| Issue |
A&A
Volume 505, Number 3, October III 2009
|
|
|---|---|---|
| Page(s) | 1087 - 1098 | |
| Section | Extragalactic astronomy | |
| DOI | https://doi.org/10.1051/0004-6361/200912768 | |
| Published online | 18 August 2009 | |
Evolution of the cosmological mass density of neutral gas from Sloan Digital Sky Survey II - Data Release 7![[*]](/icons/foot_motif.png)
P. Noterdaeme1,2 - P. Petitjean2 - C. Ledoux3 - R. Srianand1
1 - Inter University Centre for Astronomy and Astrophysics, Post Bag 4, Ganesh Khind, Pune 411 007, India
2 -
UPMC, Université Paris 6, Institut d'Astrophysique de Paris, CNRS UMR 7095, 98bis bd Arago, 75014 Paris, France
3 -
European Southern Observatory, Alonso de Córdova 3107, Casilla 19001, Vitacura, Santiago 19, Chile
Received 26 June 2009 / Accepted 8 August 2009
Abstract
We present the results of a search for damped Lyman-
(DLA) systems in the Sloan Digital Sky Survey II
(SDSS), Data Release 7. We use a fully automatic procedure to identify DLAs and derive their column densities.
The procedure is checked against the results of previous searches for DLAs in SDSS.
We discuss the agreements and differences and show the robustness of our procedure.
For each system, we obtain an accurate measurement of the absorber's redshift,
the H I column density and the equivalent width of associated metal absorption lines, without any human
intervention. We find 1426 absorbers with
2.15<z<5.2 with
,
out of which 937
systems have
.
This is the largest DLA sample ever built, made available to the scientific community through
the electronic version of this paper.
In the course of the survey, we discovered the intervening DLA with highest H I column density known to date
with
.
This single system provides a strong constraint on the high-end of the
frequency distribution now measured with high accuracy.
We show that the presence of a DLA at the blue end of a QSO spectrum can lead to important
systematic errors and propose a method to avoid them.
This has important consequences for the measurement of the cosmological mass density of neutral gas
at
and therefore on our understanding of galaxy evolution over the past 10 billion
years.
We find a significant decrease of the cosmological mass density of neutral gas in DLAs,
,
from z=4 to z=2.2, consistent with the result of previous SDSS studies. However, and contrary
to other SDSS studies, we find that
is about twice the value at z=0.
This implies that
keeps decreasing at z<2.2.
Key words: cosmology: observations - quasars: absorption lines
1 Introduction
Despite accounting for only a small fraction of all the baryons in the universe (see Fukugita & Peebles 2004),
the neutral and molecular phases of the interstellar medium
are at any redshift the reservoir of gas from which stars form.
Therefore, determining the cosmological mass density of neutral gas (
)
and
its evolution in time is a fundamental step forward
towards understanding how galaxies form (Klypin et al. 1995).
In the local universe, neutral gas is best traced by the hyperfine 21-cm emission of atomic
hydrogen. Its observation allows for an accurate measurement of the neutral gas
spatial distribution in nearby galaxies and strongly constrains the column density frequency distribution (Zwaan et al. 2005b) and
(Zwaan et al. 2005a).
However, the limited sensitivity of current radio telescopes prevents
direct detections of H I emission beyond
(Catinella et al. 2008; Verheijen et al. 2007; Lah et al. 2007).
At high redshift, most of the neutral hydrogen is revealed by the damped Lyman-
(DLA) absorption systems detected in the spectra of background quasars. While most of the
gas is likely to be neutral for
(Viegas 1995), the conventional
definition for DLA systems is
(Wolfe et al. 1986). Not only
does this correspond to a convenient detectability limit in low-resolution spectra, but also
to a critical surface-density limit for star formation.
Since DLAs are easy to detect and the H I column densities can be measured accurately,
it is possible to measure the cosmological mass density of neutral gas at different redshifts,
independently of the exact nature of the absorbers, provided a sufficiently large number of
background quasars is observed. However, any bias affecting the selection of the quasars or the
determination of the redshift path-length probed by each line of sight can affect the measurements.
The Lick survey, the first systematic search for DLAs, led to the detection of 15 systems
at
along the line of sight to 68 quasars (Wolfe et al. 1986; Turnshek et al. 1989; Wolfe et al. 1993).
About one hundred quasars were subsequently surveyed for DLA absorptions by Lanzetta et al. (1991).
A number of surveys have followed (e.g. Péroux et al. 2003; Rao et al. 2006; Lanzetta et al. 1995; Storrie-Lombardi et al. 1996b; Ellison et al. 2001; Storrie-Lombardi & Wolfe 2000; Wolfe et al. 1995; Rao et al. 2005; Storrie-Lombardi et al. 1996a), each of them contributing significantly to increase the number of known DLAs and the redshift coverage.
On the other hand, surveys at low and intermediate redshifts are difficult because they require UV
observations and the number of confirmed systems is building up very slowly (Rao et al. 2006; Lanzetta et al. 1995; Rao et al. 2005).
In turn, Péroux et al. (2003,2001) aimed at the highest redshifts
by observing 66 quasars with
.
They included data from previous surveys in their analysis, which led to the largest DLA sample available at that time. They found no significant evolution of the cosmological mass density of neutral gas over the redshift range 1<z<4 and suggested that a significant part of this mass
is due to systems with neutral hydrogen column densities below the conventional DLA cutoff limit.
The most recent contribution to the actual census of DLAs
is a semi-automatic data mining of thousands of quasar spectra from the Sloan Digital Sky Survey
(Prochaska & Herbert-Fort 2004; Prochaska et al. 2005; Prochaska & Wolfe 2009) revealing more than 700 new DLAs thus
increasing by one order of magnitude the number of known DLAs at z>2.2. Key results include the indication that the
-frequency distribution deviates significantly from a single power-law. Its shape is found to be nearly invariant with redshift, while its normalisation does change with redshift. In their work, Prochaska & Wolfe found that the incidence of DLAs and the neutral gas mass density in DLAs (
)
decrease significantly with time between
and z=2.2. The mass density in DLAs at
is claimed to be consistent with that measured at z=0 by Zwaan et al. (2005b). However, this is difficult to reconcile with the result from Rao et al. (2006) that
stays constant over the range 1 < z < 2 and then decreases strongly to reach the value derived from 21 cm observations at z=0.
Rao et al.'s results using HST could be questioned because DLAs are not searched
directly but rather are selected on the basis of strong associated Mg II absorption. There is indeed an excess of high column densities in the HST sample compared to the SDSS sample (Rao et al. 2006) that could be real or induced by some selection bias. On the other hand, the SDSS measurement could be affected by some bias due to the limited signal-to-noise ratio at the blue
end of the spectra corresponding to
.
Motivated by the importance of these issues on our understanding of galaxy formation and evolution, and by the discrepancy in the results of different surveys,
we developed robust fully automatic procedures to search for, detect and analyse DLAs in the seventh and last data release (DR7) of QSO spectra from the Sloan Digital Sky Survey II. We present our methods and the algorithms used to analyse the data in Sects. 2 and 3, the statistical results on the neutral gas column density distribution and cosmic evolution of
in Sect. 4, with a special emphasis on discussing systematic effects. We conclude in Sect. 5.
2 Quasar sample and redshift path
The quasar sample is drawn from the Sloan Digital Sky Survey data release 7 (Abazajian et al. 2009) and includes every point-source spectroscopically confirmed as quasar (specClass = QSO or HIZ_QSO). Basically, SDSS quasars are pre-selected either upon their colours, avoiding the stellar locus (Newberg & Yanny 1997), or from matching the FIRST radio source catalogue (Becker et al. 1995; see Richards et al. 2002, for a full description of the quasar selection algorithm in SDSS) and then confirmed spectroscopically.
Given the blue limit of the SDSS spectrograph (3800 Å), we selected quasars whose emission redshift is larger than
,
with a confidence level higher than 0.9.
This gives 14 616 quasar spectra that were retrieved from the
SDSS website
.
2.1 Redshift path
The first step is to define the redshift range over which to search for DLAs along each line of sight.
As in most DLA surveys, we define the maximum redshift,
,
at
bluewards of
the QSO emission redshift.
This is mostly to avoid DLAs located in the vicinity of the quasar (e.g. Ellison et al. 2002).
For defining the minimum redshift, we note that
Lyman-limit systems (LLS) prohibit the detection of any absorption feature at wavelengths
shorter than the corresponding Lyman break (
).
To ensure the minimum redshift,
,
is set redwards of any Lyman break possibly present in
the spectrum, we run a 2000
-wide (29 pixels) sliding window starting from the blue end of the spectrum and define
as the centre of the first window where the median signal-to-noise
ratio exceeds 4.
This definition is very similar to that of Prochaska et al. (2005) and guaranties
robust detections of DLAs in spectra of minimum SNR.
3347 quasars with
were obviously not considered any further.
Note that the actual minimum redshift can be affected by the presence of a DLA located by chance at
the blue limit of the wavelength range. Given the importance of this effect, we postpone
its full discussion to Sect. 4.2.
2.2 Quality of the spectra
It is very difficult to control the search for DLAs in spectra of poor quality.
Therefore, the spectra of bad quality should be removed a priori from the sample.
For this, we must use an indicator of the spectral quality
in the redshift range to be searched for, [
], that does not
depend upon the presence of a DLA absorption, otherwise we may introduce a bias
against DLA-bearing lines of sight.
We estimated the quality of the spectra - independently of the presence of DLAs -
by measuring the median continuum-to-noise ratio in the redshift range [
]
defined above. The continuum over the Lyman-
forest (i.e. the unabsorbed quasar flux) is estimated by fitting a power law to the quasar spectrum, including the wavelength range 1215.67
in the blue of the Ly-
emission and regions free from emission lines in the red. We ignore the range 5575-5585 Å which is affected by the presence of dead pixels in the CCD. Deviant pixels, mainly due to Ly-
absorption lines in the blue and metal absorption lines in the red are first ignored by using Savitsky-Golay filtering. Then we iteratively remove deviant pixels by decreasing their weight at each iteration. This procedure converges very quickly. A double Gaussian is then fitted on top of the Ly-
+N V emission lines to reproduce the increased flux close to
.
The noise is taken from the error array.
Quasar spectra with median continuum-to-noise ratio lower than four were not considered any further. We are then left with 9597 quasar spectra.
2.3 Broad absorption line (BAL) quasars
Broad absorption lines from gas associated with the quasar can possibly be confused with DLAs. Our purpose here is not to recognise all BAL quasars but rather to automatically select the quasars without strong BAL outflows in order to avoid contamination of the DLA sample by broad lines, i.e., O VI, H I and N V.
Therefore outflows were automatically identified by searching for wide absorptions (extended over a few thousand kilometres per second, see Weymann et al. 1991) close to the quasar Si IV and/or C IV emission lines.
For this, we computed the normalised spectrum
in the region
as the ratio of the observed spectrum
to the continuum derived following the procedure by Gibson et al. (2009).
The quasar continuum was modelled by the product of the SDSS composite spectrum
(Vanden Berk et al. 2001) with a third order polynomial. This allows to reproduce well the
combination of reddening and intrinsic shape of the quasar spectrum, as well as
the overall shape of the emission lines with a very limited number of parameters.
However, the exact shape of the Si IV and C IV emission lines is accurately reproduced only when
a Gaussian is added at the position of the lines.
We also adjusted the emission redshift by cross-correlating the reddened composite spectrum with
the observed one in the red wings of the Si IV and C IV emission lines, the blue wings
being possibly affected by BALs.
An example of continuum fitting is shown in Fig. 1.
![]() |
Figure 1: Spectrum of the quasar SDSS J104109.86+001051.76 featuring broad absorption lines. The fit to the quasar continuum is shown by the thick line. The thin line represents a decrement of 20% in the quasar flux. Pixels satisfying the BAL criteria inside the running windows (see text) are marked with blue dots. |
| Open with DEXTER | |
We excluded the quasars whenever
is continuously less than 0.8
over 1000
,
or
over at least 75% of a 3000
wide window,
running between 1350 and 1550 Å in the quasar's rest frame. With this definition, we are
most sensitive to broad absorption lines with balnicity indexes (BI) larger than 1000
.
The balnicity index (BI) characterises the strength of a BAL (see e.g. Gibson et al. 2009).
Note that the core of a DLA absorption will be larger than this value, so that
possible broad H I, O VI and/or N V lines from systems with BI <1000
have little
chance to mimic a DLA. The procedure excludes 1258 BAL quasars among the 9597 quasars left after the previous steps, i.e. after checking for adequate signal-to-noise ratio and redshift range available along the line of sight.
We have checked this automatic procedure by comparing our list of rejected quasars with the catalogue of SDSS BAL quasars from Trump et al. (2006). Figure 2 shows the balnicity index distribution of all quasars in Trump et al. (2006) (unfilled histogram) and that of the quasars our procedure excludes (red shaded histogram), the difference is shown as a blue shaded histogram. It can be seen that for BI > 500 km s-1 our procedure misses very few BAL QSOs. We have checked that the missed BAL QSOs have no strong O VI, H I or N V absorption line that could mimic a DLA.
![]() |
Figure 2: Balnicity index (BI) distribution of the quasars in common with the BAL catalogue of Trump et al. (2006) (solid black line histogram). The BI measurements are from these authors. The red right-dashed histogram corresponds to the quasars identified as BAL by our procedure, while the blue left-dashed histogram represents the distribution of the Trump et al. quasars that are not removed by our procedure. Very few BAL quasars with BI > 500 km s-1 are missed by our automatic procedure. |
| Open with DEXTER | |
We are thus left with the spectra of 8339 QSOs, without strong BALs and with sufficient signal-to-noise ratio
to search for DLA systems. We call this sample
.
Note that the study of Prochaska & Wolfe (2009, hereafter PW09) using DR5 is based on 7482 QSOs.
3 Detection of DLAs and N(H I) measurements
DLA candidates are generally identified in low-resolution spectra by their large
Ly-
equivalent widths (
Å) and are then confirmed by higher
spectral resolution observations (e.g. Wolfe et al. 1995).
However the resolving power of SDSS spectra (
)
is high enough to detect the wings of DLA lines. Therefore, it is possible
not only to identify these lines but also to measure the corresponding H I column
densities from Voigt-profile fitting.
Note that, because R is constant along the spectrum,
the pixel size is constant in velocity-space and DLA profiles of a given
are equivalently
sampled by the same number of pixels, regardless of their redshift.
The number of candidates in the SDSS is so large that the detection techniques must be automatised. Prochaska & Herbert-Fort (2004) searched for DLA candidates in SDSS spectra by running a narrow window along the spectra to identify the core of the DLA trough as a region where the signal-to-noise ratio is significantly lower than the characteristic SNR in the vicinity. Candidates were then checked by eye and the H I column density measured by Voigt-profile fitting interactively.
We develop here a novel approach which makes use of all the information available in the DLA profile and, most importantly, is fully automatic.
3.1 Search for strong absorptions
The technique is based on a Spearman correlation analysis.
At each pixel i in the spectrum, corresponding to a given redshift for Lyman-
,
synthetic Voigt profiles corresponding to different column densities (
)
differing by 0.1 dex are successively correlated with the observed spectrum over a
velocity interval [
,
]
corresponding to a decrement larger
than 20% in the Voigt profile.
Each redshift (
)
for which the Spearman's correlation
coefficient is larger than 0.5 with high significance (>
)
is recorded. We then add the
criterion that the area between the normalised
(
)
and synthetic (
)
profiles is less than the normalised integrated error
array (
)
on the interval [
,
]:
![]() |
(1) |
where
The (
)
pair with highest correlation for each DLA candidate is then
recorded. This provides a list of DLA candidates with first guesses of
and
.
3.2 Fits of Lyman-
and metal lines
For each candidate, we perform, in the vicinity of the candidate redshift zi,
a cross-correlation of the observed spectrum with an absorption template
representing the most prominent low-ionisation metal absorption lines
(C II
,
Si II
1526, Al II
1670,
Fe II
,
Mg II
,
2803).
The template is a variant of a binary mask (similar to those used to derive stellar
radial velocities, see e.g. Baranne et al. 1996), where each absorption line is represented by a
Gaussian with a width matching the SDSS spectral
resolution (see top panel of Fig. 3).
We restrict the mask to the metal lines expected in the red of the QSO Ly-
emission line to avoid contamination by Ly-
forest lines. We then obtain a sharp cross-correlation function
(CCF, Fig. 3) which is itself fitted with a Gaussian profile to derive
a measurement of the redshift with an accuracy better than 10-3.
Voigt profiles are fitted to each metal line after determination of the local continuum,
providing a measure of their equivalent widths.
In case of non-detection of low-ionisation lines, the same procedure is repeated to detect
C IV and Si IV absorption lines.
Finally, when no metal absorption line is detected automatically, we keep the redshift
obtained from the best correlation with the synthetic Ly-
profile (
,
see Sect. 3.1).
A Voigt-profile fit of the DLA absorption is then performed to derive an
accurate measurement of
(bottom-right panel of Fig. 3), taking as initial
value the guess on
from the best synthetic profile correlation and fixing the redshift
to the value derived as described above. Absorption lines from the Ly-
forest are ignored
iteratively by rejecting deviant pixels with a smaller tolerance at each iteration.
![]() |
Figure 3:
Example of the SDSS spectrum of J 152529.18+292813.18 with a DLA line at
|
| Open with DEXTER | |
For each system, we obtain an accurate measurement of the absorber's redshift,
the H I column density and the equivalent width of associated metal absorption lines, without any human intervention. We found 1426 absorbers with
,
among which 937 have
.
This is the largest DLA sample ever built (Table 3, in the electronic version only). The distributions of H I column densities and redshifts for the whole sample is shown on Fig. 4.
![]() |
Figure 4:
Top: histogram of H I column densities for the 1426 absorbers automatically detected in SDSS DR7. The vertical dotted line marks the traditional DLA threshold value of
|
| Open with DEXTER | |
3.3 Accuracy of the measurements and systematic errors
Direct comparisons can be performed between the sample of PW09, derived from SDSS Data Release 5, and the corresponding sample from our survey. Indeed, one would like to assess the completeness of each sample and the reliability of the corresponding detection procedures.
For this, we consider only systems that are detected along lines of sight covered by both surveys.
We compare the lists of systems with
from this work and from PW09.
We check whether
systems from a given survey are detected in the other survey,
whatever the column density estimated in the second survey is. The limit on
is chosen high enough so that no system is
excluded because of errors. In addition, these systems are the most important for the analysis because, as we will show, they contribute to more than one half of
.
Only one such DLA (at
towards J130259.60+433504.5) among 76 in the
PW09 list has been missed by our procedure, due to spurious lines
leading to a wrong CCF redshift measurement.
This means that our completeness at
is about
.
In turn, we discovered 6
DLAs, with redshifts in the range
z=2.3-3.8, that are not in the PW09 list when they should be since the
corresponding lines of sight have been considered and the redshift of the DLA covered. These are
J100325.13+325307.0 (
= 2.330); J205509.49- 071748.6 (
= 3.553); J093251.00+ 090733.9 (
= 2.342), J133042.52-011927.5 (
= 2.881); J092914.49+282529.1 (
= 2.314) and J151037.18+340220.6 (
= 2.323). Associated metal lines are detected for five of them.
The completeness at smaller
is more difficult to estimate because of the uncertainty of
individual measurements. We compared however our detections to that of PW09 and found that we recover more than 96% of their systems with most of the DLAs missed having
.
We also checked visually one hundred randomly-selected DLAs and found that about 3% of the systems in our sample are false-positive detections (1% at z<3.2 and 7% at z>3.2). The completeness of both samples (PW09 and ours) is sufficiently high to have little influence on the determination of the cosmological mass density of neutral gas.
Next, we compare the
)
measurements for the same systems in the two samples. Figure 5 shows the distribution of the difference in the DLA column densities,
,
for the whole sample
(black), z<3 (blue), 3<z<3.5 (orange) and z>3.5 (red). These distributions are corrected
from the truncating effect at
,
i.e. from the fact that some systems may have
in one sample but
in the other sample.
Only systems for which the opposite of
is also allowed are considered.
The uncorrected distribution for the whole sample is shown as a dotted line.
The dispersion in the whole sample is about 0.20 dex and matches the typical error on individual
measurements. There is a small systematic difference that increases with redshift from less than 0.03 dex at z<3 to 0.05 dex at z>3.5, which is likely due to the increasingly crowded Ly-
forest at higher redshift.
![]() |
Figure 5:
Distribution of the difference in the column density measurements from the two surveys,
|
| Open with DEXTER | |
4 Results
In this section, we present the statistical results from our DLA survey. Here, we use the standard definitions for the different statistical quantities.
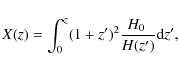
The absorption distance X is defined as
![]() |
(2) |
where H0 is the Hubble constant and
![]() |
(3) |
where
![]() |
(4) |
where the sum is calculated for systems with
![]() |
Figure 6:
Redshift sensitivity function
|
| Open with DEXTER | |
4.1 Sensitivity function
We present in Fig. 6 the sensitivity functions
,
i.e. the number of lines of sight covering a given redshift, for the different DLA surveys discussed in this paper.
The redshift sensitivity of SDSS is significantly
larger than that of the largest QSO compilation prior to SDSS (Péroux et al. 2003) at any redshift larger than 2.2. The higher sensitivity (![]()
)
of our SDSS sample compared to that of PW09 over the redshift range
reflects the increase in the number of observed quasars between the two data releases (DR5 and DR7). At z>3.5, the
sensitivity of the PW09 quasar sample is higher than that presented here.
This is due to (i) the choice by these authors to exclude only 3000 km s-1 from the emission
redshift of the quasar whereas we exclude 5000 km s-1 to avoid the proximity effect,
(ii) the slightly strongest constraint on SNR we impose when including quasar spectra in our survey, (iii) the inclusion of quasars with some BAL activity in the PW09 sample and (iv) the fact that we restrict our quasar sample to those with confidence on the redshift measurement higher than 0.9.
Very few quasars are detected in SDSS at z>4 and the determination of
at these redshifts would benefit of dedicated surveys (see Guimarães et al. 2009).
We note that among the ten
quasars in the PW09 sample,
J 165902.12+270935.1 was spectroscopically mis-classified as ``galaxy'' instead of ``QSO'' by the SDSS while the redshift confidence for J 075618.13+410408.5 is smaller than 0.9. These lines of sight were therefore not included in our quasar sample (see Sect. 2). Furthermore, five of these quasars have been rejected from our statistical sample, either because of BAL activity (Sect. 2.3) or because of a low mean signal-to-noise ratio of the spectrum (Sect. 2.2).
| |
Figure 7:
Example of the effect of the presence of a DLA on the determination of
|
| Open with DEXTER | |
4.2 Importance of systematic effects
With the large number of quasar spectra available in SDSS, we reach a level
at which systematic effects become more important than statistical errors.
In particular, the statistical results of the survey are very sensitive to the
determination of the total absorption distance
.
The presence of a DLA absorption line significantly attenuates the quasar flux and decreases
the signal-to-noise ratio of the spectrum.
Therefore, if a DLA line is present at the blue end of the spectrum,
the minimum redshift considered along the line of sight prior to any search
for DLA absorption can be overestimated. The corresponding redshift range is rejected
a priori because of the presence of the DLA.
The immediate consequence is that the presence of a strong absorption can preclude
its inclusion in the statistical sample (see Fig. 7).
We expect this effect to be important for large
,
when
is close
to the blue-end of the spectrum (at 3800 Å), and when the signal-to-noise ratio of
the spectrum is low. Note that the bias we describe here can affect all DLA surveys.
In order to assess the severity of this effect, we artificially added DLA absorptions to the spectra of quasars from sample
.
Column densities are in the range
and redshifts in the range
.
We applied our automatic procedure to define
and
compare the minimum redshift obtained along each line of sight with
(
)
and without (
)
the DLA.
For each set of values (
,
), we calculated
the fraction of DLAs that are missed because of their influence on the redshift path
(
while
). This fraction indicates the severity of the bias. The result of this exercise is shown in Fig. 8. It is clear from this figure that
there is indeed a severe bias against the presence of DLAs at the blue end of the spectra.
This bias increases, as expected, with decreasing redshift and increasing column density.
![]() |
Figure 8: Result of a simulation to estimate the severity of the bias (defined as the percentage of DLAs missed; see text) due to the incorrect pathlength determination resulting from the presence of a DLA at the blue end of the spectrum as a function of the redshift and neutral hydrogen column density of the absorber. The colour scale is given at the top of the figure. Additionally, the dotted, dashed-dotted and dashed lines represent the 5, 10 and 15% contours, respectively. |
| Open with DEXTER | |
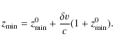
We propose to circumvent this problem by adding a systematic velocity shift
to
defining
as:
We therefore a priori exclude part of the spectrum at the blue end. This decreases the total pathlength of the survey but guarantees, for a sufficiently large
Note that in their survey, Prochaska et al. (2005) are aware of this effect and apply a
shift of
which they claim is sufficient to avoid the bias considered as minor. They also restrict
their analysis to z>2.2 so that the very blue end of the spectrum is not considered.
However the wings of a DLA can significantly lower the signal-to-noise ratio over a velocity
range as large as several thousands kilometres per second. For example, a
DLA lowers the SNR by more than 10% (and obviously up to 100% in the core of the profile) over a velocity range of about 10 000
.
We therefore expect the bias to be corrected only for large values of
.
We performed the same test as described above with
and 10 000
.
The different
panels of Fig. 9 give the results. It is clear that the bias is
still quite strong for
and almost vanishes for
.
We will see in the following that the systems with
contribute
most to the total cosmological mass density of neutral gas.
The residual bias must therefore be well below 10% for this kind of column densities.
This is the case with
:
only systems with very large column densities
(
)
and redshifts below 2.3 have >20% probability to be missed.
As we expect about one such system in the whole SDSS survey and at any redshift, the remaining
bias is well below the Poissonian statistical error. Applying a
shift larger than
would therefore be useless and would unnecessarily decrease the total pathlength of
the survey (see Fig. 6).
In order to verify that the bias indeed affects the results from PW09, we searched their quasar sample for DLAs at z=2.2-2.4 that their procedure missed. To flag these systems, we could have searched for strong Mg II absorption lines that have been shown to be good tracers of DLAs (e.g. Rao & Turnshek 2000), but the corresponding absorption lines are unfortunately redshifted either beyond the SDSS spectrum (z>2.28) or at its very red end, where the quality of the spectra becomes very poor. We therefore automatically searched for strong Fe II absorption lines instead. Out of 57 systems detected this way, 32 are in Prochaska & Wolfe's statistical sample and 25 have been missed because the minimum redshift is set redwards of the DLA due to the decreased signal-to-noise ratio. Few examples of such DLAs are given in Fig. 10.
![]() |
Figure 9:
Same as Fig. 8 when applying different corrections. From left to right and top to bottom:
|
| Open with DEXTER | |
![]() |
Figure 10:
Spectra of four DLAs with
|
| Open with DEXTER | |
In the following, we will apply the
cut to avoid the bias (850 bona-fide DLAs are
then left in the statistical sample) and correct our statistical results for the
reliability of our DLA sample (![]()
at z>3.2). Note that,
while the first correction will have important consequences,
the second correction only has a minor effect on the
results.
![]() |
Figure 11:
|
| Open with DEXTER | |
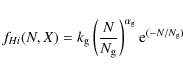
4.3 Frequency distribution
In Fig. 11, we present the
frequency distribution function
of the whole sample. Vertical error bars are representative of Poissonian statistical errors while horizontal bars represent the
-binning (by steps of 0.1 dex). We find that
a double power-law (e.g. PW09),
![]() |
(6) |
or a
![]() |
(7) |
fit the data equally well (
| |
Figure 12:
Damped Lyman- |
| Open with DEXTER | |
Table 1:
Parameters of the fits to the
frequency distribution (see Fig. 11).
The slope of the distribution is found to be
for
,
which is close to what is expected from models of photo-ionised gas in hydrostatic equilibrium (e.g. Petitjean et al. 1992).
This is flatter than what is found by Prochaska et al. (2005),
for their whole sample
(see also PW09). Péroux et al. (2005) already mentioned that the slope of the frequency
distribution at
around the conventional DLA threshold is flatter than -2.
The slope of
at large
,
,
implies that systems with very large
column density are very rare. We find a slope much flatter than PW09 (
).
This is probably due to our definite detection of the first DLA with
,
at
towards SDSS J081634+144612. We obtained high spectral resolution data for this quasar with UVES in April 2008.
The column density, measured from the UVES spectrum, is
(see Fig. 12)
while the column density derived automatically from the SDSS spectrum is
.
This is the absorber with the largest column density observed to date along a quasar line of sight.
Such a column density is similar to that of DLAs detected at the redshift of Gamma-Ray Bursts
(e.g. Ledoux et al. 2009; Jakobsson et al. 2006; Vreeswijk et al. 2004).
Detailed analysis of this system will be presented in a future paper. Note that from the fit of the frequency
distribution, no more than one system like this one is expected in the whole SDSS survey.
The shape of the
frequency distribution at high column densities suggests
that there is no abrupt transition between neutral hydrogen and molecular
hydrogen in diffuse clouds as advocated by (Schaye 2001). This is supported by the results of
Zwaan & Prochaska (2006) who used CO emission maps to show that the H2 distribution
function is a continuous extension of
for high column densities.
In addition, there is only a small tendency for increasing H2 molecular fraction with larger
column density (Ledoux et al. 2003; Noterdaeme et al. 2008a).
4.4 Convergence of
and the contribution of sub-damped
Lyman-
systems
One major issue when measuring the cosmological mass density of neutral gas in DLAs
is the convergence of
at large
values.
An artificial cut at large
was frequently introduced to prevent the
integration of a single power-law to diverge. This was justified by
small number statistics at the highest column densities.
The SDSS allowed PW09 to observe for the first
time that the slope of
is steeper than -2 for
,
directly demonstrating that
converges.
![]() |
Figure 13:
Cumulative cosmological mass density of neutral gas in DLAs as a function of maximum column density. The apparent flattening of the curve at
|
| Open with DEXTER | |
Figure 13 presents the cumulative cosmological mass density of neutral gas in DLAs
as a function of the maximum H I column density from data in our study and from the
different fits to the frequency distribution.
It is apparent that
converges by
.
A change of inflexion in the frequency distribution is apparent at
.
This is best seen in Fig. 14 which gives
the slope of the above quantity as a function of
.
In other words, the area below the
curve represents the contribution of the different intervals of
to the total H I mass density. It is apparent that systems with very large (resp. low) column densities contribute little to the census of neutral gas because of their paucity (resp. low column density).
The most important contribution comes from DLAs with
.
A simple extrapolation of the
-function fit to column densities smaller than
shows that sub-DLAs, with
,
contribute about 20%
of the mass density of neutral hydrogen at
.
Extrapolating the double
power-law fit gives a sub-DLA contribution to
of about 30%.
Although both the power law and the Gamma function are good fits to
,
it can be seen in Figs. 11 and 14 that the slope of
could be smaller at the low end (
)
(Guimarães et al. 2009; Péroux et al. 2005). The gamma function could best reproduce this regime.
Furthermore, the double power-law produces a spike seen at
,
that
is not present in the data. This is due to the arbitrary and somewhat unphysical discontinuous
change in the slope of the double power-law fit.
It is interesting to note here that the contribution of the different column densities
to
at high redshift
is very similar to what is observed in the local universe (Zwaan et al. 2005b).
This indicates that the H I surface density profile of the neutral phase at high-z is not
significantly different from that observed at z=0.
![]() |
Figure 14:
Cosmological mass density of neutral gas contained in systems of different column densities. The dashed-green and red curves correspond respectively to
the Double power-law and |
| Open with DEXTER | |
4.5 Evolution with cosmic time
In this section, we study the evolution over cosmic time of the cosmological mass
density of neutral gas,
.
This evolution is the result of several important
processes involved in galaxy formation
including the consumption of gas during star formation activity but also
the consequences of energy releases during
the hierarchical building up of systems from smaller blocks (e.g. Ledoux et al. 1998; Haehnelt et al. 1998),
or the ejection of gas from the central parts of massive halos
into the intergalactic medium through galactic winds (Fall & Pei 1993).
Storrie-Lombardi & Wolfe (2000) and Péroux et al. (2003) claimed an increase of
when z decreases
from
to
.
This is due to the lack in their sample of high column density DLAs at high redshift.
From their SDSS DLA search, Prochaska et al. (2005) observe on the contrary a significant decrease
of
between
and
.
They interpret this as the result of neutral gas
consumption by star formation activity and/or the ejection of gas into the intergalactic medium. The value they
derive for
at z=2.2 is almost equal to that at z=0, indicating very little or no evolution
of the cosmological mass density of neutral gas over the past ten billion years (see PW09).
We argue here that the differences between these results are artificial and can be reconciled
within errors at least up to
.
On the one hand, the redshift pathlength probed along SDSS lines of sight should be restricted so
that the edge bias described in Sect. 4.2 is avoided.
We applied to the PW09 sample the same velocity cut as
for our sample and find, as expected, that both samples yield similar results
(see Fig. 15).
The differences between the measurements
from the two SDSS samples are within statistical error bars and are mainly
due to slightly higher completeness and larger number statistics of our sample.
The immediate implication of the edge-effect correction is that it cannot
be claimed that
does not evolve from z=2.2 to z=0.
![]() |
Figure 15:
The cosmological mass density of neutral gas in DLAs,
|
| Open with DEXTER | |
On the other hand, we also note that a decrease of
with decreasing
redshift cannot be excluded from the sample of Péroux et al. (2003). Indeed, a different binning of
their data shows that they are actually consistent with
a decrease of
over the redshift range
-2.2 (see Fig. 15).
In addition, while the sample from Péroux et al. is large enough to
obtain a reasonable measurement of
at high redshift, it is probably too small to infer strong conclusions on its evolution. Figure 16 illustrates the effect of the sample size on the determination of
.
We construct randomly selected SDSS QSO sub-samples of increasing total path length,
,
and calculate the ratio
of
values from the subsample and the whole SDSS sample.
Note that the survey used in the present paper has
whereas Prochaska & Wolfe's
survey has
(applying the new definition of
)
and Péroux et al.'s survey has
.
![]() |
Figure 16:
Statistical uncertainty on the determination of
|
| Open with DEXTER | |
All this reconciles the SDSS measurements with the results from Péroux et al.
(see Fig. 17). It can be seen also that the points at
are consistent with
those at lower redshift given their large error bars (Rao et al. 2006). Note also that the value
we derive at
is consistent with that obtained from the Hamburg-ESO survey
(
,
A. Smette, private communication; Smette et al. 2005).
At redshifts above z=3.2, there is still a discrepancy between the results from SDSS and that
from previous surveys (see Fig. 15). As pointed out by Prochaska et al. (2005), the size of
the samples prior to SDSS were insufficient to detect the convergence of
at large
.
Therefore, the inclusion of a single large column density system in these samples could change the results on
significantly. In turn, the low spectral resolution of SDSS combined with a dense Ly-
forest could lead to slightly overestimate the column densities of high-z DLAs.
The measurement of the cosmological mass density of neutral gas at intermediate and low redshifts is a difficult task. The little incidence of DLAs and the need for observations from space have lead to samples of limited sizes. Rao & Turnshek (2000) and Rao et al. (2006) used a novel technique to measure
at 0.1<z<1.6. They searched for the Ly-
absorption associated to Mg II systems, which statistics is very large at those redshifts. The corresponding values of
are high and therefore have been extensively discussed in the literature.
In particular, PW09 concluded that the values obtained at
by Rao et al. (2006) are difficult to reconcile with the value they obtained at
and suffer
from a statistical fluke or an observational bias. After correcting for the edge bias we discussed
earlier it can be seen that the SDSS results are no more incompatible with the Rao et al. (2006) results. However, it is still possible that the high values of
from Rao et al. are overestimated due to systematics associated with the selection of low and intermediate redshift DLAs directly from strong Mg II absorption (see Péroux et al. 2004; Dessauges-Zavadsky et al. 2009).
Only a large blind survey for DLAs at
could solve this issue.
Note also that
,
obtained from the sample of Péroux et al. (2003), is almost equal to
,
obtained here from SDSS-DR7. This could indicate a flattening of
at
.
Large intermediate-redshift optical and radio surveys are therefore still required to constrain the evolution of
from z=2 to z=0
(see discussion in Gupta et al. 2009).
5 Conclusion
![]() |
Figure 17:
Cosmological mass density of neutral gas in DLAs,
|
| Open with DEXTER | |
We have demonstrated the feasibility and the robustness of a fully automatic search of SDSS-DR7 for DLA systems based on the identification of DLA profiles by correlation analysis.
This led to the identification of about one thousand DLAs, representing the largest DLA
database to date. We tested the accuracy of the
measurements and quantified the high level of completeness and reliability of the detections.
In agreement with previous studies (Péroux et al. 2003; Prochaska et al. 2005; Prochaska & Wolfe 2009), we show that a single power-law is a poor description of the
-frequency distribution at
.
A double power-law or a
function give better fits. The finding of one
DLA, confirmed by UVES high spectral resolution observations, shows that the slope of
at
is -3.5.
The convergence of
for large
indicates that the cosmological mass density of
neutral gas at
-5 is dominated by bona-fide DLA
systems. The relative contribution of DLAs reaches its maximum around
,
similar to what is observed in the local universe. The paucity of very high-column density DLAs implies that they contribute for only a small fraction to the cosmological mass density of neutral gas. On the other hand, an extrapolation of
at
suggests that sub-DLA systems contribute to about one fifth of the neutral hydrogen at high redshift, in agreement with the results of Péroux et al. (2005).
Table 2: The cosmological mass density of neutral gas in DLAs from this work (SDSS-DR7).
We identified an important observational bias due to an edge effect
and proposed a method to avoid it. Such a bias could also partly explain the higher
values of
found by Prochaska et al. (2005) when selecting only bright quasars, as
the bias discussed here preferentially affects faint quasars with lower signal-to-noise ratios.
Indeed, when not correcting for the bias, we find 10% higher
from a bright QSO
sub-sample (i<19.5) compared to a faint QSO sub-sample (
)
while this difference is only 5% when the bias is avoided.
We derive the evolution with time of the cosmological mass density of neutral gas in Fig. 17 and summarise our measurements in Table 2.
We observe a decrease with time of the cosmological mass density of neutral gas between
and
,
confirming the results from
Prochaska et al. (2005; also Prochaska & Wolfe 2009). However, we argue that the value at
is significantly higher (by up to a factor of two) than the value at z=0, indicating that
keeps evolving at z<2.2. Interestingly, models of the evolution of the reservoir of neutral gas (Hopkins et al. 2008)
also predict a value of
at
higher than that at z=0.
The small number statistics at high redshift and the insufficient spectral resolution of SDSS spectra do not allow for a strong conclusion on the neutral gas content of the universe at
-5. Further surveys are therefore required at z>4 (see e.g. Guimarães et al. 2009).
We measure
.
This implies that neutral gas accounts for
only 2% of the baryons at high redshift, according to the latest cosmological parameters from WMAP (Komatsu et al. 2009). This implies that most of the baryons are in the form of ionised gas in the intergalactic medium (e.g. Petitjean et al. 1993).
The amount of baryons locked up into stars at z=0 (
;
Cole et al. 2001) is about twice the amount of neutral gas contained in high redshift DLAs. This implies that the DLA phase must be replenished in gas before the present epoch (see also PW09) at a rate similar to that of its consumption (Hopkins et al. 2008). This is also required to explain the properties of z=2-3 Lyman-break galaxies (Erb 2008). The replenishment of H I gas could take place through the accretion of matter from the intergalactic medium and/or recombination of ionised gas in the walls of supershells. Several observational evidences of cold gas accretion at high redshift have been published recently (e.g. Noterdaeme et al. 2008b; Dijkstra et al. 2006; Nilsson et al. 2006). On the other hand, supershells provide a natural explanation to the proportionality between star formation and replenishment rate (Hopkins et al. 2008). The results presented here provide strong constraints for numerical modelling of hierarchical evolution of galaxies (e.g. Pontzen et al. 2008). Note that galactic winds are likely to play an important role in the evolution of the cosmological mass density of neutral gas (Tescari et al. 2009).
Finally, it has long been discussed whether the optically selected quasar samples are affected by extinction due to the presence of dust on the line of sight (Ellison et al. 2001; Smette et al. 2005; Boissé et al. 1998). We recently presented direct evidence that lines of sight towards colour-selected quasars are biased against the detection of diffuse molecular clouds (Noterdaeme et al. 2009). Pontzen & Pettini (2009) estimated that dust-biasing could lead to underestimate the metal budget by about 50%. Although it has been claimed that the global census of neutral gas should be little affected by dust-biasing (Ellison et al. 2008; Trenti & Stiavelli 2006), it will be interesting to revisit this issue.
We thank the anonymous referee for useful suggestions and comments.
We thank Jason Prochaska for proving us with his results on SDSS-DR5 prior to publication.
We are also grateful to Alain Smette for communicating us his measurements on the
Hamburg-ESO survey.
P.N. acknowledges support from the french Ministry of Foreign and European Affairs.
We acknowledge the tremendous effort put forth by the Sloan Digital Sky Survey team
to produce and release the SDSS survey. Funding for the SDSS and SDSS-II has been
provided by the Alfred P. Sloan Foundation, the Participating Institutions, the
National Science Foundation, the US Department of Energy, the National Aeronautics
and Space Administration, the Japanese Monbukagakusho, the Max Planck Society, and
the Higher Education Funding Council for England. The SDSS Web Site is http://www.sdss.org/.
The SDSS is managed by the Astrophysical Research Consortium for the Participating Institutions.
The Participating Institutions are the American Museum of Natural History, Astrophysical
Institute Potsdam, University of Basel, University of Cambridge, Case Western Reserve
University, University of Chicago, Drexel University, Fermilab, the Institute for Advanced
Study, the Japan Participation Group, Johns Hopkins University, the Joint Institute for
Nuclear Astrophysics, the Kavli Institute for Particle Astrophysics and Cosmology, the
Korean Scientist Group, the Chinese Academy of Sciences (LAMOST), Los Alamos National
Laboratory, the Max-Planck-Institute for Astronomy (MPIA), the Max-Planck-Institute for
Astrophysics (MPA), New Mexico State University, Ohio State University, University of
Pittsburgh, University of Portsmouth, Princeton University, the United States Naval
Observatory, and the University of Washington.
References
Footnotes
- ... 7
- Catalog is only available in electronic form at the CDS via anonymous ftp to cdsarc.u-strasbg.fr (130.79.128.5) or via http://cdsweb.u-strasbg.fr/cgi-bin/qcat?J/A+A/505/1087
- ... website
- http://www.sdss.org
All Tables
Table 1:
Parameters of the fits to the
frequency distribution (see Fig. 11).
Table 2: The cosmological mass density of neutral gas in DLAs from this work (SDSS-DR7).
All Figures
![]() |
Figure 1: Spectrum of the quasar SDSS J104109.86+001051.76 featuring broad absorption lines. The fit to the quasar continuum is shown by the thick line. The thin line represents a decrement of 20% in the quasar flux. Pixels satisfying the BAL criteria inside the running windows (see text) are marked with blue dots. |
| Open with DEXTER | |
| In the text | |
![]() |
Figure 2: Balnicity index (BI) distribution of the quasars in common with the BAL catalogue of Trump et al. (2006) (solid black line histogram). The BI measurements are from these authors. The red right-dashed histogram corresponds to the quasars identified as BAL by our procedure, while the blue left-dashed histogram represents the distribution of the Trump et al. quasars that are not removed by our procedure. Very few BAL quasars with BI > 500 km s-1 are missed by our automatic procedure. |
| Open with DEXTER | |
| In the text | |
![]() |
Figure 3:
Example of the SDSS spectrum of J 152529.18+292813.18 with a DLA line at
|
| Open with DEXTER | |
| In the text | |
![]() |
Figure 4:
Top: histogram of H I column densities for the 1426 absorbers automatically detected in SDSS DR7. The vertical dotted line marks the traditional DLA threshold value of
|
| Open with DEXTER | |
| In the text | |
![]() |
Figure 5:
Distribution of the difference in the column density measurements from the two surveys,
|
| Open with DEXTER | |
| In the text | |
![]() |
Figure 6:
Redshift sensitivity function
|
| Open with DEXTER | |
| In the text | |
| |
Figure 7:
Example of the effect of the presence of a DLA on the determination of
|
| Open with DEXTER | |
| In the text | |
![]() |
Figure 8: Result of a simulation to estimate the severity of the bias (defined as the percentage of DLAs missed; see text) due to the incorrect pathlength determination resulting from the presence of a DLA at the blue end of the spectrum as a function of the redshift and neutral hydrogen column density of the absorber. The colour scale is given at the top of the figure. Additionally, the dotted, dashed-dotted and dashed lines represent the 5, 10 and 15% contours, respectively. |
| Open with DEXTER | |
| In the text | |
![]() |
Figure 9:
Same as Fig. 8 when applying different corrections. From left to right and top to bottom:
|
| Open with DEXTER | |
| In the text | |
![]() |
Figure 10:
Spectra of four DLAs with
|
| Open with DEXTER | |
| In the text | |
![]() |
Figure 11:
|
| Open with DEXTER | |
| In the text | |
| |
Figure 12:
Damped Lyman- |
| Open with DEXTER | |
| In the text | |
![]() |
Figure 13:
Cumulative cosmological mass density of neutral gas in DLAs as a function of maximum column density. The apparent flattening of the curve at
|
| Open with DEXTER | |
| In the text | |
![]() |
Figure 14:
Cosmological mass density of neutral gas contained in systems of different column densities. The dashed-green and red curves correspond respectively to
the Double power-law and |
| Open with DEXTER | |
| In the text | |
![]() |
Figure 15:
The cosmological mass density of neutral gas in DLAs,
|
| Open with DEXTER | |
| In the text | |
![]() |
Figure 16:
Statistical uncertainty on the determination of
|
| Open with DEXTER | |
| In the text | |
![]() |
Figure 17:
Cosmological mass density of neutral gas in DLAs,
|
| Open with DEXTER | |
| In the text | |
Copyright ESO 2009
Current usage metrics show cumulative count of Article Views (full-text article views including HTML views, PDF and ePub downloads, according to the available data) and Abstracts Views on Vision4Press platform.
Data correspond to usage on the plateform after 2015. The current usage metrics is available 48-96 hours after online publication and is updated daily on week days.
Initial download of the metrics may take a while.
![\begin{figure}
\par\includegraphics[width=9cm,clip]{12768bal.ps}
\end{figure}](/articles/aa/full_html/2009/39/aa12768-09/Timg60.png)
![\begin{figure}
\par\includegraphics[width=9cm,clip]{12768tru.ps}
\end{figure}](/articles/aa/full_html/2009/39/aa12768-09/Timg62.png)

![\begin{figure}
\par\begin{tabular}{ccc}
\multicolumn{3}{c}{\includegraphics[bb=2...
...2 425 545,clip=,width=0.29\hsize]{12768ex6.ps}\\
\end{tabular}\par
\end{figure}](/articles/aa/full_html/2009/39/aa12768-09/Timg85.png)
![\begin{figure}
\par\includegraphics[width=9cm,clip]{12768hhi.ps}\par\includegraphics[width=9cm,clip]{12768hz.ps}
\end{figure}](/articles/aa/full_html/2009/39/aa12768-09/Timg87.png)
![\begin{figure}
\includegraphics[width=9cm,clip]{12768dhi.ps}
\end{figure}](/articles/aa/full_html/2009/39/aa12768-09/Timg97.png)



![\begin{figure}
\par\includegraphics[width=9cm,clip]{12768gz.ps}
\end{figure}](/articles/aa/full_html/2009/39/aa12768-09/Timg115.png)
![\begin{figure}
\par\includegraphics[width=9cm,clip]{12768si1.ps}
\end{figure}](/articles/aa/full_html/2009/39/aa12768-09/Timg131.png)

![\begin{figure}
\par\includegraphics[width=9cm,clip]{12768si2.ps}
\end{figure}](/articles/aa/full_html/2009/39/aa12768-09/Timg142.png)
![\begin{figure}
\par\includegraphics[angle=90,width=4.4cm,clip]{12768px1.ps}\incl...
...px3.ps}\includegraphics[angle=90,width=4.4cm,clip]{12768px4.ps}\\\end{figure}](/articles/aa/full_html/2009/39/aa12768-09/Timg143.png)
![\begin{figure}
\par\includegraphics[width=9cm,clip]{12768fhi.ps}
\end{figure}](/articles/aa/full_html/2009/39/aa12768-09/Timg146.png)


![\begin{figure}
\par\includegraphics[width=9cm,clip]{12768ocu.ps}
\end{figure}](/articles/aa/full_html/2009/39/aa12768-09/Timg168.png)
![\begin{figure}
\par\includegraphics[width=9cm,clip]{12768lls.ps}
\end{figure}](/articles/aa/full_html/2009/39/aa12768-09/Timg174.png)
![\begin{figure}
\par\includegraphics[width=9cm,clip]{12768oma.ps}
\end{figure}](/articles/aa/full_html/2009/39/aa12768-09/Timg178.png)
![\begin{figure}
\par\includegraphics[width=9cm,clip]{12768siz.ps}
\end{figure}](/articles/aa/full_html/2009/39/aa12768-09/Timg182.png)
![\begin{figure}
\par\includegraphics[width=9cm,clip]{12768om.ps}
\end{figure}](/articles/aa/full_html/2009/39/aa12768-09/Timg187.png)