| Issue |
A&A
Volume 506, Number 2, November I 2009
|
|
|---|---|---|
| Page(s) | 1065 - 1070 | |
| Section | Numerical methods and codes | |
| DOI | https://doi.org/10.1051/0004-6361/200912483 | |
| Published online | 18 August 2009 | |
A&A 506, 1065-1070 (2009)
Two-dimensional adaptive mesh refinement simulations of colliding flows
M. Niklaus1,3 - W. Schmidt2,3 - J. C. Niemeyer2,3
1 - Deutsches Fernerkundungsdatenzentrum, Deutsches Zentrum für Luft-
und Raumfahrt, Oberpfaffenhofen, Germany
2 - Institut für Astrophysik, Universität Göttingen,
Friedrich-Hund-Platz 1, 37077 Göttingen, Germany
3 - Lehrstuhl für Astronomie, Institut für Theoretische Physik und
Astrophysik, Universität Würzburg, Am Hubland, 97074 Würzburg, Germany
Received 13 May 2009 / Accepted 5 August 2009
Abstract
Context. Colliding flows are a commonly used
scenario for the formation of molecular clouds in numerical
simulations. Turbulence is produced by cooling, because of the thermal
instability of the warm neutral medium.
Aims. We carried out a two-dimensional numerical
study of colliding flows to test whether statistical properties
inferred from adaptive mesh refinement (AMR) simulations are robust
with respect to the applied refinement criteria.
Methods. We compare probability density functions of
various quantities, as well as the clump statistics and fractal
dimension of the density fields in AMR simulations to a
static-grid simulation. The static grid with 20482 cells
matches the resolution of the most refined subgrids in the
AMR simulations.
Results. The density statistics are reproduced
fairly well by AMR. Refinement criteria based on the cooling time or
the turbulence intensity appear to be superior to the standard
technique of refinement by overdensity. Nevertheless, substantial
differences in the flow structure become apparent.
Conclusions. In general, it is difficult to separate
numerical effects from genuine physical processes in
AMR simulations.
Key words: hydrodynamics - turbulence - instabilities - ISM: kinematics and dynamics - methods: numerical - ISM: clouds
1 Introduction
Computational fluid dynamics in astrophysics rely on numerical methods that are capable of covering a huge range of scales. Apart from smoothed particle hydrodynamics (Monaghan 1992), adaptive mesh refinement (AMR) has been applied to variety of problems. This method was developed by Berger & Oliger (1984) and Berger & Colella (1989). Among the widely used, publicly available AMR codes for astrophysical fluid dynamics are FLASH (Fryxell et al. 2000), Enzo (O'Shea et al. 2004) and Ramses (Teyssier 2002). Although there are comparative studies of AMR vs. SPH (for example, O'Shea et al. 2005; Agertz et al. 2007; Commerçon et al. 2008), the degree of reliance of AMR in comparison to non-adaptive methods has met only little attention so far.
Especially for turbulent flows, it is a non-trivial question
whether the solutions obtained from AMR simulations agree with
the correct solutions of the fluid dynamical equations at a given
resolution level. For this reason, we systematically compare AMR and
static-grid simulations for a particular test problem in this article.
We chose a scenario that has been investigated in the context of
molecular cloud formation, namely, the frontal collision of opposing
flows of warm atomic hydrogen at supersonic speed (Hennebelle
et al. 2008; Walder & Folini 2000; Hennebelle
& Audit 2007a; Heitsch et al. 2006; Vázquez-Semadeni
et al. 2007). Because of the cooling instability at
densities
and temperatures of a few thousand Kelvin, the gas becomes highly
turbulent at the collision interface. Since the instabilities develop
on length scales much smaller than the integral scale, this problem is
computationally extremely demanding. The two-dimensional resolution
study of Hennebelle & Audit
(2007a) showed that the properties of the turbulent
multi-phase medium evolving in these simulations is highly
resolution-dependent, and numerical convergence is seen only at
resolutions well above 10002. In
three-dimensional simulations, such high resolutions are infeasible if
static grids are used. Consequently, Hennebelle
et al. (2008) and Banerjee
et al. (2008) applied refinement by fixed density
thresholds and refinement by Jeans mass, respectively, in their
three-dimensional high-resolution AMR simulations.
In this article, we consider two-dimensional colliding flows without self-gravity and magnetic fields for a systematic comparison of AMR simulations to a reference simulation on a static grid. We analyze both statistical properties and the morphology of the gas fragmentation due to the cooling instability. This work is organized as follows: in Sect. 2 the numerical methods are described and the setup of the simulations will be presented in detail. In Sect. 3, we compare the results from the different simulations. Section 4 concludes this paper with a summary of the main results and general remarks on AMR.
2 Numerical methods and simulation setup
The simulations presented in this article are accomplished using the
open source code Enzo (O'Shea
et al. 2004; Bryan & Norman 1997). The
compressible Euler equations are solved by means of the staggered grid,
finite difference method Zeus (Stone & Norman 1992a,b; Stone
et al. 1992). We included the cooling function
defined by Audit & Hennebelle
(2005) in these equations:
The primitive variables are the mass density
![]() |
(4) |
where
![]() |
(5) |
The constants
![]() |
Figure 1:
Phase diagramm of |
| Open with DEXTER | |
The cooling function of Audit
& Hennebelle (2005) includes the cooling by
fine-structure lines of CII and OI, further the cooling by
H (Ly
-line)
and the electron recombination onto positively charged grains. The
heating is due to the photo-electric effect on small grains and
polycyclic aromatic hydrocarbons (PAH) caused by the
far-ultraviolet galactic background radiation. For more information
about this cooling function see Bakes & Tielens (1994); Wolfire
et al. (1995,2003); Spitzer (1978) and Habing (1968). The
pressure-equillibrium curve resulting from the cooling function is
plotted as black curve in Fig. 1.
For the numerical solution of the fluid dynamical equations, we
used the radiative cooling routine implemented into Enzo. For each
hydrodynamical time step,
the state variables are iterated over several subcycles, and the
resulting total energy increment
for the whole time step is added.
![]() |
Figure 2: Contour plot of the mass density after 5 Myr of evolution in the static-grid simulation. The density scale is logarithmic. |
| Open with DEXTER | |
For our numerical study, the two-dimensional setup of Audit & Hennebelle (2005)
and Hennebelle & Audit (2007b)
was adopted with small modifications. The initial gas content
corresponds to the warm neutral material (WNM) in the ISM, i.e., the
temperature is T=7100 K, the pressure is P=7
10-13 erg cm-3
and the number density of neutral hydrogen is n=0.71 cm-3.
From the left and the right boundaries, warm gas with identical
thermodynamic properties flows into the computational domain, where the
cosine-shaped inflow velocity profile is modulated with small
perturbations, realised by randomly shifted phases. These phase shifts
are kept constant for the different simulations, so that initial
conditions are exactly the same for all runs to ensure comparability.
Following Hennebelle et al.
(2008), the top and bottom boundary conditions are periodic.
The physical dimensions of the computational domain are 20
20 pc. The two inflows of gas collide in the middle of the
domain. The supersonic collision causes a steep rise in the gas density
that triggers the thermal instability, and gas undergoes a transition
into the phase of the cold neutral material (CNM) in the ISM. In this
phase, the gas has temperatures in the range 30-100 K and
number densities within 20-50 cm-3 (Ferrière 2001). The thermal
instability produces highly turbulent structures (see Fig. 2)
with Mach numbers up to 20. The challenge for AMR is to track
these turbulent structures as accurately as possible.
![]() |
Figure 3: Pdfs of the number density n ( upper panel) and the temperature T ( lower panel) in log-log-scale for the different AMR-criteria (black curves) compared to the static grid simulation (red curves in the online version). |
| Open with DEXTER | |
A reference simulation was run with a static grid of 20482 cells. Then the same setup was evolved in AMR simulations with a root-grid resolution of 1282 cells and 4 levels of refinement. The resolution between adjacent refinement levels increases by a factor of 2. Hence, the effective resolution at the highest level of refinement is 20482. In these simulations, we employed three different types of refinement criteria:
- 1.
- refinement by overdensity (OD);
- 2.
- refinement by cooling time (CT);
- 3.
- refinement by rate of compression and enstrophy (RCEN).
For comparison of the simulation results, we calculated
probability density functions (pdf) of several quantities. To analyze
the gas fragmentation in each simulation, we adapted the clumpfind
algorithm implemented by Padoan
et al. (2007) to non-isothermal problems. The
algorithm identifies the smallest dense regions that fulfill the Jeans
criterion for gravitationally unstable gas. Since the clump samples
found on the two-dimensional grids used in our simulations are
insufficient for the calculation of clump mass spectra, only the total
number and the mean size of the clumps are used for quantitative
comparisons. In addition, we computed the fractal dimension of gas at
densities higher than
(corresponding to the minimum density of gas in the cold phase) by
means of the box-counting method (Federrath
et al. 2009).
3 Results
Due to the gradual accumulation of gas in the simulation domain, no
strict statistical equilibrium
is approached. For this reason, we evolved the flow until noticeable
small-scale structure has
developed and the separation of the gas into two phases has emerged. As
shown in Fig. 1,
two distinct phases are found at time
.
At this time, the central flow region is in a turbulent state (a
contour plot of the mass density of the gas is shown in Fig. 2).
Thus, we carry out our analysis for
.
While the main fraction of the gas is situated in the warm phase with
temperatures between 5000 and 10 000 K and low
densities
cm-3,
the cold gas with temperatures between 30 K and 100 K
and densities in the range 30-350 cm-3
can be found close to the equilibrium curve.
![]() |
Figure 4:
Clump distributions ( upper panel) and gas with
number density |
| Open with DEXTER | |
The pdfs of the mass density and the temperature obtained from different AMR simulations are plotted in Fig. 3. In principle, all refinement criteria reproduce the distributions found in the static-grid simulation quite well, although there is a trend of slightly more cold gas at the cost of warm gas. The discrepancy is more pronounced for refinement by over-density (OD) compared to the other criteria, and it becomes worse for the higher density thresholds (OD-3 and OD-4; not shown in the figure). Nevertheless, it appears that the thermodynamic properties of the gas are quite robust in AMR simulations.
The gravitationally unstable clumps of gas identified by the
clumpfind algorithm in the static-grid
simulation at time
are depicted in Fig. 4a.
The corresponding results for the AMR runs are shown in
Figs. 4a-d.
Table 1
lists the total number and the mean size of the clumps for each
simulation. Also listed are the fractal dimensions of the gas regions
with number density
cm-3, which are plotted in Figs. 4e-h.
Table 1:
Number N and average size
of the clumps in the CNM; fractal dimension D
of gas with number density greater than 20 cm-3.
For refinement by OD, the fragmentation of the CNM is severely
underestimated. The number of clumps is roughly half of the number in
the static-grid simulation, and the clumps are typically larger. The
lower degree of cold gas fragmentation results in a smaller fractal
dimension (also see Fig. 4f). If the
criteria OD-3 and OD-4 are applied, the number of clumps
decreases further, while their average size increases. In the case of
criterion OD-4, a slightly higher fractal dimension is
obtained, because the cold phase tends to fill broad, area-filling
regions. The cooling time criterion CT yields an amount of
dense clumps with an average size that
compares well to the reference simulation (see Fig. 4c), although
the degree of
fragmentation appears to be overestimated slightly. However, we found
that this overestimation
decreases with the further evolution of the colliding flows and, thus,
appears to be transient.
Refinement by RCEN also reproduces the number of clumps and the fractal
dimension of dense
gas very well. However, there are some anomalously big clumps, which
contribute to an average clump size that is systematically too large.
In the plot showing gas at density
cm-3
(see Fig. 4h),
on the other hand, such anomalous structures are not visible. Although
refinement by RCEN does not overproduce gas in the cold phase
(as one can see from the
excellent agreement of the density and temperature pdfs in
Figs. 3c
and f), there appears to be a bias toward bigger clumps with
this refinement method.
In contrast to the phase separation and gas fragmentation, striking deviations of the turbulent flow properties in the AMR vs. static grid simulations become apparent. Generally, a lot of turbulent small-scale structure is missing in the AMR simulations. Even for the criterion RCEN, which is based on control variables related to turbulence, this is apparent from the contour plots of the squared vorticity modulus shown in Fig. 5. Basically, the perturbations of the velocity field imposed at the inflow boundaries are quickly smoothed out in AMR simulations, so that turbulence is only produced by secondary (e.g., Kelvin-Helmholtz) instabilities at the collision interface in the central region of the computational domain. The reason is that all AMR cirteria, including RCEN, select relatively large fluctuations, whereas smaller perturbations are suppressed. On a static grid, on the other hand, the perturbations are transported from the boundaries to the centre and actively contribute to the production of turbulence. Consequently, small eddies are present in almost the whole domain in this case. Accordingly, the probability distribution of vorticity is markedly different (see Fig. 6). In contrast, Schmidt et al. (2009) found very close agreement of the vorticity pdfs in a static-grid and an AMR simulation with criterion RCEN for turbulence in a periodic box with large-scale forcing. Our results thus indicate that the merits of different refinement schemes are non-universal but rather depend on the properties of individual flow structures.
![]() |
Figure 5:
Plots of the squared vorticity |
| Open with DEXTER | |
![]() |
Figure 6:
Pdfs of the vorticity modulus |
| Open with DEXTER | |
4 Conclusions
We performed two-dimensional simulations of colliding flows of warm atomic hydrogen with a radiative cooling function as source term in the energy equation. The goal of our study was the systematic comparison of AMR simulations, where different criteria for refinement were applied, to a reference simulation on a static grid.
While the probability distributions of mass density and temperature are well reproduced in AMR simulations, regardless of the refinement technique, differences become apparent in the fragmentation properties of the cold gas phase. As indicators, we used the total number of clumps and their average size. The clumps were identified by a clumpfind algorithm. In addition, we calculated the fractal dimension of dense gas, assuming a number density threshold of 20 cm-3. Remarkably, the largest deviations from the clump statistics and fractal dimension extracted from the static-grid simulation, were encountered for refinement by overdensity, which is a commonly used refinement criterion in astrophysical AMR simulations. The deviations increase with the chosen density threshold. In this regard, it is important to note that Hennebelle et al. (2008) applied a density-based refinement criterion, where the thresholds were chosen even higher than those considered in our study. Good agreement, on the other hand, was obtained if the cooling time or enstrophy in combination with the rate of compression (the negative rate of change of the velocity divergence) were applied.
Table 2: CPU time for the simulation runs.
Substantial problems with AMR became apparent with regard to turbulent flow properties. Basically, none of our AMR runs were able to reproduce even remotely the small-scale structure of turbulence and the probability distributions of turbulent flow variables such as the vorticity modulus. This defficiency can be attributed to the selection effects introduced by adaptive techniques. The definition of thresholds for triggering refinement either selects strong local fluctuations (for example, large shear that gives rise to Kelvin-Helmholtz instabilities) or large-scale perturbations such as accumulations of mass that become Jeans-unstable in self-gravitating gas. In this respect, the test problem we investigated in this work is particularly tough, because turbulence stems from small-scale instabilities that are seeded by weak initial perturbations. The varying grid resolution in AMR simulations inevitably modulate the growth of these instabilities and, as a consequence, the production of turbulence is suppressed. This defficiency might be overcome by the application of a subgrid scale model, which transports turbulent energy contained in small eddies that are resolved on finer grids across coarser grid regions (see Maier et al. 2009).
The key point of using AMR is the computational cost for a given effective resolution. Indeed, Table 2 demonstrates that a substantial reduction of computation time is achieved with AMR, especially if refinement by overdensity is applied. So, AMR is essentially a trade-off, where fast computation has to be weighted carefully against the question whether the essential physics of the specific problem is captured. Regarding three-dimensional simulations with high spatial resolution the specific impacts of the numerics are hard to predict, since the direct comparison to a high resolution computation on a static grid is not feasible and thus not available so far. Nevertheless, the physical results could be affected as much as in our two-dimensional simulations. So, besides the enormeous reduction in computational time especially in 3D, caution is to be recommended when discussing the results gained from AMR simultions and the conclusions drawn from them.
AcknowledgementsWe thank Patrick Hennebelle and Edouard Audit for providing the cooling function that was used for this numerical study. We also thank Paolo Padoan for sharing his clumpfind tool. Computations described in this work were performed using the Enzo code developed by the Laboratory for Computational Astrophysics at the University of California in San Diego (http://lca.ucsd.edu).
References
- Agertz, O., Moore, B., Stadel, J., et al. 2007, MNRAS, 380, 963 [NASA ADS] [CrossRef]
- Audit, E., & Hennebelle, P. 2005, A&A, 433, 1 [NASA ADS] [CrossRef] [EDP Sciences]
- Bakes, E. L. O., & Tielens, A. G. G. M. 1994, ApJ, 427, 822 [NASA ADS] [CrossRef]
- Banerjee, R., Vazquez-Semadeni, E., Hennebelle, P., & Klessen, R. 2008 [arXiv:0808.0986]
- Berger, M. J., & Colella, P. 1989, J. Comp. Phys., 82, 64 [NASA ADS] [CrossRef]
- Berger, M. J., & Oliger, J. 1984, J. Comp. Phys., 53, 484 [NASA ADS] [CrossRef]
- Bryan, G. L., & Norman, M. L. 1997, in Computational Astrophysics; 12th Kingston Meeting on Theoretical Astrophysics, ed. D. A. Clarke, & M. J. West, ASP Conf. Ser., 123, 363
- Commerçon, B., Hennebelle, P., Audit, E., Chabrier, G., & Teyssier, R. 2008, A&A, 482, 371 [NASA ADS] [CrossRef] [EDP Sciences]
- Federrath, C., Klessen, R. S., & Schmidt, W. 2009, ApJ, 692, 364 [NASA ADS] [CrossRef]
- Ferrière, K. M. 2001, Rev. Mod. Phys., 73, 1031 [NASA ADS] [CrossRef]
- Fryxell, B., Olson, K., Ricker, P., et al. 2000, ApJS, 131, 273 [NASA ADS] [CrossRef]
- Habing, H. J. 1968, Bull. Astron. Inst. Netherlands, 19, 421 [NASA ADS]
- Heitsch, F., Slyz, A. D., Devriendt, J. E. G., Hartmann, L. W., & Burkert, A. 2006, ApJ, 648, 1052 [NASA ADS] [CrossRef]
- Hennebelle, P., & Audit, E. 2007a, A&A, 465, 431 [NASA ADS] [CrossRef] [EDP Sciences]
- Hennebelle, P., & Audit, E. 2007b, A&A, 465, 431 [NASA ADS] [CrossRef] [EDP Sciences]
- Hennebelle, P., Banerjee, R., Vázquez-Semadeni, E., Klessen, R. S., & Audit, E. 2008, A&A, 486, L43 [NASA ADS] [CrossRef] [EDP Sciences]
- Maier, A., Iapichino, L., Schmidt, W., & Niemeyer, J. 2009, ApJ, submitted
- Monaghan, J. J. 1992, ARA&A, 30, 543 [NASA ADS] [CrossRef]
- O'Shea, B. W., Bryan, G., Bordner, J., et al. 2004, arXiv Astrophysics e-prints
- O'Shea, B. W., Nagamine, K., Springel, V., Hernquist, L., & Norman, M. L. 2005, ApJS, 160, 1 [NASA ADS] [CrossRef]
- Padoan, P., Nordlund, Å., Kritsuk, A. G., Norman, M. L., & Li, P. S. 2007, ApJ, 661, 972 [NASA ADS] [CrossRef]
- Schmidt, W., Federrath, C., Hupp, M., Kern, S., & Niemeyer, J. C. 2009, A&A, 494, 127 [NASA ADS] [CrossRef] [EDP Sciences]
- Spitzer, L. 1978, Physical Processes in the Interstellar Medium, 1st edn. (Wiley-Interscience)
- Stone, J. M., & Norman, M. L. 1992a, ApJS, 80, 753 [NASA ADS] [CrossRef]
- Stone, J. M., & Norman, M. L. 1992b, ApJS, 80, 791 [NASA ADS] [CrossRef]
- Stone, J. M., Mihalas, D., & Norman, M. L. 1992, ApJS, 80, 819 [NASA ADS] [CrossRef]
- Teyssier, R. 2002, A&A, 385, 337 [NASA ADS] [CrossRef] [EDP Sciences]
- Vázquez-Semadeni, E., Gómez, G. C., Jappsen, A. K., et al. 2007, ApJ, 657, 870 [NASA ADS] [CrossRef]
- Walder, R., & Folini, D. 2000, Ap&SS, 274, 343 [NASA ADS] [CrossRef]
- Wolfire, M. G., Hollenbach, D., McKee, C. F., Tielens, A. G. G. M., & Bakes, E. L. O. 1995, ApJ, 443, 152 [NASA ADS] [CrossRef]
- Wolfire, M. G., McKee, C. F., Hollenbach, D., & Tielens, A. G. G. M. 2003, ApJ, 587, 278 [NASA ADS] [CrossRef]
All Tables
Table 1:
Number N and average size
of the clumps in the CNM; fractal dimension D
of gas with number density greater than 20 cm-3.
Table 2: CPU time for the simulation runs.
All Figures
![]() |
Figure 1:
Phase diagramm of |
| Open with DEXTER | |
| In the text | |
![]() |
Figure 2: Contour plot of the mass density after 5 Myr of evolution in the static-grid simulation. The density scale is logarithmic. |
| Open with DEXTER | |
| In the text | |
![]() |
Figure 3: Pdfs of the number density n ( upper panel) and the temperature T ( lower panel) in log-log-scale for the different AMR-criteria (black curves) compared to the static grid simulation (red curves in the online version). |
| Open with DEXTER | |
In the text
![]() |
Figure 4:
Clump distributions ( upper panel) and gas with
number density |
| Open with DEXTER | |
| In the text | |
![]() |
Figure 5:
Plots of the squared vorticity |
| Open with DEXTER | |
In the text
![]() |
Figure 6:
Pdfs of the vorticity modulus |
| Open with DEXTER | |
| In the text | |
Current usage metrics show cumulative count of Article Views (full-text article views including HTML views, PDF and ePub downloads, according to the available data) and Abstracts Views on Vision4Press platform.
Data correspond to usage on the plateform after 2015. The current usage metrics is available 48-96 hours after online publication and is updated daily on week days.
Initial download of the metrics may take a while.


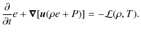
![$\displaystyle \frac{\partial}{\partial t} e + \vec{\nabla}[\vec{u}(\rho e + P)] = -{\fam=2 L}(\rho,T).$](/articles/aa/full_html/2009/41/aa12483-09/img12.png)


![\begin{figure}
\par\includegraphics[width=9cm,clip]{pictures/12483f01.eps}
\end{figure}](/articles/aa/full_html/2009/41/aa12483-09/Timg25.png)
![\begin{figure}
\par\includegraphics[width=9cm,clip]{pictures/12483f02.eps}
\end{figure}](/articles/aa/full_html/2009/41/aa12483-09/Timg27.png)
![\begin{figure}
\par\mbox{\subfigure[OD]{\includegraphics[width=5cm]{pictures/124...
...figure[RCEN]{\includegraphics[width=5cm]{pictures/12483f08.eps} }}\end{figure}](/articles/aa/full_html/2009/41/aa12483-09/Timg29.png)
![\begin{figure}
\par\mbox{\subfigure[Static]{\includegraphics[width=4cm]{pictures...
...figure[RCEN]{\includegraphics[width=4cm]{pictures/12483f16.eps} }}\end{figure}](/articles/aa/full_html/2009/41/aa12483-09/Timg34.png)
![\begin{figure}
\par\mbox{\subfigure[static grid simulation]{\includegraphics[wid...
...on (RCEN)]{\includegraphics[width=8.8cm]{pictures/12483f18.eps} }}\end{figure}](/articles/aa/full_html/2009/41/aa12483-09/Timg37.png)
![\begin{figure}
\par\includegraphics[width=8.8cm,clip]{pictures/12483f19.eps}
\end{figure}](/articles/aa/full_html/2009/41/aa12483-09/Timg38.png)