| Issue |
A&A
Volume 506, Number 2, November I 2009
|
|
|---|---|---|
| Page(s) | 1055 - 1064 | |
| Section | Catalogs and data | |
| DOI | https://doi.org/10.1051/0004-6361/200912659 | |
| Published online | 18 August 2009 | |
A&A 506, 1055-1064 (2009)
Hot stars observed by XMM-Newton
I. The catalog and the properties of OB stars
,![[*]](/icons/foot_motif.png)
Y. Nazé
,![]()
GAPHE, Département AGO, Université de Liège, Allée du 6 Août 17, Bât. B5C, B4000 Liège, Belgium
Received 9 June 2009 / Accepted 6 July 2009
Abstract
Aims. Following the advent of increasingly sensitive X-ray
observatories, deep observations of early-type stars became possible.
However, the results for only a few objects or clusters have until now
been reported and there has been no large survey comparable to that
based upon the ROSAT All-Sky Survey (RASS).
Methods. A limited survey of X-ray sources, consisting of all public XMM-Newton
observations (2XMMi) and slew survey data (XMMSL1), is now available.
The X-ray counterparts to hot, massive stars have been searched for in
these catalogs.
Results. About 300 OB stars were detected with XMM-Newton.
Half of them were bright enough for a spectral analysis to be possible,
and we make available the detailed spectral properties that were
derived. The X-ray spectra of O stars are represented well by low
(<1 keV) temperature components and seem to indicate that an
absorption column is present in addition to the interstellar
contribution. The X-ray fluxes are well correlated with the bolometric
fluxes, with a scatter comparable to that of the RASS studies and thus
larger than found previously with XMM-Newton for some individual clusters. These results contrast with those of B stars that exhibit a large scatter in the
relation, no additional absorption being found, and the fits indicate a
plasma at higher temperatures. Variability (either within one exposure
or between multiple exposures) was also investigated whenever possible:
short-term variations are far more rare than long-term ones (the former
affects a few percent of the sample, while the latter concerns between
one third and two thirds of the sources).
Conclusions. This paper presents the results of the first
high-sensitivity investigation of the overall high-energy properties of
a sizable sample of hot stars.
Key words: X-rays: stars - stars: early-type - catalogs
1 Introduction
Soon after the discovery of X-ray emission from hot stars 30 years
ago, it was proposed that a correlation exists between the X-ray and
bolometric luminosities (e.g. Harnden et al. 1979; Pallavicini et al. 1981), of the form
.
This relation probably reflects the dependence of the X-ray emission on
the properties of the stellar winds, which are in turn strongly linked
to the total luminosity of the star, since these winds are
radiation-driven. Knowing and understanding this
relation is thus of prime importance.
Berghöfer et al. (1997) investigated this scaling law for a large sample of objects (237 OB stars). Their study relied on data from the ROSAT
All-Sky Survey (RASS), which provided a rather homogeneous dataset, and
represented the first large-scale survey of massive stars in the X-ray
range. The derived
relation exhibits a large scatter (
of 0.4 on a logarithmic scale, or a factor 2.5), and breaks down below
erg s-1, i.e., for mid and late B stars.
In recent years, new studies investigating this so-called ``canonical''
relation have been performed, using detailed observations of rich open
clusters and associations, notably NGC 6231 (XMM-Newton, Sana et al. 2006), Carina OB1 (XMM-Newton, Antokhin et al. 2008), Westerlund 2 (C HANDRA, Nazé et al. 2008a), and Cyg OB2 (C HANDRA, Albacete Colombo et al. 2007). For the clusters with the most well constrained stellar content (NGC 6231 and Carina OB1), the derived
relations are far tighter (dispersions of only 40%) than in the RASS analysis.
The difference between the RASS and XMM-Newton results may be caused by two factors. First, the datasets and data handlings are not directly comparable: on the one hand, the RASS study is based on a large sample of stars with approximately known properties (count rates, spectral type); on the other hand, the recent studies have considered a small sample of well-known stars with precisely known properties (derived from X-ray spectra and optical monitoring). Second, the nature of the samples also differ: mixed field and cluster stars on the one hand, and a homogeneous stellar population from a single cluster on the other. Metallicity and age could indeed affect the star's X-ray properties.
To determine which factor is the most important, I decided to investigate the high-energy properties of a large sample of hot stars, in a similar way as Berghöfer et al. (1997) but by employing the higher sensitivity and resolution of XMM-Newton. At the present time, two XMM-Newton surveys are available: the 2XMMi catalog and the XMM slew survey (XMMSL1) catalog.
In Sect. 2, I describe the main properties of the 2XMMi catalog, in Sect. 3 the sample of hot stars detected in the 2XMMi catalog, and in Sect. 4 the sample of hot stars detected in the XMMSL1 catalog. Sections 5 and 6 present the discussion and conclusion, respectively.
2 The 2XMMi catalog
The XMM-Newton observatory was launched in December 1999 (Jansen et al. 2001). Its main instruments are three non-dispersive cameras, EPIC MOS1, MOS2, and pn (Strüder et al. 2001; Turner et al. 2001), and two grating spectrographs, RGS1 and 2 (den Herder et al. 2001). The EPIC cameras are sensitive to the 0.15-12. keV band, whereas the RGS studies instead the 0.35-2.5 keV band. While the RGS provides the highest spectral resolution (R=300 at 1 keV), medium-resolution spectroscopy (R=10 at 1 keV) can also be obtained using the intrinsic energy resolution of the CCDs that make up the EPIC cameras. In addition, time series can be derived from EPIC data, enabling variability studies of the detected sources.
Since pointed observations often detect many serendipitous
sources in addition to the main target, the XMM Survey Science Centre
(SSC) consortium compiled a catalog of serendipitous X-ray sources
using 4117 XMM-Newton archival datasets. This was developed to help fully exploit the capabilities of XMM-Newton,
by means of a dedicated, homogeneous processing of all available data.
The second main release of this catalog, called the 2XMM catalog, was
published on-line in 2007 (Watson et al. 2009)
and an incremental version (2XMMi), more complete, was made available
in the following year. A slim version of the 2XMMi catalog, containing
the most important information, can be queried using Vizier
while the full version can be downloaded from the Vizier ftp site
. Detailed information (images, spectra, time series) as well as a user guide are available at the SSC website
.
In this catalog, each source has a unique identifier based upon the IAU
naming convention: it starts by 2XMM or 2XMMi, followed by the
truncated position of the source at equinox 2000.00 (JHHMMSS.S
DDMMSS).
If the source was detected in several exposures, additional entries are
available, each being identified by a unique identifier (DETID)
preceding the IAU name. More than 300 columns follow the name. They
list the details of the observations (observation identifier, filters
used, exposure times, ...), as well as the basic source properties
(count rates, hardness ratios) in each instrument and for several
energy bands. Fluxes are also available but are not considered here
because the count-rate-to-flux conversion used in the catalog considers
a power-law spectrum typical of background AGNs, which indeed does not
apply to hot stars. In this paper, the count rate in the
0.5-4.5 keV energy band (aka ``band 9'') is preferentially
considered since this rather broad band was used for a separate run of
the SAS analysis tasks, which ensured a better handling of the error
values. Fortunately, it is also where hot stars emit most of their
X-ray flux and the signal-to-noise ratio reaches its maximum. The four
hardness ratios used in the 2XMMi catalog are defined as
,
where S=0.2-0.5 keV and H=0.5-1.0 keV for HR1, S=0.5-1.0 keV and H=1.0-2.0 keV for HR2, S=1.0-2.0 keV and H=2.0-4.5 keV for HR3, and S=2.0-4.5 keV and H=4.5-12.0 keV for HR4.
Undetermined values are quoted as ``NULL'', which is the case for
non-detections in one instrument (either because it was not turned on
or because the source fell on a CCD gap). Time series and spectra are
extracted for each detection of a given source if it presents at least
500 EPIC counts.
It must be underlined that this catalog should not be
considered as a complete, homogeneous all-sky survey. First, the entire
set of the regions observed by XMM-Newton
cover only 420 square degrees, or 1% of the entire sky, and this
coverage is very patchy. Second, these regions were not randomly
chosen, but requested by different PIs for their specific needs, which
means that the catalog is certainly biased: for example, about 65% of
the observed regions have large Galactic latitudes
because of the strong interest in extragalactic fields. Finally, the
exposure times range from shorter than 1000 s to
130 000 s, and therefore the detection limit varies greatly
from one area to another. However, as imperfect as it might be, it
nonetheless constitutes the most sensitive X-ray catalog available at
the present time in the observed regions, surpassing the RASS in every
way. With
220 000
unique detections, the 2XMMi catalog is the largest X-ray catalog ever
produced: it contains twice as many discrete sources than previous
surveys, notably the RASS.
3 Finding hot stars in the 2XMMi catalog
To find the hot stars detected by XMM-Newton, it is necessary to correlate the 2XMMi catalog with a catalog of hot stars. To this aim, the Reed catalog of hot stars (Reed 2003) was chosen because it is one of the most complete for this type of objects. The catalog version of January 2009 was kindly provided by its author. It contains >19 000 objects, mostly O and B stars, plus a few emission-line stars (WRs, T Tauri, HAe/Be, ...).
The correlation between these two catalogs was measured twice, once
using the preferred ``source name'' in the Reed catalog and a second
time using the coordinates provided by Reed (whenever Simbad was unable
to resolve the provided name). The search radius was fixed to 5''. This
value represents a compromise. On the one hand, the XMM-Newton PSF has a FWHM of
on-axis but this greatly increases towards the edges of the
field-of-view. The position uncertainty is expected to be a fraction of
the PSF, and 96% of the detections indeed have a positional error of
<5''. On the other hand, residual shifts can exist between X-ray and
optical observations and the optical coordinates are certainly not 100%
accurate.
If two (or more) X-ray sources were detected within the chosen
correlation radius, the closest one was kept only if the second closest
source was more distant by at least 1'' (to avoid spurious multiple
detections). In addition, extended sources were discarded, since these
objects can either be true diffuse X-ray sources, sub-areas of extended
emission, or spurious, combined detections of several stars in a dense
cluster. High-mass X-ray binaries recorded in Simbad were also
discarded, since this paper considers only the intrinsic emission of
hot stars, and not their interaction with compact objects. Finally, a
few detected sources were found to be listed twice in the Reed catalog:
in these cases, only the smallest number used as an identifier in the
Reed tables was listed in the correlation catalog
.
The 2XMMi catalog provides a ``quality flag'' S, which is set to be zero if the X-ray source has no problem and to 1-4 if it might be spurious. Experience showed that hot stars in clusters are generally detected with a non-zero quality flag, because of the presence of numerous neighbours. To be as complete as possible, no selection was made based on the quality flag and all detections were kept. However, the higher quality objects are separated from the others in the discussion and tables provided below. To check whether spurious associations were a problem, the approach of Berghöfer et al. (1996) was used. The number of background objects is expected to scale with the number of detected hot stars, the area of detection (5'' radius), and the X-ray source density (about 500 src per square degree, compared to the 1.5 src per square degree of the RASS): for our data, only one spurious source is expected. Inspecting all bright sources (i.e., those with available light curves and spectra) identified only one really spurious detection, associated with ALS 4440 (=HD 316464), which is part of the PSF wing of the bright X-ray binary XTE J1751-305.
The result of the correlation between the Reed and 2XMMi catalogs is
presented in Table 1 (available electronically at the CDS). The first
column provides the data used to query the catalog, i.e., either the
prefered name in the Reed catalog or the Reed coordinates. It is
preceded by a letter in case two stars correspond to the same X-ray
source. The second column lists the Reed number of the star (ALS # in
Simbad), while the third one provides the usual name of the source (HD,
BD, CPD, ... identifiers). The fourth column indicates the
spectral type of the source, which was chosen to be the most recent
from the Reed catalog, except for the Wolf-Rayet stars (WRs) where the
classification of the VIIth WR catalog (van der Hucht 2001) was used. If no type is available in the Reed catalog, the spectral type from Simbad is reproduced here, preceded by a
to
easily distinguish these sources. The fifth column corresponds to a
flag set to be Y if the source was detected as a binary. A star was
classified as binary if either the spectral type available in the Reed
catalog indicates the presence of a companion, or if the star is a
known binary in the 9th Binary catalog (Pourbaix et al. 2004) and/or in Gies (2003). The next few columns indicate the V magnitude, B-V
colour, interstellar absorption column, and bolometric flux. The
photometric data correspond to the most recent values in the Reed
catalog or, if unavailable, to the Simbad values (again flagged with a
). For the WRs, the interstellar absorption column and the bolometric fluxes were taken from Oskinova (2005)
for WN stars. For O and B stars, these characteristics were calculated
whenever a precise spectral type (i.e., not only ``O star'' or ``B
star'') and magnitude values were known. The interstellar column was
derived from Bohlin's formula (
cm-2, Bohlin et al. 1978),
where the colour excesses were calculated from the difference between
the observed colours and the instrinsic ones. Because of the scarcity
of accurate distances, bolometric fluxes were preferred to bolometric
luminosities. They were calculated using the usual formulae, yielding
,
where
is in erg cm-2 s-1. Intrinsic colours and bolometric corrections (BC) were taken, for the considered spectral types, from Martins & Plez (2006) for O stars and Schmidt-Kaler (1982)
for B stars. In the case of binaries, the intrinsic properties (colour,
BC) of the primary star were used. The subsequent columns correspond to
the X-ray source properties, i.e., the distance between the X-ray
source and its optical counterpart, the official IAU name of that
counterpart, list of the filters used for each EPIC instrument (pn,
MOS1, and MOS2 in this order), the total count rates and their errors
in the 0.5-4.5 keV band for each instrument (with pattern 0-4 for
pn and 0-12 for MOS), the four hardness ratios for each instrument, the
total detection likelihood, the overall quality flag (see previous
paragraph), two variability flags (see Sect. 3.1.2), the number of
individual detections, the unabsorbed X-ray flux in the
0.5-10. keV band (see Sect. 3.2), and finally the
value.
If several observations were available for a given source, a mean count rate was calculated for each instrument+filter configuration. Error bars were compared for different filter choices of a given instrument; the instrumental configuration corresponding to the smallest error bar was considered as the most suitable one and reproduced in Table 1.
Note for individual objects: ALS 4440 is spurious (see above); the counterpart of ALS 4592 (=CPD -24
6140)
is real but affected by straylight, so that its properties might not be
totally uncontaminated; ALS 20163 (=West 1 30) shares its X-ray
counterpart with a sgBe star.
3.1 Basic properties of the detected objects
From the correlation performed above, 310 stars (with a known O, B, or WR spectral type) were found to have an XMM-Newton counterpart within 5''. Of these, 133 have a zero quality flag and correspond to 132 unique 2XMMi sources (i.e., two sources are found within the PSF of one X-ray counterpart). The remaining 177 objects are considered as potentially spurious within the 2XMMi catalog; they correspond to 173 individual 2XMMi sources, i.e., there are four pairs of stars sharing the same X-ray counterpart.
The biases inherent to the generation of this 2XMMi catalog have already been pointed out in Sect. 2 and the conclusions found from the performed correlation should indeed be interpreted with caution. Nevertheless, I examined the basic properties of the detected objects. While they may not be totally representative of the entire population of hot stars, these detections certainly represent the largest sample of such stars studied by modern X-ray observatories. Note that the remainder of the paper focuses mainly on the detailed properties of OB stars, the spectral analysis of WR stars being deferred to a future paper.
![]() |
Figure 1: Distribution of the spectral types and luminosity classes of the O and B stars detected in X-rays (when detailed classification is available; for binaries, only the classification of the primary was considered). The middle panels correspond to X-ray sources with a good quality flag (S=0), while the upper panels show the results for ``potentially spurious'' sources (S!=0). The corresponding distributions for the entire Reed catalog are shown in the lowest panels, where the dotted red line indicates the scaled distribution of all detected objects (zero and non-zero quality flags, with Poissonian errors). Note that a luminosity class of 6 indicates stars with known spectral type but undefined luminosity class. |
| Open with DEXTER | |
Table 2: Classification of the optical sources detected in the 2XMMi catalog.
3.1.1 Distribution
The repartition of the detected stars amongst the main spectral types is given in Table 2 and shown in Fig. 1. For sources with a good quality flag, the majority display a B spectral type, as one could have expected based on the incidence of these lower-mass objects compared to O and WR stars. When potentially spurious sources are included, the situation appears to change because the O stars now dominate. This is probably caused by the combination of two facts: (1) the O stars are brighter in X-rays, and (2) these ``spurious'' sources are found mostly in clusters, where only bright O-type stars are easily detected against the overall background produced by the combined X-ray emission from PMS stars, background objects, and diffuse emission within the cluster.
Table 3: Percentage of known binaries amongst the detected hot stars.
Interestingly, it must be noted that, excluding WR systems, binarity
does not seem to play an important role in the probability of X-ray
detection (see Table 3: only
20% of the detected O stars and
5%
of the detected B stars are known binaries). This result might first
seem at odds with previous conclusions based on older data (e.g., Einstein observations in Chlebowski 1989).
Although one cannot exclude the possibility that part of the binary
population remains undiscovered (especially for the B stars), this bias
cannot explain the new result since the older data were affected by
similar uncertainties; besides, it would indeed be unexpected that XMM-Newton
targeted a specific area of the sky with a low number of binaries. More
importantly, it must be recalled that the preferred detection of
binaries was then explained by the presence of an additional X-ray
emission produced by wind-wind collisions. However, it was shown that,
in sensitive observations of an entire hot-star population, only a
small fraction of the massive binaries display strong wind-wind
collisions capable of emitting X-rays: only a few systems are thus
truly overluminous in the 0.5-10 keV range (Sana et al. 2006).
This is linked to the X-ray excess, when detected, being possibly
dependent on the bolometric luminosity and the orbital parameters (Linder et al. 2006; Chlebowski & Garmany 1991). Therefore, there may be two different causes of the apparent discrepancy between more recent observations and the first Einstein
results: the sample size (a few bright, peculiar objects compared to a
larger sample of many different cases), as well as improvements in the
knowledge of the physical parameters (e.g., with respect to stellar
multiplicity, especially the detection of faint companions) and in the
X-ray instrumentation (higher spatial/spectral resolution and higher
sensitivity, including at lower energies than Einstein, i.e., where the wind-wind emission is less prominent than at higher energies).
Finally, the distribution of the spectral types and luminosity classes is shown in Fig. 1. Amongst O-type stars, the more numerous O6-9.7 stars constitute most of our sample. This is also true for main-sequence systems, which are more numerous in general, this study being no exception. The O-star distribution well reflects that of the initial stellar catalog, as can be seen in the bottom panels of Fig. 1. However, there is a lack of detections amongst late B-type stars and giant B-stars, while earliest B-stars appear preferentially detected. At first sight, the former results appear in phase with the current wind-shock model: one does expect the X-ray luminosity to drop (hence the detection rate) as the stellar wind weakens and then disappears.
Table 4: Number and percentage of variable X-ray counterparts.
3.1.2 Short- and long-term variations
Table 4 summarizes the
results of the variability study.
The short-term variability was directly analyzed during the 2XMMi
processing. The first variability flag quoted in Table 1 corresponds
directly to the variability flag of the 2XMMi catalog, i.e., it is
defined to be 1 if the source was found to be variable with a
significance level of 0.001% following a
test performed on the time series of the individual exposures. For hot
stars, as could be expected, very few objects vary within one exposure
(<10%). Three sources display a flare, which is quite typical of
low-mass, pre-main-sequence stars: HD37016 (B2.5V), HD33904 (B9III),
and HD 37479 (
Ori E,
B1/2V, whose flare decay has a rather long time constant). In addition,
HD120991 (B2Ve) exhibits a clear increase of its count rate during the
observation. For the other stars, there is no obvious flare, and the
variations cannot easily be differentiated from those of the background
signal.
Long-term variability, for example between exposures,
can also occur, but the 2XMMi catalog does not check for its presence.
A second variability flag was thus calculated for Table 1: it is set to
be 2 if there are not enough exposures (0 or 1 observation for all
combinations of filters/instruments), to 1 if a
test detected variations in the count rate (in at least one combination
of filters/instruments) with a significance level of 1%, and otherwise
to 0. As is obvious from Table 4,
this type of variability is far more common in hot stars, with few
differences between single and binary OB stars. Except for the putative
presence of colliding-wind binaries or magnetic wind confinement, the
cause of these variations remains unknown.
3.2 Spectral fitting for the X-ray bright objects
About half of the detected hot stars (59% of the O stars, 31% of the
B objects, and 88% of the WRs) have enough counts within a single
exposure to have their spectra automatically extracted by the 2XMMi
processing (Table 2).
Many of these were observed several times: the individual spectra were
merged, instrument by instrument, only if the source was non-variable.
In total, 332 spectra of OB stars were finally fitted. They were
individually fitted, in the 0.3-10. keV energy range, within Xspec
v11.2.0 with absorbed multi-temperature thermal plasma models of the
type
with i
equal to 3 at most and solar abundances assumed. The first absorbing
column was fixed to the ISM column derived above (see Sect. 2) if known
or to 0 otherwise. The second absorbing column allows for additional,
local absorption. A word of caution should be added: the soft and hard
thermal components might not be formed at the same location inside the
wind and might thus be affected by different local absorptions.
However, we restrict ourselves to one common local absorbing column
because, for the majority of the stars investigated in this paper, the
quality of the data does not justify the use of a model of the type
.
The number of optically-thin plasma components is the minimum number of
single-temperature components needed to provide a good fit (
or
<2) to the considered data. Generally, the 1T-models are used only
when there are too few counts, i.e., only the main component is
distinguishable. When the signal-to-noise ratio is reasonably high, the
sum of two thermal components is requested to provide a good fit.
Table 5 (available electronically at the CDS) provides the results of
these fits. The first column indicates the Reed number of the objects,
the second column their usual name, and the third column the
interstellar absorbing column (
,
in cm-2). The fourth and fifth columns provide the value of
and the number of degrees of freedom. The next four columns list the absorbed fluxes (in erg s-1 cm-2)
in the 0.5-10. keV, 0.5-1. keV, 1.-2.5 keV, and
2.5-10. keV energy bands. They are followed by 4 similar columns
providing the unabsorbed fluxes (i.e., the X-ray fluxes dereddened by
the insterstellar component, if known, or otherwise by the fitted
absorption column). The additional absorption is given in Col. 14 (
,
in 1022 cm-2), followed in the next two columns by the lower and upper limits of the 90% confidence interval. The temperature (kT in keV) and normalization factors (norm in cm-5) of each mekal
component in turn (in order of increasing temperatures) are then given,
together with their 90% confidence interval. Finally, the last column
provides additional remarks, such as the observation identifiers (if
several exposures were available) or, in a few cases, any modification
of the general fitting scheme (e.g., non-solar abundances).
Undetermined values are again quoted as ``NULL''. Note that a
comparison was made between our results and published analyses of some
hot stars' spectra (Of?p stars, Nazé et al. 2004,2007,2008b;
Car, Nazé & Rauw 2008; NGC 6231, Sana et al. 2006; HD 168112, De Becker et al. 2004; Cyg OB2 #8A, De Becker et al. 2006; Carina OB1, Antokhin et al. 2008)
and a good agreement was found. It must also be emphasized that these
fits provide an adequate idea of the flux distribution for the spectral
resolution and signal-to-noise ratio considered, but they should not be
taken at face value (especially in the case of non-solar abundances),
since the true properties of the hot plasma can differ (e.g.,
continuous distribution of thermal components versus a few discrete
temperatures).
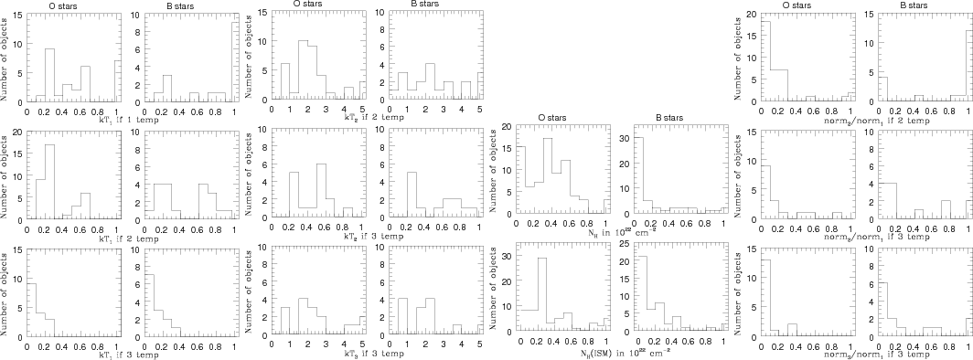
![]() |
Figure 2:
Distribution of the spectral properties (temperatures kTi, absorptions
|
| Open with DEXTER | |
![]() |
Figure 3:
Unabsorbed X-ray flux as a function of the bolometric flux. Lines indicate the average
|
| Open with DEXTER | |
Figure 2 graphically illustrates the results. In terms of the absorption, the interstellar components appear larger for O stars than for B stars, as expected (O stars being brighter and hence detectable from further away). In addition, a significant, additional absorption is needed when fitting O-star spectra. Since its distribution does not correlate with the interstellar absorption histogram, this effect should be considered to be significant. Concerning temperatures, different cases corresponding to different number of mekal components should be envisaged. If only one thermal component was fitted, its temperature is usually quite low, 0.2 or 0.6 keV, for O stars, while the distribution is much flatter for B stars, temperatures in half of the cases being below 1 keV and in the other half above. If two thermal components are fitted, the first temperature is generally quite soft, with a frequent ambiguity between 0.2 and 0.6 keV (for previous reports, see e.g., the case of HD 148937 in Nazé et al. 2008b). The second temperature is about 2 keV for O stars and B stars, but has a far larger dispersion than in the latter case. If three thermal components were fitted, the first temperature was always very low (often at the lowest limit of the permitted range within Xspec, 0.08 keV), the second temperature again is 0.2 or 0.6 keV, while the third one is generally 2 keV. The normalization factors of the additional components usually have lower values than that of the first component, except in the case of 2-temperature fits to B stars, where the harder component clearly dominates.
3.2.1 X-ray fluxes
Spectral modelling directly provides the X-ray fluxes of each fitted object (see Table 5), which are simply reproduced in Table 1. In the case of a varying source observed several times, the X-ray flux reported in Table 1 is the average flux.
However, the objects in the fainter half of the sample do not
have spectra, and any estimate of their flux must rely only on their
count rates. To convert count rates into fluxes, the most probable
2T-model was used. For O-type stars, it has a local absorbing column of
cm-2
and temperatures of 0.2 and 2 keV, which is represented well by
the spectrum of HD 168112 (ALS 4912, second observation): the
latter was therefore used as a reference. For B-type stars, the average
properties are a zero local absorbing column and temperatures of 0.2 or
0.6 and 2 keV, and a good reference in this case is HD37040 (ALS
14653). The spectral properties of these two reference stars (
,
kT1,2, flux ratio at 1 keV of 0.158 and 1.46, respectively) were used as input for PIMMs
.
The unabsorbed fluxes (i.e., dereddened only for the interstellar
component) were calculated for a unit count rate, one of the two
cameras, one of the three filters, and a range of interstellar
absorbing columns (from 0 to
cm-2).
The resulting conversion factor had to be corrected by a factor of 0.70
because PIMMs considers count rates in a region of 15'' radius while
the 2XMMi catalog provides the full count rate (Watson et al. 2009)
.
For each star, the X-ray flux was calculated by taking into account its
own interstellar absorption (see Sect. 2), no value was thus
quoted if this absorption is unknown. The results were checked against
the bright stars and good agreement was found - in 80% of the cases,
the flux derived from the count rates is within a factor of 2 of the
flux derived from the spectral fits. The derived unabsorbed X-ray
fluxes for the faintest stars can be found in Table 1.
Once the fluxes are known, the
ratios, equivalent to the
ratio, were derived. They are shown in the last column of Table 1. Note
that, for the five pairs of stars sharing the same 2XMMi counterpart,
the ratio is calculated for the total bolometric flux. The unweighted
average
ratios (for all stars but the pairs) were then calculated, together with their dispersion. The results are listed in Table 6 and shown in Fig. 3
.
Table 6:
Average
ratios, with their dispersions.
4 Detections of hot stars in the XMM-Newton slew survey
Table 7: Additional X-ray detections of hot stars using the XMM slew survey.
Between pointed observations, XMM-Newton slews between
different sky areas. During many of these slews, the telescopes remain
open and thus perform a limited survey. The analysis of the EPIC-pn
data from 218 slews detected more than 2600 X-ray sources (Saxton et al. 2008). They constitute the XMMSL1 catalogue, which can be queried using Vizier
.
As for the 2XMMi catalog, the results of the slew survey were cross-correlated with the preferred names and coordinates extracted from the Reed catalog, again for a correlation radius of 5'', yielding 13 detections. Extended X-ray sources and sources already belonging to the 2XMMi catalog were discarded from the list, as well as wrong identifications (i.e., a hot star in the vicinity of an X-ray source, but where the hot star is not the ``official'' counterpart listed in the slew survey catalog). In addition, counterparts were automatically identified for slightly more than half of the X-ray sources of the XMMSL1: their nature was checked using Simbad, which inferred that they were 34 X-ray emitters associated with hot stars, sometimes more distant than 5''. Of these, those stars not belonging to the Reed catalog or those already found in the 2XMMi catalog were discarded. This two-step trimming process finally resulted in the detection of 16 additional X-ray sources, presented in Table 7, where the total count rates are given for the pn instrument with the medium filter and in the 0.2-12. keV band, and the DL column refers to the individual detection likelihoods.
As for the 2XMMi data, the optical properties of the star (e.g.,
interstellar reddening, bolometric flux) were derived from their known
characteristics (e.g., spectral type, magnitudes). The count rates were
then converted into unabsorbed fluxes in the 0.5-10. keV band, in
a similar way to the method described in Sect. 3.2.1, to derive the
ratio.
5 Summary and discussion: the X-ray properties of OB stars
Since the slew survey provided only a few additional sources with poorly constrained X-ray properties, the following conclusions rely mostly on the detailed analysis based on the 2XMMi catalog.
Since the XMM-Newton observations cover only 1% of the sky, a first question arise about the possible detection biases. For the detected O stars, the distribution of their spectral types and luminosity classes is fully comparable to that of the full hot star catalog from Reed (2003), so that no bias whatsoever is expected. This is not the case for the detected B stars, where a lack of late-type objects and giant objects, as well as an excess of early-type stars, are found. Although the consequence of selecting specific celestial regions should not be disregarded, it is probable that this effect is real: since the very first X-ray detection of hot stars, it has been shown several times that early-B stars are brighter, hence more easily detected, than late-type objects.
Variability studies demonstrate that short-term changes are quite rare. When they exist, they generally appear flare-like, as found for PMS stars. It is as yet unclear whether the emission originates in a PMS object (true companions or line-of-sight coincidences), or if a magnetic phenomenon similar to that operating in PMS stars is at work in those objects. Stochastic variations such as those expected from collisions between wind-shells or large clumps are not seen. Long-term variations appear to be far more common in hot stars since they affect about half of the cases. They could well be caused by e.g., wind-wind collisions in unknown binaries, but will require an additional, in-depth analysis before a definite cause can be identified.
The spectral fits have enlighted the differences between O and
B stars. The X-ray spectrum of O-type objects requires an absorption in
addition to the interstellar component. This is not an effect of the
uncertainties in the latter, which is quite well constrained since the
intrinsic colour of O stars is quite similar regardless of subtype or
luminosity class (although it is true that the
plots display some scatter; Bohlin et al. 1978).
It thus appears intrinsic to these stars, most probably related to the
presence of their stellar winds. Indeed, B-type stars, whose winds are
much weaker, need not have any additional absorption. Another
difference lies in the temperatures needed to fit the plasma emission.
On average, O-type stars exhibit a soft emission, well fitted by a
thermal component with a temperature of 0.2 or 0.6 keV, with
possibly a faint hard component (typically at 2 keV). On the other
hand, the spectra of B-type stars are harder, well fitted by hot
thermal components (either a single one at about 1 keV, or the sum
of a faint warm one with a temperature of 0.2-0.6 keV and a
brighter hot component with a temperature of 2 keV). These hot
components are not expected in the usual wind-shock model, and require
the presence of either a PMS star along the same line-of-sight
(physical companion or not) or of exotic magnetic phenomena. Analyses
of multiwavelength follow-up observations would be required to settle
this question.
Finally, the
ratio
was also investigated. Unsurprisingly, the dispersion is much lower for
O stars than for B stars, and for the soft or medium energy bands than
for the hard band (see e.g., similar results for specific clusters in Sana et al. 2006; Antokhin et al. 2008). The relation for the B stars also appears shallower and might have a more complicated parametrization (e.g.,
rather than
)
but this cannot be tested here because of a lack of accurate distances. For O-type stars, the dispersion in the
relation is about 0.35-0.5 dex, or a factor of 2-3, a value similar to that found in the RASS analysis (Berghöfer et al. 1997).
Note that this dispersion is not mostly caused by uncertainties in the
fluxes, since the fluxes are derived from precise fits, and those
calculated from a general conversion of the count rates are similar in
value. It thus seems that the dispersion measured by Berghöfer
et al. is real, and the much tighter correlation found for some
clusters (e.g., NGC 6231, Sana et al. 2006, and Table 6)
needs to be explained by reasons other than a different treatment of
the data. Although the dispersions are somewhat large and the samples
quite small, the
ratios found for different clusters indeed appear to differ marginally.
![]() |
Figure 4:
For the O+OB binaries with spectral information and defined period,
|
| Open with DEXTER | |
It must also be underlined that no significant difference was found between the
ratios of objects with various quality flags, binary status, or luminosity classes, although we are only just below the 1
limit in the case of B-type stars. As discussed above (Sect. 3.1.1),
binarity now appears less important than advocated in the past. One
possible explanation for the weak impact of wind-wind interactions
could be radiative inhibition, where the radiation of one component
decelerates the wind originating in its companion (Gayley et al. 1997; Antokhin et al. 2004). It should have more impact on short-period systems than on long-period binaries. Figure 4 shows the variation in the
ratio with the binary period, when the latter is known precisely (this
is the case for 23 systems out of the 27 O+OB binaries having spectral
information). For short-period systems (i.e., P<35 d), there are hints of an overall shallow trend of increasing
towards longer periods. Without a detailed modelling of each individual
system, it is however difficult to assess whether the main cause of
this trend is the radiative inhibition phenomenon or the expected
variation for radiative systems (Stevens et al. 1992). It has to be emphasized that the scatter in the points of the
-period diagram is much larger than the mild ``trend" mentioned above. For long-period systems (i.e., P>35 d), the average
appears smaller than for short-period binaries, which might reflect the well-known
variation for adiabatic systems (Stevens et al. 1992), but the lower limit to the
ratio appears to increase towards longer periods, which might be
related to the smaller impact of the radiative inhibition. However, the
small number of systems in this range of periods (only 2!) prevents me
from drawing solid conclusions.
6 Conclusions
This paper presents the results of the first global survey of hot stars with the highly sensitive X-ray observatory XMM-Newton. It relies on the 2XMMi and XMMSL1 catalogs. About 330 stars were detected, representing a sample comparable in size to the RASS detections (Berghöfer et al. 1996) but only covering 1% of the entire sky (to be compared with the full sky investigated in the course of the RASS).
The derived properties of the hot stars confirm the results of the
first preliminary data of the RASS and the recent in-depth
investigations of a few clusters. The O stars have relatively soft
spectra and exhibit a rather tight
relation, although the dispersion is closer to that observed in the
RASS survey than in a dedicated analysis of specific clusters. The B
stars appear to have far harder spectra, with brighter emission for the
earliest subtypes and a
relation with far larger scatter. However, it must be noted that on
average binaries do not appear significantly brighter than single
objects.
The detection lists and the results of more than 300 spectral fits are made available to the community.
AcknowledgementsY.N. thanks Gregor Rauw for his careful reading of the manuscript. She acknowledges support from the Fonds National de la Recherche Scientifique (Belgium), the PRODEX XMM and Integral contracts, and the ``Action de Recherche Concertée'' (CFWB-Académie Wallonie Europe). ADS, CDS, and the XMM catalogs were used for preparing this document.
References
- Albacete Colombo, J. F., Flaccomio, E., Micela, G., Sciortino, S., & Damiani, F. 2007, A&A, 464, 211 [NASA ADS] [CrossRef] [EDP Sciences]
- Antokhin, I. I., Owocki, S. P., & Brown, J. C. 2004, ApJ, 611, 434 [NASA ADS] [CrossRef]
- Antokhin, I. I., Rauw, G., Vreux, J.-M., van der Hucht, K. A., & Brown, J. C. 2008, A&A, 477, 593 [NASA ADS] [CrossRef] [EDP Sciences]
- Berghöfer, T. W., Schmitt, J. H. M. M., & Cassinelli, J. P. 1996, A&AS, 118, 481 [NASA ADS] [CrossRef] [EDP Sciences]
- Berghöfer, T. W., Schmitt, J. H. M. M., Danner, R., & Cassinelli, J. P. 1997, A&A, 322, 167 [NASA ADS]
- Bohlin, R. C., Savage, B. D., & Drake, J. F. 1978, ApJ, 224, 132 [NASA ADS] [CrossRef]
- Chlebowski, T. 1989, ApJ, 342, 1091 [NASA ADS] [CrossRef]
- Chlebowski, T., & Garmany, C. D. 1991, ApJ, 368, 241 [NASA ADS] [CrossRef]
- De Becker, M., Rauw, G., Blomme, R., et al. 2004, A&A, 420, 1061 [NASA ADS] [CrossRef] [EDP Sciences]
- De Becker, M., Rauw, G., Sana, H., et al. 2006, MNRAS, 371, 1280 [NASA ADS] [CrossRef]
- den Herder, J. W., Brinkman, A. C., Kahn, S. M., et al. 2001, A&A, 365, L7 [NASA ADS] [CrossRef] [EDP Sciences]
- Gayley, K. G., Owocki, S. P., & Cranmer, S. R. 1997, ApJ, 475, 786 [NASA ADS] [CrossRef]
- Gies, D. R. 2003, A Massive Star Odyssey: From Main Sequence to Supernova, Proc. IAU Symp., 212, 91
- Harnden, F. R., Jr., et al. 1979, ApJ, 234, L51 [NASA ADS] [CrossRef]
- Jansen, F., et al. 2001, A&A, 365, L1 [NASA ADS] [CrossRef] [EDP Sciences]
- Linder, N., Rauw, G., Pollock, A. M. T., & Stevens, I. R. 2006, MNRAS, 370, 1623 [NASA ADS]
- Martins, F., & Plez, B. 2006, A&A, 457, 637 [NASA ADS] [CrossRef] [EDP Sciences]
- Nazé, Y., & Rauw, G. 2008, A&A, 490, 801 [NASA ADS] [CrossRef] [EDP Sciences]
- Nazé, Y., Rauw, G., Vreux, J.-M., & De Becker, M. 2004, A&A, 417, 667 [NASA ADS] [CrossRef] [EDP Sciences]
- Nazé, Y., Rauw, G., Pollock, A. M. T., Walborn, N. R., & Howarth, I. D. 2007, MNRAS, 375, 145 [NASA ADS] [CrossRef]
- Nazé, Y., Rauw, G., & Manfroid, J. 2008a, A&A, 483, 171 [NASA ADS] [CrossRef] [EDP Sciences]
- Nazé, Y., Walborn, N. R., Rauw, G., et al. 2008b, AJ, 135, 1946 [NASA ADS] [CrossRef]
- Oskinova, L. M. 2005, MNRAS, 361, 679 [NASA ADS] [CrossRef]
- Pallavicini, R., Golub, L., Rosner, R., et al. 1981, ApJ, 248, 279 [NASA ADS] [CrossRef]
- Pourbaix, D., et al. 2004, A&A, 424, 727 [NASA ADS] [CrossRef] [EDP Sciences]
- Reed, B. C. 2003, AJ, 125, 2531 [NASA ADS] [CrossRef]
- Sana, H., Rauw, G., Nazé, Y., Gosset, E., & Vreux, J.-M. 2006, MNRAS, 372, 661 [NASA ADS] [CrossRef]
- Saxton, R. D., Read, A. M., Esquej, P., et al. 2008, A&A, 480, 611 [NASA ADS] [CrossRef] [EDP Sciences]
- Schmidt-Kaler, Th. 1982, Physical parameters of stars, Landolt-Börnstein Numerical data and functional relationships in science and technology, New series, Group VI, Vol. 2b (Berlin: Springer-Verlag)
- Stevens, I. R., Blondin, J. M., & Pollock, A. M. T. 1992, ApJ, 386, 265 [NASA ADS] [CrossRef]
- Strüder, L., Briel, U., Dennerl, K., et al. 2001, A&A, 365, L18 [NASA ADS] [CrossRef] [EDP Sciences]
- Turner, M. J. L., Abbey, A., Arnaud, M., et al. 2001, A&A, 365, L27 [NASA ADS] [CrossRef] [EDP Sciences]
- van der Hucht, K. A. 2001, New Astron. Rev., 45, 135 [NASA ADS] [CrossRef]
- Watson, M. G., et al. 2009, A&A, 493, 339 [NASA ADS] [CrossRef] [EDP Sciences]
Footnotes
- ... stars
- Based on observations collected with XMM-Newton, an ESA Science Mission with instruments and contributions directly funded by ESA Member States and the USA (NASA), and accessed via the 2XMMi and XMM slew survey catalogs.
- ...
- Tables 1 and 5 are only available in electronic form at the
CDS via anonymous ftp to cdsarc.u-strasbg.fr (130.79.128.5)
or via http://cdsweb.u-strasbg.fr/cgi-bin/qcat?J/A+A/506/1055 - ...é
- Postdoctoral Researcher FNRS.
- ...
- Visiting astronomer, UNAM-Morelos (Mexico).
- ... Vizier
- http://vizier.u-strasbg.fr/viz-bin/VizieR?-source=IX/40
- ... site
- ftp://cdsarc.u-strasbg.fr/pub/cats/IX/40
- ... website
- http://amwdb.u-strasbg.fr/2xmmi/catexpert and http://xmmssc-www.star.le.ac.uk/Catalogue/2XMMi/UserGuide_xmmcat.html respectively
- ... catalog
- This is the case of ALS9458=ALS4879, 9465=4887, 9468=4889,
9477=4894, 9500=4912, 9506=4914, 9511=4918, 9526=4923, 9536=4929,
9537=4930, 9604=5025, 9609=5039, 9621=5046, 15858=1855, 21108=11417.
B.C. Reed (priv. comm.) remarked that the identification of ALS 1855 to
ALS 15858 in Simbad is wrong, they are actually two stars. This would
mean that the total bolometric flux, in logarithmic scale, for these
two objects would be -6.81, leading to a decrease of the
ratio by 0.23 dex (i.e.
).
This doesn't change the conclusions presented in the paper.
- ... PIMMs
- http://heasarc.gsfc.nasa.gov/Tools/w3pimms_pro.html
- ...(Watson et al. 2009)
- In addition, PIMMs considers only counts with a zero PATTERN keyword, while the 2XMMi counts are for PATTERN keywords ranging from 0 to 12 (MOS) or 0 to 4 (pn). However, as most of the recorded counts have a zero PATTERN, this uncertainty is considered to be negligible compared to other sources of error.
- ...
- It might at first appear surprising that the detected O and
B stars display similar bolometric fluxes. It must however be kept in
mind that the
ratios for these stars are rather similar: if the X-ray sources
constitute a flux-limited sample, the bolometric fluxes of the detected
objects will also appear quite similar. Indeed, this conclusion does
not apply to bolometric luminosities:
as shown in Fig. 2,
the O stars of our sample are more absorbed (hence intrinsically much
brighter after correcting for the ISM absorption), and much more
distant, than the B stars.
- ... Vizier
- http://vizier.u-strasbg.fr/viz-bin/VizieR?-source=J/A+A/480/611
All Tables
Table 2: Classification of the optical sources detected in the 2XMMi catalog.
Table 3: Percentage of known binaries amongst the detected hot stars.
Table 4: Number and percentage of variable X-ray counterparts.
Table 6:
Average
ratios, with their dispersions.
Table 7: Additional X-ray detections of hot stars using the XMM slew survey.
All Figures
![]() |
Figure 1: Distribution of the spectral types and luminosity classes of the O and B stars detected in X-rays (when detailed classification is available; for binaries, only the classification of the primary was considered). The middle panels correspond to X-ray sources with a good quality flag (S=0), while the upper panels show the results for ``potentially spurious'' sources (S!=0). The corresponding distributions for the entire Reed catalog are shown in the lowest panels, where the dotted red line indicates the scaled distribution of all detected objects (zero and non-zero quality flags, with Poissonian errors). Note that a luminosity class of 6 indicates stars with known spectral type but undefined luminosity class. |
| Open with DEXTER | |
| In the text | |
![]() |
Figure 2:
Distribution of the spectral properties (temperatures kTi, absorptions
|
| Open with DEXTER | |
| In the text | |
![]() |
Figure 3:
Unabsorbed X-ray flux as a function of the bolometric flux. Lines indicate the average
|
| Open with DEXTER | |
| In the text | |
![]() |
Figure 4:
For the O+OB binaries with spectral information and defined period,
|
| Open with DEXTER | |
| In the text | |
Copyright ESO 2009
Current usage metrics show cumulative count of Article Views (full-text article views including HTML views, PDF and ePub downloads, according to the available data) and Abstracts Views on Vision4Press platform.
Data correspond to usage on the plateform after 2015. The current usage metrics is available 48-96 hours after online publication and is updated daily on week days.
Initial download of the metrics may take a while.
![\begin{figure}
\par\includegraphics[width=9cm,clip]{12659_fig1a.ps}\includegraphics[width=9cm,clip]{12659_fig1b.ps}
\end{figure}](/articles/aa/full_html/2009/41/aa12659-09/Timg22.png)
![\begin{figure}
\par\includegraphics[width=4.5cm,clip]{12659_fig2a.ps}\includegra...
...]{12659_fig2c.ps}\includegraphics[width=4.5cm,clip]{12659_fig2d.ps}
\end{figure}](/articles/aa/full_html/2009/41/aa12659-09/Timg29.png)
![\begin{figure}
\par\mbox{\includegraphics[width=8.5cm,clip]{12659_fig3a.ps}\incl...
...2659_fig3e.ps}\includegraphics[width=8.5cm,clip]{12659_fig3f.ps} }\end{figure}](/articles/aa/full_html/2009/41/aa12659-09/Timg31.png)
![\begin{figure}
\par\includegraphics[width=8cm,clip]{12659_fig4a.ps}\par\includegraphics[width=8cm,clip]{12659_fig4b.ps}
\end{figure}](/articles/aa/full_html/2009/41/aa12659-09/Timg70.png)