Issue |
A&A
Volume 505, Number 3, October III 2009
|
|
---|---|---|
Page(s) | 1297 - 1310 | |
Section | Planets and planetary systems | |
DOI | https://doi.org/10.1051/0004-6361/200912342 | |
Published online | 11 August 2009 |
The Hawaii trails project: comet-hunting in the main asteroid belt
,
,
H. H. Hsieh1,2
1 - Astrophysics Research Centre, Queen's University,
Belfast BT7 1NN, UK
2 -
Institute for Astronomy, University of Hawaii, 2680 Woodlawn
Drive, Honolulu, HI 96822, USA
Received 16 April 2009 / Accepted 30 July 2009
Abstract
Context. The mysterious solar system object 133P/(7968) Elst-Pizarro is dynamically asteroidal, yet displays recurrent comet-like dust emission. Two scenarios were hypothesized to explain this unusual behavior: 1) 133P is a classical comet from the outer solar system that has evolved onto a main-belt orbit or 2) 133P is a dynamically ordinary main-belt asteroid on which subsurface ice has recently been exposed. If 1) is correct, the expected rarity of a dynamical transition onto an asteroidal orbit implies that 133P could be alone in the main belt. In contrast, if 2) is correct, other icy main-belt objects should exist and could also exhibit cometary activity.
Aims. Believing 133P to be a dynamically ordinary, yet icy main-belt asteroid, I set out to test the primary prediction of the hypothesis: that 133P-like objects should be common and could be found by an appropriately designed observational survey.
Methods. I conducted just such a survey - the Hawaii Trails Project - of selected main-belt asteroids in a search for objects displaying cometary activity. Optical observations were made of targets selected from among the Themis, Koronis, and Veritas asteroid families, the Karin asteroid cluster, and low-inclination, kilometer-scale outer-belt asteroids, using the Lulin 1.0 m, small and moderate aperture research telescope system (SMARTS) 1.0 m, University of Hawaii 2.2 m, southern astrophysical research (SOAR) 4.1 m, Gemini North 8.1 m, Subaru 8.2 m, and Keck I 10 m telescopes.
Results. I made 657 observations of 599 asteroids, discovering one active object now known as 176P/LINEAR, leading to the identification of the new cometary class of main-belt comets (MBCs). These results suggest that there could be 100 currently active MBCs among low-inclination, kilometer-scale outer-belt asteroids. Physically and statistically, MBC activity is consistent with initiation by meter-sized impactors. The estimated rate of impacts and sizes of resulting active sites, however, imply that 133P-sized bodies should become significantly devolatilized over Gyr timescales, suggesting that 133P, and possibly the other MBCs as well, could be secondary, or even multigenerational, fragments from recent breakup events.
Key words: comets: general - comets: individual: 133P/Elst-Pizarro - comets: individual: 176P/LINEAR - minor planets, asteroids - solar system: general
1 Introduction
1.1 Motivation
Comet 133P/(7968) Elst-Pizarro (hereafter 133P), an apparent
Themis asteroid family member, has an asteroid-like Tisserand
invariant of
and orbits in the outer main
asteroid belt. Its cometary nature was first revealed on 1996
August 7 when a linear dust feature was observed trailing the
object (Elst et al. 1996). This dust trail was found to be narrow,
structureless, and over 3
in length. No coma was observed
around the nucleus. Previous images from 1979 to 1985
(Marsden 1996; McNaught et al. 1996) and follow-up observations by Offutt et al. (1997)
revealed a point-source-like nucleus with no apparent dust trail.
The uniqueness of 133P's dust emission - no other asteroid had ever been seen exhibiting such behavior, and even 133P only showed such behavior once - made it difficult to ascertain its true nature. Some believed the emission to be impact ejecta from a collision between 133P and another asteroid or group of asteroids (e.g., Tóth 2000), while others believed it to be the result of the sublimation of volatile ices on 133P's surface (e.g., Boehnhardt et al. 1998). Impact scenarios were unable to plausibly explain the months-long duration of the dust emission episode (Boehnhardt et al. 1996); however, while sublimation required the apparently implausible scenario of surface ice surviving to the present day on a main-belt asteroid in quantities sufficient for driving cometary activity.
New insight was gained into 133P's nature when observations in 2002 revealed the return of long-lived dust emission (Hsieh et al. 2004). Given the implausibility of impacts causing prolonged dust emission episodes on the same asteroid in the span of six years, these observations effectively ruled out hypotheses in which impacts were the sole cause of the observed dust emission. After considering other possible emission mechanisms and dismissing each in turn, Hsieh et al. concluded that 133P's dust ejection was most likely driven by the sublimation of volatile material, presumed to be water ice.
This conclusion implied either that 1) 133P was a ``lost comet'', i.e., an object originally from the outer solar system that had evolved onto its current orbit via planetary encounters, dynamical resonances, or the non-gravitational influence of asymmetric cometary mass loss, or 2) 133P was an ``icy asteroid'', i.e., a dynamically ordinary, native member of the asteroid belt on which preserved, buried ice had been recently exposed, perhaps excavated by an impact. If the ``lost comet'' hypothesis was correct, the low likelihood of a comet undergoing a dynamical transition from the outer solar system onto a 133P-like orbit (e.g., Fernández et al. 2002; Ipatov & Hahn 1997) should mean that such objects are rare, and that 133P could be the only object of its kind, as was observed. If the ``icy asteroid'' hypothesis was correct, 133P would not be expected to be unique. Other main-belt asteroids could also possess subsurface ice that could begin sublimating if exposed by impacts. In this case, 133P's uniqueness could simply be due to the difficulty of discovering such objects serendipitously. An appropriately targeted search could counter this difficulty (Hsieh & Jewitt 2006a). Believing that this second hypothesis could be correct, I set out to conduct just such a targeted search. In this paper, I describe the design and results of that survey, the Hawaii Trails Project (HTP).
1.2 Background
Various evidence has been found for past and even present water in main-belt asteroids (cf. Hsieh & Jewitt 2006a, and references within), but this fact has not meant that active dust emission due to the sublimation of water ice is commonly observed. Hsieh & Jewitt discuss a number of possible reasons for this scarcity of observations of activity in asteroids. One likely explanation is that simply too few 133P-like objects have been observed sufficiently deeply and sufficiently often. Collisional excavation of subsurface ice reservoirs could also occur only rarely. Even when a collision does occur, sublimation may not necessarily follow if subsurface ice (likely non-uniformly distributed on asteroids) is not present at a particular impact site, and even the successful triggering of sublimation could result in dust emission that is simply too weak to detect from Earth. Finally, observable dust emission is likely to be intermittent and also have a finite lifetime, limited by either local devolatilization of the active site or mantling (Jewitt 2002,1996, and references within), further reducing the probability of its detection.
In addition to the above considerations, there are indications
that detectable activated asteroids may occupy a narrow range of
sizes. The rate of impact excavations of an asteroid depends on
its collisional cross-section: large bodies will be struck, and
thus activated, more often than small bodies. Volatile material
should also survive longer against solar heating on larger
asteroids because it can be buried at greater depths. However,
Hsieh et al. (2004) found that the low dust ejection velocity (
m s-1) for 133P was extremely similar to
the gravitational escape velocity (
m s-1), suggesting comparable dust emission would only
be observable on bodies of similar or smaller sizes. Comparable
emission on larger bodies would be unable to escape the gravity of
those bodies and thus never become observable. This scenario may
explain why Ceres is not observed to emit dust, despite
indications of surface ice (Lebofsky et al. 1981; Vernazza et al. 2005) and even possible
water vapor emission (A'Hearn & Feldman 1992). Despite providing less
insulation from the Sun than larger bodies, smaller bodies are
also less effectively heated from within by 26Al (since they
radiate that heat away more efficiently). In summary, to exhibit
dust emission, it seems that icy asteroids need to be large enough
to preserve subsurface ice against solar heating and be struck
relatively frequently by impactors, but not so large that weak
dust emission cannot escape gravity or ice does not survive early
radioactive heating. Such conflicts in size preferences suggests
that 133P-like asteroids may be even rarer and more difficult to
discover than initial considerations might indicate.
1.3 Survey design
The distribution of present-day ice in the asteroid belt is not
well understood. The so-called snow line refers to the distance
from the Sun at which the temperature of the protosolar disk was
below the condensation temperature of water, allowing ice to
become incorporated into accreting planetesimals. Modern
observations of asteroids suggest that the snow line likely
existed 2.5 AU from the Sun (Gradie & Tedesco 1982; Jones et al. 1990), though
theoretical models have suggested it may have been as close as the
orbit of Mars (Lecar et al. 2006; Sasselov & Lecar 2000; Ciesla & Cuzzi 2006), implying that objects
throughout the asteroid belt could have formed icy. Much of this
ice has since undergone thermal processing, producing the hydrated
minerals now observed on many main-belt asteroids
(see Rivkin et al. 2002). Detections of such minerals decline in the
outer belt beyond
3 AU (notably, where 133P is found),
suggesting that pristine, unaltered ice could still exist in
distant main-belt objects (Jones et al. 1990; Scott & Krot 2005). This hypothesis
suggests that a search for 133P-like icy asteroids should focus on
objects with semimajor axes of a>3 AU, as the HTP does indeed
do, although objects with a<3 AU are also considered.
Given the environmental and physical conditions discussed above that are suspected of giving rise to cometary activity in 133P, in the search for objects exhibiting similar activity, the following target categories were considered:
- Themis family asteroids: The Themis family is likely
the result of the breakup of a parent asteroid about 400 km
in diameter
2.5 Gyr ago (Nesvorný et al. 2003; Tanga et al. 1999; Marzari et al. 1995) and is one of the largest and most statistically robust asteroid families known (e.g., Zappalà et al. 1990; Carusi & Valsecchi 1982). Given their origin from a common parent, Themis family members are thought to be compositionally homogeneous, as corroborated by observational studies showing that the family is dominated by primitive C-type asteroids that also exhibit signs of aqueous alteration (Bell 1989; Ivezic et al. 2002; Mothé-Diniz et al. 2005; Florczak et al. 1999). The family is also characterized by a high rate of collisions relative to the general main-belt population (Dell'Oro et al. 2001; Farinella & Davis 1992). Given 133P's dynamical and possible compositional similarity to Themis family members and the high frequency of collisions within the family, the Themis family was judged to be a natural place to look for 133P-like asteroids. Target objects were selected by conducting a hierarchical clustering analysis (Zappalà et al. 1994,1990) on proper elements obtained from the AstDys website (http://hamilton.dm.unipi.it/astdys/; Knezevic & Milani 2003) and using a cutoff value of
m s-1 with respect to (24) Themis.
- Low-inclination outer-belt asteroids: The
identification of the main-belt comet (MBC) class (Hsieh & Jewitt 2006b)
during the course of the HTP
led to a reevaluation of the survey's target selection criteria.
In particular, the semimajor axis and
inclination of MBC P/2005 U1 (Read) (hereafter P/Read)
closely matches those of the Themis
family, but its eccentricity does not. This discovery led to the hypothesis
that 133P's low inclination, and not necessarily its specific association
with the Themis family, could be responsible for its activity.
Collision rates are in fact enhanced at low inclinations (Farinella & Davis 1992). Targets were selected by
applying limits (
, e<0.3, and
) on osculating orbital elements obtained online from Lowell Observatory (ftp://ftp.lowell.edu/pub/elgb/astorb.dat), permitting the inclusion of even recently discovered asteroids for which proper elements were not yet known. Limits were chosen to span the orbital element distribution of the first three known MBCs, and in fact, also completely encompass the Themis family.
- Koronis family asteroids: As another populous
main-belt asteroid
family characterized by high collisions rates
(Farinella & Davis 1992), the Koronis family was judged to
be another plausible place to look for 133P analogs. Like the Themis
family, the Koronis family is the result of the catastrophic disruption
of a large parent body
2 Gyr ago (Marzari et al. 1995; Binzel 1988). Unlike the Themis family, however, the Koronis family is dominated by S-type asteroids (Bell 1989; Mothé-Diniz et al. 2005; Binzel et al. 1993), which along with their meteoritic analogs, the ordinary chondrites, do not exhibit evidence of significant aqueous alteration (e.g., Rivkin et al. 2002). Nonetheless, due to the high collision rates within this family and the possibility that these asteroids may not be completely anhydrous (Keil 2000; Grossman et al. 2000), Koronis family asteroids were still judged to be viable 133P-analog candidates. Koronis family targets were selected by a hierarchical clustering analysis, using a cutoff value of
m s-1 with respect to (158) Koronis.
- Karin cluster asteroids: The Karin cluster is a subset
of the Koronis family and is likely
the result of a recent fragmentation event
5.8 Myr ago (Nesvorný et al. 2002,2006). Spectroscopic studies have since affirmed both the compositional homogeneity and the young age of the cluster (Sasaki et al. 2004; Brunetto et al. 2006; Vernazza et al. 2006). In the context of this survey, the Karin cluster was interesting because if its parent body only recently broke apart, ice that had been preserved deep inside the parent could now be located at a much shallower depths on the resulting fragments. Even relatively weak subsequent impacts could then easily initiate sublimation. Like the rest of the Koronis family, however, the Karin cluster is dominated by S-type asteroids and so is not an ideal sample from a mineralogical point of view for searching for sublimation-driven dust emission. Given the likelihood of particularly young surfaces, though, these objects were judged to be worthy of at least cursory attention. Karin cluster targets were selected by a hierarchical clustering analysis, using a cutoff value of
m s-1 with respect to (832) Karin.
- Veritas family asteroids: Like the Karin cluster, the
Veritas family, first identified
by Zappalà et al. (1995), is likely the result of a recent fragmentation event
in the asteroid belt, perhaps just
8.5 Myr ago (Nesvorný et al. 2003; Tsiganis et al. 2007). Intriguingly, such an event corresponds with a spike in 3He concentrations found in sea-floor sediment records from that time period (Farley et al. 2006). The young age of the Veritas family made it interesting for this survey for the same reasons as the Karin cluster. Unlike the Karin cluster, however, the Veritas family appears to be dominated by C-type asteroids (Mothé-Diniz et al. 2005), the same type of asteroids that dominate the Themis family, making it a particularly promising place to search for 133P analogs. Veritas family targets were selected by a hierarchical clustering analysis, using a cutoff value of
m s-1 with respect to (490) Veritas.
Targets from these categories were selected for each observing run
based on visibility, expected visual magnitude (
mag targets for University of Hawaii (UH) 2.2 m runs,
brighter targets for smaller telescopes or in non-photometric
conditions, and fainter targets for larger telescopes), distance
from the moon, and distance from the galactic plane. I also sought
to observe asteroids matching 133P closely in physical size (as
parameterized by absolute magnitude,
), or
approximately kilometer-scale, given the issues discussed in
Sect. 1.2. The aim was to achieve moderately deep
imaging for as many asteroids as possible. As such, exposure times
were selected such that signal-to-noise ratios of at least
S/N=20 for 93.5% (614 out of 657) of the surveyed targets, and
at least S/N=10 for 99.2% (652 out of 657) of the surveyed
targets were reached.
While most observations were made of unique asteroids, repeat observations of individual asteroids were not expressly avoided. Given the expected transient nature of any cometary activity, continued monitoring of comet candidates is in fact, in principle, vital to fully characterizing their active natures. In a larger survey, all objects would have been observed multiple times, but for the relatively small-scale HTP, repeat observations were made only occasionally.
2 Observations
Several ground-based optical observatories were used to conduct this survey: the UH 2.2 m telescope, the 8.1 m Gemini North Observatory, the 8.2 m Subaru telescope, and the 10 m Keck I Observatory on Mauna Kea in Hawaii, the 1.0 m telescope operated by the small and moderate aperture research telescope system (SMARTS) consortium at the Cerro Tololo Inter-American Observatory (CTIO) and Cerro Pachon's 4.1 m southern astrophysical research (SOAR) telescope in Chile, and the Lulin 1.0 m telescope in Taiwan (Table 1). Data were obtained on 88 separate nights (Table 2).Table 1: Telescope summary.
Either a Tektronix
pixel charge-coupled device
(CCD) or the Orthogonal Parallel Transfer Imaging Camera (OPTIC)
was used at the f/10 focus of the UH 2.2 m telescope. Other
instruments used on Mauna Kea telescopes were the Gemini
Multi-Object Spectrograph (GMOS) (Hook et al. 2004) in imaging mode on
Gemini, the Subaru Prime Focus Camera (SuprimeCam) (Miyazaki et al. 2002)
on Subaru, and the Low-Resolution Imaging Spectrometer (LRIS)
(Oke et al. 1995) on Keck. Observations using the CTIO 1.0 m telescope
employed either an Apogee
CCD or an STA
CCD (Y4KCam), while observations on the SOAR
telescope employed the SOAR Optical Imager (SOI) (Schwarz et al. 2004).
Observations using the Lulin 1.0 m telescope were made using a
VersArray:1300B CCD (Kinoshita et al. 2005). All observations were obtained
through broadband filters approximating the Kron-Cousins BVRIphotometric system except for observations at Gemini which
employed
broadband
filters similar to those used for the Sloan Digital Sky Survey
(SDSS). Further telescope details are listed in
Table 1.
Standard image preparation (bias subtraction and flat-field reduction) was performed on all data. Flat fields were constructed either from dithered images taken nightly of the twilight sky or images of the illuminated interior of the telescope dome. Photometry on standard stars and target objects was performed by measuring net fluxes contained within circular apertures with optimum sizes determined from curve of growth analysis and dependent on the nightly seeing. The sky background to be subtracted was determined from the median pixel value within a circular annulus surrounding each central aperture. Photometry was calibrated to Landolt (1992) standard stars to produce absolute photometry for the target objects. Photometric uncertainties are estimated to be 0.1 mag for objects observed in photometric conditions and 0.5 mag for objects observed in non-photometric conditions (see Table 2).
3 Analysis and results
3.1 Activity assessment
To search for low-level cometary activity, all images for a given target on a single night were aligned on the object's photocenter using linear interpolation and then summed to produce a single composite image. Asteroids with possible cometary activity were identified visually from these composite images, and then the corresponding individual images were inspected to assess the plausibility of the detection (e.g., whether the morphology of a suspected cometary feature matched that expected for comets, the feature consistently appeared in each individual image, the motion of the feature and object against the background star field were identical, and there were no signs that the features could be attributed to scattered light or imperfect flatfielding). After close visual inspection, if an object showed credible evidence of being active, confirmation of activity was then attempted using deep follow-up imaging. Observations for which activity was impossible to assess and were therefore unsuitable for analysis (e.g., those where the object was strongly affected by scattered light from a nearby bright star, or where poor telescope stability resulted in inconsistent point-spread functions (PSFs) among individual images of the same object) were discarded.Various quantitative means of searching for cometary activity in HTP data were considered, including one-dimensional surface brightness profile analysis (cf. Hsieh & Jewitt 2005; Luu & Jewitt 1992), radial surface brightness profile analysis (cf. Luu & Jewitt 1990), and trail searching (cf. Hsieh & Jewitt 2005). One-dimensional surface brightness profile analysis is useful in that it accounts for trailing of point source templates (i.e., field stars) caused by non-sidereal tracking and long exposure times of each target image. Trailing effects are avoided by measuring the surface brightness profiles of targets and field stars in the direction perpendicular to the apparent motion of the target. This technique is best suited for detecting coma that extends radially in all directions from an object, or directed emission not aligned with the direction of the object's apparent motion. It cannot, however, be used to detect directed emission oriented along the direction of an object's apparent motion (as was observed for 133P).
Radial surface brightness profile analysis is sensitive to cometary features extended in any direction, but requires the use of circularly symmetric point source templates. Field stars from target images were generally unsuitable due to trailing, requiring the use of either standard star images or separately observed sidereally tracked field star images as point source templates, but both of these alternatives were problematic as well. Even with the use of tip-tilt guiding, continuous atmospheric fluctuations and small but non-negligible mechanical instabilities in the telescopes used (particularly while tracking non-sidereally) resulted in systematically wider PSFs for long-exposure target images than short-exposure standard star images. Those same image quality fluctuations also adversely affected the utility of separate sidereally tracked target images by making it difficult to distinguish normal image-to-image PSF fluctuations from the small deviations that could actually indicate the presence of activity. This technique also averages any dust emission over all radial directions, reducing sensitivity to directed emission.
Searching for dust emission specifically like 133P's dust trail,
which could form if an object emits large (10
m) dust
particles at low velocities (
1-2 m s-1) as 133P did
(Hsieh et al. 2004), can be done by searching for excess flux above sky
background along the object's orbital plane (the expected
direction of a trail). This technique is not sensitive to
near-nucleus activity, however, and furthermore, is highly
susceptible to contamination from field stars or galaxies due to
the large amount of sky that must be examined for evidence of
trails.
All three techniques are prone to false detections, which can
arise from nearby faint field stars or galaxies masquerading as
active features, contamination of sky background samples,
imperfect flatfielding, scattered light from nearby bright or
saturated field stars, and PSF variability between images or even
within the same image (i.e., as a function of position on the
CCD). Thus, any automated detection scheme still requires
confirmation by visual inspection. Given the focused nature of
this survey (targeted deep imaging of single objects), the
resulting small sample size (650 composite images to be
evaluated over 3 years), and the significant human intervention
needed to supplement any of the quantitative detection algorithms
considered, I opted to simply visually inspect each target for
evidence of activity. This approach is certainly less feasible for
searching for comets in much larger data sets, particularly the
ones that will be produced by upcoming survey telescopes like the
Panoramic Survey Telescope and Rapid Response System
(Pan-STARRS; Hodapp et al. 2004; Jedicke et al. 2007) and the Large Synoptic Survey
Telescope (LSST; Jones et al. 2009). For the HTP, however, direct
visual inspection was judged to be the most efficient (given the
small sample size) and effective method for evaluating the active
nature of the targets in this survey.
3.2 Survey results
In total, 599 unique asteroids were observed as part of the HTP, with 544 asteroids observed once, 52 asteroids observed twice, and 3 asteroids observed three times, totaling 657 separate observations (Table 3). Hereafter, all observations (including those of objects observed multiple times) are considered independent of one another. This approach is taken since it is not known where along their orbits other 133P-like asteroids could exhibit activity, and also since inactivity observed for an asteroid at one time does not necessarily rule out the possibility of activity at another time.The numbers of targets observed from each target category are shown in Table 4 and Fig. 1, where it should be noted that all Themis family members are also counted as low-inclination outer-belt asteroids, and all Karin cluster members are also counted as Koronis family members. The Veritas family is independent of all other target categories. Slightly more than half (389 of 657) of observed targets were Themis family members, reflecting the prediction that these were the objects among which other 133P-like asteroids would most likely be found. This histogram, and others following it, also show the relative numbers of targets for which shallow, medium, and deep surface brightness detection limits were reached.
![]() |
Figure 1: Distribution of observed objects by target category, where all Themis family members are also low-inclination outer-belt asteroids, and all Karin cluster members are also Koronis family members. Observations for which activity detection limits are fainter than 22.3 mag arcsec-1, 25.5 mag arcsec-1, and 26.0 mag arcsec-1 are shown in light gray, medium gray, and dark gray, respectively. |
Open with DEXTER |
![]() |
Figure 2: Semimajor axis versus eccentricity distribution of HTP survey targets, where proper orbital elements are plotted when available and osculating orbital elements are plotted for objects for which proper orbital elements are not available. Proper orbital elements for the background main-belt asteroid population are plotted using small black dots, while orbital elements for observed HTP targets are marked as labeled. Orbital elements of the currently-known MBCs are plotted for reference, although only 176P was observed as part of this survey. |
Open with DEXTER |
3.3 Discovery of the MBCs
The most significant result from the HTP was the discovery of cometary activity in asteroid 118401 (1999 RE70; subsequently designated 176P/LINEAR; hereafter 176P), on 2005 November 26 by Gemini North (Hsieh & Jewitt 2006b; Hsieh et al. 2006). Coincidentally, this discovery was made just a month following the serendipitous discovery of P/Read (Read et al. 2005), another cometary object orbiting completely within the main asteroid belt, on 2005 October 24 by the 0.9 m Spacewatch telescope. Together, 133P, P/Read, and 176P formed a new class of objects which were dubbed MBCs (Hsieh & Jewitt 2006b). Following the completion of the HTP, a fourth MBC, P/2008 R1 (Garradd) (hereafter, P/Garradd; Garradd et al. 2008), was discovered on 2008 September 2 by the 0.5-m Uppsala Schmidt telescope at Siding Spring. The properties of the currently-known MBCs are listed in Table 5. All other HTP observations (including a previous observation of 176P using the Lulin 1.0 m telescope one month prior to the discovery of the object's cometary nature by Gemini) were judged to show no evidence of cometary activity.The extremely limited data set used to discover the currently-known population (three members were discovered serendipitously by 0.5-1.0 m telescopes, and another was discovered by a targeted survey composed of only 657 asteroid observations) implies that a much larger undiscovered population exists. The existence of multiple-known MBCs and the implication of a much larger as-yet undiscovered population runs counter to the prediction made by the ``lost comet'' hypothesis that 133P should be alone in the main belt, making the ``icy asteroid'' hypothesis, which predicts that such objects should be widespread in the main belt, much more likely (Sect. 1.1).
Table 3: Properties of objects imaged.*
Table 4: Survey summary.
4 Discussion
4.1 Selection effects and biases
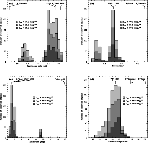
It should be emphasized that the HTP was not designed as a random sampling of the main asteroid belt and cannot be interpreted as such. On the contrary, it was designed to maximize the probability of discovering 133P-like asteroids and so employed very specific physical and dynamical target selection criteria. The HTP was also subject to a number of ordinary observational biases.Histograms showing the distributions of various physical and dynamical properties and observational circumstances for surveyed targets are shown in Figs. 4 and 5. For reference, the locations of the known MBCs (for Fig. 4) or the range of locations of the known MBCs while they were observed to be active (for Fig. 5) in these distributions are marked. These histograms reflect the following intentional selection effects or observational biases:
![]() |
Figure 3: Semimajor axis versus inclination distribution of HTP survey targets, where proper orbital elements are plotted when available and osculating orbital elements are plotted for objects for which proper orbital elements are not available. Proper orbital elements for the background main-belt asteroid population are plotted using small black dots, while orbital elements for observed HTP targets are marked as labeled. Orbital elements of the currently-known MBCs are plotted for reference, although only 176P was observed as part of this survey. |
Open with DEXTER |
Table 5: MBC properties.
-
The distributions of semimajor axes (Fig. 4a),
eccentricities (Fig. 4b), and inclinations
(Fig. 4c) of surveyed targets strongly reflect the
focus on specific asteroid families, particularly the low-inclination,
moderate eccentricity Themis family at
3.1-3.2 AU and the low-inclination, low-eccentricity Koronis family at
2.9 AU (also see Figs. 2 and 3).
- The distribution of absolute magnitudes (Fig. 4d)
of surveyed targets reflects the focus on asteroids similar to 133P
(
mag; Hsieh et al. 2009a). It is also affected, however, by the fact that smaller targets are fainter and are more difficult to image to the same depth as larger, brighter
Figure 4: Orbital and physical properties of surveyed targets, including a) semimajor axis (a) in AU, b) eccentricity (e), c) inclination (i) in degrees, and d) absolute magnitude (
). Proper orbital elements are used when available, while osculating orbital elements are used for objects for which proper elements are not available. Properties of the currently-known MBCs (where the absolute magnitude of P/Garradd is a lower limit) are marked for reference, although only 176P was observed as part of this survey. Observations for which activity detection limits are fainter than 22.3 mag arcsec-1, 25.5 mag arcsec-1, and 26.0 mag arcsec-1 are shown in light gray, medium gray, and dark gray, respectively.
Open with DEXTER Figure 5: Observational circumstances of surveyed targets, including a) heliocentric distance (R) in AU, b) true anomaly (
) in degrees, c) orbit plane angle (
) in degrees, and d) apparent R-band magnitude. The observational circumstances of the currently-known MBCs during their observed active periods are marked for reference, although only 176P was observed as part of this survey. Observations for which activity detection limits are fainter than 22.3 mag arcsec-1, 25.5 mag arcsec-1, and 26.0 mag arcsec-1 are shown in light gray, medium gray, and dark gray, respectively.
Open with DEXTER targets. The known population of small objects is also quite incomplete, again due to the faintness of these objects and the difficulty of discovering them. Larger asteroids were furthermore more likely to have well-known orbits and calculated proper orbital elements, necessary for computing family linkages on which initial target selection relied.
- The increased difficulty of observing fainter objects farther from
perihelion (
) meant that fewer were observed, as can be seen from the heliocentric distance and true anomaly distributions of HTP observations (Fig. 5a and b). The resulting oversampling of near-perihelion objects means that even if the seasonal activity modulation hypothesis discussed above (Sect. 1.2) is correct and there is an equal likelihood of activity along an asteroid's entire orbit, active objects are still more likely to be near perihelion when they are observed. For this reason, the discovery of near-perihelion activity for 176P in this survey should not be interpreted as confirmation that activity in MBCs is necessarily correlated to perihelion passages. Similarly, the correlation of serendipitously discovered activity in 133P, P/Read, and P/Garradd near perihelion should not be interpreted as necessarily real either since this correlation may simply be due to the fact that the objects are closer to Earth-bound observers near perihelion and their activity is therefore brighter and more easily detected.
- The low inclinations of most targets
(Fig. 4c) necessarily meant that they
were also observed at low orbit plane angles (Fig. 5c).
This consequence is significant because low orbit plane angles are where
dust emission is most easily observed.
When dispersed by solar radiation pressure, emitted dust
will tend to spread out in a plane behind an object and aligned
with its orbit. Thus, when the Earth is also aligned with the
object's orbit plane, the optical depth of the emitted dust is maximized.
Indeed, when observed to be actively emitting dust, the first three known
MBCs were at low orbit plane angles with respect to the Earth
(
).
- The distribution of apparent magnitudes
(Fig. 5d) primarily reflects the fact that the
majority of HTP observations were made using the UH 2.2 m telescope
and objects with visual R-band magnitudes of
mag were judged to be the most effectively and efficiently observed with that telescope aperture. Fainter asteroids were observed with larger telescopes such as Subaru, Gemini, and Keck I, but these targets typically were not imaged as deeply as brighter objects due to the desire to also observe as many of these smaller asteroids as possible.
It should be noted that P/Read was serendipitously discovered and so its strong orbital similarities to 133P and 176P cannot be easily explained by selection effects or observational biases. Its discovery may in fact indicate a true predisposition of the region near the Themis family for harboring MBCs. It should also be noted, however, that the discovery of P/Garradd in a completely unexpected, and unsurveyed, region of the main belt underscores the point that the HTP cannot and should not be viewed as a representative sampling of the cometary content of the entire main belt.
Since the discovery of 176P's cometary nature as part of the
targeted HTP, at least two untargeted surveys have been conducted
to search for other MBCs. Gilbert & Wiegert (2009) searched 12 390 main-belt
objects observed as part of the very wide segment of the
Canada-France-Hawaii Telescope (CFHT) Legacy Survey, finding one
known comet (active Centaur 166P/NEAT) and one unknown comet with
an unknown orbit, but no active objects with confirmed main-belt
orbits. For a small portion of their survey (952 targets),
automated techniques, some similar to those considered for the
HTP, were used to search for cometary activity. As in the HTP,
though, the majority of their targets (11 438 targets) were
simply assessed visually. Both cometary objects were found by
visual inspection. From these results, they estimated an upper
limit of 800 weakly active MBCs among objects larger than
1.5 km in diameter with semimajor axes between 3.0 AU and 5.0 AU,
consistent with the results found by the HTP
(Sect. 4.3). Meanwhile, Sonnett et al. (2008) searched 1850
objects observed with the CFHT as part of the Thousand Asteroid
Light Curve Survey (Masiero et al. 2009). Several different automated
techniques were employed to search for activity, but ultimately no
evidence of activity was found in any of those objects.
Such untargeted surveys are clearly better suited than the HTP for developing generalizations about the prevalence of MBCs throughout the asteroid belt in that they do not focus on specific regions of orbital parameter space. The correlated disadvantage of the untargeted approach, however, that the probability of discovering MBCs is much lower than that of targeted surveys like the HTP, as is reflected by the lack of detections in either untargeted survey, despite both having much larger target sample sizes than the HTP.
4.2 Survey sensitivity
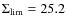
The image depth to which candidate objects should be observed was a key uncertainty at the start of this survey. When an active 133P was observed on 2002 November 5, the surface brightness of a representative section of the trail (just outside the seeing disk of the nucleus) was





The discovery of 176P's cometary nature during this survey was
made with two 120 s exposures (which, stacked together, had a
3
surface brightness detection limit of
mag arcsec-2) on 2005 November 26 on the 8 m
Gemini telescope. In these observations, the tail had a typical
surface brightness of
mag arcsec-2, a surface
brightness which should have been detectable by
70% (466)
of HTP observations. One cautionary note is that 176P was also
observed on 2005 October 24 using the Lulin 1.0 m telescope just
one month before the discovery of its cometary activity by Gemini
on 2005 November 26. No activity was detected in the Lulin data,
which had a surface brightness detection limit of
mag arcsec-2, indicating that 176P's tail could
simply have been fainter then, or perhaps poor seeing
(
1
5 for the Lulin data, compared to
0
9 for
the Gemini data) could be to blame for the lack of observed
activity. Only
75% (484) of HTP observations were made on
nights when the seeing was
1
1, and of these
observations, 427 (65% of the total survey) had
mag arcsec-2.
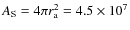
To provide a physical basis of comparison, the ratio of dust
surface area to the total nucleus scattering cross-section,
,
contained within
km at the
geocentric distance of each target object, that is represented by
is also calculated and shown in
Table 3. This parameter is roughly correlated with
S/N and is computed to relate the activity detection limit of an
observation (which is largely dependent on the total effective
exposure time, size of telescope used, and proximity of the Moon
or bright stars, but not the target itself) to the size and
brightness of the target being observed. For reference,
for 133P's trail when observed by the UH
2.2 m telescope on 2002 November 5, while
for 176P's tail when observed by Gemini on 2005
November 26. Thus, activity as intense as 176P's activity,
relative to the size and brightness of the nucleus, should have
been detectable in
70% of HTP observations (where 466 of
657 observations had surface brightness detection limits
equivalent to
), while activity as
intense as 133P's activity, relative to its nucleus, should have
been detectable in
90% (588 of 657) of HTP observations.
4.3 MBC population size
A natural question to ask following the completion of the HTP is how many other active MBCs are implied to exist? This question is rather tricky to answer given the various ways that HTP results can be scaled to the general main-belt population and the difficulty of interpreting the statistical implications of a single detection. To start out, however, the probability,
where




Observationally,
can be estimated from
where


The HTP detected one active MBC (
), with the survey
size ranging from
,
if all surveyed objects are
included, to
,
if only observations judged to be
sufficiently sensitive and made in sufficiently good seeing
conditions to have permitted the detection of 176P-like activity
(Sect. 4.2) are considered. Hereafter, only the
latter group of objects, where
,
is considered.
As of 2009 April 1, there are approximately 450 000 known
main-belt asteroids. If the entire asteroid belt is considered to
be the candidate population and using
(assuming 133P to be typical of all MBCs), Eq. (3)
indicates that there could be
4200 MBCs in the main belt.
This result, however, suggests that all main-belt asteroids are
equally likely to be MBCs, which is likely not the case.
Refining this analysis, one might note that, just like 133P, 176P
was discovered among the highly collisionally active,
C-type-dominated Themis family, and therefore Themis family
targets may be a more appropriate sample from which to scale these
results. In this case,
and
,
giving
.
Like scaling to the entire main-belt
population, this calculation assumes that all Themis family
members are equally likely to display activity. As before,
however, this is likely not the case (Sect. 1.2): small
asteroids are more likely to display observable evidence of
sublimation due to their small escape velocities and higher
likelihood of being recently collisionally-produced fragments
(Cheng 2004) that may have near-surface ice deposits. Thus far,
this hypothesis is supported by the evidence. All four
currently-known MBCs have
.
If only Themis family
asteroids in this size range are considered, using
and
,
one finds that there may only be
10 MBCs
that are detectable via the type of optical observations that were
done in this survey.
Refining this analysis yet again, one recalls that the HTP's
low-inclination outer-belt targets were selected due to the fact
that a recently-discovered P/Read matched the Themis family in
semimajor axis and inclination but not in eccentricity. Using this
sample (which only includes objects with
)
where
and
(the total number
of observed low-inclination targets with
), I
estimate that
among kilometer-scale,
low-inclination, outer-belt asteroids. Using analogous lines of
reasoning for the other target categories surveyed as part of the
HTP where
and only targets with
are considered, I estimate that
for
the Koronis family,
for the Karin cluster, and
for the Veritas family.
The design of the HTP as a highly biased, targeted survey means that it cannot be used to infer the prevalence of MBCs in the general main-belt population. There are large regions of the main belt that were not surveyed (cf. Figs. 2 and 3) and the recent discovery of the fourth-known MBC, P/Garradd, shows that MBCs can certainly exist in those unsurveyed regions (see Fig. 4). Furthermore, preliminary results suggest that the nuclei of P/Read and P/Garradd are both extremely small (sub-kilometer-scale; Hsieh et al. 2009b; Jewitt et al. 2009), suggesting that, if not for their prodigious cometary activity, they would never have been discovered due to their extreme faintness. These results further suggest that more as-yet unknown sub-kilometer-scale cometary asteroids might be discovered in the future, but without better knowledge of the size of the main-belt population at this size scale and a systematic, statistically significant survey of this population, it is difficult to predict how many of these small MBCs there might be.
Jewitt et al. (2009) found that while P/Garradd is characterized by an
asteroidal
,
its orbit is unstable on a timescale
of
20 Myr, due largely to the influence of the nearby 8:3
mean-motion resonance (2.706 AU from the Sun) with Jupiter and the
secular resonance (near 2.1 AU from the Sun). Because of
these two facts, they hypothesize that the object may have
migrated to its current location from a source region in the outer
asteroid belt, perhaps where the other three known MBCs currently
reside. This hypothesis is slightly problematic as de Elía & Brunini (2007)
have actually found that mixing should be minimal among zones of
the main asteroid belt delineated by the strongly chaotic 3:1
(2.5 AU from the Sun), 5:2 (2.8 AU from the Sun), and 2:1 (3.27 AU
from the Sun) mean-motion resonances with Jupiter. In a study of
V-type asteroids in the middle main belt, however, Roig et al. (2008)
found that a non-negligible number of asteroids could be capable
of migrating outward across Jupiter's 3:1 resonance, and thus it
is conceivable that P/Garradd could be an icy outer-belt asteroid
that analogously migrated inward across Jupiter's 5:2 resonance.
From these results, it is clear that the small number of currently-known MBCs greatly hinders any attempt to estimate just how common they are in the main asteroid belt, and that better constraints may not become available until deep-imaging, all-sky survey telescopes like Pan-STARRS and LSST discover more. This discussion has also focused on currently active MBCs. If these objects are recently activated by collisions, there must also be a large population of icy asteroids that have not been recently activated. In the above analysis, all asteroids in a given target category are assumed to be dormant MBCs, but in truth, the extent of this dormant population is unconstrained, except that it must assuredly be larger than the active population. In fact, if recent thermal and dynamical models are correct, the population of dormant MBCs could, in principle, span the entire main belt (Levison et al. 2009; Schorghofer 2008).
4.4 Impact circumstances and environment
Hsieh et al. (2004) estimated a peak mass loss rate for 133P in 2002 on the order of



In order to calculate the size of the impactor required to create
a reasonably sized vent on an MBC, assuming that these vents are
in fact collisionally produced, one must first test whether the
creation of 133P's active vent was likely to be gravity dominated
or strength dominated using
![]() |
(4) |
where G is the gravitational constant,









One therefore should use a crater scaling relation for the
strength-dominated regime
![]() |
(5) |
where










Unfortunately, the population of meter-sized bodies in the
asteroid belt is poorly constrained, meaning that impact rates by
such small impactors are likewise poorly constrained.
Extrapolations of the known main-belt population (which extends
down to approximately kilometer-sized bodies), however, indicate
that there may be approximately
meter-sized
bodies in the main belt, where both Cheng (2004) and
Bottke et al. (2005) find an approximate sub-kilometer main-belt size
distribution function of
,
where
.
Approximating the main belt as a cylinder of
r=3.3 AU and
AU (where h is the approximate
thickness of the asteroid belt measured perpendicular to the plane
of the solar system), with an r=2.1 AU cylindrical hole in its
center, and assuming objects are distributed uniformly throughout
the main belt, one derives an approximate impactor number density
of
m-3.
Then, using
![]() |
(6) |
for 133P with an effective radius of









4.5 Active lifetimes
Like typical crater and impactor sizes for the MBCs, the typical lifetime of an active vent is difficult to constrain and is likely highly variable for individual situations. This is in fact the case for all comets (cf. Sekanina 1990), as numerous variables (e.g., location and depth of the activating crater, local ice content, local surface topography, orbital obliquity, perihelion distance, nucleus rotation rate) affect a particular vent's lifetime. Clearly a vent's active lifetime depends on the area of ice exposed, the size and morphology of the underlying volatile reservoir, and the depth of penetration of the activating impact. Surface topography near the active site and orbital parameters will affect the amount of solar radiation received, affecting the intensity and duration of sublimation activity. In the case of 133P, which has a rotation period of 3.471 h (Hsieh et al. 2004), centrifugal forces induced by rapid rotation could affect a vent's active lifetime by inhibiting rubble mantle growth, slowing this means of cometary deactivation.
As directly calculating the lifetimes of active sites on MBCs is
difficult to do with any confidence, an order-of-magnitude
estimate can instead be derived from the statistics of the HTP
survey itself. Earlier (Sect. 4.3), it was estimated
that 100 of the 8647 kilometer-scale, low-inclination, outer-belt
asteroids known at the time when the HTP was in progress could be
currently active. Making the simplifying assumption that all
asteroids in that population are equally likely to become active
over their lifetimes, one finds that, on average, each individual
asteroid is active over
of its total
lifetime. However, 133P is currently observed to be active over
of its orbit. Thus, assuming 133P to be
typical of all kilometer-scale, low-inclination, outer-belt
asteroids and if an activating collision occurs every
1000
orbits, as estimated above, then the activity initiated by each
collision should persist for
40 orbits, or about 250 yr.
For MBCs with active orbit fractions of
or
,
activity would instead be expected to persist
for 600 yr and 120 yr, respectively. Additionally, if HTP survey
statistics are incorrect by a factor of 2 (due, for example, to
the extremely small-number statistics associated with a single
detection, the uneven sensitivity of HTP observations, or other
factors), the derived active vent lifetime could vary from 60 yr
(using
and
)
to 1200 yr
(using
and
). The typical
lifetime of an active vent can therefore be estimated to be
yr.
If it is instead assumed that MBC activity is caused by
0.1-meter-sized impactors, the higher impact rate of these more
populous impactors implies
yr
(following the line of reasoning above, using
and
). If
10-meter-sized impactors are assumed to be the dominant activating
population, the derived typical active lifetime is
yr. The active lifetime of 133P has
already been observed to be at least 10 yr, well in excess of the
lifetimes implied by 0.1-meter-sized activating impactors.
Meanwhile, the active lifetimes implied by 10-meter-sized
activating impactors are implausibly comparable to or greater than
the lifetimes estimated for classical comets from the outer solar
system (
104 yr; e.g., Levison & Duncan 1997) that presumably
contain much more ice, spend far smaller fractions of their orbit
actually actively sublimating, and have only recently been
perturbed into Sun-approaching orbits. Thus, the impactor size
implied by the estimated crater size on 133P
(Sect. 4.4) is consistent with impactor sizes implied
by HTP statistics.
4.6 Possible MBC origin
Having derived a self-consistent model of the activation and general properties of MBC activity, however, I turn to the issue of the origin of these bodies themselves. The surface area of 133P is approximately given by



where the fractional devolatilization rate,



If 133P is in fact a primordial member of the Themis family, the
present-day timescale for impacts by meter-sized projectiles on
still-volatile portions of its surface should be
yr.
Assuming the activity detection statistics of the HTP are correct,
this longer impact timescale then implies correspondingly longer
active vent lifetimes of
yr. Such vent lifetimes are not
inconceivable but may be considered improbable given that they are
approaching the estimated active lifetimes of much icier and
better-preserved classical comets
(cf. Sect. 4.5).
Thus, for 133P to become activated on a plausible timescale without requiring implausibly long vent lifetimes, it may need to be a secondary (or even multi-generational) fragment from a recent disruption event. It and other MBCs could be sheared-off surface fragments or interior fragments of their respective parent bodies. In either case, the ice that they contain could have previously been located at great depths in those parent bodies, preserved against both solar heating and impact devolatilization, and now only recently found in shallow subsurface reservoirs.
The conclusion that 133P could be a recently produced fragment of
a larger asteroid is supported by Nesvorný et al. (2008) who found that
133P may be a member of the newly identified Beagle family (named
for Themis family asteroid (656) Beagle), which they believe
formed <50 Myr ago from the catastrophic disruption of a parent
object with a diameter of D>20 km. The other MBCs are not
members of this new family nor are they known to be linked with
any other known small families or clusters, but this does not
necessarily preclude their membership in small families that have
yet to be identified. Cheng (2004) and Bottke et al. (2005) also
estimate the collisional lifetime against destruction of a
D=4 km asteroid to be 2 Gyr, indicating that if 133P and
176P were formed in the initial Themis family fragmentation event,
both are likely to have been collisionally destroyed by the
present day.
5 Summary
I describe the design, execution, and analysis of the Hawaii Trails Project HTP survey that led to the identification of the class of MBCs. I note the following key points regarding the survey itself:- In an effort to find other 133P-like comets in the main asteroid belt, 657 observations were made of 599 unique asteroids belonging to five major target categories which included the Themis, Koronis, and Veritas asteroid families, the Karin cluster (a subset of the Koronis family), and kilometer-scale, low-inclination, outer-belt asteroids, where the last category also includes all Themis family members and was formulated after the discovery of the second- and third-known MBCs to match the orbital characteristics of all three MBCs known at the time.
- One surveyed object (176P; also asteroid 118401) was found to be active by this survey, and its discovery, in conjunction with the serendipitous discoveries of 133P and P/Read, led to the identification of the new class of MBCs.
- There are strong observational selection effects, some intentional and some unintentional, that must be considered when interpreting the statistical implications of the HTP. Ultimately, the HTP should only be considered to be representative of the populations of objects actually surveyed. Even then, it should be noted that only one detection was made, and so the standard caveats associated with small-number statistics apply.
- The true abundance and distribution of MBCs in the main asteroid belt may not be truly known until the data from deep all-sky survey telescopes like Pan-STARRS and LSST become available. These survey telescopes will likely find many more comets in the region of the asteroid belt where 133P, P/Read, and 176P are found, but may find comets elsewhere as well, such as where P/Garradd is found. Any MBCs discovered by these survey telescopes will still require targeted follow-up observations in order to confirm the presence of activity and determine physical and photometric properties. Dynamical analysis of newly discovered MBCs will also be essential for determining whether they are native to the regions where they are discovered or whether they may have migrated from elsewhere.
I also make the following order-of-magnitude generalizations about the MBCs from the results of the HTP and currently available data on the currently best-characterized MBC, 133P (though the usual caveats associated with small-number statistics apply):
- HTP survey statistics imply that there could be
100 currently active MBCs among the kilometer-scale, low-inclination, outer-belt asteroid population. Additionally, upper limits of 150, 40, and 15 active objects among kilometer-scale members of the Koronis family, Karin cluster, and Veritas family, respectively, are estimated. The HTP cannot be used to infer the abundance of active MBCs outside these target categories. It also provides little information about the size of the population of dormant MBCs (i.e., asteroids that contain subsurface ice but are currently inactive).
- The estimated size of the active area on 133P is found to correspond to an impactor approximately 1 m in size creating an active vent approximately 10 m in radius, assuming that the active area is collisionally created. This result is found to be consistent with the expected impact rate of projectiles of that size in the main belt and the cometary detection rate of the HTP.
- Assuming that meter-sized impactors are responsible for initiating
MBC activity, it is estimated that kilometer-scale, low-inclination,
outer-belt MBCs experience a potentially activating impact
roughly every 6000 yr and remain active for approximately
yr after each collisional activation.
- The estimated rate of impacts and estimated typical sizes
of resulting
active sites imply that 133P should become significantly
devolatilized over the course of 2.5 Gyr,
suggesting that it may not be
a primordial member of the
2.5-Gyr-old Themis family. It is suggested instead that 133P, and possibly the other MBCs as well, are fragments of more recent disruptions.
Acknowledgements
I acknowledge support of this work through a NASA Planetary Astronomy Grant (via David Jewitt) and STFC fellowship grant ST/F011016/1. I am grateful to Richard Wainscoat, Rita Mann, Jana Pittichová, and Aaron Evans for assistance with acquiring observations, Wen-Ping Chen and Wing Ip at National Central University in Taiwan for access to Lulin Observatory, Pedro Lacerda, Alan Fitzsimmons, David Asher, and Yan Fernández for valuable discussion, and an anonymous referee for helpful comments that improved this manuscript. I also thank John Dvorak, Ian Renaud-Kim, Dave Brennen, Paul DeGrood, Dan Birchall, and Ed Sousa at the UH 2.2 m telescope, Charles Sorensen and Hien Tran at Keck, Arturo Gomez and Edgardo Cosgrove at Cerro Tololo, Ming-Hsin Chang at Lulin, Chad Trujillo, Kathy Roth, and Tony Matulonis at Gemini, Miki Ishii and Alanna Garay at Subaru, and Alberto Alvarez, Patricio Ugarte, and the late Hugo Schwarz at SOAR for technical support of my observations. I thank Edward Bowell at Lowell Observatory for making astorb.dat freely available, and NASA grant NAG5-4741 and the Lowell Observatory endowment for providing funding for that work. I also particularly thank David Jewitt for invaluable advice and support of this work.
References
- A'Hearn, M. F., & Feldman, P. D. 1992, Icarus, 98, 54 [NASA ADS] [CrossRef] (In the text)
- Bell, J. F. 1989, Icarus, 78, 426 [NASA ADS] [CrossRef]
- Binzel, R. P. 1988, Icarus, 73, 303 [NASA ADS] [CrossRef]
- Binzel, R. P., Xu, S., & Bus, S. J. 1993, Icarus, 106, 608 [NASA ADS] [CrossRef]
- Boehnhardt, H., Schulz, R., Tozzi, G. P., Rauer, H., & Sekanina, Z. 1996, IAU Circ., 6495 (In the text)
- Boehnhardt, H., Sekanina, Z., Fiedler, A., et al. 1998, Highlights Astron., 11A, 23 (In the text)
- Bottke, W. F., Durda, D. D., Nesvorný, D., et al. 2005, Icarus, 179, 63 [NASA ADS] [CrossRef] (In the text)
- Brunetto, R., Vernazza, P., Marchi, S., et al. 2006, Icarus, 184, 327 [NASA ADS] [CrossRef]
- Carusi, A., & Valsecchi, G. B. 1982, A&A, 115, 327 [NASA ADS]
- Cheng, A. F. 2004, Icarus, 169, 357 [NASA ADS] [CrossRef] (In the text)
- Ciesla, F. J., & Cuzzi, J. N. 2006, Icarus, 181, 178 [NASA ADS] [CrossRef]
- Davis, D. R. 1999, Icarus, 140, 49 [NASA ADS] [CrossRef] (In the text)
- Dell'Oro, A., Paolicchi, P., Cellino, A., et al. 2001, Icarus, 153, 52 [NASA ADS] [CrossRef]
- Elst, E. W., Pizarro, O., Pollas, C., et al. 1996, IAUC, 6496 (In the text)
- de Elía, G. C., & Brunini, A. 2007, A&A, 466, 1159 [NASA ADS] [CrossRef] [EDP Sciences] (In the text)
- Farinella, P., & Davis, D. R. 1992, Icarus, 97, 111 [NASA ADS] [CrossRef]
- Farley, K. A., Vokrouhlický, D., Bottke, W. F., & Nesvorný, D. 2006, Nature, 439, 295 [NASA ADS] [CrossRef] (In the text)
- Fernández, J. A., Gallardo, T., & Brunini, A. 2002, Icarus, 159, 358 [NASA ADS] [CrossRef]
- Florczak, M., Lazzaro, D., Mothé-Diniz, T., Angeli, C. A., & Betzler, A. S. 1999, A&AS, 134, 463 [NASA ADS] [CrossRef] [EDP Sciences]
- Garradd, G. J., Sostero, G., Camilleri, P., et al. 2008, IAU Circ., 8969, 1 (In the text)
- Gilbert, A. M., & Wiegert, P. A. 2009, Icarus, 201, 714 [NASA ADS] [CrossRef] (In the text)
- Gradie, J., & Tedesco, E. 1982, Sci., 216, 1405 [NASA ADS] [CrossRef]
- Grossman, J. N., Alexander, C. M. O., Wang, J., & Brearley, A. J. 2000, Meteor. Planet. Sci., 35, 467 [NASA ADS]
- Hodapp, K. W., et al. 2004, Astron. Nachr., 325, 636 [NASA ADS] [CrossRef]
- Hook, I. M., Jørgensen, I., Allington-Smith, J. R., et al. 2004, PASP, 116, 425 [NASA ADS] [CrossRef] (In the text)
- Hsieh, H. H., & Jewitt, D. 2005, ApJ, 624, 1093 [NASA ADS] [CrossRef]
- Hsieh, H. H., & Jewitt, D. 2006a, IAU Symp., 229, 425 [NASA ADS] [CrossRef] (In the text)
- Hsieh, H. H., & Jewitt, D. 2006b, Science, 312, 561 [NASA ADS] [CrossRef] (In the text)
- Hsieh, H. H., Jewitt, D. C., & Fernández, Y. R. 2004, AJ, 127, 2997 [NASA ADS] [CrossRef] (In the text)
- Hsieh, H. H., Jewitt, D., & Pittichová, J. 2006, IAU Circ., 8704, 3
- Hsieh, H. H., Jewitt, D., & Fernández, Y. R. 2009a, ApJ, 694, L111 [NASA ADS] [CrossRef] (In the text)
- Hsieh, H. H., Jewitt, D., & Ishiguro, M. 2009b, AJ, 137, 157 [NASA ADS] [CrossRef]
- Ipatov, S. I., & Hahn, G. J. 1997, in Lunar and Planetary Science XXVIII (Houston: Lunar Planet. Inst.), 619
- Ivezic, Z., et al. 2002, AJ, 124, 2943 [NASA ADS] [CrossRef]
- Jedicke, R, Magnier, E. A., Kaiser, N. & Chambers, K. C. 2007, IAU Symp., 236, 341 [NASA ADS]
- Jewitt, D. 1996, Earth Moon and Planets, 72, 185 [NASA ADS] [CrossRef]
- Jewitt, D. C. 2002, AJ, 123, 1039 [NASA ADS] [CrossRef]
- Jewitt, D., Yang, B., & Haghighipour, N. 2009, AJ, 137, 4313 [NASA ADS] [CrossRef]
- Jones, T. D., Lebofsky, L. A., Lewis, J. S., & Marley, M. S. 1990, Icarus, 88, 172 [NASA ADS] [CrossRef]
- Jones, R. L., et al. 2009, Earth Moon and Planets, 27 (In the text)
- Keil, K. 2000, Planet. & Space Sci., 48, 887 [NASA ADS] [CrossRef]
- Kinoshita, D., Chen, C.-W., Lin, H.-C., et al. 2005, Chinese J. Astron. Astrophys., 5, 315 [NASA ADS] [CrossRef] (In the text)
- Knezevic, Z., & Milani, A. 2003, A&A, 403, 1165 [NASA ADS] [CrossRef] [EDP Sciences] (In the text)
- Landolt, A. U. 1992, AJ, 104, 340 [NASA ADS] [CrossRef] (In the text)
- Lebofsky, L. A., Feierberg, M. A., Tokunaga, A. T., Larson, H. P., & Johnson, J. R. 1981, Icarus, 48, 453 [NASA ADS] [CrossRef]
- Lecar, M., Podolak, M., Sasselov, D., & Chiang, E. 2006, ApJ, 640, 1115 [NASA ADS] [CrossRef]
- Levison, H. F., & Duncan, M. J. 1997, Icarus, 127, 13 [NASA ADS] [CrossRef] (In the text)
- Levison, H. F., Bottke, W. F., Gounelle, M., et al. 2009, Nature, 460, 364 [NASA ADS] [CrossRef]
- Luu, J. X., & Jewitt, D. C. 1990, AJ, 100, 913 [NASA ADS] [CrossRef] (In the text)
- Luu, J. X., & Jewitt, D. C. 1992, Icarus, 97, 276 [NASA ADS] [CrossRef]
- Marsden, B. G. 1996, IAU Circ., 6457
- Marzari, F., Davis, D., & Vanzani, V. 1995, Icarus, 113, 168 [NASA ADS] [CrossRef]
- Masiero, J., Jedicke, R., Durech, et al. 2009, Icarus, in press (In the text)
- McNaught, R. H., Hawkins, M. R. S., Marsden, B. G., et al. 1996, IAU Circ., 6473
- Miyazaki, S., et al. 2002, PASJ, 54, 833 [NASA ADS] (In the text)
- Mothé-Diniz, T., Roig, F., & Carvano, J. M. 2005, Icarus, 174, 54 [NASA ADS] [CrossRef]
- Nesvorný, D., Bottke, W. F., Jr., Dones, L., & Levison, H. F. 2002, Nature, 417, 720 [NASA ADS] [CrossRef]
- Nesvorný, D., Bottke, W. F., Levison, H. F., & Dones, L. 2003, ApJ, 591, 486 [NASA ADS] [CrossRef]
- Nesvorný, D., Enke, B. L., Bottke, W. F., et al. 2006, Icarus, 183, 296 [NASA ADS] [CrossRef]
- Nesvorný, D., Bottke, W. F., Vokrouhlický, D., et al. 2008, ApJ, 679, L143 [NASA ADS] [CrossRef] (In the text)
- O'Brien, D. P., Greenberg, R., & Richardson, J. E. 2006, Icarus, 183, 79 [NASA ADS] [CrossRef] (In the text)
- Offutt, W., Boehnhardt, H., & Marsden, B. G. 1997, MPEC 1997-T03 (In the text)
- Oke, J. B., et al. 1995, PASP, 107, 375 [NASA ADS] [CrossRef] (In the text)
- Read, M. T., Bressi, T. H., Gehrels, T., Scotti, J. V., & Christensen, E. J. 2005, IAU Circ., 8624, 1 (In the text)
- Rivkin, A. S., Howell, E. S., Vilas, F., & Lebofsky, L. A. 2002, in Asteroids III, ed. W. F. Bottke Jr., A. Cellino, P. Paolicchi, & R. P. Binzel (Tucson: University of Arizona Press), 235 (In the text)
- Roig, F., Nesvorný, D., Gil-Hutton, R., & Lazzaro, D. 2008, Icarus, 194, 125 [NASA ADS] [CrossRef] (In the text)
- Sasaki, T., et al. 2004, ApJ, 615, L161 [NASA ADS] [CrossRef]
- Sasselov, D. D., & Lecar, M. 2000, ApJ, 528, 995 [NASA ADS] [CrossRef]
- Schorghofer, N. 2008, ApJ, 682, 697 [NASA ADS] [CrossRef]
- Schwarz, H. E., et al. 2004, Proc. SPIE, 5492, 564 [NASA ADS] (In the text)
- Scott, E. R. D., & Krot, A. N. 2005, ApJ, 623, 571 [NASA ADS] [CrossRef]
- Sekanina, Z. 1990, AJ, 100, 1293 [NASA ADS] [CrossRef] (In the text)
- Sonnett, S., Jedicke, R., Masiero, J., & Kleyna, J. 2008, LPI Contributions, 1405, 8308 [NASA ADS] (In the text)
- Tanga, P., Cellino, A., Michel, P., et al. 1999, Icarus, 141, 65 [NASA ADS] [CrossRef]
- Tóth, I. 2000, A&A, 360, 375 [NASA ADS] (In the text)
- Tsiganis, K., Knezevic, Z., & Varvoglis, H. 2007, Icarus, 186, 484 [NASA ADS] [CrossRef]
- Vernazza, P., Mothé-Diniz, T., Barucci, M. A., et al. 2005, A&A, 436, 1113 [NASA ADS] [CrossRef] [EDP Sciences]
- Vernazza, P., Birlan, M., Rossi, A., et al. 2006, A&A, 460, 945 [NASA ADS] [CrossRef] [EDP Sciences]
- Veverka, J., Thomas, P., Harch, A., et al. 1999, Icarus, 140, 3 [NASA ADS] [CrossRef] (In the text)
- Zappalà, V., Cellino, A., Farinella, P., & Knezevic, Z. 1990, AJ, 100, 2030 [NASA ADS] [CrossRef]
- Zappalà, V., Cellino, A., Farinella, P., & Milani, A. 1994, AJ, 107, 772 [NASA ADS] [CrossRef]
- Zappalà, V., Bendjoya, P., Cellino, A., Farinella, P., & Froeschle, C. 1995, Icarus, 116, 291 [NASA ADS] [CrossRef] (In the text)
Online Material
Table 2: Observing run summary.
Footnotes
- ... belt
- Some of the data presented herein were obtained at the W. M. Keck Observatory, the Gemini Observatory, Subaru Telescope, National Optical Astronomy Observatory (NOAO) facilities at the Cerro Tololo Inter-American Observatory, and Lulin Observatory. Keck is operated as a scientific partnership among the California Institute of Technology, the University of California, and the National Aeronautics and Space Administration, and was made possible by the generous financial support of the W. M. Keck Foundation. Gemini is operated by the Association of Universities for Research in Astronomy, Inc., under a cooperative agreement with the National Science Foundation (NSF) on behalf of the Gemini partnership. Subaru is operated by the National Astronomical Observatory of Japan. NOAO and Cerro Tololo are operated by the Association of Universities for Research in Astronomy, Inc., under co-operative agreement with the NSF. Lulin is supported and was made possible by the National Science Council of Taiwan, the Ministry of Education of Taiwan, and National Central University.
- ...
- Table 3 is available in its entirety in electronic form at the CDS via anonymous ftp to cdsarc.u-strasbg.fr (130.79.128.5) or via http://cdsweb.u-strasbg.fr/cgi-bin/qcat?J/A+A/505/1297
- ...
- Table 2 is only available in electronic form at http://www.aanda.org
All Tables
Table 1: Telescope summary.
Table 3: Properties of objects imaged.*
Table 4: Survey summary.
Table 5: MBC properties.
Table 2: Observing run summary.
All Figures
![]() |
Figure 1: Distribution of observed objects by target category, where all Themis family members are also low-inclination outer-belt asteroids, and all Karin cluster members are also Koronis family members. Observations for which activity detection limits are fainter than 22.3 mag arcsec-1, 25.5 mag arcsec-1, and 26.0 mag arcsec-1 are shown in light gray, medium gray, and dark gray, respectively. |
Open with DEXTER | |
In the text |
![]() |
Figure 2: Semimajor axis versus eccentricity distribution of HTP survey targets, where proper orbital elements are plotted when available and osculating orbital elements are plotted for objects for which proper orbital elements are not available. Proper orbital elements for the background main-belt asteroid population are plotted using small black dots, while orbital elements for observed HTP targets are marked as labeled. Orbital elements of the currently-known MBCs are plotted for reference, although only 176P was observed as part of this survey. |
Open with DEXTER | |
In the text |
![]() |
Figure 3: Semimajor axis versus inclination distribution of HTP survey targets, where proper orbital elements are plotted when available and osculating orbital elements are plotted for objects for which proper orbital elements are not available. Proper orbital elements for the background main-belt asteroid population are plotted using small black dots, while orbital elements for observed HTP targets are marked as labeled. Orbital elements of the currently-known MBCs are plotted for reference, although only 176P was observed as part of this survey. |
Open with DEXTER | |
In the text |
![]() |
Figure 4:
Orbital and physical properties of surveyed targets, including
a) semimajor axis (a) in AU, b) eccentricity (e), c) inclination (i)
in degrees, and d) absolute magnitude ( |
Open with DEXTER | |
In the text |
![]() |
Figure 5:
Observational circumstances of surveyed targets, including
a) heliocentric distance (R) in AU, b) true anomaly ( |
Open with DEXTER | |
In the text |
Copyright ESO 2009
Current usage metrics show cumulative count of Article Views (full-text article views including HTML views, PDF and ePub downloads, according to the available data) and Abstracts Views on Vision4Press platform.
Data correspond to usage on the plateform after 2015. The current usage metrics is available 48-96 hours after online publication and is updated daily on week days.
Initial download of the metrics may take a while.