| Issue |
A&A
Volume 506, Number 2, November I 2009
|
|
|---|---|---|
| Page(s) | 799 - 810 | |
| Section | Stellar structure and evolution | |
| DOI | https://doi.org/10.1051/0004-6361/200810921 | |
| Published online | 18 August 2009 | |
A&A 506, 799-810 (2009)
The young, tight, and low-mass binary TWA22AB: a new calibrator for evolutionary models?![[*]](/icons/foot_motif.png)
Orbit, spectral types, and temperature
M. Bonnefoy1 - G. Chauvin1 - C. Dumas2 - A.-M. Lagrange1 - H. Beust1 - M. Desort1 - R. Teixeira3 - C. Ducourant4 - J.-L. Beuzit1 - I. Song5
1 - Laboratoire d'Astrophysique de Grenoble,
BP 53, 38041 Grenoble Cedex 9, France
2 -
ESO, Alonso de Cordova 3107, Vitacura, Casilla 19001, Santiago 19, Chile
3 -
Instituto de Astronomia, Geofísica e Ciências Atmosféricas,
Universidade de São Paulo,
Rua do Matão, 1226 - Cidade Universitária,
05508-900 São Paulo - SP,
Brazil
4 -
Observatoire Aquitain des Sciences de l'Univers, CNRS-UMR 5804, BP 89, 33270 Floirac, France
5 -
Department of Physics and Astronomy, University of Georgia, Athens, GA 30602, USA
Received 5 September 2008 / Accepted 17 May 2009
Abstract
Context. Tight binaries discovered in young, nearby
associations are ideal targets for providing dynamical mass
measurements to test the physics of evolutionary models at young ages
and very low masses.
Aims. We report the binarity of TWA22 for the first time. We aim
at monitoring the orbit of this young and tight system to determine its
total dynamical mass using an accurate distance determination. We also
intend to characterize the physical properties (luminosity, effective
temperature, and surface gravity) of each component based on
near-infrared photometric and spectroscopic observations.
Methods. We used the adaptive-optics assisted imager NACO to
resolve the components, to monitor the complete orbit and to obtain the
relative near-infrared photometry of TWA22 AB. The adaptive-optics
assisted integral field spectrometer SINFONI was also used to obtain
medium-resolution (
)
spectra in JHK bands.
Comparison with empirical and synthetic librairies were necessary for
deriving the spectral type, the effective temperature, and the surface
gravity for each component of the system.
Results. Based on an accurate trigonometric distance (
pc) determination, we infer a total dynamical mass of
for the system. From the complete set of spectra, we find an effective temperature
K for TWA22 A and
K for TWA22 B and surface gravities between 4.0 and 5.5 dex. From our photometry and an M6
1 spectral type for both components, we find luminosities of log(
dex and log(
dex
for TWA22 A and B, respectively. By comparing these parameters with
evolutionary models, we question the age and the multiplicity of this
system. We also discuss a possible underestimation of the mass
predicted by evolutionary models for young stars close to the
substellar boundary.
Key words: stars: fundamental parameters - stars: low-mass, brown dwarfs - binaries: close - stars: formation - instrumentation: adaptive optics - instrumentation: spectrographs
1 Introduction
Mass and age are fundamental parameters of stars and brown
dwarfs that determine their luminosity, effective temperature,
atmospheric composition, and surface gravity as commonly derived through
photometric and spectroscopic observations. Evolutionary models are
currently widely used in the community to infer masses of stars and
brown dwarfs, but they rely on equations of states and atmospheric
models that are not calibrated at young ages and at very low
masses. However, direct mass measurements
can be obtained by the means of different observing
techniques such as the astrometric follow-up of double-lined
spectroscopic tight binaries, the measurment of the Keplerian
motion of circumstellar disks or the joint use of light curve and radial velocity
on eclipsing binaries. In recent years, direct
mass measurements for 23 pre-main sequence stars with masses ranging
from 0.5 to 2
showed
discrepancies with predictions by up to a factor of 2 in mass and 10
in ages (Mathieu et al. 2007). Such measurements are rares for lower masses (
)
systems. Hillenbrand & White (2004) show that the
models tend to understimate the mass of the companion UZ Tau Eb
(
,
age
5 Myr, see Prato et al. 2002). Close et al. (2005) derived similar
conclusions, but the age and the luminosity of the companion
AB Dor C (
,
age
75 Myr) is still under
debate (Boccaletti et al. 2008). And recently, the surprising
discovery of the unpredicted temperature reversal
(Stassun et al. 2007) between 2M035 A (
,
age
1 Myr) and its companion
(
,
age
1 Myr) has proven the
necessity for finding more calibrators. The challenge is to unambiguously determine their physical properties (mass, L,
,
g, and age) and
to explore the parameter space covered by evolutionary models as much as possible. The influence of other parameters such as
metallicity also needs investigation (Boden et al. 2005; Burgasser 2007).
The TW Hydrae association (TWA) is the first co-moving group of young
(
100 Myr), nearby (
100 pc) stars, to be
identified near the Sun (Kastner et al. 1997). Ideal
observational niche for studing stellar and planetary formation,
TWA was actually the tip of an iceberg composed of hundreds of young
stars, spread in different groups, which were identified during the
last decade (Torres et al. 2008; Zuckerman & Song 2004). TWA counts now 27 members covering a mass regime from intermediate-mass stars to
planetary mass objects (Chauvin et al. 2005). Its
Myr dynamical age was found by a convergence method (de la Reza et al. 2006). Independently, Barrado Y Navascués (2006) estimated an age of
10+10-7 Myr from the photometry, the activity, and the lithium depletion. Scholz et al. (2007) show that the association is
9+8-2 Myr old by comparing rotational velocities with published rotation periods for a subset of stars. Finally, Men-tuch et al. (2008) estimate an age of
Myr studing lithium depletion in five nearby young associations (hereafter M08).
Song et al. (2003), hereafter S03, identify TWA22 as an M5 member of TWA. The strong Li
6708 Å feature supported the extreme youth of this member. Later, Mamajek (2005) question the membership of TWA22 from a kinematic study of TW Hydrae members. Finally, Song et al. (2006) discuss the Mamajek (2005) results that appeared to disagree with the very strong lithium line of the source. The proximity (
pc, see Teixeira et al. 2009)
and the reported youth of TWA22 by S03 made it consequently a potential
target for detecting companions at small orbital radii.
In our program for detecting companions in young associations
using the adaptive-optic (AO) assisted imager NACO, we resolved TWA22
as a tight (
100 mas) binary. With a projected physical separation of
AU (see Fig. 1),
this system offered a unique opportunity to measure its dynamical mass
and to possibly test the evolutionary model predictions at young ages
using combined photometric and spectroscopic observations.
![]() |
Figure 1:
VLT/NACO image of TWA22 AB obtained in H-band with the
S13 camera on 2007 December 26. North is up and east is left. The field of view is
|
| Open with DEXTER | |
We report here the discovery of the TWA22 binarity and the results of a dedicated 4 years observing program, using combined imaging and 3D-spectroscopy with AO. The purpose was to measure the dynamical mass of TWA22 AB and to characterize the physical properties of the individual components. In Sect. 2, we describe our AO observations with the VLT/NACO imager and with the VLT/SINFONI integral field spectrograph. The associated data reduction and spectral extraction techniques are explained in Sect. 3. In Sect. 4, we present our orbital solutions and our spectral analysis. In Sect. 5 we compare and discuss the evolutionary model predictions associated to our dynamical mass measurement with the physical properties (surface gravity, temperature, and luminosity) derived from our photometric and spectroscopic observations. This leads us to discuss the membership of TWA22 AB to the TW Hydrae association, the multiplicty of the system, and a possible underestimation of the mass predicted by evolutionary models for young stars close to the substellar boundary.
2 Observations
2.1 VLT/NACO Observations
Table 1: Observing log.
TWA22 AB was observed at the 8.2 m VLT UT4 Yepun with the Nasmyth
Adaptive Optics (AO) System NAOS (Rousset et al. 2000) coupled to
the high-resolution near-IR camera CONICA
(Lenzen et al. 1998).
NAOS and CONICA (NACO) resolved the system as a tight binary for the
first time on March 5, 2004. Follow-up observations were
conducted during
four years from early 2004 to end 2007. To image TWA22 AB, we used
the narrow band filters: NB_1.24 (
m,
m), NB_1.75 (
m,
m), and NB_2.17 (
m,
m).
The broad band filters
J (
m,
m), H (
m,
m) and
(
m,
m) were also used coupled to a neutral density
(attenuation factor of 80). CONICA was used with the S13 and S27
cameras to Nyquist-sample the PSF depending on the selected
filter. The data were recorded under seeing that ranged from 0.6'' to 1.5'' (see Table 1). TWA22 AB was bright enough in the visible to be used by NAOS
for wavefront analysis. For each observation period, dithering around
the object in J, H, and
bands combined with nodding were
needed to run a good sky estimation during the data reduction
process (see part 2.2). PSF references were observed at different
airmasses with identical setups. The
Ori C astrometric
field (McCaughrean & Stauffer 1994) was observed at each epoch to
calibrate the detector platescale and orientation whenever
necessary. The results are reported in Table 2.
2.2 VLT/SINFONI observations
The SINFONI instrument (Spectrograph for INtegral Field Observations in
the Near Infrared),
located at the Cassegrain focus of the VLT UT4 Yepun, was used to
observe TWA22 AB between February 9 and 13, 2007.
SINFONI includes an integral field spectrometer SPIFFI (SPectrograph
for Infrared
Faint Field Imaging, Eisenhauer et al. 2003), operating in
the near-infrared (1.1-2.45
m). SPIFFI is assisted with the 60 actuators Multi-Applications Curvature Adaptive Optic system MACAO
(Bonnet et al. 2003). We used the small SPIFFI field of
view of
corresponding to a plate scale of 25 mas per pixel to
Nyquist-sample the SINFONI AO corrected PSF. The field of view is
optically sliced into 32 horizontal slitlets that sample the horizontal spatial direction and that are rearranged to
form a pseudo-long slit. Once dispersed by the grating on the
SPIFFI
detector, each slitlet of 64 pixels width (spatial direction)
corresponds to 64 spectra of 2048 pixels long (spectral
direction). The 2048 independent spectra on the detector are
reorganized during the reduction process in a
datacube that contains the spatial (X, Y) and the spectral (Z)
information. The cube is resampled in the vertical dimension (Y) to
have the same number of pixels as in X.
To cover the full spectral range between 1.1
to 2.45
m, individual integrations times of 90 s were necessary for imaging the system in the J
band (1.1-1.4
m,
R=2000) and 20 s in the H+K band (
m, R=1500). For each band, dithering around the
object was used to increase the field of view and to suppress residual bad pixels, leading to a total observing
time on target of
5 min. An additional frame was
acquired on the sky to improve our correction. The adaptive optic loop
was locked on TWA22 AB itself. Standard stars HIP038858 (B3V),
HIP049201 (B2V), HIP035208 (B3V), and HIP052202 (B4V) were observed at
similar airmasses to remove the telluric lines (see
Table 1).
3 Data reduction and analysis
3.1 High-contrast imaging
Table 2: Mean plate scale and detector orientation for our different observing NACO runs.
For each observation period, the ESO eclipse reduction software (Devillard 1997) dedicated to AO image processing was used on the complete set of raw images. Eclipse computes bad-pixel detection and interpolation, flat-field correction, and averaging pairs of shifted images with sub-pixel accuracy. The software run sky estimation on object-dithered frames using median filtering through the frame sequence.A deconvolution algorithm dedicated to the stellar field blurred by the
adaptive-optics corrected point spread functions
(Veran & Rigaut 1998) was applied to TWA22 AB images to
accurately find the position and the photometry of the companion relative
to the primary. The algorithm is based on the minimization in the
Fourier domain of a regularized least square objective function using
the Levenberg-Marquardt method. We used Nyquist-sampled unsaturated
images of standard stars obtained the same night as TWA22 observations
with identical setups under various atmospheric conditions. These
frames captured the variation in AO corrections. They were used as
input point spread functions (PSF) to estimate the deconvolution
process error. The IDL Starfinder
PSF fitting
package (Diolaiti et al. 2000) confirmed these results.
3.2 Integral field spectroscopy
We used the SINFONI data reduction pipeline (1.7.1 version, see Modigliani et al. 2007) for raw data processing. The pipeline carries out cube reconstruction from raw detector images. The flagging of hot and non linear pixels is executed in a similar way to NACO images. The distortion and wavelength scale are calibrated on the entire detector using arc-lamp frames. Slitlet distances are accurately measured with north-south scanning of the detector illuminated with an optical fiber. In the case of standard stars observation, object-sky frame pairs are subtracted, flat-fielded, and corrected from bad pixels and distortions. Datacubes are finally reconstructed from clean science images and merged in a master cube. Spectra of standard stars cleaned from stellar lines are finally used to correct the TWA22 AB spectra from telluric absorptions.
TWA22 A and B are centered and oriented horizontally in the J and H+K
master cubes with a field of view of
.
Atmospheric refraction induces different
sources positions for different wavelengths within the instrument
field of view and increases with airmass. Combined with the small
SINFONI field of view, this produces differential flux losses that were
noticed in the bright standard-star datacubes. This
effect remains limited for TWA22.
The cubes of February 11, 2007 appear to have some spectra contaminated
by flux oscillations of a few ADUs. These oscillations were not negligible and blurred CO
bands at 2.3
m. They are present along
the dispersion axis in the raw detector images of both HIP052202
and TWA22. Their amplitudes do not remain constant in time
but follow a 15.3 pixel period. We then filtered partially this contribution on each individual
image in the Fourier space using a pass-band function. The origin of
the problem is likely to be related to 50 Hz pick-up noise.
We used a modified version (Dumas et al. 2001) of the CLEAN algorithm (Högbom 1974; Schwartz 1978) to extract the flux of TWA22 A and B separately in each monochromatic image contained in the datacubes. The standard star is used for initial PSF-references. Once scaled to match the TWA22 A maximum at the primary position and for all wavelengths, the PSF is subtracted from the TWA22 AB datacube. The sequence is repeated to model the secondary contribution, cleaned from the primary wings, and to provide a new PSF-reference. After a few iterations minimizing the final quadratic residual datacube, the spectra of each individual component are extracted.
Table 3: Relative positions and contrasts of TWA22 A and B, with magnitude differences given in the NACO photometric system.
The algorithm was first adapted to work on cube images. Unfortunately, the difference of sampling between the X and Y directions limited the subpixel shift accuracy. We therefore collapsed the cube along the Y-axis to obtain the flux profile along the X direction. We chose to duplicate the primary flux profile for the PSF model. The algorithm converged in a few iterations and produced extracted spectra in J and H+K with an extraction error less than 5%. The extracted spectra were divided by standard star spectra corrected from intrinsic features and multiplied by a black body spectrum at the standard star temperature. The SINFONI pipeline coefficients were used for wavelength calibration.
4 Results
4.1 Astrometry, orbit and dynamical mass
The relative positions of TWA 22 A and B (B with respect to A)
at all observation epochs are reported in
Table 3. The data allows determination of the
mutual orbit of the binary. We define a
cartesian referential frame (O,X,Y,Z) where X points towards the
north, Y toward the east, and Z toward the Earth. The (OXY) plane
thus corresponds to the plane of the sky. Then in a Keplerian
formalism, the projected position
of the binary onto the plane
of the sky reads
| x | = | ![]() |
|
![]() |
(1) | ||
| y | = | ![]() |
|
![]() |
(2) |
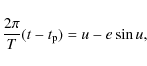
where a is the semi-major axis of the orbit (in AU), d the distance of the binary (in pc), e the eccentricity, i the inclination,
![]() |
(3) |
where T is the orbital period and
The fit is performed via a Levenberg-Marquardt
minimizing
algorithm. In practice, instead of
,
the
equations are solved for the classical variables
| (4) |
which avoids singularities towards small eccentricities and inclinations. The uncertainties on the fitted parameters are estimated from the resulting covariance matrix at the end of the fit procedure.
Levenberg-Marquardt is an interative gradient method for converging
towards a mininum of the
function. Depending on the starting
guess point, many local minima can be found. In the present case,
all the attemps we made (by letting the starting point vary)
converge towards the same
solution that is listed in Table 4 and viewed in
projection onto the plane of the sky in Fig. 2. The
available astrometric data set appears to cover almost one complete
orbital period with a good sampling of the periastron passage. We are
thus confident in our fitted solution. The orbit then appears slighly
eccentric (
)
and viewed close to pole-on
from the Earth.
Table 4:
TWA22 B orbital parameters as determined from the fit of the
astrometric data (see text for the definition of the parameters) with the reduced
of the fit.
![]() |
Figure 2: Orbital fit of the relative positions of TWA22 AB observed from March 2004 to December 2007, as projected onto the plane of the sky. The crosses represent the observational data with their error bars, the solid line is the fitted projected orbit, and the dots correspond to the predicted positions of the model at the times of the observations. The dashed line sketches the projected direction of the periastron of the orbit. On January 8, 2006, the binary was actually very close to periastron. |
| Open with DEXTER | |
4.2 Photometry
Table 3 summarizes
the magnitude differences between
TWA22 A and B, measured with NACO at different wavelengths.
Taking the filter tranformations between NACO and 2MASS and the
photometry of the unresolved system given from the 2MASS Survey
(Cutri et al. 2003) into account, we derived the apparent JHK magnitudes of
each component (see Table 5). Observations under bad
seeing conditions were excluded. Based on an accurate distance (
pc) determination (Teixeira et al. 2009),
the absolute
magnitudes were also derived. Since TWA22 is a young mid-M system, we
monitored its photometric variations in the H band. We only noticed a
0.05 variation of the total magnitude of the system over time. This
variation is reported in the error bars on our photometry in Table 5.
Reported in a color (J-K)-magnitude (
)
diagram, the TWA22 A and B photometry can be
compared with the photometry of M dwarfs (see Fig. 3) of the young, nearby
associations TW Hydrae (
8 Myr),
Pictoris (
12 Myr),
Tucana-Horologium (
30 Myr) and AB Doradus
(
70 Myr). At a given age, early-type M dwarfs are bluer and more luminous than late-type M dwarfs in the K band.
At a given spectral type (i.e. temperature), the objects go fainter
with age. Although age-dependent, the near-infrared photometry of
TWA22 A and B appears compatible for both components with what is
expected for young mid-M dwarfs but does not allow an age estimation
for the binary. Predictions of evolutionary models of (Baraffe et al. 1998,
named NEXTGEN) are also given at these young ages. The NEXTGEN tracks
appears bluer than 10 Myr old mid-M dwarfs by
0.2 mag,
which might be related to a partial representation of their spectral
energy distribution. At relatively warm temperatures, the remaining
incompleteness in the AMES linelists used in DUSTY atmospheric models (Mohanty et al. 2007) lead to J-Ks colors
redder than those observed for late-M dwarfs. The DUSTY evolutionary
tracks were then shifted by 0.2 mag to redder J-Ks. We provide in the following an improved estimation of the spectral type of our targets, using our spectroscopic data.
Table 5: TWA22 A and B individual magnitudes converted into the 2MASS system.
![]() |
Figure 3:
Color (J-K) - magnitude (MKs) diagram of
TWA22 A and B compared with the photometry of young M dwarfs
members of the TW Hydrae ( |
| Open with DEXTER | |
4.3 Spectroscopic analysis
4.3.1 Line identification
To identify the numerous spectral features in the TWA22 A and B
spectra between 1.10 to 2.45
m, the spectra were compared with an homogeneous
medium resolution (
)
sequence of field dwarfs from Cushing et al. (2005) (hereafter C05; see Figs. 4-6). The TWA22 A and B spectra appear very similar.
In J-band, both TWA22 A and B spectra are dominated by the strong Na I doublet at 1.138
m, the deep K I lines at 1.169, 1.177, 1.243,
and 1.253
m, and the presence of a broad H2O absorption from
1.32 to 1.35
m. Fe I absorptions are also detected around 1.170
m. One is blended with the 1.177
m K I line. We notice additional broad
FeH absorptions around 1.20
m and 1.24
m compatible with
what is expected for mid-M dwarfs as well as the presence of the weak Q-branch
at 1.22
m. Finally, the Al I doublet at 1.313
m is
detected. This doublet is expected to disappear at the M-L transition.
In the H-band, the spectra are affected by H2O absorptions from 1.45
to 1.52
m and from 1.75 to 1.8
m. They exhibit pronounced K
I atomic lines at 1.517
m, as well as weak doublets of Mg I at
1.503
m and Al I at 1.675
m. Weak FeH absorptions are also
present. They increase from M5 to the M-L transition
Cushing et al. (2003) and their depths are compatible here with those expected for
M5 to M7 field dwarfs.
In K-band, strong H2O absorptions appear from 1.95 to 2.04
m
and from 2.3 to 2.45
m. They are typical of mid-M to mid-L dwarfs. Strong
Ca I features are present from 1.9 to 2.0
m. They tend to disappear
in the spectra of field dwarfs at the M-L transition. We firmly identify the first overtone of CO near 2.3
m, the rest being
affected by the 50 Hz pick-up noise oscillations mentioned earlier. Additional weak Mn I,
Ti I, Mg I and Si I absorptions are spread over the J, H, and K bands. These lines are expected to be rapidly replaced by molecular
absorptions for dwarfs later than M5. The 1.106
m band seems to
be overlapping H2O and TiO absorptions with increasing depths
from early to late M dwarfs. Finally, the 1.626
m feature
corresponds to close OH lines, as noted in Leggett et al. (1996).
To conclude, the features detected over the spectra of TWA22 A and B between 1.1 and 2.45
m suggest that both components have a cool
atmosphere, typical of mid to late-M dwarfs.
![]() |
Figure 4: TWA22 A and B spectra compared to spectra of M5 to M8 dwarfs. The M6 dwarf spectrum reproduces the J bands of TWA22 A and B. However, our spectra seem to have a slightly redder slope. We report identified atomic features (blue). Molecular absorptions (FeH bands were identified by Cushing et al. 2003) are flagged in green and telluric residuals in orange. Atomic absorptions are indicated in blue. |
| Open with DEXTER | |
![]() |
Figure 5: Same as Fig. 4 but for H band. In this case, differences between M6V field dwarf spectrum and TWA22 spectra are important. This could arise from low gravity or flux losses introduced either in the standard star datacube and during the extraction process. |
| Open with DEXTER | |
![]() |
Figure 6: Same as Fig. 4 but for the K band. Spectra look like an M6V field dwarf. |
| Open with DEXTER | |
![]() |
Figure 7: Comparison of the TWA22 B J band spectrum (red) to spectra (black) of young Upper Sco and Orion nebulae cluster objects (Slesnick et al. 2004; Lodieu et al. 2008). We clearly notice that the TWA22 B spectral slope is redder than that for reference spectra. The TWA22 B spectrum is very similar to those of young M6 and M7 dwarfs. We report identified atomic features (flagged in blue). Molecular absorptions (FeH bands were identified by Cushing et al. 2003) are flagged in green and telluric residuals in orange. |
| Open with DEXTER | |
![]() |
Figure 8: Comparison of the TWA22 B K band spectrum (red) to spectra of young Upper Sco standards (black) at R=350 (Gorlova et al. 2003). The TWA22 B spectrum was convolved with a Gaussian to match the resolution of standard star spectra. Our spectrum is reproduced by spectra of young M5.5 and M7 dwarfs. |
| Open with DEXTER | |
4.3.2 Continuum-fitting and spectral indexes
The continuum of both TWA22 A and B spectra were compared to spectra
of field M dwarfs obtained by C05 and McLean et al. (2003), hereafter
ML03. Least squares were computed on parts of the spectra free from telluric
correction residuals. From 1.10
m to 1.27
m, the TWA22 A and
B continuums are reproduced by M6
1 dwarfs. The H-band
spectra are poorly reproduced visually. Least squares are minimized
for M9 dwarfs but with 2 subclasses of uncertainty. Finally, our K-band
spectra are well-fitted by M5 to M7 dwarfs. From these comparisons, we
assign a spectral type M6
1 to both TWA22 AB components.
Because TWA22 AB is a young system, we tested whether using high surface
gravity spectra of old field dwarfs might affect our spectral
analysis. Intermediate surface gravity reduces the strength of
alkali lines (Gorlova et al. 2003; Kirkpatrick et al. 2006; McGovern et al. 2004; Lucas et al. 2001) and produces triangular
shape in H-band interpreted as collision-induced absorptions (CIA) of
H2. Our spectra were then compared with young (age
8 Myr) dwarf
spectra (Gorlova et al. 2003; Slesnick et al. 2004; Lodieu et al. 2008) at identical resolution (spectra were convolved with a Gaussian if necessary) in the J and K bands (see Figs. 7 and 8).
They are mostly similar to M5, M5.5, M6, and M7 dwarf spectra, and
consistent with the continuum fit obtained with field dwarfs. In both
cases, our J-band spectra are slightly redder than young and old mid-M dwarfs. Our H-band
spectra are visually still poorly reproduced by our spectral templates.
This could arise from low gravity or flux losses introduced either in
the standard star datacube and during the extraction process.
To complete this spectral type determination, spectral indexes
developed by ML03 (from
bands at 1.34
m (
),
1.79
m (
), 1.96
m (
), and at 1.2
m
from the FeH band) were derived for TWA22 A and B (see Fig. 9). The results were
compared to the values computed from the ML03 and C05 spectral libraries
of field dwarfs. They were also compared to values derived for
young dwarfs (Slesnick et al. 2004; Lodieu et al. 2008, hereafter S04 and L08),
to test the sensitivity of these indexes to surface
gravity (age). In fact, The
D and FeH indexes values tend to
change with age for M5-L2 dwarf, and could disturb our analysis. We
then used a mean weight of the individual spectral type estimations
from
,
and the recently defined Allers
index at 1.55
m (see Allers et al. 2007) to infer
and
spectral types for TWA22 A and B
respectively. These results match the
and
values derived for TWA22 A and B from the
and FeH index
for the 2 objects. Based on the K-band photometry and the
associated bolometric corrections of Golimowski et al. (2004), we
derived a luminosity of
dex for TWA22 A and
dex
TWA22 B. Using the
-spectral type conversion scales for
intermediate-gravity objects (Luhman et al. 2003), we find an
initial estimation of
K for both
components.
4.3.3 Study of narrow lines
![]() |
Figure 9:
H2O spectral indexes computed on libraries of
field (McLean et al. 2003; Cushing et al. 2005) and young dwarfs spectra (Slesnick et al. 2004; Lodieu et al. 2008). Redundancies between
libraries have been checked. Young dwarfs M4-L2 dwarfs follow trends of the field dwarfs except for H2O D. Using H2OA, H2OC, and the recently defined Allers H2O index at 1.55 |
| Open with DEXTER | |
Depths of many narrow lines were studied to provide additional information
on the surface gravity of TWA22 AB, particularly
on its age. Following the Sembach & Savage (1992) method for
measuring pseudo-equivalent widths and their associated uncertainties, we derived
the equivalent widths of strong atomic lines over the
J, H, and K bands. They were computed for narrow lines at 1.106
m (TiO and
), 1.220
m (FeH - Q branch),
1.313
m (Al I), and 1.626
m (OH), and for
the K I doublets at 1.169, 1.177, 1.243 and 1.253
m. The
results were compared with pseudo-equivalent widths of old
field dwarfs (C05, ML03) and young Upper Sco dwarfs (S04,
L08). The use of both librairies confirmed the strong surface
gravity dependency of the K I lines, more moderate for the
Al I, FeH, and OH lines. Due to the degeneracy in terms of
effective temperature and surface gravity, pseudo-equivalent
widths alone are not sufficient for a precise spectral type determination
of TWA22 AB. They remain, however, compatible
with narrow lines depths of young and old dwarfs of spectral
types later than M4.
If we now assume a spectral type M6
1 for both components, pseudo-equivalent widths in the K I lines of TWA22 AB appear intermediate between
values found for young and field dwarfs (see Fig. 10). This is confirmed using a
visual comparison with an evolutionary sequence of M6 dwarfs composed
of the old field dwarf GL 406, the intermediate old companion AB Doc C (Age 75 Myr, M5.5, Close et al. 2007), and a young M5.5 dwarf from the Orion nebulae (age
1-2 Myr, S04). Together with
the other age indicators, these intermediate surface gravity features
confirm that TWA22 AB is likely to be a young binary system. However,
their uncertainties remain large enough not to assign a precise
age.
![]() |
Figure 10:
Equivalent widths in the K I lines computed on libraries of young
and field dwarf spectra. Young dwarf spectra have weak K I lines
and therefore low equivalent widths compared to field dwarfs as a
consequence of their low surface gravity. TWA22 A and B values are
reported as red and green lines, respectively, with their associated
uncertainties (dashed lines). If we assume a spectral type M6 |
| Open with DEXTER | |
4.4 Gravity and effective temperature from atmospheric models
For a fine determination of the effective temperatures and surface
gravities of TWA22 A and B, we compared our observed spectra with
theoretical templates from the GAIA model v2.6.1
(Brott & Hauschildt 2005). This library is updated from
Allard et al. (2001). It benefits from improved molecular dissociation
constants, additional dust species with opacities, spherical symmetry,
and a mixing length parameter
.
The temperature ranges in
the templates from 2000 to 10 000 K and the gravity from -0.5 to 5.5,
but we limited our analysis to
K and
.
Theoretical spectra were convolved with a
Gaussian to match the SINFONI spectral resolution and interpolated to
the TWA22 AB wavelength grid. Least squares minimization was applied
to find templates that fit the TWA22 A and B continuum avoiding zones
polluted by remaining oscillations.
The TWA22 A least-square map in the J band constrains the temperature
between 2800 to 3100 K and is minimized for
and
K.
In H+K band, our
minimization failed to reproduce the TWA22 A spectra faithfuly and
makes us suspect the existence of a constant flux loss in the H band
during the spectral extraction process. To limit this systematic
effect, the minimization was applied separately in H and
K bands. In H-band, the effective temperature is
minimized between 2600 K to 3000 K in the full space of surface
gravities explored. The minimum is located at 2800 K and
.
The K band is reproduced by 2900 and 3000 K
templates irrespective of gravity. Summing the three bands, we
estimate an effective temperature
K for
TWA22 A. Conducting a similar analysis for the component TWA22 B, we derive an
effective temperature
K. Using the Luhman et al. (2003) scale, these temperatures estimations respectively correspond to M7
+1-2 and M7
+0.5-2 spectral types for TWA22 A and B. This is also consistent with spectral types estimated in Sect. 4.3.2.
For a fine determination of the surface gravity from synthetic
spectra, we computed the equivalent widths of K I lines in the
J band on each spectra of TWA22 A and B. We then compared
the values to TWA22 A and B to restrain the acceptable gravity domain
(see Fig. 11). We then
estimated that the surface gravity is located between
and 5.5 for TWA22 A and B.
![]() |
Figure 11: Iso-contours plots of K I lines equivalent widths computed on each spectral template of the GAIA library v2.6.1 Red color indicates high values. The contours for TWA22 A (red) and B (blue) pseudo-equivalents widths values are overplotted. The long-dashed lines represent limits on TWA22 A (red) and TWA22 B (blue) temperatures. Gravity is estimated inside these temperatures boxes. |
| Open with DEXTER | |
5 Discussion
5.1 Evolutionary models predictions
The membership of TWA22 AB to TW Hydrae constrains the age of the system to 3-20 Myr (Barrado Y Navascués 2006; Scholz et al. 2007; de la Reza et al. 2006). Based on our astrometric observations combined
with an accurate distance determination, we were able to derive the
dynamical mass of this tight binary. From photometry and spectroscopy,
we derived near-IR fluxes, luminosity, spectral type, effective
temperatures, and the surface gravity of each component. Finally,
spectroscopy tends to indicate that both components have intermediate
surface gravity features in their spectra, supporting a young age for
TWA22 AB. Assuming the TWA age for this system, we can now compare
the measured total dynamical mass of the binary with the total mass
predicted by evolutionary models of Baraffe et al. (1998; hereafter
BCAH98). Model predictions are based on the JHK photometry, the
luminosity and the effective temperature of both components (see Fig. 12). At 8 Myr, BCAH98 models systematically
underestimate the total mass by a factor of
2. This factor varies from 3 to 1.3 between 3-5 Myr and 20 Myr. The mass is still strongly under-estimated
using other evolutionary models of very low-mass stars
(D'Antona & Mazzitelli 1994,1997). Alternatively, if we
artificially change the system age to 30 Myr, the model predictions
match our observations relatively well.
The apparent discrepancy between our observations and the model predictions at the age of TWA leads us to consider four explanations:
- 1.
- remaining uncertainties are present in our data reduction and interpretation related to the astrometry, photometry, and spectroscopy extraction process, the atmosphere model used or the assumption on the system itself;
- 2.
- the system has higher multiplicity than observed;
- 3.
- evolutionary model predictions are correct and the age estimate of TWA22 AB is currently incorrect. TWA22 AB would then be slightly older and aged of 30 Myr;
- 4.
- finally, the TWA22 AB age is 8 Myr and evolutionary models themselves do not correctly predict the physical properties of very low-mass stars at young ages.
![]() |
Figure 12: Top-left: comparison of the binary direct mass measurement for different TW Hydrae age estimations (Barrado Y Navascués 2006; Scholz et al. 2007; de la Reza et al. 2006) with the predicted masses of the BCAH98 tracks derived from MK. Errors on the photometry are propagated on predictions (dotted lines). Bottom-left: same as top-left but for predictions from MH. Top-right: same as top-left but for predictions from MJ. Bottom-right: Same as top-left but for predictions from our estimated TWA22 A/B luminosities. In this plan, predictions from BCAH98, D'Antona & Mazzitelli (1994), and D'Antona & Mazzitelli (1997) models are nearly the same within our uncertainties. |
| Open with DEXTER | |
5.2 Data reduction and interpretation uncertainties
Systematics on the estimation of the relative position and near-IR fluxes of TWA22 A and B seems very unlikely. Our analysis relies on several imaging analysis techniques (aperture photometry, PSF fitting, deconvolution), already used and tested in various contexts. The tight binary TWA22 AB does not itself represent a difficult case. In addition, at each epoch, consistent results were found on several observing sequences obtained during the night.
Systematics in the spectroscopic observation and extraction seem more probable for determining effective temperature and surface gravity. Differential flux losses over the J or H+K spectral range may have occurred because of the limited size of the SINFONI field of view. The impact of this effect can be simulated by adding a linear slope in our spectral minimization over the different spectral bands. The results do not change our analysis significantly based on continuum fitting or spectral indexes. It does not affect the study of narrow lines and our surface gravity estimation at all. A nonlinear differential flux loss could be responsible for our failure to faithfully reproduce the TWA22 A and B spectra in H-band using either empirical or synthetic libraries. Finally, the atmosphere models were also used in various conditions (metallicity, mixing length, different opacity tables) without drastically changing our results.
5.3 Higher multiplicity hypothesis
Considering that our data reduction and analysis are robust, we may wonder whether our basic assumptions concerning the system itself are correct. Actually, we cannot exclude from our observations that TWA22 AB is a multiple system of a higher order. One or even both components could be in fact unresolved binaries. In such a case, the derived effective temperatures, as well as the estimated spectral types, would not be strongly modified.
Dynamically speaking, the stability of the system would require the
separation of the individual subcomponents to be significantly less than
the size of the main orbit, typically by a factor 3-4 (Artymowicz & Lubow 1994).
To refine this estimate in the present case, we performed 3-body
simulations using the symplectic code HJS (Beust 2003) dedicated to
hierarchical systems. We assumed the fitted orbit and split one of
the two components into 2 equal mass bodies, with a coplanar orbit
with respect to the wide orbit and a given semi-major axis,
and assumed initial zero eccentricity. We find that the
system remains stable up to a separation of ![]()
AU between the two subcomponents. This is a priori
the most stable configuration, because a split into unequal masses would
lead to less stability for the lighter component. We also checked that
highly inclined relative configurations are physically unstable: they inevitably lead to a strong
Kozai resonance characteristic for triple systems
(Beust et al. 1997; Kozai 1962) that cause
the eccentricity of the inner orbit to be pumped up to
1,
leading to a physical collision between the two individual components.
Because of this, 0.4 AU can be considered as the widest possible
separation for
hypothetical sub-components. This agree with Artymowicz & Lubow (1994).
A separation of 0.4 AU (
22 mas) remains below the PSF of the VLT/NACO images (
1 AU
given the distance of TWA22). This would explain why the inner binary
would not be resolved. However, we did not notice any PSF-lengthening
in the images. With a separation of 0.4 AU, we could expect to see
one. Does it suggest that the actual separation is significantly smaller?
An orbit with 0.4 AU separation would correspond to an orbital period
of 0.8 yr and a radial velocity wobble of
if we take the
inclination
into account with respect to the plane of the sky.
Even though unlikely, this modulation could not have been detected
during the monitoring (split up into two periods of 6
and 1 months). But if we assume a separation of
0.1 AU
to be compatible with the absence of PSF-lengthening, now the radial
velocity wobble jumps to
over a 0.1 yr period. Such a variation was not detected in the radial velocity dataset (see Teixeira et al. 2009). Finally, no photocenter scatter is present around our two-body orbital solution. A motion of
5 mas is expected along the orbital period for a separation of
0.1 AU between the subcomponents.
Ultimately, we cannot definitely rule out the possibility that at least one of the two components of TWA22 is itself a binary, consisting of two nearly equal mass bodies. But combined dynamical and observational constraints show that the range of possible separations is fairly narrow, typically 0.1-0.2 AU. Also the system needs to be at least roughly coplanar.
5.4 Age and membership of TWA22 AB
Given the good agreement between observations and model predictions at 30 Myr, we can consider that the current age estimate of TWA22 AB is possibly incorrect. This age is currently inferred from the membership to TWA. Since the age of TWA is well established at 8 Myr from various age diagnostics, a reliable explanation concerns the membership to TWA itself.
S03 identified TWA22 as a new member of TWA mainly from the
observed Li absorption line at 6708 Å and H
emission line. The Li line
is stronger (EW=510 mÅ) than those of early-M dwarfs members of
Pic, which led S03 to suggest an age
10 Myr (see Fig. 8 of S03). They derived in addition a photometric distance of 22 pc for
TWA22, confirming the proximity of this young system. More recently, Mamajek (2005) has discussed the membership of
TWA22 AB to TWA based on its kinematics
properties and estimates a probability of 2%
for TWA22 to be a member of TWA from an implemented convergence point
technique (de Bruijne 1999). However,
Song et al. (2006) mentioned that the strong Li line of
TWA22 AB is observed only for young active M dwarfs in the direction
of TWA with the exception of a very few M-type members of the
Pictoris moving group (BPMG). Finally, Men-tuch et al. (2008)
obtained a new visible high-resolution spectrum of TWA22 AB. They
confirm the strong equivalent line of the 6708 Å lithium
absorption (
mÅ, the strongest measured in their sample composed of young association members). They estimate
of
K (compatible with the individual
derived in Part 4.4) and
dex for the unresolved system. These new elements tend to confirm that TWA22 is a young system (age
30 Myr; see BCAH98 predictions).
To reconcile past and present results, we can consider the possibility
that TWA22 AB is a member of the BPMG. With an
spectral
type, TWA22 AB is probably close to the Li-depletion boundary (LDB) of
TWA or
Pic, which could possibly explain a significantly stronger
EW(Li) than those observed for early-M dwarfs of these two
associations. We also notice that the
6708 Å line shows some variations between the S03 and M08 measurements. In addition, the observed EW(H
)
of TWA22, used as a second indicator of youth, is compatible with those of GJ799 A
and B, M4.5 members of
Pic (Jayawardhana et al. 2006).
Finally, the projected position of TWA22 AB reveals that the system is isolated from other members of TWA. Its distance is more compatible with the mean distance of the BPMG members. Teixeira et al. (2009) have recently measured the proper motion, the trigonometric parallax, and the mean radial velocity of TWA22 AB. They determined for the first time the heliocentric space motion of TWA22 AB. From a detailed kinematic analysis they did not rule out TWA22 from TW Hydrae but demonstrated that it was a more probable member of the BPMG.
6 Conclusions
NACO resolved for the first time the young object TWA
22 as a tight binary with a projected separation of 1.76 AU. 80% of
the binary orbit was covered during a 4-year observation program
conducted with this instrument. We inferred a
total mass for the system and obtained the individual magnitudes of
each component in the near infrared. This places TWA22 A and B at the
substellar boundary. We complete the characterization of the system
components with medium resolution individual SINFONI spectra in the
J, H, and K bands. Our spectra were compared
with the empirical library of young and field M dwarfs. We derived an M6
1 spectral type from continuum fitting, spectral indexes and
equivalent widths. Spectral templates were also used to estimate
K for TWA22 A and
K for TWA22 B, and the surface gravity was
constrained to
dex. These fundamental properties can be directly compared with commonly used
evolutionary tracks provided that the age of the system is known accurately.
The age of TWA22 was still a matter of debate at the beginning of our study. TWA22 was reported as a member of the young association TW Hydrae, and alternatively as a possible member of the BPMG. At the age of TW Hydrae and BPMG, the new and precious benchmark brought by this system seems to point to an underestimation of the predicted mass from our photometry. However, the dynamical mass appears correctly estimated by the models if we consider a 30 Myr old system. This led us to reconsider the membership of TWA22.
While the spectroscopy tends to confirm the youth of this system, a recent kinematic study rejected TWA22 as a member of the TW Hydrae and of the 30 Myr old Tucana-Horologium associations. It did not exclude the membership of TWA22 to the BPMG. Also, we cannot rule out the possibility that TWA22 is not associated with any of these moving groups.
Finally, we do not firmly exclude that the TWA22 AB component could in fact be unresolved binaries with coplanar inner orbits characterized by semi-major axis lower than 0.4 AU. The model predictions would match the measured dynamical mass of a triple or quadruple system. In this context, future monitoring of TWA22 AB with improved angular resolution could allow the resolution of the hypothetical inner binaries.
AcknowledgementsWe thank the referee for an excellent and thorough review, which helped to improve our manuscript considerably. We thank the ESO Paranal staff for performing the service mode observations. We also acknowledge partial financial support from the Agence National de la Recherche and the Programmes Nationaux de Plantologie et de Physique Stellaire (PNP & PNPS), in France. We are grateful to Andreas Seifahrt, Laird Close, Eric Nielsen, Catherine L. Slesnick, Nadya Gorlova, Katelyne N. Allers, and Nicolas Lodieu for providing their spectra. This work would have not been possible without the NIRSPEC and UKIRT libraries provided by Ian S. McLean, Michael C. Cushing, and John T. Rayner. We also would like to thank Peter H. Hauschildt, France Allard, and Isabelle Baraffe for their input on evolutionary models and synthetic spectral libraries. Finally, we thank Carlos Torres, Michael Sterzik, and Ben Zuckerman, who gave use precious insights into the discussion.
References
- Allard, F., Hauschildt, P. H., Alexander, D. R., Tamanai, A., & Schweitzer, A. 2001, ApJ, 556, 357 [NASA ADS] [CrossRef]
- Allers, K. N., Jaffe, D. T., Luhman, K. L., et al. 2007, ApJ, 657, 511 [NASA ADS] [CrossRef]
- Artymowicz, P., & Lubow, S. H. 1994, ApJ, 421, 651 [NASA ADS] [CrossRef]
- Baraffe, I., Chabrier, G., Allard, F., & Hauschildt, P. H. 1998, A&A, 337, 403 [NASA ADS]
- Barrado Y Navascués, D. 2006, A&A, 459, 511 [NASA ADS] [CrossRef] [EDP Sciences]
- Beust, H. 2003, A&A, 400, 1129 [NASA ADS] [CrossRef] [EDP Sciences]
- Beust, H., Corporon, P., Siess, L., Forestini, M., & Lagrange, A.-M. 1997, A&A, 320, 478 [NASA ADS]
- Boccaletti, A., Chauvin, G., Baudoz, P., & Beuzit, J.-L. 2008, A&A, 482, 939 [NASA ADS] [CrossRef] [EDP Sciences]
- Boden, A. F., Sargent, A. I., Akeson, R. L., et al. 2005, ApJ, 635, 442 [NASA ADS] [CrossRef]
- Bonnet, H., Ströbele, S., Biancat-Marchet, F., et al. 2003, in Adaptive Optical System Technologies II, ed. P. L. Wizinowich, & D. Bonaccini, Proc. SPIE, 4839, 329
- Brott, I., & Hauschildt, P. H. 2005, in The Three-Dimensional Universe with Gaia, ed. C. Turon, K. S. O'Flaherty, & M. A. C. Perryman, ESA SP, 576, 565
- Burgasser, A. J. 2007, AJ, 134, 1330 [NASA ADS] [CrossRef]
- Chabrier, G., Baraffe, I., Allard, F., & Hauschildt, P. 2000, ApJ, 542, 464 [NASA ADS] [CrossRef]
- Chauvin, G., Lagrange, A.-M., Dumas, C., et al. 2005, A&A, 438, L25 [NASA ADS] [CrossRef] [EDP Sciences]
- Close, L. M., Lenzen, R., Guirado, J. C., et al. 2005, Nature, 433, 286 [NASA ADS] [CrossRef]
- Close, L. M., Thatte, N., Nielsen, E. L., et al. 2007, ApJ, 665, 736 [NASA ADS] [CrossRef]
- Cushing, M. C., Rayner, J. T., Davis, S. P., & Vacca, W. D. 2003, ApJ, 582, 1066 [NASA ADS] [CrossRef]
- Cushing, M. C., Rayner, J. T., & Vacca, W. D. 2005, ApJ, 623, 1115 [NASA ADS] [CrossRef]
- Cutri, R. M., Skrutskie, M. F., van Dyk, S., et al. 2003, 2MASS All Sky Catalog of point sources, The IRSA 2MASS All-Sky Point Source Catalog, NASA/IPAC Infrared Science Archive, http://irsa.ipac.caltech.edu/applications/Gator/
- D'Antona, F., & Mazzitelli, I. 1994, ApJS, 90, 467 [NASA ADS] [CrossRef]
- D'Antona, F., & Mazzitelli, I. 1997, Mem. Soc. Astron. Ital., 68, 807 [NASA ADS]
- de Bruijne, J. H. J. 1999, MNRAS, 306, 381 [NASA ADS] [CrossRef]
- de la Reza, R., Jilinski, E., & Ortega, V. G. 2006, AJ, 131, 2609 [NASA ADS] [CrossRef]
- Devillard, N. 1997, The Messenger, 87, 19 [NASA ADS]
- Diolaiti, E., Bendinelli, O., Bonaccini, D., et al. 2000, in Adaptive Optical Systems Technology, ed. P. L. Wizinowich, Proc. SPIE Vol., 4007, 879
- Dumas, C., Terrile, R. J., Brown, R. H., Schneider, G., & Smith, B. A. 2001, AJ, 121, 1163 [NASA ADS] [CrossRef]
- Eisenhauer, F., Abuter, R., Bickert, K., et al. 2003, in Instrument Design and Performance for Optical/Infrared Ground-based Telescopes, ed. M. Iye, & A. F. M. Moorwood, Proc. SPIE, 4841, 1548
- Golimowski, D. A., Leggett, S. K., Marley, M. S., et al. 2004, AJ, 127, 3516 [NASA ADS] [CrossRef]
- Gorlova, N. I., Meyer, M. R., Rieke, G. H., & Liebert, J. 2003, ApJ, 593, 1074 [NASA ADS] [CrossRef]
- Hillenbrand, L. A., & White, R. J. 2004, ApJ, 604, 741 [NASA ADS] [CrossRef]
- Högbom, J. A. 1974, A&AS, 15, 417 [NASA ADS]
- Jayawardhana, R., Coffey, J., Scholz, A., Brandeker, A., & van Kerkwijk, M. H. 2006, ApJ, 648, 1206 [NASA ADS] [CrossRef]
- Kastner, J. H., Zuckerman, B., Weintraub, D. A., & Forveille, T. 1997, Science, 277, 67 [NASA ADS] [CrossRef]
- Kirkpatrick, J. D., Barman, T. S., Burgasser, A. J., et al. 2006, ApJ, 639, 1120 [NASA ADS] [CrossRef]
- Kozai, Y. 1962, AJ, 67, 591 [NASA ADS] [CrossRef]
- Leggett, S. K., Allard, F., Berriman, G., Dahn, C. C., & Hauschildt, P. H. 1996, ApJS, 104, 117 [NASA ADS] [CrossRef]
- Lenzen, R., Hofmann, R., Bizenberger, P., & Tusche, A. 1998, in Infrared Astronomical Instrumentation, ed. M. F. Albert, Proc. SPIE, 3354, 606
- Lodieu, N., Hambly, N. C., Jameson, R. F., & Hodgkin, S. T. 2008, MNRAS, 383, 1385 [NASA ADS]
- Lucas, P. W., Roche, P. F., Allard, F., & Hauschildt, P. H. 2001, MNRAS, 326, 695 [NASA ADS] [CrossRef]
- Luhman, K. L., Stauffer, J. R., Muench, A. A., et al. 2003, ApJ, 593, 1093 [NASA ADS] [CrossRef]
- Mamajek, E. E. 2005, ApJ, 634, 1385 [NASA ADS] [CrossRef]
- Mathieu, R. D., Baraffe, I., Simon, M., Stassun, K. G., & White, R. 2007, in Protostars and Planets V, ed. B. Reipurth, D. Jewitt, & K. Keil, 411
- McCaughrean, M. J., & Stauffer, J. R. 1994, AJ, 108, 1382 [NASA ADS] [CrossRef]
- McGovern, M. R., Kirkpatrick, J. D., McLean, I. S., et al. 2004, ApJ, 600, 1020 [NASA ADS] [CrossRef]
- McLean, I. S., McGovern, M. R., Burgasser, A. J., et al. 2003, ApJ, 596, 561 [NASA ADS] [CrossRef]
- Mentuch, E., Brandeker, A., van Kerkwijk, M. H., Jayawardhana, R., & Hauschildt, P. H. 2008, ApJ, 689, 1127 [NASA ADS] [CrossRef]
- Modigliani, A., Hummel, W., Abuter, R., et al. 2007, ArXiv Astrophysics e-prints
- Mohanty, S., Jayawardhana, R., Huélamo, N., & Mamajek, E. 2007, ApJ, 657, 1064 [NASA ADS] [CrossRef]
- Prato, L., Simon, M., Mazeh, T., Zucker, S., & McLean, I. S. 2002, ApJ, 579, L99 [NASA ADS] [CrossRef]
- Rousset, G., Lacombe, F., Puget, P., et al. 2000, in Adaptive Optical Systems Technology, ed. P. L. Wizinowich, Proc. SPIE, 4007, 72
- Scholz, A., Coffey, J., Brandeker, A., & Jayawardhana, R. 2007, ApJ, 662, 1254 [NASA ADS] [CrossRef]
- Schwartz, U. J. 1978, A&A, 65, 345 [NASA ADS]
- Sembach, K. R., & Savage, B. D. 1992, ApJS, 83, 147 [NASA ADS] [CrossRef]
- Slesnick, C. L., Hillenbrand, L. A., & Carpenter, J. M. 2004, ApJ, 610, 1045 [NASA ADS] [CrossRef]
- Song, I., Zuckerman, B., & Bessell, M. S. 2003, ApJ, 599, 342 [NASA ADS] [CrossRef]
- Song, I., Schneider, G., Zuckerman, B., et al. 2006, ApJ, 652, 724 [NASA ADS] [CrossRef]
- Stassun, K. G., Mathieu, R. D., & Valenti, J. A. 2007, ApJ, 664, 1154 [NASA ADS] [CrossRef]
- Teixeira, R., Ducourant, C., Chauvin, G., et al. 2009, A&A, 503, 281 [NASA ADS] [CrossRef] [EDP Sciences]
- Torres, C. A. O., Quast, G. R., Melo, C. H. F., & Sterzik, M. F. 2008, ArXiv e-prints, 808
- Veran, J.-P., & Rigaut, F. J. 1998, in Adaptive Optical System Technologies, ed. D. Bonaccini, & R. K. Tyson, Proc. SPIE, 3353, 426
- Zuckerman, B., & Song, I. 2004, ARA&A, 42, 685 [NASA ADS] [CrossRef]
Footnotes
- ... models?
- Based on service-mode observations (072.C-0644, 073.C-0469, 075.C-0521, 076.C-0554, 078.C-0510, 080.C-0581) collected at the European Organisation for Astronomical Research in the Southern Hemisphere, Chile.
- ...Starfinder
- IDL procedures can be downloaded at http://www.bo.astro.it/ giangi/StarFinder/index.htm.
All Tables
Table 1: Observing log.
Table 2: Mean plate scale and detector orientation for our different observing NACO runs.
Table 3: Relative positions and contrasts of TWA22 A and B, with magnitude differences given in the NACO photometric system.
Table 4:
TWA22 B orbital parameters as determined from the fit of the
astrometric data (see text for the definition of the parameters) with the reduced
of the fit.
Table 5: TWA22 A and B individual magnitudes converted into the 2MASS system.
All Figures
![]() |
Figure 1:
VLT/NACO image of TWA22 AB obtained in H-band with the
S13 camera on 2007 December 26. North is up and east is left. The field of view is
|
| Open with DEXTER | |
| In the text | |
![]() |
Figure 2: Orbital fit of the relative positions of TWA22 AB observed from March 2004 to December 2007, as projected onto the plane of the sky. The crosses represent the observational data with their error bars, the solid line is the fitted projected orbit, and the dots correspond to the predicted positions of the model at the times of the observations. The dashed line sketches the projected direction of the periastron of the orbit. On January 8, 2006, the binary was actually very close to periastron. |
| Open with DEXTER | |
| In the text | |
![]() |
Figure 3:
Color (J-K) - magnitude (MKs) diagram of
TWA22 A and B compared with the photometry of young M dwarfs
members of the TW Hydrae ( |
| Open with DEXTER | |
| In the text | |
![]() |
Figure 4: TWA22 A and B spectra compared to spectra of M5 to M8 dwarfs. The M6 dwarf spectrum reproduces the J bands of TWA22 A and B. However, our spectra seem to have a slightly redder slope. We report identified atomic features (blue). Molecular absorptions (FeH bands were identified by Cushing et al. 2003) are flagged in green and telluric residuals in orange. Atomic absorptions are indicated in blue. |
| Open with DEXTER | |
| In the text | |
![]() |
Figure 5: Same as Fig. 4 but for H band. In this case, differences between M6V field dwarf spectrum and TWA22 spectra are important. This could arise from low gravity or flux losses introduced either in the standard star datacube and during the extraction process. |
| Open with DEXTER | |
| In the text | |
![]() |
Figure 6: Same as Fig. 4 but for the K band. Spectra look like an M6V field dwarf. |
| Open with DEXTER | |
| In the text | |
![]() |
Figure 7: Comparison of the TWA22 B J band spectrum (red) to spectra (black) of young Upper Sco and Orion nebulae cluster objects (Slesnick et al. 2004; Lodieu et al. 2008). We clearly notice that the TWA22 B spectral slope is redder than that for reference spectra. The TWA22 B spectrum is very similar to those of young M6 and M7 dwarfs. We report identified atomic features (flagged in blue). Molecular absorptions (FeH bands were identified by Cushing et al. 2003) are flagged in green and telluric residuals in orange. |
| Open with DEXTER | |
| In the text | |
![]() |
Figure 8: Comparison of the TWA22 B K band spectrum (red) to spectra of young Upper Sco standards (black) at R=350 (Gorlova et al. 2003). The TWA22 B spectrum was convolved with a Gaussian to match the resolution of standard star spectra. Our spectrum is reproduced by spectra of young M5.5 and M7 dwarfs. |
| Open with DEXTER | |
| In the text | |
![]() |
Figure 9:
H2O spectral indexes computed on libraries of
field (McLean et al. 2003; Cushing et al. 2005) and young dwarfs spectra (Slesnick et al. 2004; Lodieu et al. 2008). Redundancies between
libraries have been checked. Young dwarfs M4-L2 dwarfs follow trends of the field dwarfs except for H2O D. Using H2OA, H2OC, and the recently defined Allers H2O index at 1.55 |
| Open with DEXTER | |
| In the text | |
![]() |
Figure 10:
Equivalent widths in the K I lines computed on libraries of young
and field dwarf spectra. Young dwarf spectra have weak K I lines
and therefore low equivalent widths compared to field dwarfs as a
consequence of their low surface gravity. TWA22 A and B values are
reported as red and green lines, respectively, with their associated
uncertainties (dashed lines). If we assume a spectral type M6 |
| Open with DEXTER | |
| In the text | |
![]() |
Figure 11: Iso-contours plots of K I lines equivalent widths computed on each spectral template of the GAIA library v2.6.1 Red color indicates high values. The contours for TWA22 A (red) and B (blue) pseudo-equivalents widths values are overplotted. The long-dashed lines represent limits on TWA22 A (red) and TWA22 B (blue) temperatures. Gravity is estimated inside these temperatures boxes. |
| Open with DEXTER | |
| In the text | |
![]() |
Figure 12: Top-left: comparison of the binary direct mass measurement for different TW Hydrae age estimations (Barrado Y Navascués 2006; Scholz et al. 2007; de la Reza et al. 2006) with the predicted masses of the BCAH98 tracks derived from MK. Errors on the photometry are propagated on predictions (dotted lines). Bottom-left: same as top-left but for predictions from MH. Top-right: same as top-left but for predictions from MJ. Bottom-right: Same as top-left but for predictions from our estimated TWA22 A/B luminosities. In this plan, predictions from BCAH98, D'Antona & Mazzitelli (1994), and D'Antona & Mazzitelli (1997) models are nearly the same within our uncertainties. |
| Open with DEXTER | |
| In the text | |
Copyright ESO 2009
Current usage metrics show cumulative count of Article Views (full-text article views including HTML views, PDF and ePub downloads, according to the available data) and Abstracts Views on Vision4Press platform.
Data correspond to usage on the plateform after 2015. The current usage metrics is available 48-96 hours after online publication and is updated daily on week days.
Initial download of the metrics may take a while.
![\begin{figure}
\par\includegraphics[width=6cm,clip]{10921f01.eps}
\end{figure}](/articles/aa/full_html/2009/41/aa10921-08/Timg36.png)





![\begin{figure}
\par\includegraphics[width=8.5cm,clip]{10921f02.eps}
\end{figure}](/articles/aa/full_html/2009/41/aa10921-08/Timg117.png)
![\begin{figure}
\par\includegraphics[width=8cm,clip]{10921f03.eps}
\end{figure}](/articles/aa/full_html/2009/41/aa10921-08/Timg119.png)
![\begin{figure}
\par\includegraphics[width=7.5cm,clip]{10921f04.eps}
\end{figure}](/articles/aa/full_html/2009/41/aa10921-08/Timg121.png)
![\begin{figure}
\par\includegraphics[width=7.5cm,clip]{10921f05.eps}
\end{figure}](/articles/aa/full_html/2009/41/aa10921-08/Timg122.png)
![\begin{figure}
\par\includegraphics[width=7.5cm,clip]{10921f06.eps}
\end{figure}](/articles/aa/full_html/2009/41/aa10921-08/Timg123.png)
![\begin{figure}
\par\includegraphics[width=7.5cm,clip]{10921f07.eps}
\end{figure}](/articles/aa/full_html/2009/41/aa10921-08/Timg124.png)
![\begin{figure}
\par\includegraphics[width=7.5cm,clip]{10921f08.eps}
\end{figure}](/articles/aa/full_html/2009/41/aa10921-08/Timg125.png)
![\begin{figure}
\par\includegraphics[width=8.5cm,clip]{10921f09.eps}
\end{figure}](/articles/aa/full_html/2009/41/aa10921-08/Timg135.png)
![\begin{figure}
\par\includegraphics[width=8.5cm,clip]{10921f10.eps}
\end{figure}](/articles/aa/full_html/2009/41/aa10921-08/Timg136.png)
![\begin{figure}
\par\includegraphics[width=8.5cm,clip]{10921f11.eps}
\end{figure}](/articles/aa/full_html/2009/41/aa10921-08/Timg143.png)
![\begin{figure}
\par\includegraphics[width=8.5cm,clip]{10921f12.eps}
\end{figure}](/articles/aa/full_html/2009/41/aa10921-08/Timg144.png)