| Issue |
A&A
Volume 506, Number 1, October IV 2009
The CoRoT space mission: early results
|
|
|---|---|---|
| Page(s) | 569 - 587 | |
| Section | Catalogs and data | |
| DOI | https://doi.org/10.1051/0004-6361/200911909 | |
| Published online | 15 July 2009 | |
The CoRoT space mission: early results
Periodic variable stars in CoRoT field LRa02 observed with BEST II
P. Kabath1 - A. Erikson1 - H. Rauer1,2 - T. Pasternacki1 - Sz. Csizmadia1 - R. Chini3 - R. Lemke3 - M. Murphy4 - T. Fruth1 - R. Titz1 - P. Eigmüller5
1 - Institut für Planetenforschung, Deutsches Zentrum für Luft- und Raumfahrt, Rutherfordstr. 2, 12489 Berlin, Germany
2 -
Zentrum für Astronomie und Astrophysik, Technische Universität Berlin, 10623 Berlin, Germany
3 -
Astronomisches Institut, Ruhr-Universität Bochum, 44780 Bochum, Germany
4 -
Depto. Física, Universidad Católica del Norte
PO 1280, Antofagasta, Chile
5 -
Thüringer Landessternwarte Tautenburg, 07778 Tautenburg, Germany
Received 20 February 2009 /Accepted 24 June 2009
Abstract
Context. The Berlin Exoplanet Search Telescope II (BEST II) is a small wide field-of-view photometric survey telescope system located at the Observatorio Cerro Armazones, Chile. The high duty cycle combined with excellent observing conditions and millimagnitude photometric precision makes this instrument suitable for ground based support observations for the CoRoT space mission.
Aims. Photometric data of the CoRoT LRa02 target field collected between November 2008 and March 2009 were analysed for stellar variability. The presented results will help in the future analysis of the CoRoT data, particularly in additional science programs related to variable stars.
Methods. BEST II observes selected CoRoT target fields ahead of the space mission. The photometric data acquired are searched for stellar variability, periodic variable stars are identified with time series analysis of the obtained stellar light curves.
Results. We obtained the light curves of 104 335 stars in the CoRoT LRa02 field over 41 nights. Variability was detected in light curves of 3726 stars of which 350showed a regular period. These stars are, with the exception of 5 previously known variable stars, new discoveries.
Key words: methods: data analysis - binaries: eclipsing - stars: variables: general
1 Introduction
The Berlin Exoplanet Search Telescopes (BEST and BEST II) are two small-aperture wide-field telescope systems operated as ground-based support facilities for the CoRoT space mission (Baglin et al. 1998). The first telescope, BEST (Rauer et al. 2004,2009), operational since 2004, is located at the Observatoire de Haute Provence, France. The second telescope, BEST II, has been operational since April 2007 at Observatorio Cerro Armazones, Chile. Both telescopes are used to perform preparatory ground-based variability characterization of the target fields of the space mission. Normally the target fields are observed one year ahead of CoRoT.
The CoRoT mission will complete observations of five long-run fields (150 days) and several shorter runs during the nominal mission phase (Deleuil et al. 2006). In support of the space mission, variability characterization of three long run and one initial run fields have been performed within the BEST project (Karoff et al. 2007; Kabath et al. 2007,2009,2008), light curves from CoRoT later can be extended with BEST observational data. Thus, significant contributions can be made to the CoRoTadditional scientific programs related to variable stars. Usually, several hundred new variable stars of various types (
Lyr,
Sct, Algol type eclipsing binaries,
Cep, RR Lyr and others) are detected easily with the BEST telescopes in the CoRoT fields. In addition, the data from the BEST telescopes can be used during the confirmation process of CoRoT planets, as exemplified by the BEST pre-discovery transit observations of CoRoT 1b and CoRoT 2b (Rauer et al. 2009).
The fourth CoRoT long-run field LRa02 was observed with BEST II during the Chilean winter period 2007/2008, one year prior to the space mission. The acquired light curves were analyzed for stellar variability. Poretti et al. (2005) have reported new variable stars in the same field. However, their detected variable stars are brighter than the cases presented here. Thus, the BEST II observations of the LRa02 field are complementary to already published results and within the same magnitude range as the CoRoT observations. The detected stars presented here were cross matched with the 2MASS catalog and the light curves of a few known periodic variable stars in the field could be extended by our data.
![]() |
Figure 1: The orientation of BEST II LRa02 subfields with respect to CoRoT's LRa2b field (coordinates J2000.0). |
| Open with DEXTER | |
2 Telescope and observational campaign
The BEST II telescope is located at the Observatorio Cerro Armazones, Chile, and operated in robotic mode. The system consists of a f/5.0 Baker-Ritchey-Chrétien telescope with 25-cm aperture and is equipped with a Peltier cooled
We observed the CoRoT LRa02 field from the end of November 2008 to the end of February 2009 for 41 nights. The whole campaign lasted 91 days. High precision pointing allowed us to alternate between two BEST II fields, thereby covering the whole CoRoT exoplanetary FOV (see Fig. 1). The center coordinates of the two observed BEST II subfields are:
The observational sequence consists of 240 s exposures followed by dark and bias frames taken approximately each hour. In addition, standard calibration images were acquired at the beginning and end of each night. The whole data set of the LRa02 campaign consists of 836 science frames for 231 h of observations. Magnitudes of the detected stars range from 11-18 mag with a photometric precision of
3 Photometric calibration of the scientific data
The photometric calibration of the acquired data was performed with an automated data pipeline based on previous versions used for BEST (Rauer et al. 2004) and modified to the BEST II system. The basic features of the pipeline are described below. A more detailed description of the data reduction process can be found in Kabath et al. (2007) and Karoff et al. (2007). In a first step, the obtained scientific data were calibrated with bias, dark and flat field images taken each night during the observational sequence. These calibrated scientific images were then interpolated to a unified coordinate system. A reference frame for the transformation routine (Pál & Bakos 2007) was first selected. Then, the transformation was applied on each image of the data set. In a second step, the data was processed using the image subtraction package ISIS (Alard & Lupton 1998). Here a reference frame is selected and the image subtraction routine is subsequently applied to all images. For this purpose, a kernel function is defined on the reference frame and then subtracted from the PSF functions of each star on every frame. Thereafter, aperture photometry is applied to the image subtraction reference frame and in the subtracted images. Typically, the FWHM of a stellar point spread function is 4 pixels. Therefore, a fixed aperture with a radius of 5 pixels is used for the determination of the stellar flux and 15 pixels for the determination of the background contribution. The obtained magnitudes were corrected for extinction. The remaining nightly offsets were corrected by using the 9000 brightest and most constant stars for an estimate and then corrected on each image. In a third step, the internal coordinates were transformed to the world coordinate system using the USNO-A2.0 catalog and GRMATCH routine. The obtained transformation is applied to each star in the data set with the GRTRANS routine (Pál & Bakos 2007). A subarcsecond precision is reached for the coordinate transformation.
Finally, the BEST II relative magnitudes of a sample of several thousands constant stars is compared to the USNO-A2.0 catalog. Resulting deviations from the USNO-A2.0 match for constant stars are applied to each star from the data set. Due to accuracy limitations of the absolute magnitudes in the catalog used, the final BEST II absolute magnitudes have a slight uncertainty. However, since we are searching for differences in stellar light curves using differential photometry, this is of minor importance. In general, the error in the BEST II magnitude relative to an absolute photometric system after calibration with the USNO-A2.0 is usually not higher than 0.5 mag. Moreover, stars from the BEST II field are cross-matched with the 2MASS catalog and the 2MASS ID as well.
4 Photometric quality of the data set
The resulting light curves can still be differently affected by systematic effects during the nights. These effects may introduce false periodic signals that can be falsely identified as stellar variability. Therefore, a routine based on the SYSREM algorithm (Tamuz et al. 2005) was applied to the whole data set to correct for possible systematic effects present at the same time in a significant number of stellar light curves. The algorithm works also if the true nature of the systematic effects remains unresolved. Figure 2 shows the final rms plots for all stars observed over the whole campaign for both fields. Detected periodic variable stars are marked with red crosses. The solid line represents limiting RMS values for corresponding magnitudes. Under the excellent observational conditions at Cerro Armazones it is possible to reach a seeing of 0.66'' (Rauer et al. 2008). The corresponding photometric precision of the measurements under such conditions is better than
for more than 5000 stars. During a typical photometric night at Cerro Armazones, it is possible to measure with a precision better than
for up to 4000 stars in the magnitude range 11-15 mag.
5 Variability criteria
![]() |
Figure 2: Rms plots for BEST II LRa02a ( top) and LRa02b ( bottom) over the whole observational campaign of 41 nights. Red crosses represent detected periodic variable stars and the red solid line represents the limiting values of the rms for the corresponding magnitudes. |
| Open with DEXTER | |
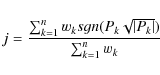
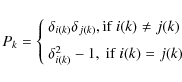
We detected 104 335 stars in both observed fields. Therefore, for the performed stellar variability characterization of the LRa02 field, an automatic routine that selects potentially variable stars from the data sample is needed. Thus, each star is marked with a j-index as defined by Stetson (1996)
![]() |
(1) |
where k denotes consecutive pairs of observations, each with a weight wk and
![]() |
(2) |
where
![]() |
(3) |
where ti and t is the time between two points and the time weighting interval, respectively. Figure 3 presents the distribution of the variability index j for all stars in both LRa02 data sets. A limiting value of j=0.5 was selected based on experience from previously characterized CoRoT fields (e.g. Kabath et al. 2009) to mark potentially variable stars. In this case, 1858 stars from LRa2a and 1868 stars from LRa2b fields were marked for potential variability. However, to find the periodic variable stars as detected by BEST II, a further selection step must be performed.
6 Results
![]() |
Figure 3: Distribution of variability index j for stars in LRa02a ( top) and LRa02b ( bottom). |
| Open with DEXTER | |
Table 1: Detection rates for variable stars of BEST II and surveys with values based on Eyer & Mowlavi (2008).
Newly detected variable stars are classified with a GCVS-based reduced schema (see Sterken & Jaschek 1996). Here, stars are divided into two groups of stellar variability. Pulsating stars are described by types DCEP (
Cephei prototype pulsating stars), DSCT (
Sct type pulsating stars), RR Lyr (if possible also subtypes RRa, RRb, RRc), SXPHE (prototype SX Phe),
Dor (prototype
Doradus). Furthermore, a PULS class is introduced where the type could not be classified uniquely. Eclipsing stars were subdivided into EA (Algol type eclipsing stars), EB (
Lyr type eclipsing stars) and EW (W UMa type eclipsing stars) classes. An additional group of stars showing variability characteristic of spotted (stellar spots) or elliptical stars was classified as ELL and/or SP. Finally, some stars whose light curve variation is due to their rotation and magnetic field were classified as
CVn. A limited number of stars was classified as cataclysmic variables or as VAR, in particular those where more data is needed. Our classification scheme is illustrated in Fig. 4, where a logarithmic plot of amplitude against period of detected variable stars is shown. The classes EA, EB, EW, DSCT, DCEP, RRLyr are represented with different symbols. Detailed statistics on the types of newly found variable stars are presented in Table 3. A detailed information on identified stars is shown Tables 4 and 5.
![]() |
Figure 4: Different classification types of variable stars found in LRa02 in a logarithmic plot of amplitude versus period. Each type of symbol corresponds to one of EA, EB, EW, DSCT, DCEP, RRLyr classes. |
| Open with DEXTER | |
Since the BEST II data set possesses no color information, periodic variable stars were cross-identified with the 2MASS catalog Skrutskie et al. (2006). Information about the 2MASS ID is inserted in Tables 3 and 4. 2MASS magnitudes and IDs provide extended spectral information and allow us to cross-match with other catalogs.
6.1 Pulsating variable stars
Pulsating stars with periods below 0.3 days were classified as DSCT. However, a few stars with periods of about 0.1 days were classified as SXPHE due to the characteristic light curve and period of the prototype star SX Phoenicis. For the DSCT with periods below 0.3 days, the classification should be fairly unique. Furthermore, some of the DSCT stars such as no.
and
show clear multiperiodicity. Thus additional frequency analysis of the light curves would be needed. A few stars within a period range of 0.3 to 5 days, with low amplitudes <0.1 mag and characteristic light curve shape were characterized as
Dor (Kaye et al. 1999). Stars with periods longer than 1 day and amplitudes >0.1 mag were classified as
CEP stars. The RR Lyr stars were classified based on the characteristic shape of the light curve and period range between 0.3 and 1 day.
6.2 Eclipsing variable stars
Eclipsing stars of the EA class show nearly constant light curves between eclipses. They can show the so-called reflection effect, causing some small modulation of the light curve (Peraiah 1998; Vaz 1985), in particular no.
lra2a00492 and
lra2b00821. Stars belonging to the EB class vary continuously between eclipses and stars from the EW class have generally near equal depth and periods shorter than 1 day. Several eclipsing binaries, primarily some EW, show the O'Connell effect, i.e. a deformation of the light curve due to the presence of stellar spots (Maceroni & van't Veer 1993). The effect is evident in particular in light curves no.
lra2a00302,
,
,
and
.
The classification of rotating and spotted stars ELL/SP is based on unequal minimum/maximum depth of the light curves. Some of the systems classified as spotted also may be cataclysmic variable stars in the quiescent phase. Further color and spectroscopic information is needed to clarify this result.
Stars showing a slight amplitude variability in the region of a few percent which do not fulfill the classification criteria for any of the abovementioned variability types were classified as
.
The prototype is Cor Caroli from the constellation Canum Venaticorum, and the characteristics are usually fast rotation and the presence of emission lines in the CaII H, K and H
bands, indicating strong chromospheric activity (Fernandez-Figueroa et al. 1994).
Table 2: Previously known variable stars in LRa02 cross-matched with BEST II data set.
Table 3: Statistics on newly detected variable stars with BEST II in the LRa02 stellar field compared with OGLE.
6.3 Previously known variable stars in the CoRoT LRa02 field
Detected variable stars from the BEST II data set have been cross-matched with the SIMBAD
and AAVSO VSX
catalogs. Comments on light curves of already known variable stars reobserved with BEST II are provided in Table 1. In general, previously reported variable stars that are brighter than 11 mag are saturated in the BEST II data. We were able to confirm only short periodic variable stars due to our duty cycle. The following stars were found in BEST II data sets: V0452 Mon, V0376 Mon which is also ASAS
064848-0336.3, XZ Mon,[4] ASAS
064750-0352.8 (Pojmanski 2002) and EI Mon (Ahnert 1949). The relevant stars from the BEST II set are marked with their previous catalog names in Tables 3 and 4.
7 Summary
We observed CoRoT's LRa02 stellar field with the BEST II telescope during 41 nights from November 2007 to March 2008. The obtained data were searched for periodic variable stars to support CoRoT's additional science programs. In a sample of 104 335 light curves, we identified 350stars showing regular periodicity. Almost all of these periodic variable stars are new detections by BEST II with periods ranging from 0.1 to 35 days. A classification of the periodic variables has been performed and the members of the resolved classes are specified. In addition, we confirmed variability for 5 already known stars in the observed field. More detailed information and finding charts will be provided upon request.
Acknowledgements
This work was funded by Deutsches Zentrum für Luft- und Raumfahrt and partly by the Nordrhein-Westfälische Akademie der Wissenschaften. The authors gratefully acknowledge the support and assistance of the administration of the Universidad Católica del Norte (UCN) in Antofagasta, Chile. The great support and help from the UCN staff based at OCA is also appreciated. The authors would like to thank Hartmut Korsitzky, Harald Michaelis, Andreas Kotz and Christopher Carl, who worked on the design and installation of the telescope system, and to Martin Paegert and Holger Drass who supported the project in the maintenance and adjusting phase. We made use of SIMBAD, 2MASS, GCVS catalogues and AAVSO variable star search index. P.K. acknowledges partial support covering the fee for the first CoRoT Symposium held in Paris in February 2009. We are also most grateful to the anonymous referee for helpful comments and useful advice.
References
- Ahnert, P. 1949, VSS 1, N3 (In the text)
- Alard, C., & Lupton, R. H. 1998, ApJ, 503, 325 [NASA ADS] [CrossRef] (In the text)
- Baglin, A., Auvergne, M., Barge, P., et al. 2002, ESA SP-485, Stellar Structure and Habitable Planet Finding, 17 (In the text)
- Deleuil, M., Moutou, C., Deeg, H. J., et al. 2006, ESA SP-1306, The CoRoT Mission, 341 (In the text)
- Eyer, L., & Mowlavi, N. 2008, J. Phys. Conf. Ser., 118 (In the text)
- Fernandez-Figueroa, M., Montes, D., De Castro, E., & Cornide, M. 1994, ApJS, 90, 433 [NASA ADS] [CrossRef] (In the text)
- Kaye, B. A., Handler, G., Krisciunas, K., Poretti, E., & Zerbi, M. F. 1999, PASP, 111, 840 [NASA ADS] [CrossRef] (In the text)
- Kabath, P., Eigmüller, P., Erikson, A., et al. 2007, AJ, 134, 1560 [NASA ADS] [CrossRef]
- Kabath, P., Eigmüller, P., Erikson, A., et al. 2008, AJ, 136, 654 [NASA ADS] [CrossRef]
- Kabath, P., Fruth, T., Rauer, H., et al. 2009, AJ, 137, 3911 [NASA ADS] [CrossRef]
- Karoff, C., Rauer, H., Erikson, A., et al. 2007, AJ, 134, 766 [NASA ADS] [CrossRef]
- Maceroni, C., & van't Veer, F. 1993, A&A, 277, 515 [NASA ADS] (In the text)
- Pál, A., & Bakos, G. Á. 2007, ASPC, 366, 340 [NASA ADS] (In the text)
- Peraiah, A., & Srinivasa Rao, M. 1998, A&AS, 132, 45 [NASA ADS] [CrossRef] [EDP Sciences]
- Pojmanski, G. 2002, AcA, 52, 397 [NASA ADS] (In the text)
- Poretti, E., Alonso, R., Amado, P. J., et al. 2005, AJ, 129, 246 [NASA ADS] [CrossRef] (In the text)
- Rauer, H., Eislöffel, J., Erikson, A., et al. 2004, PASP, 116, 38 [NASA ADS] [CrossRef]
- Rauer, H., Fruth, T., & Erikson, A. 2008, PASP, 120, 852 [NASA ADS] [CrossRef] (In the text)
- Rauer, H., Erikson, A., Kabath, P., et al. 2009, AJ, submitted
- Schwarzenberg-Czerny, A. 1996, ApJ, 460, 107 [NASA ADS] [CrossRef] (In the text)
- Skrutskie, M. F., Cutri, R. M., Stiening, R., et al. 2006, AJ, 131, 1163 [NASA ADS] [CrossRef] (In the text)
- Stetson, P. B. 1996, PASP, 108, 851 [NASA ADS] [CrossRef] (In the text)
- Sterken, C., & Jaschek, C. 1996, Light curves of variable stars (Cambridge University press) (In the text)
- Tamuz, O., Mazeh, T., & Zucker, S. 2005, MNRAS, 356, 1466 [NASA ADS] [CrossRef] (In the text)
- Udalski, A., Kubiak, M., & Szymanski, M. 1997, AcA, 47, 319 [NASA ADS] (In the text)
- Vaz, L. P. R 1985, Ap&SS, 113, 2 [CrossRef], 349
- Zhang, X., Deng, L., Xin, Y., & Zhou, X. 2003, Chin. J. Astron. Astrophys., 3, 151 [NASA ADS] [CrossRef] (In the text)
![]() |
Figure 5: Detected variable stars in the LRa2a subfield. |
| Open with DEXTER | |
![]() |
Figure 5: continued. |
| Open with DEXTER | |
![]() |
Figure 5: continued. |
| Open with DEXTER | |
![]() |
Figure 5: continued. |
| Open with DEXTER | |
![]() |
Figure 5: continued. |
| Open with DEXTER | |
![]() |
Figure 5: continued. |
| Open with DEXTER | |
![]() |
Figure 5: continued. |
| Open with DEXTER | |
![]() |
Figure 6: Detected variable stars in the LRa2b subfield. |
| Open with DEXTER | |
![]() |
Figure 6: continued. |
| Open with DEXTER | |
![]() |
Figure 6: continued. |
| Open with DEXTER | |
![]() |
Figure 6: continued. |
| Open with DEXTER | |
![]() |
Figure 6: continued. |
| Open with DEXTER | |
![]() |
Figure 6: continued. |
| Open with DEXTER | |
![]() |
Figure 6: continued. |
| Open with DEXTER | |
![]() |
Figure 6: continued. |
| Open with DEXTER | |
Footnotes
- ...BEST II
- Tables 4, 5 and data underlying Figs. 5, 6 are only available in electronic form at the CDS via anonymous ftp to cdsarc.u-strasbg.fr (130.79.128.5) or via http://cdsweb.u-strasbg.fr/cgi-bin/qcat?J/A+A/506/569
- ... SIMBAD
- http://simbad.u-strasbg.fr/simbad/
- ... VSX
- http://www.aavso.org/vsx
All Tables
Table 1: Detection rates for variable stars of BEST II and surveys with values based on Eyer & Mowlavi (2008).
Table 2: Previously known variable stars in LRa02 cross-matched with BEST II data set.
Table 3: Statistics on newly detected variable stars with BEST II in the LRa02 stellar field compared with OGLE.
All Figures
![]() |
Figure 1: The orientation of BEST II LRa02 subfields with respect to CoRoT's LRa2b field (coordinates J2000.0). |
| Open with DEXTER | |
| In the text | |
![]() |
Figure 2: Rms plots for BEST II LRa02a ( top) and LRa02b ( bottom) over the whole observational campaign of 41 nights. Red crosses represent detected periodic variable stars and the red solid line represents the limiting values of the rms for the corresponding magnitudes. |
| Open with DEXTER | |
| In the text | |
![]() |
Figure 3: Distribution of variability index j for stars in LRa02a ( top) and LRa02b ( bottom). |
| Open with DEXTER | |
| In the text | |
![]() |
Figure 4: Different classification types of variable stars found in LRa02 in a logarithmic plot of amplitude versus period. Each type of symbol corresponds to one of EA, EB, EW, DSCT, DCEP, RRLyr classes. |
| Open with DEXTER | |
| In the text | |
![]() |
Figure 5: Detected variable stars in the LRa2a subfield. |
| Open with DEXTER | |
| In the text | |
![]() |
Figure 5: continued. |
| Open with DEXTER | |
| In the text | |
![]() |
Figure 5: continued. |
| Open with DEXTER | |
| In the text | |
![]() |
Figure 5: continued. |
| Open with DEXTER | |
| In the text | |
![]() |
Figure 5: continued. |
| Open with DEXTER | |
| In the text | |
![]() |
Figure 5: continued. |
| Open with DEXTER | |
| In the text | |
![]() |
Figure 5: continued. |
| Open with DEXTER | |
| In the text | |
![]() |
Figure 6: Detected variable stars in the LRa2b subfield. |
| Open with DEXTER | |
| In the text | |
![]() |
Figure 6: continued. |
| Open with DEXTER | |
| In the text | |
![]() |
Figure 6: continued. |
| Open with DEXTER | |
| In the text | |
![]() |
Figure 6: continued. |
| Open with DEXTER | |
| In the text | |
![]() |
Figure 6: continued. |
| Open with DEXTER | |
| In the text | |
![]() |
Figure 6: continued. |
| Open with DEXTER | |
| In the text | |
![]() |
Figure 6: continued. |
| Open with DEXTER | |
| In the text | |
![]() |
Figure 6: continued. |
| Open with DEXTER | |
| In the text | |
Copyright ESO 2009
Current usage metrics show cumulative count of Article Views (full-text article views including HTML views, PDF and ePub downloads, according to the available data) and Abstracts Views on Vision4Press platform.
Data correspond to usage on the plateform after 2015. The current usage metrics is available 48-96 hours after online publication and is updated daily on week days.
Initial download of the metrics may take a while.
![\begin{figure}
\par\includegraphics[width=7.8cm,height=7.7cm,clip]{11909fig1.eps}
\end{figure}](/articles/aa/full_html/2009/40/aa11909-09/Timg3.png)
![\begin{figure}
\par\includegraphics[angle=90,width=7.2cm, height=4.4cm,clip]{119...
...egraphics[angle=90,width=7.2cm, height=4.4cm,clip]{11909fg2b.eps}
\end{figure}](/articles/aa/full_html/2009/40/aa11909-09/Timg12.png)

![\begin{displaymath}P_{k} = \left\{ \begin{array}{ll}
\delta_{i(k)}\delta_{j(k)},...
...]
\delta_{i(k)}^2-1,\textrm{ if}\; i(k)=j(k)\end{array}\right.
\end{displaymath}](/articles/aa/full_html/2009/40/aa11909-09/img14.png)

![\begin{figure}
\par\includegraphics[width=7cm,height=4.5cm,clip]{11909fg3a.eps}\...
...mm}
\includegraphics[width=7cm,height=4.5cm,clip]{11909fg3b.eps}
\end{figure}](/articles/aa/full_html/2009/40/aa11909-09/Timg18.png)
![\begin{figure}
\par\includegraphics[width=8cm,clip]{11909fg4.eps}
\end{figure}](/articles/aa/full_html/2009/40/aa11909-09/Timg23.png)
![\begin{figure}\par\mbox{\includegraphics[width=4cm, height=3cm]{11909fg500004.ep...
...s}\includegraphics[width=4cm, height=3cm]{11909fg500342.eps} }
\par
\end{figure}](/articles/aa/full_html/2009/40/aa11909-09/Timg40.png)
![\begin{figure}\par\mbox{\includegraphics[width=4cm, height=3cm]{11909fg500343.ep...
...1.eps}\includegraphics[width=4cm, height=3cm]{11909fg500579.eps} }\end{figure}](/articles/aa/full_html/2009/40/aa11909-09/Timg41.png)
![\begin{figure}\par\mbox{\includegraphics[width=4cm, height=3cm]{11909fg500586.ep...
...s}\includegraphics[width=4cm, height=3cm]{11909fg500817.eps} }
\par
\end{figure}](/articles/aa/full_html/2009/40/aa11909-09/Timg42.png)
![\begin{figure}\par\mbox{\includegraphics[width=4cm, height=3cm]{11909fg500820.ep...
...s}\includegraphics[width=4cm, height=3cm]{11909fg501125.eps} }
\par
\end{figure}](/articles/aa/full_html/2009/40/aa11909-09/Timg43.png)
![\begin{figure}\par\mbox{\includegraphics[width=4cm, height=3cm]{11909fg501126.ep...
...s}\includegraphics[width=4cm, height=3cm]{11909fg501366.eps} }
\par
\end{figure}](/articles/aa/full_html/2009/40/aa11909-09/Timg44.png)
![\begin{figure}\par\mbox{ \includegraphics[width=4cm, height=3cm]{11909fg501372.e...
...6.eps}\includegraphics[width=4cm, height=3cm]{11909fg501702.eps} }\end{figure}](/articles/aa/full_html/2009/40/aa11909-09/Timg45.png)
![\begin{figure}\par\mbox{\includegraphics[width=4cm, height=3cm]{11909fg501739.ep...
...degraphics[width=4cm, height=3cm]{11909fg501858.eps}\hspace*{6cm}}\end{figure}](/articles/aa/full_html/2009/40/aa11909-09/Timg46.png)
![\begin{figure}\par\mbox{\includegraphics[width=4cm, height=3cm]{11909fg600049.ep...
...s}\includegraphics[width=4cm, height=3cm]{11909fg600389.eps} }
\par
\end{figure}](/articles/aa/full_html/2009/40/aa11909-09/Timg47.png)
![\begin{figure}\par\mbox{\includegraphics[width=4cm, height=3cm]{11909fg600396.ep...
...s}\includegraphics[width=4cm, height=3cm]{11909fg600551.eps} }
\par
\end{figure}](/articles/aa/full_html/2009/40/aa11909-09/Timg48.png)
![\begin{figure}\par\mbox{\includegraphics[width=4cm, height=3cm]{11909fg600566.ep...
...s}\includegraphics[width=4cm, height=3cm]{11909fg600772.eps} }
\par
\end{figure}](/articles/aa/full_html/2009/40/aa11909-09/Timg49.png)
![\begin{figure}\par\mbox{\includegraphics[width=4cm, height=3cm]{11909fg600785.ep...
...s}\includegraphics[width=4cm, height=3cm]{11909fg600988.eps} }
\par
\end{figure}](/articles/aa/full_html/2009/40/aa11909-09/Timg50.png)
![\begin{figure}\par\mbox{\includegraphics[width=4cm, height=3cm]{11909fg600992.ep...
...s}\includegraphics[width=4cm, height=3cm]{11909fg601144.eps} }
\par
\end{figure}](/articles/aa/full_html/2009/40/aa11909-09/Timg51.png)
![\begin{figure}\par\mbox{\includegraphics[width=4cm, height=3cm]{11909fg601149.ep...
...s}\includegraphics[width=4cm, height=3cm]{11909fg601292.eps} }
\par
\end{figure}](/articles/aa/full_html/2009/40/aa11909-09/Timg52.png)
![\begin{figure}\par\mbox{\includegraphics[width=4cm, height=3cm]{11909fg601293.ep...
...s}\includegraphics[width=4cm, height=3cm]{11909fg601459.eps} }
\par
\end{figure}](/articles/aa/full_html/2009/40/aa11909-09/Timg53.png)
![\begin{figure}\par\mbox{\includegraphics[width=4cm, height=3cm]{11909fg601463.ep...
...degraphics[width=4cm, height=3cm]{11909fg601691.eps}\hspace*{6cm}}\end{figure}](/articles/aa/full_html/2009/40/aa11909-09/Timg54.png)