Issue |
A&A
Volume 506, Number 2, November I 2009
|
|
---|---|---|
Page(s) | 661 - 675 | |
Section | Extragalactic astronomy | |
DOI | https://doi.org/10.1051/0004-6361/200811572 | |
Published online | 27 August 2009 |
A&A 506, 661-675 (2009)
Physical conditions in high-redshift
GRB-DLA absorbers observed with VLT/UVES: implications for molecular
hydrogen searches![[*]](/icons/foot_motif.png)
C. Ledoux1 - P. M. Vreeswijk2 - A. Smette1 - A. J. Fox1 - P. Petitjean3 - S. L. Ellison4 - J. P. U. Fynbo2 - S. Savaglio5
1 - European Southern Observatory, Alonso de Córdova 3107, Casilla
19001, Vitacura, Santiago 19, Chile
2 - Dark Cosmology Centre, Niels Bohr Institute, University of
Copenhagen, Juliane Maries Vej 30, 2100 Copenhagen Ø, Denmark
3 - Institut d'Astrophysique de Paris, CNRS and UPMC Paris 6, UMR 7095,
98bis boulevard Arago, 75014 Paris, France
4 - Department of Physics and Astronomy, University of Victoria,
Victoria, BC, V8P 1A1, Canada
5 - Max-Planck-Institut für Extraterrestrische Physik,
Giessenbachstrasse, PF 1312, 85748 Garching bei München, Germany
Received 22 December 2008 / Accepted 15 June 2009
Abstract
Aims. We aim to understand the nature of the
absorbing
neutral gas in the galaxies hosting high-redshift long-duration
gamma-ray bursts (GRBs) and to determine their physical conditions.
Methods. A detailed analysis of high-quality
VLT/UVES spectra of the optical afterglow of GRB 050730 and
other Swift-era bursts is presented.
Results. We report the detection of a significant
number of previously unidentified allowed transition lines of Fe+,
involving the fine structure of the ground term (
,
,
,
)
and that of other excited levels (
,
,
,
,
,
), from the
,
,
damped Lyman-
(DLA) system located in the host galaxy of GRB 050730. No
molecular hydrogen (H2) is detected down to a
molecular fraction of
.
We derive accurate metal abundances for Fe+, S+,
N0, Ni+, and, for the
first time in this system, Si+ and Ar0.
The absorption lines are best-fit as a single narrow velocity component
at
.
The time-dependent evolution of the observed Fe+
energy-level populations is modelled by assuming the excitation
mechanism is fluorescence following excitation by ultraviolet photons
emitted by the afterglow of GRB 050730. This UV pumping model
successfully reproduces the observations, yielding a total Fe+
column density of
,
a burst/cloud distance (defined to the near-side of the cloud) of
pc,
and a linear cloud size of
l=520+240-190 pc.
This application of
our photo-excitation code demonstrates that burst/DLA distances can be
determined without strong constraints on absorption-line variability
provided enough energy levels are detected. From the cloud size, we
infer a particle density of
cm-3.
Conclusions. We discuss these results in the context
of no detections of H2 and C I
lines (with
)
in a sample of seven z>1.8 GRB host galaxies
observed with VLT/UVES. We show that the lack of H2
can be explained by the low metallicities,
,
low depletion factors, and, at most, moderate particle densities of the
systems. This points to a picture where GRB-DLAs typically exhibiting
very high H0 column densities are diffuse
metal-poor atomic clouds with high kinetic temperatures,
K,
and large physical extents,
pc.
The properties of GRB-DLAs observed at high spectral resolution towards
bright GRB afterglows differ markedly from the high metal and dust
contents of GRB-DLAs observed at lower resolution. This difference
likely results from the effect of a bias, against systems of high
metallicity and/or close to the GRB, due to dust obscuration in the
magnitude-limited GRB afterglow samples observed with high-resolution
spectrographs.
Key words: gamma rays: bursts - Galaxy: abundances - galaxies: ISM - galaxies: quasars: absorption lines - cosmology: observations
1 Introduction
Thanks to prompt response, most notably on 8-10 m-class
ground-based
telescopes, high-resolution optical spectroscopy of rapidly fading
long-duration ( s)
gamma-ray burst (GRB) afterglows provides
detailed information on the kinematics, chemical abundances, and
physical state of the gaseous component of circumburst, host galaxy
interstellar and intergalactic matter intervening these lines of sight
(e.g., Jakobsson
et al. 2004). At the GRB host-galaxy redshift,
large amounts of neutral, singly, and highly ionized gas are usually
seen
(e.g., Fiore
et al. 2005; Prochaska et al. 2007b;
Fox
et al. 2008),
including the highest neutral hydrogen column densities measured to
date at high redshift from UV absorption-line spectroscopy
(e.g., Chen
et al. 2005; Berger et al. 2006;
Vreeswijk
et al. 2004).
While such high H0 column densities suggest an
origin in the
immediate surroundings of the GRB and/or the inner regions of its
host, the overall H0 column density distribution
of the absorbers
is fairly flat (Jakobsson
et al. 2006), with values as low as
up to 1022.6 atoms cm-2(Prochaska
et al. 2008; Watson et al. 2006),
illustrating the
diversity of environments probed by the observations. Metallicities
measured in the H0 gas vary widely from less
than 1/100th
of solar to nearly solar - with a tendency for low metallicities -
(Prochaska
et al. 2007b; Fynbo et al. 2006),
consistent with an
origin in dwarf and/or low-mass galaxies and the currently favoured
scenario for long-duration GRBs, the collapse of a massive Wolf-Rayet
star endowed with rotation
(Woosley
1993; Woosley & Heger 2004;
MacFadyen
& Woosley 1999).
Several nearby long-duration GRBs have now been shown to be associated with supernovae explosions (Pian et al. 2006; Malesani et al. 2004; Stanek et al. 2003; Hjorth et al. 2003; Galama et al. 1998), providing the most direct evidence that the progenitors of long-duration GRBs are indeed massive stars. As most star formation occurs within molecular clouds, it is generally expected that the latter are the birthplaces of many GRBs. However, although various studies (Galama & Wijers 2001; Reichart & Price 2002) have argued in favour of a link between molecular clouds and GRBs, compelling observational evidence such as the detection of molecular hydrogen (H2) in GRB optical spectra is lacking (Tumlinson et al. 2007; Vreeswijk et al. 2004). As absorption lines related to ground-state or vibrationally excited H2 energy levels should be detectable (Draine & Hao 2002), the absence of detection so far suggests that any H2 molecules in the immediate vicinity of a GRB are dissociated by the intense X-ray/UV afterglow flux. However, an H II region around the progenitor, or its star cluster, would also be sufficient to ionize H0 and dissociate H2 up to distances of 50-100 pc (Whalen et al. 2008).
Unlike intervening QSO absorbers and damped Lyman-
(DLA)
systems (
atoms cm-2)
observed in QSO
spectra, strong absorption lines involving fine-structure and other
metastable levels of ions such as O0, Si+,
and Fe+ are
ubiquitous in GRB-DLAs
(Penprase
et al. 2006; Prochaska et al. 2007a;
Vreeswijk
et al. 2007; Thöne et al. 2008;
Vreeswijk
et al. 2004; D'Elia et al. 2007;
Chen
et al. 2005; Prochaska et al. 2006;
Berger
et al. 2006).
These levels could be populated by collisions with electrons if the
particle density per unit volume is high enough, by indirect
excitation by IR photons, or by the UV flux from the GRB afterglow. In
Vreeswijk et al.
(2007), the detection of the time variability of
absorption lines (see also Dessauges-Zavadsky
et al. 2006) involving the
fine structure of the ground term and other metastable energy levels
of both Fe+ and Ni+
towards GRB 060418 was successfully
modelled. This demonstrated that UV pumping followed by de-excitation
cascades is the mechanism at play to form these lines as suggested by
Prochaska et al.
(2006). The burst/DLA distance inferred in the
above case, d = 1.7 kpc, represented the
first determination of the
distance of the bulk of the absorbing neutral material to a GRB
explosion site. This is consistent with lower limits on the distance,
pc,
derived from the observation of strong associated
Mg I absorption in, e.g.,
GRB 051111, which excludes
significant photo-ionization effects (Prochaska
et al. 2006).
Searches for molecular hydrogen in GRB-DLAs, thus equivalently in the interstellar medium (ISM) of GRB host galaxies, have led to negative results till now, though in two cases, towards GRB 050401 and GRB 060206, tentative evidence of H2 lines has been reported (Fynbo et al. 2006; Watson et al. 2006). The H2column-density upper limits derived in a handful of cases from the non-detection of UV absorption lines are somewhat surprising given the very high H0 column densities observed in some GRB-DLAs. Indeed, in the Galactic ISM such clouds are found to be nearly fully molecular (see, e.g., Savage et al. 1977; Jenkins & Shaya 1979). However, several factors could reduce the amount of H2 present in DLAs: low metallicity, low particle density, strong ambient UV radiation field, and/or, in the case of GRBs, the UV flux from the afterglow itself. Tumlinson et al. (2007) argue that the influence of the latter is negligible and that a combination of low metallicity and extreme UV radiation field from nearby star-forming regions - expected to be present in GRB hosts - must be invoked to explain not detecting H2 along GRB lines of sight (see also Whalen et al. 2008). However, given the extremely small GRB-DLA sample size and the handful of systems considered so far, it is still unclear whether H2 in GRB host galaxies is really deficient compared to QSO-DLAs and, if so, why.
In this paper, we present an independent, thorough analysis of high-quality UVES spectra of GRB 050730 secured by Fiore et al. (ESO prog. ID 075.A-0603) at two consecutive epochs after the burst. This line of sight exhibits one of the highest H0 column density DLAs ever observed in GRB afterglow spectra (Starling et al. 2005; D'Elia et al. 2007; Chen et al. 2005) with a metallicity at the low end of the distribution for GRB hosts (see D'Elia et al. 2007; Prochaska et al. 2007a; Chen et al. 2005; see also this paper, Sect. 2.2.1). For the first time, we identify in the spectrum of this GRB afterglow absorption lines that originate from numerous Fe+ metastable energy levels. In addition, we self-consistently model the time-dependent evolution of the energy-level populations. This allows us to determine the distance of the bulk of the neutral gas to the GRB explosion site and the size of the absorbing cloud, and to address the question of whether the GRB 050730 afterglow flux is responsible for the observed stringent upper limit on the H2 molecular fraction. We then discuss in a more general context the non-detections of H2 molecules taking advantage of the current sample of seven VLT/UVES spectra of Swift-era, z>1.8, GRB host absorbers. We compare them to QSO-DLAs where H2 has been searched for at high spectral resolution to gain insights into the physical conditions prevailing in GRB-DLAs.
This paper is organised as follows. In Sect. 2.1, we recall basic facts on the observations and explain the data reduction process. In Sect. 2.2, we present a detailed analysis of absorption lines from the GRB host galaxy to constrain the metallicities, H2 content, and photo-excitation of Fe+ in the absorbing cloud. We model the time-dependent evolution of the Fe+ metastable energy-level populations in Sect. 2.3. In Sect. 3, we use H0 photo-ionization and H2 photo-dissociation calculations to assess the influence of the GRB afterglow radiation and the non-detections of H2 in GRB-DLAs in the most up-to-date sample of VLT/UVES spectra. This enables us to discuss the physical nature of GRB-DLAs. Finally, we summarise our findings and comment on future prospects in Sect. 4.
2 GRB 050730
2.1 Observations and data reduction
GRB 050730 was observed with the Ultraviolet and Visual
Echelle
Spectrograph (UVES, Dekker
et al. 2000) mounted at the
Nasmyth-B focus of the ESO VLT, UT 2 - Kueyen, 8.2 m
telescope on
Cerro Paranal observatory. The data were gathered in service mode
through a classical Target-of-Opportunity request by the programme of
Fiore et al. (ESO prog. ID 075.A-0603). Two 3000 s
exposures were
taken consecutively as soon as possible after evening twilight on July
31, 2005, at 00:32 UT and 1:27 UT (mid-exposure
times), corresponding
to, respectively, 4.57 and 5.48 h after the burst. The
approximate
afterglow I-band magnitude at the mid-exposure time
of these two
epochs is I=17.6 and I=18.0 (Pandey et al. 2006).
Standard
instrument configurations with, respectively, Dichroic #1 and
Dichroic #2 were used (both of them using the Blue and Red
spectroscopic arms simultaneously; see also D'Elia et al. 2007).
The first-epoch observations cover the wavelength ranges of 3050-3850
and 4800-6800 Å and the second epoch covers the 3850-4800 and
6800-10 000 Å intervals. There are small overlaps
between the two-epoch spectra and, in addition, two
Å
gaps in the Red due to the physical separation between the two Red CCD
detectors. CCD pixels were binned
,
and the spectrograph
entrance slit width was fixed to
to match the ambient
seeing conditions leading to a resolving power of
km s-1
(FWHM).
The data were reduced using standard techniques for echelle
data
processing with the public version, v2.2.0, of the UVES
pipeline
based on the ESO MIDAS data reduction package. The main
characteristics of the UVES pipeline are to perform robust inter-order
background subtractions for master flat-fields and science frames, and
to allow for optimal extraction of the object signal performing sky
subtraction and rejecting cosmic rays simultaneously. The pipeline
products were checked step by step. The wavelength scale of the
reduced spectra was then converted to vacuum-heliocentric values. Due
to the variable nature of the source, individual exposures were not
co-added. The typical signal-to-noise ratio per pixel achieved in each
of the two reduced afterglow spectra lies in the range 8-15 over
the 4600-9000 Å interval.
2.2 Data analysis
The GRB 050730 line of sight is characterized by the presence
of an
extremely strong DLA absorber at z=3.969. As no
higher redshift
system is observed and Fe II
lines from metastable levels are
also detected, we assume this is the GRB host-galaxy redshift. The
total neutral hydrogen column density of the GRB 050730-DLA
has been
measured in previous analyses
(Starling
et al. 2005; D'Elia et al. 2007;
Chen
et al. 2005)
and the standard deviation of the three available measurements, based
on different datasets, is very small (0.04 dex). We thus adopt
their
average value and combined uncertainty, i.e.,
.
This is fully consistent with our own measurement based on the
UVES data. Numerous metal absorption lines from neutral, singly, and
highly ionized species associated to the GRB-DLA are detected in the
UVES spectra. While D'Elia
et al. (2007) have studied the
multi-component structure of the absorption profiles from a number of
transition lines using the same dataset, we will restrict our analysis
to weak or at most mildly saturated lines. For instance, C II
1334,
C II
1335, O I
1302,
O I
1304, O I
1306,
Si II
1304, and
Si II
1309 ground-term
fine-structure lines are
detected but they are heavily saturated and, therefore, cannot be used
to derive accurate column density or velocity information.
The overall metal absorption profiles from neutral and singly
ionized
species at the GRB host-galaxy redshift are dominated by a single
narrow velocity component at
.
Interestingly,
this component alone represents
90% of the total optical depth
of non-saturated lines. This makes the Voigt-profile modelling of
non-saturated lines from the GRB 050730-DLA cloud, as shown
below,
exceptionally simple and robust.
![]() |
Figure 1:
Normalized UVES spectral portions around weaker lines from neutral and
singly ionized species at the GRB 050730-DLA redshift of
|
Open with DEXTER |
Table 1:
Ionic column densities of neutral and singly ionized species at the
GRB 050730-DLA redshift of
.
2.2.1 Metallicities
We first focus on neutral and singly ionized species excluding Fe+,
which we discuss in Sect. 2.2.3.
Among previous analyses
(D'Elia
et al. 2007; Prochaska et al. 2007a;
Chen
et al. 2005),
column density measurements from unsaturated lines were derived by
Prochaska et al.
(2007a) for S+, N0,
and Ni+. In this
work, we perform simultaneous Voigt-profile fits to the Si II,
Si II,
S II, N I,
Ar I, and
Ni II lines detected in the UVES
spectrum and, with the
exception of Si II
(see below), weak and unblended
enough to allow for an accurate determination of column densities. The
GRB afterglow continuum was normalized locally around the transition
lines of interest using spectral regions with a typical width of
1000 km s-1. In order to fit
the lines, the redshift and the
(assumed-to-be) purely turbulent-broadening parametre values were
required to be the same for all lines and the two epochs of
observations. The atomic data compiled by Morton (2003)
were used for all studied transitions, except for the oscillator
strengths of Ni II
1317, 1370
(Jenkins & Tripp
2006) and the rest-frame wavelengths of S II
1250, 1253 (Morton 1991). The
spectra and best Voigt-profile fits are shown in Fig. 1
and the results summarised in Table 1. The
best-fit turbulent-broadening parametre value is
km s-1.
The column density measurement uncertainties given
in the table are the formal errors provided by FITLYMAN. They do not
include possible additional uncertainties related to the continuum
placement. Throughout the paper, we adopt the solar system abundances
recommended in Lodders
(2003).
Chen
et al. (2005) estimated the overall metallicity of
the
GRB 050730-DLA from the column density of sulphur,
,
further refined to be
by
Prochaska et al.
(2007a). Although not considered in the analysis
of D'Elia et al.
(2007), S II lines are
also detected in
the UVES dataset. In the latter, the 1250 Å feature reaches
zero
residual intensity (see Fig. 1), which is not
the case
in the MIKE spectra acquired practically simultaneously. While the
UVES spectrum is affected by a narrow spike at the location of the
S II
1250 line, it is generally of
significantly higher
quality in terms of S/N ratio and spectral resolution as can be seen
from the comparison of Fig. 1 with
Figs. 2 and 3 from
Prochaska et al. (2007a; or equivalently Fig. 2
from Chen et al.
2005). A simultaneous fit of the S II
1250, 1253 lines in
the first-epoch UVES spectrum
leads us to derive a column density of
,
and a
corresponding metallicity of
,
somewhat lower
than the previous estimates. The higher estimate by
Prochaska et al.
(2007a) is probably caused by the use of the
apparent optical depth method on the blended S II
1253
line (see Fig. 1).
Our result for sulphur is consistent with the Si+
metallicity we
derive from the second-epoch UVES observations:
.
However, we note that there could be some contribution to the
total Si+ column density from the
fine-structure
level of the ground term. The expected position of the Si II
1816 line is badly
blended with a telluric
absorption feature (see Fig. 1; see also
Sect. 2.2.3
for details on the telluric-line spectrum).
Therefore, we shall consider in Table 1 the
result of Voigt-profile fitting of this line strictly as an upper
limit. Given the strength of the blending feature the actual Si+fine-structure
level column density could be at least an order of
magnitude smaller than the value reported in
Table 1.
The
column-density upper limit
derived from the non-detection of the much weaker
1817 line
is 0.15 dex higher than this value (<15.7).
Singly ionized nickel is detected in the UVES spectra at the
two
epochs of observations. Ni+ column densities
were derived
independently, from the 1317 Å line detected in the
first-epoch
spectrum, and from the other two Ni II
lines
(
1370, 1751) observed
at the second epoch (see
Table 1).
The resulting values differ by 0.16 dex
(
)
in the sense of column densities becoming higher with
time. However, given that the uncertainties listed in
Table 1
do not include errors on the continuum
placement, this result has lower significance. The column density
derived from the Ni II line
equivalent widths measured by
Prochaska et al.
(2007a), using the sum of their three spectra
taken on average 4.82 h (mid-exposure time) after the burst,
is
Ni
.
This is consistent with our
measurements. Finally, we note that, due to the lack of spectral
coverage of the corresponding transition lines, the metastable-level
populations of singly ionized nickel
(see Vreeswijk
et al. 2007) cannot be constrained.
Transition lines from neutral nitrogen and neutral argon are
detected
in the first-epoch UVES spectrum in a crowded Lyman-
forest
but the lines are narrow and well-defined. We are therefore confident
that the measured column densities (see Table 1)
are reliable. The N0 column density also agrees
with the one
derived by Prochaska
et al. (2007a) in the averaged MIKE spectrum.
Finally, the strong C I
1277
transition line is
undetected in the UVES spectrum down to a
column-density
upper limit of 13.05 (see Fig. 1).
![]() |
Figure 2:
Normalized UVES spectra around several strong transitions to the J=0
and 1 rotational levels of the vibrational ground-state of H2 molecules
at the GRB 050730-DLA redshift of
|
Open with DEXTER |
2.2.2 H2 content
From the high quality of the UVES data, we can set a stringent upper
limit on the presence of molecular hydrogen in the
GRB 050730-DLA. H2 in
its vibrational ground-state is undetected at
confidence
down to column densities of
and 13.65 for,
respectively, the J=0 and 1 rotational levels in
the first-epoch
spectrum taken 4.6 h (mid-exposure time) after the burst (see
Fig. 2).
The expected positions of the Lyman- and
Werner-bands of H2 are not covered by the
second-epoch
observations. We used the oscillator strengths from the Meudon
group
based on calculations
described in Abgrall
et al. (1994). These upper limits translate
to a molecular fraction,
,
for the sum of the first
two rotational levels. This is a factor of ten deeper than the
constraint previously derived by Tumlinson
et al. (2007) from the
aforementioned MIKE data. This is also the tightest constraint ever
obtained for any extragalactic line of sight at high redshift
including the database of 77 QSO-DLAs from
Noterdaeme et al.
(2008). We do not find evidence in the UVES
spectra of vibrationally excited H2 lines as
would be expected for
dense cold molecular clouds illuminated by incident GRB afterglow
radiation (Draine &
Hao 2002). This is consistent with the
extremely low molecular fraction derived above from the non-detection
of transition lines to the H2 vibrational
ground-state.
2.2.3 Fe+ ground-state and metastable levels
In addition to the study of metal absorption lines commonly observed
in QSO-DLAs (see Sect. 2.2.1),
we have
systematically searched for all absorption features detected at
confidence
in the UVES spectra and cross-checked their
possible identification using the line lists from
Morton (2003). To
avoid false identifications due to sky
absorption lines, we employed synthetic telluric absorption-line
spectra. The latter were obtained with an IDL routine based on the
Reference Forward Model (RFM)
,
a line-by-line radiative transfer code, using the 2004 edition, v12.0,
of the high-resolution transmission molecular absorption (HITRAN)
database (Rothman
et al. 2005). Featured components of RFM
include an atmospheric profile describing mean pressure, temperature,
and molecular concentrations for typically 50 atmospheric layers.
Following Smette
et al. (2008), we have calculated synthetic
telluric absorption-line spectra for an amount of precipitable water
vapour of 2.0 mm (resp. 2.4 mm) and a mean
airmass of 1.3 (resp. 1.6)
corresponding to the conditions prevailing during the first-epoch
(resp. second-epoch) UVES observations of GRB 050730.
In the line identification process, we uncovered the origin of
18
previously unidentified narrow absorption-line features which are
transition lines from the fine-structure levels of the ground term and
other metastable energy levels of Fe+ at the GRB
host-galaxy
redshift of .
This is confirmed by the detection
of typically two or more well-defined lines with consistent optical
depths, and a cross-correlation of their measured rest-frame
wavelengths with the NIST atomic spectra
database
.
In order to fit the lines, we first normalized the spectra
around each
line locally in an objective manner using a customized routine which
calculates the median value of the afterglow continuum after rejection
of significant (
)
absorption and emission features. Note
that, in spectral regions heavily affected by telluric absorption,
most notably at rest-frame wavelengths of around 1640 Å (see
below), this procedure tends to underestimate the level of the
continuum. We assumed that the broadening parametre was purely
turbulent. Its value as well as the redshift were assumed to be
identical for all lines and the two epochs of observations. However,
the column densities were allowed to be different for different energy
levels and, for a given energy level, different from one epoch to the
other. The possibility that Fe+ column densities
might vary with
time has not been considered in previous analyses of
GRB 050730. For
consistency with the time-dependent photo-excitation modelling of the
observed Fe+ level populations presented below,
which demands the
inclusion of as many energy levels as possible (see details in
Sect. 2.3),
we have considered the more complete set of
atomic parametre values from the Cloudy input file based on the
Opacity Project (Verner et al. 1999;
Verner
& Ferland 1996). In
view of this modelling, care has been exercised to derive column
density measurement errors taking into account the uncertainties in
the continuum placement. These uncertainties indeed dominate the
formal errors provided by FITLYMAN in the case of weak lines. As a
consequence of this, and contrary to Sect. 2.2.1,
errors have been estimated from the line fitting using the best-fit
continuum normalisation (see above) comparing the results with
Voigt-profile fits with the continuum placed at reasonable upper and
lower boundaries. We found these to correspond to adjusting the
continuum level by plus or minus 0.5 times the noise rms in the
continuum adjacent to the line. The results of Voigt-profile fitting
together with the list of lines used for the fits are shown in
Figs. 3
and 4,
and summarised in
Table 2.
The best-fit turbulent-broadening parametre
value is
km s-1.
Note that the Fe II lines
were fitted separately from the other metal lines resulting in a
somewhat different b value (see
Sect. 2.2.1).
However, since the overall fit is based on weak lines the column
density results are not very sensitive to the exact b value.
![]() |
Figure 3:
Voigt-profile fitting to transition lines from the fine-structure
levels of the Fe+ ground-term at the
GRB 050730-DLA redshift of
|
Open with DEXTER |
![]() |
Figure 4:
Voigt-profile fitting to transition lines from the fine-structure
levels of the ground term and other metastable levels of Fe+
at the GRB 050730-DLA redshift of
|
Open with DEXTER |
Table 2:
Column densities of the fine-structure levels of the ground term and
those of metastable levels of Fe+ at the
GRB 050730-DLA redshift of
.
Our measurements of column densities for the fine-structure
levels of
the Fe+ ground-term (6D)
are in most cases consistent with those
derived by D'Elia
et al. (2007) and
Prochaska et al.
(2007a). This comparison takes into account the
fact that the oscillator strengths we have adopted differ slightly (by
10-30%) from those compiled by Morton
(2003), which
were adopted in previous analyses. The only exception to this
consistency is the
level, whose
1639
transition
line is not detected in the second-epoch UVES spectrum (see
Fig. 4)
while Prochaska
et al. (2007a) report a
column density of
.
This is 0.65 dex higher than
our
detection limit,
.
However, the latter may
be biased low due to our continuum normalisation being affected by the
presence of telluric absorption features, which are conspicuous in
this part of the spectrum as seen from the telluric absorption-line
template (Fig. 4).
The template also matches the four
absorption-line features at -120, -80, 0, and
+80 km s-1 observed
around 8145.5 Å in the MIKE spectrum (see bottom right panel
of
Fig. 3 in Prochaska
et al. 2007a), both in terms of wavelength
positions and relative optical depths, pointing to significantly
higher amount of precipitable water vapour present, during the
observations of GRB 050730, in the atmosphere above Las
Campanas observatory
than on Paranal. From this, we conclude that the actual Fe+
column
density must be smaller than 13.65, which we
conservatively adopt as an upper limit in Table 2.
Taken altogether, the column densities measured for the
fine-structure
levels of the Fe+ ground-term (
,
,
and
)
are consistent with the values becoming smaller with
time. However, the statistical significance of this result is at most
marginal when levels are considered individually. Uncertainties are
large for the first epoch of observations because, at
Å,
only a few lines are available for a given energy
level, i.e., either a single line or two mutually blended lines (see
Fig. 3).
It should thus be kept in mind that for the
first epoch some of the fitted lines might be blended or simply
mis-identified. In addition, these lines are weak and noisy. The
level is undetected in the
first-epoch UVES spectrum
with a
column-density upper limit of 13.60 (see
Fig. 3
and Table 2).
In contrast, the
second-epoch UVES spectrum displays a wealth of Fe II
lines
from metastable energy levels. Column densities for the second epoch
of observations are in most cases secured from at least two
well-defined lines, up to seven in the case of the
level.
Exceptions, for which we conservatively quote upper limits or
equal values in Table 2,
are the
level
(for which the feature observed at
Å
is inconsistent with the non-detection of the
1640
line probably because of improper continuum placement) and the
level (whose detection through
the
1641
line is
uncertain due to the presence of adjacent telluric absorption; see
Fig. 4).
2.3 Fe+ photo-excitation modelling
Our group successfully modelled the time-variable excitation of Fe+and
Ni+ at the host-galaxy redshift of
GRB 060418 as due to
pumping by afterglow ultra-violet (UV) photons
(Vreeswijk et al.
2007). This led to the first determination of
the distance of the bulk of the host-galaxy absorbing neutral material
to a GRB (
kpc). The detection
of absorption-line
variability with a steadily rising population of Fe+
in the
energy level, and the
simultaneous decay of the other
levels, ruled out collisions with electrons as the dominant source of
excitation. There is now mounting evidence that excitation by UV
photons and subsequent de-excitation cascades are the mechanisms at
play to populate the Fe+ metastable energy
levels in GRB afterglow
spectra, as variations of Fe II
absorption lines have been
observed at the host-galaxy redshifts of two additional bursts,
GRB 020813 and GRB 080319B, for which suitable
multi-epoch data are
available (Dessauges-Zavadsky
et al. 2006; D'Elia et al. 2009).
In the case
of GRB 050730, absorption-line variability of transitions
involving the
Fe+
,
,
,
and
levels
cannot be firmly established (see Sect. 2.2.3) as the
difference between the two epochs of observations is small relative to
the time elapsed since the burst and, therefore, collisions cannot be
excluded as a possible source of excitation. Single-epoch Boltzmann
fits to both the observed ground-state and the metastable level
populations of Fe+, including
and higher energy
levels, give poor results, with
,
K,
and
for the first epoch, and
,
K,
and
for the second epoch (while
is observed). The very poor Boltzmann-distribution fits, as well
as the disparate excitation temperatures and ground-state column
densities inferred from the two quasi-simultaneous epoch data, lead us
to reject the hypothesis that collisions are the cause of the
excitation of Fe+. As a consequence, we apply
below our UV pumping
model to the case of GRB 050730.
2.3.1 Model
In our model, GRB afterglow photons progressively excite Fe+ ions in a gas cloud located at a distance d from the burst. Although we take into account both direct excitation by afterglow IR photons and indirect excitation by UV photons, the latter is, at a given distance, by far the dominant excitation mechanism (Vreeswijk et al. 2007; Prochaska et al. 2006). In addition, as a result of the large separation of the Fe+ ground-term fine-structure energy levels, the cosmic microwave background radiation is always a negligible source of excitation of Fe+ even at z=4 (Silva & Viegas 2002). The ion level populations at a given time are a function of the strength and spectral slope of the afterglow UV radiation and its decay with time, the pre-burst Fe+ column density (all ions are assumed to be initially in the ground state), the distance of the absorbing cloud to the GRB explosion site, and the velocity broadening of the ions. In this respect, our analysis closely follows that of Vreeswijk et al. (2007) who modelled the case of GRB 060418. Although the narrow time window covered by the UVES observations of GRB 050730 does not allow for a definite detection of absorption-line variability (see above), unlike the UVES observations of GRB 060418, the large number of Fe+ metastable energy levels detected in absorption towards GRB 050730 constrains the model quite well, as shown below, so that the burst/DLA distance can be reliably determined.
The intensity of the UV flux illuminating the cloud is
obtained by
converting the observed afterglow light curve to the GRB rest frame.
We used the light-curve description of Pandey et al. (2006),
namely a broken power law with a break time around 0.1 day with pre-
and post-break power-law indices of
and
,
respectively. These authors also measured a
spectral slope of
,
which we adopted in our
model. Kann
et al. (2007) measured similar values for these
indices. For the flux zero-point of the light curve, we adopted
I=17.22 at
h
after the burst
(Pandey et al.
2006); this epoch was also assumed to be the
time of the jet break. We note that the I-band
filter does not
contain the Ly
forest of absorption lines which in turn
affects the B, V, and R-band
photometry
(see Pandey
et al. 2006), while the rest-frame central
wavelength of the I-band filter is
around 1600 Å, which is in the
wavelength regime (912-2600 Å) of the UV photons responsible
for the
excitation of Fe+. This leads to the following
description of the
rest-frame flux at a distance d from
GRB 050730:
in erg s-1 cm-2 Hz-1. In the conversion to the rest frame, we adopted the Galactic extinction of E(B-V)=0.046from Schlegel et al. (1998) and assumed that any other extinction along the line of sight is negligible (see also Starling et al. 2005). The latter assumption is consistent with the low metallicity and low depletion factor of [S/Fe] measured at the host-galaxy absorber redshift, which indicates a low dust content if any (see Sect. 2.2.1). For the calculation of the luminosity distance,



2.3.2 Atomic data
We considered two different sets of Fe+ atomic
parametres in our
calculations: the first one is the same set as used in
Vreeswijk et al.
(2007), and the second one is the atom model
employed in the Cloudy photo-ionization code
(see Ferland 2003)
described in
Verner et al.
(1999). The former set of atomic data, which we
refer to below as the ``old atomic parametres'', includes the
20 lower
energy levels of Fe+ (up to
E=18 886.78 cm-1).
The
probabilities for spontaneous decay, or A values,
of the forbidden
transitions between all these lower levels were taken from
Quinet et al.
(1996). For the allowed transitions between lower
and higher (starting from E=38 458.99 cm-1)
excited levels, we
adopted the A values compiled by Morton (2003)
whenever available and, if not, we used those provided by
Kurucz (2003). The
Cloudy atomic data set includes all 63 lower energy levels of Fe+.
We here directly cite Verner
et al. (1999) for the description
of the corresponding sources: ``transition probabilities are taken
from theoretical calculations by Nahar
(1995, allowed
transitions) and Quinet
et al. (1996, forbidden
transitions) and supplemented by data from
compilations by Fuhr
et al. (1988) and
Giridhar & Arellano
Ferro (1995). Transition probabilities for all
intercombination lines not covered by these compilations are taken
from the Kurucz &
Bell (1995) database. Uncertainties are
generally smaller than 20% for strong permitted lines but can be
larger than 50% for weak permitted and intercombination lines. For
the forbidden transitions of interest, uncertainties are expected to
be less than 50%''. Using these two different atomic data sets gives
us insight into the uncertainties in the output fit parametres, most
importantly the distance of the photo-excited cloud to the GRB. The
final resulting uncertainties of the model parametres only reflect the
uncertainties in the column density measurements and atomic data used,
and do not include the fact that our model of a plane-parallel series
of absorption slabs is a simplification of the true cloud structure in
the host-galaxy ISM. We also note that the different spontaneous decay
coefficients
(or equivalently f)
of each data set
result in slightly different column densities measured in the spectra.
![]() |
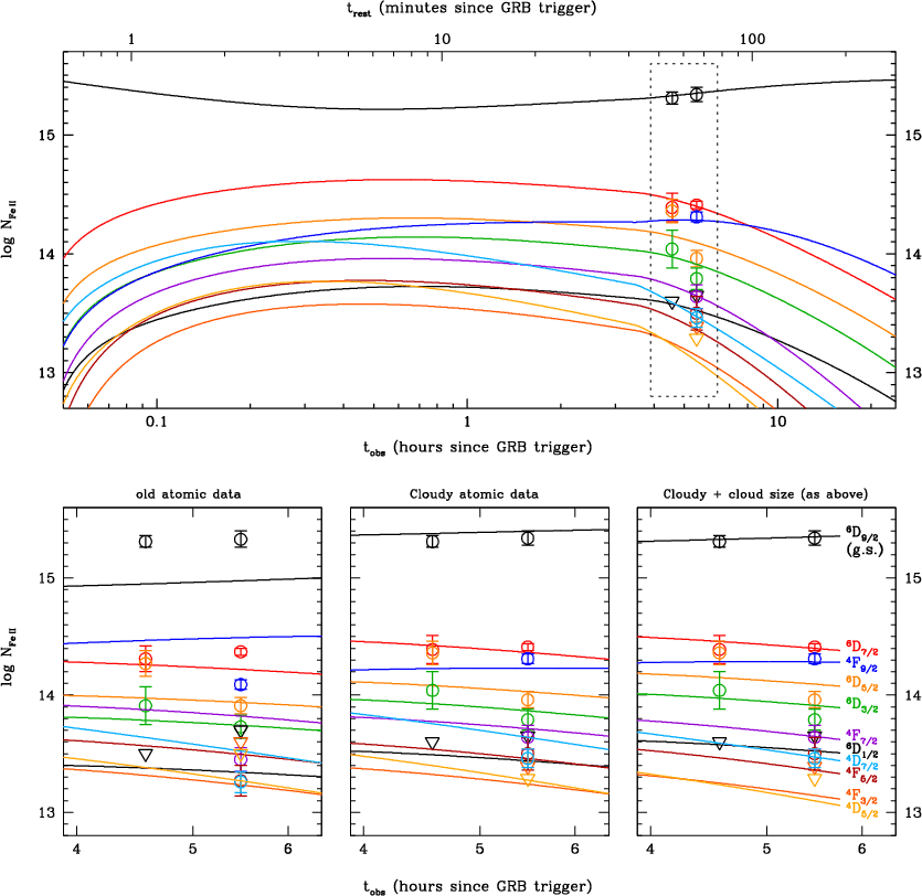
Figure 5: Top panel: time-dependent evolution of the column densities of the ground and several metastable levels of Fe+ in our best-fit UV pumping model (indicated with solid lines) using Cloudy atomic parametres and allowing for the absorbing cloud to be extended (see discussion in text). Measurements (resp. upper limits) are indicated with open circles (resp. triangles); the upper limits were not used to constrain the fit. Bottom panels: zoom-in around the two epochs of observations for three different model fits. The bottom right panel shows the same model as the top panel but also identifies the Fe+ levels of the observed and modelled populations. The other two bottom panels show fits to the data assuming a zero cloud size, where the old atomic parametre fit is featured in the left panel and the Cloudy parametre fit is located in the middle. |
Open with DEXTER |
2.3.3 Results
We first ran our photo-excitation code using the old atomic
parametres, which results in a poor fit of the data with a reduced
chi-square of
(see bottom left panel
of Fig. 5).
The corresponding best-fit values for the
distance of the cloud to the GRB explosion site and the total Fe+column
density are
pc
and
,
respectively. When employing the Cloudy atomic parametres, the
fit greatly improves (see bottom middle panel of Fig. 5),
with
,
and best-fit values of
pc
and
.
The
errors
reported here correspond to the parametre value for which the overall
chi-square increases by one with respect to the minimum. This
parametre value is searched for by performing several new fits where
the relevant parametre is fixed, while the other parametres are left
free to vary, until a fit is found where
equals one.
The difference between the best fits, obtained using either
the old
atomic parametres or the Cloudy atomic parametres, mainly comes from
the very different values of the spontaneous decay coefficients of the
Fe+
and
energy levels. The lower
A-values in the old atomic parametre set, by about a
factor of
three, cause these levels to be severely overestimated in the model,
as evident from the bottom left panel of Fig. 5. This in
turn results in the populations of the ground state and associated
fine-structure levels of Fe+ being
underestimated. Instead, the
Cloudy atomic parametre set results in a very reasonable fit as shown
in the bottom middle panel of Fig. 5. However, we note
that
despite the large difference in the atomic data parametre sets used
(both in the number of levels and A-values), the
derived distances:
pc (old set) and
pc
(Cloudy set) are
consistent at the
level.
In contrast to the case of GRB 050730, the
observations of GRB 060418 were
successfully fit using the old atomic parametres
(see Vreeswijk
et al. 2007). Therefore, we verified whether the
time-variability of the excited Fe+ and Ni+
energy-level
populations observed along the line of sight to GRB 060418 can
also
be fit using the Cloudy atomic parametres. We find that the latter
actually provides a much better fit, with a reduced chi-square
(
)
almost half of that of the fit using
the old atomic parametres. The Cloudy best-fit distance of the
absorbing cloud to the GRB (
kpc) is fully
consistent
within the errors with the previously derived value (
kpc), while the
best-fit total Fe+ column density is
significantly higher:
(to be compared
to
from the old fit). This
updated Fe+ column density is
consistent with that observed along
the line of sight to GRB 060418, thereby eliminating the need
for
another absorbing cloud, located at much larger distance from the
burst, that is not significantly excited (see the discussion
in Vreeswijk
et al. 2007). This major improvement of the
photo-excitation modelling of the GRB 060418 data lends strong
additional support for adopting the Cloudy atomic parametres in our
code rather than the old atomic parametres.
Up to this point, we have assumed that all the absorbing
neutral
material is located at the same distance along the line of sight to
the GRB, i.e., that the cloud is infinitely small. In an improved
version of our code, we allow the absorbing cloud to have a physical
extent over which the cloud is assumed to have constant density, and
consider its linear size l as an additional
fit parametre. Applying
this more realistic model to the data, with each cloud layer (see
above) now located at a different distance from the burst, leads to
the following results: a burst/cloud distance (defined to the
near-side of the cloud) of pc,
a linear cloud size
(i.e., along the line of sight) of
l=520+240-190 pc,
and a
total Fe+ column density of
.
It
turns out that the goodness-of-fit improves significantly when
introducing the cloud size, with
(compared
to
before), and the best-fit parametre
values are well constrained. We will therefore adopt these model fit
results that include a cloud size in the rest of the analysis.
Although in reality the structure of ISM clouds could be much more
complex than our single homogeneous cloud model, the simple
single-component absorption-line profile in the case of
GRB 050730
(see Figs. 1, 3, and 4)
indicates that our model may actually be a reasonable approximation
for this burst. The fit including a cloud size is shown in both the
top panel and the bottom right panel of Fig. 5. We also
note that the change in light-curve decay index around the break time
of 3.47 h is evident in the evolution of the modelled Fe+ level
populations.
![]() |
Figure 6: Left panel: column densities of H0-ionizing and H2-dissociating photons released by GRB 050730 between 30 and 3310 s after the burst (rest frame; i.e., up to the mid-exposure time of the first-epoch UVES spectrum) as a function of distance to the burst. Right panel: H0 photo-ionization and H2 photo-dissociation rates integrated over the rest-frame time interval 30-3310 s as a function of distance to GRB 050730, neglecting self-shielding and assuming no dust (see text). |
Open with DEXTER |
3 Molecular hydrogen in GRB-DLAs
3.1 GRB-DLA gas distance and H 2 photo-dissociation
In the previous section, we determined the second precise distance
(but see also D'Elia
et al. 2009) from a GRB to the bulk of
the absorbing neutral material experiencing photo-excitation of its
Fe+ component by the time-variable GRB
afterglow radiation. We
found that the GRB 050730-DLA is located 0.5 kpc away
from the GRB explosion
site. This distance is large enough so that the gas is not strongly
ionized by the incident radiation and, therefore, remains essentially
neutral, in agreement with the observations (see below). This is yet
closer than what we previously determined towards GRB 060418
at
z=1.49, where the burst/DLA distance was found to be
2 kpc
(see Sect. 2.3
and Vreeswijk
et al. 2007). More
recently, D'Elia
et al. (2009) determined distances of
2-6 kpc
for the different absorption systems in the host galaxy of
GRB 080319B, using the same type of modelling as we presented
in
Vreeswijk et al.
(2007) but with different atomic data parametres.
Although it is an open question why the bulk of the absorbing neutral
material is located at such distances from the GRB explosion sites,
these results could be a consequence of the host galaxies of
high-redshift long-duration GRBs being compact, possibly H0-rich,
dwarf galaxies. This would be consistent with the low metallicity of
the GRB 050730-DLA which we measured to be
(see
Sect. 2.2.1).
This would also be in line with the
findings of imaging and spectroscopic studies that the typical
long-duration GRB host at intermediate redshift is a blue,
sub-luminous, low-mass, star-forming galaxy
(Christensen
et al. 2004; Chen et al. 2009;
Le
Floc'h et al. 2003; Savaglio et al. 2009).
In the following, we assess in more detail the influence of the GRB
afterglow radiation on the neutral (H0) and
molecular (H2)
contents of a DLA.
Using the observational constraints on the light curve
described in
Sect. 2.3,
we can calculate the total number of H0-ionizing
photons in units of s-1 cm-2
at a given distance from the burst as:
where






In addition, we calculate the total number of H2-dissociating
photons, i.e., the number of photons in the energy range
12.24-13.51 eV (corresponding to the Lyman-Werner absorption
bands),
that are released by GRB 050730 between 30 and 3310 s
after the burst
(rest frame). The result is shown as a function of distance to the
burst in the left panel of Fig. 6 (solid
line).
Only 10-15% of these photons will actually lead to dissociation of
H2 molecules (Hollenbach & Tielens 1999;
Draine
& Bertoldi 1996). The
H2 photo-dissociation rate is given by
(see,
e.g., Abel et al.
1997):
where






From the definition of the rate constant, i.e.,
,
we now
calculate the H0 and H2
column densities remaining at the time
the first GRB 050730 UVES spectrum was taken, i.e.,
3310 s after the onset
of GRB 050730 (rest frame), for clouds located at given
distances to the
burst and having different initial (pre-burst) column densities (see
Fig. 7).
Each calculation starts out by placing a cloud with an assumed initial
column density at large distance, where H0
ionization and H2 dissociation are
negligible. As the distance decreases, the cloud is
increasingly affected by the afterglow photons, until the distance is
reached where the entire column density is ionized or dissociated.
This is shown in Fig. 7 for both H0 ionization
(left panel) and H2 dissociation (right
panel). The two different
line types depicted in Fig. 7
correspond to two
different assumptions for the cloud size: one assumes that the cloud
size is negligible (solid lines), while the other assumes that the
initial cloud size is equal to the burst/cloud distance. The
calculations take into account the fact that the column density of
photo-ionized (or photo-dissociated) particles never exceeds the
column density of photons available at a given distance. We here again
conservatively neglect self-shielding and, in addition, assume no dust
is present, which is relevant to the case of GRB 050730.
![]() |
Figure 7:
Neutral hydrogen (H0; left panel)
and molecular hydrogen (H2; right
panel) column density remaining at the time of the
first-epoch UVES spectrum as a function of distance to
GRB 050730 for dust-free clouds with different initial
(pre-burst) column densities. The initial column density (1014-1023)
of each calculation is indicated with a dotted horizontal line. We
performed two sets of calculations: one where the cloud size is
negligible (solid lines), and one where the initial cloud size is
assumed to be equal to the burst/cloud distance (dashed lines). In each
panel, the diamond symbol indicates our observational constraint, i.e.,
|
Open with DEXTER |
Table 3:
Neutral gas, metals, dust, and molecules in the VLT/UVES sample of
Swift-era
GRB hosts (as of June 2008).
One can see in Fig. 7 that, at
typical distances
of 0.5 kpc and larger, incident GRB afterglow radiation cannot
significantly ionize H0 (left panel) nor
dissociate H2 (right
panel) within a DLA. For a DLA cloud, i.e., with
,
significant ionization effects can only occur at
distances smaller than 50 pc. Moreover, at distances larger
than
0.5 kpc the decrease in H2 column
density is smaller than 0.4 dex.
Including the process of destruction of UV photons by dust grains
would decrease the influence of the GRB even more. However, this will
be important only for high
values coupled to high
metallicities and large dust contents, while for GRB 050730 a
low dust
content was inferred (see Starling
et al. 2005). Therefore,
the current lack of H2 detections in GRB-DLAs
located at least
0.5 kpc away from the GRB explosion sites must be caused by
one or
several factors other than the propagating afterglow radiation
(see also Tumlinson
et al. 2007). This is what we investigate
below by considering the most up-to-date sample of high-resolution
VLT/UVES spectra of high-redshift GRB afterglows.
![]() |
Figure 8:
Left panel: logarithm of the neutral hydrogen
column density versus metallicity,
|
Open with DEXTER |
3.2 Statistics of H2 in GRB-DLAs
In Table 3,
we list the seven Swift-era GRB
afterglows with redshifts higher than 1.8 for which UVES observations
were secured as of June 2008.
For each line of sight, we measured in this work total H0
column
densities from Voigt-profile fitting to the Ly
and/or
Ly
absorption lines at the GRB host-galaxy redshifts (denoted
in the table). In the same way
as described in
Sect. 2.2.1,
we have also measured or re-measured in
an homogeneous manner, from Voigt-profile fitting to the associated
metal absorption lines, metallicities,
,
and depletion factors, [X/Fe],
where X is a non-refractory reference element. X is taken to be Zn
when Zn II lines are
detected, or S otherwise. For GRB hosts
that do not meet the requirement for DLA absorbers (
),
the abundance of neutral oxygen may be used instead.
This atom is linked to neutral hydrogen by a strong charge-exchange
reaction due to the similarity of ionization potential
(Field & Steigman
1971), and the [O0/H0]
ratio can lead to
an estimate of the total oxygen abundance (Viegas 1995).
The ionization correction factor is smaller than 10% for
GRB 080310
having a logarithmic H0 column density of 18.7.
However, for
GRB 060607 with
the ionization correction
highly depends on the hydrogen particle density and, therefore, no
robust metallicity estimate can be derived. To measure depletion
factors and get a handle on the dust content of the systems, iron was
selected as a proxy for refractory elements. Total Fe+ column
densities were calculated by summing up the contributions of both the
ground state and the metastable energy levels of Fe+
when detected.
The contribution of the latter levels never exceeds 0.2 dex.
In
addition, we note that the corresponding absorption lines are not
detected at all in the DLAs towards GRB 050820 and
GRB 080413A.
H2 is not detected in any of the
systems of the sample. In
Table 3,
we give
upper limits on the molecular
hydrogen column densities and corresponding H2
molecular fractions,
.
We also give
upper
limits on
.
Apart from the DLA towards GRB 050820 where the
metallicity is as
high as ,
the GRB host galaxies in the UVES sample have
low metallicities,
.
In addition, the depletion
factors are usually quite small, as expected for metal-poor
environments having a low dust content. The only exception to this is
the GRB 050922C-DLA for which sulphur is used as a proxy for
non-refractory elements. In this particular case, the S II
line
profile does not follow that of Fe II
at all, exhibiting an
inversely asymmetric shape which peaks at the velocity of the detected
Fe II
absorption. Significant overabundance of
-elements
and/or ionization effects might be present in this
system and bias the observed [S/Fe] ratio high. More generally, the
[S/H] and [S/Fe] ratios given in Table 3 should be
considered cautiously as they are strictly speaking upper limits to
the true metallicities and dust depletion factors. This makes the
result that both metallicities and dust depletion factors in the
sample of GRB-DLAs observed with UVES (and currently all other
high-resolution spectrographs) are usually modest, even stronger.
Interestingly, this is most clearly seen in the three systems
exhibiting the highest neutral hydrogen column densities,
,
where
and
.
The nature of
these systems is discussed in Sect. 3.3.
The observed H0 column density
distribution of Swift-era
GRB-DLAs is relatively flat and not highly skewed towards extremely
high values (see Jakobsson
et al. 2006; and also
Table 3).
In addition, because there
is mounting evidence that the bulk of the H0 gas
in GRB-DLAs has a
galactic origin, with distances from the burst larger than
100 pc up
to kiloparsecs (see Sects. 2.3
and 3.1),
the comparison of GRB-DLA properties to results drawn from QSO-DLA
samples must be relevant. This is corroborated by our finding that the
DLA cloud in the case of GRB 050730 is smooth and diffuse, and
not
apparently perturbed by star-forming regions, with a broadening
parametre and physical size that are typical of the Galactic ISM. In
Fig. 8,
we compare the H0 column densities with
metallicities and dust depletion factors for the UVES GRB-DLA sample
with QSO-DLAs. Studies of H2 in large QSO-DLA
samples observed with
VLT/UVES (Noterdaeme
et al. 2008; Ledoux et al. 2003)
have shown
that the presence of H2 does not strongly depend
on the total H0column density, and that the
probability of finding H2 with high
molecular fractions, ,
is only marginally higher for
than
below this limit (19% and 7%
respectively). The probability of H2 detection
is of the order of
10% for the entire QSO-DLA population, but is actually strongly
dependent on the metallicity, rising up to 35% for systems with
(Noterdaeme
et al. 2008; Petitjean et al. 2006).
In
contrast, only about 4% of the
systems have
.
Applying this number statistics to the UVES GRB-DLA sample
(see Table 3),
composed of one
and four
DLAs, leads to a
binomial probability of detecting H2at least
once of 45%. This is consistent with the fact that no
detection was achieved in practice.
To estimate the dust content of DLAs, it is useful to
calculate the
column density of iron in dust,
(Vladilo et al. 2006).
In their survey of 77 QSO-DLAs,
Noterdaeme et al.
(2008) have shown that all H2-bearing
systems
have
.
In addition, about 17% of the
systems with
,
and 55% of the
systems above this limit, have detected H2 lines
with
.
The
values pertaining to GRB-DLAs
are given in Table 3.
Except in the case of the
high-metallicity DLA towards GRB 050820, which exhibits
,
GRB-DLA values lie either within (in three
cases) or below (in one case) the above range. Therefore, from QSO-DLA
statistics the binomial probability of not detecting H2
at all in
the UVES GRB-DLA sample is 26%. From a
result, relying on
the existence of a single system, it would be premature to conclude
that GRB-DLA observations are inconsistent with known QSO-DLA
properties. This is in contrast with the claim by
Tumlinson et al.
(2007), based on an even smaller and
inhomogeneous sample of three high- and two medium-resolution GRB
afterglow spectra, that H2 is generally
deficient in GRB-DLAs
compared to QSO lines of sight.
3.3 Gas physical conditions
The current lack of H2 detection along the lines
of sight to GRBs
might be related to the physical nature of DLAs exhibiting the highest
neutral hydrogen column densities,
.
Indeed,
these systems make up about half of the UVES GRB-DLA sample (i.e., the
systems towards GRB 050730, GRB 071031 and
GRB 080413A). Interestingly,
three systems in the large QSO-DLA sample studied by
Noterdaeme et al.
(2008) share similar properties with no detected
H2 but some of the highest column densities of
iron in dust (
)
as well as the highest neutral hydrogen
column densities ever measured along QSO lines of sight (i.e.,
towards Q 0458-0203,
towards
Q 1157+0128, and
towards Q 1209+0919). The
much smaller incidence rate of such DLAs in QSO samples is probably
due to the narrow range of galactocentric radii probed by GRB
afterglow observations. The properties of these systems are at
variance with Galactic lines of sight, where clouds with
usually have
(see,
e.g., Savage
et al. 1977; Jenkins & Shaya 1979).
Tumlinson et al. (2007) argue that UV radiation fields from recently formed hot stars with intensities 10-100 times the Galactic mean value must be invoked to explain GRB-DLA observations. This is conceivable if the clouds are embedded in or are located close to regions of intense star formation (see also Chen et al. 2007). However, as noted by Tumlinson et al. (2007) this contrasts with the environment of massively star-forming regions like 30 Doradus in the LMC where the existence of clouds with high H2 molecular fractions is ubiquitous (Bluhm & de Boer 2001; Danforth et al. 2002). In other words, the presence of intense UV radiation fields does not necessarily prevent H2 from forming.
In addition to a low dust content (see Sect. 3.2),
and the correspondingly low formation rate of H2
onto dust grains,
another reason why H2 is not detected in those
QSO- and GRB-DLAs
with high H0 column densities could be the
particle density in the
neutral gas being too small. For a cloud at equilibrium, by equating
the H2 formation (
)
and photo-dissociation (
)
rates, one can write (see,
e.g., Hirashita &
Ferrara 2005):
where








![$\kappa =10^{[{\rm X}/{\rm H}]}(1{-}10^{[{\rm Fe}/{\rm X}]})$](/articles/aa/full_html/2009/41/aa11572-08/img205.png)
While, as shown above, particle densities are probably at most
moderate in GRB-DLAs, with
cm-3,
the
ambient UV radiation field intensities needed to explain the lack of
H2 in systems with high H0
column densities are only of the
order of 1-10 times those observed in the Galaxy, thus not
particularly high. As shown in Sect. 3.2, the
main
factor driving the absence of H2 in the current
sample of GRB-DLAs
observed with VLT/UVES is a combination of low metallicities and low
dust contents.
4 Summary and prospects
In this paper, we have presented a detailed analysis of the DLA cloud
(
)
at the GRB 050730 host-galaxy redshift of
using high-quality VLT/UVES spectra. Accurate metal
abundances are derived showing that this GRB-DLA has both low
metallicity,
,
and no dust. In addition, we
measured
and
.
The former
ratio is indicative of a high nitrogen enrichment dominated by
intermediate-mass stars (4-8
), before significant oxygen
production by supernovae, and a past low star-formation efficiency
(e.g., Henry
& Prochaska 2007; Petitjean et al. 2008).
The latter
ratio is a tracer of the radiation field in H0 regions
(Vladilo et al.
2003). The observed high abundance of argon,
typical of the local ISM, is consistent with the expectation for a
neutral medium embedded in a soft ionizing continuum.
From the self-consistent photo-excitation modelling of
absorption
lines from electronic transitions to an unprecedentedly large number
of Fe+ energy levels, the distance of
the absorbing neutral
material to GRB 050730 is constrained to be
kpc.
Similar
photo-excitation modelling applied to the observed column densities
and upper limits of S3+ energy levels has led to
a lower limit on
the distance of the S3+-bearing gas of
0.4 kpc
(Fox et al. 2008).
From detailed calculations, we find that
at such distances GRB afterglow photons cannot ionize H0
nor
dissociate H2 significantly. From the above Fe+ column
density
modelling, a linear cloud size of
l=520+240-190 pc
is
inferred, suggesting that GRB-DLAs typically exhibiting very high
H0 column densities are diffuse metal-poor
atomic clouds with large
physical extents,
pc,
and, at most, moderate particle
densities,
cm-3.
In order to understand the lack of H2
further, we have built up the
most up-to-date sample of Swift-era z>1.8
GRB-DLAs observed
with VLT/UVES. We showed that the current non-detections of H2
in
GRB-DLAs are consistent with QSO-DLA statistics where H2
is present
with high molecular fractions,
,
in only 10% of the
global QSO-DLA population. Moreover, the lack of H2
in the GRB-DLA
sample can be entirely explained by the low metallicities,
,
and low dust contents of the systems. With the possible exception of
the high-metallicity DLA towards GRB 050820, there is no need
for
enhanced UV radiation fields from recently formed hot stars to explain
the lack of H2 (but see Tumlinson et al. 2007;
see also
Chen et al. 2009,
who derived high mean UV radiation field
intensities for four bright GRB host galaxies, whose associated DLAs
all have fairly high metallicities). The additional non-detections of
C I absorption lines, with
,
suggest a warm neutral medium, with kinetic temperatures
K,
as found in most QSO-DLAs
(Srianand et al.
2005).
The evidence for low to very low GRB-DLA metallicities coming
from
high spectral resolution observations is in contrast with the current
sample of metallicity and depletion measurements drawn from low-
and/or intermediate-resolution spectroscopy
(e.g., Prochaska
et al. 2007b; Savaglio 2006; Fynbo
et al. 2006)
which points towards higher metallicities than in the QSO-DLA
population (see also Fynbo
et al. 2008, who tried to reconcile the different
metallicity distributions of QSO- and GRB-DLAs).
Moreover, hints at the presence of H2 and/or
C I lines have
been reported at the host-galaxy redshifts of GRB 050401
(Watson et al. 2006),
GRB 060206 (Fynbo
et al. 2006),
and GRB 070802 (Elíasdóttir
et al. 2009), while the metallicities
of these hosts are amongst the highest measured in GRB-DLAs. This
suggests that it is only a matter of time before H2
and/or other
molecules are detected beyond any doubt in GRB-DLAs. Care should be exercized,
however, not
to overinterpret the current inhomogeneous body of data, as claims for
high Zn+ column densities and depletion factors
of zinc compared to
iron are based on a handful of absorbers at intermediate redshifts,
1<z<2, for which
measurements are lacking
(Savaglio 2006).
The VLT/UVES sample of high-redshift GRB afterglows shows a lack of GRB-DLAs with both high H0 column density and high metallicity (see Fig. 8, left panel). However, this does not mean that such systems do not exist and an anti-correlation between absorber dust content and afterglow optical brightness should be checked. Indeed, the associated extinction will be high in these systems (Vladilo & Péroux 2005; see also Prochaska et al. 2009) and their observation with high-resolution spectrographs, even with the advantage of fast response, possibly difficult. This is consistent with the findings of multi-colour photometry that a large fraction of bursts are dark because of high dust extinction in their hosts (Cenko et al. 2009; Rol et al. 2007; Tanvir et al. 2008; Jaunsen et al. 2008). If a bias exists in the UVES sample, it could also be against GRB-DLAs located at much smaller distances from their bursts than currently found because, as we have shown, high metal (resp. H2) column densities are able to survive the ionizing (resp. dissociating) effects of the incident GRB afterglow radiation.
This potential problem should be alleviated by the second-generation VLT instrument X-Shooter, currently in its commissioning phase, to complement the capabilities of UVES at the VLT, Unit 2 - Kueyen, telescope. X-Shooter will be the instrument of choice to cover any redshift from z=0.3 up to z=10 for 1600 Å (rest frame) Fe II and other metal lines in GRB afterglows fainter, or redder, than observable with UVES. In the meantime, we plan to apply the techniques presented in this paper for GRB 050730 to other GRB lines of sight observed with UVES to start building up a sample of burst/DLA distance determinations and map the distribution of neutral gas in GRB host galaxies.
AcknowledgementsP.M.V. acknowledges the support of the EU under a Marie Curie Intra-European Fellowship, contract MEIF-CT-2006-041363. The Dark Cosmology Centre is funded by the Danish National Research Foundation.
References
- Abel, T., Anninos, P., Zhang, Y., & Norman, M. L. 1997, New Astronomy, 2, 181 [NASA ADS] [CrossRef]
- Abgrall, H., Roueff, E., Launay, F., & Roncin, J.-Y. 1994, Canadian J. Phys., 72, 856 [NASA ADS]
- Berger, E., Penprase, B. E., Cenko, S. B., et al. 2006, ApJ, 642, 979 [NASA ADS] [CrossRef]
- Bluhm, H., & de Boer, K. S. 2001, A&A, 379, 82 [NASA ADS] [CrossRef] [EDP Sciences]
- Cenko, S. B., Kelemen, J., Harrison, F. A., et al. 2009, ApJ, 693, 1484 [NASA ADS] [CrossRef]
- Chen, H.-W., Prochaska, J. X., Bloom, J. S., & Thompson, I. B. 2005, ApJ, 634, L25 [NASA ADS] [CrossRef]
- Chen, H.-W., Prochaska, J. X., & Bloom, J. S. 2007, ApJ, 668, 384 [NASA ADS] [CrossRef]
- Chen, H.-W., Perley, D. A., Pollack, L. K., et al. 2009, ApJ, 691, 152 [NASA ADS] [CrossRef]
- Christensen, L., Hjorth, J., & Gorosabel, J. 2004, A&A, 425, 913 [NASA ADS] [CrossRef] [EDP Sciences]
- Danforth, C. W., Howk, J. C., Fullerton, A. W., Blair, W. P., & Sembach, K. R. 2002, ApJS, 139, 81 [NASA ADS] [CrossRef]
- Dekker, H., D'Odorico, S., Kaufer, A., Delabre, B., & Kotzlowski, H. 2000, in Optical and IR Telescope Instrumentation and Detectors, ed. M. Iye, & A. F. Moorwood, SPIE Conf., 4008, 534
- D'Elia, V., Piranomonte, S., Fiore, F., et al. 2005, GRB Coordinates Network, 4044, 1 [NASA ADS]
- D'Elia, V., Fiore, F., Meurs, E. J. A., et al. 2007, A&A, 467, 629 [NASA ADS] [CrossRef] [EDP Sciences]
- D'Elia, V., Fiore, F., Perna, R., et al. 2009, ApJ, 694, 332 [NASA ADS] [CrossRef]
- Dessauges-Zavadsky, M., Chen, H.-W., Prochaska, J. X., Bloom, J. S., & Barth, A. J. 2006, ApJ, 648, L89 [NASA ADS] [CrossRef]
- Draine, B. T., & Bertoldi, F. 1996, ApJ, 468, 269 [NASA ADS] [CrossRef]
- Draine, B. T., & Hao, L. 2002, ApJ, 569, 780 [NASA ADS] [CrossRef]
- Elíasdóttir, Á., Fynbo, J. P. U., Hjorth, J., et al. 2009, ApJ, 697, 1725 [NASA ADS] [CrossRef]
- Ferland, G. J. 2003, ARA&A, 41, 517 [NASA ADS] [CrossRef]
- Field, G. B., & Steigman, G. 1971, ApJ, 166, 59 [NASA ADS] [CrossRef]
- Fiore, F., D'Elia, V., Lazzati, D., et al. 2005, ApJ, 624, 853 [NASA ADS] [CrossRef]
- Fox, A. J., Ledoux, C., Vreeswijk, P. M., Smette, A., & Jaunsen, A. O. 2008, A&A, 491, 189 [NASA ADS] [CrossRef] [EDP Sciences]
- Fuhr, J. R., Martin, G. A., & Wiese, W. L. 1988, Atomic transition probabilities. Scandium through Manganese (New York: American Institute of Physics (AIP) and American Chemical Society)
- Fynbo, J. P. U., Prochaska, J. X., Sommer-Larsen, J., Dessauges-Zavadsky, M., & Møller, P. 2008, ApJ, 683, 321 [NASA ADS] [CrossRef]
- Fynbo, J. P. U., Starling, R. L. C., Ledoux, C., et al. 2006, A&A, 451, L47 [NASA ADS] [CrossRef] [EDP Sciences]
- Galama, T. J., & Wijers, R. A. M. J. 2001, ApJ, 549, L209 [NASA ADS] [CrossRef]
- Galama, T. J., Vreeswijk, P. M., van Paradijs, J., et al. 1998, Nature, 395, 670 [NASA ADS] [CrossRef]
- Giridhar, S., & Arellano Ferro, A. 1995, Rev. Mex. Astron. Astrofis., 31, 23 [NASA ADS] [CrossRef]
- Henry, R. B. C., & Prochaska, J. X. 2007, PASP, 119, 962 [NASA ADS] [CrossRef]
- Hirashita, H., & Ferrara, A. 2005, MNRAS, 356, 1529 [NASA ADS] [CrossRef]
- Hjorth, J., Sollerman, J., Møller, P., et al. 2003, Nature, 423, 847 [NASA ADS] [CrossRef]
- Hollenbach, D. J., & Tielens, A. G. G. M. 1999, Rev. Mod. Phys., 71, 173 [NASA ADS] [CrossRef]
- Jakobsson, P., Hjorth, J., Fynbo, J. P. U., et al. 2004, A&A, 427, 785 [NASA ADS] [CrossRef] [EDP Sciences]
- Jakobsson, P., Fynbo, J. P. U., Ledoux, C., et al. 2006, A&A, 460, L13 [NASA ADS] [CrossRef] [EDP Sciences]
- Jaunsen, A. O., Rol, E., Watson, D. J., et al. 2008, ApJ, 681, 453 [NASA ADS] [CrossRef]
- Jenkins, E. B., & Shaya, E. J. 1979, ApJ, 231, 55 [NASA ADS] [CrossRef]
- Jenkins, E. B., & Tripp, T. M. 2006, ApJ, 637, 548 [NASA ADS] [CrossRef]
- Kann, D. A., Klose, S., Zhang, B., et al. 2007, ArXiv e-prints, 712
- Kurucz, R. L. 2003, in Modelling of Stellar Atmospheres, ed. N. Piskunov, W. W. Weiss, & D. F. Gray, IAU Symp., 210, 45
- Kurucz, R. L., & Bell, B. 1995, Atomic Line Data, ed. R. L. Kurucz, & B. Bell, Kurucz CD-ROM No. 23 (Cambridge, Mass.: Smithsonian Astrophysical Observatory)
- Le Floc'h, E., Duc, P.-A., Mirabel, I. F., et al. 2003, A&A, 400, 499 [NASA ADS] [CrossRef] [EDP Sciences]
- Ledoux, C., Petitjean, P., & Srianand, R. 2003, MNRAS, 346, 209 [NASA ADS] [CrossRef]
- Ledoux, C., Vreeswijk, P., Ellison, S., et al. 2005, GRB Coordinates Network, 3860, 1 [NASA ADS]
- Ledoux, C., Vreeswijk, P., Smette, A., Jaunsen, A., & Kaufer, A. 2006, GRB Coordinates Network, 5237, 1 [NASA ADS]
- Ledoux, C., Jakobsson, P., Jaunsen, A. O., et al. 2007, GRB Coordinates Network, 7023, 1 [NASA ADS]
- Lodders, K. 2003, ApJ, 591, 1220 [NASA ADS] [CrossRef]
- MacFadyen, A. I., & Woosley, S. E. 1999, ApJ, 524, 262 [NASA ADS] [CrossRef]
- Malesani, D., Tagliaferri, G., Chincarini, G., et al. 2004, ApJ, 609, L5 [NASA ADS] [CrossRef]
- Morton, D. C. 1991, ApJS, 77, 119 [NASA ADS] [CrossRef]
- Morton, D. C. 2003, ApJS, 149, 205 [NASA ADS] [CrossRef]
- Nahar, S. N. 1995, A&A, 293, 967 [NASA ADS]
- Noterdaeme, P., Ledoux, C., Petitjean, P., & Srianand, R. 2008, A&A, 481, 327 [NASA ADS] [CrossRef] [EDP Sciences]
- Pandey, S. B., Castro-Tirado, A. J., McBreen, S., et al. 2006, A&A, 460, 415 [NASA ADS] [CrossRef] [EDP Sciences]
- Penprase, B. E., Berger, E., Fox, D. B., et al. 2006, ApJ, 646, 358 [NASA ADS] [CrossRef]
- Petitjean, P., Ledoux, C., Noterdaeme, P., & Srianand, R. 2006, A&A, 456, L9 [NASA ADS] [CrossRef] [EDP Sciences]
- Petitjean, P., Ledoux, C., & Srianand, R. 2008, A&A, 480, 349 [NASA ADS] [CrossRef] [EDP Sciences]
- Pian, E., Mazzali, P. A., Masetti, N., et al. 2006, Nature, 442, 1011 [NASA ADS] [CrossRef]
- Prochaska, J. X., Chen, H.-W., & Bloom, J. S. 2006, ApJ, 648, 95 [NASA ADS] [CrossRef]
- Prochaska, J. X., Chen, H.-W., Bloom, J. S., et al. 2007a, ApJS, 168, 231 [NASA ADS] [CrossRef]
- Prochaska, J. X., Chen, H.-W., Dessauges-Zavadsky, M., & Bloom, J. S. 2007b, ApJ, 666, 267 [NASA ADS] [CrossRef]
- Prochaska, J. X., Dessauges-Zavadsky, M., Ramirez-Ruiz, E., & Chen, H.-W. 2008, ApJ, 685, 344 [NASA ADS] [CrossRef]
- Prochaska, J. X., Sheffer, Y., Perley, D. A., et al. 2009, ApJ, 691, L27 [NASA ADS] [CrossRef]
- Quinet, P., Le Dourneuf, M., & Zeippen, C. J. 1996, A&AS, 120, 361 [NASA ADS] [CrossRef] [EDP Sciences]
- Reichart, D. E., & Price, P. A. 2002, ApJ, 565, 174 [NASA ADS] [CrossRef]
- Rol, E., van der Horst, A., Wiersema, K., et al. 2007, ApJ, 669, 1098 [NASA ADS] [CrossRef]
- Rothman, L. S., Jacquemart, D., Barbe, A., et al. 2005, J. Quant. Spectr. Radiat. Transf., 96, 139 [NASA ADS] [CrossRef]
- Savage, B. D., Bohlin, R. C., Drake, J. F., & Budich, W. 1977, ApJ, 216, 291 [NASA ADS] [CrossRef]
- Savaglio, S. 2006, New J. Phys., 8, 195 [CrossRef]
- Savaglio, S., Glazebrook, K., & LeBorgne, D. 2009, ApJ, 691, 182 [NASA ADS] [CrossRef]
- Schlegel, D. J., Finkbeiner, D. P., & Davis, M. 1998, ApJ, 500, 525 [NASA ADS] [CrossRef]
- Silva, A. I., & Viegas, S. M. 2002, MNRAS, 329, 135 [NASA ADS] [CrossRef]
- Smette, A., Horst, H., & Navarrete, J. 2008, in The 2007 ESO Instrument Calibration Workshop (Springer-Verlag), ESO Astrophys. Symp., 433
- Srianand, R., Petitjean, P., Ledoux, C., Ferland, G., & Shaw, G. 2005, MNRAS, 362, 549 [NASA ADS] [CrossRef]
- Stanek, K. Z., Matheson, T., Garnavich, P. M., et al. 2003, ApJ, 591, L17 [NASA ADS] [CrossRef]
- Starling, R. L. C., Vreeswijk, P. M., Ellison, S. L., et al. 2005, A&A, 442, L21 [NASA ADS] [CrossRef] [EDP Sciences]
- Tanvir, N. R., Levan, A. J., Rol, E., et al. 2008, MNRAS, 388, 1743 [NASA ADS] [CrossRef]
- Thöne, C. C., Wiersema, K., Ledoux, C., et al. 2008, A&A, 489, 37 [NASA ADS] [CrossRef] [EDP Sciences]
- Tumlinson, J., Prochaska, J. X., Chen, H.-W., Dessauges-Zavadsky, M., & Bloom, J. S. 2007, ApJ, 668, 667 [NASA ADS] [CrossRef]
- Verner, D. A., & Ferland, G. J. 1996, ApJS, 103, 467 [NASA ADS] [CrossRef]
- Verner, D. A., Ferland, G. J., Korista, K. T., & Yakovlev, D. G. 1996, ApJ, 465, 487 [NASA ADS] [CrossRef]
- Verner, E. M., Verner, D. A., Korista, K. T., et al. 1999, ApJS, 120, 101 [NASA ADS] [CrossRef]
- Viegas, S. M. 1995, MNRAS, 276, 268 [NASA ADS]
- Vladilo, G. 2004, A&A, 421, 479 [NASA ADS] [CrossRef] [EDP Sciences]
- Vladilo, G., & Péroux, C. 2005, A&A, 444, 461 [NASA ADS] [CrossRef] [EDP Sciences]
- Vladilo, G., Centurión, M., D'Odorico, V., & Péroux, C. 2003, A&A, 402, 487 [NASA ADS] [CrossRef] [EDP Sciences]
- Vladilo, G., Centurión, M., Levshakov, S. A., et al. 2006, A&A, 454, 151 [NASA ADS] [CrossRef] [EDP Sciences]
- Vreeswijk, P. M., Ellison, S. L., Ledoux, C., et al. 2004, A&A, 419, 927 [NASA ADS] [CrossRef] [EDP Sciences]
- Vreeswijk, P. M., Ledoux, C., Smette, A., et al. 2007, A&A, 468, 83 [NASA ADS] [CrossRef] [EDP Sciences]
- Vreeswijk, P. M., Jakobsson, P., Jaunsen, A. O., Oslo, U., & Ledoux, C. 2008a, GRB Coordinates Network, 7391, 1 [NASA ADS]
- Vreeswijk, P. M., Thöne, C. C., Malesani, D., et al. 2008b, GRB Coordinates Network, 7601, 1 [NASA ADS]
- Watson, D., Fynbo, J. P. U., Ledoux, C., et al. 2006, ApJ, 652, 1011 [NASA ADS] [CrossRef]
- Whalen, D., Prochaska, J. X., Heger, A., & Tumlinson, J. 2008, ApJ, 682, 1114 [NASA ADS] [CrossRef]
- Woosley, S. E. 1993, ApJ, 405, 273 [NASA ADS] [CrossRef]
- Woosley, S. E., & Heger, A. 2004, in Stellar Rotation, ed. A. Maeder, & P. Eenens, IAU Symp., 215, 601
Footnotes
- ... searches
- Based on Target-Of-Opportunity observations carried out in service mode under progs. ID 075.A-0603, P.I. Fiore, and 075.A-0385, 077.D-0661, 080.D-0526, and 081.A-0856, P.I. Vreeswijk, with the Ultraviolet and Visual Echelle Spectrograph (UVES) installed at the Nasmyth-B focus of the Very Large Telescope (VLT), Unit 2 - Kueyen, operated by the European Southern Observatory (ESO) on Cerro Paranal in Chile.
- ...
pipeline
- http://www.eso.org/projects/dfs/dfs-shared/web/vlt/vlt-instrument-pipelines.html
- ...
group
- http://amrel.obspm.fr/molat/
- ... (RFM)
- http://www.atm.ox.ac.uk/RFM/
- ...
database
- http://physics.nist.gov/PhysRefData/ASD/index.html
- ...Kurucz (2003)
- http://kurucz.harvard.edu
- ... GRB-DLAs
- Since the submission of this paper, CO molecules with exceptionally high column densities have been detected at the host-galaxy redshift of GRB 080607 in a low-resolution Keck afterglow spectrum (Prochaska et al. 2009). The absorbing gas is estimated to have roughly solar metallicity.
All Tables
Table 1:
Ionic column densities of neutral and singly ionized species at the
GRB 050730-DLA redshift of
.
Table 2:
Column densities of the fine-structure levels of the ground term and
those of metastable levels of Fe+ at the
GRB 050730-DLA redshift of
.
Table 3:
Neutral gas, metals, dust, and molecules in the VLT/UVES sample of
Swift-era
GRB hosts (as of June 2008).
All Figures
![]() |
Figure 1:
Normalized UVES spectral portions around weaker lines from neutral and
singly ionized species at the GRB 050730-DLA redshift of
|
Open with DEXTER | |
In the text |
![]() |
Figure 2:
Normalized UVES spectra around several strong transitions to the J=0
and 1 rotational levels of the vibrational ground-state of H2 molecules
at the GRB 050730-DLA redshift of
|
Open with DEXTER | |
In the text |
![]() |
Figure 3:
Voigt-profile fitting to transition lines from the fine-structure
levels of the Fe+ ground-term at the
GRB 050730-DLA redshift of
|
Open with DEXTER | |
In the text |
![]() |
Figure 4:
Voigt-profile fitting to transition lines from the fine-structure
levels of the ground term and other metastable levels of Fe+
at the GRB 050730-DLA redshift of
|
Open with DEXTER | |
In the text |
![]() |
Figure 5: Top panel: time-dependent evolution of the column densities of the ground and several metastable levels of Fe+ in our best-fit UV pumping model (indicated with solid lines) using Cloudy atomic parametres and allowing for the absorbing cloud to be extended (see discussion in text). Measurements (resp. upper limits) are indicated with open circles (resp. triangles); the upper limits were not used to constrain the fit. Bottom panels: zoom-in around the two epochs of observations for three different model fits. The bottom right panel shows the same model as the top panel but also identifies the Fe+ levels of the observed and modelled populations. The other two bottom panels show fits to the data assuming a zero cloud size, where the old atomic parametre fit is featured in the left panel and the Cloudy parametre fit is located in the middle. |
Open with DEXTER | |
In the text |
![]() |
Figure 6: Left panel: column densities of H0-ionizing and H2-dissociating photons released by GRB 050730 between 30 and 3310 s after the burst (rest frame; i.e., up to the mid-exposure time of the first-epoch UVES spectrum) as a function of distance to the burst. Right panel: H0 photo-ionization and H2 photo-dissociation rates integrated over the rest-frame time interval 30-3310 s as a function of distance to GRB 050730, neglecting self-shielding and assuming no dust (see text). |
Open with DEXTER | |
In the text |
![]() |
Figure 7:
Neutral hydrogen (H0; left panel)
and molecular hydrogen (H2; right
panel) column density remaining at the time of the
first-epoch UVES spectrum as a function of distance to
GRB 050730 for dust-free clouds with different initial
(pre-burst) column densities. The initial column density (1014-1023)
of each calculation is indicated with a dotted horizontal line. We
performed two sets of calculations: one where the cloud size is
negligible (solid lines), and one where the initial cloud size is
assumed to be equal to the burst/cloud distance (dashed lines). In each
panel, the diamond symbol indicates our observational constraint, i.e.,
|
Open with DEXTER | |
In the text |
![]() |
Figure 8:
Left panel: logarithm of the neutral hydrogen
column density versus metallicity,
|
Open with DEXTER | |
In the text |
Copyright ESO 2009
Current usage metrics show cumulative count of Article Views (full-text article views including HTML views, PDF and ePub downloads, according to the available data) and Abstracts Views on Vision4Press platform.
Data correspond to usage on the plateform after 2015. The current usage metrics is available 48-96 hours after online publication and is updated daily on week days.
Initial download of the metrics may take a while.