Issue |
A&A
Volume 506, Number 2, November I 2009
|
|
---|---|---|
Page(s) | 609 - 621 | |
Section | Cosmology (including clusters of galaxies) | |
DOI | https://doi.org/10.1051/0004-6361/200912003 | |
Published online | 27 August 2009 |
A&A 506, 609-621 (2009)
Perturbative reconstruction of a gravitational lens: when mass does not follow light
C. Alard
Institut d'Astrophysique de Paris, 98bis boulevard Arago, 75014 Paris, France
Received 7 March 2009 / Accepted 7 July 2009
Abstract
Aims. The structure and potential of a complex gravitational
lens is reconstructed using the perturbative method presented in Alard
(2007, MNRAS, 382, L58; 2008, MNRAS, 388, 375). This lens is composed
of 6 galaxies belonging to a small group.
Methods. The lens inversion is reduced to the problem of
reconstructing non-degenerate quantities: the 2 fields of the
perturbative theory of strong gravitational lenses. Since in the
perturbative theory the circular source solution is analytical, the
general properties of the perturbative solution can be inferred
directly from the data. As a consequence, the reconstruction of the
perturbative fields is not affected by degeneracy, and finding the best
solution is only a matter of numerical refinement.
Results. The local shape of the potential and density of the
lens are inferred from the perturbative solution, revealing the
existence of an independent dark component that does not follow light.
Conclusions. The most likely explanation is that the particular
shape of the dark halo is due to the merging of cold dark matter halos.
This is a new result illustrating the structure of dark halos on the
scale of galaxies.
Key words: gravitational lensing - dark matter
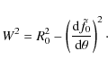
1 Introduction
In 1986 Lynds and Petrosian reported the discovery of giant arcs in Abell 370 and 2242-02, with a length of 100 Kpc and luminosities comparable to giant elliptical galaxies, but with bluer colors. Bohdan Paczynski (1987) interpreted these features, he suggested that the arcs may be the result of the clusters acting as gravitational lenses. The Paczynski interpretation was later confirmed by Grossman & Narayan (1988), and initiated a series of very fruitful developments on gravitational lenses. The lens inversion problem was tackled by Kochanek et al. (1989) using the ring cycle method. Other methods have been developed to solve the lens inversion problem, such as maximum entropy methods by Wallington et al. (1996), methods based on Fourier series expansion (Trotter et al. 2000), LensCLEAN (Wucknitz 2004), semi linear inversion methods (Warren & Dye 2003), Bayesian methods (Brewer & Lewis 2006), and potential reconstruction method (Suyu et al. 2009). The lens inversion methods may be classified in 3 types: (i) model dependent reconstructions; (ii) potential reconstruction on a grid; (iii) expansion of the potential in Fourier series. All methods have to consider the degeneracy of modeling, for instance Wayth et al. (2005) found that 6 different models were consistent with the observations for the lens ER 0047-2808. The problem of degeneracy in lens inversion is widespread. The degeneracy issue is related to the fact that the constraints on the potential are local. The value of the potential is constrained only in areas where images of the source are formed. Additional constraints comes from the fact that no images are formed in dark areas (Diego et al. 2005). Since there are no constraints on the potential in other areas, without additional assumptions, the problem is fully degenerate, and an infinite number of models are possible. One possibility is to explore the family of models that is consistent with the observations (Saha & Read 2009) and to try to find the common features between the models (non-degenerate quantities). However, in such an approach it is difficult to explore the full range of possible models. Another possibility to reduce the degeneracy is to use a local representation of the potential, like the methods (ii) and (iii). However, the grid methods or Fourier methods require many free parameters, and it is not clear whether the degeneracy problem has been improved. To solve the degeneracy problem it is essential to reduce the number of parameters, and to describe the potential in terms of fundamental, non-degenerate quantities. Since giant arcs resemble a part of a circle, it is natural to consider that arcs corresponds to a small break of the circular symmetry. In such an hypothesis, the fundamental properties of the arcs should be related to the quantities breaking the circular symmetry. These ideas were first explored by Blandford & Kovner (1988) who demonstrated that for a small impact parameter (with respect to the size of the critical circle) and small deviations from circularity, the equation for caustics depends only on the orthoradial component of the deflection field at the critical circle. Blandford & Kovner (1988) also presented a geometrical method to reconstruct the images of the lens. The same concepts were investigated later by Alard (2007) who derived an analytical equation to describe the formation of images by the lens. The main advantage of the analytical description is that it directly relates the morphological properties of the arcs to the potential expansion. This relation between the potential and the observational features suggests that the description of the potential is non-degenerate, and also simplifies the lens inversion problem. The reduction of the degeneracy problem in this approach is well illustrated by the fact that an infinite number of models corresponds to a given perturbative representation. Lens inversion in this perturbative framework was already tested in Alard (2008) using numerical simulations. It was found that the perturbative approach allows an accurate re-construction of the potential for lenses with substructures. The concepts developed in this approach are very different from some recent perturbative numerical schemes (see for instance Vegetti & Koopmans 2009). In this type of work there is no attempt at reformulating the lens-inversion problem in terms of fundamental quantities; the main goal is to derive an efficient numerical scheme to solve the ordinary lens equation. Peirani et al. (2008) showed that the perturbative approximation is accurate for realistic lens models. The numerical accuracy is of about 1% in units of the critical radius. The lens model of Peirani et al. (2008) were extracted from cold dark matter simulations (Horizon project), and some of them have a lot of structure (merging). This paper is organized as follows: the first part will present the perturbative method, and its basic properties. In an effort to make this work self-contained, a synthesis of the other useful results on the pertubative method is presented in the appendices. This section also has the advantage of presenting all the equations essential to lens inversion. The second part of the paper will present the application of the perturbative method to the inversion of an interesting case of gravitational lens. This paper also will be an occasion to extend the technique of perturbative inversion and to relate the perturbative fields to the geometry of the lens.
2 The perturbative approach in gravitational lensing
In the perturbative approach (Blandford & Kovner 1988; Alard 2007),
gravitational arcs are interpreted as a perturbation of the perfect
ring situation. A perfect ring is formed when a point source is
situated at the center of a circularly symmetric lens. In the perfect
ring situation, the central point has an infinite number of images
located on the critical circle. There are 2 different kinds of
perturbations that breaks the symmetry of the system: the
non-circularity of the lens, and the source impact parameter.
When such non-circular perturbations are introduced, the symmetry of
the system is lost and the ring is replaced with a series of individual
images. However, as illustrated in Alard (2007) whatever the angular position
of these perturbed images, there is always an unperturbed image of the
central point on the critical circle at the same angular position. As a
consequence there is only a radial displacement
between the perturbed and un-perturbed images. The un-perturbed situation is represented by a circular lens with potential
,
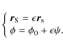
and a point source with null impact parameter. In the perturbed situation, the source has an impact parameter
,
and the lens is perturbed by the non-circular potential
.
Both perturbations
and
are assumed to be of the same order
:
Note that for convenience the unit of the coordinate is the critical radius. Thus by definition in this coordinate system the critical radius is situated at r = 1. As a consequence, in the continuation of this work all distances and their associated quantities (errors,..) will be expressed in units of the critical radius. In response to this perturbation, the radial position of the image will be shifted by an amount

The response

The last step to solve the lens equation is to expand the potential is series of

with:
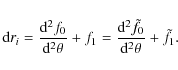
By inserting Eqs. (1), (2), and (4) in the lens equation (Eq. (3)), it is straightforward to obtain an equation relating the response



and
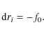
![$\kappa_2=1-\left[ \frac{{\rm d}^2 \phi_0}{{\rm d} r^2} \right]_{(r=1)}.$](/articles/aa/full_html/2009/41/aa12003-09/img23.png)
This equation corresponds to Eq. (8) in Alard (2007).
Considering that the source has a mean impact parameter
,
the position in the source plane may be re-written:
.
Assuming Cartesian coordinates (x0,y0)for the vector
,
Eq. (6) reads:
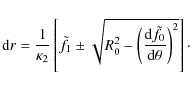
For a circular source with radius R0, the perturbative response

Equation (6) depends on





3 Pre-processing of the HST data
The gravitational lens SL2SJ02140-0532 (Cabanac et al. 2007,
SL2S public domain) was observed by HST in 3 spectral domains,
F475W, F606W, F814W, with an exposure time of 400 s. The main
difficulty in the pre-processing of the images is to remove the large
number of cosmic present in the images. Cosmic are identified using a
wavelet approach based on an estimation of the local scale in the
image. Once a cosmic has been identified at a given position, the local
area around this position is investigated to remove any other
pixels connected to the cosmic. This procedure is based
on routines from the ISIS package (Alard 2000).
Note that since the number of cosmic is large in the images, the
local density of cosmic sometime become too large in some areas. When
too many nearby cosmic are detected within a small area, the area
is flagged, and will be considered cautiously, or even rejected. Once
the 3 images are cosmic cleaned, a re-centering to a common grid
is performed using the position of the bright objects. The last step in
the processing of the images is to remove the background. There is some
diffuse light coming from the galaxy halos at
the level of the arcs, and the proper removal of this diffuse light is
especially important.
The diffuse background is removed in several steps. The first step is
to build a general
background model. To build this model, the image is divided
in square areas of 32 pixel, the local background is estimated
within each area using a
cleaning method. The background value in each local area is then
interpolated
to compute a general background value at each position in the image.
Once this background model has been subtracted
from the image, the residuals around the arcs are investigated in
order to control any systematic errors.
A tiny systematic background residual is detected; this residual
depends on the distance to the 3 main galaxies center of gravity.
This background residual is related to an imperfect subtraction of a
diffuse halo centered around the 3 main galaxies. An elliptical
component centered at the center of gravity of the 3 galaxies is
fitted to this residual. The best elliptical parameters are estimated
by minimizing the
deviations to elliptical symmetry. The mean radial profile of the
residual is estimated, and finally the relevant elliptical component is
subtracted. Note that this last background correction is small, it is
only a few percent of the initial background subtraction. Thus, the
3 cosmic cleaned, re-centered and background subtracted images are
stacked, to produce the final reference image of the arc system. A
color illustration
of the arc system is provided in Fig. 1.
![]() |
Figure 1: Color image for SL2SJ02140-0532 reconstructed from 3 noise filtered HST images in 3 bands. |
Open with DEXTER |
4 Lens inversion
This work presents the first successful model of the images formed by the lens SL2SJ02140-0532. This system was investigated by Limousin et al. (2009), who tried to fit this system using an elliptical lens model. They found that it was not possible to reproduce this system using such simple elliptical models. Limousin et al. (2009) were also confused by the color of the last image (right side in Fig. 1) which is slightly different to the color of the other images. They concluded that the identification of the images formed by this lens was uncertain, and as a consequence renounced modelling of this system. We will see in the continuation of this work that this lens requires models much more complex than elliptical, and that such models can be built naturally using the perturbative method presented in this paper. The development of this perturbative model also will naturally solve the problem of the different color of the last image. We will see that the first part of this image has the same color as the other images, while the remaining part of the image has a different color. This is a direct prediction of the perturbative model, which offers an elegant solution to the problems encountered by Limousin et al. (2009). We now turn to the analysis of this lens using the perturbative method. The lens SL2SJ021408-053532 forms a system of 4 images of the source. The first 2 images are situated inside the large arc in the upper left (they appear as 2 identical mirror images). The 2 other image, are at the bottom and the right side of the frame (see Fig. 1). In the perturbative approach the problem of reconstructing this lens is equivalent to the reconstruction of the perturbative fields, and the next sections will concentrate on this issue. Obviously, the re-construction problem is reduced to the reconstruction of the first order perturbative field only if the first order perturbative theory applies. The requirement for this approximation to work is that the gradient of the potential can be linearized in the vicinity of the critical circle (Alard 2007). For single dark matter halos numerical experiments shows that this local constraint on the gradient is usually met with good accuracy (Alard 2007; Peirani et al. 2008). It is only in the case where a local minima of the potential is present close to the critical circle that this approximation may not work. But such situations are very rare because they require that for instance a sub-structure falls very close to the critical line. However Alard (2008) showed that the general treatment of substructure in this approximation is correct even when the substructure is quite close to the critical circle (up to one tenth of the critical circle). Additionally, when an unlikely situation happens, such as a substructure lying on the critical line, the consequences are easily observable: a few additional images are formed near the perturbator. Thus such situation is easy to recognize, and is not apparent in the present data. In any case the best test of the first order approximation is to perform a successful reconstruction of the data, which means that in practise second order terms can be neglected. This will be the approach favored in this paper. Before the field re-construction problem can be tackled, a necessary step is to evaluate the size of the critical circle, which will become by convention the coordinate system unit.
4.1 Estimation of the critical circle
The critical circle is estimated by fitting a circle to the mean
position of the images. The center and radius of the circle are
adjusted. The non-linear adjustment procedure starts
from a circle centered on the small galaxy at the center of the image.
The initial estimate for the circle radius is the mean distance of the
images to the center. A non linear optimization shows that the best
center is close to the initial guess and that the optimal radius is
close to 152 pixels; with a pixel size of
the critical circle radius
is
.
This value should be compared to the radius of
found
by Limousin et al. for the same lens. Note that the final result
will not depend upon the particular choice of a given critical circle.
Taking another circle close to this one would change a little the
estimation of the perturbative fields, but the total background plus
perturbation would remain the same.
4.2 General properties of the solution
The general properties of the solution can be derived from the
properties of the circular source solution. To estimate
the circular source solution, the outer contour of the source will be
approximated with a circle. This approximation of the source may not
be very accurate; the typical error on the field estimation will be
of the order of the source outer contour deviations from circularity.
However, this approximation is sufficient to obtain a first
estimate of the solution and to derive its general
properties. For circular sources the perturbative fields are directly related to the data (see Appendices A, and Eq. (8)).
This direct relation between the fields and the data is possible only
in areas of the lens plane where images of the source are present. In
dark areas, the field
will have to be reconstructed by interpolating the values in bright
areas. The field
will be
approximated with the mean radial position of the images (with respect
to the critical circle). The reconstruction of
is simple and not
ambiguous, but the reconstruction of
requires more work. On the other hand
is better constrained since no images should
be formed in dark areas (
).
Furthermore, the field
is of
particular interest since it is directly related to the potential
iso-contour (Eq. (C.1)). The derivation of the general properties of
require some specific guess of the
local behavior of this field in the region of image formation. Images
form in minima of
and the example presented in Appendix A
indicates that the behavior of
near the minima is of 2 types. For small images
has a linear behavior, while
for larger images (caustics) the field behaves like a higher order
polynomial. In the case of this particular lens system, we have
4 images of comparable size. The typical image size is quite small
and it is reasonable to assume that the field behavior in the image
is linear. Of course other models could be investigated, with for
instance order 2 behavior of the field, but obviously these models
are much more complex and would require higher order Fourier
expansions (see Fig. 2). Additionally, adopting a higher order description (lower curve in Fig. 2) may introduce false features like local peaks. The locally linear model (upper curve in Fig. 2) is the simplest description consistent with the general properties of
;
it has the smallest possible number of minima and maxima. Thus adopting
the locally linear model guarantees that no un-necessary features are
introduced in the model. On the other hand, in reality this description
may be too simple. The validity of this model can only be tested by a
direct application to the data, and an evaluation of the quality of the
fit.
A higher order description should be adopted only if the locally linear
model does not fit the data properly. As a consequence, the locally
linear model will be adopted in the continuation of this work. Once the
general shape of the solution
is known, everything is now just a matter of improving the numerical
accuracy. The process of building the solution will proceed in several
steps. First the local solution will be refined numerically, then some
interpolation of the solution in
dark areas will be computed. A Fourier expansion will be fitted
to this piecewise polynomial solution. And finally the adjustment of
the Fourier expansion to the data will be optimized using a non linear
minimization procedure. Note that
since only the square of
enters
Eq. (8), the sign of
is not known, as a consequence two solutions with different sign will
have to be explored. Hopefully, when the source is not circular this
degeneracy of the sign can be broken.
![]() |
Figure 2:
Two example of possible shapes for the field
|
Open with DEXTER |
4.3 Refinement of the local solution
The study of the general properties of
indicates that the simplest model of this field is locally linear in
the neighborhood of the images. This local linear model will be refined
in this section. The same local linear approximation will be used for
the field
.
As illustrated in the former section, the estimation will start from
the circular source guess. For a circular source and a linear field
model, the field
is zero at the center of the image. This property will be assumed in the
refinement of the local solution. The slope of the linear model for
is estimated by solving Eq. (8). Note that solving Eq. (8) requires an estimation of the source radius R0. Since the image maximum half radial width is R0, an estimation of R0 can be obtained by averaging the maximum radial width of the 4 images. By adopting this linear local model of
,
taking the mean radial position as an estimation of
linear parameters, and using the perturbative lens equation (Eq. (6)),
it is possible to fold the 4 images to the source plane. Once
folded to the source plane, the 4 images must be similar and their
comparison is a direct test of the quality of the lens re-construction.
With the initial guess for the
field a, correlation between the 4 folded images is effectively
observed: the mean cross-correlation between the images is 0.6.
This cross
correlation can be improved quite significantly by non-linear
optimization. The cross-correlation between images in the source
plane is maximized using the Nelder & Mead (1965) simplex method. The parameter space of the maximization is the 4 local slopes of the
field, and also the 4 local slopes of the field
.
The simplex maximization brings the mean
cross-correlation between images to 0.8 which is a good indication
that the linear approximation is already a good model. This maximization
is also the occasion to build a first realistic model of the source, and to
go beyond the circular source approximation. The result for
the field
is presented in
Fig. (3). The local linear approximation is the dark
blue line segments in Fig. (3).
![]() |
Figure 3:
An estimate of the
|
Open with DEXTER |
4.4 Interpolating the local linear solution in dark areas
Since there are no constraints on the field
in dark areas, the
fit of this field in the full angular range is straightforward.
Due to the constraint that no images are formed in dark areas, the
situation is more complicated for the field
.
The local linear solution obtained in the former section needs to
to be completed with second order polynomials to fill the gaps
between the images. The condition that no images are formed in dark areas (Diego et al. 2005) is equivalent to the condition that the functional
is larger in dark areas than in areas of image formation. Another constraint is that the sum of the field
must be zero. And finally
the field must be continuous and as smooth as possible. The first
constraint is a constraint on the sign of the curvature of the local
polynomial, or equivalently on the sign of the second order
coefficient of the
polynomial. The second constraint reduces the number of unknowns in the
polynomial coefficients. And the last constraint
settles the value of the remaining coefficients. Note that the
constraints on zero and first order polynomial coefficients can be
solved using linear methods, which reduce the number of unknown and
leaves us with variables depending only on the second order coefficients.
The remaining equations depending on the second order coefficients have
to be solved with a constraint on the sign of the coefficients. A
simple grid method was adopted to solve the relevant equations.
The final solution is presented in Fig. 3 (light
blue curve).
4.5 Final fitting of the fields
The final fitting of the fields will be conducted by reconstructing the images of the source and comparing these images with the HST data by chi-square estimation. This procedure will take into account the convolution of the images with the PSF, which was ignored in the former reconstructions. The HST PSF is estimated using the Tiny Tim software (Krist 1995). Note that the chi-square value between model and data can be interpreted as a comparison between the images. In the model, all images come from the same source, thus the chi-square directly measures the image similarity in the lens plane. In practice, the fitting procedure will work in the following way: start from a numerical guess of the field, reconstruct the source, then reconstruct the images of the source, and finally estimate the chi-square with respect to the HST data. An essential component in this procedure is the source reconstruction method, which is illustrated in the next section.
4.5.1 Source reconstruction
At this point the simplest method to estimate the source would be to
use the Warren & Dye (2003) method. Unfortunately the source is very complex, and this method
would require using too many basis functions, which in practice
is un-tractable. The following method has
been preferred: images are co-added in the source
plane using an algorithm that preserves the geometrical properties of
the images elements. The basic idea of this geometrical method is that
pixels in the lens plane are divided in 2 triangles. These triangles
are transported to the source plane and are assumed to remain
triangles.
The triangles in the source plane are projected on a grid and the flux is co-added. The
optimal size of the grid is
estimated by numerical experiments. The noise level in the source
image is estimated by looking at a specific area, and only the
significant pixels in the source grid are kept. The images of the
source in the lens plane are computed using the same geometrical
method, but this time in the opposite direction. The final step
is to compare the images of the source with the data.
The drawback of this method is that the pixels are affected by the convolution
with the PSF, and thus the source reconstruction is not perfect.
However, it is easy to correct this effect by using the following procedure:
first ignore the effect of the PSF on source reconstruction, find a solution, and then
correct the effect using a deconvolution procedure very similar to the
Van-Cittert method (Van Cittert 1931).
This de-convolution of the source starts from the solution obtained ignoring the PSF convolution.
The initial guess is convolved with the PSF and a difference image is formed by subtracting
the data. This difference image is taken as a new input to the source re-construction procedure
in order to produce a first correction of the initial guess of the source. This procedure is further
iterated until only noise is present in the difference image.
In practice this method requires
to control the noise in the difference image. In this work a 3-
level was adopted; tests were performed with other thresholds, 2 and 4
,
with no significant change in the results.
The lower
cuts require more iterations and provide somewhat more noisy source re-construction.
However, since the areas where effective corrections are needed are quite small (these areas correspond
to the bright sharp features in the images), the source reconstruction
is not affected much. It is also
important to note that these PSF corrections have very little effect on the re-construction of the perturbative
fields. By comparing the fit obtained by ignoring the PSF and correcting for the PSF, it was found that the
difference is only a small fraction of the noise in the field re-construction. Thus for this particular lens
this procedure of PSF de-convolution is important only for the re-construction of the source.
This is due to the fact that for this particular lens the thickness of the arc system is quite
large with respect to the PSF size, and as a consequence the PSF convolution has only a limited effect.
4.5.2 Fitting of a Fourier model
The practical implementation of the fitting procedure presented
above
now will be described. The first step is to choose a starting
estimate. It could be the piecewise polynomial model presented in
Sect. 4.6, but since the Fourier expansion of the fields is
directly related to the multipole expansion of the potential (see
Eqs. (B.1) (B.2) and (B.3)),
it is more convenient to use Fourier series. The initial guess is
obtained by fitting a 6th order Fourier series to the piecewise
model of
,
and for
by fitting a Fourier series to the mean radial position of the images.
Starting from this initial guess, the source and image reconstruction
procedures are iterated
using the simplex method, in order to minimize the chi-square between
the model and data. This procedure converges to the minimum of the
chi-square in the parameter space. This minimum corresponds to the
optimal Fourier coefficients. Note that as pointed out in
Sect. 4.2,
the sign of the initial guess is unknown and 2 solutions with
different signs have been explored. Fortunately in this case the
source is not circular and the 2 solutions have different
chi-square, which solves the problem of the degeneracy of the solution
sign. The final solution, the source
reconstruction and the image reconstruction
are presented in Fig. 5, and the field solution is
presented in Fig. 4. The fact that the source is complex and has a number of small features (see Fig. 7)
can be used to estimate the accuracy of the modeling. There are
3 bright features in the source that are visible in all images
(red, yellow, blue in Figs. 6 and 7).
The position of these features in the HST data and model has been
compared for each image. To obtain the best possible accuracy in the
comparison of the positions, the following procedure was used: a small
image of each feature is extracted in the model frame, and this small
image is cross-correlated with the HST data at various positions
around the feature. The cross-correlation map obtained using this
procedure is fitted with a polynomial to locate the map maxima, to
derive a direct estimate of the
shift between the features. The residuals are somewhat smaller for the
first 2 images. In particular a small discrepancy is visible in
the bright part of the third
image (lower left image); the distance between the two images of the
bright features in the source are closer in the model. The discrepancy
is of about 2.4 pixels, which is about 1.6% of the critical
radius.
On average the mismatch between model and observations is
0.9% of
.
This estimation is very close to the results obtained
by Peirani et al. (2008) who found that for realistic lens models
the mean errors on the reconstruction of images using the perturbative
approximation was about 1% of
.
Note that two other features
are visible in the source (see Fig. 7);
due
to variable levels of amplification, noise, and blurring by other
nearby features, the images of these features are not always clearly
visible in the HST data. However, when they are visible in the images,
their position and the correspondence between model and data are
indicated in Fig. 6. Note that the caustic system associated with the solution is complex and includes a number of sharp features (see Fig. 9).
The complexity of this caustic system is not easily visible in the
images; this is due to the fact that the source is large with respect
to the small features in the caustic system.
![]() |
Figure 4:
Best solution for the fields: red curve,
|
Open with DEXTER |
![]() |
Figure 5: Results from image re-construction: HST data ( upper right), model ( upper left), data and model subtraction ( lower left), source ( lower-right). Note the reproduction of the source details in the images of the model. An image of the source has been super-imposed on the model ( upper left), to illustrate the scaling. |
Open with DEXTER |
![]() |
Figure 6: Correspondence between the features in the model ( right side) and the HST data ( left side). The color code of the relevant source feature is presented in Fig. 7. The green ellipses indicate areas where cosmic cleaning was not satisfactory. There are a very large number of cosmic in the images, and sometimes several of them falls nearly in the same area, making cosmic cleaning very difficult. |
Open with DEXTER |
4.6 Noise
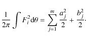
The model and the data are compared in a small region around the arcs with total number of pixels N. The Poisson weighted difference Ri between the model at pixel i, Mi and the HST data Di is very close to a Gaussian (see Fig. 8). Considering that the model has
parameters, 25 parameters of the Fourier expansion of the fields,
and the approximately 450 pixels of the source, the chi-square is,
.
Changing a little the size of the area, either
reducing it by moving closer to the center of the arcs, or enlarging
the area does not significantly change the chi-square value.
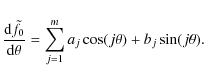
4.6.1 Errors on the Fourier coefficients due to noise in the data
The errors on the estimation of the Fourier coefficients
are evaluated by local linearization methods near the minima (see, for
instance Press et al. 2007). The intensity Mi is a function of the
Fourier parameters pn,
Mi=Mi(pn). Assuming that pn is very close to the solution and adding a small shift to the parameters
,
the intensity variation can be linearized.
The parameters

![$B_{nm}= \sum_{i,j} \frac{1}{\sigma_i
\sigma_j} \left[\frac{\partial M_i}{\partial p_n} \right]
\left[\frac{\partial M_j}{\partial p_m} \right]$](/articles/aa/full_html/2009/41/aa12003-09/img55.png)


4.6.2 Errors on the reconstruction of the perturbative fields
In the former section it was shown that the accuracy in the
reconstruction of the images was close to 0.9% of .
This error
is directly related to the errors on the reconstruction of the
perturbative fields. To estimate the amplitude of the errors on the fields
it is particularly useful to consider circular sources.
For a circular source there is a direct relation between the errors on
the fields and the errors on image reconstruction.
Eq. (8) shows that for circular sources,
is the mean
radial position of the image. As a consequence, the errors on
are of the same order as the errors on the image position, which were
estimated to be of the order of a percent. The field
is related by Eq. (8) to the radial width W of the image:

As a consequence, the error on W and the error on


Assuming the statistics of the variable W and





Note that here



![]() |
Figure 7: The source features visible in the images (see Fig. 7). The 3 brightest features are outlined by red, yellow, and blue ellipses. These features are used to estimate the accuracy of the reconstruction. The part of the source at the lower left of the image is effectively visible only in one of the images (see Sect. 5 for more explanations). |
Open with DEXTER |

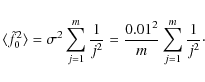
Provided it is assumed that the variance of

Note that if the Fourier expansion has no constant term, the mean value of Fi is zero (


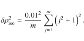
4.6.3 Effects of the errors on the potential and density estimation
Some interesting properties of the lens are directly related to the
perturbative fields as illustrated in Eqs. (C.1) and (D.2). The potential iso-contour depends on f0, and
it will be assumed that the variance of f0 is identical to the variance of
.
The variance on
can be estimated using the method presented in Sect. 4.6.2. The expansion for
read:

Thus

Using Eq. (10) the associated variance of


As a consequence, the average error on the estimation of




In practice the expansion in the above formula is conducted to order






![]() |
Figure 8: Histogram of the difference image between the model and data. The black curve is the histogram of the pixels in the difference image. For each pixel the difference has been weighted by the local Poisson noise expectation. The red curve is the theoretical Gaussian expectation for the normalized residuals. The closeness between the black and red curves indicates that the result of the fit is very close to optimal. The blue curve is the histogram of normalized residuals of the data without subtracting the model. This curve is plotted here for reference; it illustrates the effect of subtracting the model from the data. |
Open with DEXTER |
5 Prediction of image color
Figure 9 indicates that the last image (lower right position in Fig. 1) does not have the typical ``hat-shaped'' color diagram observed for the 3 other images. But this feature is actually a prediction of the perturbative model. The model predicts that the first half of the last image comes from the same source area as the other images. The other half of the last image corresponds to an area of the source that has no counterpart in the large arcs, and only a tiny counterpart in the lower left image. This situation is due to the crossing of the caustic line by a faint part of the source which is visible in Fig. 9 in the lower left of source-caustic diagram. The part of the source situated inside the caustics corresponds to the first half of the last image, while the other half of this image corresponds to the faint part of the source outside the caustics. As a consequence, the first half of the last image should have the same color diagram as the other images, and this is exactly what is observed (see Fig. 9). The remaining part should have the same color as the faint parts of the source, and this is also what Fig. 9 illustrates. The color variations in the source are entirely related to the different colors of the bright and faint parts as illustrated in Fig. 9. The accurate prediction of the observed image colors is a confirmation of the model.
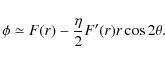
6 Shape of the dark component
The shape of the potential iso-contour is given by Eq. (C.1).
However, in practice, only
is known, and
Eq. (7) shows that the first
order coefficients of
depend also on the impact
parameters. But these first order terms are related to the centering of the potential, not to its shape, for instance
the ellipticity is related to order 2 Fourier terms.
It is however possible to obtain some partial information about the centering of the
potential by using Eq. (B.3) the first order moments
within the unit circle do not depend on the impact parameters (they
cancel out in the calculations). The numerical value of the inner moments
is quite small, of the order of
.
The outer moments have to
be of the same order, and thus the centering terms are not large.
Note that equations have been normalized by the factor
which depends on specific properties of the background.
In practice
acts as an unknown scaling factor on
and thus on the potential iso-contours. However, an important point is that this scaling degeneracy does not affect the shape
of the potential, and for realistic halos
is close to
unity (Peirani et al. 2008). The potential iso-contours
are presented in Fig. 10.
![]() |
Figure 9: The 3 color diagrams obtained by taking the sequence of raw flux in the 3 HST bands, as well as the source-caustic system ( lower right). The upper left presents the color digram of the last image (red), and of the 3 other images. The upper right presents the color diagram for the bright parts of the first 3 images (red curves), while the blue curves represent the faint parts of the source. The lower left plot, compares the color diagram of the first half of the last image (black curve), to the mean diagram of the 3 other images (blue curve), and also compares the color diagram of the second half of the last image (green curve), to the mean color diagram of faint source parts in the 3 other images (red curve). The last figure presents the source and the system of caustics in the source plane. |
Open with DEXTER |
![]() |
Figure 10:
The upper plot presents the potential iso-contours, the lower plot presents the density iso-contours. In the upper plot, the red curves represent the two 3 |
Open with DEXTER |
6.1 Mass to light relation
The un-perturbed potential iso-contour is a circle with radius r=1when a local perturbation is introduced, some distortions to the circular
iso-contours will be visible in the neighborhood of the perturbator.
As a consequence, provided that the potential is generated by the
visible matter, the distortions should correlate with the position of
the galaxies. Since the center of the potential is unknown, the
center of the un-perturbed unit circle is also unknown, and will have to be
adjusted. The adjustment of this local circle is performed
in the neighborhood of points on the potential iso-contour.
The angular range of the circle adjustment is
.
The residual of this local unit circle adjustment is presented
in Fig. 10. The local
deviations from circularity are not consistent with the positions of
the galaxies. The opposite is visible; the maximum deviations from
circularity are observed in the lower part of the figure where
no nearby galaxies are present. The average deviation from circularity
of the potential in this area is
0.05
.
According to the mean error on the potential estimated in Sect. 4.6.3, this is a 10
deviation. This result demonstrates the need for a dark component
that does not follow light. This is an interesting point for theories
that try to avoid dark matter by modifying gravity. A natural solution
is to consider that the dark component was formed by merging of cold
dark matter halos.
6.2 Inner and outer contribution to the potential
Note also that Eq. (B.3)
relates the Fourier coefficients of the fields
and
to the inner (an,bn) and outer terms (cn, dn) of
the multipole expansion. As a consequence, the expansion of
can be separated into inner contributions (which is equivalent to taking
cn = dn = 0 in the original expansion), and outer terms (an=bn=0).
A numerical estimation shows that about 75% of the total power
spectrum of the field
comes from inner terms, which demonstrates
clearly that the observed effects are dominated by the inner
contributions. Since the deviation from circularity of the potential in
areas with no light are much above the noise (10
), the
result that mass does not follow cannot be affected by the 25%
contribution of the outer terms.
6.3 Density
To estimate the density of the lens it is necessary to make
some assumptions. Making a specific assumption about the
background allows us to make an estimation of
and also
break the mass-sheet degeneracy. For nearly isothermal lens distributions, the density iso-contours are given by Eq. (D.2).
Note that in this equation the terms corresponding to the
impact parameters cancel out

To optimize the signal to noise ratio, the iso-contours presented in Fig. 10 are reconstructed by using an order 4 Fourier expansion (see Sect. 4.6.3 for details). Note that a method to reconstruct the iso-contours of a nearly isothermal lens was also studied by Evans & Witt (2003). However, their description of the potential is less general since it contains only one angular functional, it is suitable only for potentials with constant isophotes.
7 Discussion
This paper describes the structure of the dark matter envelope of a small group of galaxies. It is shown that the distribution of the dark mass does not follow light (Fig. 10). This is direct evidence for an independent dark component at the scale of galaxies. Such new results about a system with a mass much lower than a typical cluster (for instance the Bullet Cluster) are essential. First because there has always been a problem with missing baryonic mass in clusters (for instance X ray gas); second because structures like the Bullet Cluster contains many galaxies, and their distances are not known with good enough accuracy to avoid some degeneracy (Clowe et al. 2006). The galaxies in this small group have very much the same colors, and as a consequence are probably very nearly at the same distance. Interpretating these results is not ambiguous and we are probably observing a merging event between two cold dark matter halos. Since the dark matter halos are much more extended than the bright cores of the galaxies, the interaction between the dark halos is already quite strong, while at the same time the stellar distribution is much less affected. However, by looking carefully at the outer part of the luminous halo's of the galaxies, some indications of interaction are visible. In particular, the lack of asymmetry in the outer contours of the light distribution indicates that the small galaxy at the center of the group has probably been stripped of its outer parts. This issue will be analyzed in more detail in a forthcoming paper. The analysis of this particular lens makes it clear that the combination of the perturbative method and good HST data open interesting new possibilities. Using this approach it should be possible to probe the structure of the dark component at the mass scale of galaxies for a large number of systems. Statistical results about the geometry and structure of the dark halos should be derived, and will probably offer the possibility to evaluate the amount of substructure in the halos (Alard 2008). It is clear also that the mass-luminosity relation could be analyzed for a number of other systems, and that the discovery of systems similar to this one would constrain even more a modification of gravity.
AcknowledgementsThis work is based on HST data, credited to STScI and prepared for NASA under Contract NAS 5-26555. I would like to thank François Sevre, Leslie Sage, J. P. Beaulieu, S. Mao, R. Blandford, and P. Alard for helping with this paper, and the referee for helping to improve the presentation of this paper.
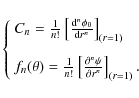
Appendix A: Physical meaning of the perturbative approximation
For circular sources, Eq. (8) shows that
is the mean radial position of the image. The width of the image is
.
The condition for image formation is
,
thus images are formed near the minimas
of
.
The minimas of
are of two different
types: linear behavior of
near
the minima (small images), or a higher order polynomial behavior:
caustics. To illustrate these properties, let's take the simple case of
an elliptical potential, with ellipticity parameter
:

Let's now develop this potential to first order in

As a consequence,



Placing the source on the X-axis (y0 = 0), at an impact parameter








![]() |
Figure A.1:
Plot of the function
|
Open with DEXTER |
Appendix B: Relation to multipole expansion
The expansion of the perturbative potential at a given radial position r
reads (Kochanek 1991):
The perturbative theory requires the evaluation of the potential gradient on the critical circle. Since the coordinate system has been re-normalized so that the critical radius is situated at r=1, all the evaluation of quantities related to the potential will be performed at r=1. The coefficients (an,bn,cn,dn) are related to the projected density of the lens

Using Eqs. (B.1) and (B.2), and noting that:
![$\left(\frac{{\rm d} \left( a_n+c_n \right)}{{\rm d} r}\right)_{[r=1]}=\left(\frac{{\rm d} \left(b_n+d_n \right)}{{\rm d} r}\right)_{[r=1]} = 0$](/articles/aa/full_html/2009/41/aa12003-09/img107.png)
![$ \frac{{\rm d} f_0}{{\rm d} \theta} = \left(\frac{\partial \psi}{\partial \theta}\right)_{[r=1]}$](/articles/aa/full_html/2009/41/aa12003-09/img108.png)
![$f_1 = \left(\frac{\partial \psi}{\partial r}\right)_{[r=1]}$](/articles/aa/full_html/2009/41/aa12003-09/img109.png)
As a consequence, there is a direct relation between the Fourier expansion of the perturbative fields and the multipole expansion of the potential at the critical circle. This relation also demonstrates that the Fourier expansion of the perturbative fields is not equivalent to the Fourier expansion of the potential by Trotter et al. (2000). The expansion proposed by Trotter requires a number of additional coefficients with respect to the multipole expansion. On the other hand, Eqs. (B.1)-(B.3) indicate that the perturbative expansion is directly related to the multipole expansion without needing any additional coefficients. It is also clear from Eqs. (B.1) and (B.3) that since the Fourier expansion of elliptical potentials is approximately of order 2 (see Eq. (A.1)), the corresponding Fourier expansion will also be of order 2. Higher order terms in the Fourier expansion of the perturbative fields will thus be related to the skewness, boxyness, etc. , of the potential. The first order terms are related to the centering of the potential.
Appendix C: Geometrical interpretation
The perturbative fields are directly related to the geometrical
structure of the potential. The potential iso-contour near the
critical circle is easy to infer from Eq. (D.1). The
iso-contour equation reads:

Searching for the iso-contour near the critical circle



When no perturbation is introduced (f0=0), the iso-contour must be reduced to the critical circle (

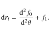
The potential iso-contour depend only on f0, while the iso-contour variation depends also on f1. Considering a contour with radial position ri, defined by






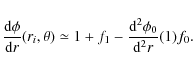
Considering that Eq. (C.2) depends only on f1 for purely isothermal backgrounds, and that CDM halos are quite close to isothermal in general, the iso-contour variation is dominated by f1.
Appendix D: Relation to the geometry of the density
The two perturbative fields are related to the potential by the following
expansion (Eq. (4)):
Note that since





The iso-contour near the critical circle is defined by the equation



For a nearly isothermal distribution, the higher order derivatives (n > 1) are close to zero. Assuming that these higher order derivatives are of order



References
- Alard, C. 2000, A&AS, 144, 363 [NASA ADS] [CrossRef] [EDP Sciences]
- Alard, C. 2007, MNRAS, 382, L58 [NASA ADS]
- Alard, C. 2008, MNRAS, 388, 375 [NASA ADS] [CrossRef]
- Blandford, R. D., & Kovner, I. 1988, Phys. Rev. A 38, 4028
- Brewer, B., & Lewis, G. 2006, ApJ, 637, 608 [NASA ADS] [CrossRef]
- Cabanac, R. A., Alard, C., Dantel-Fort, M., et al. 2007, A&A, 461, 813 [NASA ADS] [CrossRef] [EDP Sciences]
- Clowe, D., Bradac, M., Gonzalez, A. H., et al. 2006, ApJ, 648, L109 [NASA ADS] [CrossRef]
- Diego, J. M., Protopapas, P., Sandvik, H. B., et al. 2005, MNRAS, 360, 477 [NASA ADS] [CrossRef]
- Evans, N., & Witt, H. 2003, MNRAS, 345, 1351 [NASA ADS] [CrossRef]
- Grossman, S., & Narayan, R. 1988, ApJ, 324L, 37 [NASA ADS] [CrossRef]
- Kochanek, C., Blandford, R., Lawrence, C., et al. 1989, MNRAS, 238, 43 [NASA ADS]
- Krist, J. 1995, ASPC, 77, 349 [NASA ADS]
- Limousin, M., & the SL2S collaboration 2008 [arXiv:0812.1033]
- Lynds, C., & Petrosian, V. 1986, BA&AS, 18, 1014
- Nelder, J., & Mead, R. 1965, Comp. J., 7, 308
- Paczynski, B. 1987, Nature, 325, 572 [NASA ADS] [CrossRef]
- Peirani, S., Alard, C., Pichon, C., Gavazzi, R., & Aubert, D. 2008, MNRAS, 390, 945 [NASA ADS] [CrossRef]
- Press, W., Teukolsky, S., Vetterling, W., et al. 2007, Numerical Recipes (Cambridge University Press)
- Saha, P., & Read, J. 2009, ApJ, 690, 154 [NASA ADS] [CrossRef]
- Suyu, S., Marshall, P., Hobson, M., et al. 2006, MNRAS, 371, 983 [NASA ADS] [CrossRef]
- Suyu, S., Marshall, P., Blandford, R., et al. 2009, ApJ, 691, 277 [NASA ADS] [CrossRef]
- Trotter, C., Winn, J., & Hewitt, J. 2000, ApJ, 535, 671 [NASA ADS] [CrossRef]
- Van Cittert, P. H., & Physik, Z. 1931, 69, 298
- Vegetti, S., & Koopmans, L. 2009, MNRAS, 392, 945 [NASA ADS] [CrossRef]
- Wallington, S., Kochanek, C., & Narayan, R. 1996, ApJ, 465, 64 [NASA ADS] [CrossRef]
- Warren, S., & Dye, S. 2003, ApJ, 590, 673 [NASA ADS] [CrossRef]
- Wayth, R., Warren, S., Lewis, G., et al. 2005, MNRAS, 360, 1333 [NASA ADS] [CrossRef]
- Wucknitz, O., Biggs, A., & Browne, I. 2004, MNRAS, 349, 14 [NASA ADS] [CrossRef]
All Figures
![]() |
Figure 1: Color image for SL2SJ02140-0532 reconstructed from 3 noise filtered HST images in 3 bands. |
Open with DEXTER | |
In the text |
![]() |
Figure 2:
Two example of possible shapes for the field
|
Open with DEXTER | |
In the text |
![]() |
Figure 3:
An estimate of the
|
Open with DEXTER | |
In the text |
![]() |
Figure 4:
Best solution for the fields: red curve,
|
Open with DEXTER | |
In the text |
![]() |
Figure 5: Results from image re-construction: HST data ( upper right), model ( upper left), data and model subtraction ( lower left), source ( lower-right). Note the reproduction of the source details in the images of the model. An image of the source has been super-imposed on the model ( upper left), to illustrate the scaling. |
Open with DEXTER | |
In the text |
![]() |
Figure 6: Correspondence between the features in the model ( right side) and the HST data ( left side). The color code of the relevant source feature is presented in Fig. 7. The green ellipses indicate areas where cosmic cleaning was not satisfactory. There are a very large number of cosmic in the images, and sometimes several of them falls nearly in the same area, making cosmic cleaning very difficult. |
Open with DEXTER | |
In the text |
![]() |
Figure 7: The source features visible in the images (see Fig. 7). The 3 brightest features are outlined by red, yellow, and blue ellipses. These features are used to estimate the accuracy of the reconstruction. The part of the source at the lower left of the image is effectively visible only in one of the images (see Sect. 5 for more explanations). |
Open with DEXTER | |
In the text |
![]() |
Figure 8: Histogram of the difference image between the model and data. The black curve is the histogram of the pixels in the difference image. For each pixel the difference has been weighted by the local Poisson noise expectation. The red curve is the theoretical Gaussian expectation for the normalized residuals. The closeness between the black and red curves indicates that the result of the fit is very close to optimal. The blue curve is the histogram of normalized residuals of the data without subtracting the model. This curve is plotted here for reference; it illustrates the effect of subtracting the model from the data. |
Open with DEXTER | |
In the text |
![]() |
Figure 9: The 3 color diagrams obtained by taking the sequence of raw flux in the 3 HST bands, as well as the source-caustic system ( lower right). The upper left presents the color digram of the last image (red), and of the 3 other images. The upper right presents the color diagram for the bright parts of the first 3 images (red curves), while the blue curves represent the faint parts of the source. The lower left plot, compares the color diagram of the first half of the last image (black curve), to the mean diagram of the 3 other images (blue curve), and also compares the color diagram of the second half of the last image (green curve), to the mean color diagram of faint source parts in the 3 other images (red curve). The last figure presents the source and the system of caustics in the source plane. |
Open with DEXTER | |
In the text |
![]() |
Figure 10:
The upper plot presents the potential iso-contours, the lower plot presents the density iso-contours. In the upper plot, the red curves represent the two 3 |
Open with DEXTER | |
In the text |
![]() |
Figure A.1:
Plot of the function
|
Open with DEXTER | |
In the text |
Copyright ESO 2009
Current usage metrics show cumulative count of Article Views (full-text article views including HTML views, PDF and ePub downloads, according to the available data) and Abstracts Views on Vision4Press platform.
Data correspond to usage on the plateform after 2015. The current usage metrics is available 48-96 hours after online publication and is updated daily on week days.
Initial download of the metrics may take a while.