| Issue |
A&A
Volume 506, Number 2, November I 2009
|
|
|---|---|---|
| Page(s) | 993 - 997 | |
| Section | Atomic, molecular, and nuclear data | |
| DOI | https://doi.org/10.1051/0004-6361/200912511 | |
| Published online | 27 August 2009 | |
A&A 506, 993-997 (2009)
New study of the quasi-molecular Lyman-
satellites due to H-H+ collisions
N. F. Allard1 - I. Noselidze2 - J. W. Kruk3
1 - Observatoire de Paris, GEPI, UMR 8111, CNRS, 61, Avenue de l'Observatoire, 75014 Paris, France
2 -
Department of Physics, Tbilisi State University, Chavchavadze Avenue 3, 0128 Tbilisi, Georgia
3 -
Department of Physics and Astronomy, Johns Hopkins University, Baltimore, MD 21218, USA
Received 16 May 2009 / Accepted 6 July 2009
Abstract
Context. Quasi-molecular line satellites in the red wings of
Lyman series of atomic hydrogen have been identified in the spectra of
hydrogen-rich white dwarfs. These features are produced by radiative
collisions.
Aims. Structures observed about 995 Å in the Lyman-
wing of hot white dwarfs have been shown to be caused by quasi-molecular absorption of H2+ molecules.
Methods. Improvements to previous theoretical calculations of the Lyman-
line profiles can be achieved by using a unified theory that takes into
account the dependence of the dipole moments on internuclear distance
during the collision.
Results. For the first time, we have computed the transition
dipole moments. We measure a significant increase in the region of the
formation of the satellites, which alters the general shape of the
profile.
Conclusions. A large increase in the strength of the two main
satellites at 992 and 996 Å leads to a deeper broad absorption in
the synthetic spectra, which should improve the comparison with
observation as previous predicted Lyman-
satellites were too weak.
Key words: line: profiles - stars: white dwarfs
1 Introduction
Absorption features at 1400 Å and 1600 Å in the red wing of the Lyman-
line were first observed in the spectra of hydrogen-rich white dwarfs obtained with the IUE (International Ultraviolet Explorer) satellite (Greenstein 1980; Holm et al. 1985). They were explained as being caused by quasi-molecular absorption of the H2 (1600 Å) or H2+ (1400 Å) molecules by Koester et al. (1985) and Nelan & Wegner (1985). Nevertheless quantitative agreement was not achieved until the work of Allard & Koester (1992)
which adopted realistic molecular potentials.
A theoretical approach using unified line broadening theory, the
full complement of contributing states, and simultaneous perturbation
by neutral atoms and ions was developed in Allard et al. (1994).
The application of the new profiles to IUE and HST ( Hubble Space Telescope) provided much improved fits for the UV spectra of cool DA white dwarfs (e.g. Koester & Allard 1993; Bergeron et al. 1995). They also fit the spectra of laser-produced hydrogen plasmas (Kielkopf & Allard 1995).
One significant effect of these line satellites is the variation in the
transition probability with the separation of the colliding atoms. The
resulting profiles show that a large enhancement in the amplitude of a
satellite occurs whenever the dipole moment increases across the region
of internuclear distance where the satellite is formed. For particular
examples, we refer the reader to Allard et al. (1998a) for a study of Lyman-
satellites and Allard et al. (1998b) for a study of Lyman-
satellites. This leads to a quantitative improvement of the synthetic spectra of
Bootis stars compared to IUE observations (Allard et al. 1998c).
Subsequently, satellites in the red wing of Lyman-
were observed in the spectra of the DA white dwarf Wolf 1346 with the Hopkins Ultraviolet Telescope (HUT) (Koester et al. 1996).
The H2+ satellite
absorption features at 1058 Å and 1076 Å were observed in
4 other targets with Orbital Retrievable Far and Extreme
Ultraviolet Spectograph (ORFEUS) (Koester et al. 1998). Lyman-
profiles of Allard et al. (1998b) were used by Koester et al. (1998) to successfully interpret these spectra.
Another strong feature close to 995 Å was also present in the HUT spectra of the DA white dwarf Wolf 1346 and distinctly detected in FUSE (Far Ultraviolet Spectograph Explorer) spectra of CD
(Wolff et al. 2001) and Sirius B (Holberg et al. 2003). Theoretical calculations of the absorption profiles of Lyman-
line based on accurate ab initio potentials were made by Allard et al. (2004b) to explain the observation of this feature.
The good agreement between the FUSE spectra and our
calculations allowed the line satellites near 995 Å to be
identified. The 995 Å feature is a blend of two quasi-molecular
Lyman-
satellites produced by H-H+ collisions
near 992 Å and 996 Å. The shape of the profile in the region
of these line satellites is sensitive to their relative strength.
It is therefore important to obtain an accurate quantitative
determination of the satellite amplitudes. Accurate theoretical
molecular potentials must be used to describe the interaction between
the radiator and the perturber, as we did in the work described in Allard et al. (2004b). Another important factor, not included, was the variation in the dipole moment during the collision.
One of us (I. N.) has now computed dipole moments for H+2 as a function of internuclear distance for the transitions involved in the Lyman-
line. We describe these new calculations in Sect. 2.
In Sect. 3, we apply the unified theory (Allard et al. 1999) to the Lyman-
line broadened
by H-H+ collisions, which takes into account these new results.
2 Lyman-
profile calculations
A unified theory of spectral line broadening yields the complete
profile from the line center to the far wing, and includes the effect
of the dependence of the transition probability on interatomic distance
for all states that contribute to the far ultraviolet above Lyman-
.
Complete details and the derivation of the theory are given by Allard et al. (1999).
The line shape computed in this way will include contributions from
transitions that are weak or asymptotically forbidden as
(Allard et al. 2004a,2000).
In our theoretical work, the spectrum line
is computed from the Fourier transform
The Fourier Transform is taken such that
We obtain for a perturber density
![]() |
(2) |
where decay of the autocorrelation function with time leads to atomic line broadening.
The dipole autocorrelation function
(s)
is evaluated for a classical collision path with an average over all
possible collisions. The perturbation of the frequency of the atomic
transition during the collision results in a phase shift,
,
calculated along a classical path R(t) that is assumed to be rectilinear. The phase shift is given by
where
| (4) |
and represents the difference between the electronic energies of the quasi-molecular transition. For a transition
The e and e' label the energy surfaces on which the interacting atoms approach the initial and final atomic states of the transition as
An H2+ correlation diagram was constructed for Lyman-
to which 14 transitions contribute. Table 1 of Allard et al. (2004b) indicates the states of the united atom correlated to the n = 1 and n = 4 levels of the separated atoms. The transitions are summarized in Table 2 of Allard et al. (2004b).
We define
as a modulated dipole (Allard et al. 1999)
![]() |
(6) |
where
Our approach requires prior knowledge of accurate theoretical molecular potentials to describe the interaction between radiator and perturber, and also knowledge of the variation in the radiative dipole moment with atom-atom separation for each molecular state.
2.1 Diatomic potentials
The adiabatic interaction of the neutral hydrogen atom and a proton is described by potential energies Ve(R) for each electronic state of the H2+ molecule. The H2+ molecular potentials were available for the H (
)
states (Madsen & Peek 1971). We had to compute all those related to n = 4, the potentials are described in Allard et al. (2004b).
While the position of the line satellites critically depends on the interaction potential, their amplitude depends on both the interaction potential and the radiative dipole moments. In Allard et al. (2004b), we were limited by a lack of knowledge about the dependence of the radiative transition dipole moment on R for each molecular state, the dipole moments D(R) being assumed to remain constant throughout the collision.
2.2 Electric dipole moments
The transition dipole moment matrix element is determined by the following integral:
![]() |
(7) |
where
The most suitable coordinate system for H2+ calculations is the prolate spheroidal coordinate system (
,
,
). These coordinates are related to x, y, z components of
by the expressions
![]() |
(8) |
![]() |
(9) |
![]() |
(10) |
Because of the separability of the Schrödinger equation, the H2+ wave functions can be obtained in the form of the simple product
![]() |
(11) |
where m is the magnetic quantum number, and l is the orbital angular quantum number of the electron in the He+ ion, that is in the limiting case as R
![]() |
Figure 1:
Electronic transition dipole moments for the satellites of Lyman- |
| Open with DEXTER | |
3 Study of the quasi-molecular satellite features
The Lyman-
profile and its satellites are calculated for the physical conditions
encountered in the atmospheres of hot white dwarfs that exhibit the
995 Å structure in their spectra.
The total profile of Lyman-
depends
on the 14 individual transitions, each contribution being given by
the Fourier Transform of the autocorrelation function of each
component. Those spatial regions for which small changes in the
separation of atoms, R,
produce little change in the radiated frequency contribute to the
appearance of quasi-molecular satellites. Several transitions are of
particular interest, and for each one the difference potential exhibits
one minimum that, in principle, leads to a corresponding satellite
feature in the wing of Lyman-
.
In Fig. 1, we plot D(R) for these transitions, which all have a dipole moment that increases with decreasing R and goes through a maximum before decreasing to zero when R
0.
Table 3 of Allard et al. (2004b)
lists the wavelengths of these line satellites with the upper and lower
state identifications and the distance of the atom-ion pair at which
the potential extremum occurs. Several of these features can be
identified in the total Lyman-
profile.
![]() |
Figure 2:
Difference potential energy |
| Open with DEXTER | |
![]() |
Figure 3:
The 995 Å-region Lyman- |
| Open with DEXTER | |
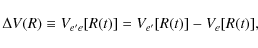
Two transitions,
and
,
yield satellites in the red portion of Lyman-
at 992 Å and 996 Å. An examination of Fig. 2 shows that these line satellites are formed around 20-25 Å. The fast increase in D(R) throughout this region is shown to alter the amplitude of the satellites (Fig. 3). In Fig. 4, we compare the two individual component profiles to the total one for the near wing of Lyman-
.
The two satellites blend in the total profile giving a shape similar to the 995 Å feature observed in WD spectra.
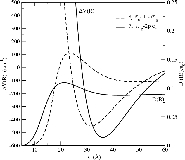
On the other hand, there is no significant increase in the dipole moment in the region of the
formation of the line satellites caused by the
and
transitions (Fig. 5). The corresponding satellites appear as a wide shoulder on the near wing at 980 Å. In Fig. 6, we present the new Lyman-
line
profile using a variable dipole moment that we compare to the profile
obtained in the constant dipole approximation using the asymptotic
value of the dipole moment. As expected, there is a significant
increase only in the region of the 992 and 996 Å satellites.
4 Synthetic spectra and conclusions
The line profile calculations of Figs. 4 and 6 have been done for a temperature of 25 000 K and a perturber density
= 1
1017 cm-3.
To highlight the importance of the theoretical improvement in of
the line profile calculations, we have displayed in Fig. 7 synthetic spectra for
K and
.
The use of opacities calculated with two different approximations
concerning the electric dipole transition moment (constant, dependent
on interatomic distance) lead to very different synthetic absorption
spectra close to 995 Å. As expected, the new Lyman-
profiles generate deeper absorption in the spectral region of the satellites.
![]() |
Figure 4:
Total profile of Lyman- |
| Open with DEXTER | |
![]() |
Figure 5:
Difference potential energy
|
| Open with DEXTER | |
![]() |
Figure 6:
Lyman- |
| Open with DEXTER | |
![]() |
Figure 7:
Synthetic spectra are calculated for |
| Open with DEXTER | |
The synthetic spectra have been computed by using the spectral
synthesis code SYNSPEC that incorporates the quasi-molecular satellites
of Lyman lines. Opacity tables can be obtained from
.
Atmosphere models have been calculated using the programs TLUSTY (Hubeny 1988; Hubeny & Lanz 1995,1992). We have considered NLTE model atmospheres with pure hydrogen composition that explicitly include the Lyman-
and Lyman-
quasi-molecular opacities.
![]() |
Figure 8:
Comparison of the FUSE spectrum of the white dwarf CD
|
| Open with DEXTER | |
Figure 8 compares new theoretical synthetic spectrum with the FUSE observations of the white dwarf CD
.
The synthetic spectrum was calculated in NLTE using the parameters determined by Finley et al. (1997), i.e.
K and
,
and
normalized to V =
11.029. The FUSE spectrum shown was produced by merging the data from
the LiF1 and SiC1 instrument channels from the observations
Q1100101 and C1160202. The raw data were reduced using CalFUSE
version 3.2.3, normalized to the LiF1 spectrum of Q110101 at
1050 Å, coaligned with narrow interstellar absorption lines, and
combined. The SiC1 data were used only where LiF1 data were
unavailable. A major improvement compared to the synthetic
spectrum using profiles
obtained in the constant dipole approximation calculations (see
Fig. 8 of Allard et al. 2004b).
For hotter stars with high gravity, the Lyman-
and Lyman-
profiles must be evaluated in a unified line shape theory and the
density expansion of the autocorrelation function in Eq. (1) that we presently use (Allard et al. 1994) is no longer valid (Allard et al. 2004b).
Figures 5 and 6 in Allard et al. (2004b) illustrate the sensitivity of the profiles to the shortcomings of the density expansion approach as the density exceeds 1017 cm-3,
for the constant-dipole approximation. We anticipate that the magnitude
of the discrepancies will be
similar for the variable-dipole calculations. This explains the
discrepancy between theoretical and observed quasi-molecular satellites
in spectra of massive white dwarfs (Dupuis et al. 2003).
The line satellites that appear as shoulders close the unperturbed line center are related to shallow minima at large internuclear distances, whereas the distinct satellites farther from the line center form in the deeper potential wells that occur at a closer atom-ion separation.
The satellites of the higher states are formed by shallow potential
extrema at large interatomic
separations, and consequently are close to the main line and rapidly
become stronger than the main line as the ion density increases. The
one-perturber approximation neglects the contribution of the core of
the line, and is valid only in the wing, and in the limit of densities
that are low enough that multiple perturber effects there may be
neglected. In practice, it is not useful in the Lyman series when the
the ion density is higher than 1017 cm-3. The Lyman-
opacity table from
becomes increasingly unreliable
as the ion density exceeds 1017 cm-3 (see Allard et al. 2004b).
N.F.A. is grateful to S. Bourdreux for his help in the study of Lyman-profiles.
References
- Allard, N. F., & Koester, D. 1992, A&A, 258, 464 [NASA ADS]
- Allard, N. F., Koester, D., Feautrier, N., & Spielfiedel, A. 1994, A&AS, 200, 58
- Allard, N. F., Drira, I., Gerbaldi, M., Kielkopf, J. F., & Spielfiedel, A. 1998a, A&A, 335, 1124 [NASA ADS]
- Allard, N. F., Kielkopf, J. F., & Feautrier, N. 1998b, A&A, 330, 782 [NASA ADS]
- Allard, N. F., Kurucz, R. L., Gerbaldi, M., & Faraggiana, R. 1998c, in UV Astrophysics Beyond the IUE Final Archive, Sevilla, November 1997, ESA-SP-413 (Noordwik, The Netherlands: ESA, ESTEC)
- Allard, N. F., Royer, A., Kielkopf, J. F., & Feautrier, N. 1999, Phys. Rev. A, 60, 1021 [NASA ADS] [CrossRef]
- Allard, N. F., Kielkopf, J., Drira, I., & Schmelcher, P. 2000, Eur. Phys. J. D, 12, 263 [NASA ADS] [CrossRef] [EDP Sciences]
- Allard, N. F., Hébrard, G., Dupuis, J., et al. 2004a, ApJ, 601, L183 [NASA ADS] [CrossRef]
- Allard, N. F., Kielkopf, J. F., Hébrard, G., & Peek, J. 2004b, Eur. Phys. J. D, 29, 7 [NASA ADS] [CrossRef] [EDP Sciences]
- Bates, D., & Reid, R. 1968, Adv. At. Mol. Phys., 4, 13
- Bergeron, P., Wesemael, F., Lamontagne, R., et al. 1995, ApJ, 449, 258 [NASA ADS] [CrossRef]
- Dupuis, J., Chayer, P., Vennes, S., Allard, N. F., & Hébrard, G. 2003, ApJ, 598, 486 [NASA ADS] [CrossRef]
- Finley, D., Koester, D., & Basri, G. 1997, ApJ, 488, 375 [NASA ADS] [CrossRef]
- Greenstein, J. L. 1980, ApJ, 241, L89 [NASA ADS] [CrossRef]
- Holberg, J. B., Kruk, J. W., Koester, D., et al. 2003, in White Dwarfs, ed. D. de Martino, R. Silvotti, J.-E. Solheim, & R. Kalytis, NATO ASIB Proc., 105, 113
- Holm, A. V., Panek, R. J., Schiffer, F. H., et al. 1985, ApJ, 289, 774 [NASA ADS] [CrossRef]
- Hubeny, I. 1988, Comp. Phys. Comm., 52, 103 [NASA ADS] [CrossRef]
- Hubeny, I., & Lanz, T. 1992, A&A, 262, 501 [NASA ADS]
- Hubeny, I., & Lanz, T. 1995, ApJ, 439, 875 [NASA ADS] [CrossRef]
- Kereselidze, T. M., Noselidze, I. L., & Chibisov, M. I. 2003, J. Phys. B: At. Mol. Opt. Phys., 36, 853 [NASA ADS] [CrossRef]
- Kielkopf, J. F., & Allard, N. F. 1995, ApJ, 450, L75 [NASA ADS] [CrossRef]
- Koester, D., & Allard, N. F. 1993, in White Dwarfs: Advances in Observation and Theory, ed. M. Barstow, NATO ASIC Proc., 403, 237
- Koester, D., Weideman, E.-M., Zeidler, K., & Vauclair, G. 1985, A&A, 142, L5 [NASA ADS]
- Koester, D., Finley, D. S., Allard, N. F., Kruk, J. W., & Kimble, R. A. 1996, ApJ, 463, L93 [NASA ADS] [CrossRef]
- Koester, D., Sperhake, U., Allard, N. F., Finley, D. S., & Jordan, S. 1998, A&A, 336, 276 [NASA ADS]
- Madsen, M. M. & Peek, J. M. 1971, At. Data, 2, 171 [NASA ADS] [CrossRef]
- Nelan, E. P., & Wegner, G. 1985, ApJ, 289, L31 [NASA ADS] [CrossRef]
- Wolff, B., Kruk, J. W., Koester, D., et al. 2001, A&A, 373, 674 [NASA ADS] [CrossRef] [EDP Sciences]
Footnotes
- ... from
- http://mygepi.obspm.fr/~allard/
- ... from
- http://mygepi.obspm.fr/~allard/
All Figures
![]() |
Figure 1:
Electronic transition dipole moments for the satellites of Lyman- |
| Open with DEXTER | |
| In the text | |
![]() |
Figure 2:
Difference potential energy |
| Open with DEXTER | |
| In the text | |
![]() |
Figure 3:
The 995 Å-region Lyman- |
| Open with DEXTER | |
| In the text | |
![]() |
Figure 4:
Total profile of Lyman- |
| Open with DEXTER | |
| In the text | |
![]() |
Figure 5:
Difference potential energy
|
| Open with DEXTER | |
| In the text | |
![]() |
Figure 6:
Lyman- |
| Open with DEXTER | |
| In the text | |
![]() |
Figure 7:
Synthetic spectra are calculated for |
| Open with DEXTER | |
| In the text | |
![]() |
Figure 8:
Comparison of the FUSE spectrum of the white dwarf CD
|
| Open with DEXTER | |
| In the text | |
Copyright ESO 2009
Current usage metrics show cumulative count of Article Views (full-text article views including HTML views, PDF and ePub downloads, according to the available data) and Abstracts Views on Vision4Press platform.
Data correspond to usage on the plateform after 2015. The current usage metrics is available 48-96 hours after online publication and is updated daily on week days.
Initial download of the metrics may take a while.


![\begin{displaymath}%
\eta(s)= \frac{i}{\hbar}\int^s_0 ~ {\rm d}t, \; V_{e'e }[ ~ R(t)]
\end{displaymath}](/articles/aa/full_html/2009/41/aa12511-09/img24.png)
![$\displaystyle \frac{1}
{\sum_{e,e'} ~ \! ^{(\alpha)} ~ \vert d_{ee'}\vert^2 }
\...
...o {\rm d}\rho
\int^{+\infty}_{-\infty}\!\! {\rm d}x \;
\tilde{d}_{ee'}[ ~ R(0)]$](/articles/aa/full_html/2009/41/aa12511-09/img29.png)
![$\displaystyle \times ~ [ ~ {\rm e}^{\frac{i}{\hbar}\int^s_0 ~ {\rm d}t \;
V_{e'e }[ ~ R(t)] } ~
~ \tilde{d^{*}}_{ee'}[ ~ R(s)] ~ - ~ \tilde{d}_{ee'}[ ~ R(0)]].$](/articles/aa/full_html/2009/41/aa12511-09/img30.png)
![\begin{displaymath}%
D(R) \equiv \tilde{d}_{ee'}[R(t)] =
d_{ee'}[R(t)]{\rm e}^{-\frac{\beta}{2}V_{e}[R(t)]},
\end{displaymath}](/articles/aa/full_html/2009/41/aa12511-09/img35.png)





![\begin{figure}
\par\includegraphics[width=9cm,clip]{12511fig1.eps}
\end{figure}](/articles/aa/full_html/2009/41/aa12511-09/Timg49.png)
![\begin{figure}
\par\includegraphics[width=9cm,clip]{12511fig2.eps}
\end{figure}](/articles/aa/full_html/2009/41/aa12511-09/Timg50.png)
![\begin{figure}
\par\includegraphics[width=9cm,clip]{12511fig3.eps}
\end{figure}](/articles/aa/full_html/2009/41/aa12511-09/Timg51.png)
![\begin{figure}
\par\includegraphics[width=9cm,clip]{12511fig4.eps}
\end{figure}](/articles/aa/full_html/2009/41/aa12511-09/Timg60.png)
![\begin{figure}
\par\includegraphics[width=9cm,clip]{12511fig5.eps}
\end{figure}](/articles/aa/full_html/2009/41/aa12511-09/Timg61.png)
![\begin{figure}
\par\includegraphics[width=9cm,clip]{12511fig6.eps}
\end{figure}](/articles/aa/full_html/2009/41/aa12511-09/Timg62.png)
![\begin{figure}
\par\includegraphics[width=9cm,clip]{12511fig7.eps}
\end{figure}](/articles/aa/full_html/2009/41/aa12511-09/Timg64.png)
![\begin{figure}
\par\includegraphics[width=15cm,clip]{12511fig8.eps}
\end{figure}](/articles/aa/full_html/2009/41/aa12511-09/Timg67.png)