Accepted 29 June 2009
Abstract
Context. Unlike gas-phase reactions, chemical reactions taking place on interstellar dust grain surfaces cannot always be modeled by rate equations. Because of the small grain sizes and low flux, these reactions may exhibit large fluctuations and thus require stochastic methods such as the moment equations.
Aims. We evaluate the formation rates of H
,
HD, and D
molecules on dust grain surfaces and their abundances in the gas phase under interstellar conditions.
Methods. We incorporate the moment equations into the Meudon PDR code and compare the results with those obtained from the rate equations.
Results. We find that within the experimental constraints on the energy barriers for both diffusion and desorption and the density of adsorption sites on the grain surface, H
,
HD and D
molecules can be formed efficiently on dust grains.
Conclusions. In a wide range of conditions, the moment equation results agree with those obtained from the rate equations. However, for a range of relatively high grain temperatures, there are significant deviations: the rate equations fail, while the moment equations provide accurate results. The incorporation of the moment equations into the PDR code can be extended to other reactions taking place on grain surfaces.
Key words: astrochemistry - ISM: general - ISM: clouds - ISM: molecules
1 Introduction
Most of the detected interstellar molecules are in the gas phase.
The chemical balance between gas phase species in interstellar clouds
is commonly described by a set of rate equations, using
the known rate coefficients of gas-phase reactions.
Many studies have been devoted to
the resolution of the chemical rate equations
to derive the compositions of interstellar clouds within
specific physical conditions.
Two main approaches are used by modellers:
the time-dependent approach and the steady-state approach.
In the time-dependent approach, one
follows the time evolution of the abundances of various atoms and
molecules by numerically integrating the corresponding set of
first order coupled differential
equations, from specific initial conditions.
In the steady state approach,
one directly solves the set of algebraic equations
that are obtained when the time derivatives of the
abundances are set to be zero.
Comparison with observations then allows them to
test the relevance of the various hypotheses.
However, some important reactions that give rise
to the formation of molecular hydrogen, ice mantles,
and certain organic molecules do not take place in
the gas phase, but on the surfaces of dust grains.
To account for these surface processes, one needs to
incorporate the grain-surface reactions into the gas
phase models of interstellar chemistry.
It is thus attractive to use rate equations for the surface reactions,
which enable us to couple surface reactions to gas-phase
reactions in a straightforward way.
This approach is indeed valid in the case of sufficiently
large grains, when the number of reactive atoms and
molecules of each species on a grain is sizeable.
However, in the limit of small grains,
when the number of reactive atoms and molecules on a grain is small,
the rate equations are not always suitable.
Rate equations simply ignore the fluctuations
in the number of reactive species on the grains.
This problem has been
discussed by several authors (Stantcheva et al. 2002; Charnley et al. 1997; Stantcheva et al. 2001; Shalabiea et al. 1998; Tielens & Hagen 1982; Caselli et al. 1998).
To overcome these difficulties,
a master equation approach was proposed
and applied specifically to the formation of
molecular hydrogen.
This approach is suitable for the simulation of diffusive
chemical reactions on interstellar grains
in the accretion limit
(Biham et al. 2001; Green et al. 2001; Biham & Lipshtat 2002).
The master equation approach takes into account
the discrete nature of reactive species on the surfaces
of grains as well as the fluctuations in their populations.
This approach was later used for a larger chemical network
on grains, leading to the formation of methanol
and its deuterated versions
(Stantcheva et al. 2002; Stantcheva & Herbst 2003).
However, the number of equations included in the master
equation increases exponentially with the number of species
that are reactive on grain surfaces.
Therefore, it is not suitable for incorporation in codes
that include complex networks of grain-surface reactions.
In addition to the master equation method,
a Monte Carlo method was proposed by Tielens & Hagen (1982)
and applied to interstellar modelling by Charnley (2001),
Caselli et al. (2002), and Stantcheva & Herbst (2003).
Cuppen & Herbst (2005)
developed random walk models for molecular hydrogen formation
on grains that take into account the effect of surface roughness
on the diffusion and reaction rates.
They simulated these models using Monte Carlo methods
and showed that surface roughness tends to broaden the
range of temperatures in which molecular hydrogen formation
is efficient.
The advantage of the random walk models is that they enable them
to account in more detail for the microphysics of the grain
surface. In particular, they enable them to take into account the
entire distribution of binding energies and diffusion barriers
for H atoms. Detailed models of this type provide useful insight
but it is not feasible to include them in large models of
interstellar chemistry because of their complexity.
In contrast, the rate equation and moment
equation methods used in this paper, include a single energy
barrier for each process.
Finally, a semi-empirical approach,
known as the modified rates method,
was proposed by
Caselli et al. (1998).
This method is easy to employ and was applied with mixed success by
Shalabiea et al. (1998), Stantcheva et al. (2002),
and Caselli et al. (2002).
Garrod (2008) studied a different version of the modified rate method.
The proposed moment equations method provides efficient stochastic simulations of grain-surface chemistry (Barzel & Biham 2007a,b). The method consists of only one equation for the average population size of each reactive species on a grain, and one equation for the rate of each reaction. It consists of a set of coupled ordinary differential equations, which resemble the rate equations. Therefore, they can be easily coupled to the rate equations of gas-phase chemistry. Unlike the rate equations, the moment equations are linear, and thus easier to handle both in the time-dependent and the steady state approaches. The moment equations were tested for the reaction network that gives rise to ice mantles on grains, which consist of water ice, carbon dioxide, and methanol (Barzel & Biham 2007a,b). The stability properties of the moment equations as well as the accuracy of their steady-state solution under astrophysically relevant conditions were examined by extensive computer simulations and by comparison with the master equation results.
In this paper, we incorporate the moment equations into the Meudon PDR code (Le Petit et al. 2006,2002), a stationary model of Photon Dominated Regions (PDRs).
The model considers a stationary plane-parallel slab
of gas and dust illuminated by an ultraviolet radiation
field coming from one or both sides of the cloud.
It solves, at each point in the cloud and in an iterative way,
the radiative transfer in the UV, taking into account the absorption
in both the continuum by dust and discrete transitions of H and H2.
Explicit treatment is performed for C and S photoionization, H2
and HD photodissociation, as well as CO (and its isotopomeres)
predissociating lines. The model also computes the thermal balance
by taking into account heating processes, such as the photoelectric
effect on dust, cosmic rays, and chemistry.
It also accounts for the
cooling due to infrared and millimeter emission
of the abundant ions, atoms, and molecules.
The chemistry is solved under steady state conditions
and the abundance of each species is computed
at each point.
The excitation states of a few important
species are then computed.
The column densities of these chemical species
and their emissivities/intensities are then calculated.
To examine the applicability and relevance
of the moment equations within the PDR code,
we consider a simple network of grain surface chemistry,
involving only H, D, H
,
HD, and D2.
We compare the results obtained from the PDR code with
the moment equations, with those obtained when the
rate equations are incorporated into the same code.
Unlike previous studies of molecular hydrogen formation that
assumed a single grain size, the moment equations enable us
to take into account the full distribution of grain sizes.
We show that in the case of relatively high grain
temperatures, the rate equations are not suitable and
the moment equations should be used.
We also demonstrate the importance of the Langmuir
rejection effect at very low grain temperatures, where
the grain surfaces are saturated by hydrogen atoms
and reaction rates are low.
The paper is organized as follows. In Sect. 2, we briefly review the gas-phase and surface reactions involved in
the formation of H
,
HD and D
molecules. We present in Sect. 3 the moment
equations for the H-D system and describe their incorporation into the PDR model. Simulation results are displayed in
Sect. 4. The results are summarized and discussed in Sect. 5.
2 Formation of molecular hydrogen and its deuterated versions
2.1 Astrophysical context
No efficient gas-phase mechanism is at work to
form molecular hydrogen in the gas phase.
Therefore, reactions on grain surfaces
are necessary to account for the observed abundance
of H
.
Hollenbach & Salpeter (1971) were among the first to
quantitatively describe the formation of molecular
hydrogen on the surfaces of spherical dust grains.
Here we assume that
the grain size distribution follows a power law of the form
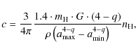
| n(a) = c a-q, | (1) |
as suggested by Mathis et al. (1977). The prefactor c is given by
![]() |
(2) |
where
| (3) |
The forward reaction is exothermic with an energy of 3.7 meV, corresponding to 43 K, so that the reverse reaction may take place at moderate temperatures, reducing the D+formation efficiency. D+reacts efficiently with H
| (4) |
The reverse reaction may also occur, but the endothermic barrier is now 40 meV, equivalent to 464 K, so that the corresponding probability is negligible at low temperatures. The main destruction channel of HD in diffuse environments is photodissociation, which was computed by Le Petit et al. (2002). This simple gas-phase scheme accounts for the observed HD/H2 abundance ratio in diffuse clouds and translucent regions, as found from Copernicus and FUSE observations (Watson 1974; Dalgarno et al. 1973; Lacour et al. 2005). In dark and cold regions, HD is the major repository of deuterium. It reacts with H3+to form H2D+, which is the starting point of a rich chemistry of deuterium fractionation (Roueff et al. 2005,2000; Millar et al. 1989; Caselli et al. 2002; Roberts et al. 2003; Stantcheva & Herbst 2003). Although the formation of HD in diffuse clouds occurs primarily in the gas, it has proposed that under certain conditions, grain-surface reactions may also contribute to an enhanced production of HD and D
2.2 The interaction between hydrogen/deuterium atoms and dust grains
To quantitatively describe the formation of H
,
HD, and D
molecules on grain surfaces, one has to introduce several hypotheses and parameters,
which we recall below. The typical velocities of H and D
atoms in the gas phase are given by
and
,
respectively.
Based on the simplifying assumption that all
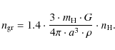
grains are of the same radius, a,
one can compute the numerical density of spherical dust grains
(cm-3) as a function of
to be
![]() |
(5) |
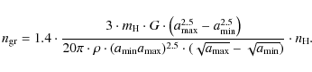
For a power law distribution of grain sizes with the exponent q=3.5 (Mathis et al. 1977), the numerical density of the grains becomes
![]() |
(6) |
The number of adsorption sites on a grain is denoted by S. Their density on the grain surface, s (sites cm-2), is given by
The atoms stick to the surface and hop as random walkers until they either desorb or recombine into molecules. The desorption rates of H and D atoms on the surface are given by
![]() |
(7) |
where
![]() |
(8) |
where
Table 1: Parameters for the interaction of hydrogen and deuterium atoms with dust grains of different compositions and surface morphologies.
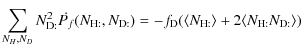
The possibility of the tunneling of adsorbed atoms between adsorption sites was studied by Cazaux & Tielens (2004).
The tunneling probability depends on both the distance between adjacent sites and the energy barrier, which is assumed to be the diffusion barrier.
For the sake of completeness, we present the corresponding tunneling rate,
which is given by (Eisbgerg 1961)
![]() |
(9) |
where
![]() |
(10) |
and E is the kinetic energy of the adsorbed atom, determined by the grain temperature, namely
In Table 1
we display the parameters that describe the interaction of H and D atoms
with grains of different compositions and surface morphologies,
as reported in the literature.
These parameters are based on a series of experiments
and subsequent analysis,
reported in Katz et al. (1999), Perets et al. (2005) and Perets et al. (2007).
The attempt rate
is often assumed
to be equal to 1012 s-1. It may also be derived from an harmonic oscillator model, where
.
The reported values of the desorption and diffusion barriers put severe constraints on the grain temperature range over which molecular hydrogen formation may occur. If one considers a distribution of grains of various sizes, such as the power law derived by Mathis et al. (1977), one has to calculate the average of the various quantities over the size distribution, keeping in mind that different temperatures may pertain to grains of different sizes. In the present paper, we assume that the grain temperature depends on the surrounding radiation field but not on the grain size. Based on this assumption, in a given location in the cloud, grains of all sizes have the same temperature. In the simulations reported in this paper, we use the parameters of amorphous carbon. Amorphous carbon is assumed to be a primary component of interstellar dust. Its surface properties are thus suitable for the simulation of molecular hydrogen formation in relatively warm regions in which the grain surfaces are not covered by ice mantles. The parameter values of amorphous carbon are also found to be close to those of low density amorphous ice, which were reported by Perets et al. (2005). Therefore, we use the same set of parameters for the interaction of hydrogen atoms with grain surfaces, independently of whether these grains are expected to be bare or covered by ice mantles.
3 Rate equations, master equation, and moment equations
3.1 Rate equations
After being adsorbed onto the surface,
the H and D atoms hop between adsorption
sites until they either desorb or
form new molecules. The number of atoms of isotope I
on the grain surface is denoted by
.
The rate equations account for the expectation values
,
of the population size of isotope I on a grain
of a given radius, where
I = H or D.
3.1.1 Basic processes
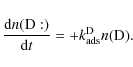
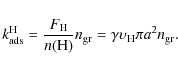
In the present version of the PDR code, we introduce three main physical processes to describe the formation of H2, HD, and D2 on grain surfaces: adsorption, diffusion-mediated reaction, and desorption:
- Adsorption
H + grain 
H:
in s

D + grain 
D:
in s
,
where H: and D: represent the hydrogen and deuterium atoms that are adsorbed on the grain surface. The corresponding rate equations are

(11)

(12)
The adsorption coefficients
and
are directly proportional to the grain cross section
and to the sticking probability
,
namely

(13)
For a distribution of grain sizes, one has to calculate the average of
for the distribution function,
which leads to the following expression:

(14)
Similar equations hold for deuterium adsorption.
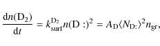
- Reaction on the grain surface due to diffusion
The diffusion-mediated formation of molecular hydrogen and its deuterated versions is described by

+ 


(
in cm-3s-1)
+ 


(
in cm-3s-1)
+ 


(
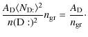
in cm-3s-1).Assuming that all formed molecules are directly released into the gas phase, the formation rates of H2, HD, and D2 are given by

(15)

(16)

(17)
where
(
)
is the number of adsorbed hydrogen (deuterium) atoms on a single grain.
The rate coefficients corresponding
to these surface reactions can be obtained
from the relations
and
.
- These rate coefficients take the form

= 

= 

= 
These formulae are valid only if the grains have the same temperature because the diffusion coefficient is temperature dependent.
-

- Desorption
The desorption processes
are described by the equationsH: 
H + grain (
in s-1)D: 
D + grain (
in s-1),

(18) 
(19)
where

= 
(20) 
= 
(21)
The overall variations in the number of adsorbed H and D atoms per cm3 in the rate equation formalism are
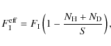
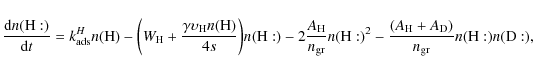
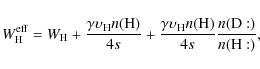
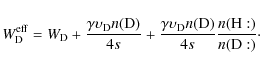
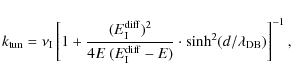
3.1.2 Rejection effects
Since the number of adsorption sites on a grain is finite,
one must consider that
hydrogen atoms incident on already occupied sites
may be rejected rather than adsorbed onto the grain.
This mechanism is often referred to as Langmuir rejection.
When the rejection is taken into account,
the flux terms are modified according to
where I stands for H or D. Since the abundance of D atoms is very low (
- Rejection caused only by adsorbed H atoms
The rate equation for adsorbed H on a single grain becomes:
The net result is an apparent increase in the desorption term by
.
When the incoming flux of deuterium atoms is similarly modified,
the rate equation for the adsorbed deuterium becomes
The correction caused by rejection introduces a term proportional to
.
The corresponding equations for
the quantities expressed in volumic density becomes the following
- Rejection by adsorbed H and D atoms
We now include the adsorbed deuterium atoms in the rejection term according to Eq. (24). Since the equations are very similar, we display only the resulting rate equations
The values of the effective desorption coefficients are
| |
= | (33) | |
| = | (34) | ||
| = | (35) |
This is a generalized form of the equations given in Lipshtat et al. (2004).
3.2 Master and moment equations when only the rejection term for H atoms is included
In the two following sections, we provide the moment and rate equations when rejection is only caused by H atoms.
3.2.1 Master equation
When the number of adsorbed atoms is small,
the rate equations may become inaccurate.
In this case, one may consider using the master equation
or the moment equations derived from it.
The master equation describes the temporal
evolution in the probabilities
that
hydrogen atoms
and
deuterium atoms reside on
the surface of a given grain.
Here we write the master equation
only when the Langmuir rejection due to hydrogen atoms
is taken into account. It takes the form
| |
= | ![]() |
|
| + | |||
| + | |||
| + | |||
| + | |||
| + | |||
| + | (36) |
The set of equations is written for the various integer values of
| |
= | ||
| (37) |
This set of equations is identical to the standard master equation system (Barzel & Biham 2007b) with two additional terms proportional to
![]() |
(38) |
The order of each moment is defined by the sum l+k. The first-order moments
3.2.2 Moment equations
Lipshtat & Biham (2003) demonstrated that the moment equation
formalism can adequately describe the evolution of the
system and allows a significant reduction in the number
of coupled equations that need to be solved.
We apply the same technique as in
Barzel & Biham (2007b) to derive the corresponding
moment equations when the additional terms introduced
by the Langmuir rejection are included.
The time derivatives of the moments introduced
by the term proportional to
are
| |
= | ||
| = | |||
![]() |
= | ||
![]() |
= | ||
| = | (39) |
where the
| |
= | ||
| + | (40) |
Adding these terms to the standard moment equations, one obtains the following system
| |
= | ||
| = | |||
![]() |
= | ||
| - | |||
![]() |
= | ||
| - | |||
| = | (41) |
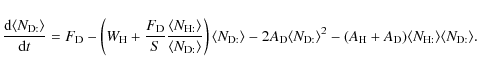
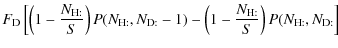
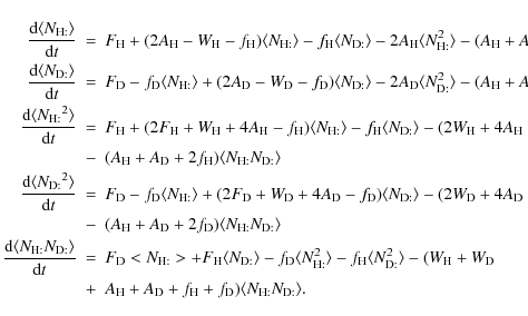
This is the set of equations that is actually used in the interstellar chemistry model when only rejection by H atoms is included. This system of coupled differential equations accounts for the populations of H and D atoms on a grain (given by the two first order moments) and for the reaction rates (given by the three second order moments). One then obtains the formation rates
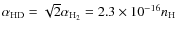
The formation rate of H
3.3 Master and moment equations with rejection terms for both H and D atoms
When the Langmuir rejection terms caused by both H and D atoms adsorbed onto the surface are included, the master equation takes the form
| |
= | ![]() |
|
| + | ![]() |
||
| + | |||
| + | |||
| + | |||
| + | |||
| + | (43) |
Additional terms proportional to
This is the set of equations that is used in the interstellar chemistry model when rejection due to both H and D atoms is included. The production rates of H
4 Calculations and results
4.1 Fixed dust temperatures
Table 2:
The parameters used in the model.
Numbers in parentheses refer to powers of ten.
is the total column density of protons (N(H) + 2 N(H2)) and
is the visual extinction.
Table 3: The three models simulated using the rate equations and the moment equations and their legends.
We first consider a diffuse cloud model whose parameters are given in Table 2. The chemical network comprises of 134 chemical species containing H, D, C, N, O, S and a typical metal ``Fe'' undergoing charge exchange reactions only in addition to photoionisation and electronic recombination.
We compare the results obtained by means of several approximations
within the rate and moment equations on the formation
of H
,
HD, and D
on amorphous carbon grains (see Table 1 for their properties) for different fixed relevant
dust temperatures (between 8 and 20 K) and their link to the gas phase chemistry. We use the Meudon PDR code
(Le Petit et al. 2006,2002)
in which we have introduced the appropriate changes.
The model corresponds to a slab of gas of 6.06 pc
(corresponding to a total visual magnitude of 1) irradiated from both sides by the standard interstellar radiation field as given by
Draine (1978).
4.1.1 Incorporation of the moment equations into the Meudon PDR code
We couple the full gas phase network and the surface chemistry of
H
,
HD, and D
in the PDR code by solving explicitly the steady state of Eq. (44), describing the evolution in the first and second moments of the distribution of hydrogen and deuterium
atoms adsorbed on a single grain.
The values of the first order moment infer the average numbers
of H and D atoms adsorbed on a single grain, whereas no obvious physical
meaning is associated with the second order moments.
We perform the integration on the size distribution to
derive the appropriate quantities such as the
number densities of adsorbed H, D, and gas phase
atomic and molecular number densities.
We first checked the relevance of the treatment
by considering only H
formation by comparing
with the analytical
solution obtained from the resolution of the
two coupled equations
(Lipshtat & Biham 2003).
4.1.2 Formation of H
and HD on grains
By using both the moment equations and the rate equations, we examined the assumptions described above. More specifically, we compared three models: a model that includes no Langmuir rejection, a model that includes rejection only caused by adsorbed H atoms, and a model that includes rejection due to both H and D atoms adsorbed onto grains. The three models are listed in Table 3.
We present the results in the form of the standard
rate law for the production of molecular hydrogen
in interstellar clouds. In this rate law, the production rate
(cm-3 s-1)
is expressed by
where
The parameter
In Fig. 1, we present the rate coefficient
for the formation of H2 molecules on grains,
and in Fig. 2 we present the rate coefficient
for the formation of HD molecules.
These rate coefficients are plotted
versus the assumed fixed temperature of the grains
for the three models specified above,
simulated by both the rate equations and
the moment equations.
The conditions used in the simulations
are those obtained at the edge of the modelled cloud,
i.e. A
.
When the Langmuir rejection effect is taken into account,
the formation of molecular hydrogen on grains is efficient
within a narrow window of the grain temperatures,
in agreement with previous studies
(Lipshtat et al. 2004; Katz et al. 1999).
At higher temperatures, the hydrogen atoms do not
remain long enough on the grain to encounter each
other and form molecules.
At lower temperatures, the grain surface is saturated by
nearly immobile hydrogen atoms, and the reaction rate
is very low.
These adsorbed atoms reject new atoms that are incident on
the surface and prevent the formation of additional
layers of hydrogen atoms on the surface.
When the Lan
gmuir rejection term is removed from the
equations, the range of high efficiency recombination is
extended towards lower temperatures.
However, in this case the model enables the accumulation
of many layers of adsorbed hydrogen atoms on the surface.
This accumulation is unphysical. Furthermore,
under these circumstances, the formation of molecular
hydrogen is not mediated by diffusion, and thus the
model itself is not valid.
Laboratory experiments provide strong evidence of
Langmuir rejection
(Katz et al. 1999).
Therefore, the standard forms of both the rate equations and
of moment equations that we incorporate in the PDR
code are those that include the Langmuir rejection term.
In the presence of this term, we observe that
the high efficiency window is somewhat larger for HD
formation than for H2 formation.
This is caused by the somewhat higher desorption barrier for
D atoms than for H atoms. The maximum value of the formation rate of H
shown in Fig. 1 is in excellent agreement with
the effective formation rate
(cm3s-1), expressed by (Le Bourlot et al. 1995) to be
![]() |
(46) |
for the chosen parameters. The corresponding value for HD is
![]() |
Figure 1:
The formation rate |
| Open with DEXTER | |
![]() |
Figure 2:
The formation rate |
| Open with DEXTER | |
The column densities of H
exhibit significant
variations with the assumed dust temperature as reflected by the values of the molecular fraction defined by
.
The resulting column densities of HD become less sensitive
as soon as some molecular hydrogen is present. This is because in presence of H2, the
formation of HD occurs mainly via gas phase processes.
The formation of HD on grains
is more efficient than in the gas phase
only at the edge where no H
has yet formed.
We discuss this in more detail in the next section where we introduce a variable
dust temperature as a function of the visual magnitude.
4.2
dependent dust temperatures
4.2.1 Homogeneous temperature distribution
It is well recognised that the grain temperatures decrease when the strength of the
incident radiation field decreases for increasing visual magnitude. We introduce
this dependence by using
the simple analytic formula
presented by Hollenbach et al. (1991),
which infers the grain temperature as a function of the
radiation field strength and the visual magnitude.
As our model involves a slab of gas, irradiated from both sides,
we extend the formula of Hollenbach et al. (1991) by introducing
for the
dependence, where
and
are the strengths of the radiation field on both sides,
expressed in Draine units, and
is the total visual magnitude of the cloud. In this approximation, grains of all sizes exhibit the same average temperature. We consider possible
fluctuations effects in Sect. 4.2.2.
Table 4: Column densities (in cm-2) of H, H2, D and HD and the molecular fraction f for model C, obtained from the rate equations (RC) and from the moment equations (MC) for different grain temperatures. Numbers in parentheses refer to powers of ten.
To study a significant range of dust temperatures, we consider
a dense photodissociation region (PDR) with a radiation field of intensity of 100 impinging on the left side (
), and a standard radiation
field (
)
impinging
on the right side. The parameters of the model are displayed in
Table 5. As we want to discuss the different effects
of the rate versus moment equations systems, we keep all the physical parameters identical.
We display in Figs. 3 and 4 the dust temperature
variation and the formation rates through gas phase and
grain surface reactions of H
and HD obtained with the RC and MC
treatments, because these are expected to be the most physical within the
rate equation and moment equation formalisms.
The dust temperature profile spans a range of values between about 27 K
on the left side, reaching a minimum of 10 K in the shielded region at
in the range 5-7 , and reaching a value of about 10 K on the right edge. This range corresponds to very low to high efficiencies of
formation of H2 and HD via grain surface reactions.
As far as H
formation is concerned, we see that the difference between
rate and moment equation formalisms is significant at the left hand side of the cloud, where the dust temperature reaches a value of 27 K, corresponding to a situation where H atoms desorb efficiently from the surface. The results obtained via the rate equations are higher by a factor of about 2. In this particular case, this leads to competition between gas phase and dust processes. However, as soon as the dust temperature reaches a value of about 25, the formation efficiency on dust becomes preponderant. Both treatments
are equivalent for a range of temperature between 20 and 11K as already
shown in Fig. 1. Significant discrepancies occur again for the range of visual magnitude 5-8 where the dust temperature reaches a value of 10 K.
These behaviours have a direct impact on the HD formation mechanisms, as displayed in Fig. 4. As long as no significant formation of H
occurs, HD is formed mainly via dust processes. However, as soon as H
is present, formation of HD in gas phase is much more efficient. In the shielded region where
reaches a value of a few and the dust temperature is about 10 K, significant variations occur due to rejection effects. Table 6 displays the resulting column densities. Whereas significant differences exist for the column densities of H and H
,
the values relevant to the other species are quite similar.
4.2.2 Temperature fluctuation effects
Table 5: Physical conditions relevant to a dense PDR.
![]() |
Figure 3: Comparison between gas phase formation (circles) and grain-surface formation (squares) rates of H2 (in cm-3s-1), obtained from the rate equations (solid lines and full symbols) and from the moment equations (dotted-lines and open symbols). The thin solid line shows the grain temperature (the temperature scale is on the right hand side). |
| Open with DEXTER | |
![]() |
Figure 4: Comparison between gas phase formation (circles) and grain-surface formation (squares) rates of HD (in cm-3s-1) obtained from the rate equations (solid lines and full symbols) and from the moment equations (dotted lines and open symbols). The thin solid line shows the grain temperature (the temperature scale is on the right hand side). |
| Open with DEXTER | |
The consideration of a homogeneous distribution of dust temperatures as a function of A
is reasonable for low incident radiation fields and grains of radii larger than
cm (Horn et al. 2007). For grains of radii smaller than
cm, the absorption of a single UV photon may cause a temperature spike that heats up the grains by over 20 K (Horn et al. 2007). This is likely to cause the immediate desorption of all the H and D atoms adsorbed on the grain surface.
This conclusion is also derived from detailed kinetic Monte Carlo simulations of H2 formation on stochastically heated olivine grains (Cuppen et al. 2006; Herbst & Cuppen 2006).
To quantify the effect of temperature fluctuations on small grains, we ran models similar to those presented previously, except that we cut the size distribution of grains at the minimum value of
cm. In Table 7, we present the corresponding column densities. In this way, we do not take into account production of any molecular hydrogen on grains of radii smaller than
cm both in rate equations and systems of moments approach.
In these models, computed column densities of H2 and HD are smaller than those obtained with the MRN distribution extended to
cm (cf. Table 7) because of a smaller integrated grain cross-section value. We find that rate and moment equations infer significantly different values of the total column densities of H2
even for these larger grains. These differences arise essentially from the regions when
is higher than about 18 K, i.e., at the edges of the cloud.
The present results infer an upper limit to the effect of temperature fluctuations because these can only produce a decrease in molecular formation at the surface of grains. In addition, these effects will not occur at
values higher than
1 and lower than
9, because the radiation field is then considerably reduced.
5 Summary
We have incorporated the moment equations for the formation of H2 and its deuterated versions into the Meudon PDR code, examined their applicability and relevance, and compared our results with those obtained from rate equations incorporated into the same code under identical conditions. Previous analysis has shown that as long as the temperatures of the dust grains are not too high, the reaction rates obtained from the moment equations coincide with those obtained from the rate equations. At grain temperatures of around 18 K or higher, on the high-temperature end of the efficiency window there are significant differences, where the rate equations over estimate the formation rates of H2 and HD. These deviations are caused mainly by the very small grains, on which the population sizes of adsorbed H and D atoms exhibit large fluctuations. In these conditions, it is important to use the moment equations rather than the rate equations. For low grain temperatures, below 12 K or so, we find that the Langmuir rejection term makes a crucial difference. In this range, the rejection term is required to prevent the freezing of multi-layers of hydrogen atoms onto the grains. This freezing is unphysical. Here, for the first time, we have derived a set of moment equations in which the Langmuir rejection term is incorporated. Comparison was made with rate equations, in which a suitable rejection term was also incorporated. For very low temperatures, where the grains are covered by a layer of H and D atoms and the rejection term plays a major role, we also find a discrepancy between the formation rates of H2 and HD obtained from the rate equations and the moment equations. In these conditions, deep inside a molecular cloud, the formation rate and dissociation rate of H2molecules are low, while HD molecules form mainly by gas phase reactions. These are conditions in which both the rate equations and the moment equations are accurate. The observed discrepancy is caused by the different physical consitions that emerge as a result of the discrepancies in warmer regions, where the moment equations are accurate and the rate equations are not. Therefore, the moment equation results are those that one can rely on in the cold regions also.
Table 6: Column densities in cm-2 and molecular fraction f for the dense PDR models. Numbers in parentheses refer to power of ten.
Table 7:
Column densities in cm-2 and molecular fraction f for the dense PDR models in which surface chemistry is cut for very small grains (
cm). Numbers in parentheses refer to power of ten.
We conclude that the moment equations provide an efficient method for determining molecular hydrogen formation in interstellar chemistry codes. The equations provide accurate results for the reaction rates on both large and small grains. The equations are easy to construct and are efficient in terms of computational resources. They can be easily coupled to the rate equations of gas-phase chemistry. Since the moment equations are linear, their stability and convergence properties are often superior even in compared to the rate equations.
The present study has been achieved by considering that molecular hydrogen can be formed only by means of diffusion of adsorbed atoms, within the strong constraints of present experimental knowledge. Other formation mechanisms may be at work, such as those suggested by Cazaux & Tielens (2004) and Habart et al. (2004) in their interpretation of observations of warm molecular hydrogen.
The method can now be extended to more complex reaction networks on grains. The network that involves H, O, and CO molecules, from which ice mantles containing H2O, CO2 and CH3OH are formed by successive hydrogenation and oxydation reactions, is promising (Barzel & Biham 2007b). Unlike the H and D atoms, these heavier atoms and molecules are more strongly bound to both the surface and each other and do not exhibit the Langmuir rejection property. Therefore, in the construction of moment equations for more complex networks, one only needs to maintain the rejection terms for H and D, presented above and there is no need to incorporate these terms for any other atomic or molecular species. Recent studies have shown that CH3OH molecules do not form in the gas phase as efficiently as previously expected. The approach presented here will enable us to evaluate the formation rate of CH3OH on dust grains in various physical conditions, taking into account the contributions of grains of different sizes.
Acknowledgements
This work was supported in part by the France-Israel High Council for Science and Technology Research via contract 07 AST F. Evelyne Roueff, J. Le Bourlot and F. Le Petit thank the french national program Physics and Chemistry of Interstellar Medium (PCMI). This work is related the ANR project SCHISM.
References
- Amiaud, L., Dulieu, F., Fillion, J.-H., Momeni, A., & Lemaire, J. L. 2007, J. Chem. Phys., 127, 144709 [NASA ADS] [CrossRef]
- Barzel, B., & Biham, O. 2007a, ApJ, 658, L37 [NASA ADS] [CrossRef]
- Barzel, B., & Biham, O. 2007b, J. Chem. Phys., 127, 144703 [NASA ADS] [CrossRef]
- Biham, O., & Lipshtat, A. 2002, Phys. Rev. E, 66, 056103 [NASA ADS] [CrossRef]
- Biham, O., Furman, I., Pirronello, V., et al. 2001, ApJ, 553, 595 [NASA ADS] [CrossRef]
- Caselli, P., Hasegawa, T. I., & Herbst, E. 1998, ApJ, 495, 309 [NASA ADS] [CrossRef]
- Caselli, P., Stantcheva, T., Shalabiea, O., Shematovich, V. I., & Herbst, E. 2002, Planet. Space Sci., 50, 1257 [NASA ADS] [CrossRef] (In the text)
- Cazaux, S., & Tielens, A. G. G. M. 2004, ApJ, 604, 222 [NASA ADS] [CrossRef] (In the text)
- Charnley, S. B. 2001, ApJ, 562, L99 [NASA ADS] [CrossRef] (In the text)
- Charnley, S. B., Tielens, A. G. G. M., & Rodgers, S. D. 1997, ApJ, 482, L203 [NASA ADS] [CrossRef]
- Cuppen, H. M., & Herbst, E. 2005, MNRAS, 361, 565 [NASA ADS] [CrossRef] (In the text)
- Cuppen, H. M., Morata, O., & Herbst, E. 2006, MNRAS, 367, 1757 [NASA ADS] [CrossRef]
- Dalgarno, A., Black, J. H., & Weisheit, J. C. 1973, Astrophys. Lett., 14, 77 [NASA ADS] (In the text)
- Draine, B. T. 1978, ApJS, 36, 595 [NASA ADS] [CrossRef] (In the text)
- Eisbgerg, R. 1961, Fundamentals of Modern Physics (New York: John Wiley & sons) (In the text)
- Garrod, R. T. 2008, A&A, 491, 239 [NASA ADS] [CrossRef] [EDP Sciences] (In the text)
- Green, N. J. B., Toniazzo, T., Pilling, M. J., et al. 2001, A&A, 375, 1111 [NASA ADS] [CrossRef] [EDP Sciences]
- Habart, E., Boulanger, F., Verstraete, L., Walmsley, C. M., & Pineau des Forêts, G. 2004, A&A, 414, 531 [NASA ADS] [CrossRef] [EDP Sciences] (In the text)
- Herbst, E., & Cuppen, H. M. 2006, Proceedings of the National Academy of Science, 103, 12257 [NASA ADS] [CrossRef]
- Hollenbach, D., & Salpeter, E. E. 1971, ApJ, 163, 155 [NASA ADS] [CrossRef] (In the text)
- Hollenbach, D. J., Takahashi, T., & Tielens, A. G. G. M. 1991, ApJ, 377, 192 [NASA ADS] [CrossRef] (In the text)
- Hoogers, G. 1995, Surface Science, 327, 47 [NASA ADS] [CrossRef]
- Horn, K., Perets, H. B., & Biham, O. 2007, ArXiv e-prints (In the text)
- Katz, N., Furman, I., Biham, O., et al. 1999, ApJ, 522, 305 [NASA ADS] [CrossRef] (In the text)
- Koehler, B. G., Mak, C. H., Arthur, D. A., Coon, P. A., & George, S. M. 1988, J. Chem. Phys., 89, 1709 [NASA ADS] [CrossRef]
- Lacour, S., André, M. K., Sonnentrucker, P., et al. 2005, A&A, 430, 967 [NASA ADS] [CrossRef] [EDP Sciences]
- Le Bourlot, J., Pineau des Forets, G., Roueff, E., et al. 1995, A&A, 302, 870 [NASA ADS] (In the text)
- Le Petit, F., Nehmé, C., Le Bourlot, J., et al. 2006, ApJS, 164, 506 [NASA ADS] [CrossRef]
- Le Petit, F., Roueff, E., & Le Bourlot, J. 2002, A&A, 390, 369 [NASA ADS] [CrossRef] [EDP Sciences]
- Lipshtat, A., & Biham, O. 2003, A&A, 400, 585 [NASA ADS] [CrossRef] [EDP Sciences] (In the text)
- Lipshtat, A., Biham, O., & Herbst, E. 2004, MNRAS, 348, 1055 [NASA ADS] [CrossRef] (In the text)
- Mathis, J. S., Rumpl, W., & Nordsieck, K. H. 1977, ApJ, 217, 425 [NASA ADS] [CrossRef] (In the text)
- Millar, T. J., Bennett, A., & Herbst, E. 1989, ApJ, 340, 906 [NASA ADS] [CrossRef]
- Perets, H. B., Biham, O., Manicó, G., et al. 2005, ApJ, 627, 850 [NASA ADS] [CrossRef] (In the text)
- Perets, H. B., Lederhendler, A., Biham, O., et al. 2007, ApJ, 661, L163 [NASA ADS] [CrossRef] (In the text)
- Roberts, H., Herbst, E., & Millar, T. J. 2003, ApJ, 591, L41 [NASA ADS] [CrossRef]
- Roueff, E., Lis, D. C., van der Tak, F. F. S., Gerin, M., & Goldsmith, P. F. 2005, A&A, 438, 585 [NASA ADS] [CrossRef] [EDP Sciences]
- Roueff, E., Tiné, S., Coudert, L. H., et al. 2000, A&A, 354, L63 [NASA ADS]
- Shalabiea, O. M., Caselli, P., & Herbst, E. 1998, ApJ, 502, 652 [NASA ADS] [CrossRef]
- Stantcheva, T., Caselli, P., & Herbst, E. 2001, A&A, 375, 673 [NASA ADS] [CrossRef] [EDP Sciences]
- Stantcheva, T., & Herbst, E. 2003, MNRAS, 340, 983 [NASA ADS] [CrossRef]
- Stantcheva, T., Shematovich, V. I., & Herbst, E. 2002, A&A, 391, 1069 [NASA ADS] [CrossRef] [EDP Sciences]
- Tielens, A. G. G. M., & Hagen, W. 1982, A&A, 114, 245 [NASA ADS]
- Watson, W. D. 1974, ApJ, 188, 35 [NASA ADS] [CrossRef] (In the text)
All Tables
Table 1: Parameters for the interaction of hydrogen and deuterium atoms with dust grains of different compositions and surface morphologies.
Table 2:
The parameters used in the model.
Numbers in parentheses refer to powers of ten.
is the total column density of protons (N(H) + 2 N(H2)) and
is the visual extinction.
Table 3: The three models simulated using the rate equations and the moment equations and their legends.
Table 4: Column densities (in cm-2) of H, H2, D and HD and the molecular fraction f for model C, obtained from the rate equations (RC) and from the moment equations (MC) for different grain temperatures. Numbers in parentheses refer to powers of ten.
Table 5: Physical conditions relevant to a dense PDR.
Table 6: Column densities in cm-2 and molecular fraction f for the dense PDR models. Numbers in parentheses refer to power of ten.
Table 7:
Column densities in cm-2 and molecular fraction f for the dense PDR models in which surface chemistry is cut for very small grains (
cm). Numbers in parentheses refer to power of ten.
All Figures
![]() |
Figure 1:
The formation rate |
| Open with DEXTER | |
| In the text | |
![]() |
Figure 2:
The formation rate |
| Open with DEXTER | |
| In the text | |
![]() |
Figure 3: Comparison between gas phase formation (circles) and grain-surface formation (squares) rates of H2 (in cm-3s-1), obtained from the rate equations (solid lines and full symbols) and from the moment equations (dotted-lines and open symbols). The thin solid line shows the grain temperature (the temperature scale is on the right hand side). |
| Open with DEXTER | |
| In the text | |
![]() |
Figure 4: Comparison between gas phase formation (circles) and grain-surface formation (squares) rates of HD (in cm-3s-1) obtained from the rate equations (solid lines and full symbols) and from the moment equations (dotted lines and open symbols). The thin solid line shows the grain temperature (the temperature scale is on the right hand side). |
| Open with DEXTER | |
| In the text | |
Copyright ESO 2009
Current usage metrics show cumulative count of Article Views (full-text article views including HTML views, PDF and ePub downloads, according to the available data) and Abstracts Views on Vision4Press platform.
Data correspond to usage on the plateform after 2015. The current usage metrics is available 48-96 hours after online publication and is updated daily on week days.
Initial download of the metrics may take a while.





![\begin{displaymath}k_{\rm tun} = {\nu_{\rm I}}
\left[ {1+\frac{(E_{\rm I}^{\rm d...
...-{E})}
\cdot {\rm sinh^2}(d/ \lambda_{\rm DB})}
\right]^{-1},
\end{displaymath}](/articles/aa/full_html/2009/39/aa12269-09/img43.png)










![$\displaystyle F_{\rm H}\left[\left(1-\frac{N_{\rm H:}-1}{S}\right)
P(N_{\rm H:}...
...\rm D:}) - \left(1-\frac{N_{\rm H:}}{S}\right)
P(N_{\rm H:}, N_{\rm D:})\right]$](/articles/aa/full_html/2009/39/aa12269-09/img119.png)





![$\displaystyle F_{\rm H}\left[ \left(1-\frac{N_{\rm H:}-1}{S}
-\frac{N_{\rm D:}}...
...rac{N_{\rm H:}}{S}-\frac{N_{\rm D:}}{S}\right)
P(N_{\rm H:}, N_{\rm D:})\right]$](/articles/aa/full_html/2009/39/aa12269-09/img170.png)
![$\displaystyle F_{\rm D}\left[\left(1-\frac{N_{\rm H:}}{S}
-\frac{N_{\rm D:}-1}{...
...rac{N_{\rm H:}}{S}
-\frac{N_{\rm D:}}{S}\right)P(N_{\rm H:}, N_{\rm D:})\right]$](/articles/aa/full_html/2009/39/aa12269-09/img171.png)

![\begin{figure}
\par\includegraphics[width=8.8cm,clip]{12269fg1.eps}
\end{figure}](/articles/aa/full_html/2009/39/aa12269-09/Timg190.png)
![\begin{figure}
\par\includegraphics[width=8.8cm]{12269fg2.eps}
\end{figure}](/articles/aa/full_html/2009/39/aa12269-09/Timg191.png)
![\begin{figure}
\par\includegraphics[width=8.8cm]{12269fg3.eps}
\end{figure}](/articles/aa/full_html/2009/39/aa12269-09/Timg197.png)
![\begin{figure}
\par\includegraphics[width=8.8cm]{12269fg4.eps}
\end{figure}](/articles/aa/full_html/2009/39/aa12269-09/Timg198.png)