| Issue |
A&A
Volume 506, Number 2, November I 2009
|
|
|---|---|---|
| Page(s) | 845 - 856 | |
| Section | Stellar structure and evolution | |
| DOI | https://doi.org/10.1051/0004-6361/200912540 | |
| Published online | 27 August 2009 | |
A&A 506, 845-856 (2009)
The puzzling binary HD 143418![[*]](/icons/foot_motif.png)
J. Zverko1 - J. Ziznovský1 - Z. Mikulásek2,3 - J. Krticka2 - I. Kh. Iliev4 - I. K. Stateva4 - I. I. Romanyuk5 - D. O. Kudryavtsev5
1 - Astronomical Institute, Slovak Academy of Sciences, Tatranská
Lomnica, Slovak Republic
2 - Department of Theoretical Physics and Astrophysics,
Masaryk University, Brno, Czech Republic
3 - Observatory and Planetarium of J. Palisa, VSB - Technical
University, Ostrava, Czech Republic
4 - Institute of Astronomy, NAO Rozhen, Sofia, Bulgaria
5 - Special Astrophysical Observatory, Nizhnii Arkhyz, Russia
Received 20 May 2009 / Accepted 18 July 2009
Abstract
Context. HD 143418 was discovered
recently to be a double-lined spectroscopic binary with a primary
designated as a CP star. Its light displays an orbital phase coupled
variability with a peak-to-peak amplitude up to 0.04 mag.
Aims. The photometry available and new high
dispersion spectra were investigated from a point of view of CP
characteristics.
Methods. A series of high resolution high S/N coudé
spectra was acquired from which 25 weak to strong unblended
lines of Fe I and II,
Ti II, Cr II,
Zr II, and Ba II
were selected to study spectral line variability. Two Zeeman spectra
were obtained to search for a possible magnetic field of the star, and
one echelle spectrum in a wide spectral region was analysed for
abundance determination by means of synthetic spectra. The photometric
observations were subjected to a PCA disentangling of the complex
photometric behaviour.
Results. We identified spectral lines of the
secondary in the yellow region on the echelle as well as on two coudé
spectra, whose occurence belongs to an F6V star and the
intensity corresponds to the luminosity ratio 0.06. Equivalent
widths of the selected spectral lines of the primary component do not
change within the errors of measurements. The spectra taken with a
Zeeman analyser do not indicate a magnetic field. The abundance pattern
does not correspond to characteristics of a variable CP2 star.
The only remarkable deviation is a more than 1.1 dex deficit of
scandium, one of the properties of non-variable Am stars. The
photometric variability is tied to the orbital period and is due to
ellipticity of the primary component and not to a putatively structured
surface of the primary that is confirmed to rotate subsynchronously.
The seasonal component of the light curve changes in amplitude as well
as in shape.
Conclusions. We conclude that the primary is a
normal, mildly evolved A5V main sequence star. The seasonal variability
of the orbitally modulated light curves may be related to an expected
incidence of circumstellar matter originating in the tidally spinning
up primary component. HD 143418 may be a
prototype of a rare detached interacting close binary containing a
subsynchronously rotating primary passing through its synchronisation
stage.
Key words: binaries: spectroscopic - stars: variables: general - stars: chemically peculiar - stars: abundances - stars: evolution - stars: individual HD 143418
1 Introduction
Chemically peculiar (CP) stars represent a significant class of stars occupying the upper main sequence where processes of radiative diffusion and gravitational settling in their atmospheres build up chemical abundances remarkably different from the solar ones. According to these chemical anomalies, they have been classified by Preston (1974) in to four subclasses from CP1 to CP4 that simultaneously follow a temperature sequence. Of these, CP1 (also named Am-stars) and CP3 (or MnHg-stars) almost exclusively occur in binaries, while the others are mostly single. On the other hand CP2 (or Ap-stars) and CP4 (He-weak, He-strong) stars possess strong global magnetic fields, and also demonstrate variability both of spectrum and light on timescales of the order of a day longer.
HD 143418 (HIP 78226) has long been used as a check star for photometric observations of the Be-star 4 Her (V839 Her). Bozic et al. (2007) found HD 143418 to be variable while reducing their observations obtained in 2001, discovering its binary nature, and in a detailed analysis derived orbital parameters and physical characteristics of the components. They noticed a similarity of the light variability to light curves of some CP stars that can be described by a basic frequency and its first harmonic, and designated the primary as a CP star. However, they concluded that the observed light variations can be understood as a combination of the ellipsoidal variability in the binary system and either a secularly varying pattern of spots on the secondary or an inhomogeneous corotating cloud ejected from the primary.
Besides the photometric signs, a CP star manifests itself through horizontally uneven over/underabundances of some chemical elements, the spectral lines of which may vary in profile and/or strength. It is believed that the inhomogeneous surface distribution is a result of radiatively driven diffusion in a global magnetic field. Hot magnetic CP stars may also create and maintain corotating clouds.
Table 1: List of observations.
A further important characteristic of CP stars is
their occurrence
in binaries. Budaj (1999), North et al. (1998), Mathys et al. (1997) and
North (1994), and others have
revealed that only a few systems with an Ap star component have an
orbital period less of than 3 days, which is the case of
HD 143418 with
d.
Having the preliminary knowledge of Bozic et al. (2007), we began a campaign of spectroscopic observations of the star in order to answer the question of whether HD 143418 is a true CP star or is not.
During the period 2005-2009 we obtained a collection of 32 high resolution, high S/N CCD spectrograms, among them 23 phase-resolved coudé spectra taken in the blue region, six coudé spectra in additonal regions, two spectra taken with a Zeeman analyser, and one broad region echelle spectrum.
In this paper we study HD 143418 to investigate its possible CP characteristics from the point of view of: i) light variability; ii) spectrum variability; iii) magnetic field; and iv) binarity.
2 Observations
The observations are listed in Table 1. The twenty-nine
spectra from the National Astronomical Observatory, Rozhen, Bulgaria
(NAO), were recorded using the photometric AT200 CCD camera
with a SITe
SI003AB
detector
placed at the 3rd optical camera of the
coudé spectrograph of the 2-m RCC telescope, with R
= 22 000. The
FWHM of the instrumental profile including the
spectrograph optics corresponds to two pixels of size 0.2 Å.
IRAF
standard procedures were
used for bias subtracting, flatfielding and wavelength calibration. The
echelle spectrum from the 6-m BTA telescope of the Special
Astrophysical Observatory, Nizhnij Arkhyz, Russia (SAO), was
taken with a
``Uppsala'' CCD
camera (Panchuk et al. 2002)
of the Nasmyth
Echelle Spectrometer (NES) with resolution R
= 50 000.
The Zeeman spectra were obtained at SAO with the
Zeeman analyser of the Main Stellar Spectrograph (MSS) at the 6-m BTA
and
CCD2
camera (Panchuk 1998), with R=16 000.
The spectrograph optics in these two spectrographs blurs the
instrumental profile over two detector pixels and corresponds to
0.237 Å in the Zeeman analyser of MSS, and 0.11 Å in
the NES. The software package developed in the ESO MIDAS system (Kudryavtsev 2000) was used to reduce
the SAO spectra.
3 Variability and magnetic field
Photometric and spectral variability of CP stars is a sign of a structured surface with spots of enhanced chemical abundances that, as is now accepted, originate in the processes of radiatively driven diffusion in the global magnetic field of a star. As the star rotates, the spots moving across the visible hemisphere produce variations in light and spectral lines.
The long-term stability of observed light and spectral variations of CP stars indicates that the spectral and photometric spots are persistent on a time scale of many decades. Further, Mikulásek et al. (2007a) showed that the amplitudes of light curves of all CP stars are wavelength-dependent, so that there is no CP star with the same amplitude in all passbands.
3.1 Photometry and radial velocity
Notwithstanding that Bozic et al. (2007) analysed the photometric behaviour of the HD 143418 binary thoroughly, we examine it again with the aim to confirm or disprove the classification of the primary component as a CP star.
All photometric observational data used in this section were
taken
from Bozic et al. (2007),
namely the 127
measurements, 133 UBV observations done
by APT-10, Phoenix, Arizona, USA, and 889 UBV
observation done in Hvar (Croatia) and Ondrejov (Czech Republic)
observatories. The observations from the SPM Observatory, Mexico, and
from the Tubitak Observatory, Turkey, were not used because of their
high level of noise and poor phase coverage. Thus the photometry of
HD 143418 used in this paper covers the time
interval 1982-2005, and represents in total 1149 measurements
in four
photometric passbands of different effective wavelength.
A brief inspection of the HD 143418 photometric data shows that the observed light variations are only moderate - a few hundredths of a magnitude modulated with the binary orbital period of 2.2825 days. The light curves observed in individual seasons are relatively smooth, so they are reminiscent of those of CP stars (Bozic et al. 2007). Nevertheless, it seems that this similarity may be unreal - as evidenced in the detailed discussion in Sect. 5.2.1. The crucial reason why the observed light variations cannot be ascribed to the supposed chemical peculiarity of the primary component is the fact that it rotates subsynchronously (see Bozic et al. 2007 and Sect. 4.2). Nevertheless, there still remains a possibility that after removing the orbital component from the variability, some variations typical for a rotating variable CP star could be found.
3.1.1 The orbital period
Bozic et al. (2007)
analysed the light and radial velocity
variations of HD 143418 and found the orbital
ephemeris for a superior conjunction of the primary:
We developed a special robust regression code (for details see Mikulásek et al. 2008) that eliminates the influence of outliers on the period determination and enables treatment of various sets of photometric and radial velocity data simultaneously. Here the latter consists of the 12 original values taken from Bozic et al. (2007) and the 32 ones added by us (see Table 1).
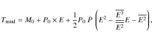
Radial velocities from the newly acquired spectra were derived using the CCF method described in Zverko et al. (2007). The template spectrum for the region 4460-4560 Å was prepared by coadding the corresponding 23 NAO spectra. As discussed in Sect. 4.1, the few strongest lines of the secondary component are not or at most questionably visible in this region; the resulting coadded spectrum represents practically a clean spectrum of the primary (see Figs. 9 and 10). For the remaining nine spectra the synthetic spectrum with abundances derived in Sect. 4.2 served as the template. The results are given in Table 1 and the radial velocity curve for the primary is displayed in Fig. 1.
![]() |
Figure 1: Radial velocity folded with orbital phase according to Bozic et al. (2007). Triangles - Rozhen spectra, circles - SAO spectra, squares - Bozic et al. (2007). |
| Open with DEXTER | |
The photometric data were divided into five consecutive eras of uneven duration with a comparable amount of observational data.
When constructing the simplest possible model of a light
curve, we
proposed that the real light curve contains a steady double-waved
symmetric light curve corresponding to the proximity effects between
the binary components, and a transient light curve caused by an
unknown mechanism. Empirically, we found that the transient light
curves could be represented by a harmonic function up to the first
harmonic whereas the term with ![]()
(f is the orbital
phase) can be neglected,
where mce(t) is the magnitude of the model function,
The model for the radial velocity phase curve assumes circular
orbits of components so that
where B is the semi-amplitude of radial velocity of the primary component,
Applying the regression code to the observational data and
assuming
the above specified models we get the main parameters of the
variability,
km s-1,
km s-1,
and
mag.
In the result we obtain the shifts of the
observed curves relative to the calculated ones in the individual
eras, as displayed in Fig. 2.
We arrived at the following
linear ephemeris of photometric and radial velocity variations:
The derived period is the same as the one in Eq. (1), its slightly higher accuracy results from the extension of the observational period through 2009.
As the distribution of the O-C points in Fig. 2 does not exclude
a parabolic fit, we also tested the applicability of a quadratic
ephemeris in the form according to Mikulásek
et al. (2008):
where
| Figure 2: O-C of orbitally modulated variations of HD 143418. Open dots - photometry, full squares - radial velocity data. |
|
| Open with DEXTER | |
Table 2: Disentangled characteristics of the light curves.
3.1.2 PCA disentangling of light curves
In the following we analyse the development of the light curves of HD 143418 using the ephemeris Eq. (4). The light curves shown in Fig. 3 obtained in the five eras were subjected to the advanced principle component analysis (hereafter APCA) described in Mikulásek (2007).
![]() |
Figure 3: The shapes of light curves in particular eras. The light curves are assembled from individual colour curves after subtracting their mean magnitudes within each era. |
| Open with DEXTER | |
![]() |
Figure 4: Transient component of light curves in particular eras. The stable component is shown in the bottom for comparison of the amplitudes. |
| Open with DEXTER | |
![]() |
Figure 5: Light curves after removing the transient component in particular eras. |
| Open with DEXTER | |
APCA confirmed the anomalous and complex character of the long-term development of the light variations of HD 143418. In the result, we extracted a steady symmetric double-wave component with two equal maxima and unequally deep minima (see Fig. 5), and a seasonally changing component (see Fig. 4 and Table 2). The former was also noticed by Bozic et al. (2007) and interpreted as the proximity effect common in the close binaries. The primary minimum of this component takes place at the orbital phase -0.002.
For quantification of the development of the complicated
periodic
light changes we used the effective semi-amplitudes as defined e.g. in Mikulásek et al. (2007b), the
seasonal
and ``steady''
components of the light curves, and the average magnitudes in UBVHp
in
individual eras e (see Table 2). It seems that the
semiamplitude of the steady component remains constant, while the
semiamplitude of the seasonal component varies
considerably. We found a weak positive correlation between this
quantity and the instant average magnitude
,
which can be approximated in the form
where
| Figure 6: Periodogram of magnitude residuals. Explanation in the text. |
|
| Open with DEXTER | |
We also searched for a periodicity in the residuals, obtained after
subtracting the modeled orbitaly modulated brightness, which could
be attributed to variations of a subsychronously rotating CP2 star. We
were unable to find any periodic variations
with an amplitude exceeding 0.01 mag which is typical for
weakly
variable CP2 stars, see periodogram in Fig. 6. The highest
peak is near the frequency
with a semi-amplitude of
only 3.5 mmag, while no peak is indicated around the
frequencies
corresponding to the 14 day subsynchronous rotational period
of the primary. Consequently we conclude that the primary component of
HD 143418 obviously does not belong to the group of
photometrically variable CP2 stars.
3.2 Spectrum variability
The spectrum variability of a CP star consists either of
variable
line profiles with a moving narrow absorption feature from the blue to
red wing of the line and/or variable equivalent widths. To
investigate the former, line profiles must be sufficiently broadened
due to rotation which is not the case of the primary component of
HD 143418 with
as derived by
Bozic et al. (2007).
To investigate phase-to-phase variability of spectral
lines we measured equivalent widths of 7 lines of Fe
I
(
4466.55,
iron blends at 4476.0 and 4482.2, 4484.22,
4494.56, iron blend at 4528.7, and 4547.8 Å), 8 lines of
Fe
II (
4472.93, 4491.40,
4508.29, 4515.34, 4520.22,
4522.63, 4541.52, and 4555.89 Å), 5 lines of
Ti II (
4468.51, 4488.33,
4501.27, 4544.03, and 4545.13 Å),
3 lines of Cr II (
4539.60,
4554.99, and
4558.65 Å), one line of Zr II
at 4496.98 Å (which
however, is blended with the Cr II
line at 4496.842 Å)
and one line of Ba II at
4554.03 Å. The code EQWREC2 of
Budaj & Komzík (2000)
was utilised for the measurements. Since all the lines of a species
must originate in the same place, the
equivalent widths of individual lines of an ion were summed and the
sums were subjected to a period search using the Period04 code (Lenz & Breger 2005). The
results of the period search down to the Nyquist frequency and the
statistics are summarized in Table 3. The number of
lines within a ![]()
is given in
the fifth column. The periods for the individual species
are scattered randomly from 2 to 55 days and their
amplitudes equal the
limits at 1
of the species' average. Thus the scatter of the
equivalent widths is consistent with the measurement accuracy
influenced
mainly by the uncertainity in setting a local continuum.
Table 3: Results of the period search for the measured lines.
3.3 Effective magnetic field
![]() |
Figure 7: Comparison of right (full line) and left (open circles) circularly polarised spectra. Numerical entry next the ion designation stands for the Lande factor. |
| Open with DEXTER | |
The CP stars exhibiting light and spectrum variability are known to
have a global magnetic field that varies with the same period. As an
example we use HD 119213, the cool CP star of SrCrEu
type with an amplitude in Strömgreen's v, Av=0.089 mag
(Mikulásek et al. 2007b),
the period P=2.4499 d and effective
magnetic field
varying from -0.5 to 1.2 kGs (Romanyuk
2004), the
SrCrEu star HD 188041,
Av
= 0.090 mag, P
= 223.81 d (Mikulásek
et al. 2007b), and a magnetic field varying from
-0.2 to 1.5 kGs (Romanyuk 2004),
the
SiCr star HD 32633 with amplitude in u,
Au
= 0.048 mag,
P=6.4300 d (Mikulásek
et al. 2007b), and magnetic field varying from -5.7
to
+3.5 kG. There is, however, the Si star
HD 177410 with an amplitude in Au
= 0.048 mag and P=1.1233 d (Krticka et al. 2009), with
negative (or spurious so far, Kudryavtsev 2008, private
communication) detections
of a magnetic field. Measurements on two Zeeman spectra of
HD 143418 resulting in
,
and -
kGs,
however,
![]() |
Figure 8:
Comparison of synthetic spectra of the primary and
secondary computed for |
| Open with DEXTER | |
The above analyses indicate that the primary component of the HD 143418 binary is not a CP2 star but allow that it might be a CP1 star. Nevertheless, only a thorough inspection of HD 143418 spectra and the chemical composition of the star could give a final decision.
4 Abundance analysis
The effective temperature and surface gravity of the primary component of HD 143418 place it among main sequence A stars. Provided that at the same time it is a CP star, we could expect that it belongs to the group of late CP2 stars of the SrCrEu subtype or Am stars. The SrCrEu CP2 stars feature strong lines of Sr II, Fe I, Fe II, Cr I, Cr II and rare earths, while the Am stars are characterised by enhanced lines of metals and weak lines of Ca II and Sc II. A brief inspection of the spectra does not show any apparent classification as an SrCrEu or Am star. Nevertheless, Bozic et al. (2007) argued that ``the CaII lines are highly underabundant, which is a typical property of Am stars but less so of Ap stars. The overabundancy of CrII lines displayed in Fig. 8 is a characteristic of Ap as well as Am stars''. This is a striking discrepancy with our findings.
![]() |
Figure 9:
Observed and composite synthetic spectra in phase 0.272.
From top to bottom are shown secondary
synthetic spectrum ( |
| Open with DEXTER | |
![]() |
Figure 10: The same as Fig. 9 but for phase 0.563. |
| Open with DEXTER | |
4.1 Composite spectra
Bozic et al. (2007)
detected the secondary component moving around the
centre of
so prior to abundance analysis we checked
how significantly the observed composite line spectrum can be
affected by the secondary component.
We calculated synthetic spectra using SYNSPEC,
Hubeny et al. (1994)
modified by Krticka (1998)
with effective
temperature, surface gravity and projected rotational velocity
values as derived by Bozic
et al. (2007), i.e.
K,
,
,
K,
,
,
and solar scaled
abundances. We used the Vienna atomic line database
(Kupka et al. 1999, Kupka et al. 2000; Piskunov et al. 1995;
Ryabchikova et al. 1997,
hereafter VALD). For atmosphere models the
grids of models and fluxes (Atlas9-ODFNEW) provided
by
Castelli & Kurucz (2003)
was used. The models were interpolated to the values
of the effective temperature and surface gravity. In all these
calculations the synthetic spectrum was convolved with the rotational
and instrumental line width of the corresponding spectrograph, as
introduced in Sect. 2.
The synthetic spectra are shown in Fig. 8. Besides
Mg II 4481 Å, lines of
Fe I, Fe II
and Ti II are most noticeable in
the spectrum of the secondary.
The computed spectra
of the primary and secondary were summed for each phase of the
observation using the radial velocities corresponding to the radial
velocity curve
solution, and the luminosity ratio
after Bozic et al. (2007).
In this level of contribution, the central depth 0.39 of the
strongest absorption at 4549.5 Å in the spectrum of the
secondary, which is a blend of Ti II
and Fe II, will be less than
0.023 in the composite which, at a S/N
ratio
100,
should still be visible. Two of the cases are shown in Figs. 9 and 10. Inspecting these
figures carefully one can spot traces of the strongest lines of the
secondary spectrum in the composite theoretical spectrum. However,
nothing similar and
unambiguous can be found in the observed ones. The value of the
luminosity
ratio, however, was derived for the V band
and thus it is obvious that
in the blue region, the contribution of the cooler secondary is even
smaller. Consequently, we consider the abundances derived from the
Zeeman
spectrum to be not contaminated by the lines of the secondary
component.
![]() |
Figure 11:
Comparison of observed and synthetic profiles of the
Mg II line at 4481 Å.
The co-added Rozhen spectrum is fitted
with |
| Open with DEXTER | |
In the echelle spectrum the luminosity ratio gradually increases with increasing wavelength. As shown in Fig. 14 we were able to identify the strongest lines of the secondary in the two coudé spectra and also in the echelle one in positions corresponding to the proper value of the radial velocity. The lines of the secondary could accidentally contaminate the lines belonging to the primary component, which if not resolved and if significant, could in the end lead to a positive wavelength dependency of the abundances derived, which however, was not found (see Sect. 4.2).
4.2 Deriving abundances
The abundance analysis was performed by calculating synthetic spectra as introduced in Sect. 4.1. In addition to the echelle spectrum, we used the first of the two Zeeman spectra in order to extend the spectral region down to shorter wavelengths.
First we estimated the value of microturbulence in the Zeeman
spectrum by comparing the abundances derived from weak and strong
lines of neutral and ionised iron. We needed
.
For the Mg II
4481 Å line we
used
and an abundance increased
by a factor of 2 for the best result, see Fig. 11. This
procedure was performed with
which
also corresponds to the resolution of the Zeeman spectrum
R=16 000. When fitting the SAO echelle
spectrum, however, a lower
was found. This spectrum, with
R=50 000, allows a remarkably higher
velocity resolution of
.
Here
is
enough to
fit the sharp line profiles, as can be seen in Figs. 12 and 13. The
microturbulence derived for the echelle spectrum is
.
While abundances of the majority of
elements were derived easily, resulting abundances of carbon,
magnesium and silicon derived from particular lines are scattered
within an order of magnitude. Therefore, besides VALD, semiempirical
databases of Kurucz, R. L., & Peytremann, E. (1975
, hereafter KP75) and Kurucz, R. L., & Bell, B. (1995
, KB95), and Ralchenko et al. (2008
, NIST) also were consulted. For other elements,
a better agreement of a synthetic with observed line was sought for
when desirable. The strength of the lines used in the analysis ranges
from very weak with central intensities
,
through weak,
,
and medium
to very
strong with
.
In the following we introduce
the results of the abundance determination and comment in detail on
some
discrepancies.
![]() |
Figure 12:
Spectrum around 4780 Å. While the line of carbon at
4775.895 Å fits a normal abundance (thick line, labeled as
|
| Open with DEXTER | |
![]() |
Figure 13: Spectrum around 4815 Å. While the lines at 4812.920 and 4817.373 Å fit a normal abundance (thick line), the two at 4815.220 and 4815.475 Å fit an abundance multiplied by a factor of 0.02 (thin line). The strongest line belongs to Cr II. |
| Open with DEXTER | |
CARBON, oxygen and sodium lines
were only identified on the
echelle spectrum. We used 72 lines of C I
that were not or
only marginally blended with other elements. Thirty-seven fit normal
abundance, some of them, however, fit better when a gf-value
from
another database is used (see Table
). Thirty-three lines
need the value of abundance multiplied by a factor of 0.02. These
lines are not included in the NIST database, the KB95 is practically
identical with VALD and the corresponding values at KP75 do
not differ significantly. Two lines, at 5693.109 and
6013.165 Å, do not fit with the gf-values
available. The
latter is a blend of two carbon lines and the corresponding
absorption feature would be reproduced sufficiently by a synthetic
profile if one of them were taken with an abundance factor of 0.02 (See
also Table
). The abundance factor of 0.02 is the
upper
limit at which we arrived in successive steps until the lines vanish
from the synthetic spectrum in accordance with the observed one. We
illustrate the discrepancy between the two groups of C I
lines in Figs. 12
and 13.
OXYGEN. Lines of O I are weak and/or very weak both in the synthetic and observed spectrum. For the 3 lines at 4772.446, 4773.775 and 4967.374 Å the abundance had to be decreased in successive steps to a factor of 0.2 in order to remove them from the synthetic spectrum. Two lines fit the abundance reduced by factors of about 0.5, and 2 lines fit the normal one with gf-values from NIST.
SODIUM is normal for 3 weak to medium-strength lines of Na I.
MAGNESIUM. Despite magnesium being found in mild excess when fitting the strongest line of Mg II at 4481 Å, the remaining very weak to medium lines of Mg II and of Mg I identified on the Zeeman spectrum fit the solar abundance. This is the case also for the very weak to strong lines of Mg I identified in the echelle spectrum. However, the 4 lines of Mg II, weak in the synthetic spectrum, are still weaker in the observed one. These lines of Mg II need abundances multiplied by a factor of 0.3.
SILICON had to be multiplied by a
factor of 0.03 to remove the
lines of Si I and Si II
present in the synthetic
spectrum but absent in the observed Zeeman one. In the echelle
spectrum, however, silicon is found in a dichotomy similar to carbon.
Fourteen lines of Si I, four of
them with gf-values from KB95, and three identified
lines of Si II hint at a weak
underabundance by a factor of 0.8. The gf-values
for the four Si I lines are based
on measurements of emission lines by Garz
(1973) and revised by Lambert
& Luck (1978) using the solar carbon abundance.
Eighteen lines of Si I need to be
multiplied by a factor of 0.03. Of these, 16 lines
indicated in the synthetic spectrum as very weak are not present in the
observed one, two at 4792.213 and 4792.324 Å are weak and one
at
5006.059 Å is strong. However, different sources of gf-values
admit different interpretations of observations. For example the
Si I line at 5846.612 Å,
which needs the abundance factor
0.03, has
according
to VALD, and -2.730 according to
Kurucz & Bell (1995).
The latter value, however, shifts the line
into the other group that shows mild (a factor of 0.8)
underabundance. Further, the line Si I
at 6042.399 Å has
and -4.300 according to VALD and Kurucz
& Bell (1995)
respectively. Using the VALD data leads to a relatively consistent
group of lines giving an abundance multiplied by a factor
of 0.03.
Thus any selective choice of a ``better'' value from Kurucz
& Bell (1995) in
these cases would not be justified.
SULPHUR has to be multiplied at least by a factor of 0.3 to remove the lines of S I at 4429.142 and 4431.435 Å from the synthetic spectrum, which is only the upper limit for the abundance. For the lines identified on the echelle spectrum, the abundance must be multiplied by a factor of 0.05 in order to remove them from the synthetic spectrum.
CALCIUM is normal for all the lines of Ca I with KB95 values and the Ca II with the KP75 ones, identified on the Zeeman spectrum. On the echelle it is in a mild excess by a factor of 1.4. With this value, 6 strong, 7 medium and 3 very weak lines of Ca I fit excellently. Also 11 lines of Ca II, of which 2 are strong, 1 medium and 8 weak or very weak, fit excellently to the observed spectrum, three weak lines of them, however, with gf values from KP75.
SCANDIUM is found to be in deficit by factor of 0.075 for the 14 lines of Sc II identified in the Zeeman and echelle spectrum.
TITANIUM. Twenty lines of Ti I and 57 lines of Ti II, very weak to very strong, were identified in both spectra. Titanium is mildly overabundant by a factor of 2.
VANADIUM is normal or might be in weak deficit. Only a few weak or very weak lines are indicated in the synthetic spectrum and are visible as a trace in the observed echelle one. The KP75 gf-values, which are lower, fit better.
CHROMIUM is normal for 13 lines of Cr I and for 53 lines of Cr II identified in both spectra. The lines range from very weak to very strong.
MANGANESE was only identified on the echelle spectrum. Thirteen lines of Mn I and 4 lines of Mn II suggest a mildly increased abundance by a factor of 1.5. They are of very weak to medium strength.
IRON is normal. Thirty lines of Fe I and 16 lines of Fe II in the Zeeman spectrum, and 252 lines of Fe I and 78 lines of Fe II in the echelle spectrum were used. They range from very weak to very strong in strength. Two lines in the echelle spectrum do not fit with either gf-value.
COBALT. Only 2 very weak lines of Co I were identified in the echelle spectrum, they indicate normal abundance.
NICKEL is normal. Only 2 weak unblended lines were found in the Zeeman spectrum. The normal abundance also fits the absorption features in which nickel lines occur blended with Fe I and Ti II, such as those at 4459.027, 4462.449, 4470.472 and 4592.542 Å which, however, were not used for iron and titanium abundance determination and are not included in Table 5. Also 41 lines of Ni I used in the echelle spectrum satisfy normal abundance. In majority the lines are very weak or weak, five are medium-strong.
Table 4: Abundances of elements relative to solar values in the primary component.
COPPER was identified only in the echelle spectrum and is underabundant. Five lines of Cu I were indicated as weak or very weak in the synthetic spectrum. In order to reach agreement with the observed spectrum we multiplied the abundance by a factor of 0.2. This way two of the lines, at 5220.066 and 5782.127 Å became invisible in the synthetic spectrum, in accordance with the observed one.
ZINC. One weak line of Zn I at 4810.528 Å was identified in the echelle spectrum and fits normal abundance.
YTTRIUM is mildly overabundant by a factor of 1.8 for 18 lines identified in the echelle spectrum. Four of them are medium strong, 2 are weak and the remaining 12 are very weak. The very weak line at 5781.689 Å while indicated in the synthetic spectrum with the VALD gf-values, is absent in the observed one consistent with the KP75 values.
ZIRCONIUM is in a mild excess by a factor of 1.5. Only 1 very weak line of Zr II was identified in the echelle spectrum. All of the 4 weak lines of Zr II identified in the Zeeman spectrum occur in blends with Ti I, Fe I,Fe II, Cr I and Mn I. The fits of the observed and synthetic spectrum in all these cases are very good, thus indirectly confirming the mildly increased abundance.
BARIUM is overabundant by a factor of 2.5 for the strong line of Ba II at 4554.029 Å and by a factor of 1.9 and 4 for the weak unblended line of Ba II at 5853.668 Å and the strongest line at 4934.076 Å respectively.
We tested the internal accuracy of the determination on
9 weak lines
of titanium and differences in the computed profiles were fairly
discernable when the abundance factor of 2 with a step 0.1 was
varied.
Taking the signal noise into account, the factor lies within
for weak lines where
and
for strong
lines where
at their centres.
Consequently, the accuracy of a derived abundance is
0.05-0.15 dex.
Thus, Na, V, Cr, Fe, Co, Ni and Zn are normal. Ca, Ti, Mn, Y, and Zr are mildly overabundant within the scatter resulting from the accuracy of determination and obvious for normal main sequence stars. Barium is mildly overabundant with a remarkable scatter in values resulting from three lines. O, S, Sc and Cu are underabundant. C, Mg and Si show discrepancies either within an ion or between neutral and singly ionised atoms. The results are summarised in Table 4, where the abundances are expressed in terms of a factor (deficit < 1 < excess). The ``solar'' values are from Asplund et al. (2005).
We stress that the abundances were derived without including the ellipticity of the primary component of this binary as determined by Bozic et al. (2007). The ellipticity may result in an additional limb darkening due to gravity, and the proximity of the components in a possible irradiation of the ``sub-secondary'' region of the primary. However, as seen from calcium, titanium, chromium, manganese or iron, where all lines fit one value of abundance the discrepancies present in other elements, e.g. carbon, are obviously not due to the mentioned effects.
Complete lists of the lines used in the abundance analysis are
compiled in the on-line Table 5 for the Zeeman spectrum and
Table
for the echelle one. VALD critically
evaluates the accuracy of values introduced by variuos databases and
recommends the best assessed one. If the best VALD value does not meet
the observed strength of a line, a value from another database was used
and is given in the fifth column and its
source in the last column of the on-line tables. In the case when none
of the abovementioned databases is considered by VALD, its value is
given in
the fifth column, while a more convenient other value and its source is
given in the last one. In some cases, neither of the databases
offers a gf-value able to fit the observed feature
(this is marked with DNF = does not fit in the
on-line tables). As many lines
indicated in the synthetic spectrum are not visible in the observed
one (marked as MIO = missing in the observed in the
on-line tables), we
investigated spectra of two other stars with similar temperature and
gravity parameters
to verify the absence of these lines as found in
HD 143418. We used
HD 27411 (A3m), and HD 148898
(A6p), published in the frame of the UVES Paranal Observatory
project by Bagnulo
et al. (2003). Though these stars are peculiar, we
selected them due to their
relatively slow rotation as the large
of normal A stars
would erase these very weak features. Similarly to
HD 143418, the lines were found to be missing in
these two stars, too. The discrepancies discussed in this section point
to a strong need for improvement of the corresponding atomic data.
5 Discussion
5.1 Subsynchronous rotation of HD 143418 A
One of the important results of this work is the confirmation of the
subsynchronous rotation of the primary component discovered by
Bozic et al. (2007).
Accepting their geometric parameters of the binary,
d,
,
and assuming that the rotational axis is
perpendicular to the orbital plane, the projected rotational velocity
,
according to the formula
for synchronous rotation is
5.2 Is HD 143418 A a CP star?
The primary component of the unusual close binary HD 143418 was classified as an Am (CP1) star by Bartaya (1979) and recently again by Bozic et al. (2007) who did not exclude that it even could be an Ap star (CP2 type) (see Sect. 4). These classifications were based on spectrum and partly on photometric diagnostics.
5.2.1 Is HD 143418 A a CP2 star?
If HD 143418 A with an effective temperature of about 8000 K is a CP2 star, it should be a cool Ap star of an SrCrEu subtype. Spectra of SrCrEu CP2 stars are dominated by plenty of strong lines of overabundant chemical elements, namely Sr II, Fe I, Fe II, Ti I, Ti II Cr I, Cr II and rare earths. The overabundant elements are distributed unevenly, forming various spots which result in the observed rotationally modulated spectral line variations (spectroscopic spots) as well as strong or moderate light changes from several hundreds to a few tenths of magnitude (see e.g. Mikulásek et al. 2007a) (photometric spots). The SrCrEu-type stars are known to have strong dipole-like magnetic fields of up to several kGs.
Providing the bound rotation of the photometrically dominant primary component, its light changes could be produced by the mentioned photometric spots on its surface. However, there are at least three arguments against this interpretation: (i) the amplitudes and forms of the orbitally modulated light variations conspicuously change from season to season, which is quite unusual for a single CP2 star. The only known CP2 star exhibiting moderate seasonal changes in its light curve is 56 Ari (Adelman et al. 2001; Ziznovský et al. 2000; Shore & Adelman 1976). These, however, are due to precession of the rotational axis of the magnetically distorted star; (ii) the amplitudes of the light variations in different colours in the same moment are almost equal, and (iii) the rotation of the HD 143418 A is subsynchronous. Consequently, the observed variations have to be produced by other mechanisms, as discussed in Sect. 5.2.3. Thus, the observed photometric variability studied in Sect. 3.1.2 is not the variability of a CP2 star.
We also searched for a periodicity in residuals obtained after subtracting the modelled orbitally modulated light variations which could be attributed to variations of a subsychronously rotating CP2 star. We were not able to find any periodic light variations which are symptomatic of moderately variable late CP2 stars.
We measured equivalent widths of unblended or only marginally
blended lines of iron, chromium and titanium, the species commonly
found to create spots, and of zirconium and barium,
the
heavier elements found in a weak excess. As it is justified to
suppose that all lines of a specific element or ion originate in
the same (fiducial) spot, we summed the equivalent widths of the
lines concerned. Only in two cases, chromium and barium, does one of
the 23 values exceed the 2
limit. The values were subjected to a period finding with negative
results. As CP2 stars demonstrate the variability of equivalent widths
of spectral lines with amplitudes often extending to double of their
mean value (Wolff
1983; Zverko
et al. 1998; Polosukhina et al. 1999), we
conclude that the visible
(primary) component does not show that spectrum variability proper to
the CP2 stars.
A magnetic field of a simple dipolar or more complex structure, varying in intensity, is the third characteristics of CP2 stars demonstrating light and spectrum variability. It is believed the magnetic field governs the radiatively driven diffusion to create the structured surface of variable CP2 stars. Two observations with Zeeman analyser however, did not show evidence of a magnetic field of HD 143418 exceeding the measuring accuracy.
We state that the abundances of most of the studied elements are very near to solar ones. The cool CP2 stars showing light and spectrum variability have overabundances mainly of the rare earths often exceeding 3 dex, which is not observed in HD 143418. Moreover, no lines of any of the rare elements were identified in the whole spectral region studied in this work.
All the above summarized features, supported also by the fact that the CP2-type stars are very uncommon in short-period binaries such as the one studied in this paper, we conclude that the primary of HD 143418 is definitely not a CP2 star.
5.2.2 Is HD 143418 A an Am star?
With regard to the fact that the Am stars occur almost exclusively in binary systems, it is justified to examine the primary HD 143418 from the point of view of its Am-type peculiarity. The Am (CP1) stars are less conspicuous than the CP2 stars - they do not demonstrate photometric nor spectroscopic variability nor a magnetic field. The Am stars are characterised by overabundance of metals accompanied with underabundance of scandium and calcium. An Am star is horizontally chemically homogeneous. A further important characteristic is a relatively slow rotation (equatorial velocity below 100 km s-1), which is believed to be a necessary and may even be a sufficient condition for the origin and evolution of the Am phenomenon.
Accordingly the classification of this star as an A3m by Bartaya (1979), we found a strong deficit of scandium, which is one of the common characteristics of Am stars. On the other hand the derived abundance of calcium, the another element to appear in deficit, is found in a mild overabundance for 27 lines identified in the echelle spectrum.
The abundance pattern found in HD 143418 does not imply that the primary is an Am star.
5.2.3 Why is it not an Am star? A possible synchronisation scenario
The findings discussed above contradict our
current understanding of the Am phenomenon. An evolved main
sequence star with
and a
very slow rotation with
day
should
be an Am star. However, we do not find any convincing evidence of
the Am abundance anomalies except that of the deficit of scandium.
A key to comprehension of the oddness of HD 143418 may come from studies of Budaj (Budaj 1999,1996,1997) who demonstrated that tidal forces between components of a close binary would not affect the peculiar chemical composition of outer layers of the Am component only in the case that it rotates synchronously. If the Am component rotates non-synchronously, the tidal forces distorting the star from its spherical shape are able to destroy its anomalous stratification of chemical elements due to mixing of the surface layers on a short time scale. Note also that the reflection effect in non-synchronous binary components may affect radiative diffusion (Tassoul & Tassoul 1988).
Though the phenomenon of a subsynchronously rotating primary
component
in close binaries is not common, it deserves our interest, as does
the process of synchronisation which has not been fully understood
up to now (for more details see c.f. Khaliullin & Khaliullina 2007;
Claret
et al. 1995).
Nevertheless, there are several systems with a plausible scenario
for HD 143418. This is the case of the eclipsing
binary
V624 Her (HR 6611) with two evolved Am
components, where the
primary has a subsynchronous rotation, though the difference between
its observed
and the synchronised
is not as distinctive as in the case
of HD 143418 (Mikulásek
et al. 2004). Popper
(1984) claimed that V 624 Her
appears to be more evolved in the mass-radius, temperature-gravity,
and HR diagrams than any other Am star that has all properties well
determined. The subsynchronisation of it could be
satisfactorily
explained as the consequence of a relatively fast expansion at the
end of its main sequence era. Projecting the values of temperature
and radius of V624 Her on to the plane of Fig. 15 in Bozic et al. (2007)
we find it a little above HD 143418.
A larger difference between the
synchronized and observed
was found in the triple system DG Leo
by Frémat et al. (2005).
For its inner binary consisting of two Am stars of equal mass, with
d,
the projected value of synchronous rotation is
.
One component, however, rotates faster,
,
while the other is subsynchronous
with
.
The wide component, although of very similar mass and radius, rotates
slowly too, but in contrast to the inner
pair does not show any signs of peculiarity.
Griffin
(2008,2002,2004)
studied the 14.5-day binary o Leo
consisting of an F8m and A7m components. While the cooler component
rotates nearly synchronously with
,
the hotter one is remarkably subsynchronous with
corresponding to a
rotation rate of 22 d. This component was found in its fast
state of evolution and the slow rotation ascribed to its quick
expansion.
However, any rebuilding of the star during the stay on the
main
sequence cannot lead to such a pronounced subsynchronisation of the
primary as we find in HD 143418. Thus the rotation
of
the primary component was extremely slow during the whole preceding
evolution. When the primary was near the ZAMS, its radius was
considerably smaller than now and consequently the tides had been
distorting the star only negligibly, as the efficiency of tides is
R3.
It is possible that some time ago the primary was an
ordinary Am star. But it is possible that the radius of the star has
grown to such a degree that the tidal interaction between
the components is spinning up the primary more efficiently. A part
of the orbital angular momentum is transformed into the rotational
angular momentum of the primary, which leads to a decrease of the
orbital period and brings the components closer, which further
amplifies the tides, and the process accelerates. This fast phase
will terminate at the moment when the primary rotates synchronously.
It is very likely that we observe
HD 143418 during the onset of this fast
evolution. The scenario could be tested by a very careful
photometric and spectroscopic period monitoring in the future.
In the following we estimate the result of such a fast phase
of
evolution. Let J be the norm of the total angular
momentum vector
J of the system compound of almost spherically symmetric
primary (1) and secondary (2) components with masses M1,
M2,
radii R1, R2,
rotating with angular velocities
circularly orbiting (assuming that orbital
circularisation has passed) with angular orbital velocity
.
We assume that the rotational axes of the both components are
perpendicular to the orbital plane. Thus the sum of the orbital and
rotational angular moments is
where I1 and I2 are moments of inertia of the binary components,
Let
be instant values of the above
introduced quantities. At the end of the synchronisation, both the
angular velocities are equal to
and the
separation of the components a0
will change to
.
For simplicity we assumed that the process runs quickly, without
apparent changes of the outer and inner characteristics of the
components. Further, we consider that the process of synchronisation is
conservative (any escape of matter from the system is neglected) and
the total angular momentum J does not vary with
time.
Applying a series expansion and justified neglected terms (the
term
with I2 can be neglected
because of
,
etc.) we
arrived at the following prediction of the synchronised state:
![]() |
(9) |
where
![]() |
(10) |
The present state according to Bozic et al. (2007) and this paper is characterised by M1=1.81
The total energy E of a gravitationally
bound binary system with a synchronised rotation can be expressed:
A fraction of the orbital energy released during the synchronisation,
![]() |
(12) |
We estimated the value of
By differentiating Eqs. (8) and (11) with
respect to time we find the relation between the actual dissipative
energy output
and the expected shortening
of the present orbital period ![]()
For
5.3 Spots on the secondary or ejected clouds?
Bozic et al. (2007) offers two physical reasons that could plausibly explain the observed seasonal variation of HD 143418: 1) a secularly varying pattern of cool spots on the secondary; and 2) inhomogeneous co-orbiting clouds ejected from the primary.
ad 1) The mass of the secondary component was derived by Bozic et al. (2007) to be
1.09
.
We suppose that a synchronously and therefore very quickly rotating
star with a thick convective envelope is covered by cool dark spots
which may make up a substantial part of the star. The coverage of the
surface changes on a time scale from weeks to decades.
However, we argue that the light variations evoked by the
spottiness
of the secondary cannot explain the seasonal variability of
HD 143418 because of the relative faintness of the
secondary with respect to the
primary. Provided that the luminosity ratio in V:
(Bozic et al. 2007), the
contribution
of the secondary to the magnitude of the binary in V
is only
-0.063(21) mag,
-0.043 mag in B, and -0.045 mag
in U.
These contributions are comparable with the amplitudes of the
variations (see Table 2,
era III) which means, that the secondary
would have to be completely extinct in some seasons. Moreover,
in such a case the spectral lines of the secondary would not be visible
in
the observed spectrum.
ad 2) The process of spinning up of the primary described in
Sect. 5.2.3
is obviously not uniform because the tidal
interaction effectively affects mainly the outer parts of the star.
The inner parts may rotate slower. This differential rotation of the
stellar interior produces instabilities and eddies, leading to
ejection of material from the star. This could be the origin of the
observed seasonal light variations of the system. Some
of that ejected material orbits around the centre of mass and reflects
or obscures the primary component. As the parameter
has a
reasonable probability of being positive, obscuring seems to prevail
over
reflection.
The absence of emission lines in the spectrum and the observed
constancy of amplitudes of light variations represent very strong
constraints on the state of the ejected co-orbiting matter. The only
interaction between the light and matter, which is absolutely grey,
is light scattering on free electrons or extinction and reflection
on large dust particles. In the case of Thomson scattering on free
electrons, a cloud of a cross section of about 100
and
mass of
is sufficient to
explane of the observed seasonal light variations. In the case
of extinction and reflection on dust particles of 10-4 m
in
diameter amounting to
1%
of the mass of the cloud, we need
only
.
For the ejection of such a
cloud we need only a 10-8 portion of the total
dissipated
energy
given by Eq. (11).
5.4 Short-time variability
Residuals of light curves after subtracting the above discussed persistent and seasonal changes exhibit relatively large scatter evoking the possibility of a specific short-time scale variability resembling flickering. However, the detailed statistical analysis of the residuals indicates that the observed scatter is caused by random observational errors rather then true short-time scale light variability such as flickering.
6 Conclusions
We analysed 23 time series Coudé spectra to investigate possible
spectrum variations of the CP-candidate star
HD 143418. Equivalent widths of
25 unblended lines of iron, chromium, titanium, zirconium and
barium change within less than 2
of their mean values, which reflects the accuracy of measurements. We
examined spectral lines of different Lande
factors on spectra acquired with a Zeeman analyser. The left and right
circularly polarised profiles of the lines are identic, suggesting
either absence of the global magnetic field or that the spectra were
taken in rare moments when an alternating field acquired its zero
value. The abundance
pattern of the primary component derived from the Zeeman as well as
from a wide region echelle spectrum does not correspond to any of the
CP-types stars. The only possible peculiarity is the deficit of
scandium which, however, is
one of the characteristics of invariable Am-type stars.
We confirmed the extremely subsynchronous rotation of the primary component and argue that the star may be passing through its fast period of synchronisation.
By analysing intensities of spectral lines of carbon and silicon, we found a dichotomy in their behaviour manifested by the occurence of two groups of lines showing two remarkably different abundances. We stress the strong need for further improvement of atomic data for these elements.
Our, as well as previous findings, offer an inconsistent picture of HD 143418. There are at least two directions in which investigations of HD 143418 should continue, namely to confirm or rule out its magnetic field, and to identify the source of the seasonal photometric variations.
AcknowledgementsWe thank P. Harmanec and M. Wolf for calling our attention to this interesting subject of investigation and inspiring discussion, J. Budaj for fruitful discussions, and T. Ryabchikova for discussion on gf-values. Our thanks go to the referee Dr. H. Hensberge whose comments, recommendations and advice helped to notably improve this paper. Partial support of grants VEGA 2/0074/9, GAAV IAA301630901, APVV SK-CZ-0090-07, Russian FBR 09-02-00002-a, and Bulgarian NSF NIK-05 and DO02-85(CVP01/002) is acknowledged.
References
- Adelman, S. J., Malanushenko, V., Ryabchikova, T. A., et al. 2001, A&A, 375, 982 [NASA ADS] [CrossRef] [EDP Sciences]
- Asplund, M., Grevesse, N., & Sauval, A. J. 2005, in Cosmic Abundances as Records of Stellar Evolution and Nucleosynthesis, ed. T. G. Barnes III, & F. N. Bash (San Francisco: ASP), ASP Conf. Ser., 336, 25
- Bagnulo, S., Jehin, E., Ledoux, C., et al. 2003, The Messenger, 114, 10 [NASA ADS], and www.sc.eso.org/santiago/uvespop/
- Bartaya, R. A. 1979, Bull. Abastumani Astrophys. Obs., No. 51, 1
- Bozic, H., Wolf, M., Harmanec, et al. 2007, A&A, 464, 263 [NASA ADS] [CrossRef] [EDP Sciences]
- Budaj, J. 1996, A&A, 313, 523 [NASA ADS]
- Budaj, J. 1997, A&A, 326, 655 [NASA ADS]
- Budaj, J. 1999, MNRAS, 310, 419 [NASA ADS] [CrossRef]
- Budaj, J., & Komzík, R. 2000, http://www.ta3.sk/ budaj/software
- Castelli, F., & Kurucz, R. L. 2003, IAU Symp. 210, ed. N. Piskunov, W. W. Weiss, & D. F. Gray (San Francisco), ASP Conf. Ser., 20, http://www.user.oat.ts.astro.it/castelli/
- Claret, A., Gimenez, A., & Cunha, N. C. S. 1995, A&A, 299, 724 [NASA ADS]
- ESA 1997, in The Hipparcos and Tycho Catalogues, ESA SP-1200, Noordwijk
- Frémat, Y., Lampens, P., & Hensberge, H. 2005, MNRAS, 356, 545 [NASA ADS] [CrossRef]
- Garz, T. 1973, A&A, 26, 471 [NASA ADS]
- Griffin, R. E. 2002, AJ, 123, 988 [NASA ADS] [CrossRef]
- Griffin, R. E. M. 2004, in The A-Star Puzzle, ed. J. Zverko, J. Ziznovský, S. J. Adelman, & W. W. Weiss (Cambridge: Cambridge Univ. Press), IAU Symp., 224, 562
- Griffin, R. E. M. 2008, CoSka, 38, 93 [NASA ADS]
- Hubeny, I., Lanz, T., & Jeffery, C. S. 1994, Newsletter on analysis of astronomical spectra, No. 20, ed. C. S. Jeffery, CCP7 (St. Andrews: St. Andrews Univ.), 30
- Khaliullin, Kh. F., & Khaliullina, A. I. 2007, MNRAS, 382, 356 [NASA ADS] [CrossRef]
- Krticka, J. 1998, Thesis, Masaryk University, Brno, in Czech language
- Krticka, J., Mikulásek, Z., Henry, G. W., et al. 2009 A&A, 449, 567
- Kudryavtsev, D. O. 2000, Baltic Astron., 9, 649 [NASA ADS]
- Kupka, F., Piskunov, N. E., Ryabchikova, T. A., Stempels, H. C., & Weiss, W. W. 1999, A&AS, 138, 119 [NASA ADS] [CrossRef] [EDP Sciences]
- Kupka, F., Ryabchikova, T. A., Piskunov, N. E., Stempels, H. C., & Weiss, W. W. 2000, Baltic Astron., 9, 590 [NASA ADS]
- Kurucz, R. L., & Bell, B. 1995, CD ROM 23, http://kurucz.harvard.edu/linelists.html
- Kurucz, R. L., & Peytremann, E. 1975, SAO Spec. Report, 362
- Lambert, D. L., & Luck, R. E. 1978, MNRAS, 183, 79 [NASA ADS]
- Lenz, P., & Breger, M. 2005, CoAst, 146, 53 [NASA ADS]
- Mathys, G., Hubrig, S., Landstreet, J. D., Lanz, T., & Manfroid, J. 1997, A&AS, 123, 353 [NASA ADS] [CrossRef] [EDP Sciences]
- Meynet, G., & Meader, A. 2006, in Stars with the B[e] Phenomenon, ed. M. Kraus, & A. S. Miroshnichenko, ASP Conf. Ser., 355, 27
- Mikulásek, Z. 2007, Astron. Astrophys. Trans., 26(1), 63
- Mikulásek, Z., Zverko, J., Romanyuk, I. I., et al. 2004, in Magnetic stars, ed. Yu. V. Glagolevskij, D. O. Kudryavtsev, & I. I. Romanyuk, Special Astrophys. Obs., Nizhnij Arkhyz, 191
- Mikulásek, Z., Krticka, J., Zverko, J., et al. 2007a, in Physics of Magnetic Stars, ed. I. I. Romanyuk, & D. O. Kudryavtsev, Special Astrophys. Obs., Nizhnij Arkhyz, 300
- Mikulásek, Z., Janík, J., Zverko, J., et al. 2007b, AN, 328, 10 [NASA ADS]
- Mikulásek, Z., Krticka, J., Henry, G. W., et al. 2008, A&A, 485, 585 [NASA ADS] [CrossRef] [EDP Sciences]
- North P. 1994, in Workshop and Meeting of EWG on CP Stars, ed. I. Jankovics, & I. J. Wincze, 53
- North, P., Ginestet, N., Carquillat, J.-M., Carrier, F., & Udry, S. 1998, CoSka, 27, 179 [NASA ADS]
- Panchuk, V. E. 1998, SAO technical Report, N258
- Panchuk, V. E., Piskunov, N. E., Klochkova, V. G., Yushkin, M. V., & Ermakov, S. V. 2002, SAO Preprint, N169
- Piskunov, N. E., Kupka, F., Ryabchikova, T. A., Weiss, W. W., & Jeffery, C. S. 1995, A&AS, 112, 525 [NASA ADS]
- Polosukhina, N., Kurtz, D., Hack, M. et al. 1999, A&A, 351, 283 [NASA ADS]
- Popper, D. M. 1984, AJ, 89, 1057 [NASA ADS] [CrossRef]
- Preston, G. W. 1974, ARA&A, 12, 257 [NASA ADS] [CrossRef]
- Ralchenko, Yu., Kramida, A. E., Reader, J., & NIST ASD Team (2008), NIST Atomic Spectra Database (version 3.1.5), [Online], available: http://physics.nist.gov/asd3 [2009, March 4], National Institute of Standards and Technology, Gaithersburg, MD
- Romanyuk, I. I. 2004, in Magnetic stars, ed. Yu. V. Glagolevskij, D. O. Kudryavtsev, & I. I. Romanyuk, Special Astrophys. Obs., Nizhnij Arkhyz, 33
- Ryabchikova, T. A., Piskunov, N. E., Kupka, F., et al. 1997, Baltic Astron., 6, 244 [NASA ADS]
- Shore, S. N., & Adelman, S. J. 1976, ApJ, 209, 813 [CrossRef]
- Tassoul, M., & Tassoul, J.-L. 1988, MNRAS, 232, 481 [NASA ADS]
- Wolff, S. C. 1983, NASA SP-463, 42
- Zverko, J., Ziznovský, J., & North, P. 1998, CoSka, 28, 109 [NASA ADS]
- Zverko, J., Ziznovský, J., Mikulásek, Z., et al. 2007, CoSka, 37, 49 [NASA ADS]
- Ziznovský, J., Schwartz, P., & Zverko, J. 2000, IBVS, 4835
Online Material
Table 5: List of lines used in abundance determination using the Zeeman spectrum.
Table 6: List of lines used in abundance determination using the echelle spectrum.
![]() |
Figure 14: Section of the spectrum around sodium D1D2 lines. From top to bottom: SAO echelle spectrum, phase 0.584, Rozhen Coudé spectra, phases 0.869 and 0.291. Mesured radial velocities of primary (RVP) and secondary (RVS) are marked. The synthetic spectrum of the secondary is drawn with the proper radial velocity shift. The corresponding lines in the primary and secondary component are outlined using arrows. Dots above the echelle spectrum designate positions of telluric lines contaminating the stellar spectrum, some of them are marked with vertical bars. The spectra are shifted down by 0.2 in ordinate intensity for clarity. |
| Open with DEXTER | |
Footnotes
- ... HD 143418
- Tables 5 and 6, and Fig. 14 are only available in the electronic form at http://www.aanda.org
- ... IRAF
- IRAF is distributed by the National Optical Astronomy Observatories, which are operated by the Association of Universities for Research in Astronomy, Inc., under cooperative agreement with the NationalScience Foundation.
All Tables
Table 1: List of observations.
Table 2: Disentangled characteristics of the light curves.
Table 3: Results of the period search for the measured lines.
Table 4: Abundances of elements relative to solar values in the primary component.
Table 5: List of lines used in abundance determination using the Zeeman spectrum.
Table 6: List of lines used in abundance determination using the echelle spectrum.
All Figures
![]() |
Figure 1: Radial velocity folded with orbital phase according to Bozic et al. (2007). Triangles - Rozhen spectra, circles - SAO spectra, squares - Bozic et al. (2007). |
| Open with DEXTER | |
| In the text | |
| |
Figure 2: O-C of orbitally modulated variations of HD 143418. Open dots - photometry, full squares - radial velocity data. |
| Open with DEXTER | |
| In the text | |
![]() |
Figure 3: The shapes of light curves in particular eras. The light curves are assembled from individual colour curves after subtracting their mean magnitudes within each era. |
| Open with DEXTER | |
| In the text | |
![]() |
Figure 4: Transient component of light curves in particular eras. The stable component is shown in the bottom for comparison of the amplitudes. |
| Open with DEXTER | |
| In the text | |
![]() |
Figure 5: Light curves after removing the transient component in particular eras. |
| Open with DEXTER | |
| In the text | |
| |
Figure 6: Periodogram of magnitude residuals. Explanation in the text. |
| Open with DEXTER | |
| In the text | |
![]() |
Figure 7: Comparison of right (full line) and left (open circles) circularly polarised spectra. Numerical entry next the ion designation stands for the Lande factor. |
| Open with DEXTER | |
| In the text | |
![]() |
Figure 8:
Comparison of synthetic spectra of the primary and
secondary computed for |
| Open with DEXTER | |
| In the text | |
![]() |
Figure 9:
Observed and composite synthetic spectra in phase 0.272.
From top to bottom are shown secondary
synthetic spectrum ( |
| Open with DEXTER | |
| In the text | |
![]() |
Figure 10: The same as Fig. 9 but for phase 0.563. |
| Open with DEXTER | |
| In the text | |
![]() |
Figure 11:
Comparison of observed and synthetic profiles of the
Mg II line at 4481 Å.
The co-added Rozhen spectrum is fitted
with |
| Open with DEXTER | |
| In the text | |
![]() |
Figure 12:
Spectrum around 4780 Å. While the line of carbon at
4775.895 Å fits a normal abundance (thick line, labeled as
|
| Open with DEXTER | |
| In the text | |
![]() |
Figure 13: Spectrum around 4815 Å. While the lines at 4812.920 and 4817.373 Å fit a normal abundance (thick line), the two at 4815.220 and 4815.475 Å fit an abundance multiplied by a factor of 0.02 (thin line). The strongest line belongs to Cr II. |
| Open with DEXTER | |
| In the text | |
![]() |
Figure 14: Section of the spectrum around sodium D1D2 lines. From top to bottom: SAO echelle spectrum, phase 0.584, Rozhen Coudé spectra, phases 0.869 and 0.291. Mesured radial velocities of primary (RVP) and secondary (RVS) are marked. The synthetic spectrum of the secondary is drawn with the proper radial velocity shift. The corresponding lines in the primary and secondary component are outlined using arrows. Dots above the echelle spectrum designate positions of telluric lines contaminating the stellar spectrum, some of them are marked with vertical bars. The spectra are shifted down by 0.2 in ordinate intensity for clarity. |
| Open with DEXTER | |
| In the text | |
Copyright ESO 2009
Current usage metrics show cumulative count of Article Views (full-text article views including HTML views, PDF and ePub downloads, according to the available data) and Abstracts Views on Vision4Press platform.
Data correspond to usage on the plateform after 2015. The current usage metrics is available 48-96 hours after online publication and is updated daily on week days.
Initial download of the metrics may take a while.

![\begin{figure}
\par\includegraphics[width=6.5cm,clip]{12540f01.eps}
\end{figure}](/articles/aa/full_html/2009/41/aa12540-09/Timg16.png)

![\begin{figure}
\par\includegraphics[width=7.2cm,clip]{12540f03.eps}
\end{figure}](/articles/aa/full_html/2009/41/aa12540-09/Timg44.png)
![\begin{figure}
\par\includegraphics[width=7.2cm,clip]{12540f04.eps}
\end{figure}](/articles/aa/full_html/2009/41/aa12540-09/Timg45.png)
![\begin{figure}
\par\includegraphics[width=7.2cm,clip]{12540f05.eps}
\end{figure}](/articles/aa/full_html/2009/41/aa12540-09/Timg46.png)
![\begin{figure}
\par\includegraphics[angle=0,width=7.5cm,clip]{12540f07.eps}
\end{figure}](/articles/aa/full_html/2009/41/aa12540-09/Timg61.png)
![\begin{figure}
\par\includegraphics[width=15cm,clip]{12540f08.eps}
\end{figure}](/articles/aa/full_html/2009/41/aa12540-09/Timg67.png)
![\begin{figure}
\par\includegraphics[width=8cm,angle=0,clip]{12540f09.eps}
\end{figure}](/articles/aa/full_html/2009/41/aa12540-09/Timg68.png)
![\begin{figure}
\par\includegraphics[width=7.5cm,clip]{12540f10.eps}
\end{figure}](/articles/aa/full_html/2009/41/aa12540-09/Timg69.png)
![\begin{figure}
\par\includegraphics[width=7.5cm,clip]{12540f11.eps}
\end{figure}](/articles/aa/full_html/2009/41/aa12540-09/Timg77.png)
![\begin{figure}
\par\includegraphics[width=7cm,clip]{12540f12.eps}
\end{figure}](/articles/aa/full_html/2009/41/aa12540-09/Timg89.png)
![\begin{figure}
\par\includegraphics[width=7cm,clip]{12540f13.eps}
\end{figure}](/articles/aa/full_html/2009/41/aa12540-09/Timg90.png)







![\begin{figure}
\par\includegraphics[width=18.5cm,clip]{12540f14.eps}
\end{figure}](/articles/aa/full_html/2009/41/aa12540-09/Timg158.png)